二元一次方程组解法奥赛题(精选)
- 格式:ppt
- 大小:526.50 KB
- 文档页数:15
初二年级奥数二元一次方程测试题及答案含有两个未知数,并且含有未知数的项的次数都是1的整式方程叫做二元一次方程。
所有二元一次方程都可化为ax+by+c=0(a、b ≠0)的一般式与ax+by=c(a、b≠0)的标准式,否则不为二元一次方程。
适合一个二元一次方程的每一对未知数的值,叫做这个二元一次方程的一个解。
每个二元一次方程都有无数对方程的解,由二元一次方程组成的二元一次方程组才可能有解,二元一次方程组常用加减消元法或代入消元法转换为一元一次方程进行求解。
下面是无忧考网为大家带来的初二年级奥数二元一次方程测试题及答案,欢迎大家阅读。
一、选择题:1、若x|2m﹣3|+(m﹣2)y=6是关于x、y的二元一次方程,则m的值是()A.1B.任何数C.2D.1或22、已知是关于x、y的方程4kx-3y=-1的一个解,则k的值为()A.1B.-1C.2D.-23、已知是二元一次方程组的解,则m﹣n的值是()A.1B.2C.3D.44、一副三角板按如图方式摆放,且∠1比∠2大50°.若设∠1=x°,∠2=y°,则可得到的方程组为()A.m=1,n=-1B.m=-1,n=1C.m=2 ,n=-2D.m=-2 ,n=25、某蔬菜公司收购到某种蔬菜140吨,准备加工上市销售.该公司的加工能力是:每天可以精加工6吨或粗加工16吨.现计划用15天完成加工任务,该公司应按排几天精加工,几天粗加工?设安排x 天精加工,y天粗加工.为解决这个问题,所列方程组正确的是()A.m>1B.m<2C.m>3D.m>56、20位同学在植树节这天共种了52棵树苗,其中男生每人种3棵,女生每人种2棵.设男生有x人,女生有y人,根据题意,列方程组正确的是()A.m=1,n=-1B.m=-1,n=1C.m=2 ,n=-2D.m=-2 ,n=27、已知关于x、y的方程是二元一次方程,则m、n的值为()A.m=1,n=-1B.m=-1,n=1C.m=2 ,n=-2D.m=-2 ,n=28、若关于,的二元一次方程组的解也是二元一次方程的解,则k的值为()A.1B.-1C.2D.-29、已知关于x,y的二元一次方程组,若x+y>3,则m的取值范围是()A.m>1B.m<2C.m>3D.m>5A.1B.-1C.2D.-210、我国古代数学名著《孙子算经》中记载了一道题,大意是:100匹马恰好拉了100片瓦,已知1匹大马能拉3片瓦,3匹小马能拉1片瓦,问有多少匹大马、多少匹小马?若设大马有x匹,小马有y匹,则可列方程组为()A.m=1,n=-1B.m=-1,n=1C.m=2 ,n=-2D.m=-2 ,n=211、已知是方程组的解,则间的关系是().A.m>1B.m<2C.m>3D.m>512、若方程组的解是,则方程组的解是()A.1B.-1C.2D.-2二、填空题:13、把方程2x=3y+7变形,用含y的代数式表示x,x= .14、若2x2a﹣b﹣1﹣3y3a+2b﹣16=10是关于x,y的二元一次方程,则a+b= .15、对于有理数x,y,定义新运算“※”:x※y=ax+by+1,a,b为常数,若3※5=15,4※7=28,则5※9= .16、若2a﹣b=5,a﹣2b=4,则a﹣b的值为 .17、由10块相同小长方形地砖拼成面积为1.6m2的长方形ABCD(如图),则长方形ABCD周长为_________.18、有两个正方形A,B,现将B放在A的内部得图甲,将A,B并列放置后构造新的正方形得图乙.若图甲和图乙中阴影部分的面积分别为1和12,则正方形A,B的面积之和为 .三、解答题:19、解方程组:x y=ax+by20、解方程组:x y=ax+by21、在方程组的解中,x,y和等于2,求代数式的平方根.22、已知二元一次方程组的解为且m+n=2,求k的值.23、对于有理数x,y,定义新运算:x y=ax+by,其中a,b 是常数,等式右边是通常的加法和乘法运算.例如,3 4=3a+4b,则若3 4=8,即可知3a+4b=8.已知1 2=1,(﹣3)3=6,求2 (﹣5)的值.24、某商场元旦期间举行优惠活动,对甲、乙两种商品实行打折出售,打折前,购买5间甲商品和1件乙商品需要84元,购买6件甲商品和3件乙商品需要108元,元旦优惠打折期间,购买50件甲商品和50件乙商品仅需960元,这比不打折前节省多少钱?25、威丽商场销售A、B两种商品,售出1件A种商品和4件B 种商品所得利润为600元;售出3件A种商品和5件B种商品所得利润为1100元.(1)求每件A种商品和每件B种商品售出后所得利润分别为多少元;(2)由于需求量大,A、B两种商品很快售完,威丽商场决定再一次购进A、B两种商品共34件,如果将这34件商品全部售完后所得利润不低于4000元,那么威丽商场至少需购进多少件A种商品?参考答案1、答案为:A2、答案为:A3、答案为:D4、答案为:D5、答案为:D6、答案为:D7、答案为:A8、答案为:B9、答案为:D10、答案为:C11、答案为:A12、答案为:C13、答案为:14、答案为:7.15、答案为:4116、答案为:3.17、答案为:5.2m18、答案为:13.19、答案为:x=8,y=-5.20、答案为:m=1 n=121、答案为:x=2,y=0.2m+1的平方根为 .22、解:由题意得②+③得代入①得k=3.23、解:根据题意可得:,则①+②得:b=1,则a=﹣1,故方程组的解为:,则原式=2a﹣5b=﹣2﹣5=﹣7.24、解:设打折前甲商品每件x元,乙商品每件y元.根据题意,得,解方程组,打折前购买50件甲商品和50件乙商品共需50×16+50×4=1000元,比不打折前节省1000﹣960=40元.答:比不打折前节省40元.25、解:(1)设每件A种商品售出后所得利润为x元,每件B种商品售出后所得利润为y元,根据题意得:答:每件A种商品和每件B种商品售出后所得利润分别为200元和100元;(2)设威丽商场需购进a件A商品,则购进B种商品(34-a)件,根据题意得:200a+100(34-a)≥4000,解得a≥6,答:威丽商场至少需购进6件A种商品.。
二元一次方程组解法练习题一.解答题(共16小题) 1.解下列方程组(1)(2)(3))(6441125为已知数a ay x ay x ⎩⎨⎧=-=+(4)(5)(6).(7)(8)⎩⎨⎧=--+=-++0)1(2)1()1(2x y x x x y y x(9)(10)⎪⎪⎩⎪⎪⎨⎧=-++=-++1213222132y x y x2.求适合的x ,y 的值.3.已知关于x ,y 的二元一次方程y=kx+b 的解有和.(1)求k ,b 的值.(2)当x=2时,y 的值. (3)当x 为何值时,y=3?1.解下列方程组(1)(2);(3);(4)(5).(6)(7)(8)(9)(10);2.在解方程组时,由于粗心,甲看错了方程组中的a ,而得解为,乙看错了方程组中的b,而得解为.(1)甲把a看成了什么,乙把b看成了什么?(2)求出原方程组的正确解.二元一次方程组解法练习题精选参考答案与试题解析一.解答题(共16小题)1.求适合的x ,y 的值.,然后在用加减消元法消去未知数解:由题意得:﹣x=∴(1)(2)(3)(4).故原方程组的解为故原方程组的解为)原方程组可化为﹣.所以原方程组的解为)原方程组可化为:,x=,x=代入②得,3×﹣﹣所以原方程组的解为,所以方程组的解为.解方程组:)原方程组化为y=所以原方程组的解为.解方程组:解:,即解得所以方程组的解为.6.已知关于x ,y的二元一次方程y=kx+b的解有和.(1)求k,b的值.(2)当x=2时,y的值.(3)当x为何值时,y=3?的二元一次方程组)依题意得:k=b=y=x+,y=.y=x+(1);(2).)原方程组可化为,∴方程组的解为;,即,∴方程组的解为.解:原方程组可化为则原方程组的解为.解:原方程变形为:y=解之得)))﹣,﹣﹣=.所以原方程组的解为)原方程组整理为,所以原方程组的解为(1)(2))原方程组可化简为解得.∴原方程组可化为解得,∴∴原方程组的解为12.解二元一次方程组: (1);(2).则方程组的解是;)此方程组通过化简可得:,则方程组的解是..在解方程组,而得解为中的b,而得解为.(1)甲把a看成了什么,乙把b看成了什么?(2)求出原方程组的正确解.)把代入方程组,得解得:.把代入方程组得,解得:.∴方程组为则原方程组的解是14.,x=y=∴原方程组的解为;.)化简整理为故原方程组的解为.)化简整理为故原方程组的解为)()∴原方程组的解为)原方程组可化为∴原方程组的解为。
