常用均值不等式及证明证明
- 格式:docx
- 大小:68.27 KB
- 文档页数:3
均值不等式法均值不等式是数学中的一种重要的不等式定理,被广泛应用于各个数学领域中。
它可以帮助我们求解各种数学问题,特别是在求最值问题时非常有用。
本文将介绍均值不等式的定义、证明及其应用,重点讨论算术均值不等式、几何均值不等式和平方均值不等式的性质和应用。
首先,我们来介绍均值不等式的定义。
均值不等式是指若a,b是非负实数且a≥b,则有关于a和b的某种函数f(a,b)成立不等式a≥f(a, b)≥b。
其中,f(a, b)是对a,b进行某种运算的函数。
在均值不等式中,我们常用到的运算有算术平均数、几何平均数和平方平均数。
对应的不等式就是算术均值不小于几何均值,几何均值不小于平方均值。
由此可以得出三个主要的均值不等式:算术均值不等式、几何均值不等式和平方均值不等式。
接下来,我们来证明这三个均值不等式。
首先是算术均值不等式。
对于任意非负实数a1,a2,...,an,我们有:(a1+a2+...+an)/n ≥ √(a1a2...an)即算术平均数不小于几何平均数。
证明如下:设a1,a2,...,an为非负实数,令A = (a1+a2+...+an)/n,G = √(a1a2...an)。
根据等差平均不等式,对于任意的非负实数ai,我们有:(A-ai) + (G/√ai) ≥ 0将上述不等式对i从1到n分别求和,我们有:nA - (a1+a2+...+an) + G(1/√a1 + 1/√a2 + ... + 1/√an)≥ 0由于A = (a1+a2+...+an)/n,所以上述不等式等价于:nA - nA + G(1/√a1 + 1/√a2 + ...+ 1/√an) ≥ 0化简得:G(1/√a1 + 1/√a2 + ... + 1/√an) ≥ 0由于√ai是非负实数,所以1/√ai也是非负实数。
所以上述不等式恒成立。
证毕。
其次是几何均值不等式。
对于任意非负实数a1,a2,...,an,我们有:√(a1a2...an) ≥ (a1+a2+...+an)/n即几何平均数不小于算术平均数。
均值不等式的证明篇一:均值不等式(AM-GM不等式)是数学中常用的一种不等式关系,它说明了算术平均数和几何平均数之间的关系。
具体表达式为:对于任意非负实数集合{a1,a2,an},有(a1+a2+.+an)/n ≥ (a1 a2 .*an)^(1/n)其中,等号成立当且仅当所有的非负数都相等。
下面,我们将给出AM-GM不等式的证明。
证明:首先,我们可以假设所有的a1,a2,an都是正实数。
因为AM-GM不等式对于非负实数也是成立的,所以我们可以通过限制条件来放缩实数集合。
考虑对数变换。
定义函数f(x) = ln(x),其中x>0。
因为ln(x)在整个定义域都是凸函数,所以根据对数函数的性质,我们有:f((a1+a2+.+an)/n) ≥ (1/n)(f(a1)+f(a2)+.+f(an))即,ln((a1+a2+.+an)/n) ≥ (1/n)(ln(a1)+ln(a2)+.+ln(an))这是因为凸函数的定义是在一条直线上任取两个点,它总是在两点的连线上方。
继续推导,根据ln的性质,我们有:ln(a1 a2 .*an) = ln(a1) + ln(a2) + . + ln(an)将上述不等式代入这个等式中,得到ln((a1+a2+.+an)/n) ≥ ln(a1 a2 .*an)^(1/n)移项化简得到(a1+a2+.+an)/n ≥ (a1 a2 .*an)^(1/n)即AM-GM不等式得证。
最后,我们来说明等号成立的条件。
根据对数函数的性质,等号成立当且仅当所有的非负数的对数都相等,即a1 = a2 = . = an。
至此,我们完成了AM-GM不等式的证明。
总结: AM-GM不等式是数学中常用的一种不等式关系。
它表明算术平均数大于等于几何平均数,并且等号成立的条件是所有的非负数相等。
该不等式的证明可以通过对数变换和凸函数的性质进行推导得到。
篇二:在数学中,均值不等式是一类用于比较多个数的重要不等式。
均值不等式知识点均值不等式是高等数学中的一种重要的数学不等式,其在解决各类数学问题中起到了重要的作用。
本文将通过逐步思考的方式,详细介绍均值不等式的相关知识点。
1.均值不等式的基本概念均值不等式是指对于一组实数,其算术平均数大于等于几何平均数,即若有n个正实数x1、x2、……、xn,则它们的算术平均数A≥它们的几何平均数G。
