(完整版)必修4经典练习题及答案
- 格式:doc
- 大小:269.01 KB
- 文档页数:5
高中数学必修4习题和复习参考题及对应答案A 组1、在0°~360°范围内,找出与下列各角终边相同的角,并指出它们是哪个象限的角: (1)-265°;(2)-1000°;(3)-843°10′;(4)3900°. 答案:(1)95°,第二象限; (2)80°,第一象限; (3)236°50′,第三象限; (4)300°,第四象限.说明:能在给定范围内找出与指定的角终边相同的角,并判定是第几象限角.2、写出终边在x 轴上的角的集合. 答案:S={α|α=k ·180°,k ∈Z }.说明:将终边相同的角用集合表示.3、写出与下列各角终边相同的角的集合,并把集合中适合不等式-360°≤β<360°的元素β写出来:(1)60°;(2)-75°;(3)-824°30′;(4)475°;(5)90°;(6)270°;(7)180°;(8)0°.答案:(1){β|β=60°+k ·360°,k ∈Z },-300°,60°; (2){β|β=-75°+k ·360°,k ∈Z },-75°,285°; (3){β|β=-824°30′+k ·360°,k ∈Z },-104°30′,255°30′; (4){β|β=475°+k ·360°,k ∈Z },-245°,115°; (5){β|β=90°+k ·360°,k ∈Z },-270°,90°; (6){β|β=270°+k ·360°,k ∈Z },-90°,270°; (7){β|β=180°+k ·360°,k ∈Z },-180°,180°; (8){β|β=k ·360°,k ∈Z },-360°,0°. 说明:用集合表示法和符号语言写出与指定角终边相同的角的集合,并在给定范围内找出与指定的角终边相同的角.4、分别用角度和弧度写出第一、二、三、四象限角的集合. 答案: 象限 角度制弧度制一 {β|k ·360°<β<90°+k ·360°,k ∈Z } {|22,}2k k k πβπβπ<<+∈Z二 {β|90°+k ·360°<β<180°+k ·360°,k ∈Z }{|22,}2k k k πβπβππ+<<+∈Z三 {β|180°+k ·360°<β<270°+k ·360°,k ∈Z }3{|22,}2k k k πβππβπ+<<+∈Z 四{β|270°+k ·360°<β<360°+k ·360°,k ∈Z }3{|222,}2k k k πβπβππ+<<+∈Z 说明:用角度制和弧度制写出各象限角的集合.5、选择题:(1)已知α是锐角,那么2α是( ) A .第一象限角 B .第二象限角 C .小于180°的正角 D .第一或第二象限角 (2)已知α是第一象限角,那么2α是( )、 A .第一象限角 B .第二象限角C .第一或第二象限角D .第一或第三象限角 答案:(1)C 说明:因为0°<α<90°,所以0°<2α<180°. (2)D说明:因为k ·360°<α<90°+k ·360°,k ∈Z ,所以180451802k k α︒<<︒+︒,k ∈Z .当k 为奇数时,2α是第三象限角;当k 为偶数时,2α是第一象限角.6、一条弦的长等于半径,这条弦所对的圆心角等于1弧度吗?为什么?答案:不等于1弧度.这是因为等于半径长的弧所对的圆心角为1弧度,而等于半径长的弦所对的弧比半径长.说明:了解弧度的概念.7、把下列各角度化成弧度: (1)36°;(2)-150°;(3)1095°;(4)1440°.答案:(1)5π;(2)56π;(3)7312π-;(4)8π.说明:能进行度与弧度的换算.8、把下列各弧度化成度: (1)76π-;(2)103π-;(3)1.4;(4)23. 答案:(1)-210°;(2)-600°;(3)80.21°;(4)38.2°.说明:能进行弧度与度的换算.9、要在半径OA=100cm 的圆形金属板上截取一块扇形板,使其弧AB 的长为112cm ,求圆心角∠AOB 是多少度(可用计算器,精确到1°).答案:64°说明:可以先运用弧度制下的弧长公式求出圆心角的弧度数,再将弧度换算为度,也可以直接运用角度制下的弧长公式.10、已知弧长50cm 的弧所对圆心角为200°,求这条弧所在的圆的半径(可用计算器,精确到1cm ).答案:14cm .说明:可以先将度换算为弧度,再运用弧度制下的弧长公式,也可以直接运用角度制下的弧长公式.B 组1、每人准备一把扇子,然后与本小组其他同学的对比,从中选出一把展开后看上去形状较为美观的扇子,并用计算器算出它的面积S 1.(1)假设这把扇子是从一个圆面中剪下的,而剩余部分的面积为S 2,求S 1与S 2的比值; (2)要使S 1与S 2的比值为0.618,则扇子的圆心角应为几度(精确到10°)? 答案:(1)(略)(2)设扇子的圆心角为θ,由2122120.6181(2)2r S S r θπθ==-,可得θ=0.618(2π-θ),则θ=0.764π≈140°.说明:本题是一个数学实践活动.题目对“美观的扇子”并没有给出标准,目的是让学生先去体验,然后再运用所学知识发现,大多数扇子之所以“美观”是因为基本都满足:120.618S S =(黄金分割比)的道理.2、(1)时间经过4 h (时),时针、分针各转了多少度?各等于多少弧度?(2)有人说,钟的时针和分针一天内会重合24次、你认为这种说法是否正确?请说明理由.(提示:从午夜零时算起,假设分针走了t min 会与时针重合,一天内分针和时针会重合n 次,建立t 关于n 的函数关系式,并画出其图象,然后求出每次重合的时间.)答案:(1)时针转了-120°,等于23π-弧度;分针转了-1440°,等于-8π弧度 (2)设经过t min 分针就与时针重合,n 为两针重合的次数. 因为分针旋转的角速度为2(rad /min)6030ππ=, 时针旋转的角速度为2(rad/min)1260360ππ=⨯,所以()230360t n πππ-=,即72011t n =.用计算机或计算器作出函数72011t n =的图象(如下页图)或表格,从中可清楚地看到时针与分针每次重合所需的时间.n u1 15. 981.82 16. 1047.3 17. 1112.7 18. 1178.2 19. 1243.6 20. 1309.1 21. 1374.5 22.1440.因为时针旋转一天所需的时间为24×60=1440(min ),所以720144011n ≤,于是n ≤22.故时针与分针一天内只会重合22次.说明:通过时针与分针的旋转问题进一步地认识弧度的概念,并将问题引向深入,用函数思想进行分析.在研究时针与分针一天的重合次数时,可利用计算器或计算机,从模拟的图形、表格中的数据、函数的解析式或图象等角度,不难得到正确的结论.3、已知相互啮合的两个齿轮,大轮有48齿,小轮有20齿,当大轮转动一周时,小轮转动的角是__________度,即__________rad .如果大轮的转速为180r/min (转/分),小轮的半径为10.5cm ,那么小轮周上一点每1s 转过的弧长是__________.答案:864°,245π,151.2π cm . 说明:通过齿轮的转动问题进一步地认识弧度的概念和弧长公式.当大齿轮转动一周时,小齿轮转动的角是4824360864rad.205π⨯︒=︒= 由于大齿轮的转速为3r/s ,所以小齿轮周上一点每1s 转过的弧长是483210.5151.2(cm)20ππ⨯⨯⨯=. P20习题1.2A 组1、用定义法、公式一以及计算器求下列角的三个三角函数值:(1)173π-;(2)214π;(3)236π-;(4)1500°. 答案:(1)31sin ,cos ,tan 322ααα===; (2)22sin ,cos ,tan 122ααα=-=-=; (3)133sin ,cos ,tan 223ααα===; (4)31sin ,cos ,tan 322ααα===. 说明:先利用公式一变形,再根据定义求值,非特殊角的三角函数值用计算器求.2、已知角α的终边上有一点的坐标是P (3a ,4a ),其中a ≠0,求sin α,cos α,tan α的三角函数值.答案:当a >0时,434s i n ,c o s,t a n 553ααα===;当a <0时,434s i n ,c o s ,t a n 553ααα=-=-=-. 说明:根据定义求三角函数值.3、计算:(1)6sin (-90°)+3sin0°-8sin270°+12cos180°; (2)10cos270°+4sin0°+9tan0°+15cos360°;(3)22322costantan sin cos sin2446663ππππππ-+-++; (4)2423sin cos tan 323πππ+-.答案:(1)-10;(2)15;(3)32-;(4)94-.说明:求特殊角的三角函数值.4、化简:(1)asin0°+bcos90°+ctan180°;(2)-p 2cos180°+q 2sin90°-2pqcos0°;(3)223cos 2sincos sin 22a b ab ab ππππ-+-; (4)13tan 0cos sin cos sin 222m n p q r ππππ+---.答案:(1)0;(2)(p -q )2;(3)(a -b )2;(4)0.说明:利用特殊角的三角函数值化简.5、根据下列条件求函数3()sin()2sin()4cos 23cos()444f x x x x x πππ=++--++的值.(1)4x π=;(2)34x π=. 答案:(1)-2;(2)2.说明:转化为特殊角的三角函数的求值问题.6、确定下列三角函数值的符号: (1)sin186°; (2)tan505°; (3)sin7.6π; (4)23tan()4π-; (5)cos940°;(6)59cos()17π-. 答案:(1)负;(2)负;(3)负;(4)正;(5)负;(6)负. 说明:认识不同位置的角对应的三角函数值的符号.7、确定下列式子的符号: (1)tan125°·sin273°;(2)tan108cos305︒︒;(3)5411sin cos tan 456πππ;(4)511cos tan 662sin 3πππ. 答案:(1)正;(2)负;(3)负;(4)正.说明:认识不同位置的角对应的三角函数值的符号.8、求下列三角函数值(可用计算器):(1)67sin()12π-; (2)15tan()4π-;(3)cos398°13′; (4)tan766°15′. 答案:(1)0.9659;(2)1;(3)0.7857;(4)1.045.说明:可先运用公式一转化成锐角三角函数,然后再求出三角函数值.9、求证:(1)角θ为第二或第三象限角当且仅当sin θ·tan θ<0; (2)角θ为第三或第四象限角当且仅当cos θ·tan θ<0; (3)角θ为第一或第四象限角当且仅当sin 0tan θθ>;(4)角θ为第一或第三象限角当且仅当sinθ·cosθ>0.答案:(1)先证如果角θ为第二或第三象限角,那么sinθ·tanθ<0.当角θ为第二象限角时,sinθ>0,tanθ<0,则sinθ·tanθ<0;当角θ为第三象限角时,sinθ<0,tanθ>0,则sinθ·tanθ<0,所以如果角θ为第二或第三象限角,那么sinθ·tanθ<0.再证如果sinθ·tanθ<0,那么角θ为第二或第三象限角.因为sinθ·tanθ<0,即sinθ>0且tanθ<0,或sinθ<0且tanθ>0,当sinθ>0且tanθ<0时,角θ为第二象限角;当sinθ<0且tanθ>0时,角θ为第三象限角,所以如果sinθ·tanθ<0,那么角θ为第二或第三象限角.综上所述,原命题成立.(其他小题略)说明:以证明命题的形式,认识位于不同象限的角对应的三角函数值的符号.10、(1)已知3sin2α=-,且α为第四象限角,求cosα,tanα的值;(2)已知5cos13α=-,且α为第二象限角,求sinα,tanα的值;(3)已知3tan4α=-,求sinα,cosα的值;(4)已知cosα=0.68,求sinα,tanα的值(计算结果保留两个有效数字).答案:(1)1,3 2-;(2)1212,135-;(3)当α为第二象限角时,34 sin,cos55αα==-,当α为第四象限角时,34 sin,cos55αα=-=;(4)当α为第一象限角时,sinα=0.73,tanα=1.1,当α为第四象限角时,sinα=-0.73,tanα=-1.1.说明:要注意角α是第几象限角.11、已知1sin3x=-,求cosx,tanx的值.答案:当x为第三象限角时,222 cos,tan34x x=-=;当x为第四象限角时,222 cos,tan34x x==-.说明:要分别对x是第三象限角和第四象限角进行讨论.12、已知3tan 3,2απαπ=<<,求cos α-sin α的值. 答案:1(31)2- 说明:角α是特殊角.13、求证: (1)2212sin cos 1tan 1tan cos sin x x xxx x--=+-;(2)tan 2α-sin 2α=tan 2α·sin 2α;(3)(cos β-1)2+sin 2β=2-2cos β;(4)sin 4x +cos 4x=1-2sin 2xcos 2x .答案:(1)2(cos sin )cos sin 1tan (cos sin )(cos sin )cos sin 1tan x x x x xx x x x x x x---===+-++左边; (2)222222222211cos sin sin (1)sin sin sin tan cos cos cos x x x xxx x xxx-=-===左边;(3)左边=1-2cos β+cos 2β+sin 2β=2-2cos β;(4)左边=(sin 2x +cos 2x )2-2sin 2x ·cos 2x=1-2sin 2x ·cos 2x .说明:还可以从右边变为左边,或对左右同时变形.可提倡一题多解,然后逐渐学会选择较为简单的方法.B 组1、化简(1+tan 2α)cos 2α. 答案:1说明:根据同角三角函数的基本关系,将原三角函数式转化为正余弦函数式.2、化简1sin 1sin 1sin 1sin αααα+---+,其中α为第二象限角.答案:-2tan α说明:先变形,再根据同角三角函数的基本关系进行化简.3、已知tan α=2,求sin cos sin cos αααα+-的值.答案:3说明:先转化为正切函数式.4、从本节的例7可以看出,cos 1sin 1sin cos x x x x+=-就是sin 2x +cos 2x=1的一个变形.你能利用同角三角函数的基本关系推导出更多的关系式吗?答案:又如sin 4x +cos 4x=1-2sin 2x ·cos 2x 也是sin 2x +cos 2x=1的一个变形;2211tan cos x x=+是sin 2x +cos 2x=1和sin tan cos xx x=的变形;等等. 说明:本题要求学生至少能写出每个同角关系式的一个变形.P29习题1.3A 组1、将下列三角函数转化为锐角三角函数,并填在题中横线上: (1)cos210°=__________; (2)sin263°42′=__________; (3)cos()6π-=__________;(4)5sin()3π-=__________;(5)11cos()9π-=__________;(6)cos (-104°26′)=__________; (7)tan632°24′=__________; (8)17tan6π=__________. 答案:(1)-cos30°; (2)-sin83°42′ (3)cos 6π; (4)sin3π;(5)2cos9π-; (6)-cos75°34′; (7)-tan87°36′; (8)tan6π-.说明:利用诱导公式转化为锐角三角函数.2、用诱导公式求下列三角函数值: (1)17cos()4π-; (2)sin (-1574°); (3)sin (-2160°52′); (4)cos (-1751°36′); (5)cos1615°8′;(6)26sin()3π-.答案:(1)22;(2)-0.7193;(3)-0.0151;(4)0.6639;(5)-0.9964;(6)32 -说明:先利用诱导公式转化为锐角三角函数,再求值.3、化简:(1)sin(-1071°)·sin99°+sin(-171°)·sin(-261°);(2)1+sin(α-2π)·sin(π+α)-2cos2(-α).答案:(1)0;(2)-cos2α说明:先利用诱导公式转化为角α的三角函数,再进一步化简.4、求证:(1)sin(360°-α)=-sinα;(2)cos(360°-α)=cosα;(3)tan(360°-α)=-tanα.答案:(1)sin(360°-α)=sin(-α)=-sinα;(2)略;(3)略.说明:有的书也将这组恒等式列入诱导公式,但根据公式一可知,它和公式三等价,所以本教科书未将其列入诱导公式.B组1、计算:(1)sin420°·cos750°+sin(-330°)·cos(-660°);(2)tan675°+tan765°-tan(-330°)+tan(-690°);(3)252525sin cos tan() 634πππ++-.答案:(1)1;(2)0;(3)0.说明:先利用诱导公式转化为锐角三角函数,再求值.2、已知1sin()2πα+=-,计算:(1)sin(5π-α);(2)sin()2πα+; (3)3cos()2πα-; (4)tan()2πα-.答案:(1)12; (2)3,,23,;2αα⎧⎪⎪⎨⎪-⎪⎩当为第一象限角当为第二象限角(3)12-; (4)3,,3,αα⎧⎪⎨-⎪⎩当为第一象限角当为第二象限角.说明:先用诱导公式将已知式和待求式都转化为角α的三角函数,然后再根据同角三角函数的基本关系得解. P46习题1.4A 组1、画出下列函数的简图:(1)y=1-sinx ,x ∈[0,2π]; (2)y=3cosx +1,x ∈[0,2π]. 答案:(1)(2)说明:可以直接用“五点法”作出两个函数的图象;也可以先用“五点法”作出正弦、余弦函数的图象,再通过变换得到这两个函数的图象.2、求使下列函数取得最大值、最小值的自变量x 的集合,并分别写出最大值、最小值是什么.(1)11cos ,23y x x π=-∈R ; (2)3sin(2),4y x x π=+∈R ;(3)31cos(),226y x x π=--∈R ; (4)11sin(),223y x x π=+∈R .答案:(1)使y 取得最大值的集合是{x|x=6k +3,k ∈Z },最大值是32; 使y 取得最小值的集合是{x|x=6k ,k ∈Z },最大值是12; (2)使y 取得最大值的集合是{|,}8x x k k ππ=+∈Z ,最大值是3;使y 取得最小值的集合是3{|,}8x x k k ππ=-+∈Z ,最小值是-3; (3)使y 取得最大值的集合是{|2(21),}3x x k k ππ=++∈Z ,最大值是32;使y 取得最小值的集合是{|4,}3x x k k ππ=+∈Z ,最小值是32-;(4)使y 取得最大值的集合是{|4,}3x x k k ππ=+∈Z ,最大值是12;使y 取得最小值的集合是5{|4,}3x x k k ππ=-+∈Z ,最小值是12-. 说明:利用正弦、余弦函数的最大值、最小值性质,研究所给函数的最大值、最小值性质.3、求下列函数的周期:(1)2sin 3y x =,x ∈R ; (2)1cos 42y x =,x ∈R . 答案:(1)3π;(2)2π说明:可直接由函数y=Asin (ωx +φ)和函数y=Acos (ωx +φ)的周期2T πω=得解.4、利用函数的单调性比较下列各组中两个三角函数值的大小: (1)sin103°15′与sin164°30′; (2)4744cos()cos()109ππ--与; (3)sin508°与sin144°;(4)cos760°与cos (-770°). 