7 财务管理 第七章 证券估价
- 格式:doc
- 大小:57.50 KB
- 文档页数:6
第七章证券投资决策一、单项选择题1、市场利率上升时,债券价值的变动方向是()。
A.上升B.下降C.不变D.随机变化2、甲公司在2008年1月1日发行5年期债券,面值1000元,票面年利率8%,于每年6月30日和12月31日付息,到期时一次还本。
ABC公司欲在2011年7月1日购买甲公司债券100张,假设市场利率为6%。
则债券的价值为()元。
已知(P/A,3%,3)=2.8286;(P/F,3%,3)=0.9151;(P/A,6%,2)=1.8334;(P/F,6%,2)=0.8900A.998.90B.1108.79C.1028.24D.1050.113、下列各项中,不会对债券价值的计算产生影响的是()。
A.债券面值B.票面利率C.到期日D.发行价格4、假设市场上有甲乙两种债券,甲债券目前距到期日还有3年,乙债券目前距到期日还有5年。
两种债券除到期日不同外,其他方面均无差异。
如果市场利率出现了急剧上涨,则下列说法中正确的是()。
A.甲债券价值上涨得更多B.甲债券价值下跌得更多C.乙债券价值上涨得更多D.乙债券价值下跌得更多5、现有一份刚发行的面值为1000元,每年付息一次,到期归还本金,票面利率为14%,5年期的债券,若某投资者现在以1000元的价格购买该债券并持有至到期,则该债券的投资收益率应()。
A.小于14%B.等于14%C.大于14%D.无法计算6、关于债券投资,下列各项说法中不正确的是()。
A.债券期限越长,对于票面利率不等于市场利率的债券而言,债券的价值会越偏离债券的面值B.只有债券价值大于其购买价格时,才值得投资C.长期债券对市场利率的敏感性会大于短期债券D.债券只可以年为单位计息7、某投资者购买A公司股票,并且准备长期持有,要求的最低收益率为11%,该公司本年的股利为0.6元/股,预计未来股利年增长率为5%,则该股票的内在价值是()元/股。
A.10.0B.10.5C.11.5D.12.08、甲股票目前的股价为10元,预计股利可以按照5%的增长率固定增长,刚刚发放的股利为1.2元/股,投资人打算长期持有,则股票投资的收益率为()。
股票估价,增长率的推导:假设你预期下一年药店要支付每股0.56美元股利,并在年末股票按每股45.50美元交易。
如果与郎石同等风险投资的期望回报率是 6.80%,你今天会为郎石股票最多支付多少?在这个价格上你预期的股利收益率和资本利得率是多少? 解答应用公式9.1,我们有1100.5645.5043.131 1.0680E Div P P r ++===+美元在这个价格下,郎石的股利收益率是10/0.56/43.13 1.30%Div P ==。
期望的每股资本利得是45.50美元—43.13美元=2.37美元,资本利得率是2.37/43.13=5.50%。
因此,在这个价格下郎石的期望总回报率是1.305.506.80%,这等于其权益资本成本。
公司是一个管理公共事业的企业,服务于纽约市地区。
假设公司计划在下一年支付每股2.3美元的股利。
如果其权益资本成本是7%,并在未来每年股利期望增长2%,估计股票价值。
解答如果股利每年期望按2%的比例永续地增长,股票的每股价格:10 2.3046.000.070.02E Div P r g ===--美元美元预期来年每股收益是6美元。
公司计划把所有的收益都作为股利支付。
对于没有增长的预期,目前每股价格是60美元。
假设在可预见的未来,公司可以削减其股利支付率到75%,并且用留存收益开设新商店。
这些新商店的投资回报率预期是12%。
假定其权益资本成本不变,新政策对股价有什么影响?现在假设新投资的回报率是8%而不是12%,又将如何?解答首先,让我们估计科云的权益资本成本。
目前,科云计划支付等于其每股收益6美元的股利。
给出的每股价格是60美元,科云的股利收益率是6美元/60美元=10%。
没有预期增长(0g =),我们可以运用公式9.7来估计E r :110%0%10%E Div r g P =+=+= 换句话说,在目前的政策下调整科云的股票价格,市场内具有同等风险的其他股票的期望回报率一定是10%。