这一不等式可表示为:(x1 + x2 + …… + xn)/ n ≥ (x1 * x2 * …… * xn) ^ (1/n)2.均值不等式的证明为了证明均值不等式,可以使用数学归纳法或其他数学方法。
下面以数学归纳法为例,来证明均值不等式。
首先,当n=2时,我们有:(x1 + x2)/ 2 ≥ √(x1 * x2) 化简可得:x1 + x2 ≥2√(x1 * x2) 这是一种常见的数学不等式,称为算术平均数和几何平均数之间的不等式。
接下来,假设当n=k时,均值不等式成立。
即对于任意的k个正实数x1、x2、……、xk,有:(x1 + x2 + …… + xk)/ k ≥ (x1 * x2 * …… * xk) ^ (1/k)然后,我们来证明当n=k+1时,均值不等式也成立。
即对于任意的k+1个正实数x1、x2、……、xk+1,有:(x1 + x2 + …… + xk + xk+1)/ (k+1) ≥ (x1 * x2* …… * xk * xk+1) ^ (1/(k+1))我们可以将左边的式子进行拆分,得到:[(x1 + x2 + …… + xk) + xk+1] / (k+1)≥ [(x1 * x2 * …… * xk) * xk+1] ^ (1/(k+1))根据不等式的性质,我们有:(x1 + x2 + …… + xk) / k ≥ (x1 * x2 * …… * xk) ^(1/k) 即:[(x1 + x2 + …… + xk) / k] * k ≥ [(x1 * x2 * …… * xk) ^ (1/k)] * k将上式代入前面的不等式,得到:[(x1 + x2 + …… + xk) + xk+1] / (k+1) ≥ [(x1 *x2 * …… * xk) * xk+1] ^ (1/(k+1))这样,我们证明了当n=k+1时,均值不等式也成立。
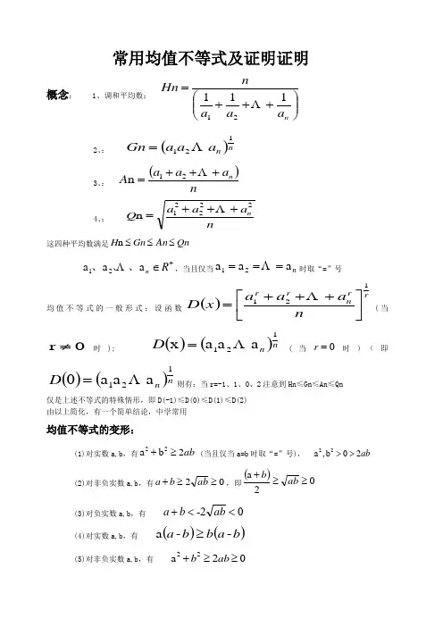
常用均值不等式及证明证明这四种平均数满足Qn An Gn H ≤≤≤n+∈R na a a 21、、、Λ,当且仅当n a a a 21===Λ时取“=”号仅是上述不等式的特殊情形,即D(-1)≤D(0)≤D(1)≤D(2) 由以上简化,有一个简单结论,中学常用均值不等式的变形:(1)对实数a,b ,有ab 2b a22≥+ (当且仅当a=b 时取“=”号), ab 20b ,a 22>>(4)对实数a,b ,有()()b a b b a --a ≥(5)对非负实数a,b ,有02a 22≥≥+ab b(8)对实数a,b,c ,有acbc ab c b a 222++≥++(10)对实数a,b,c ,有33a abc cb ≥++ 均值不等式的证明:方法很多,数学归纳法(第一或反向归纳)、拉格朗日乘数法、琴生不等式法、排序不等式法、柯西不等式法等等用数学归纳法证明,需要一个辅助结论。
引理:设A ≥0,B ≥0,则()()Bn n nA A B A 1-n+≥+注:引理的正确性较明显,条件A ≥0,B ≥0可以弱化为A≥0,A+B ≥0当n=2时易证;假设当n=k 时命题成立,即那么当n=k+1时,不妨设1a +k 是121a ,,a ,a +k Λ中最大者,则1211k ka +++++≥k a a a Λ设ka a a +++=Λ21s用归纳假设 下面介绍个好理解的方法 琴生不等式法琴生不等式:上凸函数()n x x x x f ,,,,21Λ是函数()x f 在区间(a,b)内的任意n 个点,设()x x f ln =,()x f 为上凸增函数 所以,在圆中用射影定理证明(半径不小于半弦)。
高中四个均值不等式高中数学中的四个均值不等式是:算术平均数不小于几何平均数,几何平均数不小于调和平均数,调和平均数不小于平方平均数。
这些不等式在数学中有重要的应用,包括概率论、统计学、经济学和物理学。
一、算术平均数不小于几何平均数算术平均数和几何平均数是我们常见的两种平均数。
算术平均数是将一组数据中所有数值之和除以数据的总数。
例如,1,2,3,4,5这五个数的算术平均数是(1+2+3+4+5)/5=3。
几何平均数则是一组数据中所有数的乘积的n次方根,其中n表示数据的个数。
例如,1,2,3,4,5这五个数的几何平均数是(1x2x3x4x5)^(1/5)=2.605。
在一组非负数数据中,算术平均数和几何平均数有如下关系:算术平均数不小于几何平均数。
这个不等式的证明可以采用数学归纳法,对于两个数的情形容易证明。
对于任意个数的情况,则可以用调和平均数来证明。
这个不等式的重要性在于它可以用来证明其他重要的不等式。
