线性代数行列式经典编辑例题
- 格式:doc
- 大小:547.65 KB
- 文档页数:8
命题人或命题小组负责人签名: 教研室(系)主任签名: 分院(部)领导签名:第 1 页 共 4 页《线性代数》第一章练习题一、填空题1、_____________)631254(=τ8 2、要使排列(3729m14n5)为偶排列,则m =___8____, n =____6_____ 3、关于x 的多项式xx x xx 22111---中含23,x x 项的系数分别是 -2,44、 A 为3阶方阵,2=A ,则____________3*=A 1085、四阶行列式)det(ij a 的次对角线元素之积(即41322314a a a a )一项的符号为 +6、求行列式的值 (1)46924692341234=__1000___; (2)131410242121=_0___ ;(3) 2005000200410020030102002200120001--=___2005____;(4) 行列式243012321---中元素0的代数余子式的值为___2____7、648149712551 = 6 ;1252786425941653241111--=1680-8、设矩阵A 为4阶方阵,且|A|=5,则|A *|=__125____,|2A |=__80___,|1-A |= 15。
命题人或命题小组负责人签名: 教研室(系)主任签名: 分院(部)领导签名:第 2 页 共 4 页9、011101110= 2 ;=000100312222210 12 。
10、若方程组⎪⎩⎪⎨⎧=+=+=+a bz cy b az cx ay bx 0 有唯一解,则abc ≠ 011、把行列式的某一列的元素乘以同一数后加到另一列的对应元素上,行列式 值不变 。
12、行列式中在项的项共有214312344214231144434241343332312423222114131211,,24!4a a a a a a a a a a a a a a a a a a a a a a a a =,21431234a a a a 是该行列式的项,符号是 + 。
线性代数(本)习题册行列式-习题详解(修改)(加批注)||班级:姓名:学号:成绩:批改日期: ||第 1 页共 18 页行列式的概念一、选择题1.下列选项中错误的是( ) (A)b a dcd c b a -= ; (B)ac bd d c b a =; (C)d c b a d c d b c a =++33; (D)dc b ad c b a -----=. 答案:D2.行列式n D 不为零,利用行列式的性质对n D 进行变换后,行列式的值().(A)保持不变;(B)可以变成任何值;(C)保持不为零;(D)保持相同的正负号.答案:C二、填空题1.ab ba log 11log = . 解析:0111log log log 11log =-=-=ab abb a ba . 2.6cos3sin6sin3cosππππ= . 解析:02cos 6sin 3sin 6cos 3cos 6 cos 3sin6sin3cos==-=πππππππππ3.函数x x xxx f 121312)(-=中,3x 的系数为; x x xx xx g 21112)(---=中,3x 的系数为 . 答案:-2;-2.||班级:姓名:学号:成绩:批改日期: ||第 2 页共 18 页4.n 阶行列式n D 中的n 最小值是 . 答案:1.5. 三阶行列式113420321-中第2行第1列元素的代数余子式等于 . 答案:5.6.若02182=x,则x = . 答案:2.7.在n 阶行列式ij a D =中,当i<="" =="" a="" i="" ij="" j="" l=",则D" p="" 时,),,2,1,(0n="" 答案:nn="">8.设a ,b 为实数,则当a = ,b = 时,010100=---a b b a . 解析:0)()1(1010022=+-=--=---b a ab ba a bba故0,0==b a .三、解答题1.用行列式的定义计算.(1)1100001001011010;解:原式=100010101)1(1010000011)1(14121++-?+-?||班级:姓名:学号:成绩:批改日期: || 第 3 页共 18 页110010100-=--=(2)000000h g f e d c b a . 原式=000000gf e d b hf e dc a - =00000g f bd hf df e c a +-=bdfg adfh -2. 设行列式λλλ01010101-=D , 3512321132=D ,若21D D =,求λ的值.解:由对角线法则,得()()0,11221=-+=D D λλ若21D D =,则()()0112=-+λλ于是1-=λ或1.四、证明题1.(略)行列式的性质一、选择题1.设行列式x x xD 0101011-=, 1133512322=D ,若21D D =,则x 的取值为 ( ).(A)2,-1; (B)1,-1; (C)0,2; (D)0,1.答案:B2.若3333231232221131211==a a a a a a a a a D ,||班级:姓名:学号:成绩:批改日期: ||第 4 页共 18 页则3332333123222321131213111525252a a a a a a a a a a a a D +++==(). (A)30; (B) -30; (C)6; (D)-6.答案:C二、填空题1.若三阶行列式D 的第一行元素分别是1,2,0,第三行元素的余子式分别是8,x ,19,则x = . 解析:1820190,4x x ?-+?==. 2.2016201420182016 = .解析:4202220162014222016201420182016===.3.行列式cb dc a bcb aD =,则312111A A A ++= . 解析:312111A A A ++0111==cb c acb .4.行列式xx x x x D 31213231232154-=的展开式中,4 x 的系数为;3x 的系数为 .解析:xx x xx x x x x x D 312131232321531213231232154--=-=xx x x 3121312512585103215---= 含4x ,3x 的项仅有主对角线上元素之积项,故4x ,3 x 的||班级:姓名:学号:成绩:批改日期: || 第 5 页共 18 页系数分别为15,-3.三、解答题1.计算下列行列式 .(1)3214214314324321;解:各行加到第一行,得原式=32142143143211111032142143143210101010= =160400004001210111110123012101210111110=---=------.(2)4444333322225432154321543215432111111;解:原式=(5-4)(5-3)(5-2)(5-1)(4-3)(4-2)(4-1)(3-2)(3-1) =288.(3)49362516362516925169416941;原式=02222222297531694113119711975975316941==.||班级:姓名:学号:成绩:批改日期: || 第 6 页共 18 页(4)000000xy y x y x x y ;原式=xy x yx x xyy y xy 0000000-- =22222)(y x xyyx x x y y x y --=-. (5)xy z zx y yz x111;原式=)(0)(01x z y x z x y z x y yzx------ =))()((11))((x z z y y x yzx z x y ---=---.(6)200012000000130012000101--;原式=31012010140131201014200001301201012---=--=-- =2031124=---.(7)43211111111111111111x x x x ++++;||班级:姓名:学号:成绩:批改日期: || 第 7 页共 18 页解:原式=432111110010011x x x x x x x ---+ =43121100000001x x x x x x x x x x x x x ---++++ =3214214314324321x x x x x x x x x x x x x x x x ++++.2.设4322321143113151-=D ,计算44434241A A A A +++的值. 其中)4,3,2,1(4=j A j 是D 的代数余子式.解:44434241A A A A +++61111321143113151=-=. 3. 已知1142113110111253------=D ,求41312111M M M M +++.解:41312111M M M M +++=41312111)1(1)1(1M M M M --?+--?=1141113*********-------=0.4.计算下列n 阶行列式.||班级:姓名:学号:成绩:批改日期: ||第 8 页共 18 页(1)2111解:原式=211121111 +++n n n =2 11121111)1( +n=110010111)1(+=+n n .(2)xy yyy x y yy y x yy y y x;解:原式=[]xy y yy x y yy y x yy n x1111)1(-+ =[]yx y x y x y n x ----+ 00000001111)1(=[]1)()1(---+n y x y n x .(3)),,2,1,0(0100101111021n i x x x x i n=≠.||班级:姓名:学号:成绩:批改日期: || 第 9 页共 18 页解:原式=nni ix x x x00000011101211∑=- =)1(121∑=-ni in x x x x .四、证明题1.设a ,b ,c 是互异的实数,证明0111333=c b a c b a的充分必要条件是a+b+c=0.证明:33333333001111a c ab a ac a b a c b ac ba----= =3333a c ab ac ab ----=222211))((a ac c a ab b a c a b ++++--=))()((22ab ac b c a c a b -+--- =))()()((c b a b c a c a b ++---=0,由于a ,b ,c 是互异的实数,故要上式成立,当且仅当a+b+c=0.2.证明4+2324323631063a b c d a a b a b c a b c da a ab a bc a b cd a a b a b c a b c d +++++=++++++++++++ 证明:左边43322102320363a b c d r r a a b a b cr r a a b a b c r r a a b a b c-+++-+++-+++433210002003a b c d r r a a b a b ca ab r r a a b-++++-+4430002000a b c d a a b a b cr r a a a b a+++-=+||班级:姓名:学号:成绩:批改日期: ||第 10 页共 18 页=右边克莱姆法则一、选择题1.方程组=++=++=++1,1,1321321321x x x x x x x x x λλλ, 有唯一解,则( ).(A)1-≠λ且2-≠λ;(B) 1≠λ且2-≠λ;(C) 1≠λ且2≠λ; (D) 1-≠λ且2≠λ.解析:由克莱姆法则,当0)1)(2(1111112≠-+=λλλλλ,即1≠λ且2-≠λ,选B .2.当≠a ()时,方程组??=+-=++=+02,02,0z y ax z ax x z ax 只有零解. (A) -1 ;(B) 0 ;(C) -2 ;(D) 2. 解析:由克莱姆法则,当0)2(212012100121210≠-=--=-a a a a a a 即2≠a ,选D .三、解答题1.用克莱姆法则下列解方程组.(1)??=+-=+-=-+;32,322,22z y x z y x z y x解: 03112221121≠=---=D ,由克莱姆法则知,此方程组有唯一解,132231221=---=D ,||班级:姓名:学号:成绩:批改日期: ||第 11 页共 18 页61322311212=-=D ,93323312213==D ,因此方程组的解为11==D D x ,22==D Dy ,33==DD z .(2)..23342,223,3232,124321432143214321=-++=+++=+-+=-++x x x x x x x x x x x x x x x x 解:043 342123121321121≠=---=D由克莱姆法则知,此方程组有唯一解,833421232213311211=---=D , 233221221213211112-=---=D ,23241231233211213=--=D ,223422231313211214=-=D . 因此方程组的解为211==D D x ,2122-==D D x ,2133==D D x ,2 144==D D x . 2.判断线性方程组=-+=+-=-+0285,042,022321321321x x x x x x x x x 是否有非零解?解:因为系数行列式285122421285421122----=---=D||班级:姓名:学号:成绩:批改日期: || 第 12 页共 18 页=030596042122180960421≠-=--=----, 所以,方程组只有零解.3.已知齐次线性方程组=+-=++=-+02,0,0321321321x x x x x kx x kx x 有非零解,求k 的值.解:因为齐次线性方程组有非零解,所以该方程组的系数行列式必为零,即32101101111211112k k k kk k --+--=-- =)21)(1()1(32k k k +++- =0)4)(1(=-+k k 解得,k =-1或k =4.4.当μ取何值时,齐次线性方程组=--+-=-+-=-++0)1(02)3(0)1(42321321321x x x x x x x x x μμμ有非零解?解:由齐次线性方程组有非零解的条件可知,0111213142=------μμμ,解得3,2,0=μ.第一章综合练习一、判断题1. n 阶行列式n D 中的n 最小为2.( ╳ )2. 在n 阶行列式ij a D =中元素),2,1,(L =j i a ij 均为整数,则D 必为整数.( √ )||班级:姓名:学号:成绩:批改日期: ||第 13 页共 18 页3.413223144433221144413332232214110000000a a a a a a a a a a a a a a a a -=.( ╳ ) 二、选择题1.若11131--+=x x x D ,211122-+=x x D ,则1D 与2D 的大小关系是( ).(A)21D D <; (B)21D D >;(C)21D D =;(D)随x 值变化而变化. 答案:C2.行列式{})2,1,1,,,(-∈d c b a dc ba 的所有可能值中,最大的是( ).(A) 0; (B)2; (C)4; (D)6. 答案:D三、填空题1.?40cos 20sin 40sin 20cos = .解析:-??=?40sin 20sin 40cos 20cos 40cos 20sin 40sin 20cos2160cos ==. 2.若y y x x y x -=-1122,则x+y = . 解析:由y y x x y x -=-1122,得xy y x 222-=+ 即0)(2=+y x ,从而x+y =0. 3.已知111,0112==yx x ,则y = . 解析:由111,0112==yx x ,得x =2,x -y =1,从而y =1||班级:姓名:学号:成绩:批改日期: ||第 14 页共 18 页4. 若222222222642531C c B b A a c b a ++=,则2C 化简后的结果等于 . 解析:242312=-=C . 5.设xx x x x x f 111123111212)(-=,则4x 的系数为;3系数为 .解析:当f (x )的主对角线的4个元素相乘才能得出4x ,系数为2;含3x 的项只能是44332112,,,a a a a 的乘积,系数为-1. 答案:2,-1.6.设0123411222641232211154321=D ,则(1)333231A A A ++= ;(2)3534A A + ;(3)5554535251A A A A A ++++ . 解析:0)(23534333231=++++A A A A A 0)()(23534333231=++++A A A A A 于是0333231=++A A A ,03534=+A A .5554535251A A A A A ++++1111111222641232211154321=||班级:姓名:学号:成绩:批改日期: ||第 15 页共 18 页01111133333641232211154321==. 即0555*******=++++A A A A A .四、解答题1.计算下列行列式.(1)4434433323134232221241312111y x y x y x y x y x y x y x y x y x y x y x y x y x y x y x y x ++++++++++++++++;解:原式=14131214141312131413121214131211y y y y y y y x y y y y y y y x y y y y y y y x y y y y y y y x ---+---+---+---+=000000000014131214131211=------+x x x x x x y y y y y y y x .(2)43211111111111111111x x x x ++++;解:原式=432111110010011x x x x x x x ---+=432111413121100000001x x x x x x x x x x x x x ---++++ =3214214314324321x x x x x x x x x x x x x x x x ++++. ||班级:姓名:学号:成绩:批改日期: ||第 16 页共 18 页(3)2007000002006000200500020001000.解:原式=!2006)1(2007220052006?-?=!2007-2.已知123452221127312451112243150D ==, 求(1)434241A A A ++;(2)4544A A +. 解:27)(21114544434241=++?+?+?A A A A A0)()(24544434241=++++A A A A A得9434241-=++A A A ,184544=+A A . 3.计算下列n 阶行列式.(1)nn n n n n n D222333222111=;解:(利用范德蒙行列式计算)1122133321111!--==n n n Tn n n n n D D[])1()2()24)(23)(1()13)(12(!--------=n n n n n !2)!2()!1(! --=n n n .||班级:姓名:学号:成绩:批改日期: ||第 17 页共 18 页(2)211121112 ;解:原式=211121111 +++n n n =2121111)1( +n=110010111)1(+=+n n .(3)mx x x x m x x x x mx D n n n n ---=212121解:将第2列,L ,第n 列分别加到第一列,并提取第一列的公因子,得mx x mx x x x m x m x x x x x m x x x D n n n n n n n --+++--+++-+++=221221221mx x x m x x x m x x x n n n n ---+++=22221111(mm m x x x n ---+++= 0101001)(21121))((---+++=n n m m x x x||班级:姓名:学号:成绩:批改日期: || 第 18 页共 18 页(4)nn n n n a a a a a a b b b b b D 1322113210000000-----=(其中n i a i ,,2,1,0 =≠)解: 122110000000)1(-+----=n nnn a a a a b D122211221000000------+n n n n n a a a a a b b b b a 121-+?=n n nnn D a a b a a a==∑=n i i in a b a a a 121 . 三、证明题1.试证:如果n 次多项式n n x a x a a x f +++= 10)(对n+1个不同的x 值都是零,则此多项式恒等于零.(提示:用范德蒙行列式证明)。