二元一次方程组解法练习题一.解答题 1.解下列方程组 (1) (2)(3))(6441125为已知数a a y x ay x ⎩⎨⎧=-=+ (4)(5)(6).(7) (8)⎩⎨⎧=--+=-++0)1(2)1()1(2x y x x x y y x(9) (10)⎪⎪⎩⎪⎪⎨⎧=-++=-++1213222132y x y x2.求适合的x ,y 的值.3.已知关于x ,y 的二元一次方程y=kx+b 的解有和.(1)求k ,b 的值. (2)当x=2时,y 的值. (3)当x 为何值时,y=3?1.解下列方程组 (1)(2);(3); (4)(5).(6)(7)(8)(9)(10);2.在解方程组时,由于粗心,甲看错了方程组中的a,而得解为,乙看错了方程组中的b ,而得解为.(1)甲把a看成了什么,乙把b看成了什么?(2)求出原方程组的正确解.二元一次方程组解法练习题精选参考答案与试题解析一.解答题(共16小题)1.求适合的x,y的值.考点:解二元一次方程组.分析:先把两方程变形(去分母),得到一组新的方程,然后在用加减消元法消去未知数x,求出y的值,继而求出x的值.解答:解:由题意得:,由(1)×2得:3x﹣2y=2(3),由(2)×3得:6x+y=3(4),(3)×2得:6x﹣4y=4(5),(5)﹣(4)得:y=﹣,把y的值代入(3)得:x=,∴.点评:本题考查了二元一次方程组的解法,主要运用了加减消元法和代入法.2.解下列方程组(1)(2)(3)(4).考点:解二元一次方程组.分析:(1)(2)用代入消元法或加减消元法均可;(3)(4)应先去分母、去括号化简方程组,再进一步采用适宜的方法求解.解答:解:(1)①﹣②得,﹣x=﹣2,解得x=2,把x=2代入①得,2+y=1,解得y=﹣1.故原方程组的解为.(2)①×3﹣②×2得,﹣13y=﹣39,解得,y=3,把y=3代入①得,2x﹣3×3=﹣5,解得x=2.故原方程组的解为.(3)原方程组可化为,①+②得,6x=36,x=6,①﹣②得,8y=﹣4,y=﹣.所以原方程组的解为.(4)原方程组可化为:,①×2+②得,x=,把x=代入②得,3×﹣4y=6,y=﹣.所以原方程组的解为.点评:利用消元法解方程组,要根据未知数的系数特点选择代入法还是加减法:①相同未知数的系数相同或互为相反数时,宜用加减法;②其中一个未知数的系数为1时,宜用代入法.3.解方程组:考点:解二元一次方程组.专题:计算题.分析:先化简方程组,再进一步根据方程组的特点选用相应的方法:用加减法.解答:解:原方程组可化为,①×4﹣②×3,得7x=42,解得x=6.把x=6代入①,得y=4.所以方程组的解为.点;二元一次方程组无论多复杂,解二元一次方程组的基本思想都是消元.消元的方法有代入法和加减法.评:4.解方程组:考点:解二元一次方程组.专题:计算题.分析:把原方程组化简后,观察形式,选用合适的解法,此题用加减法求解比较简单.解答:解:(1)原方程组化为,①+②得:6x=18,∴x=3.代入①得:y=.所以原方程组的解为.点评:要注意:两个二元一次方程中同一未知数的系数相反或相等时,把这两个方程的两边相加或相减,就能消去这个未知数,得到一个一元一次方程,这种方法叫做加减消元法.本题适合用此法.5.解方程组:考点:解二元一次方程组.专题:计算题;换元法.分析:本题用加减消元法即可或运用换元法求解.解答:解:,①﹣②,得s+t=4,①+②,得s﹣t=6,即,解得.所以方程组的解为.点评:此题较简单,要熟练解方程组的基本方法:代入消元法和加减消元法.6.已知关于x,y的二元一次方程y=kx+b 的解有和.(1)求k,b的值.(2)当x=2时,y的值.(3)当x为何值时,y=3?考点:解二元一次方程组.专题:计算题.分析:(1)将两组x,y的值代入方程得出关于k、b的二元一次方程组,再运用加减消元法求出k、b的值.(2)将(1)中的k、b代入,再把x=2代入化简即可得出y 的值.(3)将(1)中的k、b和y=3代入方程化简即可得出x的值.解答:解:(1)依题意得:①﹣②得:2=4k,所以k=,所以b=.(2)由y=x+,把x=2代入,得y=.(3)由y=x+把y=3代入,得x=1.点评:本题考查的是二元一次方程的代入消元法和加减消元法,通过已知条件的代入,可得出要求的数.7.解方程组:(1);(2).考点:解二元一次方程组.分析:根据各方程组的特点选用相应的方法:(1)先去分母再用加减法,(2)先去括号,再转化为整式方程解答.解答:解:(1)原方程组可化为,①×2﹣②得:y=﹣1,将y=﹣1代入①得:x=1.∴方程组的解为;(2)原方程可化为,即,①×2+②得:17x=51,x=3,将x=3代入x﹣4y=3中得:y=0.∴方程组的解为.点评:这类题目的解题关键是理解解方程组的基本思想是消元,掌握消元的方法有:加减消元法和代入消元法.根据未知数系数的特点,选择合适的方法.8.解方程组:考点:解二元一次方程组.专题:计算题.分析:本题应把方程组化简后,观察方程的形式,选用合适的方法求解.解解:原方程组可化为,答:①+②,得10x=30,x=3,代入①,得15+3y=15,y=0.则原方程组的解为.点评:解答此题应根据各方程组的特点,有括号的去括号,有分母的去分母,然后再用代入法或加减消元法解方程组.9.解方程组:考点:解二元一次方程组.专题:计算题.分析:本题为了计算方便,可先把(2)去分母,然后运用加减消元法解本题.解答:解:原方程变形为:,两个方程相加,得4x=12,x=3.把x=3代入第一个方程,得4y=11,y=.解之得.点本题考查的是二元一次方程组的解法,方程中含有分母的要先评:化去分母,再对方程进行化简、消元,即可解出此类题目.10.解下列方程组:(1)(2)考点:解二元一次方程组.专题:计算题.分析:此题根据观察可知:(1)运用代入法,把①代入②,可得出x,y的值;(2)先将方程组化为整系数方程组,再利用加减消元法求解.解答:解:(1),由①,得x=4+y③,代入②,得4(4+y)+2y=﹣1,所以y=﹣,把y=﹣代入③,得x=4﹣=.所以原方程组的解为.(2)原方程组整理为,③×2﹣④×3,得y=﹣24,把y=﹣24代入④,得x=60,所以原方程组的解为.点评:此题考查的是对二元一次方程组的解法的运用和理解,学生可以通过题目的训练达到对知识的强化和运用.11.解方程组:(1)(2)考点:解二元一次方程组.专题:计算题;换元法.分析:方程组(1)需要先化简,再根据方程组的特点选择解法;方程组(2)采用换元法较简单,设x+y=a,x﹣y=b,然后解新方程组即可求解.解答:解:(1)原方程组可化简为,解得.(2)设x+y=a,x﹣y=b,∴原方程组可化为,解得,∴∴原方程组的解为.点此题考查了学生的计算能力,解题时要细心.评:12.解二元一次方程组:(1);(2).考点:解二元一次方程组.专题:计算题.分析:(1)运用加减消元的方法,可求出x、y的值;(2)先将方程组化简,然后运用加减消元的方法可求出x、y 的值.解答:解:(1)将①×2﹣②,得15x=30,x=2,把x=2代入第一个方程,得y=1.则方程组的解是;(2)此方程组通过化简可得:,①﹣②得:y=7,把y=7代入第一个方程,得x=5.则方程组的解是.点此题考查的是对二元一次方程组的解法的运用和理解,学生可评:以通过题目的训练达到对知识的强化和运用.13.在解方程组时,由于粗心,甲看错了方程组中的a,而得解为,乙看错了方程组中的b ,而得解为.(1)甲把a看成了什么,乙把b看成了什么?(2)求出原方程组的正确解.考点:解二元一次方程组.专题:计算题.分析:(1)把甲乙求得方程组的解分别代入原方程组即可;(2)把甲乙所求的解分别代入方程②和①,求出正确的a、b,然后用适当的方法解方程组.解答:解:(1)把代入方程组,得,解得:.把代入方程组,得,解得:.∴甲把a看成﹣5;乙把b看成6;(2)∵正确的a是﹣2,b是8,∴方程组为,解得:x=15,y=8.则原方程组的解是.点评:此题难度较大,需同学们仔细阅读,弄清题意再解答.14.考点:解二元一次方程组.分析:先将原方程组中的两个方程分别去掉分母,然后用加减消元法求解即可.解答:解:由原方程组,得,由(1)+(2),并解得x=(3),把(3)代入(1),解得y=∴原方程组的解为.点评:用加减法解二元一次方程组的一般步骤:1.方程组的两个方程中,如果同一个未知数的系数既不互为相反数又不相等,就用适当的数去乘方程的两边,使一个未知数的系数互为相反数或相等;2.把两个方程的两边分别相加或相减,消去一个未知数,得到一个一元一次方程;3.解这个一元一次方程;4.将求出的未知数的值代入原方程组的任意一个方程中,求出另一个未知数,从而得到方程组的解.15.解下列方程组:(1);(2).考点:解二元一次方程组.分析:将两个方程先化简,再选择正确的方法进行消元.解答:解:(1)化简整理为,①×3,得3x+3y=1500③,②﹣③,得x=350.把x=350代入①,得350+y=500,∴y=150.故原方程组的解为.(2)化简整理为,①×5,得10x+15y=75③,②×2,得10x﹣14y=46 ④,③﹣④,得29y=29,∴y=1.把y=1代入①,得2x+3×1=15,∴x=6.故原方程组的解为.点方程组中的方程不是最简方程的,最好先化成最简方程,再选评:择合适的方法解方程.16.解下列方程组:(1)(2)考点:解二元一次方程组.分析:观察方程组中各方程的特点,用相应的方法求解.解答:解:(1)①×2﹣②得:x=1,将x=1代入①得:2+y=4,y=2.∴原方程组的解为;(2)原方程组可化为,①×2﹣②得:﹣y=﹣3,y=3.将y=3代入①得:x=﹣2.∴原方程组的解为.。