二、几何平均数不小于调和平均数调和平均数的定义为n个非零实数的倒数之和再除以n,其中n表示这n个数的个数。
例如,1,2,3,4,5这五个数的调和平均数为5/(1/1+1/2+1/3+1/4+1/5)=3.55。
在一组非负数数据中,几何平均数和调和平均数有如下关系:几何平均数不小于调和平均数。
例如,对于1,2,3,4,5这五个数,它们的几何平均数为2.605,调和平均数为3.55,显然2.605不小于3.55。
三、调和平均数不小于平方平均数平方平均数是一组数据中所有数的平方和的平均数的平方根。
例如,对于1,2,3,4,5这五个数,它们的平方和为1+4+9+16+25=55,平方平均数为(1+4+9+16+25)/5=5.48。
在一组非负数数据中,调和平均数和平方平均数有如下关系:调和平均数不小于平方平均数。
例如,对于1,2,3,4,5这五个数,它们的调和平均数为3.55,平方平均数为5.48,显然3.55不小于5.48。
不等式是高等数学中的一个重要工具。
运用它可以对变量之间的大小关系进行估计,并且一些重要的不等式在现代数学的研究中发挥着重要作用。
这里首先介绍几个常用的不等式,然后再介绍证明不等式的一些方法。
几个重要的不等式 1.平均值不等式设12,,,n a a a 非负,令111()(0)nrr r kk M a a r n =⎛⎫=≠ ⎪⎝⎭∑(当r<0且至少有一0ka =时,令()0r M a =),111()()nkk A a M a a n ===∑,112()()111nn H a M a a a a -==++,11()nnk k G a a =⎛⎫= ⎪⎝⎭∏,称r M 是r 次幂平均值,A 是算数平均值,H 是调和平均值,G 是几何平均值,则有()()()H a G a A a ≤≤,等式成立的充要条件是12,na a a ===;一般的,如果s>0,t<0,则有()()()t s M a G a M a ≤≤,等式成立的充要条件是12,na a a ===。
2.赫尔德(Holder )不等式设()0,0,1,2,,,1,2,,j i j a a i n j m>>==,且11mjj a==∑,则1111111()()()()m mnnna a a a m m iiii i i i a a a a ===≤∑∑∑,等式成立的充要条件是(1)()(1)()11,1,2,,m i i nnm kki i a a i n aa=====∑∑。
3.柯西-许瓦兹(Cauchy-Schwarz )不等式设,,1,2,,i i a b i n =为实数,则112222111||n nni i i i i i i a b a b ===⎛⎫⎛⎫≤ ⎪ ⎪⎝⎭⎝⎭∑∑∑。
4.麦克夫斯基(Minkowsk)不等式 设()0,1,2,,,1,2,,,1j i a i n j m r >==>,则111(1)()(1)()111[()][()][()]nnnm r r m r r r r iiiii i i a aa a===++≤++∑∑∑,等式成立的充要条件是(1)()(1)()11()(),1,2,,()()rm ri i nnr m r kki i a a i n aa=====∑∑。
均值不等式公式完全总结归纳均值不等式是数学中常用的一种不等式,它可以用来比较数列或者函数中数值的大小关系。
均值不等式有很多种形式,常用的有算术均值不等式、几何均值不等式、调和均值不等式以及均方根不等式。
下面将逐个进行详细介绍:1.算术均值不等式:算术均值不等式又称为平均不等式,它是最基本的均值不等式。
对于非负实数a和b,算术均值不等式的表达式为:(a+b)/2≥√(a*b)其中,等号成立当且仅当a=b。
2.几何均值不等式:几何均值不等式也是比较常见的一种不等式。
对于非负实数a和b,几何均值不等式的表达式为:√(a*b)≤(a+b)/2其中,等号成立当且仅当a=b。
3.调和均值不等式:调和均值不等式用来比较两个正实数的大小关系。
对于正实数a和b,调和均值不等式的表达式为:2/(1/a+1/b)≤(a+b)/2其中,等号成立当且仅当a=b。
4.均方根不等式:均方根不等式是一种用于比较多个非负实数大小关系的不等式。
对于非负实数a1, a2, ..., an,均方根不等式的表达式为:√((a1^2 + a2^2 +... + an^2)/n) ≥ (a1 + a2 + ... + an)/n 其中,等号成立当且仅当a1=a2=...=an。
以上四种形式的均值不等式都是基于平均值的概念推导出来的。
它们在数学中有广泛的应用,例如在证明其他不等式时常常被用到。