第二讲 行列式综合训练第一部分例2.1 计算行列式,其中对角线上元素都是a ,未写出的元素都是零.n D =11aa解 这道题可以用多种方法进行求解,充分应用了行列式的各种性质. 方法1 利用性质,将行列式化为上三角行列式.n D 11c nc a-⋅=101a aaa-=11()n a a a--=n a -2n a - 方法2 仍然是利用性质,将行列式化为上三角行列式.n D n 1r r -=111a aa --1nc c +=111a aa +-=na -2n a-方法3 利用展开定理,将行列式化成对角行列式.n D 1c 展开=1n aaa -+11001(1)0n n a a +--而 11001(1)0n n a a+--最后列展开=21(1)n +-2n aa -=2n a--n D =1n a a -⋅-2n a -=n a -2n a -方法4 利用公式A O OB=A B .将最后一行逐行换到第2行,共换了2n -次;将最后一列逐列换到第2列,也共换了2n -次.n D =2(2)(1)n --11a aa=11a a2n aa -=na -2n a-方法5 利用公式A O OB=A B .例2.2 计算n 阶行列式:11212212n n n n na b a a a a b a D a a a b ++=+ (120n b b b ≠)解 采用升阶(或加边)法.该行列式的各行含有共同的元素12,,,n a a a ,可在保持原行列式值不变的情况下,增加一行一列,适当选择所增行(或列)的元素,使得下一步化简后出现大量的零元素.1211212212100n n n n n na a a ab a a D a a b a a a a b +=++升阶213111n r r r r r r +---=121211001010n na a ab b b --- 1112,,1jj c c b j n -+=+=111211121000000000n na a a a ab b b b b +++=1121(1)nn na ab b b b b +++这个题的特殊情形是121212n n n n a x a a a a x a D a a a x++=+=11()nn i i xx a -=+∑可作为公式记下来.例2.3 计算n 阶行列式:12111111111n na a Da ++=+其中120n a a a ≠.解 这道题有多种解法. 方法1 化为上三角行列式nD 12,,i r r i n-==1121111na a a a a +--112,,j ja c c a j n+==21100nb a a其中11211n i i b a a a ==++∑1111ni i a a =⎛⎫=+ ⎪⎝⎭∑,于是n D 12111nn i i a a a a =⎛⎫=+ ⎪⎝⎭∑.方法2 升阶(或加边)法121111011101110111n naD a a +=++升阶12,3,,1i r r i n -=+=121111100101na a a --- 11111121,2,,1121111111j jni jc c a nn j n i i na a a a a a a a +=+=-=+⎛⎫==+⎪⎝⎭∑∑方法3 递推法.将n D 改写为1211101110111n na a D a ++++=+n=按c 拆开12111111111a a +++1211011011na a a ++由于12111111111a a ++1,,1i n r r i n -=-=12111a a 121n a a a -=1211011011na a a ++n =按c 展开1n n a D -因此n D =1n n a D -121n a a a -+为递推公式,而111D a =+,于是n D =1n n a D -121n a a a -+=12n a a a 11211n n n D a a a a --⎛⎫+ ⎪⎝⎭=12n a a a 2122111n n n n D a a a a a ---⎛⎫++ ⎪⎝⎭==12n a a a 11211n D a a a ⎛⎫+++⎪⎝⎭=12n a a a 121111n a a a ⎛⎫++++⎪⎝⎭例2.4 设343123211211)(------=x x x x x x x f ,证明存在),1,0(∈ζ使0)(='ζf . 证 因为()f x 是关于x 的二次多项式多项式,在[]1,0上连续,(0,1)内可导,且0331221111)0(=------=f ,101(1)1110121f =-=-由罗尔定理知,存在)1,0(∈ζ,使0)(='ζf .例2.5 计算D =222244441111ab c d a b c d a b c d . 解 这不是范得蒙行列式,但可借助求解范得蒙行列式进行求解.方法1 借助于求解范得蒙行列式的技巧进行求解:从下向上,逐行操作.D 2433221r a r r ar r ar ---=222222222111100()()()0()()()b ac ad ab b ac c ad d a b b a c c a d d a ---------1c 展开=()()()b ac ad a ---222111()()()b c d b b a c c a d d a +++ 3r 拆开=()()()b a c a d a ---(333111bc d b c d +222111a b c d b c d )其中333111b cd b c d 23221r b r r br --=222211100()()c bd b c c b d d b ---- =()()c bd b --11()()c c bd d b ++=()()c b d b --[()()]d d b c c b +-+由于222111bcd b c d 是范德蒙行列式,故222111b c d b c d =()()()c b d b d c --- D =()a b c d +++()()()b a c a d a ---()()()c b d b d c --- 方法2 D 213141c c c c c c ---=222222244444441000ab ac ad aa b a c a d a a b a c a d a --------- 1r 展开=()()()b ac ad a ---222222111()()()()()()b ac ad a b a b a c a c a d a d a +++++++++ 2131c c c c --=()()()b ac ad a ---221()()b a c b d b b a b a x y+--++ 1c 展开=()()()b ac ad a ---c b d b xy--其中222()()x c b a b c ac bc ab =-+++++,222()()y d b a b c ad bd ab =-+++++D =()a b c d +++()()()b a c a d a ---()()()c b d b d c ---=()a b c d +++()()()a b a c a d ---()()()b c b d c d ---方法3 用升阶法.由于行列式中各列元素缺乏3次幂的元素,在D 中添加3次幂的一 行元素,再添加一列构成5阶范得蒙行列式:5D =22222333334444411111a b c d x a b c d x a b c d x a b c d x 5D 按第5列展开得到的是x 的4次多项式,且3x 的系数为4545(1)A D D +=-=-又利用计算范得蒙行列式的公式得5D =()()()()b a c a d a x a ----()()()c b d b x b ---()()()d c x c x d ---=()()()b a c a d a ---()()c b d b --()d c -[()()()()]x a x b x c x d ----=()()()b a c a d a ---()()c b d b --()d c -43[()]x a b c d x -++++其中3x 的系数为()()()b a c a d a ----()()c b d b --()d c -()a b c d +++由3x 的系数相等得:D =()a b c d +++()()()b a c a d a ---()()()c b d b d c --- 例2.6 设4322321143113151||-=A ,计算A 41 + A 42 + A 43 + A 44 = ? 其中A 4j (j= 1, 2, 3, 4)是|A |中元素a 4j 的代数余子式.解 直接求代数余子式的和工作量大.可将414243A A A A +++改写为4142431111A A AA ⋅+⋅+⋅+⋅,故A 41 + A 42 + A 43 + A 44 1111321143113151-=1602102310121000-==41602(1)023012+--=62100320261=-- 例2.7 求解方程:11111111()01121111(1)x f x x nx-==---解 方法1()f x 12,,i r r i n-==111100000100(2)x xn x-=---=)2()1()1(1+----n x x x n由题设知0)2()1()1()(1=+---=-n x x x x f n所以2,,1,0121-===-n x x x n 是原方程的解.方法2 由题设知,当2,,2,1,0-=n x 时,由于行列式中有两列对应元素相同,行列式值为零,因此)(x f 可写成)2()1()(+--=n x x Ax x f于是原方程0)2()1()(=+--=n x x Ax x f 的解为:2,,1,0121-===-n x x x n例2.8 计算元素为a ij = | i -j |的n 阶行列式. 解 方法1 由题设知,11a =0,121a =,1,1,n a n =-,故01110212n n n D n n --=--1,1,,2i i r r i n n --=-=11111111n ----1,,1j n c c j n +=-=1211021(1)2(1)20001n n n n n n ------=----其中第一步用的是从最后一行起,逐行减前一行.第二步用的每列加第n 列.方法2 011102120n n n D n n --=--11,2,,111111112i i r r i n n n +-=----=--12,,1001201231j c c j nn n n +=---=---=12(1)2(1)n n n ----例2.9 计算行列式221111220000000b d b d c a c a D =. 解 方法1 按第一列展开:1121120000a c D a d b b =-0000111122b d c a c d =111122b d c ab a -111122b d c a c d=(22b a -111122b d c a c d )=(22b a -)22c d (11b a -)11c d方法2 本题也可利用拉普拉斯展开定理进行计算,选定第2、3行,有:11232311(1)a c D d b +++=-2222a c db =(11b a 11dc -)(22b a 22d c -)例2.10 计算2n D =1111nnnna b a b c d c d ,其中未写出的元素都是0.解 方法1 利用公式A O OB=A B .采用逐行操作,将最后一行逐行和上行进行对换,直到换到第2行(作22n -次相邻对换);最后一列逐列和上列换,换到第2列(作22n -次相邻对换),得到2n D =2(22)(1)n --1111111100000n n n n n n n n a b c d a b a b c d c d ----=2D 2(1)n D -=()n n n n a d b c -2(1)n D -=()n n n n a d b c -1111()n n n n a d b c -----2(2)n D -==()n n n n a d b c -1111()n n n n a d b c -----1111()a d b c -=1()ni i i i i a d b c =-∏方法2 利用行列式展开定理进行求解.2n D 1r 展开=11111111n n nn n na b a b a c d c d d ----+12(1)n n b +-111111110n n n n na b a b c d c d c ----上面第1个行列式是A O OB的形式,而第2个行列式按第1列展开,所以2n D =2112222(1)n n n n n n n a d D b c D -+---- =()n n n n a d b c -2(1)n D - ==1()ni i i i i a d b c =-∏例2.11 计算5100011000110001100011a a aa D a a a a a ---=------. 解 方法1 采用递推的方法进行求解.5D 125c c c ++=1000010001100011011a a aa a a aaa-------- 1c 展开=1001100110011a a a a a a a -------+51000100()(1)110011a a a a a a aa+------- 即 51454()(1)D D a a +=+--, 41343()(1)D D a a +=+--,31232()(1)D D a a +=+--, 221D a a =-+故 234551D a a a a a =-+-+-方法2 采用降阶的方法进行求解.5D 12(1)r a r +-=2210011000110001100011a a a a a a a a a a a -+---------213(1)r a a r +-+=232301011000110001100011a a a a a a a a a a a a a-+--+--------2314(1)r a a a r +-+-=23423400111000110001100011a a a a a a a a a a a a a a a-+-+-+---------23415(1)r a a a a r +-+-+=23450001110001100011011a a a a a a a a aa a a-+-+---------1r 展开=2345514(1)(1)(1)a a a a a +-+-+-⋅--=23451a a a a a -+-+-例2.12 证明D n =121100010nn n xxa a a xa ----+=111n n n n x a x a x a --++++证 方法1 递推法 按第1列展开,有D n = x D 1-n +(-1)1+n a n11111n xxx-----= x D 1-n + a n由于D 1= x + a 1,2211x D a x a -=+,于是D n = x D 1-n + a n =x (x D 2-n +a 1-n )+ a n =x 2D 2-n + a 1-n x + a n== x1-n D 1+ a 2x2-n + + a 1-n x + a n =111n n n n x a x a x a --++++方法2 第2列的x 倍,第3列的x 2倍, ,第n 列的x1-n 倍分别加到第1列上12c xc n D +=2112101001000n n n n x x xa xa a a xa -----++213c x c +=3212123110000100010n n n n n n x xx a xa x a a a a x a--------+++==111x fx---n r =按展开1(1)n f+-1111n xxx----=f其中111n n n n f a a x a x x --=++++或 D n21123n nc xc x c x c -++++=122110000100001n n x x fa a ax a -----+1=按c 展开1(1)n f +-1111n x xx----=11(1)(1)n n f +---=f其中111n n n n f a a x a x x --=++++方法3 利用性质,将行列式化为上三角行列式.D n21321111n n c c x c c xc c x-+++=112200000000n n nnn n nx x x a a a a a a k xx x---+++n =按c 展开x1-n k n = x1-n (1-n n x a + 21--n n x a + +x a 2+a 1+x)=111n n n n a a x a x x --++++ 方法4n r nD =按展开1(1)n na +-1000101x x ---+21(1)n n a +--000010001x x --+ +212(1)n a --1000001x x --+21(1)()n a x -+10000000x x x-=(-1)1+n (-1)1-n a n +(-1)2+n (-1)2-n a 1-n x+ +(-1)12-n (-1)a 2x2-n +(-1)n2( a 1+x) x1-n= 111n n n n a a x a x x --++++例2.13 计算n阶“三对角”行列式Dn=001000101αβαβαβαβαβαβ++++解 方法1 递推法.D n1=按c 展开()αβ+D 1-n —(1)0000101n αβαβαβαβ-++1=按r 展开()αβ+D 1-n -αβD 2-n即有递推关系式 D n =()αβ+D 1-n -αβD 2-n (n ≥3) 故 1n n D D α--=12()n n D D βα---递推得到 1n n D D α--=12()n n D D βα---=223()n n D D βα---==221()n D D βα--而1()D αβ=+,2D =β+α1αββ+α=22ααββ++,代入上式得1n n n D D αβ--=1n n n D D αβ-=+ (2.1)由递推公式得1n n n D D αβ-=+=12()n n n D ααββ--++=α2D2-n +1n n αββ-+==n α+1n αβ-+ +1n nαββ-+=时=,当时,当--βαβα1)α(n αβαβ111≠⎪⎩⎪⎨⎧++++n n n方法2 把D n 按第1列拆成2个n 阶行列式D n =000100010001ααβαβαβαβαβ++++00010001000001βαβαβαβαβαβαβαβ+++上式右端第一个行列式等于αD 1-n ,而第二个行列式00010001000001βαβαβαβαβαβαβαβ+++12,,i i c ac i n--==00010000101ββββ=βn于是得递推公式1n n n D D αβ-=+,已与(2.1)式相同.