答案:(1)sin103°15′>sin164°130′; (2)4744cos()cos()109ππ->-; (3)sin508°<sin144°;(4)cos760°>cos (-770°).说明:解决这类问题的关键是利用诱导公式将它们转化到同一单调区间上研究.5、求下列函数的单调区间: (1)y=1+sinx ,x ∈R ; (2)y=-cosx ,x ∈R . 答案:(1)当[2,2]22x k k ππππ∈-++,k ∈Z 时,y=1+sinx 是增函数;当3[2,2]22x k k ππππ∈++,k ∈Z 时,y=1+sinx 是减函数. (2)当x ∈[(2k -1)π,2k π],k ∈Z 时,y=-cosx 是减函数; 当x ∈[2k π,(2k +1)π],k ∈Z 时,y=-cosx 是增函数. 说明:利用正弦、余弦函数的单调性研究所给函数的单调性.6、求函数tan()26y x π=-++的定义域.答案:{|,}3x x k k ππ≠+∈Z .说明:可用换元法.7、求函数5tan(2),()3122k y x x k πππ=-≠+∈Z 的周期.答案:2π. 说明:可直接由函数y=Atan (ωx +φ)的周期T πω=得解.8、利用正切函数的单调性比较下列各组中两个函数值的大小: (1)13tan()tan()57ππ--与; (2)tan1519°与tan1493°;(3)93tan 6tan(5)1111ππ-与; (4)7tan tan 86ππ与.答案:(1)13tan()tan()57ππ->-;(2)tan1519°>tan1493°;(3)93tan 6tan(5)1111ππ>-;(4)7tan tan 86ππ<.说明:解决这类问题的关键是利用诱导公式将它们转化到同一单调区间上研究.9、根据正切函数的图象,写出使下列不等式成立的x 的集合: (1)1+tanx ≥0;(2)tan 30x -≥. 答案:(1){|,}42x k x k k ππππ-+<+∈Z ≤;(2){|,}32x k x k k ππππ+<+∈Z ≤.说明:只需根据正切曲线写出结果,并不要求解三角方程或三角不等式.10、设函数f (x )(x ∈R )是以 2为最小正周期的周期函数,且x ∈[0,2]时f (x )=(x -1)2.求f (3),7()2f 的值.答案:由于f (x )以2为最小正周期,所以对任意x ∈R ,有f (x +2)=f (x ).于是:f (3)=f (1+2)=f (1)=(1-1)2=0;273331()(2)()(1)22224f f f =+==-=. 说明:利用周期函数的性质,将其他区间上的求值问题转化到区间[0,2]上的求值问题.11、容易知道,正弦函数y=sinx 是奇函数,正弦曲线关于原点对称,即原点是正弦曲线的对称中心.除原点外,正弦曲线还有其他对称中心吗?如果有,对称中心的坐标是什么?另外,正弦曲线是轴对称图形吗?如果是,对称轴的方程是什么?你能用已经学过的正弦函数性质解释上述现象吗? 对余弦函数和正切函数,讨论上述同样的问题.答案:由正弦函数的周期性可知,除原点外,正弦曲线还有其他对称中心,其对称中心坐标为(k π,0),k ∈Z .正弦曲线是轴对称图形,其对称轴的方程是,2x k k ππ=+∈Z .由余弦函数和正切的周期性可知,余弦曲线的对称中心坐标为(,0)2k ππ+,k ∈Z ,对称轴的方程是x=k π,k ∈Z ;正切曲线的对称中心坐标为(,0)2k π,k ∈Z ,正切曲线不是轴对称图形.说明:利用三角函数的图象和周期性研究其对称性.B 组1、根据正弦函数、余弦函数的图象,写出使下列不等式成立的x 的取值集合:(1)3sin ()2x x ∈R ≥; (2)22cos 0()x x +∈R ≥. 答案:(1)2{|22,}33x k x k k ππππ++∈Z ≤≤; (2)33{|22,}44x k x k k ππππ-++∈Z ≤≤. 说明:变形后直接根据正弦函数、余弦函数的图象写出结果,并不要求解三角方程或三角不等式.2、求函数3tan(2)4y x π=--的单调区间. 答案:单调递减区间5(,),2828k k k ππππ++∈Z .说明:利用正切函数的单调区间求所给函数的单调区间.3、已知函数y=f (x )的图象如图所示,试回答下列问题:(1)求函数的周期;(2)画出函数y=f (x +1)的图象;(3)你能写出函数y=f (x )的解析式吗?答案:(1)2;(2)y=f (x +1)的图象如下;(3)y=|x -2k|,x ∈[2k -1,2k +1],k ∈Z .说明:可直接由函数y=f (x )的图象得到其周期.将函数y=f (x )的图象向左平行移动1个单位长度,就得到函数y=f (x +1)的图象.求函数y=f (x )的解析式难度较高,需要较强的抽象思维能力.可先求出定义域为一个周期的函数y=f (x ),x ∈[-1,1]的解析式为y=|x|,x ∈[-1,1],再根据函数y=f (x )的图象和周期性,得到函数y=f (x )的解析式为y=|x -2k|,x ∈[2k -1,2k +1],k ∈Z . P57习题1.5A 组1、选择题:(1)为了得到函数1cos()3y x =+,x ∈R 的图象,只需把余弦曲线上所有的点( )A .向左平行移动3π个单位长度 B .向右平行移动3π个单位长度C .向左平行移动13个单位长度D .向右平行移动13个单位长度(2)为了得到函数cos 5xy =,x ∈R 的图象,只需把余弦曲线上所有的点的( )、A .横坐标伸长到原来的5倍,纵坐标不变B .横坐标缩短到原来的15倍,纵坐标不变 C .纵坐标伸长到原来的5倍,横坐标不变D .纵坐标缩短到原来的15倍,横坐标不变 (3)为了得到函数1cos 4y x =,x ∈R 的图象,只需把余弦曲线上所有的点的( ).A .横坐标伸长到原来的4倍,纵坐标不变B .横坐标缩短到原来的14倍,纵坐标不变 C .纵坐标伸长到原来的4倍,横坐标不变 D .纵坐标缩短到原来的14倍,横坐标不变 答案:(1)C ;(2)A ;(3)D .2、画出下列函数在长度为一个周期的闭区间上的简图(有条件的可用计算器或计算机作图检验):(1)14sin 2y x =,x ∈R ; (2)1cos32y x =,x ∈R ; (3)3sin(2)6y x π=+,x ∈R ; (4)112cos()24y x π=-,x ∈R .答案:(1)(2)(3)(4)说明:研究了参数A、ω、φ对函数图象的影响.3、不画图,直接写出下列函数的振幅、周期与初相,并说明这些函数的图象可由正弦曲线经过怎样的变化得到(注意定义域):(1)8sin()48x y π=-,x ∈[0,+∞); (2)1sin(3)37y x π=+,x ∈[0,+∞). 答案:(1)振幅是8,周期是8π,初相是8π-. 先把正弦曲线向右平行移动8π个单位长度,得到函数1sin()8y x π=-,x ∈R 的图象;再把函数y 1的图象上所有点的横坐标伸长到原来的4倍(纵坐标不变),得到函数2sin()48x y π=-,x ∈R 的图象;再把函数y 2的图象上所有点的纵坐标伸长到原来的8倍(横坐标不变),得到函数38sin()48x y π=-,x ∈R 的图象;最后把函数y 3的图象在y 轴左侧的部分抹去,就得到函数8sin()48x y π=-,x ∈[0,+∞)的图象.(2)振幅是13,周期是23π,初相是7π.先把正弦曲线向左平行移动7π个单位长度,得到函数1sin()7y x π=+,x ∈R 的图象;再把函数y 1的图象上所有点的横坐标缩短到原来的13倍(纵坐标不变),得到函数2sin(3)7y x π=+,x ∈R 的图象;再把函数y 2的图象上所有点的纵坐标缩短到原来的13倍(横坐标不变),得到函数31sin(3)37y x π=+,x ∈R 的图象;最后把函数y 3的图象在y 轴左侧的部分抹去,就得到函数1sin(3)37y x π=+,x ∈[0,+∞)的图象.说明:了解简谐振动的物理量与函数解析式的关系,并认识函数y=Asin (ωx +φ)的图象与正弦曲线的关系.4、图 1.5-1的电流i (单位:A )随时间t (单位:s )变化的函数关系是5sin(100),[0,)3i t t ππ=+∈+∞.(1)求电流i 变化的周期、频率、振幅及其初相; (2)当t=0,1171,,,(:s)60015060060单位时,求电流i . 答案:(1)周期为150,频率为50,振幅为5,初相为3π.(2)t=0时,532i =;1600t =时,i=5;1150t =时,i=0;7600t =时,i=-5;160t =时,i=0.说明:了解简谐振动的物理量与函数解析式的关系,并求函数值.5、一根长为l cm 的线,一端固定,另一端悬挂一个小球.小球摆动时,离开平衡位置的位移s (单位:cm )与时间t (单位:s )的函数关系是3cos(),[0,)3g s t t l π=+∈+∞. (1)求小球摆动的周期;(2)已知g ≈980cm/s 2,要使小球摆动的周期是1s ,线的长度l 应当是多少?(精确到0.1cm )答案:(1)2lgπ;(2)约24.8cm . 说明:了解简谐振的周期.B 组1、弹簧振子的振动是简谐运动.下表给出了振子在完成一次全振动的过程中的时间t 与位移s 之间的对应数据,根据这些数据求出这个振子的振动函数解析式.t 0 t 0 2t 0 3t 04t 05t 0 6t 0 7t 0 8t 0 9t 010t 0 11t 0 12t 0s-20.0-17.8-10.10.110.317.720.017.710.30.1 -10.1-17.8-20.0答案:根据已知数据作出散点图(如图).由散点图可知,振子的振动函数解析式为020sin()62x y t ππ=-,x ∈[0,+∞).说明:作出已知数据的散点图,然后选择一个函数模型来描述,并根据已知数据求出该函数模型.2、弹簧挂着的小球作上下运动,它在t 秒时相对于平衡位置的高度h 厘米由下列关系式确定:2sin()4h t π=+.以t 为横坐标,h 为纵坐标,作出这个函数在一个剧期的闭区间上的图象,并回答下列问题:(1)小球在开始振动时(即t=0)的位置在哪里?(2)小球的最高点和最低点与平衡位置的距离分别是多少? (3)经过多少时问小球往复运动一次? (4)每秒钟小球能往复振动多少次?答案:函数2sin()4h t π=+在[0,2π]上的图象为(1)小球在开始振动时的位置在(0,2); (2)最高点和最低点与平衡位置的距离都是2; (3)经过2π秒小球往复运动一次; (4)每秒钟小球能往复振动12π次. 说明:结合具体问题,了解解析式中各常数的实际意义.3、如图,点P 是半径为r cm 的砂轮边缘上的一个质点,它从初始位置P 0开始,按逆时针方向以角速度ω rad/s 做圆周运动.求点P 的纵坐标y 关于时间t 的函数关系,并求点P 的运动周期和频率.答案:点P的纵坐标关于时间t的函数关系式为y=rsin(ωt+φ),t∈[0,+∞);点P的运动周期和频率分别为2πω和2ωπ.说明:应用函数模型y=rsin(ωt+φ)解决实际问题.P65习题1.61、根据下列条件,求△ABC的内角A:(1)1sin2A=;(2)2cos2A=-;(3)tanA=1;(4)3 tan3A=-.答案:(1)30°或150°;(2)135°;(3)45°;(4)150°.说明:由角A是△ABC的内角,可知A∈(0°,180°).2、根据下列条件,求(0,2π)内的角x:(1)3sin2x=-;(2)sinx=-1;(3)cosx=0;(4)tanx=1.答案:(1)4533ππ或;(2)32π;(3)322ππ或;(4)544ππ或.说明:可让学生再变换角x的取值范围求解.3、天上有些恒星的亮度是会变化的.其中一种称为造父(型)变星,本身体积会膨胀收缩造成亮度周期性的变化、下图为一造父变星的亮度随时间的周期变化图、此变星的亮度变化的周期为多少天?最亮时是几等星?最暗时是几等星?答案:5.5天;约3.7等星;约4.4等星.说明:每个周期的图象不一定完全相同,表示视星等的坐标是由大到小.4、夏天是用电的高峰时期,特别是在晚上.为保证居民空调制冷用电,电力部门不得不对企事业拉闸限电,而到了0时以后,又出现电力过剩的情况.因此每天的用电也出现周期性的变化.为保证居民用电,电力部门提出了“消峰平谷”的想法,即提高晚上高峰时期的电价,同时降低后半夜低峰时期的电价,鼓励各单位在低峰时用电.请你调查你们地区每天的用电情况,制定一项“消峰平谷”的电价方案.答案:先收集每天的用电数据,然后作出用电量随时间变化的图象,根据图象制定“消峰平谷”的电价方案.说明:建立周期变化的模型解决实际问题.B组1、北京天安门广场的国旗每天是在日出时随太阳升起,在日落时降旗、请根据年鉴或其他的参考资料,统计过去一年不同时期的日出和日落时间.(1)在同一坐标系中,以日期为横轴,画出散点图,并用曲线去拟合这些数据,同时找到函数模型;(2)某同学准备在五一长假时去看升旗,他应当几点到达天安门广场?答案:略.说明:建立周期变化的函数模型,根据模型解决实际问题.2、一个城市所在的经度和纬度是如何影响日出和日落的时间的?收集其他有关的数据并提供理论证据支持你的结论.答案:略.说明:收集数据,建立周期变化的函数模型,根据模型提出个人意见.然后采取上网、查阅资料或走访专业人士的形式,获取这方面的信息,以此来说明自己的结论.P69复习参考题A 组1、写出与下列各角终边相同的角的集合S ,并且把S 中适合不等式-2π≤β≤4π的元素β写出来:(1)4π; (2)23π-;(3)125π;(4)0.答案:(1)79{|2,},,,4444k k ππππββπ=+∈-Z ; (2)22410{|2,},,,3333k k ββπππππ=-+∈-Z ;(3)128212{|2,},,,5555k k ββπππππ=+∈-Z ;(4){β|β=2k π,k ∈Z },-2π,0,2π. 说明:用集合表示法和符号语言写出与指定角终边相同的角的集合,并在给定范围内找出与指定的角终边相同的角.2、在半径为15cm 的圆中,一扇形的弧含有54°,求这个扇形的周长与面积(π取3.14,计算结果保留两个有效数字).答案:周长约44cm ,面积约1.1×102cm 2.说明:可先将角度转化为弧度,再利用弧度制下的弧长和面积公式求解.3、确定下列三角函数值的符号:(1)sin4; (2)cos5; (3)tan8; (4)tan (-3). 答案:(1)负;(2)正;(3)负;(4)正.说明:将角的弧度数转化为含π的形式或度,再进行判断.4、已知1cos 4ϕ=,求sin φ,tan φ. 答案:当φ为第一象限角时,15sin ,tan 154ϕϕ==; 当φ为第四象限角时,15sin ,tan 154ϕϕ=-=-. 说明:先求sin φ的值,再求tan φ的值.5、已知sinx=2cosx ,求角x 的三个三角函数值. 答案:当x 为第一象限角时,tanx=2,525cos ,sin 55x x ==;当x 为第三象限角时,tanx=2,525cos ,sin 55x x =-=-. 说明:先求tanx 的值,再求另外两个函数的值.6、用cos α表示sin 4α-sin 2α+cos 2α.答案:cos 4α.说明:先将原式变形为sin 2α(sin 2α-1)+cos 2α,再用同角三角函数的基本关系变形.7、求证:(1)2(1-sin α)(1+cos α)=(1-sin α+cos α)2;(2)sin 2α+sin 2β-sin 2α·sin 2β+cos 2α·cos 2β=1. 答案:(1)左边=2-2sin α+2cos α-2sin αcos α=1+sin 2α+cos 2α-2sin α+2cos α-2sin αcos α =右边. (2)左边=sin 2α(1-sin 2β)+sin 2β+cos 2αcos 2β=cos 2β(sin 2α+cos 2α)+sin 2β =1=右边.说明:第(1)题可先将左右两边展开,再用同角三角函数的基本关系变形.8、已知tan α=3,计算: (1)4sin 2cos 5cos 3sin αααα-+;(2)sin αcos α;(3)(sin α+cos α)2. 答案:(1)57;(2)310;(3)85. 说明:第(2)题可由222sin tan 9cos ααα==,得21c o s 10α=,所以23sin cos tan cos 10αααα==.或222s incs i n c10sin cos tan 131αααααααα====+++.9、先估计结果的符号,再进行计算. (1)252525sincos tan()634πππ++-; (2)sin2+cos3+tan4(可用计算器).答案:(1)0;(2)1.0771.说明:先根据各个角的位置比较它们的三角函数值的大小,再估计结果的符号.10、已知1sin()2πα+=-,计算:(1)cos(2π-α);(2)tan(α-7π).答案:(1)当α为第一象限角时,3 cos(2)2πα-=,当α为第二象限角时,3 cos(2)2πα-=-;(2)当α为第一象限角时,3 tan(7)3απ-=,当α为第二象限角时,3 tan(7)3απ-=-.说明:先用诱导公式转化为α的三角函数,再用同角三角函数的基本关系计算.11、先比较大小,再用计算器求值:(1)sin378°21′,tan1111°,cos642.5°;(2)sin(-879°),313t a n(),c o s()810ππ--;(3)sin3,cos(sin2).答案:(1)tan1111°=0.601,sin378°21′=0.315,cos642.5°=0.216;(2)sin(-879°)=-0.358,3313tan()0.414,cos()0.588 810ππ-=--=-;(3)sin3=0.141,cos(sin2)=0.614.说明:本题的要求是先估计各三角函数值的大小,再求值验证.12、设π<x<2π,填表:x 76π74πsinx -1cosx22-32tanx 3答案:x 76π54π43π32π74π116πsinx12-22-32--122-12-cosx32-22-12- 02232tanx3313不存在-133-说明:熟悉各特殊角的三角函数值.13、下列各式能否成立,说明理由: (1)cos 2x=1.5;(2)3sin 4x π=-.答案:(1)因为cos 1.5x =,或cos 1.5x =-,而 1.51, 1.51>-<-,所以原式不能成立;(2)因为3sin 4x π=-,而3||14π-<,所以原式有可能成立.说明:利用正弦和余弦函数的最大值和最小值性质进行判断.14、求下列函数的最大值、最小值,并且求使函数取得最大、最小值的x 的集合: (1)sin 2xy π=+,x ∈R ;(2)y=3-2cosx ,x ∈R . 答案:(1)最大值为12π+,此时x 的集合为{|2,}2x x k k ππ=+∈Z ;最小值为12π-,此时x 的集合为{|2,}2x x k k ππ=-+∈Z ;(2)最大值为5,此时x 的集合为{x|x=(2k +1)π,k ∈Z }; 最小值为1,此时x 的集合为{x|x=2k π,k ∈Z }.说明:利用正弦、余弦函数的最大值和最小值性质,研究所给函数的最大值和最小值性质.15、已知0≤x ≤2π,求适合下列条件的角x 的集合: (1)y=sinx 和y=cosx 都是增函数; (2)y=sinx 和y=cosx 都是减函数;(3)y=sinx 是增函数,而y=cosx 是减函数; (4)y=sinx 是减函数,而y=cosx 是增函数.答案:(1)3{|2}2x x ππ≤≤; (2){|}2x x ππ≤≤;(3){|0}2x x π≤≤;(4)3{|}2x x ππ≤≤. 说明:利用函数图象分析.16、画出下列函数在长度为一个周期的闭区间上的简图: (1)1sin(3),;23y x x π=-∈R (2)2sin(),;4y x x π=-+∈R (3)1sin(2),;5y x x π=--∈R(4)3sin(),.63xy x π=-∈R 答案:(1)(2)(3)(4)说明:可要求学生在作出图象后,用计算机或计算器验证.17、(1)用描点法画出函数y=sinx ,[0,]2x π∈的图象.(2)如何根据第(1)小题并运用正弦函数的性质,得出函数y=sinx ,x ∈[0,2π]的图象?(3)如何根据第(2)小题并通过平行移动坐标轴,得出函数y=sin (x +φ)+k ,x ∈[0,2π]的图象?(其中φ,k 都是常数)答案:(1)x 0 18π9π 6π 29π 518π 3π 718π 49π 2π sinx0.17 0.34 0.50 0.64 0.77 0.87 0.94 0.981(2)由sin (π-x )=sinx ,可知函数y=sinx ,x ∈[0,π]的图象关于直线2x π=对称,据此可得函数y=sinx ,[,]2x ππ∈的图象;又由sin (2π-x )=-sinx ,可知函数y=sinx ,x ∈[0,2π]的图象关于点(π,0)对称,据此可得出函数y=sinx ,x ∈[π,2π]的图象.(3)先把y 轴向右(当φ>0时)或向左(当φ<0时)平行移动|φ|个单位长度,再把x 轴向下(当k >0时)或向上(当k <0时)平行移动|k|个单位长度,最后将图象向左或向右平行移动2π个单位长度,并擦去[0,2π]之外的部分,便得出函数y=sin (x +φ)+k ,x ∈[0,2π]的图象.说明:学会用不同的方法作函数图象.18、不通过画图,写出下列函数的振幅、周期、初相,并说明如何由正弦曲线得出它们的图象:(1)sin(5),;6y x x π=+∈R(2)12sin,.6y x x =∈R 答案:(1)振幅是1,周期是25π,初相是6π. 把正弦曲线向左平行移动6π个单位长度,可以得函数sin()6y x π=+,x ∈R 的图象;再把所得图象上所有点的横坐标缩短到原来的15倍(纵坐标不变),就可得出函数sin(5)6y x π=+,x ∈R 的图象.(2)振幅是2,周期是2π,初相是0.把正弦曲线上所有点的横坐标伸长到原来的6倍(纵坐标不变),得到函数1sin6y x =,x ∈R 的图象;再把所得图象上所有点的纵坐标伸长到原来的2倍(横坐标不变),就可得到函数12sin()6y x =,x ∈R 的图象.说明:会根据解析式求各物理量,并理解如何由正弦曲线通过变换得到正弦函数的图象.。