需要注意的是,以上只是四种常见的均值不等式形式,实际上还存在很多种不同形式的均值不等式。
比如幂均值不等式、可重均值不等式等,它们在一些特定的条件下有着重要的应用。
总结起来,均值不等式是数学中非常重要的一类不等式,它包含了算术均值不等式、几何均值不等式、调和均值不等式以及均方根不等式等形式。
这些不等式在数学推导和证明过程中发挥着非常重要的作用。
均值不等式一.均值不等式一个重要的不等式:ab b a 222≥+(当且仅当b a =时,等号成立),用作差法可以证明。
均值不等式:如果+∈R b a ,,那么ab b a ≥+2。
当且仅当b a =时,等号成立。
二.最值定理1. 已知+∈R y x ,,则 (1) 如果积xy 是定值p ,那么当y x =时,y x +有最小值p 2;(2) 如果和y x +是定值S ,那么当y x =时,xy 有最大值42S 。
. 2. 利用此公式求最值时,必须同时满足以下三个条件:(1)各项均为正数;(2)其和或积为常数;(3)等号必须成立。
“一正二定三相等”3. 应用此公式求最值时,还应该注意配凑和一定或积一定,进而用公式求解。
三.常用不等式:211a b +≥≥≥+(0,0>>b a ) 例题1. 不等式2≥+ba ab 成立的条件是( ) A. R b R a ∈∈, B. b a ,非负 C. 0≠ab D. 0>ab2. 下列结论正确的是( )A. 当0>x 且1≠x 时,2lg 1lg ≥+x xB. 当0>x 时,21≥+xx C. 当2≥x 时,x x 1+的最小值为2 D. 当20≤<x 时,xx 1-无最大值 3. 若1>>b a ,b a P lg lg ⋅=,)2lg(),lg (lg 21b a R b a Q +=+=,则( ) A. Q P R << B. R Q P << C. R P Q << D. Q R P <<4. 若实数b a ,满足2=+b a ,则b a 33+的最小值是( ) A. 18 B. 6 C. 32 D. 4325. 已知点),(b a 在直线023=-+y x 上,则3273++=b a u 的最小值为( ) A. 311 B. 323+ C. 6 D. 96. 已知2>x ,则当=x ( )时,24-+x x 的最小值为( )。
常用均值不等式及证明证明常用的均值不等式有以下几个:1.算术均值-几何均值不等式:对于任意非负实数$a_1,a_2,...,a_n$,有$\dfrac{a_1 + a_2 + ... + a_n}{n} \geq \sqrt[n]{a_1 a_2 ... a_n}$证明:设 $S = \dfrac{a_1 + a_2 + ... + a_n}{n}$,则 $a_1 + a_2+ ... + a_n = nS$。
由均值不等式 $a_1 + a_2 + ... + a_n \geq n \sqrt[n]{a_1a_2 ... a_n}$,将等式两边同时除以 n 得到$S = \dfrac{a_1 + a_2 + ... + a_n}{n} \geq \sqrt[n]{a_1a_2 ... a_n}$2.二次均值不等式(柯西-施瓦茨不等式):对于任意实数$a_1,a_2,...,a_n$和$b_1,b_2,...,b_n$,有$(a_1^2 + a_2^2 + ... + a_n^2)(b_1^2 + b_2^2 + ... + b_n^2) \geq (a_1 b_1 + a_2 b_2 + ... + a_n b_n)^2$证明:设$x=(a_1b_1+a_2b_2+...+a_nb_n)^2$,$y=(a_1^2+a_2^2+...+a_n^2)(b_1^2+b_2^2+...+b_n^2)$。
对于任意非零实数$t$,考虑函数$f(t)=t^2y-x$。
由于 $f(t)$ 是一个二次函数,且 $f(t) \geq 0$,则 $f(t)$ 的判别式不大于 0。
即 $4y(a_1 b_1 + a_2 b_2 + ... + a_n b_n)^2 - 4y(a_1^2 +a_2^2 + ... + a_n^2)(b_1^2 + b_2^2 + ... + b_n^2) \leq 0$。
简化之后得到 $(a_1^2 + a_2^2 + ... + a_n^2)(b_1^2 + b_2^2+ ... + b_n^2) - (a_1 b_1 + a_2 b_2 + ... + a_n b_n)^2 \geq 0$,即所证明的不等式。
常用不等式及其证明不等式在数学中起着重要的作用,它们在数学推理和解决实际问题中发挥着重要的作用。