方法3 在方法1中得递推公式D n =()αβ+D 1-n -αβD 2-n又因为当αβ+时 D 1=αβ+=βαβα--2221D αβαβαβ+=+=2()αβ+-αβ=22ααββ++=βαβα--33 D 3=βααββααββα+++110=3()αβ+-2αβ()αβ+ = ()αβ+22()αβ+=βαβα--44于是猜想11n n n D αβαβ++-=-,下面用数学归纳法证明.当n=1时,等式成立,假设当n ≤k 时成立. 当n=k+1是,由递推公式得D 1+k =()αβ+D k -αβD 1-k=()αβ+βαβα--++11k k —αββαβα--k k =βαβα--++22k k所以对于n ∈N +,等式都成立.第二部分这一部分的题是与矩阵、向量、特征值等后续内容有关的题,感觉困难的同学可以放到相关内容学习后再看.但应注意考研题中关于行列式内容的出题,往往与后续内容联系较多.例2.14 设A 为3×3矩阵, |A | =-2, 把A 按行分块为123A A A A ⎛⎫ ⎪= ⎪ ⎪⎝⎭, 其中(1,2,3)i A i =是A 的第i 行, 则行列式312122A A A A -=______.解312122A A A A -=312122A A A A -=3212A A A =12322||4A A A A -=-=例2.15 判断题(1) 若B A ,是可乘矩阵,则=AB B A . ( ) (2) 若B A ,均为n 阶方阵,则A B A B -=-. ( )解 (1) 错误,因为B A ,不一定是方阵,即不一定有对应的行列式.(2) 错误,例如取3003A ⎛⎫= ⎪⎝⎭,2002B ⎛⎫= ⎪⎝⎭,15A B A B -=≠-=.例2.16 证明:奇数阶反对称矩阵的行列式为零.证 ||||)1(||||||,A A A A A A A n T T -=-=-==-=(n 为奇数). 所以|A | = 0.例2.17 (数四,01,3分)设矩阵111111111111kk A k k ⎛⎫ ⎪⎪= ⎪ ⎪⎝⎭,且秩()R A =3,则k = 解 由于111111111111k k A k k =124r r r ++=3333111111111k k k k k k k++++=1111111(3)111111k k k k +=11110100(3)00100001k k k k -+-- =3(3)(1)k k +-由()R A =3,知A =0,而1k =时,()R A =1,故必有3k =-.例2.18 若B A ,,C 均为3阶可逆方阵,1-=A ,2=B ,计算C B A C T 211)(2--.解 C B A C T 211)(2--=23112T C A BC -- =223112TC A BC-=22312A B=2例2.19 设3阶方阵B A ,满足方程 E B A B A =--2,试求矩阵B 以及行列式B ,其中101020201A ⎛⎫⎪= ⎪ ⎪-⎝⎭. 解 由E B A B A =--2,得E A B E A +=-)(2,即 ()()A E A E B A E +-=+由于 201030202A E ⎛⎫⎪+= ⎪ ⎪-⎝⎭,180A E +=≠ 001010200A E ⎛⎫ ⎪-= ⎪ ⎪-⎝⎭,20A E -=≠ 111()()()()B A E A E A E A E ---=-++=-1001001/2010010200100--⎛⎫⎛⎫⎪ ⎪== ⎪ ⎪⎪ ⎪-⎝⎭⎝⎭所以2/1||=B .例2.20 设A 为3阶方阵,A =2,求1*1()32A A --的值. 解 方法1 化为关于*A 的形式进行计算.利用公式111()A A λλ--=,*1A A A-=,1n A A -*=有1*1()32A A --=1*23A A --=**23A A A -=**3A A -=*2A -=3*(2)A -=23(2)A -=32-方法2 化为关于1A -的形式计算. 利用公式111()A A λλ--=,*1A A A -=,1A -=1A,有 1*1()32A A --=1123A A A ---=14A --=3(4)-1A=32- 例2.21 (数四,98,3分)设B A ,均为n 阶方阵,A =2,B =-3,求1*2-B A 的值.解 1*2-BA =1*2-BA n =n21-n AB1⋅=n 212-n 31-=3212--n 例 2.22 若21321,,,,ββααα都是4维列向量,且4阶行列式n =3221,,,αβαα,m =1321,,,βααα,计算4阶行列式32112,,,αααββ+的值.解 如果行列式的列向量组为n ααα,,,21 ,则此行列式可表示为n ααα,,,21 ,利用行列式的性质,有=+21123,,,ββααα3211,,,αααβ+3212,,,αααβ=1231,,,αααβ--3221,,,ααβα=1231,,,αααβ-+1223,,,ααβα=n m -例2.23 计算行列式OB AO B A ,,||||,其中12112(1)121121n n x n x n A x n n x n n -+⎛⎫⎪-+ ⎪⎪=⎪+- ⎪ ⎪+-⎝⎭, 100002000010000B n n ⎛⎫⎪ ⎪⎪=⎪- ⎪ ⎪⎝⎭ 解 ||A =12112(1)121121n n x n x nx n nx n n-+-++-+-12,,12100000ir ri nn n x x x x x x x-=-+-=--1,,1n j c c j n +=-=(1)12120000000n n n x x x x +-+这是逆对角的上三角行列式,所以(1)12(1)(1)()2n n n n n A x x --+=-+ 又!||n B =,故12)1(!)2)1(()1(2-+-++-=n n n n x n x n n O B A O .注 这里用了公式:若A 为m 阶方阵,B 为n 阶方阵,则O AB O=(1)mn -A B .例2.24 若A 为n 阶方阵,E 为单位矩阵,满足TAA E =,0A <,求 A E +. 解 方法1 由TAA E =有A E +=T A AA +=()T A E A +=()T A E A +=A ()TE A +=A E A +=A A E +即(1)A -A E +=0,而(1)A -0>,所以A E +=0.方法2 因为 ()T A E A +=T T AA A +=TE A +=A E +即 A E +A =A E +有(1)A -A E +=0,而(1)A -0>,所以A E +=0.方法 3 由TAA E =知矩阵A 为正交矩阵,即T AA =1,2A =1,又因为0A <,所以有1A =-,故A E +=A 1E A -+=T E A -+=E A -+即2A E +=0,A E +=0.例2.25 若A 为n 阶正定矩阵,E 为n 阶单位矩阵,证明A E +的行列式大于1. 证 方法1 因为A 为正定矩阵,因此所有的特征值大于零.设A 的n 个特征值为1,1,2,,i i n λ==,且0i λ>,由特征值的性质知,A E +的n 个特征值为1,1,2,,i i n λ+=,于是1(1)(1)1n λλ++>.方法2 因为正定矩阵是对称矩阵,因此A 可对角阵,且所有的特征值大于零,故存在可逆阵P 有11n P AP λλ-⎛⎫⎪=⎪⎪⎝⎭ (0,1,2,,i i n λ>=)即 11n A P P λλ-⎛⎫⎪= ⎪ ⎪⎝⎭111n A E P P PP λλ--⎛⎫ ⎪+=+⎪ ⎪⎝⎭=1111n P P λλ-+⎛⎫⎪ ⎪ ⎪+⎝⎭A E +=1111n PP λλ-++=1(1)(1)1n λλ++>例2.26 设11112222aa A nn n n a +⎛⎫⎪+⎪= ⎪⎪+⎝⎭,求A解 利用特征值法进行求解,即利用公式12n A λλλ=.11112222aa A nn n n a +⎛⎫ ⎪+⎪= ⎪⎪+⎝⎭=100000000a ⎛⎫⎪⎪ ⎪⎪⎝⎭+11112222a nn n n a ⎛⎫ ⎪+ ⎪ ⎪⎪+⎝⎭==11112222aE n n nn ⎛⎫ ⎪⎪+ ⎪⎪⎝⎭矩阵11112222n n n n⎛⎫⎪⎪⎪⎪⎝⎭的秩为1,由第十三讲的注意(7)知它特征值为11122nna a aλ=++=(1)2n n+,23nλλλ====0所以A特征值为(1),,,2n na a a++,故A=1(1)[]2nn na a-++.21。
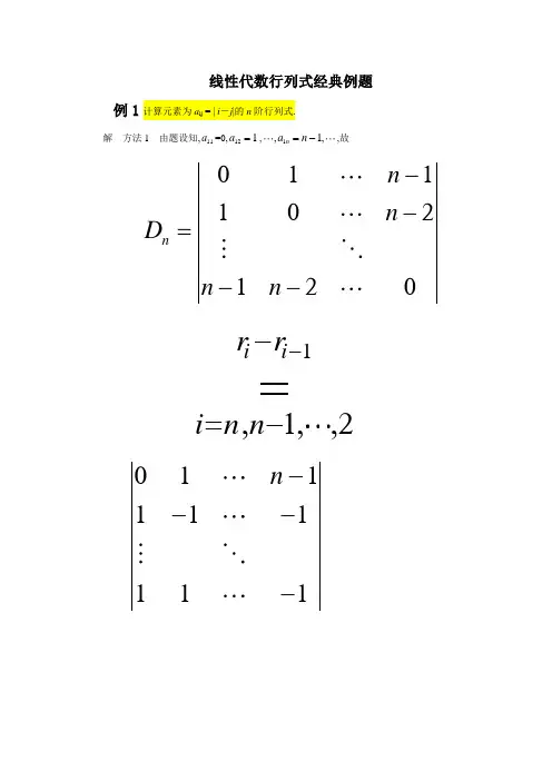
线性代数行列式经典例题例1计算元素为a ij = | i -j |的n 阶行列式.解 方法1 由题设知,11a =0,121a =,1,1,n a n =-L L ,故011102120n n nD n n --=--L L MOL1,1,,2i i r r i n n --=-=L 011111111n ----L L M O L1,,1j n c c j n +=-=L 1211021(1)2(1)0201n n n n n n ------=----L L L L M O O L M L其中第一步用的是从最后一行起,逐行减前一行.第二步用的每列加第n 列.方法2 011102120n n n D n n --=--L L M OL11,2,,1111111120i i r r i n n n +-=----=--L L L MOL12,,1001201231j c c j nn n n +=---=---L L L MOL=12(1)2(1)n n n ----例2. 设a , b , c 是互异的实数, 证明:的充要条件是a + b + c =0. 证明: 考察德蒙行列式:=行列式 即为y 2前的系数. 于是 =所以 的充要条件是a + b + c = 0.例3计算D n =121100010n n n x x a a a x a ----+K K M M M M K解: 方法1 递推法 按第1列展开,有D n = x D 1-n +(-1)1+n a n 11111n x xx-----O O= x D 1-n + a n由于D 1= x + a 1,2211x D a x a -=+,于是D n = x D 1-n + a n =x (x D 2-n +a 1-n )+ a n =x 2D 2-n + a 1-n x + a n =L = x 1-n D 1+ a 2x 2-n +K + a 1-n x + a n =111n n n n x a x a x a --++++L方法2 第2列的x 倍,第3列的x 2倍,K ,第n 列的x1-n 倍分别加到第1列上12c xc n D += 21121010010000n n n n x x xa xa a a x a -----++K K K M M M M K213c x c +=32121231010*********n n n n n n x x x a xa x a a a a x a --------+++K K KMMMM MK=L L =111x fx---OO On r =按展开1(1)n f+-1111n x xx----OO =111n n n n x a x a x a --++++L方法3 利用性质,将行列式化为上三角行列式.D n21321111n n c c x c c x c c x-+++=L1122000000000n n nnn n nx x x a a a a a a k x x x ---+++KK KM M M M Kn =按c 展开x 1-n k n = x 1-n (1-n n xa + 21--n n x a +K +x a 2+a 1+x) =111n nn n a a x a x x --++++L方法4 n r nD =按展开1(1)n na +-1000100001x x ---K K M M M M K+21(1)n n a +--0000101x x --K K M M M M K+K +212(1)n a --10000001x x --K K M M M M K+21(1)()na x -+10000000x x x-K K M M M M L=(-1)1+n (-1)1-n a n +(-1)2+n (-1)2-n a 1-n x+K +(-1)12-n (-1)a 2x2-n +(-1)n2( a 1+x) x1-n= 111n nn n a a x a x x --++++L例4. 计算n 阶行列式:11212212n n n n na b a a a a b a D a a a b ++=+L L M M M L(120n b b b ≠L )解 采用升阶(或加边)法.该行列式的各行含有共同的元素12,,,n a a a L ,可在保持原行列式值不变的情况下,增加一行一列,适当选择所增行(或列)的元素,使得下一步化简后出现大量的零元素.12112122121000n n n n n na a a ab a a D a a b a a a a b +=++L L L M M M M L升阶213111n r r r r r r +---=L 12121100100100n na a ab b b ---L L L M M M M L1112,,1j j c c b j n -+=+=L 1112111210000000n na a a a ab b b b b +++L L LL M M M M L=1121(1)n n na ab b b b b +++L L 这个题的特殊情形是121212n n n n a x a a a a x a D a a a x++=+LL M M M L=11()nn i i xx a -=+∑可作为公式记下来.例5.计算n 阶“三对角”行列式D n =00100010001αβαβαβαβαβαβ+++K K KM M M MMK+ 解 方法1 递推法.D n1=按c 展开()αβ+D 1-n —(1)000010001n αβαβαβαβ-++K K M M M M M K1=按r 展开()αβ+D 1-n -αβD 2-n即有递推关系式 D n =()αβ+D 1-n -αβD 2-n (n ≥3) 故 1n n D D α--=12()n n D D βα---递推得到 1n n D D α--=12()n n D D βα---=223()n n D D βα---=L =221()n D D βα--而1()D αβ=+,2D =β+α1αββ+α=22ααββ++,代入得1n n n D D αβ--=1n n n D D αβ-=+ (2.1)由递推公式得1n n n D D αβ-=+=12()n n n D ααββ--++=α2D2-n +1n n αββ-+=L=nα+1n αβ-+K +1n n αββ-+=时=,当时,当--βαβα1)α(n αβαβ111≠⎪⎩⎪⎨⎧++++n n n方法2 把D n 按第1列拆成2个n 阶行列式D n =00010010001ααβαβαβαβαβ++K K KM M M MMK++00100010000001βαβαβαβαβαβαβαβ+++K K KM M M MMK K上式右端第一个行列式等于αD 1-n ,而第二个行列式00100010000001βαβαβαβαβαβαβαβ+++K K KM M M MMK K12,,i i c ac i n--==L 000010000100001ββββK K KM M M M M K=βn 于是得递推公式1nn n D D αβ-=+,已与(2.1)式相同.方法3 在方法1中得递推公式D n =()αβ+D 1-n -αβD 2-n又因为当αβ+时 D 1=αβ+=βαβα--2221D αβαβαβ+=+=2()αβ+-αβ=22ααββ++=βαβα--33D 3=βααββααββα+++110=3()αβ+-2αβ()αβ+ = ()αβ+22()αβ+=βαβα--44于是猜想11n n n D αβαβ++-=-,下面用数学归纳法证明.当n=1时,等式成立,假设当n ≤k 时成立. 当n=k+1是,由递推公式得D 1+k =()αβ+D k -αβD 1-k=()αβ+βαβα--++11k k —αββαβα--k k =βαβα--++22k k所以对于n ∈N +,等式都成立例6. 计算n 阶行列式:12111111111n na a D a ++=+LL M M M L其中120n a a a ≠L .解 这道题有多种解法. 方法1 化为上三角行列式nD 12,,i r r i n-==L 1121111n a a a a a +--L M O112,,j ja c c a j n+==L 21100nb a a L M O其中11211ni i b a a a ==++∑1111n i i a a =⎛⎫=+ ⎪⎝⎭∑,于是n D 12111nn i i a a a a =⎛⎫=+ ⎪⎝⎭∑L . 方法2 升阶(或加边)法12111101*********1n na D a a +=++L L L M M M M L升阶12,3,,1i r r i n -=+=L 121111100100100na a a ---L L L M M M M L11111121,2,,1121111111j jni jc c a nn j n i i na a a a a a a a +=+=-=+⎛⎫==+ ⎪⎝⎭∑∑L LL O方法3 递推法.将n D 改写为1211101110111n na a D a ++++=+LL M M M Ln =按c 拆开12111111111a a ++L L M M M L+1211011011na a a ++L L M M M L由于12111111111a a ++L L M M M L1,,1i n r r i n -=-=L 12111a a L121n a a a -=L1211011011na a a ++L L M M M Ln =按c 展开1n n a D -因此n D =1n n a D -121n a a a -+L 为递推公式,而111D a =+,于是n D =1n n a D -121n a a a -+L =12n a a a L 11211n n n D a a a a --⎛⎫+ ⎪⎝⎭L=12n a a a L 2122111n n n n D a a a a a ---⎛⎫++⎪⎝⎭L =L L=12n a a a L 11211n D a a a ⎛⎫+++⎪⎝⎭L =12n a a a L 121111n a a a ⎛⎫++++ ⎪⎝⎭L。