人教版英语必修4各单元必刷题对应练习(有答案).doc人教版英语必修4各单元必刷题对应练习目录人教版英语必修4各单元必刷题对应练习 (1)必修4 Unitl Women of achievement (1)必修4 Unit2 Working the land (3)必修4 Unit3 A taste of English humour (8)必修4 Unit4 Body language (8)必修4 Unit5 Theme parks (14)人教版英语必修4各单元必刷题对应练习参考答案 (17)必修4 Unitl Women of achievement 答案 (17)必彳多4 Unit2 Working the land 答案 (19)必修4 Unit3 A taste of English humour 答案 (20)必修4 Unit4 Body language (22)必修4 Unit5 Theme parks 答案 (24)必修 4 Unitl Women of achievement课时规范训练(十六)I .完形填空Imagine being born without arms. No arms to hug someone, and no hands to ] touch. Or what about being born without legs? Having no 2 to dance, walk, run, or even stand on two feet. Now put both of those scenes together: no arms and no legs. How would that 3 one's everyday life?Without any medical explanation, Nick Vujicic came into the world with neither arms nor legs. Imagine the 4 his parents felt when they saw their baby being what the world would consider imperfect and 5. Little did they know that this beautiful limbless baby would one day be someone who would Q and motivate people from all walks of life.Throughout his childhood Nick dealt with the 7 of self-respect, and struggled with depression and 8 . As Nick grew up he learned to deal with his 9 and started to be able to do more and more things on his own. He 』0 to his situation and found ways to 11 tasks that most people could only do by using their limbs, such as cleaning teeth, 12— hair, typing on a computer, etc. As time 13 ‘ Nick began to eagerly accept his J4—and achieve greater things-Nick got a double bachelor's degree J5 in accounting and financial planning. By the age of 19, Nick had started to JI6 his dream of encouraging others by sharing his story through J7 speaking. He found the purpose of his . Now at 27 years old, he has accomplished more than most people. He has travelled around, J9 his story with millions of people. He is a true inspirational and motivational 20.1. A.understand B. experience C. know D. prevent2. A.chance B. interest C. reason D. ability3. A.limit B. affect C.improve D. design4. A.shock B. excitement C. calmness D. eagerness5. A.abnormal B- unique C. extraordinary D. unqualified6. A.teach B ? organize C. inspire D. comfort7. A.challenge B ? management C. question D. load8. A.tiredness B. loneliness C. happiness D. relief9. A.fault B. disability C ? shortage D. willpower1 0. A.devoted B ? attended C ? adapted D. stuck1 1. A.accomplish B- attain C. find D. reduce1 2. A.wearing B ? working C. brushing D. losing1 3. A.went up B ? went ahead C. went away D. went by1 4. A.position B. situation C . state D. emergency1 5. A.researching B. majoring C. aiming D. choosing1 6. A.finish B. undertake C. support D. realize1 7. A.meaningful B. significant C. motivational D. strong1 8. A.action B. existence C. behavior D. communication1 9. A.telling B. recalling C. writing D. sharing20.A.doctor B . driver C . speaker D. writerII .语法填空Mr. Johnson lived in the woods with his wife and children. He owned 1.farm, which looked almostabandoned.2.(lucky), he also had a cow which produced milk every day. He sold or exchanged some of the milk in the towns nearby 3. other food and made cheese and butter for the family with what4.(leave). The cow was their only means of support, in fact. One day, the cow was eating grass5.it began to rain heavily. While making great efforts to run away, she6.(fall) over the hill and died. Then the Johnsons had to makea living7.the cow. In order to support his family, Mr. Johnson began to plant herbs and vegetables. Since the plants took a while to grow, he started cutting down trees8.(sell) the wood. Thinking about his children's clothes, he started growing cotton too. When harvest came around, he was already selling herbs, vegetables and cotton in the market9.people from the towns met regularly. Now it occurred to10.that his farm had much potential and that the death of the cow was a bit of luck.Ill.短文改错(2017-山东莱芜质检)My English teacher gave us a horrible job today. She told us what we would have to prepare a ten-minute speech for Tuesday. I can't stand speaking in front of the class. Anyway, I asked my teacher if I could do something different一like a writing report. I told her how nervously I would get when speak before the class. My teacher explained me that she couldn't change that. While she did have some advices. She encouraged me to get to work right away. She said if I practice my speech ahead of time, I would feel the more comfortable. As a result of his warm words, 1 decided to make a try.IV.书面表达假如你是李华,高考前班会上大家讨论高考后为社会做些有意义的事情。
必修四第一章 三角函数精选练习题一、选择题1.在0°~360°的范围内,与-510°终边相同的角是( ) A .330° B .210° C .150° D .30°B [因为-510°=-360°×2+210°,因此与-510°终边相同的角是210°.] 2.cos 420°的值为( ) A .12 B .-12C .32D .-32A [cos 420°=cos(360°+60°)=cos 60°=12,故选A.]3.已知角θ的终边上一点P (a ,-1)(a ≠0),且tan θ=-a ,则sin θ的值是( ) A .±22 B .-22 C .22 D .-12B [由题意得tan θ=-1a =-a , 所以a 2=1, 所以sin θ=-1a 2+(-1)2=-22.] 4.一个扇形的弧长与面积的数值都是6,这个扇形中心角的弧度数是( ) A .1 B .2 C .3 D .4C [设扇形的半径为r ,中心角为α,根据扇形面积公式S =12lr 得6=12×6×r ,所以r =2, 所以α=l r =62=3.]5.已知sin θ+cos θ=43,θ∈⎝ ⎛⎭⎪⎫0,π4,则sin θ-cos θ的值为( ) A .23 B .13 C .-23 D .-13 C [∵已知sin θ+cos θ=43,θ∈⎝ ⎛⎭⎪⎫0,π4,∴1+2sin θcos θ=169,∴2sin θcos θ=79,故sin θ-cos θ=-(sin θ-cos θ)2 =-1-2sin θ·cos θ =-23,故选C.]6.函数y =tan(sin x )的值域是( ) A .⎣⎢⎡⎦⎥⎤-π4,π4B .⎣⎢⎡⎦⎥⎤-22,22C .[]-tan 1,tan 1D .[]-1,1C [sin x ∈[-1,1],又-π2<-1<1<π2,且y =tan x 在⎝ ⎛⎭⎪⎫-π2,π2上是增函数,所以y min =tan(-1)=-tan 1,y max =tan 1.]7.将函数y =sin ⎝ ⎛⎭⎪⎫x -π3的图象上所有点的横坐标伸长到原来的2倍(纵坐标不变),再将所得的图象向左平移π3个单位,得到的图象对应的解析式为( )A .y =sin 12xB .y =sin ⎝ ⎛⎭⎪⎫12x -π2C .y =sin ⎝ ⎛⎭⎪⎫12x -π6D .y =sin ⎝ ⎛⎭⎪⎫2x -π6 C [函数y =sin ⎝ ⎛⎭⎪⎫x -π3的图象上所有点的横坐标伸长到原来的2倍可得y =sin ⎝ ⎛⎭⎪⎫12x -π3,再将所得的图象向左平移π3个单位,得到函数y =sin ⎣⎢⎡⎦⎥⎤12⎝⎛⎭⎪⎫x +π3-π3=sin ⎝ ⎛⎭⎪⎫12x -π6.] 8.函数f (x )=sin ⎝ ⎛⎭⎪⎫2x -π4在⎣⎢⎡⎦⎥⎤0,π2上的单调递增区间是( ) A .⎣⎢⎡⎦⎥⎤0,π8B .⎣⎢⎡⎦⎥⎤π8,π2C .⎣⎢⎡⎦⎥⎤0,3π8D .⎣⎢⎡⎦⎥⎤3π8,π2C [令2k π-π2≤2x -π4≤2k π+π2(k ∈Z )得k π-π8≤x ≤k π+3π8(k ∈Z ),k =0时,x∈⎣⎢⎡⎦⎥⎤-π8,3π8,又x ∈⎣⎢⎡⎦⎥⎤0,π2, ∴x ∈⎣⎢⎡⎦⎥⎤0,3π8,故选C.]9.已知函数y =A sin(ωx +φ)(A >0,ω>0,|φ|<π)的一段图象如图所示,则函数的解析式为( )A .y =2sin ⎝ ⎛⎭⎪⎫2x -π4B .y =2sin ⎝ ⎛⎭⎪⎫2x -π4或y =2sin ⎝ ⎛⎭⎪⎫2x +3π4 C .y =2sin ⎝ ⎛⎭⎪⎫2x +3π4D .y =2sin ⎝ ⎛⎭⎪⎫2x -3π4C [由图可知A =2,4⎝ ⎛⎭⎪⎫π8+π8=2πω得ω=2,且2×⎝ ⎛⎭⎪⎫-π8+φ=π2+2k π(k ∈Z )∴φ=2k π+3π4(k ∈Z ), 又∵|φ|<π, ∴φ=3π4,故选C.]10.如图,质点P 在半径为2的圆周上逆时针运动,其初始位置为P 0(2,-2),角速度为1,那么点P 到x 轴的距离d 关于时间t 的函数图象大致为( )C [∵P 0(2,-2),∴∠P 0Ox =π4.按逆时针转时间t 后得 ∠POP 0=t ,∠POx =t -π4. 此时P 点纵坐标为2sin ⎝ ⎛⎭⎪⎫t -π4,∴d =2⎪⎪⎪⎪⎪⎪sin ⎝ ⎛⎭⎪⎫t -π4.当t =0时,d =2,排除A ,D ; 当t =π4时,d =0,排除B.]11.设α是第三象限的角,且⎪⎪⎪⎪⎪⎪cos α2=-cos α2,则α2的终边所在的象限是( )A .第一象限B .第二象限C .第三象限D .第四象限 B [∵α是第三象限的角, ∴π+2k π<α<3π2+2k π,k ∈Z . ∴π2+k π<α2<3π4+k π,k ∈Z . ∴α2在第二或第四象限. 又∵⎪⎪⎪⎪⎪⎪cos α2=-cos α2,∴cos α2<0.∴α2是第二象限的角.]12.化简1+2sin (π-2)·cos (π-2)得( )A .sin 2+cos 2B .cos 2-sin 2C .sin 2-cos 2D .±cos 2-sin 2 C [1+2sin (π-2)·cos (π-2) =1+2sin 2·(-cos 2) =(sin 2-cos 2)2, ∵π2<2<π,∴sin 2-cos 2>0. ∴原式=sin 2-cos 2.]13.同时具有下列性质的函数可以是( ) ①对任意x ∈R ,f (x +π)=f (x )恒成立; ②图象关于直线x =π3对称; ③在⎣⎢⎡⎦⎥⎤-π6,π3上是增函数.A .f (x )=sin ⎝ ⎛⎭⎪⎫x 2+π6B .f (x )=sin ⎝ ⎛⎭⎪⎫2x -π6C .f (x )=cos ⎝ ⎛⎭⎪⎫2x +π3D .f (x )=cos ⎝ ⎛⎭⎪⎫2x -π6B [依题意知,满足条件的函数的周期是π,图象以直线x =π3为对称轴,且在⎣⎢⎡⎦⎥⎤-π6,π3上是增函数.对于A 选项,函数周期为4π,因此A 选项不符合;对于C 选项,f ⎝ ⎛⎭⎪⎫π3=-1,但该函数在⎣⎢⎡⎦⎥⎤-π6,π3上不是增函数,因此C 选项不符合;对于D 选项,f ⎝ ⎛⎭⎪⎫π3≠±1,即函数图象不以直线x =π3为对称轴,因此D 选项不符合.综上可知,应选B.]14.已知函数f (x )=-2tan(2x +φ)(|φ|<π),若f ⎝ ⎛⎭⎪⎫π16=-2,则f (x )的一个单调递减区间是( )A .⎝ ⎛⎭⎪⎫3π16,11π16B .⎝ ⎛⎭⎪⎫π16,9π16C .⎝ ⎛⎭⎪⎫-3π16,5π16D .⎝ ⎛⎭⎪⎫π16,5π16 A [由f ⎝ ⎛⎭⎪⎫π16=-2得-2tan ⎝ ⎛⎭⎪⎫π8+φ=-2,所以tan ⎝ ⎛⎭⎪⎫π8+φ=1,又|φ|<π,所以φ=π8,f (x )=-2tan ⎝ ⎛⎭⎪⎫2x +π8, 令k π-π2<2x +π8<k π+π2,k ∈Z 得 k π2-5π16<x <k π2+3π16,k ∈Z .