本文将介绍几个常用的不等式及其证明。
一、柯西不等式柯西不等式是线性代数中常用的不等式之一,它在向量空间和内积空间中广泛应用。
柯西不等式表述如下:对于任意的n维实数列a1,a2,...,an和b1,b2,...,bn,有:(a1b1 + a2b2 + ... + anbn)^2 ≤ (a1^2 + a2^2 + ... + an^2)(b1^2 + b2^2 + ... + bn^2)证明:考虑离差:(a1λ + b1)^2 + (a2λ + b2)^2 + ... + (anλ + bn)^2对于任意实数λ。
这个式子可以通过非负性的考虑被表示为:(a1b1 + a2b2 + ... + anbn - λ(a1^2 + a2^2 + ... + an^2))^2 ≥ 0展开得:(a1^2 + a2^2 + ... + an^2)λ^2 - 2(a1b1 + a2b2 + ... + anbn)λ + (b1^2 + b2^2 + ... + bn^2) ≥ 0这是一个二次方程,所以判别式需要不大于0:4(a1b1 + a2b2 + ... + anbn)^2 - 4(a1^2 + a2^2 + ... + an^2)(b1^2 + b2^2 + ... + bn^2) ≤ 0化简得到:(a1b1 + a2b2 + ... + anbn)^2 ≤ (a1^2 + a2^2 + ... + an^2)(b1^2 + b2^2 + ... + bn^2)因此,柯西不等式得证。
二、均值不等式均值不等式是不等式中常见的一类,它包括算术平均数、几何平均数和调和平均数。
1. 算术平均数不等式:对于任意n个正实数a1,a2,...,an,有:(a1 + a2 + ... + an)/n ≥ √(a1a2...an)证明:根据算术平均值和几何平均值的定义可得:(√a1 - √a2)^2 ≥ 0a1 + a2 - 2√(a1a2) ≥ 0(a1 + a2)/2 ≥ √(a1a2)将上述不等式推广到n个数,可得:(a1 + a2 + ... + an)/n ≥ √(a1a2...an)2. 几何平均数不等式:对于任意n个正实数a1,a2,...,an,有:√(a1a2...an) ≤ (a1 + a2 + ... + an)/n证明:根据算术平均值和几何平均值的定义可得:(√a1 - √a2)^2 ≥ 0a1 + a2 - 2√(a1a2) ≥ 0a1 + a2 + ... + an - n√(a1a2...an) ≥ 0(a1 + a2 + ... + an)/n ≥ √(a1a2...an)因此,几何平均数不等式得证。
均值不等式求最值的十种方法————————————————————————————————作者:————————————————————————————————日期:用均值不等式求最值的方法和技巧一、几个重要的均值不等式①,、)(222222R b a b a ab ab b a ∈+≤⇔≥+当且仅当a = b 时,“=”号成立; ②,、)(222+∈⎪⎭⎫ ⎝⎛+≤⇔≥+R b a b a ab ab b a 当且仅当a = b 时,“=”号成立; ③,、、)(33333333+∈++≤⇔≥++R c b a c b a abc abc c b a 当且仅当a = b = c 时,“=”号成立;④)(3333+∈⎪⎭⎫ ⎝⎛++≤⇔≥++R c b a c b a abc abc c b a 、、 ,当且仅当a = b = c 时,“=”号成立.注:① 注意运用均值不等式求最值时的条件:一“正”、二“定”、三“等”;② 熟悉一个重要的不等式链:ba 112+2a bab +≤≤≤222b a +。
一、拼凑定和通过因式分解、纳入根号内、升幂等手段,变为“积”的形式,然后以均值不等式的取等条件为出发点,均分系数,拼凑定和,求积的最大值。
例1 (1) 当时,求(82)y x x =-的最大值。
(2) 已知01x <<,求函数321y x x x =--++的最大值。
解:()()()()()()222111111y xx x x x x x =-+++=+-=+-()()311111322241422327x x x x x x ++⎛⎫++- ⎪++=•••-≤=⎪ ⎪⎝⎭。
当且仅当112x x +=-,即13x =时,上式取“=”。
故max 3227y =。
评注:通过因式分解,将函数解析式由“和”的形式,变为“积”的形式,然后利用隐含的“定和”关系,求“积”的最大值。