第一章习题1-1.计算下列行列式(1)713501163.(2)4321651005311021.(3)222111ab c a b c . (4)2010411063143211111.(5)49362516362516925169416941.1-2.计算行列式abcdb a dc cd a b d c b a.1-3.计算n 阶行列式(1)n321332122211111.(2)14321432113213121321n nnn nn n n---.(3)21111121111211112------. 1-4. 证明:(1)2221112222221111112c b a c b a c b a b a a c c b b a a c c b b a a c cb =+++++++++.(2)321321321332321332321332321c c c b b b a a a c mc c lc kc c b mb b lb kb b a ma a la ka a =+++++++++.(3)222244441111a b c d a b c d a b c d ()()()()()()()b a c a d a c b d b d c a b c d =------+++.1-5.计算行列式xyy x y x y x 0000000000.1-6.计算4阶行列式112233440000000a b a b b a b a . 1-7. 如果行列式∆=nnn n nna a a a a a a a a212222111211,试用∆表示行列式nnn n n nn a a a a a a a a a a a a 11211213323122221的值. 1-8.利用克莱姆法则解线性方程组⎪⎪⎩⎪⎪⎨⎧=+-+-=+-=--=+-+067452296385243214324214321x x x x x x x x x x x x x x . 1-9. 问λ取何值时,齐次线性方程组可能有非零解?12120x x x x λλ+=⎧⎨+=⎩ 1-10.已知()413571200=10301004ij D a =,求11121314A A A A +++.第一章习题解答1-1.计算下列行列式(1)713501163(2)4321651005311021(3)2010411063143211111(4)49362516362516925169416941(5)222111a b c a b c .(1)解一 由三阶行列式定义得71350116330765311110335161709010154234.=⨯⨯+⨯⨯+⨯⨯-⨯⨯-⨯⨯-⨯⨯=++---=解二2331123361105105105361056317317018r r r r r r --↔==--23325105105018018340560034r r r r ↔-=-=-=-.(2)解213241120112011201135001510151015601560007123400330033r r r r r r -----==34120101512100330007r r ↔-==.(3)解43433232211111111111111234012301231361001360013141020014100014r r r r r r r r r r -----==4311110123100130001r r -==.(4)解43433232211491614916149164916253579357909162536579112222162536497911132222r r r r r r r r r r -----===.(5)解 222111()()()ab c c b c a b a a b c =---. 1-2.计算行列式abcdb a dc cd a b d c b a.解12341111()r r r r ab c d b a d c b a d c a b c d c d a b c d a bdcba dcba+++=+++41322110()c c c c c c b a bd a c b a b c d c d c a d b c dc db ca d------=+++------()a b d ac b a b cd d c a db c c db ca d---=+++------ 3221()000r r r r a b d a c b a b c d a b c da b c da b c d++---=+++--++--+--21()()(1)d a c b a b c d a b c d a b c da b c d+--=+++--+-+--+--[]()()()()()()()()().a b c d a b c d a b c d d a c b a b c d a b c d a b c d a b c d =-+++--++-----=+++--++---+-1-3.计算n 阶行列式(1)n321332122211111.(2)143214321132********n nn n nn n n---.(3)21111121111211112------.(1)解 1122111111111122201111123300111230001n n n n r r r r r r n------==. (2)解12123112312131113123111311(1)22341134123411341nc c c n n n n n n n n n n n n n n n n n n+++------+=2131112310100001200(1)2112001111n r r r r r r n n n n n n------+=--10001200(1)113021111n n n--+=--1(1)!(1).2n n -+=-(3)解 21111111112111021111211012111111210112n D +--+==---+-----+--, 按第一列展开成两个行列式得111111111211021111210121111112112n D -=+--------213111111032200320003n nr r r r r r n D +++-=+ 112122122333333n n n n n n n D D D -------=+=++=++++12212221333333512n n n n ----=++++=++++-12213313333111132n n n n ---+=++++++=+=-.1-4. 证明:(1)2221112222221111112c b a c b a c b a b a a c c b b a a c c b b a a c cb =+++++++++.证11111111111111112222222222222222b cc a a b b c a a b c c a a b b c c a a b b c a a b c c a a b b c c a a b b c a a b c c a a b ++++++++++=++++++++++++左= 1111111122222222b c a a c a a b b c a a c a a b b c a a c a a b ++=+++++111111222222bc a c a b b c a c a b b c a c a b =+1112222a b c a b c a b c ==右. (2)321321321332321332321332321c c c b b b a a a c mc c lc kc c b mb b lb kb b a ma a la ka a =+++++++++. 证 1323123233122312323312231232331223c lc c mc a ka la a ma a a ka a a b kb lb b mb b b kb b b c kc lc c mc c c kc c c --+++++++=+++++左=12123123123c kc a a a b b b c c c -==右. (3)222244441111a b c d abcda b c d ()()()()()()()b a c a d a c b d b d c a b c d =------+++.证 243322122224444222222222111111110=()()()0()()()r a r r ar r ar a b c d b a c a d a a b c d b b a c c a d d a a b c d b b a c c a d d a ------=------左222222222()()()()()()b ac ad a b b a c c a d d a b b a c c a d d a ---=------222111()()()()()()b ac ad a bcdb b ac c ad d a =---+++21222111()()()()()()r ar b a c a d a b ac ad ab b ac c ad d a +=---++++++23121()2222111()()()00()()()()r b r r b a r b a c a d a c bd bc b c ad b d a --+=------+-+2222()()()()()()()c bd bb ac ad a c b c a d b d a --=----+-+[]222211()()()()()()()()()()()()()()()()()()()()()()()()()()()()(b a c a d a c b d b c b c a d b d a b a c a d a c b d b d b d a c b c a b a c a d a c b d b d ad bd ab c ac bc ab b a c a d a c b d b d ad bd c ac bc b a =-----++++=-----++-++⎡⎤=-----+++----⎣⎦⎡⎤=-----++---⎣⎦=-)()()()()()()c a d a c b d b d c a b c d -----+++=右.1-5.计算行列式xyy x y x y x 0000000000.解 记000000000n x y x y D x y y x=,当1n =时,1D x =;当2n ≥时,按第1列展开得000000000000000n x y x y x y xyD x x y xyx==100000(1)0000n y x y y y xy++-1(1)n n n x y +=+-.1-6.计算4阶行列式1122334400000000a b a b b a b a . 解11222222111413313333444400000(1)0(1)000a b a b a b a b a b a b b a b a a b b a ++=-+- 2222333114143333(1)(1)a b a b a a b b b a b a ++=⨯--⨯-()()142323142323a a a a b b bb a a b b =---14142323()()a a b b a a b b =--.1-7. 如果行列式∆=nnn n nna a a a a a a a a212222111211,试用∆表示行列式nnn n n nn a a a a a a a a a a a a 11211213323122221的值.解112212122211121313232122211121211121(1)(1)n n n n r r n r r n n r r n n n n n nn n n nnna a a a a a a a a a a a a a a a a a a a a ---↔↔↔--=-=-∆.1-8.利用克莱姆法则解线性方程组⎪⎪⎩⎪⎪⎨⎧=+-+-=+-=--=+-+067452296385243214324214321x x x x x x x x x x x x x x .解 方程组的系数行列式2151130627002121476D ---==≠--,181********52120476D ---==---,2285119061080512176D --==----,321811396270252146D --==--,4215813092702151470D --==---,方程组的解为12343,4,1,1x x x x ==-=-=.1-9. 问λ取何值时,齐次线性方程组可能有非零解?12120x x x x λλ+=⎧⎨+=⎩解 方程组的系数行列式211(1)(1)1D λλλλλ==-=+-,当1λ=或1λ=-时,0D =,方程组可能有非零解.1-10. 已知()413571200=10301004ij D a =,求11121314A A A A +++.解 1234411122341112131411111111112000200==103000301004004k c c c c k A A A A =----+++∑=-2.。
线性代数行列式经典例题例 1计算兀素为a ij = | i — j|的n 阶行列式解方法1由题设知, an =0,a 〔2 1 , L,a1nn 1丄故0 1L n 10 1 L n 11L n2rir 111 L1D nMOi n ,n1,L ,2MOn 1 n2 L 011 L1n 1 n L L n 12L L1C j CnM O OL ( 1)n 12* 2(n 1)j 1,L ,n 1M0 2L 01其中第一步用的是从最后一行起,逐行减前一行•第二步用的每列加第n 列.的充要条件是 a + b + c =0.证明:考察德蒙行列式=(a 一对o—1 L n 111 L 1 1 0L n 2r i r i 1 1 1 L 1 MOi 1,2,L ,n 1M On 1n 2 Ln 1n 2 L方法2 D n10 L 0 Cj G 12 L0 j 2,L ,nM On 12n 3 Ln 11)n 12n 2(n 1) =(例 2.设a , b , c 是互异的实数,证明:1 x行列式即为y 2前的系数•于是所以的充要条件是a + b + c = 0.x 10 K 0 x 1 K MM Ma na n 1a n 2K例3计算D n = 递推法按第 1 0 0 M x a i解:方法1列展开,D n = x D n 1 + (-1) a n =x D n 1+ a n 由于 D 1 = x + a 1, D 2 a 2a 1 2 1+ a n =x(x D n 2 +a n 1)+ a n =x D n 2 + n 1 n 2 a n 1x + a n = L = x D 1 + a 2 x + n n 1 + a n 1 x + a n = x a 1 x a n 1 x a n,第n 列的x n 1倍分别加到第1列上 01 0K C 1 XC 22 x x1 K D n0 0 x KMMMa n xa n 1a n 1a n 2K方法2第2列的x 倍,第3列的x 2倍, 0 0 0M x a 11 0 0 K 2C 1xC30 x 1 0K3 x 0 x 1 KMMMM2 a n xa n 1x a n 2a n 1a n 2a n 3K0 0 0 M x a 10 1x 1 O OfO按r n 展开1)n11 x 1x O Oxna 〔xa n 1x a n方法3利用性质,将行列式化为上三角行列式.1 c Gx 1c 3c2Xx 0 0x 0 0 MM0 0 x M-Cn a na n 1a na n 2a n 1按Cn 展开““ a n 1n 1 dnx k n = x ( —^7 +xa n 1 x0 0 0 M k na 2 + +a 1 +x)x按r n 展开1 方法4D n( 1)n1a nAMX0 K 0 0n 21 K0 0(1) a n1+M MM MK X 1X 1 K0 02 n0 X K0 0+ ( 1) (a 1 x)M M M M 0 0 L 0 X n 1 n=a n a n 1X L a 1X x=(-1) n 1 (- 1) n 1a n + (- 1) 0 K1 K 0+MM M0 KX1X1 K 0 0+ ( 1)2n 1a 20 X K 0 0M MM M0 K1(-1 ) n 2 a n 1X+ (-1) 2n 1(一 1) a 22 + (— 1) 2nn 1(a 1+x) xa n a n 1X L n 1 n a 1x x 例4.计算n 阶行列式: a Ea 2L a n D nqa 2b 2L a n M M Ma 1 a 2L a nb n(解 采用升阶(或加边)法.该行列式的各行含有共同的元素bbL b n 0)a 1,a 2,L , a * ,可在保持原行列式值不变的情况下,增加一行一列,适当选择所增行(或列)的元素,使得下一步化 简后出现大量的零元素.1aa 2 La n1 a 1 a2 L a n 升阶0 a 1a 2 L a n2 r 13 r 11 bi 0 L 0 D n0 aa 2b 2 La n Lrn 1r11 0 b2 L 0 M MMMM M MMaa 2La nb n10 0Lb n彳a1La 1L1 —a 1a 2 a n 1bib 1q — C jb j i0 bi 0 L 0a 1a nj 2丄,n 1L=d b ? L b n (1Ln0 b 2 0b nMM MM0 0 Lb n例5.计算n 阶“三对角”行列式K 0 01K 0 0D n =0 1 + K 0 0M M MMM0 00 K 1解方法1递推法K 0 0按q 展开D n()D n 1 ―1K 0M M MM MK 1(n 1)按口展开()D n 1 —D n 2即有递推关系式D n=( )D n1 — D n2(n 3)故D nD n1 =(D n 1D n 2 )可作为公式记下来.递推得到D n D n 1 = (D ni2D n 2)= ( D n 2 D n 3)a 1 x a 2D na 1 a 2 xM Ma 1 a 2L a nL a n n 1 /n =x (x ajMi 1 L an X这个题的特殊情形是n 2八=L= (D 2 D i )方法3在方法1中得递推公式D n = () D n 1 — Dn 22 2又因为当时 D 1= = ------------D nD n1n(2.1)由递推公式得D n D n 1 0 = ( D n 2n1)n2 .=aD n 2 +n 1nD 2=(而D 1 (D 2=ap a + B代入得D nD n 1(n当a B 时 当a=B 时1K K 0 0 0 0D n = 01 +K0 0+M M MMMK1K 0 0 1K 0 0 0 1K0 0 MM MMM0 0 0 KK1K 0 0 1K 0 0 0 1K0 0 M M MMM0 0 0 KK10 0 K0 010 K0 0c aq 11K0 0 n =B i 2,L ,nM M MM M 10 0 K1n 1方法2把D n 按第1列拆成2个n 阶行列式上式右端第一个行列式等于aD n 1,而第二个行列式于是得递推公式 D n D n 1 n ,已与(2.1)式相)2n 1 n 1于是猜想D n ------------------ ,下面用数学归纳法证明. 当n=1时,等式成立,假设当 n k 时成立. 当n=k+1是,由递推公式得D k 1 = () D k — Dk 1=(所以对于n N ,等式都成立例6.计算n 阶行列式:D na n其中a n 0 .方法2升阶(或加边)法D 3 =)(=()3-2(4 4a 2解这道题有多种解法. 方法1 化为上三角行列式其中b 1i 2 3i1 a 1 1L1&1c1 丁 C jb1 L1r i r 1a 1a 2aj0 a 22,L ,nM Oj 2,L ,nMOa 1a na n1n1na 1 1于是D na 〔 a ? a n 1i 1a ia ii 1D n. i n0 0方法 由于 因此 升阶D n1c1cj 1aj1,2,L ,n 1递推法.a11r i「11 a 1 1 1 a 11 D n = a n D n 1a ja 2 M2,3,L , n 1a 10 M a 2 Ma 1a na na 2a n1 3ia 11 L 1 01 1 a2 L1 0M MM11L1 a n1 a 11 L 11 a 11 L 01 1 a 2L11 1 a2 L+MMM AM MM 1 1L111La nD n 改写为按c n 拆开L a 2 D na 2 M a^L a n 1 a 11 r i 「na 2M i 1L ,n 1111 L1L 3卫2 L L按c n 展开a n 1a n1为递推公式, a nD n 1而D 1D n =a nD n 1a 1 a 2 L a n 1=a 1a 2L a nD n 1a 1a 2La n 1D n 2=a 1a 2 L a na 1a 2L a n 2a n 1—=L L a nD1 1 1 11 1 =a〔a2 L 3n L = a〔a2 L a n 1 La1 a2 a n a1 a2 a n a〔a?。