可得f (x )的单调递减区间是⎝ ⎛⎭⎪⎫k π2-5π16,k π2+3π16,k ∈Z ,令k =1,可得f (x )的一个单调递减区间是⎝ ⎛⎭⎪⎫3π16,11π16.]二、填空题15.对于锐角α,若tan α=34,则cos 2α+2sin 2α=________. 6425 [由题意可得:cos 2α+2sin 2α=cos 2α+4sin αcos αcos 2α+sin 2α=1+4tan α1+tan 2α=6425.]16.已知sin α=13,且α是第二象限角,那么cos(3π-α)的值为________. 223[cos(3π-α)=-cos α=-(-1-sin 2α)=1-⎝ ⎛⎭⎪⎫132=223.] 17.函数y =3-tan x 的定义域是________.⎝ ⎛⎦⎥⎤k π-π2,k π+π3(k ∈Z ) [作出三角数线如图,由函数可知3-tan x ≥0中tan x ≤3,而3对应角为π3,由图中阴影部分可得定义域为⎝ ⎛⎦⎥⎤k π-π2,k π+π3(k ∈Z ).]18.函数y =tan ⎝ ⎛⎭⎪⎫2x -π4的定义域为________.⎩⎨⎧⎭⎬⎫x ⎪⎪⎪x ≠3π8+k π2,k ∈Z[2x -π4≠π2+k π,即x ≠3π8+k π2,k ∈Z .]19.若函数y =sin(ωx +φ)(ω>0)的部分图象如图所示,则ω=________.4 [观察图象可知函数y =sin(ωx +φ)的半个周期为π4, 所以2πω=π2,ω=4.]20.已知函数f (x )=sin(ωx +φ)(ω>0),若将f (x )的图象向左平移π3个单位长度所得的图象与将f (x )的图象向右平移π6个单位长度所得的图象重合,则ω的最小值为________.4 [由条件可知,图象变换后的解析式分别为y =sin ⎝ ⎛⎭⎪⎫ωx +ωπ3+φ和y =sin ⎝ ⎛⎭⎪⎫ωx -ωπ6+φ,由于两图象重合,所以ωπ3+φ=-ωπ6+φ+2k π(k ∈Z ). 即ω=4k (k ∈Z ),由ω>0,∴ωmin =4.]21.一扇形的圆心角为2弧度,记此扇形的周长为C ,面积为S ,则C -1S 的最大值为________.4 [由已知可得弧长l =2r ,周长C =4r ,面积S =12×lr =r 2,∴C -1S =4r -1r 2=-1r 2+4r =-⎝ ⎛⎭⎪⎫1r -22+4,故C -1S 的最大值为4.] 22.已知角α终边上一点P 的坐标为⎝ ⎛⎭⎪⎫sin 5π6,cos 5π6,则角α的最小正值是________.5π3 [角α终边上一点P 的坐标为⎝ ⎛⎭⎪⎫sin 5π6,cos 5π6,即⎝ ⎛⎭⎪⎫12,-32, tan α=-3212=-3,且α为第四象限角,所以角α的最小正值是5π3.]23.函数y =2+cos x2-cos x(x ∈R )的最大值为________.3 [由题意有y =42-cos x-1,因为-1≤cos x ≤1,所以1≤2-cos x ≤3,则43≤42-cos x ≤4,由此可得13≤y ≤3,于是函数y =2+cos x 2-cos x (x ∈R )的最大值为3.]24.对于函数f (x )=⎩⎨⎧sin x ,sin x ≤cos x ,cos x ,sin x >cos x ,给出下列四个命题:①该函数是以π为最小正周期的周期函数;②当且仅当x =π+k π(k ∈Z )时,该函数取得最小值-1; ③该函数的图象关于x =5π4+2k π(k ∈Z )对称; ④当且仅当2k π<x <π2+2k π(k ∈Z )时,0<f (x )≤22. 其中正确命题的序号是________. ③④ [作出函数f (x )的图象如图所示:由图象可知f (x )为周期函数,T =2π,①错误;当x =2k π+π或x =2k π+3π2时,取最小值-1,故②错误;x =π4+2k π(k ∈Z )和x =5π4+2k π(k ∈Z )都是该图象的对称轴,故③正确; 当2k π<x <π2+2k π(k ∈Z )时,f (x )图象在x 轴上方且f (x )max =22. 故0<f (x )≤22.故④正确.]三、解答题25.已知sin(π-α)·cos(-8π-α)=60169,且α∈⎝ ⎛⎭⎪⎫π4,π2,求sin α与cos α的值.[解] 由已知条件可得sin αcos α=60169,∴(sin α+cos α)2=1+2sin αcos α=1+120169=289169, (sin α-cos α)2=1-2sin αcos α=1-120169=49169. ∵x ∈⎝ ⎛⎭⎪⎫π4,π2,∴sin α>cos α, ∴⎩⎪⎨⎪⎧sin α+cos α=1713,sin α-cos α=713,解方程组得sin α=1213,cos α=513.26.(1)已知角α的终边经过点P (4,-3),求2sin α+cos α的值; (2)已知角α的终边经过点P (4a ,-3a )(a ≠0),求2sin α+cos α的值; (3)已知角α终边上一点P 到x 轴的距离与到y 轴的距离之比为3∶4,求2sin α+cos α的值.[解] (1)∵α终边过点P (4,-3),∴r =|OP |=5,x =4,y =-3, ∴sin α=y r =-35,cos α=x r =45, ∴2sin α+cos α=2×⎝ ⎛⎭⎪⎫-35+45=-25.(2)∵α终边过点P (4a ,-3a )(a ≠0), ∴r =|OP |=5|a |,x =4a ,y =-3a . 当a >0时,r =5a ,sin α=y r =-35, cos α=x r =45, ∴2sin α+cos α=-25;当a <0时,r =-5a ,∴sin α=y r =35, cos α=x r =-45, ∴2sin α+cos α=25.综上,2sin α+cos α=-25或25. (3)当点P 在第一象限时,sin α=35, cos α=45,2sin α+cos α=2; 当点P 在第二象限时,sin α=35, cos α=-45,2sin α+cos α=25;当点P 在第三象限时,sin α=-35, cos α=-45,2sin α+cos α=-2; 当点P 在第四象限时,sin α=-35, cos α=45,2sin α+cos α=-25.27.是否存在角α,β,α∈⎝ ⎛⎭⎪⎫-π2,π2,β∈(0,π),使等式sin(3π-α)=2cos ⎝ ⎛⎭⎪⎫π2-β,3cos(-α)=-2cos(π+β)同时成立?若存在,求出α,β的值;若不存在,请说明理由.[解] 假设存在角α,β满足条件,则{sin α=2sin β, ①3cos α=2cos β, ② 由①2+②2得sin 2α+3cos 2α=2. ∴cos 2α=12, ∴cos α=22.∵α∈⎝ ⎛⎭⎪⎫-π2,π2,∴α=±π4.当α=π4时,代入②得:cos β=32, ∵0<β<π,∴β=π6,代入①可知成立; 当α=-π4时,代入②得cos β=32,∵0<β<π,∴β=π6,此时代入①式不成立,故舍去. ∴存在α=π4,β=π6满足条件.28.已知函数f (x )=2sin ⎝ ⎛⎭⎪⎫2x +π3+1. (1)求函数f (x )的最大值,并求取得最大值时x 的值; (2)求函数f (x )的单调递增区间.[解] (1)当2x +π3=2k π+π2,则x =k π+π12(k ∈Z )时,f (x )max =3. (2)当2k π-π2≤2x +π3≤2k π+π2,即k π-5π12≤x ≤k π+π12时,函数f (x )为增函数.故函数f (x )的单调递增区间是⎣⎢⎡⎦⎥⎤k π-5π12,k π+π12(k ∈Z ). 29.如图是函数y =A sin(ωx +φ)+k (A >0,ω>0,|φ|<π2)的一段图象.(1)求此函数解析式;(2)分析一下该函数是如何通过y =sin x 变换得来的? [解] (1)由图象知A =-12-⎝ ⎛⎭⎪⎫-322=12,k =-12+⎝ ⎛⎭⎪⎫-322=-1,T =2×⎝ ⎛⎭⎪⎫2π3-π6=π,∴ω=2πT =2.∴y =12sin(2x +φ)-1. 当x =π6,2×π6+φ=π2,∴φ=π6. ∴所求函数解析式为y =12sin ⎝ ⎛⎭⎪⎫2x +π6-1.(2)把y =sin x 向左平移π6个单位得到y =sin ⎝ ⎛⎭⎪⎫x +π6,然后纵坐标保持不变、横坐标缩短为原来的12倍,得到y =sin ⎝ ⎛⎭⎪⎫2x +π6,再横坐标保持不变,纵坐标变为原来的12倍,得到y =12sin ⎝ ⎛⎭⎪⎫2x +π6,最后把函数y =12sin ⎝ ⎛⎭⎪⎫2x +π6的图象向下平移1个单位,得到y=12sin ⎝ ⎛⎭⎪⎫2x +π6-1的图象.30.已知函数f (x )=A sin(ωx +φ)⎝ ⎛⎭⎪⎫A >0,ω>0,|φ|<π2的图象在y 轴上的截距为1,它在y 轴右侧的第一个最大值点和最小值点分别为(x 0,2)和(x 0+3π,-2).(1)求f (x )的解析式;(2)将f (x )的图象上的所有点的横坐标缩短到原来的13倍(纵坐标不变),然后再将所得的图象向右平移π3个单位,得到函数g (x )的图象,写出函数g (x )的解析式,并用五点作图的方法画出g (x )在长度为一个周期的闭区间上的图象.[解] (1)由f (x )=A sin(ωx +φ)在y 轴上的截距为1,最大值为2,得1=2sin φ,所以sin φ=12.又|φ|<π2,所以φ=π6.由题意易知T =2[(x 0+3π)-x 0]=6π, 所以ω=2πT =13, 所以f (x )=2sin ⎝ ⎛⎭⎪⎫x 3+π6.(2)将f (x )的图象上的所有点的横坐标缩短到原来的13倍(纵坐标不变),得到y =2sin ⎝ ⎛⎭⎪⎫x +π6的图象;再把所得图象向右平移π3个单位,得到g (x )=2sin ⎝ ⎛⎭⎪⎫x -π3+π6=2sin ⎝ ⎛⎭⎪⎫x -π6的图象.列表:。
第二章 平面向量2.1平面向量的实际背景及基本概念 练习(P77)1、略.2、AB ,BA . 这两个向量的长度相等,但它们不等.3、2AB =, 2.5CD =,3EF =,22GH =4、(1)它们的终点相同; (2)它们的终点不同. 习题 A 组(P77) 1、(2). 3、与DE 相等的向量有:,AF FC ;与EF 相等的向量有:,BD DA ; 与FD 相等的向量有:,CE EB .4、与a 相等的向量有:,,CO QP SR ;与b 相等的向量有:,PM DO ; 与c 相等的向量有:,,DC RQ ST5、33AD =. 6、(1)×; (2)√; (3)√; (4)×. 习题 B 组(P78)1、海拔和高度都不是向量.2、相等的向量共有24对. 模为1的向量有18对. 其中与AM 同向的共有6对,与AM 反向的也有6对;与AD同向的共有3对,与AD 反向的也有6对;模的向量共有4对;模为2的向量有2对2.2平面向量的线性运算 练习(P84)1、图略.2、图略.3、(1)DA ; (2)CB .4、(1)c ; (2)f ; (3)f ; (4)g . 练习(P87)1、图略.2、DB ,CA ,AC ,AD ,BA .3、图略. 练习(P90) 1、图略.2、57AC AB =,27BC AB =-.说明:本题可先画一个示意图,根据图形容易得出正确答案. 值得注意的是BC 与AB 反向.3、(1)2b a =; (2)74b a =-; (3)12b a =-; (4)89b a =.4、(1)共线; (2)共线.5、(1)32a b -; (2)111123a b -+; (3)2ya . 6、图略.习题 A 组(P91)1、(1)向东走20 km ; (2)向东走5 km; (3)向东北走km ;(4)向西南走;(5)向西北走;(6)向东南走 2、飞机飞行的路程为700 km ;两次位移的合成是向北偏西53°方向飞行500 km. 3、解:如右图所示:AB 表示船速,AD 表示河水的流速,以AB 、AD 为邻边作□ABCD ,则AC 表示船实际航行的速度.在Rt △ABC 中,8AB =,2AD =,所以228AC AB AD =+==因为tan4CAD ∠=,由计算器得76CAD ∠≈︒所以,实际航行的速度是km/h ,船航行的方向与河岸的夹角约为76°. 4、(1)0; (2)AB ; (3)BA ; (4)0; (5)0; (6)CB ; (7)0.5、略6、不一定构成三角形. 说明:结合向量加法的三角形法则,让学生理解,若三个非零向量的和为零向量,且这三个向量不共线时,则表示这三个向量的有向线段一定能构成三角形.7、略. 8、(1)略; (2)当a b ⊥时,a b a b +=-9、(1)22a b --; (2)102210a b c -+; (3)132a b +; (4)2()x y b -.10、14a b e +=,124a b e e -=-+,1232310a b e e -=-+. 11、如图所示,OC a =-,OD b =-,DC b a =-,BC a b =--.12、14AE b =,BC b a =-,1()4DE b a =-,34DB a =, 34EC b =,1()8DN b a =-,11()48AN AM a b ==+.13、证明:在ABC ∆中,,E F 分别是,AB BC 的中点,所以EF AC //且12EF AC =,即12EF AC =;同理,12HG AC =,所以EF HG =.习题 B 组(P92)1、丙地在甲地的北偏东45°方向,距甲地1400 km.2、不一定相等,可以验证在,a b 不共线时它们不相等.3、证明:因为MN AN AM =-,而13AN AC =,13AM AB =, 所以1111()3333MN AC AB AC AB BC =-=-=.4、(1)四边形ABCD 为平行四边形,证略 (2)四边形ABCD 为梯形.证明:∵13AD BC =,∴AD BC //且AD BC ≠ ∴四边形ABCD 为梯形. (3)四边形ABCD 为菱形.(第11题)(第12题)EHGFC AB丙乙(第1题)(第4题(2))BCD证明:∵AB DC =,∴AB DC //且AB DC =∴四边形ABCD 为平行四边形 又AB AD =∴四边形ABCD 为菱形.5、(1)通过作图可以发现四边形ABCD 为平行四边形. 证明:因为OA OB BA -=,OD OC CD -= 而OA OC OB OD +=+所以OA OB OD OC -=- 所以BA CD =,即∥.因此,四边形ABCD 为平行四边形. 2.3平面向量的基本定理及坐标表示 练习(P100)1、(1)(3,6)a b +=,(7,2)a b -=-; (2)(1,11)a b +=,(7,5)a b -=-; (3)(0,0)a b +=,(4,6)a b -=; (4)(3,4)a b +=,(3,4)a b -=-.2、24(6,8)a b -+=--,43(12,5)a b +=.3、(1)(3,4)AB =,(3,4)BA =--; (2)(9,1)AB =-,(9,1)BA =-; (3)(0,2)AB =,(0,2)BA =-; (4)(5,0)AB =,(5,0)BA =-4、AB ∥CD . 证明:(1,1)AB =-,(1,1)CD =-,所以AB CD =.所以AB ∥CD .5、(1)(3,2); (2)(1,4); (3)(4,5)-.6、10(,1)3或14(,1)3-7、解:设(,)P x y ,由点P 在线段AB 的延长线上,且32AP PB =,得32AP PB =-(,)(2,3)(2,3)AP x y x y =-=--,(4,3)(,)(4,3)PB x y x y =--=---∴3(2,3)(4,3)2x y x y --=---- ∴32(4)233(3)2x x y y ⎧-=--⎪⎪⎨⎪-=---⎪⎩(第4题(3))(第5题)∴815x y =⎧⎨=-⎩,所以点P 的坐标为(8,15)-.习题 A 组(P101)1、(1)(2,1)-; (2)(0,8); (3)(1,2).说明:解题时可设(,)B x y ,利用向量坐标的定义解题. 2、123(8,0)F F F ++=3、解法一:(1,2)OA =--,(53,6(1))(2,7)BC =---=而AD BC =,(1,5)OD OA AD OA BC =+=+=. 所以点D 的坐标为(1,5).解法二:设(,)D x y ,则((1),(2))(1,2)AD x y x y =----=++,(53,6(1))(2,7)BC =---=由AD BC =可得,1227x y +=⎧⎨+=⎩,解得点D 的坐标为(1,5).4、解:(1,1)OA =,(2,4)AB =-. 1(1,2)2AC AB ==-,2(4,8)AD AB ==-,1(1,2)2AE AB =-=-. (0,3)OC OA AC =+=,所以,点C 的坐标为(0,3); (3,9)OD OA AD =+=-,所以,点D 的坐标为(3,9)-; (2,1)OE OA AE =+=-,所以,点E 的坐标为(2,1)-. 5、由向量,a b 共线得(2,3)(,6)x λ=-,所以236x =-,解得4x =-. 6、(4,4)AB =,(8,8)CD =--,2CD AB =-,所以AB 与CD 共线. 7、2(2,4)OA OA '==,所以点A '的坐标为(2,4);3(3,9)OB OB '==-,所以点B '的坐标为(3,9)-; 故(3,9)(2,4)(5,5)A B ''=--=- 习题 B 组(P101)1、(1,2)OA =,(3,3)AB =.当1t =时,(4,5)OP OA AB OB =+==,所以(4,5)P ; 当12t =时,13357(1,2)(,)(,)22222OP OA AB =+=+=,所以57(,)22P ; 当2t =-时,2(1,2)(6,6)(5,4)OP OA AB =-=-=--,所以(5,4)P --; 当2t =时,2(1,2)(6,6)(7,8)OP OA AB =+=+=,所以(7,8)P .2、(1)因为(4,6)AB =--,(1,1.5)AC =,所以4AB AC =-,所以A 、B 、C 三点共线;(2)因为(1.5,2)PQ =-,(6,8)PR =-,所以4PR PQ =,所以P 、Q 、R 三点共线;(3)因为(8,4)EF =--,(1,0.5)EG =--,所以8EF EG =,所以E 、F 、G 三点共线.3、证明:假设10λ≠,则由11220e e λλ+=,得2121e e λλ=-. 所以12,e e 是共线向量,与已知12,e e 是平面内的一组基底矛盾, 因此假设错误,10λ=. 同理20λ=. 综上120λλ==.4、(1)19OP =(2)对于任意向量12OP xe ye =+,,x y 都是唯一确定的,所以向量的坐标表示的规定合理.2.4平面向量的数量积 练习(P106)1、1cos ,86242p q p q p q ⋅=⋅⋅<>=⨯⨯=. 2、当0a b ⋅<时,ABC ∆为钝角三角形;当0a b ⋅=时,ABC ∆为直角三角形.3、投影分别为0,-图略 练习(P107)1、2(3)5a =-=,252b =+=35427a b ⋅=-⨯+⨯=-.2、8a b ⋅=,()()7a b a b +-=-,()0a b c ⋅+=,2()49a b +=.3、1a b ⋅=,13a =,74b =,88θ≈︒. 习题 A 组(P108)1、63a b ⋅=-222()225a b a a b b +=+⋅+=-25a b +=- 2、BC 与CA 的夹角为120°,20BC CA ⋅=-.3、22223a b a a b b +=+⋅+=,22235a b a a b b -=-⋅+=. 4、证法一:设a 与b 的夹角为θ.