二元一次方程组解法练习题精选一.解答题(共16小题)1.求适合的x,y的值.2.解下列方程组(1)(2)(3)(4).3.解方程组:4.解方程组:5.解方程组:6.已知关于x,y的二元一次方程y=kx+b的解有和.(1)求k,b的值.(2)当x=2时,y的值.(3)当x为何值时,y=37.解方程组:(1);(2).8.解方程组:9.解方程组:10.解下列方程组:(1)(2)11.解方程组:(1)(2)12.解二元一次方程组:(1);(2).13.在解方程组时,由于粗心,甲看错了方程组中的a ,而得解为,乙看错了方程组中的b ,而得解为.(1)甲把a看成了什么,乙把b看成了什么(2)求出原方程组的正确解.14.15.解下列方程组:(1);(2).16.解下列方程组:(1)(2)二元一次方程组解法练习题精选参考答案与试题解析一.解答题(共16小题)1.求适合的x,y的值.考点:解二元一次方程组.分析:先把两方程变形(去分母),得到一组新的方程,然后在用加减消元法消去未知数x,求出y的值,继而求出x的值.解答:解:由题意得:,由(1)×2得:3x﹣2y=2(3),由(2)×3得:6x+y=3(4),(3)×2得:6x﹣4y=4(5),(5)﹣(4)得:y=﹣,把y的值代入(3)得:x=,∴.点评:本题考查了二元一次方程组的解法,主要运用了加减消元法和代入法.2.解下列方程组(1)(2)(3)(4).考点:解二元一次方程组.分析:(1)(2)用代入消元法或加减消元法均可;(3)(4)应先去分母、去括号化简方程组,再进一步采用适宜的方法求解.解答:解:(1)①﹣②得,﹣x=﹣2,解得x=2,把x=2代入①得,2+y=1,解得y=﹣1.故原方程组的解为.(2)①×3﹣②×2得,﹣13y=﹣39,解得,y=3,把y=3代入①得,2x﹣3×3=﹣5,解得x=2.故原方程组的解为.(3)原方程组可化为,①+②得,6x=36,x=6,①﹣②得,8y=﹣4,y=﹣.所以原方程组的解为.(4)原方程组可化为:,①×2+②得,x=,把x=代入②得,3×﹣4y=6,y=﹣.所以原方程组的解为.点评:利用消元法解方程组,要根据未知数的系数特点选择代入法还是加减法:①相同未知数的系数相同或互为相反数时,宜用加减法;②其中一个未知数的系数为1时,宜用代入法.3.解方程组:考点:解二元一次方程组.专题:计算题.分析:先化简方程组,再进一步根据方程组的特点选用相应的方法:用加减法.解答:解:原方程组可化为,①×4﹣②×3,得7x=42,解得x=6.把x=6代入①,得y=4.所以方程组的解为.点评:;二元一次方程组无论多复杂,解二元一次方程组的基本思想都是消元.消元的方法有代入法和加减法.4.解方程组:考点:解二元一次方程组.专题:计算题.分析:把原方程组化简后,观察形式,选用合适的解法,此题用加减法求解比较简单.解答:解:(1)原方程组化为,①+②得:6x=18,∴x=3.代入①得:y=.所以原方程组的解为.点评:要注意:两个二元一次方程中同一未知数的系数相反或相等时,把这两个方程的两边相加或相减,就能消去这个未知数,得到一个一元一次方程,这种方法叫做加减消元法.本题适合用此法.5.解方程组:考点:解二元一次方程组.专题:计算题;换元法.分析:本题用加减消元法即可或运用换元法求解.解答:解:,①﹣②,得s+t=4,①+②,得s﹣t=6,即,解得.所以方程组的解为.点评:此题较简单,要熟练解方程组的基本方法:代入消元法和加减消元法.6.已知关于x,y的二元一次方程y=kx+b的解有和.(1)求k,b的值.(2)当x=2时,y的值.(3)当x为何值时,y=3考点:解二元一次方程组.专题:计算题.分析:(1)将两组x,y的值代入方程得出关于k、b的二元一次方程组,再运用加减消元法求出k、b 的值.(2)将(1)中的k、b代入,再把x=2代入化简即可得出y的值.(3)将(1)中的k、b和y=3代入方程化简即可得出x的值.解答:解:(1)依题意得:①﹣②得:2=4k,所以k=,所以b=.(2)由y=x+,把x=2代入,得y=.(3)由y=x+把y=3代入,得x=1.点评:本题考查的是二元一次方程的代入消元法和加减消元法,通过已知条件的代入,可得出要求的数.7.解方程组:(1);(2).考点:解二元一次方程组.分析:根据各方程组的特点选用相应的方法:(1)先去分母再用加减法,(2)先去括号,再转化为整式方程解答.解答:解:(1)原方程组可化为,①×2﹣②得:y=﹣1,将y=﹣1代入①得:x=1.∴方程组的解为;(2)原方程可化为,即,①×2+②得:17x=51,x=3,将x=3代入x﹣4y=3中得:y=0.∴方程组的解为.点评:这类题目的解题关键是理解解方程组的基本思想是消元,掌握消元的方法有:加减消元法和代入消元法.根据未知数系数的特点,选择合适的方法.8.解方程组:考点:解二元一次方程组.专题:计算题.分析:本题应把方程组化简后,观察方程的形式,选用合适的方法求解.解答:解:原方程组可化为,①+②,得10x=30,x=3,代入①,得15+3y=15,y=0.则原方程组的解为.点评:解答此题应根据各方程组的特点,有括号的去括号,有分母的去分母,然后再用代入法或加减消元法解方程组.9.解方程组:考点:解二元一次方程组.专题:计算题.分析:本题为了计算方便,可先把(2)去分母,然后运用加减消元法解本题.解答:解:原方程变形为:,两个方程相加,得4x=12,x=3.把x=3代入第一个方程,得4y=11,y=.解之得.点评:本题考查的是二元一次方程组的解法,方程中含有分母的要先化去分母,再对方程进行化简、消元,即可解出此类题目.10.解下列方程组:(1)(2)考点:解二元一次方程组.专题:计算题.分析:此题根据观察可知:(1)运用代入法,把①代入②,可得出x,y的值;(2)先将方程组化为整系数方程组,再利用加减消元法求解.解答:解:(1),由①,得x=4+y③,代入②,得4(4+y)+2y=﹣1,所以y=﹣,把y=﹣代入③,得x=4﹣=.所以原方程组的解为.(2)原方程组整理为,③×2﹣④×3,得y=﹣24,把y=﹣24代入④,得x=60,所以原方程组的解为.点评:此题考查的是对二元一次方程组的解法的运用和理解,学生可以通过题目的训练达到对知识的强化和运用.11.解方程组:(1)(2)考点:解二元一次方程组.专题:计算题;换元法.分析:方程组(1)需要先化简,再根据方程组的特点选择解法;方程组(2)采用换元法较简单,设x+y=a,x﹣y=b,然后解新方程组即可求解.解答:解:(1)原方程组可化简为,解得.(2)设x+y=a,x﹣y=b,∴原方程组可化为,解得,∴∴原方程组的解为.点评:此题考查了学生的计算能力,解题时要细心.12.解二元一次方程组:(1);(2).考点:解二元一次方程组.专题:计算题.分析:(1)运用加减消元的方法,可求出x、y的值;(2)先将方程组化简,然后运用加减消元的方法可求出x、y的值.解答:解:(1)将①×2﹣②,得15x=30,x=2,把x=2代入第一个方程,得y=1.则方程组的解是;(2)此方程组通过化简可得:,①﹣②得:y=7,把y=7代入第一个方程,得x=5.则方程组的解是.点评:此题考查的是对二元一次方程组的解法的运用和理解,学生可以通过题目的训练达到对知识的强化和运用.13.在解方程组时,由于粗心,甲看错了方程组中的a,而得解为,乙看错了方程组中的b,而得解为.(1)甲把a看成了什么,乙把b看成了什么(2)求出原方程组的正确解.考点:解二元一次方程组.专题:计算题.分析:(1)把甲乙求得方程组的解分别代入原方程组即可;(2)把甲乙所求的解分别代入方程②和①,求出正确的a、b,然后用适当的方法解方程组.解答:解:(1)把代入方程组,得,解得:.把代入方程组,得,解得:.∴甲把a看成﹣5;乙把b看成6;(2)∵正确的a是﹣2,b是8,∴方程组为,解得:x=15,y=8.则原方程组的解是.点评:此题难度较大,需同学们仔细阅读,弄清题意再解答.14.考点:解二元一次方程组.分析:先将原方程组中的两个方程分别去掉分母,然后用加减消元法求解即可.解答:解:由原方程组,得,由(1)+(2),并解得x=(3),把(3)代入(1),解得y=∴原方程组的解为.点评:用加减法解二元一次方程组的一般步骤:1.方程组的两个方程中,如果同一个未知数的系数既不互为相反数又不相等,就用适当的数去乘方程的两边,使一个未知数的系数互为相反数或相等;2.把两个方程的两边分别相加或相减,消去一个未知数,得到一个一元一次方程;3.解这个一元一次方程;4.将求出的未知数的值代入原方程组的任意一个方程中,求出另一个未知数,从而得到方程组的解.15.解下列方程组:(1);(2).考点:解二元一次方程组.分析:将两个方程先化简,再选择正确的方法进行消元.解答:解:(1)化简整理为,①×3,得3x+3y=1500③,②﹣③,得x=350.把x=350代入①,得350+y=500,∴y=150.故原方程组的解为.(2)化简整理为,①×5,得10x+15y=75③,②×2,得10x﹣14y=46④,③﹣④,得29y=29,∴y=1.把y=1代入①,得2x+3×1=15,∴x=6.故原方程组的解为.点评:方程组中的方程不是最简方程的,最好先化成最简方程,再选择合适的方法解方程.16.解下列方程组:(1)(2)考点:解二元一次方程组.分析:观察方程组中各方程的特点,用相应的方法求解.解答:解:(1)①×2﹣②得:x=1,将x=1代入①得:2+y=4,y=2.∴原方程组的解为;(2)原方程组可化为,①×2﹣②得:﹣y=﹣3,y=3.将y=3代入①得:x=﹣2.∴原方程组的解为.点评:解此类题目要注意观察方程组中各方程的特点,采用加减法或代入法求解.。