线性代数行列式经典例题例1计算元素为a ij = | i -j |的n 阶行列式.解 方法1 由题设知,11a =0,121a =,1,1,n a n =-,故01110212n n n D n n --=--1,1,,2i i r r i n n --=-=011111111n ----1,,1j n c c j n +=-=1211021(1)2(1)21n n n n n n ------=----其中第一步用的是从最后一行起,逐行减前一行.第二步用的每列加第n列. 方法201110212n n n D n n --=--11,2,,111111112i i r r i n n n +-=----=--12,,1001201231j c c j nn n n +=---=---=12(1)2(1)n n n ---- 例2. 设a , b , c 是互异的实数, 证明:的充要条件是a + b + c =0.证明: 考察范德蒙行列式:=行列式 即为y 2前的系数. 于是=所以的充要条件是a + b + c = 0.例3计算D n =121100010nn n x xa a a xa----+解: 方法1 递推法 按第1列展开,有D n = x D 1-n +-11+n a n11111n x x x-----= x D 1-n + a n由于D 1= x + a 1,2211x D a x a -=+,于是D n = x D 1-n + a n =xx D 2-n +a 1-n + a n =x 2D 2-n + a 1-n x + a n == x1-n D 1+ a 2x2-n + + a 1-n x + a n =111n n n n x a x a x a --++++方法2 第2列的x 倍,第3列的x 2倍, ,第n 列的x1-n 倍分别加到第1列上12c xc n D +=21121010010000n n n n x x x a xa a a xa -----++213c x c += 32121231010000100010n n n n n n x xx a xa x a a a a xa--------+++==111x fx---n r =按展开1(1)n f+-1111n x xx----=111n n n n x a x a x a --++++方法3 利用性质,将行列式化为上三角行列式.D n21321111n n c c x c c xc c x-+++=112200000000n n nnn n nx x x a a a a a a k xx x---+++n =按c 展开x1-n k n = x1-n1-n n x a + 21--n n xa + +x a 2+a 1+x =111n n n n a a x a x x --++++方法4n r nD =按展开1(1)n na +-10001001x x---+21(1)n n a +--00001001xx--+ +212(1)n a --1000001x x --+21(1)()na x -+100000x x x-=-11+n -11-n a n +-12+n -12-n a 1-n x + +-112-n -1a 2x 2-n +-1n 2 a 1+x x 1-n = 111n n n n a a x a x x --++++例4. 计算n 阶行列式:11212212nn n n na b a a a a b a D a a a b ++=+ 120n b b b ≠解 采用升阶或加边法.该行列式的各行含有共同的元素12,,,n a a a ,可在保持原行列式值不变的情况下,增加一行一列,适当选择所增行或列的元素,使得下一步化简后出现大量的零元素.1211212212100n n n n n na a a ab a a D a a b a a a a b +=++升阶213111n r r r r r r +---=121211001001n na a ab b b --- 1112,,1j j c c b j n -+=+=11121112100000000n na a a a ab b b b b +++=1121(1)nn na ab b b b b +++这个题的特殊情形是121212nn n n a x a a a a x a D a a a x++=+=11()nn i i xx a -=+∑可作为公式记下来.例5.计算n 阶“三对角”行列式D n =001000101αβαβαβαβαβαβ++++解 方法1 递推法.D n1=按c 展开()αβ+D 1-n —(1)00001001n αβαβαβαβ-++1=按r 展开()αβ+D 1-n -αβD 2-n即有递推关系式 D n =()αβ+D 1-n -αβD 2-n n ≥3 故 1n n D D α--=12()n n D D βα---递推得到 1n n D D α--=12()n n D D βα---=223()n n D Dβα---==221()n D D βα--而1()D αβ=+,2D =β+α1αββ+α=22ααββ++,代入得1n n n D D αβ--=1n n n D D αβ-=+由递推公式得1n n n D D αβ-=+=12()n n n D ααββ--++=α2D2-n +1n n αββ-+==nα+1n αβ-+ +1n n αββ-+=时=,当时,当--βαβα1)α(n αβαβ111≠⎪⎩⎪⎨⎧++++n n n方法2 把D n 按第1列拆成2个n 阶行列式D n =000100010001ααβαβαβαβαβ++++0010001000001βαβαβαβαβαβαβαβ+++上式右端第一个行列式等于αD 1-n ,而第二个行列式0010001000001βαβαβαβαβαβαβαβ+++12,,i i c ac i n--==0001000010001ββββ=βn于是得递推公式1nn n D D αβ-=+,已与式相同.方法3 在方法1中得递推公式D n =()αβ+D 1-n -αβD 2-n又因为当αβ+时 D 1=αβ+=βαβα--2221D αβαβαβ+=+=2()αβ+-αβ=22ααββ++=βαβα--33D 3=βααββααββα+++110=3()αβ+-2αβ()αβ+ = ()αβ+22()αβ+=βαβα--44于是猜想11n n n D αβαβ++-=-,下面用数学归纳法证明.当n=1时,等式成立,假设当n ≤k 时成立. 当n=k+1是,由递推公式得D 1+k =()αβ+D k -αβD 1-k=()αβ+βαβα--++11k k —αββαβα--k k =βαβα--++22k k所以对于n ∈N +,等式都成立例6. 计算n 阶行列式:12111111111n na a D a ++=+其中120n a a a ≠.解 这道题有多种解法. 方法1 化为上三角行列式nD 12,,i r r i n-==1121111n a a a a a +--112,,j ja c c a j n+==21100nb a a其中11211ni i b a a a ==++∑1111ni i a a =⎛⎫=+ ⎪⎝⎭∑,于是n D 12111nn i i a a a a =⎛⎫=+ ⎪⎝⎭∑.方法2 升阶或加边法121111011101110111n na D a a +=++升阶12,3,,1i r r i n -=+=1211111001001na a a --- 11111121,2,,1121111111j jni jc c a nn j n i i na a a a a a a a +=+=-=+⎛⎫==+ ⎪⎝⎭∑∑方法3 递推法.将n D 改写为1211101110111n na a D a ++++=+n =按c 拆开12111111111a a +++1211011011na a a ++由于12111111111a a ++1,,1i n r r i n -=-=12111a a 121n a a a -=1211011011na a a ++n =按c 展开1n n a D -因此n D =1n n a D -121n a a a -+为递推公式,而111D a =+,于是n D =1n n a D -121n a a a -+=12n a a a 11211n n n D a a a a --⎛⎫+ ⎪⎝⎭=12n a a a 2122111n n n n D a a a a a ---⎛⎫++ ⎪⎝⎭==12n a a a 11211n D a a a ⎛⎫+++⎪⎝⎭=12n a a a 121111n a a a ⎛⎫++++⎪⎝⎭。
一、填空题1.设自然数从小到大为标准次序,则排列1 3 … )12(-n 2 4 … )2(n 的逆序数为 ,排列1 3 … )12(-n )2(n )22(-n …2的逆序数为 . 2.在6阶行列式中,651456314223a a a a a a 这项的符号为 . 3.所有n 元排列中,奇排列的个数共 个. 二、选择题1.由定义计算行列式nn 00000010020001000ΛΛΛΛΛΛΛΛΛΛ-= ( ). (A )!n(B )!)1(2)1(n n n --(C )!)1(2)2)(1(n n n --- (D )!)1()1(n n n --2.在函数xx x x xx f 21123232101)(=中,3x 的系数是( ).(A )1 (B )-1 (C )2 (D )33.四阶行列式的展开式中含有因子32a 的项,共有( )个. (A )4; (B )2; (C )6; (D )8.三、请按下列不同要求准确写出n 阶行列式)det(ij a D =定义式: 1. 各项以行标为标准顺序排列;2. 各项以列标为标准顺序排列;3. 各项行列标均以任意顺序排列.四、若n 阶行列式中,等于零的元素个数大于n n -2,则此行列式的值等于多少?说明理由.一、填空题1.若D=._____324324324,13332313123222121131211111333231232221131211=---==a a a a a a a a a a a a D a a a a a a a a a 则2.方程229132513232213211x x --=0的根为___________ .二、计算题 1. 8171160451530169144312----- 2.dc b a100110011001---3.abbb a b b b a D n ΛΛΛΛΛΛΛ=4.111113213211211211211nn n n n a a a a x a a a a x a a a a x a a a a x D ΛΛΛΛΛΛΛΛΛΛΛ---+=5.计算n 阶行列式)2(212121222111≥+++++++++=n nx x x n x x x n x x x D n n n n ΛΛΛΛΛΛΛ。
第一讲 行列式例1、下三角行列式nnnn n nnnn n n n n n n a a a a a a a a a a a a a a a a22112211)12(121111211222111)1(000000000=-=-----τ对角行列式,上(下)三角行列式的值就等于对角线上的元素的乘积例2、 求xx b x a x 1221102085413+----的4x 和3x 的系数.解析:4x 的系数是1;3x 的系数是-10例3、 求3阶行列式 754102643--=(-3)A 11+4A 12+6A 13=(-3)M 11-4M 12+6m 3=(-3)⨯(-5)-4⨯(-18)+6⨯(-10)=27.例4、1010001001tt tt解析: 原式=1 A 11+t A 1n =1+11)1(-+-⋅n ntt=1+ nnt +-1)1(例5、 求行列式 2235007022220403--的第四行各元素的余子式的和. 解析: 所求为4443424144434241A A A A M M M M +-+-=+++原式=444342412235A A A A +-+将原行列式换为1111007022220403---即他的值就是原题的余子式之和答案为-28(对第三行展开 323277M A =-)例6、27718497518100549754102643=--==--08题aaa aa aa a a A 2012001200012000122222=. 证明|A |=(n+1)a n .分析: 证明:初等变换nan nan a a a n an a a a aaa aa a a a aa aa a a a )1()1(34232)1(010000340000023000012201200034000002300001220012001200002300001222222+=+⋅⋅=+→→→例7、 ?=cA 答A c n; 例 8、设4阶矩阵BA B A B A +====求,3,2),,,,(),,,,(321321γγγβγγγα解:40,,,8,,,8,,,82,2,2,),2,2,2,(321321321321321=+=+=+=++=+γγγβγγγαγγγβαγγγβαγγγβαB A B A例9、 已知行列式3123111++++-+--z x y y x z z y xd c b a 的代数余子式A 11=-9,A 12=3,A 13=-1,A 14=3,求x,y,z.解析:思路:利用性质8⎪⎩⎪⎨⎧===⇒⎪⎩⎪⎨⎧=+++--→z y x z y x 0)1(339(二)、典型例题 例1①22222aaaaa a a a a a a a a a a aa a a a ②xx x x ++++1111111111111111③aa a a ++++4444333322221111④ 对角线上的元素都为0,其它元素都为1的n 阶行列式. ②分析:解:4)x 00000001114111411141114111411111111111111113+=+→+++++++→++++(所以值x xx x x xxx x x x x xx x x①分析:与②同理 ④分析:类型一致③分析:把下面三行分别加到第一行例24321532154215431543254321解:100510501500115111111411411411115111411411411411115111401141014110411105432154321153215152154151543155432154321532154215431543254321-------→-------→----→----→→所以值=15×125=1875例343211111111111111111x x x x ++++解:+=+++++==+++++++=++++4321431432432143214324321401010********01001001000100000000011101110111011111111111111111111111111111111111x x x x x x x x x x x x x x x x x x x x x x x x x例4 证明时)当b a ba bab aba ab b a b b a a b b a n n ni iin ≠--==++++++=-∑(00000000011分析:证明:归纳法:展开递推21n )(---+=→n n abD D b a D 递推公式 再用归纳法证明之 也可以:nn n n abD ab a b ab a bD ba ab b a b ab a bD ba ab b a b b a b b b a a b b a b b a a b a +=+==+++=+++++++---111000000000000000000000000000000000000000000时)当另b a ba baD baD b a b a D D D D n n n n n n nn nn ≠--=→-=-→⨯〉〈-⨯〉〈〉〈+=〉〈+=++++--()(212b a 1a b 111111-n 11-n na n aaa a a a a a ab a )1(2020000020002+=其值为时另当第二讲 矩阵例、⎪⎪⎪⎭⎫ ⎝⎛---=101111010A ,⎪⎪⎪⎭⎫⎝⎛--=301521B .求 B AX =的解⎪⎪⎪⎭⎫⎝⎛---→⎪⎪⎪⎭⎫⎝⎛-----=313315210010101301521101111010)(B A⎪⎪⎪⎭⎫⎝⎛---→⎪⎪⎪⎭⎫ ⎝⎛---→211213100010001413415200010101⎪⎪⎪⎭⎫⎝⎛---=211213X2007年的一个题中,求3阶矩阵 B , 满足⎪⎪⎪⎭⎫ ⎝⎛--=⎪⎪⎪⎭⎫ ⎝⎛-222111B ,⎪⎪⎪⎭⎫ ⎝⎛=⎪⎪⎪⎭⎫ ⎝⎛011011B ,⎪⎪⎪⎭⎫ ⎝⎛=⎪⎪⎪⎭⎫ ⎝⎛110110B .解:建立矩阵方程⎪⎪⎪⎭⎫⎝⎛--=⎪⎪⎪⎭⎫ ⎝⎛-102112012101111011B⎪⎪⎪⎭⎫⎝⎛---→⎪⎪⎪⎭⎫ ⎝⎛---21311001112011001111011222110011111⎪⎪⎪⎭⎫⎝⎛--→⎪⎪⎪⎭⎫ ⎝⎛-→011101110100010001033110011300110011⎪⎪⎪⎭⎫ ⎝⎛--=011101110TB⎪⎪⎪⎭⎫⎝⎛--=011101110B2008年考题: 03=A ,时 证明: A E -可逆.