(1)当0λ=时,等式显然成立;(2)当0λ>时,a λ与b ,a 与b λ的夹角都为θ,所以()cos cos a b a b a b λλθλθ⋅==()cos a b a b λλθ⋅=()cos cos a b a b a b λλθλθ⋅== 所以 ()()()a b a b a b λλλ⋅=⋅=⋅;(3)当0λ<时,a λ与b ,a 与b λ的夹角都为180θ︒-,则 ()cos(180)cos a b a b a b λλθλθ⋅=︒-=-()cos cos a b a b a b λλθλθ⋅==-()cos(180)cos a b a b a b λλθλθ⋅=︒-=- 所以 ()()()a b a b a b λλλ⋅=⋅=⋅; 综上所述,等式成立.证法二:设11(,)a x y =,22(,)b x y =,那么 11221212()(,)(,)a b x y x y x x y y λλλλλ⋅=⋅=+112212121212()(,)(,)()a b x y x y x x y y x x y y λλλλλ⋅=⋅=+=+11221212()(,)(,)a b x y x y x x y y λλλλλ⋅=⋅=+所以 ()()()a b a b a b λλλ⋅=⋅=⋅;5、(1)直角三角形,B ∠为直角.证明:∵(1,4)(5,2)(6,6)BA =---=--,(3,4)(5,2)(2,2)BC =-=-∴6(2)(6)20BA BC ⋅=-⨯-+-⨯=∴BA BC ⊥,B ∠为直角,ABC ∆为直角三角形(2)直角三角形,A ∠为直角证明:∵(19,4)(2,3)(21,7)AB =---=,(1,6)(2,3)(1,3)AC =-----=-∴2117(3)0AB AC ⋅=⨯+⨯-=∴AB AC ⊥,A ∠为直角,ABC ∆为直角三角形(3)直角三角形,B ∠为直角证明:∵(2,5)(5,2)(3,3)BA =-=-,(10,7)(5,2)(5,5)BC =-=∴35350BA BC ⋅=-⨯+⨯=∴BA BC ⊥,B ∠为直角,ABC ∆为直角三角形6、135θ=︒.7、120θ=︒.22(23)(2)44361a b a b a a b b -+=-⋅-=,于是可得6a b ⋅=-,1cos 2a ba bθ⋅==-,所以120θ=︒.8、23cos 40θ=,55θ=︒. 9、证明:∵(5,2)(1,0)(4,2)AB =--=-,(8,4)(5,2)(3,6)BC =--=,(8,4)(4,6)(4,2)DC =-=-∴AB DC =,43(2)60AB BC ⋅=⨯+-⨯= ∴,,,A B C D 为顶点的四边形是矩形.10、解:设(,)a x y =,则2292x y yx⎧+=⎪⎨=⎪⎩,解得5x y⎧=⎪⎪⎨⎪=⎪⎩5x y ⎧=⎪⎪⎨⎪=-⎪⎩.于是35(,55a =或35(55a =--. 11、解:设与a 垂直的单位向量(,)e x y =,则221420x y xy ⎧+=⎨+=⎩,解得5x y ⎧=⎪⎪⎨⎪=⎪⎩或5x y ⎧=-⎪⎪⎨⎪=⎪⎩.于是5(,55e =-或5(,55e =-. 习题 B 组(P108)1、证法一:0()0()a b a c a b a c a b c a b c ⋅=⋅⇔⋅-⋅=⇔⋅-=⇔⊥- 证法二:设11(,)a x y =,22(,)b x y =,33(,)c x y =.先证()a b a c a b c ⋅=⋅⇒⊥-1212a b x x y y ⋅=+,1313a c x x y y ⋅=+由a b a c ⋅=⋅得12121313x x y y x x y y +=+,即123123()()0x x x y y y -+-=而2323(,)b c x x y y -=--,所以()0a b c ⋅-= 再证()a b c a b a c ⊥-⇒⋅=⋅由()0a b c ⋅-=得 123123()()0x x x y y y -+-=, 即12121313x x y y x x y y +=+,因此a b a c ⋅=⋅2、cos cos cos sin sin OA OB AOB OA OBαβαβ⋅∠==+.3、证明:构造向量(,)u a b =,(,)v c d =.cos ,u v u v u v ⋅=<>,所以,ac bd u v +=<>∴2222222222()()()cos ,()()ac bd a b c d u v a b c d +=++<>≤++4、AB AC ⋅的值只与弦AB 的长有关,与圆的半径无关.证明:取AB 的中点M ,连接CM ,则CM AB ⊥,12AM AB =又cos AB AC AB AC BAC ⋅=∠,而AM BAC AC∠=所以212AB AC AB AM AB ⋅==5、(1)勾股定理:Rt ABC ∆中,90C ∠=︒,则222CA CB AB +=证明:∵AB CB CA =-∴2222()2AB CB CA CB CA CB CA =-=-⋅+. 由90C ∠=︒,有CA CB ⊥,于是0CA CB ⋅= ∴222CA CB AB +=(2)菱形ABCD 中,求证:AC BD ⊥证明:∵AC AB AD =+,,DB AB AD =-∴22()()AC DB AB AD AB AD AB AD ⋅=+⋅-=-.∵四边形ABCD 为菱形,∴AB AD =,所以220AB AD -= ∴0AC DB ⋅=,所以AC BD ⊥(3)长方形ABCD 中,求证:AC BD =证明:∵ 四边形ABCD 为长方形,所以AB AD ⊥,所以0AB AD ⋅=∴222222AB AB AD AD AB AB AD AD +⋅+=-⋅+.∴22()()AB AD AB AD +=-,所以22AC BD =,所以AC BD =(4)正方形的对角线垂直平分. 综合以上(2)(3)的证明即可. 2.5平面向量应用举例 习题 A 组(P113)1、解:设(,)P x y ,11(,)R x y则1111(1,0)(,)(1,)RA x y x y =-=--,(,)(1,0)(1,0)AP x y x =-=-由2RA AP =得11(1,)2(1,)x y x y --=-,即11232x x y y=-+⎧⎨=-⎩代入直线l 的方程得2y x =. 所以,点P 的轨迹方程为2y x =. 2、解:(1)易知,OFD ∆∽OBC ∆,12DF BC =, 所以23BO BF =.2211()()3323AO BO BA BF a b a a a b =-=+=-+=+(2)因为1()2AE a b =+所以23AO AE =,因此,,A O E 三点共线,而且2AOOE =同理可知:2,2BO CO OF OD ==,所以2AO BO COOE OF OD===3、解:(1)(2,7)B A v v v =-=-; (2)v 在A v 方向上的投影为135A Av v v ⋅=. 4、解:设1F ,2F 的合力为F ,F 与1F 的夹角为θ,则31F =+,30θ=︒; 331F =+,3F 与1F 的夹角为150°.习题 B 组(P113)1、解:设0v 在水平方向的速度大小为x v ,竖直方向的速度的大小为y v ,则0cos x v v θ=,0sin y v v θ=.设在时刻t 时的上升高度为h ,抛掷距离为s ,则001sin ,()2cos h v t gt g s v t θθ⎧=-⎪⎨⎪=⎩为重力加速度 所以,最大高度为220sin 2v gθ,最大投掷距离为20sin 2v gθ.2、解:设1v 与2v 的夹角为θ,合速度为v ,2v 与v 的夹角为α,行驶距离为d .则1sin 10sin sin v vvθθα==,0.5sin 20sin v d αθ==. ∴120sin d v θ=. 所以当90θ=︒,即船垂直于对岸行驶时所用时间最短. 3、(1)(0,1)-ODFEABC(第2题)(第4题)解:设(,)P x y ,则(1,2)AP x y =--. (2,22)AB =-.将AB 绕点A 沿顺时针方向旋转4π到AP ,相当于沿逆时针方向旋转74π到AP ,于是7777(2cos 22sin ,2sin 22cos )(1,3)4444AP ππππ=+-=--所以1123x y -=-⎧⎨-=-⎩,解得0,1x y ==-(2)32y x=-解:设曲线C 上任一点P 的坐标为(,)x y ,OP 绕O 逆时针旋转4π后,点P 的坐标为(,)x y ''则cos sin 44sin cos44x x y y x y ππππ⎧'=-⎪⎪⎨⎪'=+⎪⎩,即2()2()2x x y y x y ⎧'=-⎪⎪⎨⎪'=+⎪⎩又因为223x y ''-=,所以2211()()322x y x y --+=,化简得32y x=-第二章 复习参考题A 组(P118)1、(1)√; (2)√; (3)×; (4)×.2、(1)D ; (2)B ; (3)D ; (4)C ; (5)D ; (6)B .3、1()2AB a b =-,1()2AD a b =+4、略解:2133DE BA MA MB a b ==-=-+2233AD a b =+,1133BC a b =+1133EF a b =--,1233FA DC a b ==-1233CD a b =-+,2133AB a b =-CE a b =-+5、(1)(8,8)AB =-,82AB =;(2)(2,16)OC =-,(8,8)OD =-; (3)33OA OB ⋅=.(第4题)6、AB 与CD 共线.证明:因为(1,1)AB =-,(1,1)CD =-,所以AB CD =. 所以AB 与CD 共线. 7、(2,0)D -. 8、2n =. 9、1,0λμ=-=.10、34cos ,cos 0,cos 55A B C ===11、证明:2(2)22cos6010n m m n m m -⋅=⋅-=︒-=,所以(2)n m m -⊥.12、1λ=-. 13、13a b +=,1a b -=. 14、519cos ,cos 820θβ==第二章 复习参考题B 组(P119)1、(1)A ; (2)D ; (3)B ; (4)C ; (5)C ; (6)C ; (7)D .2、证明:先证a b a b a b ⊥⇒+=-.222()2a b a b a b a b+=+=++⋅,222()2a b a b a b a b -=-=+-⋅.因为a b ⊥,所以0a b ⋅=,于是22a b a b a b +=+=-. 再证a b a b a b +=-⇒⊥.由于222a b a a b b +=+⋅+,222a b a a b b -=-⋅+ 由a b a b +=-可得0a b ⋅=,于是a b ⊥所以a b a b a b +=-⇔⊥. 【几何意义是矩形的两条对角线相等】 3、证明:先证a b c d =⇒⊥22()()c d a b a b a b ⋅=+⋅-=- 又a b =,所以0c d ⋅=,所以c d ⊥ 再证c d a b ⊥⇒=.由c d ⊥得0c d ⋅=,即22()()0a b a b a b +⋅-=-=所以a b = 【几何意义为菱形的对角线互相垂直,如图所(第3题)(第6题)示】4、12AD AB BC CD a b =++=+,1142AE a b =+而34EF a =,14EM a =,所以1111(4242AM AE EM a b a =+=++=5、证明:如图所示,12OD OP OP =+,由于1230OP OP OP ++=,所以3OP OD =-,1OD = 所以11OD OP PD == 所以1230OPP ∠=︒,同理可得1330OPP ∠=︒所以31260P PP ∠=︒,同理可得12360PP P ∠=︒,23160P P P ∠=︒,所以123PP P ∆为正三角形.6、连接AB .由对称性可知,AB 是SMN ∆的中位线,222MN AB b a ==-. 7、(18=(千米/时), 沿与水流方向成60°的方向前进; (2)实际前进速度大小为 沿与水流方向成90︒+的方向前进. 8、解:因为OA OB OB OC ⋅=⋅,所以()0OB OA OC ⋅-=,所以0OB CA ⋅= 同理,0OA BC ⋅=,0OC AB ⋅=,所以点O 是ABC ∆的垂心. 9、(1)2110200a x a y a y a x -+-=; (2)垂直;(3)当12210A B A B -=时,1l ∥2l ;当12120A A B B +=时,12l l ⊥,夹角θ的余弦cos θ=;(4)d =P 2(第5题)第三章 三角恒等变换3.1两角和与差的正弦、余弦和正切公式 练习(P127)1、cos()cos cos sin sin 0cos 1sin sin 222πππαααααα-=+=⨯+⨯=.cos(2)cos2cos sin2sin 1cos 0sin cos παπαπαααα-=+=⨯+⨯=.2、解:由3cos ,(,)52πααπ=-∈,得4sin 5α==;所以34cos()cos cos sin sin ()44455πππααα-=+=-+=3、解:由15sin 17θ=,θ是第二象限角,得8cos 17θ===-;所以8115cos()cos cos sin sin 33317217πππθθθ-=+=-⨯+=. 4、解:由23sin ,(,)32πααπ=-∈,得cos α==又由33cos ,(,2)42πββπ=∈,得sin β==所以32cos()cos cos sin sin ((()43βαβαβα-=+=⨯+⨯-=. 练习(P131)1、(1; (2) (3(4)2 2、解:由3cos ,(,)52πθθπ=-∈,得4sin 5θ==;所以413sin()sin cos cos sin ()333525πππθθθ+=+=⨯+-=. 3、解:由12sin 13θ=-,θ是第三象限角,得5cos 13θ===-; 所以5112cos()cos cos sin sin ()()66613213πππθθθ+=-=--⨯-=. 4、解:tan tan 314tan()241311tan tan 4παπαπα+++===--⨯-⋅.5、(1)1; (2)12; (3)1; (4);(5)原式=1(cos34cos26sin34sin 26)cos(3426)cos602-︒︒-︒︒=-︒+︒=-︒=-;(6)原式=sin 20cos70cos20sin70(sin 20cos70cos20sin70)sin901-︒︒-︒︒=-︒︒+︒︒=-︒=-.6、(1)原式=cos cos sin sin cos()333x x x πππ-=+;(2)原式=1cos )2(sin cos cos sin )2sin()2666x x x x x πππ+=+=+;(3)原式=)2(sin cos cos sin )2sin()444x x x x x πππ=-=-;(4)原式=12(cos )cos sin sin )cos()2333x x x x x πππ=-=+.7、解:由已知得3sin()cos cos()sin 5αβααβα---=,即3sin[()]5αβα--=,3sin()5β-=所以3sin 5β=-. 又β是第三象限角,于是4cos 5β===-.因此55534sin()sin cos cos sin ()(()(44455πππβββ+=+=-+-=. 练习(P135)1、解:因为812παπ<<,所以382αππ<<又由4cos 85α=-,得3sin 85α=-,3sin385tan 484cos 85ααα-===- 所以3424sinsin(2)2sin cos 2()()48885525αααα=⨯==⨯-⨯-=2222437cos cos(2)cos sin ()()48885525αααα=⨯=-=---=2232tan23162484tan tan(2)3482771tan 1()84αααα⨯=⨯===⨯=-- 2、解:由3sin()5απ-=,得3sin 5α=-,所以222316cos 1sin 1()525αα=-=--=所以2221637cos2cos sin ()25525ααα=-=--=3、解:由sin2sin αα=-且sin 0α≠可得1cos 2α=-,又由(,)2παπ∈,得sin α=,所以sintan (2)cos ααα==-= 4、解:由1tan 23α=,得22tan 11tan 3αα=-. 所以2tan 6tan 10αα+-=,所以tan 3α=-5、(1)11sin15cos15sin3024︒︒=︒=; (2)22cos sin cos 88πππ-==;(3)原式=212tan 22.511tan 4521tan 22.522︒⋅=︒=-︒; (4)原式=cos45︒=. 习题 A 组(P137)1、(1)333cos()cos cos sin sin 0cos (1)sin sin 222πππαααααα-=+=⨯+-⨯=-;(2)333sin()sin cos cos sin 1cos 0sin cos 222πππαααααα-=-=-⨯-⨯=-;(3)cos()cos cos sin sin 1cos 0sin cos παπαπαααα-=+=-⨯+⨯=-; (4)sin()sin cos cos sin 0cos (1)sin sin παπαπαααα-=-=⨯--⨯=.2、解:由3cos ,05ααπ=<<,得4sin 5α==,所以431cos()cos cos sin sin 666552πππααα-=+=⨯=.3、解:由2sin ,(,)32πααπ=∈,得cos α===又由33cos ,(,)42πββπ=-∈,得sin β===,所以32cos()cos cos sin sin ()(43αβαβαβ-=+=-+⨯=.4、解:由1cos 7α=,α是锐角,得sin α=== 因为,αβ是锐角,所以(0,)αβπ+∈,又因为11cos()14αβ+=-,所以sin()αβ+===所以cos cos[()]cos()cos sin()sin βαβααβααβα=+-=+++1111()1472=-⨯= 5、解:由60150α︒<<︒,得9030180α︒<︒+<︒又由3sin(30)5α︒+=,得4cos(30)5α︒+=-所以cos cos[(30)30]cos(30)cos30sin(30)sin30αααα=︒+-︒=︒+︒+︒+︒431552=-+⨯=6、(1); (2) (3)2-7、解:由2sin ,(,)32πααπ=∈,得cos α===又由3cos 4β=-,β是第三象限角,得sin β==.所以cos()cos cos sin sin αβαβαβ+=-32()(43=--⨯=sin()sin cos cos sin αβαβαβ-=-23()((34=⨯--⨯=8、解:∵53sin ,cos 135A B ==且,A B 为ABC ∆的内角∴0,02A B ππ<<<<,124cos ,sin 135A B =±=当12cos 13A =-时,sin()sin cos cos sin AB A B A B +=+5312433()013513565=⨯+-⨯=-< A B π+>,不合题意,舍去∴124cos ,sin 135A B ==∴cos cos()(cos cos sin sin )C A B A B A B =-+=--1235416()13513565-⨯-⨯=- 9、解:由3sin ,(,)52πθθπ=∈,得4cos 5θ==-.∴sin 353tan ()cos 544θθθ==⨯-=-. ∴31tan tan 242tan()311tan tan 111()42θϕθϕθϕ-+++===--⋅--⨯. 31tan tan 42tan()2311tan tan 1()42θϕθϕθϕ----===-+⋅+-⨯. 10、解:∵tan ,tan αβ是22370x x +-=的两个实数根.∴3tan tan 2αβ+=-,7tan tan 2αβ⋅=-.