二元一次方程组解法练习题精选(含答案)一.解答题(共16小题)1.求适合的x,y的值.2.解下列方程组(1)(2)(3)(4).3.解方程组:4.解方程组:5.解方程组:6.已知关于x,y的二元一次方程y=kx+b的解有和.(1)求k,b的值.(2)当x=2时,y的值.(3)当x为何值时,y=3?7.解方程组:(1);(2).8.解方程组:9.解方程组:10.解下列方程组:(1)(2)11.解方程组:(1)(2)12.解二元一次方程组:(1);(2).13.在解方程组时,由于粗心,甲看错了方程组中的a,而得解为,乙看错了方程组中的b,而得解为.(1)甲把a看成了什么,乙把b看成了什么?(2)求出原方程组的正确解.14.15.解下列方程组:(1);(2).16.解下列方程组:(1)(2)二元一次方程组解法练习题精选(含答案)参考答案与试题解析一.解答题(共16小题)1.求适合的x,y的值.,然后在用加减消元法消去未知数,,∴2.解下列方程组(1)(2)(3)(4).故原方程组的解为故原方程组的解为)原方程组可化为.所以原方程组的解为,x=代入②×﹣.所以原方程组的解为3.解方程组:解:原方程组可化为所以方程组的解为4.解方程组:)原方程组化为,y=.所以原方程组的解为5.解方程组:,.所以方程组的解为6.已知关于x,y的二元一次方程y=kx+b的解有和.(1)求k,b的值.(2)当x=2时,y的值.(3)当x为何值时,y=3?的二元一次方程组)依题意得:,.y=x+y=y=x+7.解方程组:(1);(2).)原方程组可化为,方程组的解为;)原方程可化为方程组的解为.8.解方程组:解:原方程组可化为则原方程组的解为9.解方程组:解:原方程变形为:10.解下列方程组:(1)(2))﹣代入③﹣=所以原方程组的解为)原方程组整理为所以原方程组的解为11.解方程组:(1)(2),原方程组可化为,,∴原方程组的解为.12.解二元一次方程组:(1);(2).;)此方程组通过化简可得:.13.在解方程组时,由于粗心,甲看错了方程组中的a,而得解为,乙看错了方程组中的b,而得解为.(1)甲把a看成了什么,乙把b看成了什么?(2)求出原方程组的正确解.)把代入方程组.代入方程组.方程组为则原方程组的解是14.原方程组的解为15.解下列方程组:(1);(2).)化简整理为故原方程组的解为)化简整理为故原方程组的解为16.解下列方程组:(1)(2)原方程组的解为;)原方程组可化为原方程组的解为.。
二元一次方程组解法练习题一.解答题(共16小题) 1.解下列方程组(1) (2)(3))(6441125为已知数a a y x ay x ⎩⎨⎧=-=+(4)(5)(6).(7)(8)⎩⎨⎧=--+=-++0)1(2)1()1(2x y x x x y y x(9) (10) ⎪⎪⎩⎪⎪⎨⎧=-++=-++1213222132y x y x2.求适合的x ,y 的值.3.已知关于x ,y 的二元一次方程y=kx+b 的解有和. (1)求k ,b 的值.(2)当x=2时,y的值.(3)当x为何值时,y=3?1.解下列方程组(1)(2);(3);(4)(5).(6)(7)(8)(9)(10);2.在解方程组时,由于粗心,甲看错了方程组中的a,而得解为,乙看错了方程组中的b,而得解为.(1)甲把a看成了什么,乙把b看成了什么?(2)求出原方程组的正确解.二元一次方程组解法练习题精选参考答案与试题解析一.解答题(共16小题) 1.求适合的x ,y 的值.2.解下列方程组 (1)(2)(3)(4).3.解方程组:7.解方程组:(1);(2).8.解方程组:9.解方程组:10.解下列方程组:(1)(2)11.解方程组:(1)(2)12.解二元一次方程组:(1);(2).13.在解方程组时,由于粗心,甲看错了方程组中的a,而得解为,乙看错了方程组中的b,而得解为.(1)甲把a看成了什么,乙把b看成了什么?(2)求出原方程组的正确解.14.15.解下列方程组:(1);16.解下列方程组:(1)(2)。
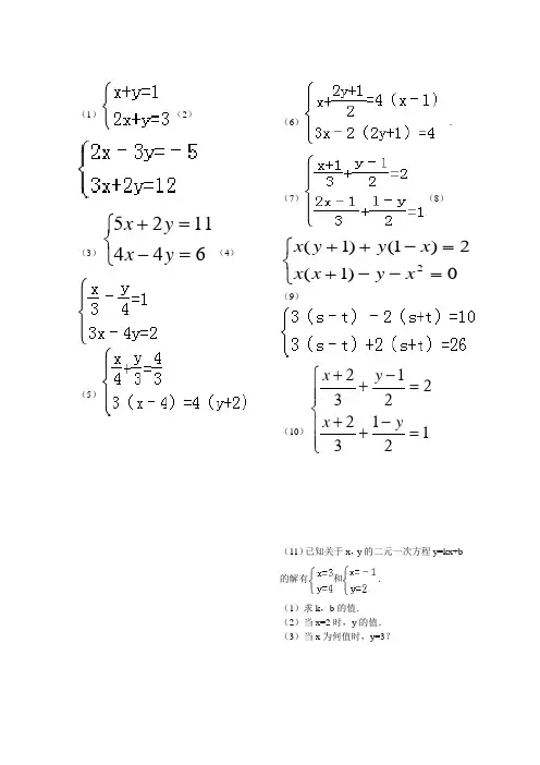
(1)(2)(3)⎩⎨⎧=-=+6441125y x y x (4)(5)(6).(7)(8)⎩⎨⎧=--+=-++0)1(2)1()1(2x y x x x y y x (9)(10)⎪⎪⎩⎪⎪⎨⎧=-++=-++1213222132y x y x(11)已知关于x ,y 的二元一次方程y=kx+b 的解有和.(1)求k ,b 的值.(2)当x=2时,y 的值. (3)当x 为何值时,y=3?(1)(2);(3);(4)(5).(6)(7)(8)(9)(10);(11).在解方程组时,由于粗心,甲看错了方程组中的a,而得解为,乙看错了方程组中的b,而得解为.(1)甲把a看成了什么,乙把b看成了什么?(2)求出原方程组的正确解..求适合得到一组新的方程,,x=本题考查了二元一次方程组的解法,主要运用了加减消元法和代入法.()故原方程组的解为(2)①×解得,y=3把y=3代入故原方程组的解为)原方程组可化为,.所以原方程组的解为,x=,代入×﹣.所以原方程组的解为3.解方程组: 先化简方程组,再进一步根据方程组的特点选用相应的方法:用加减法.:原方程组可化为所以方程组的解为.4.解方程组:)原方程组化为,.所以原方程组的解为两个二元一次方程中同一未知数的系数相反或相等时,就能消去这个未知数,得到一个一元一次方程,这种方法叫做加减消元法.本题适合用此法.5.解方程组:解:,.所以方程组的解为的解有和. (1)求k ,b 的值.(2)当x=2时,y 的值.)依题意得:k=,b=.y=x+y=y=x+本题考查的是二元一次方程的代入消元法和加减消元法,通过已知条件的代入,可得出要求的数.;.2)先去括号,再转化为整式)原方程组可化为,;)原方程可化为.解方程组:解:原方程组可化为则原方程组的解为.解方程组:解:原方程变形为:..方程中含有分母的要先化去分母,10.解下列方程组:(1)的值;)先将方程组化为整系数方程组,再利用加减消元法求解.)﹣=所以原方程组的解为)原方程组整理为,所以原方程组的解为此题考查的是对二元一次方程组的解法的运用和理解,学生可以通过题目的训练达到对知识的强)(2))原方程组可化简为,解得.∴原方程组可化为,∴原方程组的解为)))先将方程组化简,然后运用加减消元的方法可求出x 、y 的值.;)此方程组通过化简可得:,.学生可以通过题目的训练达到对知识的强13.在解方程组时,由于粗心,甲看错了方程组中的a ,而得解为,,而得解为)把甲乙求得方程组的解分别代入原方程组即可;)把代入方程组得,解得:.代入方程组.∴方程组为则原方程组的解是.此题难度较大,需同学们仔细阅读,弄清题意再解答.14.x=(∴原方程组的解为;.)化简整理为故原方程组的解为)化简整理为故原方程组的解为)(∴原方程组的解为)原方程组可化为,∴原方程组的解为。
二元一次方程组解法练习题精选一.解答题(共16小题)1.求适合的x,y的值.2.解下列方程组(1)(2)(3)(4).3.解方程组:4.解方程组:5.解方程组:6.已知关于x,y的二元一次方程y=kx+b 的解有和.(1)求k,b的值.(2)当x=2时,y的值.(3)当x为何值时,y=3?7.解方程组:(1);(2).8.解方程组:9.解方程组:10.解下列方程组:(1)(2)11.解方程组:(1)(2)12.解二元一次方程组:(1);(2).13.在解方程组时,由于粗心,甲看错了方程组中的a ,而得解为,乙看错了方程组中的b,而得解为.(1)甲把a看成了什么,乙把b看成了什么?(2)求出原方程组的正确解.14.15.解下列方程组:(1)(2).16.解下列方程组:(1)(2)参考答案一、1,B ;2,B ;3,C ;4,D ;5,B ;6,C ;7,B ;8,C ;9,C ;10,D 。
二、11,ax 2+bx +c 、≠0、常数;12,x =1;13,y =2x 2+1;14,答案不唯一。
如:y =x 2+2x ; 15,C >4的任何整数数;16,112;17,二;18,x =3、1<x <5。
三、19,43;20,(1)设这个抛物线的解析式为c bx ax y ++=2由已知,抛物线过)0,2(-A ,B(1,0),C (2,8)三点,得⎪⎩⎪⎨⎧=++=++=+-8240024c b a c b a c b a 解这个方程组,得4,2,2-===c b a ∴ 所求抛物线的解析式为y =2x 2+2x -4.(2)y =2x 2+2x -4=2(x 2+x -2)=2(x +12)2-92;∴ 该抛物线的顶点坐标为)29,21(--. 21,(1)y =-x 2+4x =-(x 2-4x +4-4)=-(x -2)2+4,所以对称轴为:x =2,顶点坐标:(2,4).(2)y =0,-x 2+4x =0,即x (x -4)=0,所以x 1=0,x 2=4,所以图象与x 轴的交点坐标为:(0,0)与(4,0).22,(1)因为AD =EF =BC =x m ,所以AB =18-3x .所以水池的总容积为 1.5x (18-3x )=36,即x 2-6x +8=0,解得x 1=2,x 2=4,所以x 应为2或4.(2)由(1)可知V 与x 的函数关系式为V =1.5x (18-3x )=-4.5x 2+27x ,且x 的取值范围是:0<x <6.(3)V =-4。