练习一一、目的:练习资金时间价值的计算。
二、资料:1、某人现将一笔现金存入银行,以便在以后的10年中每年年末取得1000元,设银行存款利率为10%。
2、某企业在第一年年初向银行借入100万元,银行规定从第一年到第十年每年年末等额偿还13.8万元。
3、5年前发行的一种第20年末一次还本1000元的债券,其票面利率为8%,每年年末付一次利息,第5次利息刚已付过,预计目前市场利率为10%。
4、某企业需用一台设备,买价为16000元,可用10年。
如果租用,则每年年初需付租金2000元,除此之外,买与租的其他情况相同。
假设利率为6%。
5、某企业有一笔123600元的资金,准备存入银行,以便在7年后用这笔款项的本利和购买一台设备,其预计价格为240000元。
银行存款利率为复利10%。
6、某企业向银行存入140000元的资金,以便在若干年后获得300000元,银行存款利率为8%,每年复利一次。
7、某企业向银行借入一笔款项,借款年利率为10%,每年复利一次。
银行规定前10年不用还本付息,但从第11~20年每年年末偿还本息5000元。
8、甲银行的利率为8%,每季复利一次。
乙银行每月复利一次,并期望其有效年利率与甲银行相等。
三、要求:1、根据资料1,计算此人目前应存入多少钱?2、根据资料2,计算此笔借款的利息率。
3、根据资料3,计算此种债券目前的市价应为多少?4、根据资料4,用数据说明购买与租用何者为优。
5、根据资料5,用数据说明7年后能否用这笔款项的本利和购买该设备。
6、根据资料6,计算需要多少年存款的本利和才能达到300000元。
7、根据资料7,计算这笔借款的现值。
8、根据资料8,计算乙银行的简单年利率(名义利率)。
练习二某人欲购买商品房,如若现在一次性支付现金,需支付50万元;如分期付款支付,年利率5%,每年年末支付50000元,连续支付20年,此人最好采取哪种方式付款?练习三某项目共耗资50万元,期初一次性投资,经营期10年,资本成本10%,假设每年的净现金流量相等,期终设备无残值,每年至少回收多少投资才能确保该项目可行?练习四某单位年初从银行借款106700元,借款的年利率为10%,在借款合同中,银行要求该单位每年年末还款20000元,企业需几年才能还清借款本息?练习五某厂现存入银行一笔款项,计划从第五年起每年年末从银行提取现金30000元,连续8年,假设银行存款年利率为10%,该厂现在应存入的款项是多少?练习六某上市公司本年度的净收益为20000元,每股支付股利2元。
第七章证券投资决策一、债券投资1.【识记】(1)债券债券是能够按票面利率定期获取利息并到期收回面值金额的一种证券。
(2)到期收益率到期收益率是指以特定价格购买债券并持有到期日所能获得的收益率。
它是使未来现金流量现值等于债券购买价格的折现率。
(3)违约风险违约风险是指债务人无法按时支付利息以及偿还债券本金的风险。
(4)利率风险利率风险是指由于利率变动而使投资者遭受损失的风险。
(5)购买力风险购买力风险是指由于通货膨胀使价格总水平变动而引起债权购买力变动所产生的风险。
(6)变现力风险变现力风险是指无法在短期内以合理价格卖出债券的风险。
(7)再投资风险再投资风险是指债券持有者在持有期间收到的利息收入、到期收到的本息、出售时得到的资本收益等,用于再投资所能实现的报酬,可能会低于当初购买债券时的收益率。
2.【领会】(1)债券投资风险违约风险、利率风险、购买力风险、变现力风险、再投资风险等(2)债券投资的优缺点①债券投资的优点:本金安全性高;收入稳定性强;市场流动性好。
②债券投资的缺点:购买力风险较大;没有经营管理权。
3.【应用】(1)债券投资收益率主要按照第二章的货币时间价值的知识点来计算,掌握插值法。
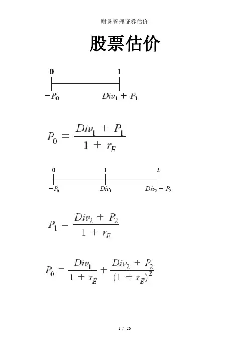
(2)债券投资估价模型①分期计息,到期一次还本债券的估价模型【07-01】V=I t(1+r)t+M(1+r)tnt=1②到期一次还本付息债券的估价模型【07-02】V=F(1+t)n二、股票投资1.【识记】(1)股票的内在价值股票的内在价值是由股票带来的未来现金流量的现值决定的。