证 E A E A A E A E =-=++-32))((.所以A E -可逆例1、设C B A ,,都是n 阶矩阵,满足CA A C AB E B +=+=,,则C B -为(A)E .(B) E -. (C)A . (D)A -. )(A (2005年数学四)AB E B +=化为E B A E =-)( 即 B 与 )(A E - 互为逆矩阵CA A C += 化为 A A E C =-)(, 用 B 右乘得 AB C = 例2、 设A 是3阶矩阵,将A 的第2行加到第1行上得B ,将B 的第1列的-1倍加到第2列上得 *C .记⎪⎪⎪⎭⎫⎝⎛=100011001PAP P C A 1)(-= 1)(-=PAP C B AP P C C T =)( TPAPD =)(A B ⎪⎪⎪⎭⎫ ⎝⎛=100010011⎪⎪⎪⎭⎫⎝⎛-=100010011B C110010011100010011-=⎪⎪⎪⎭⎫⎝⎛-⎪⎪⎪⎭⎫ ⎝⎛=PAP A C例3、 设A 是3阶可逆矩阵,交换A 的1,2行得B ,则(A) 交换*A 的1,2行得到*B . (B) 交换*A 的1,2列得到*B . (C) 交换*A 的1,2行得到*-B . (D) 交换*A 的1,2列得到*-B . 2009题设A 和B 都是2阶矩阵,2=A , 3=B .则 ()=⎪⎪⎭⎫⎝⎛*O BA O⎪⎪⎭⎫⎝⎛**O A B O A 23)(⎪⎪⎭⎫⎝⎛**O A B OB 32)( ⎪⎪⎭⎫⎝⎛**O B A O C 23)(⎪⎪⎭⎫⎝⎛**O B A O D 32)(( 2009年的考题)解:1-*=CC C先求1-C()⎪⎪⎪⎪⎪⎭⎫⎝⎛→⎪⎪⎪⎪⎪⎭⎫⎝⎛=00100011000010010010*********A O O B O B A OE C⎪⎪⎭⎫ ⎝⎛→--O ABO E O O E11⎪⎪⎭⎫ ⎝⎛=⎪⎪⎭⎫ ⎝⎛=----*O ABOO A BO O BA O C 1111⎪⎪⎭⎫⎝⎛=⎪⎪⎭⎫ ⎝⎛=⎪⎪⎭⎫ ⎝⎛=**----O A B B A O OA AB B B A O O ABOB A 1111例4、 设A 是n 阶非零实矩阵,满足 TA A =*. 证明:)1(>A)2(如果2>n 则1=A解:条件TA A =*,即,)()(Tij T ij a A =即ji ij ij a A ,,∀=(1)inin i i i i A a A a A a A ++=2211022221≥+++=ini i a a a又因为 0≠A , 即A 有非零元素, 则2221>+++=in ke k a a a A(2)EA AAAAT==*nAA=2得12=-n A因为>A2-n 是正整数,得1=A例5、 3阶矩阵B A ,满足E BA ABA +=**2,其中⎪⎪⎪⎭⎫⎝⎛=100021012A ,求B .(04一) 解:E BA ABA+=**2E BA E A =-*)2(AB E A A =-)2(AB E A A =-23913112122=⨯=-=AE A B例6 设3阶矩阵,⎪⎪⎪⎭⎫⎝⎛---=201011153A A XA XA A 21+=-,求X .解: 11112)(----+=AAXAAAXA AE X X A 21+=-A AX X 2+=A X A E 2)(=-⎪⎪⎪⎭⎫⎝⎛------=-4020222106101021152)2(A A E ⎪⎪⎪⎭⎫⎝⎛----→⎪⎪⎪⎭⎫ ⎝⎛------→010424202210001002142262022120110021⎪⎪⎪⎭⎫⎝⎛---→01042424106100010001得⎪⎪⎪⎭⎫ ⎝⎛---=01042424106X例7 设3阶矩阵,⎪⎪⎪⎭⎫ ⎝⎛---=111111111A X A X A 21+=-*,求X .解: X A X A 21+=-*AXE X A 2+=E X A E =-)24(1)24(--=A E X411110112111111111=--=---=A例8 4阶矩阵B A ,满足E BAABA311+=--,已知⎪⎪⎪⎪⎪⎭⎫⎝⎛-=*8000010030100101A 求B . (00一) 解: E BAABA311+=--A B AB 3+=EA B A B A 3+=*83==*AA得2=AE B A E 6)2(=-*1)2(6-*-=A E B例9 设B A ,是3阶矩阵,A 可逆,它们满足E B B A 421-=-.(1) 证明E A 2-可逆.(2) 设⎪⎪⎪⎭⎫⎝⎛-=200021021B ,求A .(2002)A 可逆解:EB B A 421-=-即A AB B 42-= B A AB 24+= A B E A 4)2(=-由A 可逆得E A 2-可逆例10 设n 阶矩阵B A ,满足bB aA AB +=.其中0≠ab ,证明 (1)bE A -和aE B -都可逆. (2) A 可逆B ⇔可逆. (3)BA AB =解:(1)令aE B D bE A C -=-=,aE D B bE C A +=+=,abE bD abE aC aE D bE C +++=++))(( abE bD aC abE bD aC CD 2++=+++D C abE CD ,⇒=都可逆或者直接把bE A -和aE B -相乘abE bB aA AB +--(2)aA B bE A =-)( (3)abE aE B bE A =--))((E aE B ab bE A =--)()( EabbE A aE B =--)()( abE bE A aE B =--))((O bB aA BA =--AB bB aA BA =+=例11 设B A ,都是n 阶对称矩阵,AB E +可逆,证明A AB E 1)(-+也是对称矩阵. 证:验证A AB E A AB E T11)(])[(--+=+ TTTAB E A A AB E ])[(])[(11--+=+ 111)()(])[(---+=+=+=BA E A A B E A AB E A T T T即要证明)()()()(111BA E A AB E A A AB E BA E A ++=⇔+=+---)()(BA E A A AB E +=+⇔。
A = C 1,: 2,: 3),B =(:1: 2: 3, j 2 24 3√ 13: 29 3)线性代数第一章行列式典型例题、利用行列式性质计算行列式 、按行(列)展开公式求代数余子式四、抽象行列式的计算或证明1. 设四阶矩阵 A=[2>,3 2,4 3, 4],B=「,2 2,3 3,4 4],其中2, 3, 4 均为四 维列向量,且已知行列式|A| = 2,|B|=-3,试计算行列式|A - B|.A12. 设A 为三阶方阵,A 为A 的伴随矩阵,且IAI=',试计算行列式2"(3A ) j-2A * 0〕 2 L :O AT3. 设A 是n 阶(n 工2)非零实矩阵,元素a ij与其代数余子式A j 相等,求行列式|A|.2 1 04. 设矩阵 A= 1 2 0 ,矩阵 B 满足 ABA * = 2BA*+E ,则 |B|= ________ .'0 0 1 J5. 设>1√∙2, : 3均为3维列向量,记矩阵已知行列式D 4 =1 3 1 123 5 1 34 6 2 4 4 7 2=-6,试求 A 41 A 42 与 A 43 ' A 44.三、利用多项式分解因式计算行列式11、tW1 2 —X1 •计算D =151 9-x 22 •设 f(x)=X b b b b X C C C C Xddd ,则方程f (X) =O 有根X = d如果I A ∣=1,那么| B |= __ .五、n阶行列式的计算六、利用特征值计算行列式1. 若四阶矩阵A与B相似,矩阵A的特征值为丄丄,则行列式2 3 4 51IB -E∣= _________ .2. 设A为四阶矩阵,且满足|2E ∙ A∣=0,又已知A的三个特征值分别为-1,1,2,试计算行列式|2A 3E |.第二章矩阵典型例题一、求逆矩阵1. 设代B, A ■ B都是可逆矩阵,求:(A J■ B」)」.-00021〕000532.设 A =12300,求A JL4580034600一二、讨论抽象矩阵的可逆性1. 设n阶矩阵A满足关系式A3∙ A2- A- E =0,证明A可逆,并求A^l.2. 已知A3 =2E,B = A2 -2A ∙ 2E ,证明B可逆,并求出逆矩阵。
行列式的计算例题行列式是数学中非常重要的概念,它在线性代数、微积分和概率统计等学科中都有应用。
行列式在解线性方程组时,一般会遇到计算行列式的问题,下面通过几个例题,来给大家讲解如何正确的计算行列式。
例1:计算下列行列式的值$$begin{bmatrix}2 & -3 & 81 &2 & -12 & 1 & 4end{bmatrix}$$解:用二阶行列式公式,行列式计算为:$2times(2times4 - 1times-1) - (-3)times(1times4 - 2times-1)+ 8times(1times2 - 2times2)= -2+6+16 = 20$例2:计算下列行列式的值$$begin{bmatrix}1 & -2 & 8 & 34 & -5 & 7 & 26 & 0 & -1 & 43 & 2 & 9 & 5end{bmatrix}$$解:用三阶行列式公式,行列式计算为:$1times(-5times9 +7times2 + 2times-1)- -2times(4times9 + 7times4 + 2times-1)+ 8times(4times2 + 7times-5 + 2times0)- 3times(4times-1 + 7times3 + 2times8)= -264$例3:计算下列行列式的值$$begin{bmatrix}4 & 0 & -2 & 3-2 & 6 & 9 & 50 & -4 & -7 & 81 & -3 & 5 & 4end{bmatrix}$$解:用四阶行列式公式,行列式计算为:$4times(-4times5 + 9times4 - 7times-3)+ 0times(-2times5 + 9times-3 - 7times1)- -2times(-2times5 + 9times1 - 7times-2)+ 3times(-2times4 + 9times-2 - 7times0)= 128$以上就是关于行列式的计算例题的简单介绍,从上面的例题中可以看出,行列式的计算要根据行列式的行列数量来选择相应的公式,按照规定的步骤按照公式来计算,就能准确的得到行列式的值。
线性代数行列式经典例题例1计算元素为a ij = | i -j |的n 阶行列式、解 方法1 由题设知,11a =0,121a =,1,1,n a n =-L L ,故011102120n n n D n n --=--L L MOL1,1,,2i i r r i n n --=-=L011111111n ----L L M O L1,,1j n c c j n +=-=L 1211021(1)2(1)021n n n n n n ------=----LL L L M O O L M L其中第一步用的就是从最后一行起,逐行减前一行.第二步用的每列加第n 列. 方法2011102120n n n D n n --=--L L MOL11,2,,1111111120i i r r i n n n +-=----=--L L L MOL12,,1001201231j c c j nn n n +=---=---L L L MOL=12(1)2(1)n n n ---- 例2、 设a , b , c 就是互异的实数, 证明: 的充要条件就是a + b + c =0、证明: 考察范德蒙行列式:=行列式 即为y 2前的系数、 于就是=所以的充要条件就是a + b + c = 0、例3计算D n =121100010n n n x xa a a x a ----+K KM M M M K解: 方法1 递推法 按第1列展开,有D n = x D 1-n +(-1)1+n a n11111n x xx-----O O= x D 1-n + a n由于D 1= x + a 1,2211x D a x a -=+,于就是D n = x D 1-n + a n =x(x D 2-n +a 1-n )+ a n =x 2D 2-n + a 1-n x + a n =L = x1-n D 1+ a 2x2-n +K + a 1-n x + a n =111n n n n x a x a x a --++++L方法2 第2列的x 倍,第3列的x 2倍,K ,第n 列的x1-n 倍分别加到第1列上12c xc n D += 21121010010000n n n n x x xa xa a a x a -----++K K K M M M M K213c x c +=32121231010*********n n n n n n x x x a xa x a a a a x a --------+++K K KMMMM MK=L L =111x fx---OO On r =按展开1(1)n f+-1111n x xx----OO =111n n n n x a x a x a --++++L方法3 利用性质,将行列式化为上三角行列式.D n21321111n n c c x c c x c c x-+++=L1122000000000n n nnn n nx x x a a a a a a k xx x ---+++KK KM M M M Kn =按c 展开x1-n k n = x1-n (1-n n x a + 21--n n x a +K+x a 2+a 1+x) =111n nn n a a x a x x --++++L方法4 n r nD =按展开1(1)n na +-1000100001x x ---K K M M M M K+21(1)n n a +--0000101x x --K K M M M M K+K +212(1)n a --10000001x x --K K M M M M K+21(1)()na x -+10000000x x x-K K M M M ML=(-1)1+n (-1)1-n a n +(-1)2+n (-1)2-n a 1-n x +K +(-1)12-n (-1)a 2x 2-n +(-1)n 2( a 1+x) x 1-n= 111n nn n a a x a x x --++++L例4. 计算n 阶行列式:11212212n n n n na b a a a a b a D a a a b ++=+L L M M M L(120n b b b ≠L )解 采用升阶(或加边)法.该行列式的各行含有共同的元素12,,,n a a a L ,可在保持 原行列式值不变的情况下,增加一行一列,适当选择所增行(或列)的元素,使得下一步化简后出现大量的零元素.1211212212100n n n n n na a a ab a a D a a b a a a a b +=++L L L M M M M L升阶213111n r r r r r r +---=L 12121100100100n na a ab b b ---L L L M M M M L1112,,1j j c c b j n -+=+=L 1112111210000000n na a a a ab b b b b +++L L LL M M M M L=1121(1)n n na ab b b b b +++L L 这个题的特殊情形就是121212n n n n a x a a a a x a D a a a x++=+LL M M M L=11()nn i i xx a -=+∑可作为公式记下来.例5.计算n 阶“三对角”行列式D n =00100010001αβαβαβαβαβαβ+++K K KM M M MMK+ 解 方法1 递推法.D n1=按c 展开()αβ+D 1-n —(1)000010001n αβαβαβαβ-++K K M M M M M K1=按r 展开()αβ+D 1-n -αβD 2-n即有递推关系式 D n =()αβ+D 1-n -αβD 2-n (n ≥3) 故 1n n D D α--=12()n n D D βα---递推得到 1n n D D α--=12()n n D D βα---=223()n n D D βα---=L =221()n D D βα--而1()D αβ=+,2D =β+α1αββ+α=22ααββ++,代入得1n n n D D αβ--=1n n n D D αβ-=+ (2、1)由递推公式得1n n n D D αβ-=+=12()n n n D ααββ--++=α2D2-n +1n n αββ-+=L=nα+1n αβ-+K +1n n αββ-+=时=,当时,当--βαβα1)α(n αβαβ111≠⎪⎩⎪⎨⎧++++n n n方法2 把D n 按第1列拆成2个n 阶行列式D n =00010010001ααβαβαβαβαβ++K K KM M M MMK++00100010000001βαβαβαβαβαβαβαβ+++K K KM M M MMK K上式右端第一个行列式等于αD 1-n ,而第二个行列式00100010000001βαβαβαβαβαβαβαβ+++K K KM M M MMK K12,,i i c ac i n--==L 000010000100001ββββK K KM M M M M K=βn 于就是得递推公式1nn n D D αβ-=+,已与(2、1)式相同.方法3 在方法1中得递推公式D n =()αβ+D 1-n -αβD 2-n又因为当αβ+时 D 1=αβ+=βαβα--2221D αβαβαβ+=+=2()αβ+-αβ=22ααββ++=βαβα--33D 3=βααββααββα+++110=3()αβ+-2αβ()αβ+ = ()αβ+22()αβ+=βαβα--44于就是猜想11n n n D αβαβ++-=-,下面用数学归纳法证明.当n=1时,等式成立,假设当n ≤k 时成立. 当n=k+1就是,由递推公式得D 1+k =()αβ+D k -αβD 1-k=()αβ+βαβα--++11k k —αββαβα--k k =βαβα--++22k k所以对于n ∈N +,等式都成立例6. 计算n 阶行列式:12111111111n na a D a ++=+L L M M M L其中120n a a a ≠L .解 这道题有多种解法. 方法1 化为上三角行列式nD 12,,i r r i n-==L 1121111n a a a a a +--L M O112,,j ja c c a j n+==L 21100nb a a L M O其中11211ni i b a a a ==++∑1111n i i a a =⎛⎫=+ ⎪⎝⎭∑,于就是n D 12111nn i i a a a a =⎛⎫=+ ⎪⎝⎭∑L .方法2 升阶(或加边)法121111*********111n na D a a +=++L L LMM M M L升阶12,3,,1i r r i n -=+=L 121111100100100na a a ---L L L M M M M L11111121,2,,1121111111j jni jc c a nn j n i i na a a a a a a a +=+=-=+⎛⎫==+ ⎪⎝⎭∑∑L LL O方法3 递推法.将n D 改写为1211101110111n na a D a ++++=+LL M M M Ln =按c 拆开12111111111a a ++L L M M M L +1211011011na a a ++L L M M M L由于12111111111a a ++L L M M M L1,,1i n r r i n -=-=L 12111a a L121n a a a -=L1211011011na a a ++L L M M M Ln =按c 展开1n n a D -因此n D =1n n a D -121n a a a -+L 为递推公式,而111D a =+,于就是n D =1n n a D -121n a a a -+L =12n a a a L 11211n n n D a a a a --⎛⎫+ ⎪⎝⎭L=12n a a a L 2122111n n n n D a a a a a ---⎛⎫++⎪⎝⎭L =L L=12n a a a L 11211n D a a a ⎛⎫+++⎪⎝⎭L =12n a a a L 121111n a a a ⎛⎫++++ ⎪⎝⎭L。