二元一次方程组解法练习题一.解答题(共16小题) 1.解下列方程组 (1)(2)(3))(6441125为已知数a ay x ay x ⎩⎨⎧=-=+(4)(5)(6).(7)(8)⎩⎨⎧=--+=-++0)1(2)1()1(2x y x x x y y x(9)(10)⎪⎪⎩⎪⎪⎨⎧=-++=-++1213222132y x y x2.求适合的x ,y 的值.3.已知关于x ,y 的二元一次方程y=kx+b 的解有和.(1)求k ,b 的值.(2)当x=2时,y 的值. (3)当x 为何值时,y=3?1.解下列方程组(1)(2);(3);(4)(5).(6)(7)(8)(9)(10);2.在解方程组时,由于粗心,甲看错了方程组中的a,而得解为,乙看错了方程组中的b,而得解为.(1)甲把a看成了什么,乙把b看成了什么?(2)求出原方程组的正确解.二元一次方程组解法练习题精选参考答案与试题解析一.解答题(共16小题) 1.求适合的x ,y 的值.,得到一组新的方程解:由题意得:﹣x=∴(1)(2)(3)(4).故原方程组的解为故原方程组的解为)原方程组可化为﹣.所以原方程组的解为,x=x=代入②得,3×﹣.所以原方程组的解为.解方程组:,所以方程组的解为.解方程组:所以原方程组的解为.解方程组:解:,即解得所以方程组的解为.6.已知关于x ,y的二元一次方程y=kx+b的解有和.(1)求k,b的值.(2)当x=2时,y的值.(3)当x为何值时,y=3?的二元一次方程组,.y=x+,.x+(1);(2).)原方程组可化为∴方程组的解为;)原方程可化为即,∴方程组的解为..解方程组:解:原方程组可化为则原方程组的解为..解方程组:解:原方程变形为:.解之得)))﹣﹣代入③,得﹣=所以原方程组的解为所以原方程组的解为(1)(2))原方程组可化简为解得.∴原方程组可化为解得,∴∴原方程组的解为12.解二元一次方程组: (1);(2).则方程组的解是;则方程组的解是..在解方程组,而得解为,乙看错了方程组中的b,而得解为.(1)甲把a看成了什么,乙把b看成了什么?(2)求出原方程组的正确解.代入方程组得解得:.把代入方程组得,解得:.∴甲把a看成﹣5;乙把∴方程组为则原方程组的解是14.,x=∴原方程组的解为)),故原方程组的解为.,故原方程组的解为))∴原方程组的解为)原方程组可化为∴原方程组的解为。
二元一次方程组解法练习题精选(含答案)一.解答题(共16小题)1.求适合的x,y的值.2.解下列方程组(1)(2)(3)(4).3.解方程组:4.解方程组:5.解方程组:6.已知关于x,y的二元一次方程y=kx+b的解有和.(1)求k,b的值.(2)当x=2时,y的值.(3)当x为何值时,y=3?7.解方程组:(1);(2).8.解方程组:9.解方程组:10.解下列方程组:(1)(2)11.解方程组:(1)(2)12.解二元一次方程组:(1);(2).13.在解方程组时,由于粗心,甲看错了方程组中的a,而得解为,乙看错了方程组中的b,而得解为.(1)甲把a看成了什么,乙把b看成了什么?(2)求出原方程组的正确解.14.15.解下列方程组:(1);(2).16.解下列方程组:(1)(2)二元一次方程组解法练习题精选(含答案)参考答案与试题解析一.解答题(共16小题)1.求适合的x,y的值.考点:解二元一次方程组.分析:先把两方程变形(去分母),得到一组新的方程,然后在用加减消元法消去未知数x,求出y的值,继而求出x的值.解答:解:由题意得:,由(1)×2得:3x﹣2y=2(3),由(2)×3得:6x+y=3(4),(3)×2得:6x﹣4y=4(5),(5)﹣(4)得:y=﹣,把y的值代入(3)得:x=,∴.点评:本题考查了二元一次方程组的解法,主要运用了加减消元法和代入法.2.解下列方程组(1)(2)(3)(4).考点:解二元一次方程组.分析:(1)(2)用代入消元法或加减消元法均可;(3)(4)应先去分母、去括号化简方程组,再进一步采用适宜的方法求解.解答:解:(1)①﹣②得,﹣x=﹣2,解得x=2,把x=2代入①得,2+y=1,解得y=﹣1.故原方程组的解为.(2)①×3﹣②×2得,﹣13y=﹣39,解得,y=3,把y=3代入①得,2x﹣3×3=﹣5,解得x=2.故原方程组的解为.(3)原方程组可化为,①+②得,6x=36,x=6,①﹣②得,8y=﹣4,y=﹣.所以原方程组的解为.(4)原方程组可化为:,①×2+②得,x=,把x=代入②得,3×﹣4y=6,y=﹣.所以原方程组的解为.点评:利用消元法解方程组,要根据未知数的系数特点选择代入法还是加减法:①相同未知数的系数相同或互为相反数时,宜用加减法;②其中一个未知数的系数为1时,宜用代入法.3.解方程组:考点:解二元一次方程组.专题:计算题.分析:先化简方程组,再进一步根据方程组的特点选用相应的方法:用加减法.解答:解:原方程组可化为,①×4﹣②×3,得7x=42,解得x=6.把x=6代入①,得y=4.所以方程组的解为.点评:注意:二元一次方程组无论多复杂,解二元一次方程组的基本思想都是消元.消元的方法有代入法和加减法.4.解方程组:考点:解二元一次方程组.专题:计算题.分析:把原方程组化简后,观察形式,选用合适的解法,此题用加减法求解比较简单.解答:解:(1)原方程组化为,①+②得:6x=18,∴x=3.代入①得:y=.所以原方程组的解为.点评:要注意:两个二元一次方程中同一未知数的系数相反或相等时,把这两个方程的两边相加或相减,就能消去这个未知数,得到一个一元一次方程,这种方法叫做加减消元法.本题适合用此法.5.解方程组:考点:解二元一次方程组.专题:计算题;换元法.分析:本题用加减消元法即可或运用换元法求解.解答:解:,①﹣②,得s+t=4,①+②,得s﹣t=6,即,解得.所以方程组的解为.点评:此题较简单,要熟练解方程组的基本方法:代入消元法和加减消元法.6.已知关于x,y的二元一次方程y=kx+b的解有和.(1)求k,b的值.(2)当x=2时,y的值.(3)当x为何值时,y=3?考点:解二元一次方程组.专题:计算题.分析:(1)将两组x,y的值代入方程得出关于k、b的二元一次方程组,再运用加减消元法求出k、b 的值.(2)将(1)中的k、b代入,再把x=2代入化简即可得出y的值.(3)将(1)中的k、b和y=3代入方程化简即可得出x的值.解答:解:(1)依题意得:①﹣②得:2=4k,所以k=,所以b=.(2)由y=x+,把x=2代入,得y=.(3)由y=x+把y=3代入,得x=1.点评:本题考查的是二元一次方程的代入消元法和加减消元法,通过已知条件的代入,可得出要求的数.7.解方程组:(1);(2).考点:解二元一次方程组.分析:根据各方程组的特点选用相应的方法:(1)先去分母再用加减法,(2)先去括号,再转化为整式方程解答.解答:解:(1)原方程组可化为,①×2﹣②得:y=﹣1,将y=﹣1代入①得:x=1.∴方程组的解为;(2)原方程可化为,即,①×2+②得:17x=51,x=3,将x=3代入x﹣4y=3中得:y=0.∴方程组的解为.点评:这类题目的解题关键是理解解方程组的基本思想是消元,掌握消元的方法有:加减消元法和代入消元法.根据未知数系数的特点,选择合适的方法.8.解方程组:考点:解二元一次方程组.专题:计算题.分析:本题应把方程组化简后,观察方程的形式,选用合适的方法求解.解答:解:原方程组可化为,①+②,得10x=30,x=3,代入①,得15+3y=15,y=0.则原方程组的解为.点评:解答此题应根据各方程组的特点,有括号的去括号,有分母的去分母,然后再用代入法或加减消元法解方程组.9.解方程组:考点:解二元一次方程组.专题:计算题.分析:本题为了计算方便,可先把(2)去分母,然后运用加减消元法解本题.解答:解:原方程变形为:,两个方程相加,得4x=12,x=3.把x=3代入第一个方程,得4y=11,y=.解之得.点评:本题考查的是二元一次方程组的解法,方程中含有分母的要先化去分母,再对方程进行化简、消元,即可解出此类题目.10.解下列方程组:(1)(2)考点:解二元一次方程组.专题:计算题.分析:此题根据观察可知:(1)运用代入法,把①代入②,可得出x,y的值;(2)先将方程组化为整系数方程组,再利用加减消元法求解.解答:解:(1),由①,得x=4+y③,代入②,得4(4+y)+2y=﹣1,所以y=﹣,把y=﹣代入③,得x=4﹣=.所以原方程组的解为.(2)原方程组整理为,③×2﹣④×3,得y=﹣24,把y=﹣24代入④,得x=60,所以原方程组的解为.点评:此题考查的是对二元一次方程组的解法的运用和理解,学生可以通过题目的训练达到对知识的强化和运用.11.解方程组:(1)(2)考点:解二元一次方程组.专题:计算题;换元法.分析:方程组(1)需要先化简,再根据方程组的特点选择解法;方程组(2)采用换元法较简单,设x+y=a,x﹣y=b,然后解新方程组即可求解.解答:解:(1)原方程组可化简为,解得.(2)设x+y=a,x﹣y=b,∴原方程组可化为,解得,∴∴原方程组的解为.点评:此题考查了学生的计算能力,解题时要细心.12.解二元一次方程组:(1);(2).考点:解二元一次方程组.专题:计算题.分析:(1)运用加减消元的方法,可求出x、y的值;(2)先将方程组化简,然后运用加减消元的方法可求出x、y的值.解答:解:(1)将①×2﹣②,得15x=30,x=2,把x=2代入第一个方程,得y=1.则方程组的解是;(2)此方程组通过化简可得:,①﹣②得:y=7,把y=7代入第一个方程,得x=5.则方程组的解是.点评:此题考查的是对二元一次方程组的解法的运用和理解,学生可以通过题目的训练达到对知识的强化和运用.13.在解方程组时,由于粗心,甲看错了方程组中的a,而得解为,乙看错了方程组中的b,而得解为.(1)甲把a看成了什么,乙把b看成了什么?