包括股利收入和出售时的价格。
(2)股票投资期望收益率股票的预期收益率是股票投资的一个重要指标。
只有股票的预期收益率高于投资人要求的最低报酬率时,投资人才肯投资。
计算股票的预期收益率时,需要考虑预期股利收益率和预期资本利得收益率。
预期股利收益率等于预期股利收益率加上预期资本利得收益率。
预期资本利得收益率等于无风险收益率加上市场投资组合的预期收益率减去无风险收益率。
第七章金融资产投资决策一、名词解释1.证券2.证券投资3.债券价值4.债券票面收益率5.股票价值6.股票投资收益率7.基金8.金融衍生工具二、单项选择题1.相对于实物资产投资,证券投资的特点包括()。
A.流动性弱B.投资风险相对较小C.交易成本较低D.价格比较稳定2.由于外部某些因素变化引起整个金融市场不确定性加强,从而给市场上所有证券都带来经济损失的可能性是()。
A.非系统性风险 B.财务风险 C.经营风险 D.系统性风险3.下列因素引起的风险中,投资者可以通过投资组合予以予消减的是()。
A.世界能源状况的变化 B.通货膨胀 C.经济衰退 D.企业经营失误4.对债券持有人而言,债券发行人不能履行合约规定的义务,无法按期支付利息和偿还本金而产生的风险是()。
A.流动性风险 B.期限风险 C.违约风险 D.购买力风险5.某公司购买A股票,面值10元,市价25元,持有期间每股获得现金股利4元,一年后售出,售价为30元,则其持有期投资收益率为()。
A.36% B.40% C.16% D.25%6.债券投资的特点不包括()。
A.本金较安全 B.收益不稳定 C.购买力风险较大 D.没有经营管理权7.证券投资基金按照规模是否可以变动及交易方式,可以分为()。
A.公司型基金与契约型基金 B.货币基金、债券基金和股票基金C.开放式基金和封闭式基金 D.积极投资型基金和消极投资型基金8.赋予购买者在规定期限内按双方约定的价格购买或出售一定数量某种金融资产的权利是()。
A.远期交易 B.期货 C.期权 D.互换业务9.某公司增发的普通股的市价为1`2元/股,筹资费用率为市价的6%,本年已发放股利为每股0.6元,已知同类股票的预计收益率为11%,则维持此股价需要的股利年增长率为()。
A.5% B.5.39% C.5.68% D.10.34%10.有一5年期国库券,溢价20%发行,票面利率为10%,单利计息,到期一次还本,其到期收益率是()。
第七章证券投资决策学习目的与要求通过本章的学习,掌握股票投资、债券投资的估价模型及收益率的计算;理解债券投资风险特征,理解股票投资与债券投资的优缺点;掌握证券投资基金的分类和费用类型,理解证券投资基金风险的特征。
本章重点、难点本章的重点是债券估价模型、债券投资收益率以及债券投资风险;股票投资估价模型;证券投资基金的概念、特点和分类,证券投资基金的费用以及证券投资基金的风险。
难点是债券估价模型与到期收益率的计算以及股票估价模型的应用。
第一节债券投资一、债券投资估价一般来讲,投资者购买债券基本都能够按债券的票面利率定期获取利息并到期收回债券面值。
因此,债券投资的估价就是计算债券在未来期间获取的利息和到期收回的面值的现值之和。
(识记)根据利息的支付方式不同,债券投资的估价模型可分为以下几种。
(应用)一、债券投资估价——分期计息,到期一次还本债券的估价模型典型的债券是固定利率、每年计算并收到利息、到期收回本金。
其估价模型是:式中:V为债券价值;I为每年利息;r为市场利率(或投资者要求的收益率);M为到期的本金(债券面值);n为债券到期前的年数。
L公司于2014年6月1日发行面值为1000元的债券,票面利率为8%,每年6月1日计算并支付一次利息,并于5年后的6月1日到期。
投资者要求的收益率为10%,则该债券的价值为:该债券的价值是924.16元,如果不考虑其他因素,这种债券的价格只有等于或低于924.16元时,投资者才会购买。
某一公司债券的面值为1000元,票面利率为12%,期限5年,每半年计息一次,当前市场利率为10%。