例2 求函数()22101y xx x =-<<的最大值。
均值不等式及其应用均值不等式是初中数学中一种很重要的概念,被广泛应用在各个领域中,特别是在概率论、数论、统计学和实际问题中,都有着广泛的应用。
在本文中,我们将会介绍均值不等式的概念以及其在实际问题中的应用。
一、均值不等式的概念均值不等式是指对于一组非负实数,它们的算数平均数总是大于等于它们的几何平均数。
它的数学表达式为:若a1,a2,…,an≥0,则有:(a1+a2+…+an)/n≥(a1 * a2 * … * an)^(1/n)其中,a1,a2,…,an均为非负实数,/代表除法,*代表乘法,n代表a1,a2,…,an的个数。
这个不等式有时候也被称为算术平均值和几何平均值的不等关系。
二、均值不等式的应用1.求最大值和最小值在某些问题中,通过均值不等式,可以得到最大值或最小值。
例如,求函数f(x)=1/x在[1,2]上的最大值。
首先,我们可以对f(x)求导得到f’(x)=-1/x^2,然后将其置于均值不等式中,得到:1/2=(1+1/4)/2≥(1/x+1/y)/2化简后得到:xy≥4,因此,f(x)=1/x的最大值为f(2)=1/2。
2.证明不等式均值不等式可以用来证明某些不等式,特别是在不等式的证明中,一般都采用归纳法、绝对值法、平方和法、插叙法、套路变形法等方法来完成。
例如,我们来证明对于任意的正整数n,都有1/2+1/3+1/4+…+1/(n+1)≥ln(n+2)-1。
证明:首先,将1/2+1/3+1/4+…+1/n-1/n+1写成一个和式,得到:1/2+1/3+1/4+…+1/n-1/n+1=1/2+(1/3-1/2)+(1/4-1/3)+…+(1/n-1/n-1)+1/n+1=(1/2-1/3)+(1/3-1/4)+…+(1/n-1/n+1)+1/n+1=1/2-1/(n+1)接着,将该式和ln(n+2)-ln2相加,得到:1/2+1/3+1/4+…+1/n+1/(n+1)+ln(n+2)-ln2=1/2-1/(n+1)+ln(n+2)把该式与等式(1)做比较,我们发现不等式成立。
均值不等式公式四个及证明1.算术均值-几何均值不等式(AM-GM不等式):对于非负实数 a1, a2, ..., an,有以下不等式成立:(a1+a2+...+an)/n ≥ √(a1*a2*...*an)证明:当n=2时,不等式成立。
因为(a1+a2)/2≥√(a1*a2),即a1+a2≥2√(a1*a2)。
假设当 n=k 时,不等式成立,即(a1+a2+...+ak)/k ≥√(a1*a2*...*ak)。
现在考虑 n=k+1 的情况,即要证明(a1+a2+...+ak+ak+1)/(k+1) ≥ √(a1*a2*...*ak*ak+1)。
根据已知条件,我们有:(a1+a2+...+ak+ak+1)/(k+1) = [(a1+a2+...+ak)/k]*(k/(k+1)) + ak+1/(k+1)由归纳假设,(a1+a2+...+ak)/k ≥ √(a1*a2*...*ak)。
因此,上式可以表示为:(a1+a2+...+ak+ak+1)/(k+1) ≥ (√(a1*a2*...*ak))*(k/(k+1)) + ak+1/(k+1)根据加权平均不等式,我们有:(√(a1*a2*...*ak))*(k/(k+1)) + ak+1/(k+1) ≥√(a1*a2*...*ak*ak+1)因此,不等式成立。
2. 广义均值不等式(Cauchy不等式):对于非负实数 a1, a2, ..., an 和 b1, b2, ..., bn,有以下不等式成立:(a1^p+a2^p+...+an^p)^(1/p) * (b1^q+b2^q+...+bn^q)^(1/q) ≥ a1*b1+a2*b2+...+an*bn其中,p和q是正实数,满足1/p+1/q=1证明:当n=2时,不等式成立。
因为(a1^p+a2^p)^(1/p)*(b1^q+b2^q)^(1/q)≥a1*b1+a2*b2假设当 n=k 时,不等式成立,即 (a1^p+a2^p+...+ak^p)^(1/p) * (b1^q+b2^q+...+bk^q)^(1/q) ≥ a1*b1+a2*b2+...+ak*bk。
均值不等式应用(一)均值不等式* 也可是值为正的代数式1.调和平均数:2.几何平均数:3.算数平均数:4.平方平均数:·均值不等式:,当且仅当时等号成立常用:两个正数的算术平均数不小于它们的几何平均数。
两个正数的等差中项不小于他们的等比中项。