第二讲 行列式综合训练第一部分例2.1 计算行列式,其中对角线上元素都是a ,未写出的元素都是零.n D =11aa解 这道题可以用多种方法进行求解,充分应用了行列式的各种性质. 方法1 利用性质,将行列式化为上三角行列式.n D 11c nc a-⋅=101a aaa-=11()n a a a--=n a -2n a - 方法2 仍然是利用性质,将行列式化为上三角行列式.n D n 1r r -=111a aa --1nc c +=111a aa +-=na -2n a-方法3 利用展开定理,将行列式化成对角行列式.n D 1c 展开=1n aaa -+11001(1)0n n a a +--而 11001(1)0n n a a+--最后列展开=21(1)n +-2n aa -=2n a--n D =1n a a -⋅-2n a -=n a -2n a -方法4 利用公式A O OB=A B .将最后一行逐行换到第2行,共换了2n -次;将最后一列逐列换到第2列,也共换了2n -次.n D =2(2)(1)n --11a aa=11a a2n aa -=na -2n a-方法5 利用公式A O OB=A B .例2.2 计算n 阶行列式:11212212n n n n na b a a a a b a D a a a b ++=+ (120n b b b ≠)解 采用升阶(或加边)法.该行列式的各行含有共同的元素12,,,n a a a ,可在保持原行列式值不变的情况下,增加一行一列,适当选择所增行(或列)的元素,使得下一步化简后出现大量的零元素.1211212212100n n n n n na a a ab a a D a a b a a a a b +=++升阶213111n r r r r r r +---=121211001010n na a ab b b --- 1112,,1jj c c b j n -+=+=111211121000000000n na a a a ab b b b b +++=1121(1)nn na ab b b b b +++这个题的特殊情形是121212n n n n a x a a a a x a D a a a x++=+=11()nn i i xx a -=+∑可作为公式记下来.例2.3 计算n 阶行列式:12111111111n na a Da ++=+其中120n a a a ≠.解 这道题有多种解法. 方法1 化为上三角行列式nD 12,,i r r i n-==1121111na a a a a +--112,,j ja c c a j n+==21100nb a a其中11211n i i b a a a ==++∑1111ni i a a =⎛⎫=+ ⎪⎝⎭∑,于是n D 12111nn i i a a a a =⎛⎫=+ ⎪⎝⎭∑.方法2 升阶(或加边)法121111011101110111n naD a a +=++升阶12,3,,1i r r i n -=+=121111100101na a a --- 11111121,2,,1121111111j jni jc c a nn j n i i na a a a a a a a +=+=-=+⎛⎫==+⎪⎝⎭∑∑方法3 递推法.将n D 改写为1211101110111n na a D a ++++=+n=按c 拆开12111111111a a +++1211011011na a a ++由于12111111111a a ++1,,1i n r r i n -=-=12111a a 121n a a a -=1211011011na a a ++n =按c 展开1n n a D -因此n D =1n n a D -121n a a a -+为递推公式,而111D a =+,于是n D =1n n a D -121n a a a -+=12n a a a 11211n n n D a a a a --⎛⎫+ ⎪⎝⎭=12n a a a 2122111n n n n D a a a a a ---⎛⎫++ ⎪⎝⎭==12n a a a 11211n D a a a ⎛⎫+++⎪⎝⎭=12n a a a 121111n a a a ⎛⎫++++⎪⎝⎭例2.4 设343123211211)(------=x x x x x x x f ,证明存在),1,0(∈ζ使0)(='ζf . 证 因为()f x 是关于x 的二次多项式多项式,在[]1,0上连续,(0,1)内可导,且0331221111)0(=------=f ,101(1)1110121f =-=-由罗尔定理知,存在)1,0(∈ζ,使0)(='ζf .例2.5 计算D =222244441111ab c d a b c d a b c d . 解 这不是范得蒙行列式,但可借助求解范得蒙行列式进行求解.方法1 借助于求解范得蒙行列式的技巧进行求解:从下向上,逐行操作.D 2433221r a r r ar r ar ---=222222222111100()()()0()()()b ac ad ab b ac c ad d a b b a c c a d d a ---------1c 展开=()()()b ac ad a ---222111()()()b c d b b a c c a d d a +++ 3r 拆开=()()()b a c a d a ---(333111bc d b c d +222111a b c d b c d )其中333111b cd b c d 23221r b r r br --=222211100()()c bd b c c b d d b ---- =()()c bd b --11()()c c bd d b ++=()()c b d b --[()()]d d b c c b +-+由于222111bcd b c d 是范德蒙行列式,故222111b c d b c d =()()()c b d b d c --- D =()a b c d +++()()()b a c a d a ---()()()c b d b d c --- 方法2 D 213141c c c c c c ---=222222244444441000ab ac ad aa b a c a d a a b a c a d a --------- 1r 展开=()()()b ac ad a ---222222111()()()()()()b ac ad a b a b a c a c a d a d a +++++++++ 2131c c c c --=()()()b ac ad a ---221()()b a c b d b b a b a x y+--++ 1c 展开=()()()b ac ad a ---c b d b xy--其中222()()x c b a b c ac bc ab =-+++++,222()()y d b a b c ad bd ab =-+++++D =()a b c d +++()()()b a c a d a ---()()()c b d b d c ---=()a b c d +++()()()a b a c a d ---()()()b c b d c d ---方法3 用升阶法.由于行列式中各列元素缺乏3次幂的元素,在D 中添加3次幂的一 行元素,再添加一列构成5阶范得蒙行列式:5D =22222333334444411111a b c d x a b c d x a b c d x a b c d x 5D 按第5列展开得到的是x 的4次多项式,且3x 的系数为4545(1)A D D +=-=-又利用计算范得蒙行列式的公式得5D =()()()()b a c a d a x a ----()()()c b d b x b ---()()()d c x c x d ---=()()()b a c a d a ---()()c b d b --()d c -[()()()()]x a x b x c x d ----=()()()b a c a d a ---()()c b d b --()d c -43[()]x a b c d x -++++其中3x 的系数为()()()b a c a d a ----()()c b d b --()d c -()a b c d +++由3x 的系数相等得:D =()a b c d +++()()()b a c a d a ---()()()c b d b d c --- 例2.6 设4322321143113151||-=A ,计算A 41 + A 42 + A 43 + A 44 = ? 其中A 4j (j= 1, 2, 3, 4)是|A |中元素a 4j 的代数余子式.解 直接求代数余子式的和工作量大.可将414243A A A A +++改写为4142431111A A AA ⋅+⋅+⋅+⋅,故A 41 + A 42 + A 43 + A 44 1111321143113151-=1602102310121000-==41602(1)023012+--=62100320261=-- 例2.7 求解方程:11111111()01121111(1)x f x x nx-==---解 方法1()f x 12,,i r r i n-==111100000100(2)x xn x-=---=)2()1()1(1+----n x x x n由题设知0)2()1()1()(1=+---=-n x x x x f n所以2,,1,0121-===-n x x x n 是原方程的解.方法2 由题设知,当2,,2,1,0-=n x 时,由于行列式中有两列对应元素相同,行列式值为零,因此)(x f 可写成)2()1()(+--=n x x Ax x f于是原方程0)2()1()(=+--=n x x Ax x f 的解为:2,,1,0121-===-n x x x n例2.8 计算元素为a ij = | i -j |的n 阶行列式. 解 方法1 由题设知,11a =0,121a =,1,1,n a n =-,故01110212n n n D n n --=--1,1,,2i i r r i n n --=-=11111111n ----1,,1j n c c j n +=-=1211021(1)2(1)20001n n n n n n ------=----其中第一步用的是从最后一行起,逐行减前一行.第二步用的每列加第n 列.方法2 011102120n n n D n n --=--11,2,,111111112i i r r i n n n +-=----=--12,,1001201231j c c j nn n n +=---=---=12(1)2(1)n n n ----例2.9 计算行列式221111220000000b d b d c a c a D =. 解 方法1 按第一列展开:1121120000a c D a d b b =-0000111122b d c a c d =111122b d c ab a -111122b d c a c d=(22b a -111122b d c a c d )=(22b a -)22c d (11b a -)11c d方法2 本题也可利用拉普拉斯展开定理进行计算,选定第2、3行,有:11232311(1)a c D d b +++=-2222a c db =(11b a 11dc -)(22b a 22d c -)例2.10 计算2n D =1111nnnna b a b c d c d ,其中未写出的元素都是0.解 方法1 利用公式A O OB=A B .采用逐行操作,将最后一行逐行和上行进行对换,直到换到第2行(作22n -次相邻对换);最后一列逐列和上列换,换到第2列(作22n -次相邻对换),得到2n D =2(22)(1)n --1111111100000n n n n n n n n a b c d a b a b c d c d ----=2D 2(1)n D -=()n n n n a d b c -2(1)n D -=()n n n n a d b c -1111()n n n n a d b c -----2(2)n D -==()n n n n a d b c -1111()n n n n a d b c -----1111()a d b c -=1()ni i i i i a d b c =-∏方法2 利用行列式展开定理进行求解.2n D 1r 展开=11111111n n nn n na b a b a c d c d d ----+12(1)n n b +-111111110n n n n na b a b c d c d c ----上面第1个行列式是A O OB的形式,而第2个行列式按第1列展开,所以2n D =2112222(1)n n n n n n n a d D b c D -+---- =()n n n n a d b c -2(1)n D - ==1()ni i i i i a d b c =-∏例2.11 计算5100011000110001100011a a aa D a a a a a ---=------. 解 方法1 采用递推的方法进行求解.5D 125c c c ++=1000010001100011011a a aa a a aaa-------- 1c 展开=1001100110011a a a a a a a -------+51000100()(1)110011a a a a a a aa+------- 即 51454()(1)D D a a +=+--, 41343()(1)D D a a +=+--,31232()(1)D D a a +=+--, 221D a a =-+故 234551D a a a a a =-+-+-方法2 采用降阶的方法进行求解.5D 12(1)r a r +-=2210011000110001100011a a a a a a a a a a a -+---------213(1)r a a r +-+=232301011000110001100011a a a a a a a a a a a a a-+--+--------2314(1)r a a a r +-+-=23423400111000110001100011a a a a a a a a a a a a a a a-+-+-+---------23415(1)r a a a a r +-+-+=23450001110001100011011a a a a a a a a aa a a-+-+---------1r 展开=2345514(1)(1)(1)a a a a a +-+-+-⋅--=23451a a a a a -+-+-例2.12 证明D n =121100010nn n xxa a a xa ----+=111n n n n x a x a x a --++++证 方法1 递推法 按第1列展开,有D n = x D 1-n +(-1)1+n a n11111n xxx-----= x D 1-n + a n由于D 1= x + a 1,2211x D a x a -=+,于是D n = x D 1-n + a n =x (x D 2-n +a 1-n )+ a n =x 2D 2-n + a 1-n x + a n== x1-n D 1+ a 2x2-n + + a 1-n x + a n =111n n n n x a x a x a --++++方法2 第2列的x 倍,第3列的x 2倍, ,第n 列的x1-n 倍分别加到第1列上12c xc n D +=2112101001000n n n n x x xa xa a a xa -----++213c x c +=3212123110000100010n n n n n n x xx a xa x a a a a x a--------+++==111x fx---n r =按展开1(1)n f+-1111n xxx----=f其中111n n n n f a a x a x x --=++++或 D n21123n nc xc x c x c -++++=122110000100001n n x x fa a ax a -----+1=按c 展开1(1)n f +-1111n x xx----=11(1)(1)n n f +---=f其中111n n n n f a a x a x x --=++++方法3 利用性质,将行列式化为上三角行列式.D n21321111n n c c x c c xc c x-+++=112200000000n n nnn n nx x x a a a a a a k xx x---+++n =按c 展开x1-n k n = x1-n (1-n n x a + 21--n n x a + +x a 2+a 1+x)=111n n n n a a x a x x --++++ 方法4n r nD =按展开1(1)n na +-1000101x x ---+21(1)n n a +--000010001x x --+ +212(1)n a --1000001x x --+21(1)()n a x -+10000000x x x-=(-1)1+n (-1)1-n a n +(-1)2+n (-1)2-n a 1-n x+ +(-1)12-n (-1)a 2x2-n +(-1)n2( a 1+x) x1-n= 111n n n n a a x a x x --++++例2.13 计算n阶“三对角”行列式Dn=001000101αβαβαβαβαβαβ++++解 方法1 递推法.D n1=按c 展开()αβ+D 1-n —(1)0000101n αβαβαβαβ-++1=按r 展开()αβ+D 1-n -αβD 2-n即有递推关系式 D n =()αβ+D 1-n -αβD 2-n (n ≥3) 故 1n n D D α--=12()n n D D βα---递推得到 1n n D D α--=12()n n D D βα---=223()n n D D βα---==221()n D D βα--而1()D αβ=+,2D =β+α1αββ+α=22ααββ++,代入上式得1n n n D D αβ--=1n n n D D αβ-=+ (2.1)由递推公式得1n n n D D αβ-=+=12()n n n D ααββ--++=α2D2-n +1n n αββ-+==n α+1n αβ-+ +1n nαββ-+=时=,当时,当--βαβα1)α(n αβαβ111≠⎪⎩⎪⎨⎧++++n n n方法2 把D n 按第1列拆成2个n 阶行列式D n =000100010001ααβαβαβαβαβ++++00010001000001βαβαβαβαβαβαβαβ+++上式右端第一个行列式等于αD 1-n ,而第二个行列式00010001000001βαβαβαβαβαβαβαβ+++12,,i i c ac i n--==00010000101ββββ=βn于是得递推公式1n n n D D αβ-=+,已与(2.1)式相同.