则该债券估价过程如下:票面利率为12%,半年利率=12%÷2=6%;计息期数=2×5=10;市场利率为10%,半年利率=10%÷2=5%。
根据债券估价模型,该债券的价值为:V=1000×6%×(P/A,5%,10)+1000×(P/F,5%,10)=60×7.7217+1000×0.6139=1077.2(元)一、债券投资估价——到期一次还本付息债券的估价模型对于该类债券来说,债券的利息随本金一同在债券到期日收回。
06年《财务管理》第七章重点导读
(一)掌握证券的含义、特征与种类
(二)掌握证券投资的含义与目的;掌握证券投资的对象与种类;掌握证券投资的风险与收益率
(三)掌握企业债券投资收益率的计算;掌握债券的估价;掌握债券投资的优缺点
(四)掌握企业股票投资收益率的计算;掌握股票的估价;掌握股票投资的优缺点
(五)掌握基金投资的种类;掌握基金投资的估价与收益率
(六)熟悉效率市场假说
(七)了解影响证券投资决策的因素
(八)了解债券投资的种类与目的
(九)了解股票投资的种类与目的
(十)了解基金投资的含义与特征;了解基金投资的优缺点
1、证券投资的风险(xx年单选题、xx年多选题)
2、短期证券投资的目的(xx年单选题)
3、变动收益证券(xx年单选题)
4、可分散风险和不可分散风险(xx年单选题、xx年单选题、xx年单选题、xx年判断题)
5、投资组合的类型(xx年单选题)
6、证券各种收益率的计算(xx年单选题、xx年计算题、xx年综合题、xx年综合题)
7、投资基金的优点(xx年多选题)
8、基金的分类(xx年多选题、xx年判断题)
9、基金收益率(xx年判断题)
10、债券投资的优点(xx年多选题)
11、风险和收益的关系(xx年判断题)
12、股票价格的计算(xx年判断题、xx年计算题)模板,内容仅供参考。
第七章证券估价一、单项选择题1.在财务管理中,那些由影响所有公司的因素而引起的,不能通过多角化投资分散的风险被称为()。
A市场风险B公司特有风险C经营风险 D 财务风险2.非系统风险归因于()。
A宏观经济状况的变化B某一投资企业特有的事件C不能通过投资组合得以分散D 通常以贝塔系数来衡量3.某公司发行的股票,预期报酬率为20%,最近刚支付的股利为每股2元,估计股利年增长率为10% ,则该种股票的价格为()元。
A 22B 20C 18D 104.某企业于1996.4.1 以10000元的价格购买新发行的债券,票面利率为12% ,该债券两年后一次还本付息,每年计算利息一次,该公司若持有债券至到期日,其到期收益率为()。
A 12%B 8%C 10 %D 11%5.某公司股票的贝塔系数为2,无风险利率为6%,市场上所有股票的平均报酬率为10%,则该公司股票的报酬率为()A 14B 26%C 8%D 20%6.无法在短期内以合理的价格将资产出售的风险为()。
A再投资风险B违约风险C利率变动风险D变现力风险7.贝塔系数是反映个别股票相对于平均风险股票的变动程度的指标。
它可以衡量()。
A个别股票的市场风险B个别股票的公司特有风险C个别股票的非系统风险D个别股票相对于整个市场平均风险的反向关系8.某种股票属固定成长股票,其固定增长率为5%,预期一年后的股利为6 元,现行国债券的收益率为11%,平均风险股票的必要收益率等于16%,而该股票的贝塔系数为1.2 ,那么该股票的价值为()元。
A 50B 33C 45D 309.企业购买10000股股票,每股购买价8元,随后按每股12元的价格卖出股票,证券交易费用为400元,则该笔证券交易的资本利得是()元。
A 39600B 40000C 40400D 12000010.某种股票当前的市场价格是400元,每股股利是20元,预期的股利增长率是5%,则其市场决定的预期收益率为()。
A 5%B 5.5%C 10%D 10.25%11.下列因素引起的风险中,投资者可以通过证券组合予以分散化的是()。
A 经济危机B 通货膨胀C 利率上升D 企业管理不善12.不会获得太高的收益,也不会承担巨大风险的投资组合方法是()。