(二)常见变形1.2.3.4.5.6.()7.()8.9.()10.()11.12.(三)解题技巧(一定、二正、三相等、四同时)1.计算函数最值·形函数例:求函数2y =的值域。
(2)t t =≥2y =1(2)t t t ==+≥当1t t=时函数在x 轴正半轴有最小值,在y 轴负半轴有最大值,即1t =± ∵1t =±不属于区间[)2,+∞,故等号不成立,考虑单调性。
∵1y t t=+在区间[)1,+∞单调递增, ∴52y ≥∴所求函数的值域为5,2⎡⎫+∞⎪⎢⎣⎭·分离法例3.:求2710(1)1x x y x x ++=>-+的值域。
解:当,即时,421)591y x x ≥+⨯+=+(,当且仅当x =1时等号成立·换元法例:已知 ,则解:令 则·拼凑(系数、常数)例:已知x ,y 为正实数,且x 2+y 22 =1,求x 1+y 2 的最大值.解:x 1+y 2=x2·1+y 22 = 2 x ·12 +y 22x 1+y 2 = 2 ·x 12 +y 22 ≤ 2x 2+(12 +y 22 )22 ≤ 342例:已知54x <,求函数14245y x x =-+-的最大值。
解:∵54x <∴540x -> ∴11425432314554y x x x x ⎛⎫=-+=--++≤-+= ⎪--⎝⎭ 当且仅当15454x x-=-,即1x =时等号成立 ∴当1x =时,max 1y =。
·化积为和(因式分解、平方)例:已知a ,b 为正实数,2b +ab +a =30,求函数y =1ab 的最小值分析:这是一个二元函数的最值问题,通常有两个途径,一是通过消元,转化为一元函数问题,再用单调性或基本不等式求解;二是直接用基本不等式,对本题来说,因已知条件中既有和的形式,又有积的形式,不能一步到位求出最值,考虑用基本不等式放缩后,再通过解不等式的途径进行。
均值不等式的证明(精选多篇)常用均值不等式及证明证明这四种平均数满足hn?gn?an?qn?、ana1、a2、?r?,当且仅当a1?a2???an时取“=”号仅是上述不等式的特殊情形,即d(-1)≤d(0)≤d(1)≤d(2)由以上简化,有一个简单结论,中学常用均值不等式的变形:(1)对实数a,b,有a222?b2?2ab (当且仅当a=b时取“=”号), a,b?0?2ab(4)对实数a,b,有a?a-b??b?a-b?a2?b2?2ab?0(5)对非负实数a,b,有(8)对实数a,b,c,有a2?b2?c2?ab?bc?aca?b?c?abc(10)对实数a,b,c,有均值不等式的证明:方法很多,数学归纳法(第一或反向归纳)、拉格朗日乘数法、琴生不等式法、排序不等式法、柯西不等式法等等用数学归纳法证明,需要一个辅助结论。
引理:设a≥0,b≥0,则?a?b??an?na?n-1?bn注:引理的正确性较明显,条件a≥0,b≥0可以弱化为a≥0 ,a+b≥0 (用数学归纳法)。
当n=2时易证;假设当n=k时命题成立,即那么当n=k+1时,不妨设ak?1是则设a1,a2,?,ak?1中最大者,kak?1?a1?a2???ak?1 s?a1?a2???ak用归纳假设下面介绍个好理解的方法琴生不等式法琴生不等式:上凸函数f?x?,x1,x2,?,xn是函数f?x?在区间(a,b)内的任意n个点,设f?x??lnx,f?x?为上凸增函数所以,在圆中用射影定理证明(半径不小于半弦)均值不等式证明一、已知x,y为正实数,且x+y=1求证xy+1/xy≥17/41=x+y≥2√(xy)得xy≤1/4而xy+1/xy≥2当且仅当xy=1/xy时取等也就是xy=1时画出xy+1/xy图像得01时,单调增而xy≤1/4∴xy+1/xy≥(1/4)+1/(1/4)=4+1/4=17/4得证继续追问:拜托,用单调性谁不会,让你用均值定理来证补充回答:我真不明白我上面的方法为什么不是用均值不等式证的法二:证xy+1/xy≥17/4即证4(xy)?-17xy+4≥0即证(4xy-1)(xy-4)≥0即证xy≥4,xy≤1/4而x,y∈r+,x+y=1显然xy≥4不可能成立∵1=x+y≥2√(xy)∴xy≤1/4,得证法三:∵同理0xy+1/xy-17/4=(4x?y?-4-17xy)/4xy=(1-4xy)(4-xy)/4xy≥0∴xy+1/xy≥17/4试问怎样叫“利用均值不等式证明”,是说只能用均值不等式不能穿插别的途径?!二、已知a>b>c,求证:1/(a-b)+1/(b-c)+1/(c-a)>0a-c=(a-b)+(b-c)≥2√(a-b)*(b-c)于是c-a≤-2√(a-b)*(b-c)<0即:1/(c-a)≥-1/【2√(a-b)*(b-c)】那么1/(a-b)+1/(b-c)+1/(c-a)≥1/(a-b)+1/(b-c)-1/【2√(a-b)*(b-c)】≥2/【√(a-b)*(b-c)】-1/【2√(a-b)*(b-c)】=(3/2)/【2√(a-b)*(b-c)】>0三、1、调和平均数:hn=n/(1/a1+1/a2+...+1/an)2、几何平均数:gn=(a1a2...an)^(1/n)3、算术平均数:an=(a1+a2+...+an)/n4、平方平均数:qn=√(a1^2+a2^2+...+an^2)/n这四种平均数满足hn≤gn ≤an≤qn的式子即为均值不等式。