(2)求出原方程组的正确解.考点:解二元一次方程组.专题:计算题.分析:(1)把甲乙求得方程组的解分别代入原方程组即可;(2)把甲乙所求的解分别代入方程②和①,求出正确的a、b,然后用适当的方法解方程组.解答:解:(1)把代入方程组,得,解得:.把代入方程组,得,解得:.∴甲把a看成﹣5;乙把b看成6;(2)∵正确的a是﹣2,b是8,∴方程组为,解得:x=15,y=8.则原方程组的解是.点评:此题难度较大,需同学们仔细阅读,弄清题意再解答.14.考点:解二元一次方程组.分析:先将原方程组中的两个方程分别去掉分母,然后用加减消元法求解即可.解答:解:由原方程组,得,由(1)+(2),并解得x=(3),把(3)代入(1),解得y=,∴原方程组的解为.点评:用加减法解二元一次方程组的一般步骤:1.方程组的两个方程中,如果同一个未知数的系数既不互为相反数又不相等,就用适当的数去乘方程的两边,使一个未知数的系数互为相反数或相等;2.把两个方程的两边分别相加或相减,消去一个未知数,得到一个一元一次方程;3.解这个一元一次方程;4.将求出的未知数的值代入原方程组的任意一个方程中,求出另一个未知数,从而得到方程组的解.15.解下列方程组:(1);(2).考点:解二元一次方程组.分析:将两个方程先化简,再选择正确的方法进行消元.解答:解:(1)化简整理为,①×3,得3x+3y=1500③,②﹣③,得x=350.把x=350代入①,得350+y=500,∴y=150.故原方程组的解为.(2)化简整理为,①×5,得10x+15y=75③,②×2,得10x﹣14y=46④,③﹣④,得29y=29,∴y=1.把y=1代入①,得2x+3×1=15,∴x=6.故原方程组的解为.点评:方程组中的方程不是最简方程的,最好先化成最简方程,再选择合适的方法解方程.16.解下列方程组:(1)(2)考点:解二元一次方程组.分析:观察方程组中各方程的特点,用相应的方法求解.解答:解:(1)①×2﹣②得:x=1,将x=1代入①得:2+y=4,y=2.∴原方程组的解为;(2)原方程组可化为,①×2﹣②得:﹣y=﹣3,y=3.将y=3代入①得:x=﹣2.∴原方程组的解为.点评:解此类题目要注意观察方程组中各方程的特点,采用加减法或代入法求解.。
二元一次方程组解法练习题一.解答题(共16小题) 1.解下列方程组 (1)(2)(3))(6441125为已知数a a y x ay x ⎩⎨⎧=-=+ (4)(5)(6).(7)(8)⎩⎨⎧=--+=-++0)1(2)1()1(2x y x x x y y x(9)(10) ⎪⎪⎩⎪⎪⎨⎧=-++=-++1213222132y x y x 11)(12);(13); (14)15). (16)(17)(18)(19)(20)2.求适合的x ,y 的值.3.已知关于x ,y 的二元一次方程y=kx+b 的解有和.(1)求k ,b 的值.(2)当x=2时,y 的值. (3)当x 为何值时,y=3?1.解下列方程组(1)(2);(3);(4)(5).(6)(7)(8)(9)(10);2.在解方程组时,由于粗心,甲看错了方程组中的a ,而得解为,乙看错了方程组中的b ,而得解为.(1)甲把a看成了什么,乙把b看成了什么?(2)求出原方程组的正确解.二元一次方程组解法练习题精选参考答案与试题解析一.解答题(共16小题) 1.求适合的x ,y 的值.得到一组新的方程解:由题意得:,∴.2.解下列方程组 (1)(2)(3)(4).故原方程组的解为.故原方程组的解为.)原方程组可化为.所以原方程组的解为)原方程组可化为:,x=代入②×所以原方程组的解为3.解方程组::原方程组可化为,所以方程组的解为4.解方程组:)原方程组化为y=所以原方程组的解为5.解方程组:解:即解得所以方程组的解为.6.已知关于x,y的二元一次方程y=kx+b的解有和.(1)求k,b的值.(2)当x=2时,y的值.(3)当x为何值时,y=3?的二元一次方程组,再运用加减消元)依题意得:,.y=,.y=x+7.解方程组: (1);(2).)原方程组可化为方程组的解为,即方程组的解为8.解方程组:解:原方程组可化为则原方程组的解为.9.解方程组:解:原方程变形为:y=解之得10.解下列方程组: (1)(2),,代入③=.所以原方程组的解为)原方程组整理为所以原方程组的解为11.解方程组:(1)(2),解得原方程组可化为解得∴原方程组的解为12.解二元一次方程组: (1);(2).则方程组的解是)此方程组通过化简可得:则方程组的解是13.在解方程组时,由于粗心,甲看错了方程组中的a,而得解为,乙看错了方程组中的b,而得解为.(1)甲把a看成了什么,乙把b看成了什么?(2)求出原方程组的正确解.)把,得解得:把,得解得:方程组为,则原方程组的解是.14.,x=y=原方程组的解为15.解下列方程组:(1);(2).)化简整理为故原方程组的解为.,故原方程组的解为.16.解下列方程组:(1)(2)原方程组的解为)原方程组可化为原方程组的解为。
二元一次方程组典型例题【例1】 已知方程组的解x ,y 满足方程5x —y=3,求k 的值.【思考与分析】 本题有三种解法,前两种为一般解法,后一种为巧解法.(1) 由已知方程组消去k ,得x 与y 的关系式,再与5x-y=3联立组成方程组求出x ,y 的值,最后将x ,y 的值代入方程组中任一方程即可求出k 的值.(2) 把k 当做已知数,解方程组,再根据5x-y=3建立关于k 的方程,便可求出k 的值。
(3) 将方程组中的两个方程相加,得5x —y=2k+11,又知5x-y=3,所以整体代入即可求出k 的值.把代入①,得,解得 k=-4。
解法二: ①×3-②×2,得 17y=k —22,解法三: ①+②,得 5x —y=2k+11. 又由5x-y=3,得 2k+11=3,解得 k=—4。
【小结】 解题时我们要以一般解法为主,特殊方法虽然巧妙,但是不容易想到,有思考巧妙解法的时间,可能这道题我们已经用一般解法解了一半了,当然,巧妙解法很容易想到的话,那就应该用巧妙解二元一次方程组能力提升讲义知识提要1. 二元一次方程组⎩⎨⎧=+=+222111c y b x a c y b x a 的解的情况有以下三种:① 当212121c c b b a a ==时,方程组有无数多解.(∵两个方程等效) ② 当212121c c b b a a ≠=时,方程组无解。
(∵两个方程是矛盾的) ③ 当2121b b a a ≠(即a 1b 2-a 2b 1≠0)时,方程组有唯一的解: ⎪⎪⎩⎪⎪⎨⎧--=--=1221211212211221b a b a a c a c y b a b a b c b c x (这个解可用加减消元法求得)2. 方程的个数少于未知数的个数时,一般是不定解,即有无数多解,若要求整数解,可按二元一次方程整数解的求法进行。
3. 求方程组中的待定系数的取值,一般是求出方程组的解(把待定系数当己知数),再解含待定系数的不等式或加以讨论.(见例2、3)例题例1。
二元一次方程组解法练习题精选一.解答题(共16小题)1.求适合的x,y的值.2.解下列方程组(1)(2)(3)(4).3.解方程组:4.解方程组:5.解方程组:6.已知关于x,y的二元一次方程y=kx+b 的解有和.(1)求k,b的值.(2)当x=2时,y的值.(3)当x为何值时,y=3?7.解方程组:(1);(2).8.解方程组:9.解方程组:10.解下列方程组:(1)(2)11.解方程组:(1)(2)12.解二元一次方程组:(1);(2).13.在解方程组时,由于粗心,甲看错了方程组中的a ,而得解为,乙看错了方程组中的b ,而得解为.(1)甲把a看成了什么,乙把b看成了什么?(2)求出原方程组的正确解.14.15.解下列方程组:(1)(2).16.解下列方程组:(1)(2)参考答案一、1,B ;2,B ;3,C ;4,D ;5,B ;6,C ;7,B ;8,C ;9,C ;10,D .二、11,ax 2+bx +c 、≠0、常数;12,x =1;13,y =2x 2+1;14,答案不唯一.如:y =x 2+2x ; 15,C >4的任何整数数;16,112;17,二;18,x =3、1<x <5. 三、19,43;20,(1)设这个抛物线的解析式为c bx ax y ++=2由已知,抛物线过)0,2(-A ,B (1,0),C (2,8)三点,得⎪⎩⎪⎨⎧=++=++=+-8240024c b a c b a c b a 解这个方程组,得4,2,2-===c b a ∴ 所求抛物线的解析式为y =2x 2+2x -4.(2)y =2x 2+2x -4=2(x 2+x -2)=2(x +12)2-92;∴ 该抛物线的顶点坐标为)29,21(--. 21,(1)y =-x 2+4x =-(x 2-4x +4-4)=-(x -2)2+4,所以对称轴为:x =2,顶点坐标:(2,4).(2)y =0,-x 2+4x =0,即x (x -4)=0,所以x 1=0,x 2=4,所以图象与x 轴的交点坐标为:(0,0)与(4,0).22,(1)因为AD =EF =BC =x m ,所以AB =18-3x .所以水池的总容积为1.5x (18-3x )=36,即x 2-6x +8=0,解得x 1=2,x 2=4,所以x 应为2或4.(2)由(1)可知V 与x 的函数关系式为V =1.5x (18-3x )=-4.5x 2+27x ,且x 的取值范围是:0<x <6.