∴3tan tan 12tan()71tan tan 31()2αβαβαβ-++===--⋅--.11、解:∵tan()3,tan()5αβαβ+=-=∴tan()tan()tan 2tan[()()]1tan()tan()αβαβααβαβαβαβ++-=++-=-+⋅-3541357+==--⨯tan()tan()tan 2tan[()()]1tan()tan()αβαββαβαβαβαβ+--=+--=++⋅-3511358-==-+⨯12、解:∵::2:3:6BD DC AD =∴11tan ,tan 32BD DC AD AD αβ====∴tan tan tan tan()1tan tan BAC αβαβαβ+∠=+=-⋅1132111132+==-⨯ 又∵0180BAC ︒<∠<︒,∴45BAC ∠=︒(第12题)13、(1))6x π+; (23sin()3x π-; (3)2sin()26x π+;(47sin()12x π-; (5)2; (6)12; (7)sin()αγ+; (8)cos()αγ--; (9) (10)tan()βα-.14、解:由sin 0.8,(0,)2παα=∈,得cos 0.6α===∴sin22sin cos 20.80.60.96ααα==⨯⨯= 2222cos2cos sin 0.60.80.28ααα=-=-=- 15、解:由cos 270ϕϕ=︒<<︒,得sin ϕ===∴sin 22sin cos 2((ϕϕϕ==⨯⨯=22221cos2cossin ((3ϕϕϕ=-=-=- sin 2tan 2(3)cos 23ϕϕϕ==-=-16、解:设5sin sin 13B C ==,且090B ︒<<︒,所以12cos 13B =. ∴512120sin sin(1802)sin 22sin cos 21313169A B B B B =︒-===⨯⨯=2222125119cos cos(1802)cos2(cos sin )(()())1313169A B B B B =︒-=-=--=--=-sin 120169120tan ()cos 169119119A A A ==⨯-=-17、解:22122tan 33tan 211tan 41()3βββ⨯===--,13tan tan 274tan(2)1131tan tan 2174αβαβαβ+++===-⋅-⨯. 18、解:1cos()cos sin()sin 3αββαββ+++=⇒1cos[()]3αββ+-=,即1cos 3α= 又3(,2)2παπ∈,所以sinα== ∴1sin 22sin cos 2(ααα==⨯⨯=222217cos2cos sin ()(39ααα=-=-=-∴7cos(2)cos2cos sin 2sin (4449πππααα+=-=-=19、(1)1sin2α+; (2)cos2θ; (3)1sin 44x ; (4)tan2θ.习题 B 组(P138) 1、略. 2、解:∵tan ,tan A B 是x 的方程2(1)10x p x +++=,即210x px p +++=的两个实根∴tan tan A B p +=-,tan tan 1A B p ⋅=+ ∴tan tan[()]tan()C A B A B π=-+=-+tan tan 11tan tan 1(1)A B pA B p +-=-=-=--⋅-+由于0C π<<,所以34C π=. 3、反应一般的规律的等式是(表述形式不唯一)223sin cos (30)sin cos(30)4αααα++︒++︒=(证明略) 本题是开放型问题,反映一般规律的等式的表述形式还可以是:223sin (30)cos sin(30)cos 4αααα-︒++-︒=223sin (15)cos (15)sin(15)cos(15)4αααα-︒++︒+-︒+︒=223sin cos sin cos 4αβαβ++=,其中30βα-=︒,等等思考过程要求从角,三角函数种类,式子结构形式三个方面寻找共同特点,从而作出归纳. 对认识三角函数式特点有帮助,证明过程也会促进推理能力、运算能力的提高.4、因为12PA PP =,则2222(cos()1)sin ()(cos cos )(sin sin )αβαβαβαβ+-++=-++ 即22cos()22cos cos 2sin sin αβαβαβ-+=-+ 所以cos()cos cos sin sin αβαβαβ+=-3.2简单的三角恒等变换 练习(P142)1、略.2、略.3、略.4、(1)1sin 42y x =. 最小正周期为2π,递增区间为[,],8282k k k Z ππππ-++∈,最大值为12;(2)cos 2y x =+. 最小正周期为2π,递增区间为[2,22],k k k Z ππππ++∈,最大值为3;(3)2sin(4)3y x π=+. 最小正周期为2π,递增区间为5[,],242242k k k Z ππππ-++∈,最大值为2.习题 A 组( P143) 1、(1)略; (2)提示:左式通分后分子分母同乘以2; (3)略; (4)提示:用22sin cos ϕϕ+代替1,用2sin cos ϕϕ代替sin 2ϕ;(5)略; (6)提示:用22cos θ代替1cos2θ+;(7)提示:用22sin θ代替1cos2θ-,用22cos θ代替1cos2θ+; (8)略.2、由已知可有1sin cos cos sin 2αβαβ+=……①,1sin cos cos sin 3αβαβ-=……②(1)②×3-①×2可得sin cos 5cos sin αβαβ=(2)把(1)所得的两边同除以cos cos αβ得tan 5tan αβ= 注意:这里cos cos 0αβ≠隐含与①、②之中3、由已知可解得1tan 2θ=-. 于是2212()2tan 42tan 211tan 31()2θθθ⨯-===---- 1tan tan1142tan()1431tan tan 1()142πθπθπθ+-++===-⋅--⨯ ∴tan 24tan()4πθθ=-+4、由已知可解得sin x θ=,cos y θ=,于是2222sin cos 1x y θθ+=+=.5、()2sin(4)3f x x π=+,最小正周期是2π,递减区间为7[,],242242k k k Z ππππ++∈.习题 B 组(P143) 1、略.2、由于762790+⨯=,所以sin76sin(9014)cos14m ︒=︒-︒=︒= 即22cos 71m ︒-=,得cos7︒=3、设存在锐角,αβ使223παβ+=,所以23απβ+=,tan()2αβ+又tantan 22αβ=,又因为tantan 2tan()21tantan 2αβαβαβ++=-,所以tantan tan()(1tan tan )3222αααβββ+=+-=由此可解得tan 1β=, 4πβ=,所以6πα=.经检验6πα=,4πβ=是符合题意的两锐角.4、线段AB 的中点M 的坐标为11((cos cos ),(sin sin ))22αβαβ++. 过M 作1MM 垂直于x 轴,交x 轴于1M ,111()()22MOM βαααβ∠=-+=+.在Rt OMA ∆中,cos cos 22OM OA βααβ--==. 在1Rt OM M ∆中,11cos cos cos22OM OM MOM αβαβ+-=∠=11sin sin cos22M M OM MOM αβαβ+-=∠=.于是有 1(cos cos )cos cos222αβαβαβ+-+=, 1(sin sin )sin cos222αβαβαβ+-+= 5、当2x =时,22()sin cos 1f ααα=+=;当4x =时,4422222()sin cos (sin cos )2sin cos f ααααααα=+=+-211sin 22α=-,此时有1()12f α≤≤;当6x =时,662232222()sin cos (sin cos )3sin cos (sin cos )f ααααααααα=+=+-+231sin 24α=-,此时有1()14f α≤≤;由此猜想,当2,x k k N +=∈时,11()12k f α-≤≤6、(1)345(sin cos )5sin()55y x x x ϕ=+=+,其中34cos ,sin 55ϕϕ==所以,y 的最大值为5,最小值为﹣5; (2))y x ϕ+,其中cos ϕϕ==所以,y ;第三章 复习参考题A 组(P146)(第4题)1、1665. 提示:()βαβα=+- 2、5665. 提示:5sin()sin[()]sin[()()]44ππαβπαββα+=-++=-+--3、1.4、(1)提示:把公式tan tan tan()1tan tan αβαβαβ++=-变形;(2; (3)2; (4)提示:利用(1)的恒等式.5、(1)原式4sin(3010)4sin 20︒-︒==︒;(2)原式=sin10sin 40(sin 40cos10︒︒=︒ =2sin 40cos40sin801cos10cos10-︒︒-︒==-︒︒;(3)原式=tan 70cos101)tan 70cos10︒︒=︒ =sin702sin10sin 20cos101cos70cos20cos70︒-︒-︒⋅︒⋅==-︒︒︒;(4)原式=sin50(1sin50︒⋅= 2cos50sin100sin501cos10cos10︒︒=︒⋅==︒︒6、(1)95; (2)2425;(3). 提示:4422222sin cos (sin cos )2sin cos θθθθθθ+=+-; (4)1725.7、由已知可求得2cos cos 5αβ=,1sin sin 5αβ=,于是sin sin 1tan tan cos cos 2αβαβαβ==. 8、(1)左边=222cos 214cos232(cos 22cos21)αααα-++=++22242(cos21)2(2cos )8cos ααα=+===右边(2)左边=2222sin cos 2sin cos (sin cos )2cos 2sin cos 2cos (cos sin )αααααααααααα+++=++sin cos 11tan 2cos 22αααα+==+=右边(3)左边=sin(2)2cos()sin sin[()]2cos()sin sin 2cos (cos sin )αβαβααβααβααααα+-+++-+=+sin()cos cos()sin sin sin sin αβααβαβαα+-+===右边(第12(2)题)(4)左边=222234cos22cos 212(cos 22cos21)34cos22cos 212(cos 22cos21)A A A A A A A A -+--+=++-++ 2224222(1cos2)(2sin )tan (1cos2)(2cos )A A A A A -===+=右边 9、(1)1sin 21cos2sin 2cos222)24y x x x x x π=+++=++++递减区间为5[,],88k k k Z ππππ++∈(222,最小值为22.10、2222()(cos sin )(cos sin )2sin cos cos2sin 22)4f x x x x x x x x x x π=+--=-=+(1)最小正周期是π;(2)由[0,]2x π∈得52[,]444x πππ+∈,所以当24x ππ+=,即38x π=时,()f x 的最小值为2-()f x 取最小值时x 的集合为3{}8π.11、2()2sin 2sin cos 1cos2sin 22)14f x x x x x x x π=+=-+=-+(1)最小正周期是π21;(2)()f x 在[,]22ππ-上的图象如右图:12、()3sin cos 2sin()6f x x x a x a π=++=++.(1)由21a +=得1a =-;(2)2{22,}3x k x k k Z πππ+∈≤≤.13、如图,设ABD α∠=,则CAE α∠=,2sin h AB α=,1cos hAC α=所以1212sin 2ABC h h S AB AC α∆=⋅⋅=,(0)2πα<<当22πα=,即4πα=时,ABC S ∆的最小值为12h h .第三章 复习参考题B 组(P147)1、解法一:由221sin cos 5sin cos 1αααα⎧-=⎪⎨⎪+=⎩,及0απ≤≤,可解得4sin 5α=, αh 1h 2l 2l 1BDE AC(第13题)13cos sin 55αα=-=,所以24sin 225α=,7cos225α=-,sin(2)sin 2cos cos2sin 44450πππααα-=-=. 解法二:由1sin cos 5αα-= 得21(sin cos )25αα-=,24sin 225α=,所以249cos 2625α=. 又由1sin cos 5αα-=,得sin()4πα-=.因为[0,]απ∈,所以3[,]444πππα-∈-.而当[,0]44ππα-∈-时,sin()04πα-≤;当3[,]444πππα-∈时,sin()4πα->所以(0,)44ππα-∈,即(,)42ππα∈所以2(,)2παπ∈,7cos225α=-.sin(2)4πα-=2、把1cos cos 2αβ+=两边分别平方得221cos cos 2cos cos 4αβαβ++=把1sin sin 3αβ+=两边分别平方得221sin sin 2sin sin 9αβαβ++=把所得两式相加,得1322(cos cos sin sin )36αβαβ++=,即1322cos()36αβ+-=,所以59cos()72αβ-=-3、由sin()sin 3παα++= 可得3sin 2αα=4sin()65πα+=-. 又02πα-<<,所以366πππα-<+<,于是3cos()65πα+=.所以cos cos[()]66ππαα=+-4、22sin 22sin 2sin cos 2sin 2sin cos (cos sin )sin 1tan cos sin 1cos x x x x x x x x x x x x x x +++==---1tan sin 2sin 2tan()1tan 4x x x x x π+==+-由177124x ππ<<得5234x πππ<+<,又3cos()45x π+=,所以4sin()45x π+=-,4tan()43x π+=-所以cos cos[()]cos()cos sin()sin 444444x x x x ππππππ=+-=+++=,sin 10x =-,7sin 22sin cos 25x x x ==, 所以2sin 22sin 281tan 75x x x +=--, 5、把已知代入222sin cos (sin cos )2sin cos 1θθθθθθ+=+-=,得22(2sin )2sin 1αβ-=.变形得2(1cos2)(1cos2)1αβ---=,2cos2cos2αβ=,224cos 24cos 2αβ= 本题从对比已知条件和所证等式开始,可发现应消去已知条件中含θ的三角函数.考虑sin cos θθ+,sin cos θθ这两者又有什么关系及得上解法. 5、6两题上述解法称为消去法6、()21cos22sin(2)16f x x x m x m π=+++=+++.由 [0,]2x π∈ 得72[,]666x πππ+∈,于是有216m ++=. 解得3m =.()2sin(2)4()6f x x x R π=++∈的最小值为242-+=,此时x 的取值集合由322()62x k k Z πππ+=+∈,求得为2()3x k k Z ππ=+∈7、设AP x =,AQ y =,BCP α∠=,DCQ β∠=,则tan 1x α=-,tan 1y β=- 于是2()tan()()x y x y xyαβ-++=+-又APQ ∆的周长为2,即2x y +,变形可得2()2xy x y =+- 于是2()tan()1()[2()2]x y x y x y αβ-++==+-+-.又02παβ<+<,所以4παβ+=,()24PCQ ππαβ∠=-+=.8、(1)由221sin cos 5sin cos 1ββββ⎧+=⎪⎨⎪+=⎩,可得225sin 5sin 120ββ--=解得4sin 5β=或3sin 5β=-(由(0,)βπ∈,舍去)所以13cos sin 55ββ=-=-,于是4tan 3β=-(2)根据所给条件,可求得仅由sin ,cos ,tan βββ表示的三角函数式的值,例如,sin()3πβ+,cos22β+,sin cos 2tan βββ-,sin cos 3sin 2cos ββββ-+,等等.。
必修4语文测试题及答案一、选择题(每题2分,共20分)1. 下列词语中,加点字的读音全部正确的一项是()A. 踌躇(chú)蹉跎(cuō)踽踽独行(jǔ)B. 踌躇(chú)蹉跎(cuō)踽踽独行(gǔ)C. 踌躇(chú)蹉跎(cuō)踽踽独行(jǔ)D. 踌躇(chú)蹉跎(cuō)踽踽独行(gǔ)2. 下列句子中,没有语病的一项是()A. 通过这次活动,使我们认识到了团结的重要性。
B. 他不仅学习成绩好,而且思想品德也很优秀。
C. 为了防止这类事故不再发生,我们必须采取有效措施。
D. 他虽然年轻,但是经验丰富。
3. 下列句子中,使用了比喻修辞手法的一项是()A. 他像一只猎豹一样迅速地穿过了树林。
B. 他跑得像风一样快。
C. 他像一只小鸟一样自由地飞翔。
D. 他像一只猫一样安静。
4. 下列句子中,使用了拟人修辞手法的一项是()A. 春风拂面,万物复苏。
B. 太阳高高挂在天空。
C. 月亮在夜空中微笑。
D. 星星在夜空中闪烁。
5. 下列句子中,使用了排比修辞手法的一项是()A. 他喜欢读书,喜欢写作,喜欢旅行。
B. 他不仅喜欢读书,还喜欢写作,更喜欢旅行。
C. 他喜欢读书,喜欢写作,喜欢旅行,喜欢音乐。
D. 他喜欢读书,喜欢写作,喜欢旅行,喜欢音乐,喜欢绘画。
6. 下列句子中,使用了对偶修辞手法的一项是()A. 春风得意马蹄疾,一日看尽长安花。
B. 春眠不觉晓,处处闻啼鸟。
C. 红豆生南国,春来发几枝。
D. 独在异乡为异客,每逢佳节倍思亲。
7. 下列句子中,使用了设问修辞手法的一项是()A. 你为什么要离开?B. 你为什么要离开?难道你不喜欢这里吗?C. 你为什么要离开?是因为工作吗?D. 你为什么要离开?是想追求更好的生活吗?8. 下列句子中,使用了反问修辞手法的一项是()A. 难道你不知道这是正确的吗?B. 你难道不知道这是正确的吗?C. 你不知道这是正确的吗?D. 这是正确的,难道你不知道吗?9. 下列句子中,使用了夸张修辞手法的一项是()A. 他的声音大得连隔壁的邻居都听到了。