方法3 在方法1中得递推公式D n =()αβ+D 1-n -αβD 2-n又因为当αβ+时 D 1=αβ+=βαβα--2221D αβαβαβ+=+=2()αβ+-αβ=22ααββ++=βαβα--33 D 3=βααββααββα+++110=3()αβ+-2αβ()αβ+ = ()αβ+22()αβ+=βαβα--44于是猜想11n n n D αβαβ++-=-,下面用数学归纳法证明.当n=1时,等式成立,假设当n ≤k 时成立. 当n=k+1是,由递推公式得D 1+k =()αβ+D k -αβD 1-k=()αβ+βαβα--++11k k —αββαβα--k k =βαβα--++22k k所以对于n ∈N +,等式都成立.第二部分这一部分的题是与矩阵、向量、特征值等后续内容有关的题,感觉困难的同学可以放到相关内容学习后再看.但应注意考研题中关于行列式内容的出题,往往与后续内容联系较多.例2.14 设A 为3×3矩阵, |A | =-2, 把A 按行分块为123A A A A ⎛⎫ ⎪= ⎪ ⎪⎝⎭, 其中(1,2,3)i A i =是A 的第i 行, 则行列式312122A A A A -=______.解312122A A A A -=312122A A A A -=3212A A A =12322||4A A A A -=-=例2.15 判断题(1) 若B A ,是可乘矩阵,则=AB B A . ( ) (2) 若B A ,均为n 阶方阵,则A B A B -=-. ( )解 (1) 错误,因为B A ,不一定是方阵,即不一定有对应的行列式.(2) 错误,例如取3003A ⎛⎫= ⎪⎝⎭,2002B ⎛⎫= ⎪⎝⎭,15A B A B -=≠-=.例2.16 证明:奇数阶反对称矩阵的行列式为零.证 ||||)1(||||||,A A A A A A A n T T -=-=-==-=(n 为奇数). 所以|A | = 0.例2.17 (数四,01,3分)设矩阵111111111111kk A k k ⎛⎫ ⎪⎪= ⎪ ⎪⎝⎭,且秩()R A =3,则k = 解 由于111111111111k k A k k =124r r r ++=3333111111111k k k k k k k++++=1111111(3)111111k k k k +=11110100(3)00100001k k k k -+-- =3(3)(1)k k +-由()R A =3,知A =0,而1k =时,()R A =1,故必有3k =-.例2.18 若B A ,,C 均为3阶可逆方阵,1-=A ,2=B ,计算C B A C T 211)(2--.解 C B A C T 211)(2--=23112T C A BC -- =223112TC A BC-=22312A B=2例2.19 设3阶方阵B A ,满足方程 E B A B A =--2,试求矩阵B 以及行列式B ,其中101020201A ⎛⎫⎪= ⎪ ⎪-⎝⎭. 解 由E B A B A =--2,得E A B E A +=-)(2,即 ()()A E A E B A E +-=+由于 201030202A E ⎛⎫⎪+= ⎪ ⎪-⎝⎭,180A E +=≠ 001010200A E ⎛⎫ ⎪-= ⎪ ⎪-⎝⎭,20A E -=≠ 111()()()()B A E A E A E A E ---=-++=-1001001/2010010200100--⎛⎫⎛⎫⎪ ⎪== ⎪ ⎪⎪ ⎪-⎝⎭⎝⎭所以2/1||=B .例2.20 设A 为3阶方阵,A =2,求1*1()32A A --的值. 解 方法1 化为关于*A 的形式进行计算.利用公式111()A A λλ--=,*1A A A-=,1n A A -*=有1*1()32A A --=1*23A A --=**23A A A -=**3A A -=*2A -=3*(2)A -=23(2)A -=32-方法2 化为关于1A -的形式计算. 利用公式111()A A λλ--=,*1A A A -=,1A -=1A,有 1*1()32A A --=1123A A A ---=14A --=3(4)-1A=32- 例2.21 (数四,98,3分)设B A ,均为n 阶方阵,A =2,B =-3,求1*2-B A 的值.解 1*2-BA =1*2-BA n =n21-n AB1⋅=n 212-n 31-=3212--n 例 2.22 若21321,,,,ββααα都是4维列向量,且4阶行列式n =3221,,,αβαα,m =1321,,,βααα,计算4阶行列式32112,,,αααββ+的值.解 如果行列式的列向量组为n ααα,,,21 ,则此行列式可表示为n ααα,,,21 ,利用行列式的性质,有=+21123,,,ββααα3211,,,αααβ+3212,,,αααβ=1231,,,αααβ--3221,,,ααβα=1231,,,αααβ-+1223,,,ααβα=n m -例2.23 计算行列式OB AO B A ,,||||,其中12112(1)121121n n x n x n A x n n x n n -+⎛⎫⎪-+ ⎪⎪=⎪+- ⎪ ⎪+-⎝⎭, 100002000010000B n n ⎛⎫⎪ ⎪⎪=⎪- ⎪ ⎪⎝⎭ 解 ||A =12112(1)121121n n x n x nx n nx n n-+-++-+-12,,12100000ir ri nn n x x x x x x x-=-+-=--1,,1n j c c j n +=-=(1)12120000000n n n x x x x +-+这是逆对角的上三角行列式,所以(1)12(1)(1)()2n n n n n A x x --+=-+ 又!||n B =,故12)1(!)2)1(()1(2-+-++-=n n n n x n x n n O B A O .注 这里用了公式:若A 为m 阶方阵,B 为n 阶方阵,则O AB O=(1)mn -A B .例2.24 若A 为n 阶方阵,E 为单位矩阵,满足TAA E =,0A <,求 A E +. 解 方法1 由TAA E =有A E +=T A AA +=()T A E A +=()T A E A +=A ()TE A +=A E A +=A A E +即(1)A -A E +=0,而(1)A -0>,所以A E +=0.方法2 因为 ()T A E A +=T T AA A +=TE A +=A E +即 A E +A =A E +有(1)A -A E +=0,而(1)A -0>,所以A E +=0.方法 3 由TAA E =知矩阵A 为正交矩阵,即T AA =1,2A =1,又因为0A <,所以有1A =-,故A E +=A 1E A -+=T E A -+=E A -+即2A E +=0,A E +=0.例2.25 若A 为n 阶正定矩阵,E 为n 阶单位矩阵,证明A E +的行列式大于1. 证 方法1 因为A 为正定矩阵,因此所有的特征值大于零.设A 的n 个特征值为1,1,2,,i i n λ==,且0i λ>,由特征值的性质知,A E +的n 个特征值为1,1,2,,i i n λ+=,于是1(1)(1)1n λλ++>.方法2 因为正定矩阵是对称矩阵,因此A 可对角阵,且所有的特征值大于零,故存在可逆阵P 有11n P AP λλ-⎛⎫⎪=⎪⎪⎝⎭ (0,1,2,,i i n λ>=)即 11n A P P λλ-⎛⎫⎪= ⎪ ⎪⎝⎭111n A E P P PP λλ--⎛⎫ ⎪+=+⎪ ⎪⎝⎭=1111n P P λλ-+⎛⎫⎪ ⎪ ⎪+⎝⎭A E +=1111n PP λλ-++=1(1)(1)1n λλ++>例2.26 设11112222aa A nn n n a +⎛⎫⎪+⎪= ⎪⎪+⎝⎭,求A解 利用特征值法进行求解,即利用公式12n A λλλ=.11112222aa A nn n n a +⎛⎫ ⎪+⎪= ⎪⎪+⎝⎭=100000000a ⎛⎫⎪⎪ ⎪⎪⎝⎭+11112222a nn n n a ⎛⎫ ⎪+ ⎪ ⎪⎪+⎝⎭==11112222aE n n nn ⎛⎫ ⎪⎪+ ⎪⎪⎝⎭矩阵11112222n n n n⎛⎫⎪⎪⎪⎪⎝⎭的秩为1,由第十三讲的注意(7)知它特征值为11122nna a aλ=++=(1)2n n+,23nλλλ====0所以A特征值为(1),,,2n na a a++,故A=1(1)[]2nn na a-++.21。
线性代数行列式经典例题例1计算元素为a ij = | i -j |的n 阶行列式.解 方法1 由题设知,11a =0,121a =,1,1,n a n =-L L ,故011102120n n n D n n --=--L L MOL1,1,,2i i r r i n n --=-=L 011111111n ----L L M O L1,,1j n c c j n +=-=L 1211021(1)2(1)0201n n n n n n ------=----L L L L M O O L M L其中第一步用的是从最后一行起,逐行减前一行.第二步用的每列加第n 列.方法2 011102120n n n D n n --=--L L M OL11,2,,1111111120i i r r i n n n +-=----=--L L L MOL12,,1001201231j c c j nn n n +=---=---L L L MOL=12(1)2(1)n n n ----例2. 设a , b , c 是互异的实数, 证明:的充要条件是a + b + c =0.证明: 考察范德蒙行列式:=行列式 即为y 2前的系数. 于是=所以 的充要条件是a + b + c = 0.例3计算D n =121100010n n n x x a a a x a ----+K K M M M M K解: 方法1 递推法 按第1列展开,有D n = x D 1-n +(-1)1+n a n 11111n x xx-----O O= x D 1-n + a n由于D 1= x + a 1,2211x D a x a -=+,于是D n = x D 1-n + a n =x (x D 2-n +a 1-n )+ a n =x 2D 2-n +a 1-n x + a n =L = x1-n D 1+ a 2x2-n +K + a 1-n x + a n =111n n n n x a x a x a --++++L方法2 第2列的x 倍,第3列的x 2倍,K ,第n 列的x1-n 倍分别加到第1列上12c xc n D += 21121010010000n n n n x x xa xa a a x a -----++K K K M M M M K.\213c x c +=32121231010*********n n n n n n x x x a xa x a a a a x a --------+++K K KMMMM MK=L L =111x fx---OO On r =按展开1(1)n f+-1111n x xx----OO =111n n n n x a x a x a --++++L方法3 利用性质,将行列式化为上三角行列式.D n21321111n n c c x c c x c c x-+++=L1122000000000n n nnn n nx x x a a a a a a k xx x ---+++KK KM M M M Kn =按c 展开x1-n k n = x1-n (1-n n x a + 21--n n xa +K +x a 2+a 1+x) =111n nn n a a x a x x --++++L方法4 n r n D =按展开1(1)n na +-1000100001x x ---KK M M M M K+ 21(1)n n a +--0000101x x --K K M M M M K+K +212(1)n a --1000001x x --K K M M M M K+21(1)()na x -+100000000x x x-K K M M M M L=(-1)1+n (-1)1-n a n +(-1)2+n (-1)2-n a 1-n x+K +(-1)12-n (-1)a 2x 2-n +(-1)n 2( a 1+x) x 1-n= 111n nn n a a x a x x --++++L例4. 计算n 阶行列式:11212212n n n n na b a a a a b a D a a a b ++=+L L M M M L(120n b b b ≠L )解 采用升阶(或加边)法.该行列式的各行含有共同的元素12,,,n a a a L ,可在保持 原行列式值不变的情况下,增加一行一列,适当选择所增行(或列)的元素,使得下一步化简后出现大量的零元素.12112122121000n n n n n na a a ab a a D a a b a a a a b +=++L L LMM M M L升阶213111n r r r r r r +---=L 12121100100100n na a ab b b ---L L L M M M M L1112,,1j j c c b j n -+=+=L 1112111210000000n na a a a ab b b b b +++L L LL M M M M L=1121(1)n n na ab b b b b +++L L 这个题的特殊情形是121212n n n n a x a a a a x a D a a a x++=+LL M M M L=11()nn i i xx a -=+∑可作为公式记下来.例5.计算n 阶“三对角”行列式D n =00100010001αβαβαβαβαβαβ+++K K KM M M MMK+解 方法1 递推法.D n1=按c 展开()αβ+D 1-n —(1)000010001n αβαβαβαβ-++K K M M M M M K1=按r 展开()αβ+D 1-n -αβD 2-n即有递推关系式 D n =()αβ+D 1-n -αβD 2-n (n ≥3) 故 1n n D D α--=12()n n D D βα---递推得到 1n n D D α--=12()n n D D βα---=223()n n D D βα---=L =221()n D D βα--而1()D αβ=+,2D =β+α1αββ+α=22ααββ++,代入得1n n n D D αβ--=1n n n D D αβ-=+ (2.1)由递推公式得1n n n D D αβ-=+=12()n n n D ααββ--++=α2D2-n +1n n αββ-+=L=nα+1n αβ-+K +1n n αββ-+=时=,当时,当--βαβα1)α(n αβαβ111≠⎪⎩⎪⎨⎧++++n n n方法2 把D n 按第1列拆成2个n 阶行列式D n =000100010001ααβαβαβαβαβ++K K KM M M MMK++00100010000001βαβαβαβαβαβαβαβ+++K K KM M M MMK K上式右端第一个行列式等于αD 1-n ,而第二个行列式00100010000001βαβαβαβαβαβαβαβ+++K K KM M M MMK K12,,i i c ac i n--==L 000010000100001ββββK K KM M M M M K=βn 于是得递推公式1nn n D D αβ-=+,已与(2.1)式相同.方法3 在方法1中得递推公式D n =()αβ+D 1-n -αβD 2-n又因为当αβ+时 D 1=αβ+=βαβα--2221D αβαβαβ+=+=2()αβ+-αβ=22ααββ++=βαβα--33D 3=βααββααββα+++110=3()αβ+-2αβ()αβ+ = ()αβ+22()αβ+=βαβα--44于是猜想11n n n D αβαβ++-=-,下面用数学归纳法证明.当n=1时,等式成立,假设当n ≤k 时成立. 当n=k+1是,由递推公式得D 1+k =()αβ+D k -αβD 1-k=()αβ+βαβα--++11k k —αββαβα--k k =βαβα--++22k k所以对于n ∈N +,等式都成立例6. 计算n 阶行列式:12111111111n na a D a ++=+LL M M M L其中120n a a a ≠L .解 这道题有多种解法. 方法1 化为上三角行列式nD 12,,i r r i n-==L 1121111na a a a a +--L M O112,,j ja c c a j n+==L 21100nb a a L M O其中11211ni i b a a a ==++∑1111n i i a a =⎛⎫=+ ⎪⎝⎭∑,于是n D 12111nn i i a a a a =⎛⎫=+ ⎪⎝⎭∑L .方法2 升阶(或加边)法12111101*********1n na D a a +=++L L L M M M M L升阶12,3,,1i r r i n -=+=L 121111100100100na a a ---L L L M M M M L11111121,2,,1121111111j jni jc c a nn j n i i na a a a a a a a +=+=-=+⎛⎫==+ ⎪⎝⎭∑∑L LL O方法3 递推法.将n D 改写为1211101110111n na a D a ++++=+LL M M M Ln =按c 拆开12111111111a a ++L L M M M L+1211011011na a a ++L L M M M L由于12111111111a a ++L L M M M L1,,1i n r r i n -=-=L 12111a a L121n a a a -=L1211011011na a a ++L L M M M Ln =按c 展开1n n a D -因此n D =1n n a D -121n a a a -+L 为递推公式,而111D a =+,于是n D =1n n a D -121n a a a -+L =12n a a a L 11211n n n D a a a a --⎛⎫+ ⎪⎝⎭L=12n a a a L 2122111n n n n D a a a a a ---⎛⎫++⎪⎝⎭L =L L=12n a a a L 11211n D a a a ⎛⎫+++⎪⎝⎭L =12n a a a L 121111n a a a ⎛⎫++++ ⎪⎝⎭L。