(3)V =-4.5x 2+27x =-92(x -3)2+812.所以当x =3时,V 有最大值812.即若使水池有总容积最大,x 应为3,最大容积为40.5m 3.23,答案:①由题意得y 与x 之间的函数关系式30y x =+(1160x ≤≤,且x 整数)②由题意得P 与x 之间的函数关系式二元一次方程组解法练习题精选(含答案)参考答案与试题解析一.解答题(共16小题) 1.求适合的x ,y 的值.析:解:由题意得:,,∴2.解下列方程组 (1)(2)(3)(4).故原方程组的解为故原方程组的解为)原方程组可化为,.所以原方程组的解为)原方程组可化为:,x=×.所以原方程组的解为3.解方程组::原方程组可化为所以方程组的解为4.解方程组:)原方程组化为y=.所以原方程组的解为5.解方程组::,解得所以方程组的解为6.已知关于x,y的二元一次方程y=kx+b的解有和.(1)求k,b的值.(2)当x=2时,y的值.(3)当x为何值时,y=3?二元一次方程组)依题意得:,.y=x+y=y=x+7.解方程组:(1);(2).)原方程组可化为,∴方程组的解为;)原方程可化为即∴方程组的解为8.解方程组::原方程组可化为,则原方程组的解为9.解方程组::原方程变形为:,y=解之得10.解下列方程组:(1)(2))﹣代入﹣=所以原方程组的解为)原方程组整理为,所以原方程组的解为.11.解方程组:(1)(2)解得∴原方程组可化为解得∴∴原方程组的解为12.解二元一次方程组:(1);(2).则方程组的解是;)此方程组通过化简可得:则方程组的解是.13.在解方程组时,由于粗心,甲看错了方程组中的a ,而得解为,乙看错了方程组中的b ,而得解为.(1)甲把a看成了什么,乙把b看成了什么?(2)求出原方程组的正确解.代入方程组,解得:代入方程组,解得:∴方程组为,则原方程组的解是14.答:x=y=∴原方程组的解为15.解下列方程组:(1);(2).)化简整理为故原方程组的解为)化简整理为故原方程组的解为16.解下列方程组:(1)(2)∴原方程组的解为)原方程组可化为,∴原方程组的解为。
(1)(2)(3)⎩⎨⎧=-=+6441125y x y x (4)(5)(6).(7)(8)⎩⎨⎧=--+=-++0)1(2)1()1(2x y x x x y y x (9)(10)⎪⎪⎩⎪⎪⎨⎧=-++=-++1213222132y x y x(11)已知关于x ,y 的二元一次方程y=kx+b 的解有和.(1)求k ,b 的值. (2)当x=2时,y 的值. (3)当x 为何值时,y=3(1)(2);(3);(4)(5).(6)(7)(8)(9)(10);(11).在解方程组时,由于粗心,甲看错了方程组中的a ,而得解为,乙看错了方程组中的b,而得解为.(1)甲把a 看成了什么,乙把b 看成了什么(2)求出原方程组的正确解.二元一次方程组解法练习题精选参考答案与试卷解读一.解答题(共16小题) 1.求适合的x ,y 的值.考点: 解二元一次方程组.分析:先把两方程变形(去分母),得到一组新的方程,然后在用加减消元法消去未知数x ,求出y 的值,继而求出x 的值.解答:解:由题意得:,由(1)×2得:3x ﹣2y=2(3), 由(2)×3得:6x+y=3(4), (3)×2得:6x ﹣4y=4(5), (5)﹣(4)得:y=﹣, 把y 的值代入(3)得:x=,∴.点评: 本题考查了二元一次方程组的解法,主要运用了加减消元法和代入法.2.解下列方程组(1)(2)(3)(4).考点: 解二元一次方程组.分析: (1)(2)用代入消元法或加减消元法均可;(3)(4)应先去分母、去括号化简方程组,再进一步采解答: 解:(1)①﹣②得,﹣x=﹣2,解得x=2,把x=2代入①得,2+y=1, 解得y=﹣1.故原方程组的解为.(2)①×3﹣②×2得,﹣13y=﹣39, 解得,y=3,把y=3代入①得,2x ﹣3×3=﹣5, 解得x=2. 故原方程组的解为.(3)原方程组可化为,①+②得,6x=36,x=6,①﹣②得,8y=﹣4, y=﹣.所以原方程组的解为.(4)原方程组可化为:, ①×2+②得,x=,把x=代入②得,3×﹣4y=6, y=﹣.所以原方程组的解为.点评: 利用消元法解方程组,要根据未知数的系数特点选择代入法还是加减法: ①相同未知数的系数相同或互为相反数时,宜用加减法; ②其中一个未知数的系数为1时,宜用代入法.3.解方程组:考点:解二元一次方程组. 专题:计算题. 分析: 先化简方程组,再进一步根据方程组的特点选用相应的方法:用加减法. 解答:解:原方程组可化为,①×4﹣②×3,得7x=42, 解得x=6.把x=6代入①,得y=4.所以方程组的解为.点评:;二元一次方程组无论多复杂,解二元一次方程组的基本思想4.解方程组:考点: 解二元一次方程组.专题: 计算题.分析: 把原方程组化简后,观察形式,选用合适的解法,此题用解答: 解:(1)原方程组化为,①+②得:6x=18, ∴x=3.代入①得:y=.所以原方程组的解为.点评: 要注意:两个二元一次方程中同一未知数的系数相反或相就能消去这个未知数,得到一个一元一次方程,这种方法5.解方程组:考点: 解二元一次方程组.专题: 计算题;换元法.分析: 本题用加减消元法即可或运用换元法求解. 解答:解:,①﹣②,得s+t=4, ①+②,得s ﹣t=6,即, 解得.所以方程组的解为.点评: 此题较简单,要熟练解方程组的基本方法:代入消元法和加减消元法.6.已知关于x ,y 的二元一次方程y=kx+b 的解有和.(1)求k ,b 的值. (2)当x=2时,y 的值. (3)当x 为何值时,y=3考点: 解二元一次方程组. 专题: 计算题.分析: (1)将两组x ,y 的值代入方程得出关于k 、b 的二元一次方程组,再运用加减消元法求出k 、b 的值.(2)将(1)中的k 、b 代入,再把x=2代入化简即可得出y 的值. (3)将(1)中的k 、b 和y=3代入方程化简即可得出x 的值. 解答: 解:(1)依题意得:①﹣②得:2=4k , 所以k=, 所以b=.(2)由y=x+, 把x=2代入,得y=.(3)由y=x+ 把y=3代入,得x=1.点评: 本题考查的是二元一次方程的代入消元法和加减消元法, 7.解方程组: (1);(2).考点: 解二元一次方程组.分析: 根据各方程组的特点选用相应的方法:(1)先去分母再用方程解答.解答:解:(1)原方程组可化为, ①×2﹣②得:y=﹣1, 将y=﹣1代入①得:x=1.∴方程组的解为;(2)原方程可化为, 即,①×2+②得: 17x=51, x=3,将x=3代入x ﹣4y=3中得: y=0.∴方程组的解为.点评: 这类题目的解题关键是理解解方程组的基本思想是消元,掌握消元的方法有:加减消元法和代入消元法.根据未知数系数的特点,选择合适的方法.8.解方程组:考点: 解二元一次方程组. 专题: 计算题.分析: 本题应把方程组化简后,观察方程的形式,选用合适的方法求解.解答:解:原方程组可化为, ①+②,得10x=30, x=3,代入①,得15+3y=15,y=0.则原方程组的解为.点评: 解答此题应根据各方程组的特点,有括号的去括号,有分元法解方程组.9.解方程组:考点: 解二元一次方程组. 专题: 计算题.分析: 本题为了计算方便,可先把(2)去分母,然后运用加减解答:解:原方程变形为:,两个方程相加,得4x=12,x=3.把x=3代入第一个方程,得4y=11, y=.解之得.点评: 本题考查的是二元一次方程组的解法,方程中含有分母的元,即可解出此类题目.10.解下列方程组:(1)(2)考点: 解二元一次方程组. 专题: 计算题.分析: 此题根据观察可知:(1)运用代入法,把①代入②,可得出x ,y 的值;(2)先将方程组化为整系数方程组,再利用加减消元法求解.解答:解:(1), 由①,得x=4+y③,代入②,得4(4+y )+2y=﹣1, 所以y=﹣,把y=﹣代入③,得x=4﹣=.所以原方程组的解为.(2)原方程组整理为,③×2﹣④×3,得y=﹣24, 把y=﹣24代入④,得x=60,所以原方程组的解为.点评: 此题考查的是对二元一次方程组的解法的运用和理解,学生可以通过题目的训练达到对知识的强化和运用.11.解方程组:(1)(2)考点: 解二元一次方程组.专题: 计算题;换元法.分析: 方程组(1)需要先化简,再根据方程组的特点选择解法方程组(2)采用换元法较简单,设x+y=a ,x ﹣y=b ,然解答:解:(1)原方程组可化简为,解得.(2)设x+y=a ,x ﹣y=b ,∴原方程组可化为,解得,∴∴原方程组的解为.点评: 此题考查了学生的计算能力,解题时要细心.12.解二元一次方程组:(1);(2).考点: 解二元一次方程组. 专题: 计算题.分析: (1)运用加减消元的方法,可求出x 、y 的值;(2)先将方程组化简,然后运用加减消元的方法可求出x 、y 的值.解答: 解:(1)将①×2﹣②,得15x=30, x=2,把x=2代入第一个方程,得 y=1.则方程组的解是;(2)此方程组通过化简可得:, ①﹣②得:y=7,把y=7代入第一个方程,得x=5.则方程组的解是.点评: 此题考查的是对二元一次方程组的解法的运用和理解,学生可以通过题目的训练达到对知识的强化和运用.13.在解方程组时,由于粗心,甲看错了方程组中的a ,而得解为,乙看错了方程组中的b ,而得解为.