高中数学必修4习题和复习参考题及对应答案A组1、在0°~360°范围内,找出与下列各角终边相同的角,并指出它们是哪个象限的角:(1)-265°;(2)-1000°;(3)-843°10′;(4)3900°.答案:(1)95°,第二象限;(2)80°,第一象限;(3)236°50′,第三象限;(4)300°,第四象限.说明:能在给定范围内找出与指定的角终边相同的角,并判定是第几象限角.2、写出终边在x轴上的角的集合.答案:S={α|α=k·180°,k∈Z}.说明:将终边相同的角用集合表示.3、写出与下列各角终边相同的角的集合,并把集合中适合不等式-360°≤β<360°的元素β写出来:(1)60°;(2)-75°;(3)-824°30′;(4)475°;(5)90°;(6)270°;(7)180°;(8)0°.答案:(1){β|β=60°+k·360°,k∈Z},-300°,60°;(2){β|β=-75°+k·360°,k∈Z},-75°,285°;(3){β|β=-824°30′+k·360°,k∈Z},-104°30′,255°30′;(4){β|β=475°+k·360°,k∈Z},-245°,115°;(5){β|β=90°+k·360°,k∈Z},-270°,90°;(6){β|β=270°+k·360°,k∈Z},-90°,270°;(7){β|β=180°+k·360°,k∈Z},-180°,180°;(8){β|β=k·360°,k∈Z},-360°,0°.说明:用集合表示法和符号语言写出与指定角终边相同的角的集合,并在给定范围内找出与指定的角终边相同的角.4、分别用角度和弧度写出第一、二、三、四象限角的集合.说明:用角度制和弧度制写出各象限角的集合.5、选择题:(1)已知α是锐角,那么2α是( ) A .第一象限角 B .第二象限角C .小于180°的正角D .第一或第二象限角 (2)已知α是第一象限角,那么2α是( )、 A .第一象限角 B .第二象限角C .第一或第二象限角D .第一或第三象限角 答案:(1)C说明:因为0°<α<90°,所以0°<2α<180°. (2)D说明:因为k·360°<α<90°+k·360°,k∈Z ,所以180451802k k α︒<<︒+︒,k∈Z .当k 为奇数时,2α是第三象限角;当k 为偶数时,2α是第一象限角. 6、一条弦的长等于半径,这条弦所对的圆心角等于1弧度吗?为什么?答案:不等于1弧度.这是因为等于半径长的弧所对的圆心角为1弧度,而等于半径长的弦所对的弧比半径长.说明:了解弧度的概念. 7、把下列各角度化成弧度: (1)36°;(2)-150°;(3)1095°;(4)1440°.答案:(1)5π;(2)56π;(3)7312π-;(4)8π.说明:能进行度与弧度的换算.8、把下列各弧度化成度: (1)76π-;(2)103π-;(3)1.4;(4)23. 答案:(1)-210°;(2)-600°;(3)80.21°;(4)38.2°.说明:能进行弧度与度的换算. 9、要在半径OA=100cm 的圆形金属板上截取一块扇形板,使其弧AB 的长为112cm ,求圆心角∠AOB 是多少度(可用计算器,精确到1°).答案:64°说明:可以先运用弧度制下的弧长公式求出圆心角的弧度数,再将弧度换算为度,也可以直接运用角度制下的弧长公式.10、已知弧长50cm 的弧所对圆心角为200°,求这条弧所在的圆的半径(可用计算器,精确到1cm ).答案:14cm .说明:可以先将度换算为弧度,再运用弧度制下的弧长公式,也可以直接运用角度制下的弧长公式.B 组1、每人准备一把扇子,然后与本小组其他同学的对比,从中选出一把展开后看上去形状较为美观的扇子,并用计算器算出它的面积S 1.(1)假设这把扇子是从一个圆面中剪下的,而剩余部分的面积为S 2,求S 1与S 2的比值; (2)要使S 1与S 2的比值为0.618,则扇子的圆心角应为几度(精确到10°)? 答案:(1)(略)(2)设扇子的圆心角为θ,由2122120.6181(2)2r S S r θπθ==-,可得θ=0.618(2π-θ),则θ=0.764π≈140°.说明:本题是一个数学实践活动.题目对“美观的扇子”并没有给出标准,目的是让学生先去体验,然后再运用所学知识发现,大多数扇子之所以“美观”是因为基本都满足:120.618SS =(黄金分割比)的道理.2、(1)时间经过4 h (时),时针、分针各转了多少度?各等于多少弧度?(2)有人说,钟的时针和分针一天内会重合24次、你认为这种说法是否正确?请说明理由. (提示:从午夜零时算起,假设分针走了t min 会与时针重合,一天内分针和时针会重合n 次,建立t 关于n 的函数关系式,并画出其图象,然后求出每次重合的时间.)答案:(1)时针转了-120°,等于23π-弧度;分针转了-1440°,等于-8π弧度 (2)设经过t min 分针就与时针重合,n 为两针重合的次数. 因为分针旋转的角速度为2(rad /min)6030ππ=, 时针旋转的角速度为2(rad/min)1260360ππ=⨯,所以()230360t n πππ-=,即72011t n =. 用计算机或计算器作出函数72011t n =的图象(如下页图)或表格,从中可清楚地看到时针与分针每次重合所需的时间.n u1 15. 981.82 16. 1047.3 17. 1112.7 18. 1178.2 19. 1243.6 20. 1309.1 21. 1374.5 22.1440.因为时针旋转一天所需的时间为24×60=1440(min ),所以144011n ≤,于是n≤22.故时针与分针一天内只会重合22次.说明:通过时针与分针的旋转问题进一步地认识弧度的概念,并将问题引向深入,用函数思想进行分析.在研究时针与分针一天的重合次数时,可利用计算器或计算机,从模拟的图形、表格中的数据、函数的解析式或图象等角度,不难得到正确的结论.3、已知相互啮合的两个齿轮,大轮有48齿,小轮有20齿,当大轮转动一周时,小轮转动的角是__________度,即__________rad .如果大轮的转速为180r/min (转/分),小轮的半径为10.5cm ,那么小轮周上一点每1s 转过的弧长是__________.答案:864°,245π,151.2π cm. 说明:通过齿轮的转动问题进一步地认识弧度的概念和弧长公式.当大齿轮转动一周时,小齿轮转动的角是4824360864rad.205π⨯︒=︒= 由于大齿轮的转速为3r/s ,所以小齿轮周上一点每1s 转过的弧长是483210.5151.2(cm)20ππ⨯⨯⨯=. P20习题1.2A 组1、用定义法、公式一以及计算器求下列角的三个三角函数值:(1)173π-;(2)214π;(3)236π-;(4)1500°.答案:(1)1sin ,tan 22ααα===(2)sin tan 122ααα=-=-=;(3)1sin ,cos tan 2ααα===(4)1sin ,tan 2ααα=== 说明:先利用公式一变形,再根据定义求值,非特殊角的三角函数值用计算器求.2、已知角α的终边上有一点的坐标是P (3a ,4a ),其中a≠0,求sinα,cosα,tanα的三角函数值.答案:当a >0时,434sin ,cos ,tan 553ααα===;当a <0时,434sin ,cos ,tan 553ααα=-=-=-.说明:根据定义求三角函数值. 3、计算:(1)6sin (-90°)+3sin0°-8sin270°+12cos180°; (2)10cos270°+4sin0°+9tan0°+15cos360°;(3)22322costantan sin cos sin 2446663ππππππ-+-++;(4)2423sincos tan 323πππ+-. 答案:(1)-10;(2)15;(3)32-;(4)94-.说明:求特殊角的三角函数值.4、化简:(1)asin0°+bcos90°+ctan180°;(2)-p 2cos180°+q 2sin90°-2pqcos0°;(3)223cos 2sincos sin 22a b ab ab ππππ-+-; (4)13tan 0cos sin cos sin 222m n p q r ππππ+---.答案:(1)0;(2)(p -q )2;(3)(a -b )2;(4)0.说明:利用特殊角的三角函数值化简.5、根据下列条件求函数3()sin()2sin()4cos 23cos()444f x x x x x πππ=++--++的值. (1)4x π=;(2)34x π=. 答案:(1)-2;(2)2.说明:转化为特殊角的三角函数的求值问题. 6、确定下列三角函数值的符号:(1)sin186°; (2)tan505°; (3)sin7.6π; (4)23tan()4π-; (5)cos940°;(6)59cos()17π-. 答案:(1)负;(2)负;(3)负;(4)正;(5)负;(6)负. 说明:认识不同位置的角对应的三角函数值的符号. 7、确定下列式子的符号: (1)tan125°·sin273°;(2)tan108cos305︒︒;(3)5411sin cos tan 456πππ;(4)511cos tan 662sin 3πππ. 答案:(1)正;(2)负;(3)负;(4)正.说明:认识不同位置的角对应的三角函数值的符号. 8、求下列三角函数值(可用计算器):(1)67sin()12π-; (2)15tan()4π-;(3)cos398°13′; (4)tan766°15′. 答案:(1)0.9659;(2)1;(3)0.7857;(4)1.045.说明:可先运用公式一转化成锐角三角函数,然后再求出三角函数值. 9、求证:(1)角θ为第二或第三象限角当且仅当sinθ·tanθ<0; (2)角θ为第三或第四象限角当且仅当cosθ·tanθ<0; (3)角θ为第一或第四象限角当且仅当sin 0tan θθ>;(4)角θ为第一或第三象限角当且仅当sinθ·cosθ>0. 答案:(1)先证如果角θ为第二或第三象限角,那么sinθ·tanθ<0. 当角θ为第二象限角时,sinθ>0,tanθ<0,则sinθ·tanθ<0; 当角θ为第三象限角时,sinθ<0,tanθ>0,则sinθ·tanθ<0, 所以如果角θ为第二或第三象限角,那么sinθ·tanθ<0. 再证如果sinθ·tanθ<0,那么角θ为第二或第三象限角.因为sinθ·tanθ<0,即sinθ>0且tanθ<0,或sinθ<0且tanθ>0, 当sinθ>0且tanθ<0时,角θ为第二象限角; 当sinθ<0且tanθ>0时,角θ为第三象限角,所以如果sinθ·tanθ<0,那么角θ为第二或第三象限角. 综上所述,原命题成立. (其他小题略)说明:以证明命题的形式,认识位于不同象限的角对应的三角函数值的符号.10、(1)已知sin α=,且α为第四象限角,求cosα,tanα的值; (2)已知5cos 13α=-,且α为第二象限角,求sinα,tanα的值; (3)已知3tan 4α=-,求sinα,cosα的值;(4)已知cosα=0.68,求sinα,tanα的值(计算结果保留两个有效数字).答案:(1)1,2 (2)1212,135-;(3)当α为第二象限角时,34sin ,cos 55αα==-, 当α为第四象限角时,34sin ,cos 55αα=-=;(4)当α为第一象限角时,sinα=0.73,tanα=1.1,当α为第四象限角时,sinα=-0.73,tanα=-1.1. 说明:要注意角α是第几象限角.11、已知1sin 3x =-,求cosx ,tanx 的值.答案:当x 为第三象限角时,cos tan x x ==当x 为第四象限角时,cos tan 34x x ==- 说明:要分别对x 是第三象限角和第四象限角进行讨论.12、已知3tan 2απαπ=<<,求cosα-sinα的值.答案:11)2说明:角α是特殊角. 13、求证: (1)2212sin cos 1tan 1tan cos sin x x xxx x--=+-;(2)tan 2α-sin 2α=tan 2α·sin 2α;(3)(cosβ-1)2+sin 2β=2-2cosβ;(4)sin 4x +cos 4x=1-2sin 2xcos 2x .答案:(1)2(cos sin )cos sin 1tan (cos sin )(cos sin )cos sin 1tan x x x x xx x x x x x x---===+-++左边; (2)222222222211cos sin sin (1)sin sin sin tan cos cos cos x x x xxx x xxx-=-===左边;(3)左边=1-2cosβ+cos 2β+sin 2β=2-2cosβ;(4)左边=(sin 2x +cos 2x )2-2sin 2x·cos 2x=1-2sin 2x·cos 2x .说明:还可以从右边变为左边,或对左右同时变形.可提倡一题多解,然后逐渐学会选择较为简单的方法.B 组1、化简(1+tan 2α)cos 2α. 答案:1说明:根据同角三角函数的基本关系,将原三角函数式转化为正余弦函数式.2α为第二象限角. 答案:-2t anα说明:先变形,再根据同角三角函数的基本关系进行化简. 3、已知tanα=2,求sin cos sin cos αααα+-的值.答案:3说明:先转化为正切函数式. 4、从本节的例7可以看出,cos 1sin 1sin cos x x x x+=-就是sin 2x +cos 2x=1的一个变形.你能利用同角三角函数的基本关系推导出更多的关系式吗?答案:又如sin 4x +cos 4x=1-2sin 2x·cos 2x 也是sin 2x +cos 2x=1的一个变形;2211tan cos x x=+是sin 2x +cos 2x=1和sin tan cos xx x=的变形;等等. 说明:本题要求学生至少能写出每个同角关系式的一个变形.P29习题1.3A 组1、将下列三角函数转化为锐角三角函数,并填在题中横线上: (1)cos210°=__________; (2)sin263°42′=__________; (3)cos()6π-=__________; (4)5sin()3π-=__________;(5)11cos()9π-=__________;(6)cos (-104°26′)=__________; (7)tan632°24′=__________; (8)17tan6π=__________. 答案:(1)-cos30°; (2)-sin83°42′ (3)cos 6π;(4)sin3π; (5)2cos 9π-;(6)-cos75°34′; (7)-tan87°36′; (8)tan6π-. 说明:利用诱导公式转化为锐角三角函数. 2、用诱导公式求下列三角函数值: (1)17cos()4π-; (2)sin (-1574°); (3)sin (-2160°52′); (4)cos (-1751°36′);(5)cos1615°8′;(6)26sin()3π-.答案:(1)2;(2)-0.7193;(3)-0.0151;(4)0.6639;(5)-0.9964;(6)-说明:先利用诱导公式转化为锐角三角函数,再求值.3、化简:(1)sin(-1071°)·sin99°+sin(-171°)·sin(-261°);(2)1+sin(α-2π)·sin(π+α)-2cos2(-α).答案:(1)0;(2)-cos2α说明:先利用诱导公式转化为角α的三角函数,再进一步化简.4、求证:(1)sin(360°-α)=-sinα;(2)cos(360°-α)=cosα;(3)tan(360°-α)=-tanα.答案:(1)sin(360°-α)=sin(-α)=-sinα;(2)略;(3)略.说明:有的书也将这组恒等式列入诱导公式,但根据公式一可知,它和公式三等价,所以本教科书未将其列入诱导公式.B组1、计算:(1)sin420°·cos750°+sin(-330°)·cos(-660°);(2)tan675°+tan765°-tan(-330°)+tan(-690°);(3)252525sin cos tan() 634πππ++-.答案:(1)1;(2)0;(3)0.说明:先利用诱导公式转化为锐角三角函数,再求值.2、已知1sin()2πα+=-,计算:(1)sin(5π-α);(2)sin()2πα+;(3)3cos()2πα-; (4)tan()2πα-. 答案:(1)12; (2)3,,23,;2αα⎧⎪⎪⎨⎪-⎪⎩当为第一象限角当为第二象限角(3)12-; (4)3,,3,αα⎧⎪⎨-⎪⎩当为第一象限角当为第二象限角.说明:先用诱导公式将已知式和待求式都转化为角α的三角函数,然后再根据同角三角函数的基本关系得解. P46习题1.4A 组1、画出下列函数的简图:(1)y=1-sinx ,x∈[0,2π]; (2)y=3cosx +1,x∈[0,2π]. 答案:(1)(2)说明:可以直接用“五点法”作出两个函数的图象;也可以先用“五点法”作出正弦、余弦函数的图象,再通过变换得到这两个函数的图象.2、求使下列函数取得最大值、最小值的自变量x 的集合,并分别写出最大值、最小值是什么.(1)11cos ,23y x x π=-∈R ; (2)3sin(2),4y x x π=+∈R ;(3)31cos(),226y x x π=--∈R ; (4)11sin(),223y x x π=+∈R .答案:(1)使y 取得最大值的集合是{x|x=6k +3,k∈Z },最大值是32; 使y 取得最小值的集合是{x|x=6k ,k∈Z },最大值是12; (2)使y 取得最大值的集合是{|,}8x x k k ππ=+∈Z ,最大值是3;使y 取得最小值的集合是3{|,}8x x k k ππ=-+∈Z ,最小值是-3; (3)使y 取得最大值的集合是{|2(21),}3x x k k ππ=++∈Z ,最大值是32; 使y 取得最小值的集合是{|4,}3x x k k ππ=+∈Z ,最小值是32-; (4)使y 取得最大值的集合是{|4,}3x x k k ππ=+∈Z ,最大值是12;使y 取得最小值的集合是5{|4,}3x x k k ππ=-+∈Z ,最小值是12-. 说明:利用正弦、余弦函数的最大值、最小值性质,研究所给函数的最大值、最小值性质.3、求下列函数的周期: (1)2sin 3y x =,x∈R ; (2)1cos 42y x =,x∈R . 答案:(1)3π;(2)2π说明:可直接由函数y=Asin (ωx+φ)和函数y=Acos (ωx+φ)的周期2T πω=得解.4、利用函数的单调性比较下列各组中两个三角函数值的大小: (1)sin103°15′与sin164°30′; (2)4744cos()cos()109ππ--与; (3)sin508°与sin144°;(4)cos760°与cos (-770°). 答案:(1)sin103°15′>sin164°130′; (2)4744cos()cos()109ππ->-; (3)sin508°<sin144°;(4)cos760°>cos (-770°).说明:解决这类问题的关键是利用诱导公式将它们转化到同一单调区间上研究. 5、求下列函数的单调区间: (1)y=1+sinx ,x∈R ; (2)y=-cosx ,x∈R . 答案:(1)当[2,2]22x k k ππππ∈-++,k∈Z 时,y=1+sinx 是增函数;当3[2,2]22x k k ππππ∈++,k∈Z 时,y=1+sinx 是减函数. (2)当x∈[(2k -1)π,2kπ],k∈Z 时,y=-cosx 是减函数; 当x∈[2kπ,(2k +1)π],k∈Z 时,y=-cosx 是增函数. 说明:利用正弦、余弦函数的单调性研究所给函数的单调性. 6、求函数tan()26y x π=-++的定义域.答案:{|,}3x x k k ππ≠+∈Z .说明:可用换元法.7、求函数5tan(2),()3122k y x x k πππ=-≠+∈Z 的周期. 答案:2π. 说明:可直接由函数y=Atan (ωx+φ)的周期T πω=得解. 8、利用正切函数的单调性比较下列各组中两个函数值的大小: (1)13tan()tan()57ππ--与; (2)tan1519°与tan1493°; (3)93tan 6tan(5)1111ππ-与; (4)7tantan 86ππ与. 答案:(1)13tan()tan()57ππ->-;(2)tan1519°>tan1493°;(3)93tan 6tan(5)1111ππ>-;(4)7tantan 86ππ<. 说明:解决这类问题的关键是利用诱导公式将它们转化到同一单调区间上研究.9、根据正切函数的图象,写出使下列不等式成立的x 的集合:(1)1+tanx≥0;(2)tan 0x . 答案:(1){|,}42x k x k k ππππ-+<+∈Z ≤;(2){|,}32x k x k k ππππ+<+∈Z ≤.说明:只需根据正切曲线写出结果,并不要求解三角方程或三角不等式. 10、设函数f (x )(x∈R )是以 2为最小正周期的周期函数,且x∈[0,2]时f (x )=(x -1)2.求f (3),7()2f 的值.答案:由于f (x )以2为最小正周期,所以对任意x∈R ,有f (x +2)=f (x ).于是:f (3)=f (1+2)=f (1)=(1-1)2=0;273331()(2)()(1)22224f f f =+==-=. 