A 选择足够数量的证券进行组合B 把风险大、中、小的证券放在一起进行组合C 把投资收益呈负相关的证券放在一起进行组合D 把投资收益呈正相关的证券放在一起进行组合13.利率与证券投资的关系,以下()叙述是正确的。
A 利率上升,则证券价格上升。
B 利率上升,则企业的派发股利将增多。
C 利率上升,证券价格会下降。
D 利率上升,证券价格变化不定。
14.下列那项属于证券投资组合的非系统风险()。
A公司破产B国家税法的变化C国家财政政策和货币政策的变化D世界能源状况的改善15.两种股票呈负相关指的是()。
A 两股票的收益变化完全相同。
B 两股票的收益变化完全相反。
C 当把两种股票组合成证券组合,可分散掉一部分系统风险。
D 当把两种股票组合成证券组合,系统风险将被完全分散掉。
二、判断题1.当票面利率大于市场利率时,债券发行的价格大于债券的面值。
()2.债券的价格会随着市场利率的变化而变化,当市场利率上升时,债券价格下降;当市场利率下降时,债券价格会上升。
()3.贝塔系数反映的企业特有风险可通过多角化投资来分散掉,而市场风险不能被互相抵消。
()4.市场风险源于公司之外,表现为整个股市平均报酬的变动,公司特有风险源于公司本身的商业活动和财务活动,表现为个股报酬率变动脱离整个股市平均报酬率的变动。
()5.对债券投资收益进行评价时,应该以债券价值和到期收益率作为评价债券收益的标准,票面利率不影响债券收益。
()6.当投资者要求的收益率高于债券票面利率时,债券的市场价值会低于债券面值;当投资者要求的收益率低于债券票面利率时,债券的市场价值会高于债券面值;当债券接近到期日时,债券的市场价值向其面值回归。
()7.采用多角经营控制风险的唯一前提是所经营的各种商品的利润率存在负相关关系。
()8.假设市场利率不变,溢价发行的债券的价值会随时间的延续逐渐下降。
()9.一种10年期的债券,票面利率为10 %,另一种5年期的债券,票面利率为10 %。
两种债券的其他方面没有区别。
在市场利率急剧上涨时,前一种债券价格下跌的更多。
()10.调整各种证券在证券投资组合中所占比例,可以改变证券组合的贝塔系数,从而改变证券投资组合的风险和风险收益率。
()11.在通货膨胀期间,一般来说,预期报酬率会上升的资产,其购买力风险会低于报酬率固定的资产。
()12.预期将发生通货膨胀或提高利率时市盈率会普遍下降,预期公司利润增长时市盈率会上升,债务比重大的公司市盈率较低。
()13.当市场利率下降时,长期债券投资的损失要大于短期债券投资的损失.( )三、计算题1. 公司1995.6.16 平价发行新债券,票面值1000元,票面利率为10%,5年期,每年6.15 付息,到期一次还本(计算过程中保留4 位小数,结果保留两位小数)。
要求:1)计算1995.6.16的债券到期收益率2)假定1995.6.16的市场利率为12%,债券发行价格低于多少时公司可能取消发行计划?3)假定1997。
6.16的市价为940元,此时,购买该债券的到期收益率是多少?4)假定你期望的投资报酬率为8%,99.6.16 债券市价为1031元,你是否购买?2.已知国库券目前的收益率为8%,整个股市的平均收益率为14%。
要求:1)市场平均风险报酬率为多少?2)若某一股票的贝塔系数为0.9,短期报酬率为13%,问是否投资?3)若某股票的必要报酬率为15%,则股票的贝塔系数是多少?3.A企业1998.7.1 购买某公司1997.1.1发行的面值为10万元,票面利率为8%,期限5年,每半年付息一次的债券,若当时市场利率为10%,计算该债券价值。
若该债券此时的市价为94000元,是否值得购买?如果按债券价格购入该债券,此时购买债券的到期收益率是多少?4.预计某公司明年的税后利润是1000万元,发行在外普通股500万股,要求:1)假设公司股票市盈率为12,计算股票价值2)预计盈余的60%将用于发放现金股利,股票获利率为4%,计算股票的价值3)假设成长率为6%,必要报酬率为10%,预计盈余的60%将用于发放股利,用固定成长模型计算股票价值。
5.某投资者正考虑购买两家非常相似的公司股票。
两家公司今年的财务报表大体相同,每股盈余都是4元,只是A公司发放股利4元,而B公司只发放2元。