(1)甲把a 看成了什么,乙把b 看成了什么(2)求出原方程组的正确解.考点: 解二元一次方程组. 专题: 计算题.分析: (1)把甲乙求得方程组的解分别代入原方程组即可;(2)把甲乙所求的解分别代入方程②和①,求出正确的解答: 解:(1)把代入方程组,得,解得:.把代入方程组,得,解得:.∴甲把a 看成﹣5;乙把b 看成6;(2)∵正确的a 是﹣2,b 是8, ∴方程组为,解得:x=15,y=8.则原方程组的解是. 点评: 此题难度较大,需同学们仔细阅读,弄清题意再解答.14.考点: 解二元一次方程组.分析: 先将原方程组中的两个方程分别去掉分母,然后用加减消元法求解即可.解答: 解:由原方程组,得,由(1)+(2),并解得 x=(3),把(3)代入(1),解得 y=∴原方程组的解为.点评: 用加减法解二元一次方程组的一般步骤:1.方程组的两个方程中,如果同一个未知数的系数既不互为相反数又不相等,就用适当的数去乘方程的两边,使一个未知数的系数互为相反数或相等;2.把两个方程的两边分别相加或相减,消去一个未知数,得到一个一元一次方程;3.解这个一元一次方程;4.将求出的未知数的值代入原方程组的任意一个方程中,求出另一个未知数,从而得到方程组的解.15.解下列方程组:(1);(2).考点: 解二元一次方程组.分析: 将两个方程先化简,再选择正确的方法进行消元.解答: 解:(1)化简整理为,①×3,得3x+3y=1500③,②﹣③,得x=350.把x=350代入①,得350+y=500,∴y=150. 故原方程组的解为.(2)化简整理为, ①×5,得10x+15y=75③, ②×2,得10x ﹣14y=46④,③﹣④,得29y=29, ∴y=1.把y=1代入①,得2x+3×1=15,∴x=6.故原方程组的解为.点评: 方程组中的方程不是最简方程的,最好先化成最简方程,16.解下列方程组:(1)(2)考点:解二元一次方程组.分析:观察方程组中各方程的特点,用相应的方法求解.解答:解:(1)①×2﹣②得:x=1,将x=1代入①得:2+y=4,y=2.∴原方程组的解为;(2)原方程组可化为,①×2﹣②得:﹣y=﹣3,y=3.将y=3代入①得:x=﹣2.∴原方程组的解为.点评:解此类题目要注意观察方程组中各方程的特点,采用加减法或代入法求解.。
二元一次方程组奥数题1.试问当a 为何值时,关于x 、y 的方程组⎩⎨⎧=-++=+3)1(2212y a x a y ax 无解。
2、解方程组:(1)3x+4y=2x+3y=7 (2)⎩⎨⎧=+=642133:2:y x y x .(3)⎩⎨⎧=+=+399719971999399519991997y x y x . (4)⎩⎨⎧=-=-60020120309997y x y x .(5) (6) 求x:y:z.3、已知x 、y 满足⎩⎨⎧-=-+-=++,1133242z y x z y x 求x+y+z 的值。
4、.已知x 、y 满足⎩⎨⎧=+=+41819102123y x y x ,求X+Y 的值。
5.在△ABC 中,D 、E 分别是BC 、AC 上的点,AE=2CE ,BD=2CD ,AD 、BE 交于点F ,若S △ABC =3,则四边形DCEF 的面积为______.⎩⎨⎧=-=-102619983024102619993025y x y x ⎩⎨⎧=+-=-+0243032z y x z y x6在三角形ABC 中,D 是AB 的中点,E 是AC 上一点AE:EC=2:3,三角形ABC 面积为40cm 2,若BE 、CD相交于点F ,求四边形ABEF 的面积。
7. 解方程组⎪⎪⎪⎩⎪⎪⎪⎨⎧=+=+=+3471256z x xz z y yz y x xy8.如图,用12块相同的小长方形瓷砖拼成一个大的长方形,求每个小长方形瓷砖的面积9.如图,图1和图2都是由8个一样大小的小长方形拼成的,且图2中的小正方形(阴影部分)的面积为1cm 2,则小长方形的周长等于 .10.如图,三个全等的小矩形沿“横﹣竖﹣横”排列在一个边长分别为5.7,4.5的大矩形中,图中一个小矩形的周长等于 .。
二元一次方程组解法练习题精选(含答案)一.解答题(共16小题)1.求适合的x,y的值.2.解下列方程组(1)(2)(3)(4).3.解方程组:4.解方程组:5.解方程组:6.已知关于x,y的二元一次方程y=kx+b的解有和.(1)求k,b的值.(2)当x=2时,y的值.(3)当x为何值时,y=3?7.解方程组:(1);(2).8.解方程组:9.解方程组:10.解下列方程组:(1)(2)11.解方程组:(1)(2)12.解二元一次方程组:(1);(2).13.在解方程组时,由于粗心,甲看错了方程组中的a,而得解为,乙看错了方程组中的b,而得解为.(1)甲把a看成了什么,乙把b看成了什么?(2)求出原方程组的正确解.14.15.解下列方程组:(1);(2).16.解下列方程组:(1)(2)第二十六章《二次函数》检测试题1,(2008年芜湖市)函数2y ax b y ax bx c =+=++和在同一直角坐标系内的图象大致是 ( )2,在一定条件下,若物体运动的路程s (米)与时间t (秒)的关系式为s =5t 2+2t ,则当t =4时,该物体所经过的路程为( )3,已知二次函数y =ax 2+bx +c (a ≠0)的图象如图2所示,给出以下结论:① a +b +c <0;② a -b +c <0;③ b +2a <0;④ abc >0 .其中所有正确结论的序号是( )A. ③④B. ②③C. ①④D. ①②③4,二次函数y =ax 2+bx +c 的图象如图3所示,若M =4a +2b +c ,N =a -b +c ,P =4a +2b ,则( ) A.M >0,N >0,P >0 B. M >0,N <0,P >0 C. M <0,N >0,P >0 D. M <0,N >0,P <0 5,如果反比例函数y =kx的图象如图4所示,那么二次函数y =kx 2-k 2x -1的图象大致为( )6y所对应的函数值依次为:20,56,110,182,274,380,506,650.其中有一个值不正确,这个不正确的值是()A. 506B.380C.274D.18图3图4A .B . 图5 图1A. y =x 2-2B. y =(x -2)2C. y =x 2+2D. y =(x +2)28如图6,小敏在今年的校运动会跳远比赛中跳出了满意一跳,函数h =3.5t -4.9t 2(t 的单位:s ,h 的单位:m )可以描述他跳跃时重心高度的变化,则他起跳后到重心最高时所用的时间是( )A.0.71sB.0.70sC.0.63sD.0.36s9,如果将二次函数y =2x 2的图象沿y 轴向上平移1个单位,那么所得图象的函数解析式是 .10,平移抛物线y =x 2+2x -8,使它经过原点,写出平移后抛物线的一个解析式______ . 11,若二次函数y =x 2-4x +c 的图象与x 轴没有交点,其中c 为整数,则c = 12,二次函数y =ax 2+bx +c 的图像如图7所示,则点A (a ,b )在第___象限.13,已知抛物线y =x 2-6x +5的部分图象如图8,则抛物线的对称轴为直线x = ,满足y <0的x 的取值范围是 .14,已知一抛物线与x 轴的交点是)0,2( A 、B (1,0),且经过点C (2,8)。
二元一次方程组及其解法限时训练题(45分钟)一.选择题(共6小题)1.二元一次方程组的解是()A.B.C.D.2.小明求得方程组的解为,由于不小心,滴上了墨水,刚好遮住了两个数●和■,则这两个数分别为()A.﹣2和2B.﹣2和4C.2和﹣4D.2和﹣23.方程组的解是()A.B.C.D.4.把一些图书分给某班学生阅读,如果每人分3本,则剩余20本;如果每人分4本,则缺25本.设这个班有学生x人,图书y本,则可以列方程为()A.3x﹣20=4x+25B.3x+20=4x﹣25C.D.5.把一个两位数的十位上的数与个位上的数交换位置,所得的新两位数比原数大9,则符合条件的两位数的个数是()A.7B.8C.9D.106.图1是由3个相同小长方形拼成的图形其周长为24cm,图2中的长方形ABCD内放置10个相同的小长方形,则长方形ABCD的周长为()A.32cm B.36cm C.48cm D.60cm二.填空题(共6小题)7.已知关于x、y的方程组的解满足x+y=4,则n=.8.关于x、y的二元一次方程组,小华用加减消元法消去未知数x,按照他的思路,用②×2﹣①得到的方程是.9.如图①,有若干片相同的拼图,若将其沿相同方向无缝隙拼在一起,他们的底部位于同一条直线上,当分别用3片,10片拼图时(如图②,③所示),对应的长度分别为14,35(单位:cm),则图①中的拼图长为cm.10.根据条件“比x的一半大3的数等于y的2倍”中的数量关系列出方程为.11.随着“低碳生活,绿色出行”理念的普及,新能源汽车正逐渐成为人们喜爱的交通工具.某汽车销售公司计划购进一批新能源汽车尝试进行销售,已知A型汽车每辆的进价为25万元,B型汽车每辆的进价为10万元.若该公司计划正好用200万元购进以上两种型号的新能源汽车(两种型号的汽车均购买),则不同的购买方案共有种.12.若关于x,y的二元一次方程组的解也是二元一次方程2x+3y=24的解,则k 的值为.三.解答题(共3小题)13.解方程组:.14.已知关于x、y的方程组的解满足4x+y=23,求m的值.15.解方程组:。