柯西不等式证明均值不等式柯西不等式证明均值不等式引言:在高等数学中,我们经常会遇到各种各样的不等式问题。
其中一个非常经典和重要的不等式就是均值不等式。
均值不等式给出了一组数字的平均数与其它某种函数的值之间的关系。
在本文中,我将通过证明柯西不等式,来展示它与均值不等式之间的紧密联系。
一、柯西不等式的表述和证明:柯西不等式是指对于任意的实数 a1, a2, ..., an 和 b1, b2, ..., bn,有如下不等式成立:(a1b1 + a2b2 + ... + anbn)^2 ≤ (a1^2 + a2^2 + ... +an^2)(b1^2 + b2^2 + ... + bn^2)柯西不等式的证明非常巧妙,基于向量内积的性质。
我们定义两个 n 维向量 a 和 b:a = (a1, a2, ..., an)b = (b1, b2, ..., bn)我们计算它们的内积a∙b:a∙b = a1b1 + a2b2 + ... + anbn接下来,我们考虑向量 a - λb,其中λ 是一个参数。
根据向量的长度与内积之间的关系,我们可以得到:|a - λb|^2 = (a - λb)∙(a - λb) = a∙a - 2λa∙b + λ^2b∙b由于a∙a 和b∙b 是非负值,我们可以将右边的式子写成一个平方和的形式:|a - λb|^2 = (a1^2 + a2^2 + ... + an^2) - 2λ(a1b1 + a2b2 + ... + anbn) + λ^2(b1^2 + b2^2 + ... + bn^2)现在,我们希望找到一个合适的参数λ,使得右边的式子最小化。
根据二次函数的性质,当λ = (a∙b) / (b∙b) 时,右边的式子达到最小值。
将λ 带入右边的式子,我们得到:|a - (a∙b)/(b∙b) * b|^2 = (a1^2 + a2^2 + ... + an^2) - 2(a1b1 + a2b2 + ... + anbn)^2 / (b1^2 + b2^2 + ... + bn^2) * (b1^2 +b2^2 + ... + bn^2)注意到左边的式子是一个长度为 n 的向量的平方和,它必定非负。
常用均值不等式及证明证明
这四种平均数满足Qn An Gn H ≤≤
≤n
+
∈R n
a a a 21、、、Λ,当且仅当n a a a 2
1===Λ时取“=”号
仅是上述不等式的特殊情形,即D(-1)≤D(0)≤D(1)≤D(2) 由以上简化,有一个简单结论,中学常用
均值不等式的变形:
(1)对实数a,b ,有ab 2b a
22
≥+ (当且仅当a=b 时取“=”号), ab 20b ,a
22>>
(4)对实数a,b ,有
()()b a b b a --a ≥
(5)对非负实数a,b ,有
02a 22≥≥+ab b
(8)对实数a,b,c ,有
ac
bc ab c b a 222++≥++
(10)对实数a,b,c ,有
3
3
a abc c
b ≥++ 均值不等式的证明:
方法很多,数学归纳法(第一或反向归纳)、拉格朗日乘数法、琴生不等式法、排序不等式法、
柯西不等式法等等
用数学归纳法证明,需要一个辅助结论。
引理:设A ≥0,B ≥0,则()()B
n n nA A B A 1-n
+≥+
注:引理的正确性较明显,条件A ≥0,B ≥0可以弱化为A ≥0,A+B ≥
当n=2时易证;
假设当n=k 时命题成立,即
那么当n=k+1时,不妨设
1
a +k 是
1
21a ,,a ,a +k Λ中最大者,则
1211k ka +++++≥k a a a Λ
设
k a a a +
++=Λ21s
用归纳假设 下面介绍个好理解的方法 琴生不等式法
琴生不等式:上凸函数()n x x x x f ,,,,21Λ是函数()x f 在区间(a,b)内的任意n 个点,
设()x x f ln =,()x f 为上凸增函数 所以,
在圆中用射影定理证明(半径不小于半弦)。