已知A公司的股价为40元。
请根据计算结果分析下列结论中那一个更加合理,并说明理由。
1)B公司的成长率会高于A公司,因此,B公司的股价应高于40 元。
2)B公司目前的股利较低,因此,B公司的股价会低于40元。
3)A公司股票的预期报酬率为4/40=10%,B公司股票的预期成长率较高,固预期报酬率也会高于10%。
4) 假设两家股票的市盈率类似,则B股票成长率合理的估计值为5%。
6.公司1997.1.1平价发行新债券,票面值为1000 元,票面利率10%,5年期,每年12.31 日付息一次,到期按面值偿还(计算过程中保持4位小数)。
1)假定1997.1.1的市场利率为12%,债券发行价格低于多少时公司将可能取消债券发行计划?2)假定1997.1.1的市场利率为8%,公司每半年支付一次利息,债券发行价格高于多少时,你可能不再愿意购买?3)假设2001.1.1债券市价为1042元,你期望的投资报酬利率为6%,你是否愿意购买?四. 计算题1. 练习后付年金与先付年金终值和现值的计算(1)资料(一)企业每年年末长期借款的情况如下企业长期借款金额借款期限年利率甲120 000 3 10%乙180 000 4 11%丙250 000 5 12%(二)各企业在若干年后需要偿还长期借款本息如下:企业偿还长期借款本息额偿还日期年利率A 360 000 3年后10%B 580 000 4年后11%C 720 000 5年后12%(三)各企业若干年年末取得投资收益如下:企业每年投资收益收益年限年利率D 120 000 3 10%E 180 000 4 11%G 250 000 5 12%(2)要求a)根据资料“(一)”,分别计算各企业长期借款的终值。
b)根据资料“(二)”,分别计算各企业为建立偿债基金每年末应存入银行的金额。
c)根据资料“(三)”,分别计算个企业投资收益的现值。
d)若资料“(一)”、“(二)”中各企业是属于每年年初长期借款或投资收益的情况,分别计算各企业长期借款的终值和投资收益的现值。
2. 练习递延年金现值和永续年金现值的计算(1)资料(一)各企业第一年年末的投资项目的收入情况如下:1.甲企业从第二年末至第八年末每年可的收益40 000元。
2.乙企业从第三年末至第十年末每年可的收益60 000元。
3.丙企业从第四年末至第十二年末每年可的收益72 000元。
年利率10%。
(2)要求a)根据资料“(一)”,计算各企业收益在第一年末的现值。
3. 练习通货膨胀对资金时间价值的影响(1)资料(一)设有关各年的通货膨胀率如下:1997年为4%;1998年为6%;1999年为5%;2000年为8%。
(二)2001年的实际利率为4%。
(三)2001年泰北工厂准备以360 000元进行股票投资,预计4年后可收回540 000元。
(2) 要求(四)根据资料“(一)”,分别用算术平均法和几何平均法计算平均通货膨胀率。
(五)根据资料“(二)”,及资料“(一)”的两种计算结果,分别计算其名义利率。
(六)根据资料“(二)”、“(三)”及资料“(一)”,用几何平均法计算的结果,分析其股票投资项目的可行性。
答案:一、单项选择题1.C2.B3.C4.A5.B6.D7.A8.A9.A 10.C 11.D 12.B 13.C 14.A 15.B二、判断题1.Y2.Y3.N4.Y5.N6.Y7.N8.Y9.Y 10.Y 11.Y 12.Y 13.Y三、计算题1.解:1)到期收益率与票面利率相同,均为10%。
2)V=1000×10%×(P/A,12%,5%)+1000×(P/S,12%,5)=927.88(元)即发行价格低于927.88元时,公司将取消发行计划。
3)到期收益率=[1000×10%+(1000-940)/3] /[(1000+940)/2]=12.37%4)设到期收益率为,则3=1000×10%/(1+i)+ 1000/(1+i)求得i =6.69%,小于8%,故不可行。
2. 解:1) 市场平均风险报酬率=14%-8%=6%2)股票的必要报酬率=8%+0.9%×(14%-8%)=13.4%由于预计报酬率为13%,小于必要报酬率,所以不应该进行投资。