说明:利用周期函数的性质,将其他区间上的求值问题转化到区间[0,2]上的求值问题. 11、容易知道,正弦函数y=sinx 是奇函数,正弦曲线关于原点对称,即原点是正弦曲线的对称中心.除原点外,正弦曲线还有其他对称中心吗?如果有,对称中心的坐标是什么?另外,正弦曲线是轴对称图形吗?如果是,对称轴的方程是什么?你能用已经学过的正弦函数性质解释上述现象吗? 对余弦函数和正切函数,讨论上述同样的问题.答案:由正弦函数的周期性可知,除原点外,正弦曲线还有其他对称中心,其对称中心坐标为(kπ,0),k∈Z .正弦曲线是轴对称图形,其对称轴的方程是,2x k k ππ=+∈Z .由余弦函数和正切的周期性可知,余弦曲线的对称中心坐标为(,0)2k ππ+,k∈Z ,对称轴的方程是x=kπ,k∈Z ;正切曲线的对称中心坐标为(,0)2k π,k∈Z ,正切曲线不是轴对称图形. 说明:利用三角函数的图象和周期性研究其对称性.B 组1、根据正弦函数、余弦函数的图象,写出使下列不等式成立的x 的取值集合:(1)sin )2x x ∈R ≥;(22cos 0()x x ∈R ≥. 答案:(1)2{|22,}33x k x k k ππππ++∈Z ≤≤; (2)33{|22,}44x k x k k ππππ-++∈Z ≤≤. 说明:变形后直接根据正弦函数、余弦函数的图象写出结果,并不要求解三角方程或三角不等式.2、求函数3tan(2)4y x π=--的单调区间. 答案:单调递减区间5(,),2828k k k ππππ++∈Z . 说明:利用正切函数的单调区间求所给函数的单调区间.3、已知函数y=f (x )的图象如图所示,试回答下列问题: (1)求函数的周期;(2)画出函数y=f (x +1)的图象;(3)你能写出函数y=f (x )的解析式吗?答案:(1)2;(2)y=f (x +1)的图象如下;(3)y=|x -2k|,x∈[2k-1,2k +1],k∈Z .说明:可直接由函数y=f (x )的图象得到其周期.将函数y=f (x )的图象向左平行移动1个单位长度,就得到函数y=f (x +1)的图象.求函数y=f (x )的解析式难度较高,需要较强的抽象思维能力.可先求出定义域为一个周期的函数y=f (x ),x∈[-1,1]的解析式为y=|x|,x∈[-1,1],再根据函数y=f (x )的图象和周期性,得到函数y=f (x )的解析式为y=|x -2k|,x∈[2k-1,2k +1],k∈Z . P57习题1.5A 组1、选择题:(1)为了得到函数1cos()3y x =+,x∈R 的图象,只需把余弦曲线上所有的点( )A .向左平行移动3π个单位长度 B .向右平行移动3π个单位长度C .向左平行移动13个单位长度 D .向右平行移动13个单位长度(2)为了得到函数cos5xy =,x∈R 的图象,只需把余弦曲线上所有的点的( )、 A .横坐标伸长到原来的5倍,纵坐标不变 B .横坐标缩短到原来的15倍,纵坐标不变 C .纵坐标伸长到原来的5倍,横坐标不变D .纵坐标缩短到原来的15倍,横坐标不变 (3)为了得到函数1cos 4y x =,x∈R 的图象,只需把余弦曲线上所有的点的( ).A .横坐标伸长到原来的4倍,纵坐标不变B .横坐标缩短到原来的14倍,纵坐标不变 C .纵坐标伸长到原来的4倍,横坐标不变 D .纵坐标缩短到原来的14倍,横坐标不变 答案:(1)C ;(2)A ;(3)D .2、画出下列函数在长度为一个周期的闭区间上的简图(有条件的可用计算器或计算机作图检验):(1)14sin 2y x =,x∈R ; (2)1cos32y x =,x∈R ; (3)3sin(2)6y x π=+,x∈R ;(4)112cos()24y x π=-,x∈R .答案:(1)(2)(3)(4)说明:研究了参数A 、ω、φ对函数图象的影响.3、不画图,直接写出下列函数的振幅、周期与初相,并说明这些函数的图象可由正弦曲线经过怎样的变化得到(注意定义域):(1)8sin()48xy π=-,x∈[0,+∞);(2)1sin(3)37y x π=+,x∈[0,+∞). 答案:(1)振幅是8,周期是8π,初相是8π-.先把正弦曲线向右平行移动8π个单位长度,得到函数1sin()8y x π=-,x∈R 的图象;再把函数y 1的图象上所有点的横坐标伸长到原来的4倍(纵坐标不变),得到函数2sin()48x y π=-,x∈R的图象;再把函数y 2的图象上所有点的纵坐标伸长到原来的8倍(横坐标不变),得到函数38sin()48x y π=-,x∈R 的图象;最后把函数y 3的图象在y 轴左侧的部分抹去,就得到函数8sin()48x y π=-,x∈[0,+∞)的图象.(2)振幅是13,周期是23π,初相是7π.先把正弦曲线向左平行移动7π个单位长度,得到函数1sin()7y x π=+,x∈R 的图象;再把函数y 1的图象上所有点的横坐标缩短到原来的13倍(纵坐标不变),得到函数2sin(3)7y x π=+,x∈R的图象;再把函数y 2的图象上所有点的纵坐标缩短到原来的13倍(横坐标不变),得到函数31sin(3)37y x π=+,x∈R 的图象;最后把函数y 3的图象在y 轴左侧的部分抹去,就得到函数1sin(3)37y x π=+,x∈[0,+∞)的图象.说明:了解简谐振动的物理量与函数解析式的关系,并认识函数y=Asin (ωx+φ)的图象与正弦曲线的关系.4、图 1.5-1的电流i (单位:A )随时间t (单位:s )变化的函数关系是5sin(100),[0,)3i t t ππ=+∈+∞.(1)求电流i 变化的周期、频率、振幅及其初相; (2)当t=0,1171,,,(:s)60015060060单位时,求电流i . 答案:(1)周期为150,频率为50,振幅为5,初相为3π.(2)t=0时,2i =;1600t =时,i=5;1150t =时,i=0;7600t =时,i=-5;160t =时,i=0.说明:了解简谐振动的物理量与函数解析式的关系,并求函数值.5、一根长为l cm 的线,一端固定,另一端悬挂一个小球.小球摆动时,离开平衡位置的位移s (单位:cm )与时间t (单位:s)的函数关系是),[0,)3s t π=+∈+∞. (1)求小球摆动的周期;(2)已知g≈980cm/s 2,要使小球摆动的周期是1s ,线的长度l 应当是多少?(精确到0.1cm ) 答案:(1)2(2)约24.8cm . 说明:了解简谐振的周期.B 组1、弹簧振子的振动是简谐运动.下表给出了振子在完成一次全振动的过程中的时间t 与位移s答案:根据已知数据作出散点图(如图).由散点图可知,振子的振动函数解析式为020sin()62x y t ππ=-,x∈[0,+∞). 说明:作出已知数据的散点图,然后选择一个函数模型来描述,并根据已知数据求出该函数模型.2、弹簧挂着的小球作上下运动,它在t 秒时相对于平衡位置的高度h 厘米由下列关系式确定:2sin()4h t π=+.以t 为横坐标,h 为纵坐标,作出这个函数在一个剧期的闭区间上的图象,并回答下列问题: (1)小球在开始振动时(即t=0)的位置在哪里?(2)小球的最高点和最低点与平衡位置的距离分别是多少? (3)经过多少时问小球往复运动一次? (4)每秒钟小球能往复振动多少次?答案:函数2sin()4h t π=+在[0,2π]上的图象为(1)小球在开始振动时的位置在(0,2);(2)最高点和最低点与平衡位置的距离都是2;(3)经过2π秒小球往复运动一次;(4)每秒钟小球能往复振动12π次.说明:结合具体问题,了解解析式中各常数的实际意义.3、如图,点P是半径为r cm的砂轮边缘上的一个质点,它从初始位置P0开始,按逆时针方向以角速度ω rad/s做圆周运动.求点P的纵坐标y关于时间t的函数关系,并求点P的运动周期和频率.答案:点P的纵坐标关于时间t的函数关系式为y=rsin(ωt+φ),t∈[0,+∞);点P的运动周期和频率分别为2πω和2ωπ.说明:应用函数模型y=rsin(ωt+φ)解决实际问题.P65习题1.61、根据下列条件,求△ABC的内角A:(1)1sin2A=;(2)2cos A=-;(3)tanA=1;(4)3 tan A=-.答案:(1)30°或150°;(2)135°;(3)45°;(4)150°.说明:由角A是△ABC的内角,可知A∈(0°,180°).2、根据下列条件,求(0,2π)内的角x:(1)3sin x=-;(2)sinx=-1;(3)cosx=0;(4)tanx=1.答案:(1)4533ππ或;(2)32π;(3)322ππ或;(4)544ππ或.说明:可让学生再变换角x的取值范围求解.3、天上有些恒星的亮度是会变化的.其中一种称为造父(型)变星,本身体积会膨胀收缩造成亮度周期性的变化、下图为一造父变星的亮度随时间的周期变化图、此变星的亮度变化的周期为多少天?最亮时是几等星?最暗时是几等星?答案:5.5天;约3.7等星;约4.4等星.说明:每个周期的图象不一定完全相同,表示视星等的坐标是由大到小.4、夏天是用电的高峰时期,特别是在晚上.为保证居民空调制冷用电,电力部门不得不对企事业拉闸限电,而到了0时以后,又出现电力过剩的情况.因此每天的用电也出现周期性的变化.为保证居民用电,电力部门提出了“消峰平谷”的想法,即提高晚上高峰时期的电价,同时降低后半夜低峰时期的电价,鼓励各单位在低峰时用电.请你调查你们地区每天的用电情况,制定一项“消峰平谷”的电价方案.答案:先收集每天的用电数据,然后作出用电量随时间变化的图象,根据图象制定“消峰平谷”的电价方案.说明:建立周期变化的模型解决实际问题.B 组1、北京天安门广场的国旗每天是在日出时随太阳升起,在日落时降旗、请根据年鉴或其他的参考资料,统计过去一年不同时期的日出和日落时间.(1)在同一坐标系中,以日期为横轴,画出散点图,并用曲线去拟合这些数据,同时找到函数模型;(2)某同学准备在五一长假时去看升旗,他应当几点到达天安门广场? 答案:略.说明:建立周期变化的函数模型,根据模型解决实际问题.2、一个城市所在的经度和纬度是如何影响日出和日落的时间的?收集其他有关的数据并提供理论证据支持你的结论.答案:略.说明:收集数据,建立周期变化的函数模型,根据模型提出个人意见.然后采取上网、查阅资料或走访专业人士的形式,获取这方面的信息,以此来说明自己的结论. P69复习参考题A 组1、写出与下列各角终边相同的角的集合S ,并且把S 中适合不等式-2π≤β≤4π的元素β写出来:(1)4π; (2)23π-;(3)125π; (4)0.答案:(1)79{|2,},,,4444k k ππππββπ=+∈-Z ;(2)22410{|2,},,,3333k k ββπππππ=-+∈-Z ;(3)128212{|2,},,,5555k k ββπππππ=+∈-Z ; (4){β|β=2kπ,k∈Z },-2π,0,2π.说明:用集合表示法和符号语言写出与指定角终边相同的角的集合,并在给定范围内找出与指定的角终边相同的角.2、在半径为15cm 的圆中,一扇形的弧含有54°,求这个扇形的周长与面积(π取3.14,计算结果保留两个有效数字).答案:周长约44cm ,面积约1.1×102cm 2.说明:可先将角度转化为弧度,再利用弧度制下的弧长和面积公式求解. 3、确定下列三角函数值的符号:(1)sin4; (2)cos5; (3)tan8; (4)tan (-3). 答案:(1)负;(2)正;(3)负;(4)正.说明:将角的弧度数转化为含π的形式或度,再进行判断. 4、已知1cos 4ϕ=,求sinφ,tanφ.答案:当φ为第一象限角时,sin tan 4ϕϕ==当φ为第四象限角时,sin tan ϕϕ== 说明:先求sinφ的值,再求tanφ的值.5、已知sinx=2cosx ,求角x 的三个三角函数值.答案:当x 为第一象限角时,tanx=2,cos x x ==;当x 为第三象限角时,tanx=2,cos x x == 说明:先求tanx 的值,再求另外两个函数的值.6、用cosα表示sin 4α-sin 2α+cos 2α.答案:cos 4α.说明:先将原式变形为sin 2α(sin 2α-1)+cos 2α,再用同角三角函数的基本关系变形. 7、求证:(1)2(1-sinα)(1+cosα)=(1-sinα+cosα)2;(2)sin 2α+sin 2β-sin 2α·sin 2β+cos 2α·cos 2β=1. 答案:(1)左边=2-2sinα+2cosα-2sinαcosα=1+sin 2α+cos 2α-2sinα+2cosα-2sinαcosα =右边. (2)左边=sin 2α(1-sin 2β)+sin 2β+cos 2αcos 2β=cos 2β(sin 2α+cos 2α)+sin 2β =1=右边.说明:第(1)题可先将左右两边展开,再用同角三角函数的基本关系变形. 8、已知tanα=3,计算:(1)4sin 2cos 5cos 3sin αααα-+;(2)sinαcosα;(3)(sinα+cosα)2. 答案:(1)57;(2)310;(3)85.说明:第(2)题可由222sin tan 9cos ααα==,得21cos 10α=,所以23sin cos tan cos 10αααα==.或2222sin cos tan 33sin cos 10sin cos tan 131αααααααα====+++. 9、先估计结果的符号,再进行计算. (1)252525sincos tan()634πππ++-; (2)sin2+cos3+tan4(可用计算器).答案:(1)0;(2)1.0771.说明:先根据各个角的位置比较它们的三角函数值的大小,再估计结果的符号. 10、已知1sin()2πα+=-,计算: (1)cos (2π-α);(2)tan (α-7π).答案:(1)当α为第一象限角时,cos(2)πα-=,当α为第二象限角时,cos(2)πα-=(2)当α为第一象限角时,tan(7)3απ-=,当α为第二象限角时,tan(7)απ-= 说明:先用诱导公式转化为α的三角函数,再用同角三角函数的基本关系计算. 11、先比较大小,再用计算器求值:(1)sin378°21′,tan1111°,cos642.5°; (2)sin (-879°),3313tan(),cos()810ππ--; (3)sin3,cos (sin2).答案:(1)tan1111°=0.601,sin378°21′=0.315,cos642.5°=0.216; (2)sin (-879°)=-0.358,3313tan()0.414,cos()0.588810ππ-=--=-; (3)sin3=0.141,cos (sin2)=0.614.说明:本题的要求是先估计各三角函数值的大小,再求值验证. 12、设π<x <2π,填表:说明:熟悉各特殊角的三角函数值. 13、下列各式能否成立,说明理由: (1)cos 2x=1.5;(2)3sin 4x π=-.答案:(1)因为cos x =cos x =1,1><-,所以原式不能成立;(2)因为sin x =,而|1<,所以原式有可能成立.说明:利用正弦和余弦函数的最大值和最小值性质进行判断.14、求下列函数的最大值、最小值,并且求使函数取得最大、最小值的x 的集合:(1)sin xy π=,x∈R ;(2)y=3-2cosx ,x∈R .答案:(11π,此时x 的集合为{|2,}2x x k k ππ=+∈Z ;1π,此时x 的集合为{|2,}2x x k k ππ=-+∈Z ;(2)最大值为5,此时x 的集合为{x|x=(2k +1)π,k∈Z }; 最小值为1,此时x 的集合为{x|x=2kπ,k∈Z }.说明:利用正弦、余弦函数的最大值和最小值性质,研究所给函数的最大值和最小值性质. 15、已知0≤x≤2π,求适合下列条件的角x 的集合: (1)y=sinx 和y=cosx 都是增函数; (2)y=sinx 和y=cosx 都是减函数;(3)y=sinx 是增函数,而y=cosx 是减函数; (4)y=sinx 是减函数,而y=cosx 是增函数. 答案:(1)3{|2}2x x ππ≤≤; (2){|}2x x ππ≤≤;(3){|0}2x x π≤≤;(4)3{|}2x x ππ≤≤. 说明:利用函数图象分析.16、画出下列函数在长度为一个周期的闭区间上的简图: (1)1sin(3),;23y x x π=-∈R (2)2sin(),;4y x x π=-+∈R (3)1sin(2),;5y x x π=--∈R(4)3sin(),.63xy x π=-∈R 答案:(1)(2)(3)(4)说明:可要求学生在作出图象后,用计算机或计算器验证. 17、(1)用描点法画出函数y=sinx ,[0,]2x π∈的图象.(2)如何根据第(1)小题并运用正弦函数的性质,得出函数y=sinx ,x∈[0,2π]的图象? (3)如何根据第(2)小题并通过平行移动坐标轴,得出函数y=sin (x +φ)+k ,x∈[0,2π]的图象?(其中φ,k 都是常数)答案:(1)x 0 18π9π 6π 29π 518π 3π 718π 49π 2π sinx0.170.340.500.640.770.870.940.981(2)由sin (π-x )=sinx ,可知函数y=sinx ,x∈[0,π]的图象关于直线2x =对称,据此可得函数y=sinx ,[,]2x ππ∈的图象;又由sin (2π-x )=-sinx ,可知函数y=sinx ,x∈[0,2π]的图象关于点(π,0)对称,据此可得出函数y=sinx ,x∈[π,2π]的图象.(3)先把y 轴向右(当φ>0时)或向左(当φ<0时)平行移动|φ|个单位长度,再把x 轴向下(当k >0时)或向上(当k <0时)平行移动|k|个单位长度,最后将图象向左或向右平行移动2π个单位长度,并擦去[0,2π]之外的部分,便得出函数y=sin (x +φ)+k ,x∈[0,2π]的图象.说明:学会用不同的方法作函数图象.18、不通过画图,写出下列函数的振幅、周期、初相,并说明如何由正弦曲线得出它们的图象:(1)sin(5),;6y x x π=+∈R(2)12sin,.6y x x =∈R 答案:(1)振幅是1,周期是25π,初相是6π. 把正弦曲线向左平行移动6π个单位长度,可以得函数sin()6y x π=+,x∈R 的图象;再把所得图象上所有点的横坐标缩短到原来的15倍(纵坐标不变),就可得出函数sin(5)6y x π=+,x∈R 的图象.(2)振幅是2,周期是2π,初相是0.把正弦曲线上所有点的横坐标伸长到原来的6倍(纵坐标不变),得到函数1sin6y x =,x∈R 的图象;再把所得图象上所有点的纵坐标伸长到原来的2倍(横坐标不变),就可得到函数12sin()6y x =,x∈R 的图象.说明:会根据解析式求各物理量,并理解如何由正弦曲线通过变换得到正弦函数的图象.B 组1、已知α为第四象限角,确定下列各角的终边所在的位置:(1)2α; (2)3α; (3)2α. 答案:(1)3(1)42k k παππ+<<+,所以2α的终边在第二或第四象限; (2)9012030901203k k α︒+︒<<︒+︒+︒,所以3α的终边在第二、第三或第四象限;(3)(4k +3)π<2α<(4k +4)π,所以2α的终边在第三或第四象限,也可在y 轴的负半轴上.说明:不要求探索α分别为各象限角时,nα和nα的终边所在位置的规律.。
高一三角同步练习1(角的概念的推广)一.选择题1、下列角中终边与330°相同的角是( )A .30°B .-30°C .630°D .-630°2、-1120°角所在象限是 ( ) A .第一象限 B .第二象限 C .第三象限 D .第四象限3、把-1485°转化为α+k ·360°(0°≤α<360°, k ∈Z )的形式是 ( ) A .45°-4×360°B .-45°-4×360°C .-45°-5×360°D .315°-5×360°4、终边在第二象限的角的集合可以表示为: ( ) A .{α∣90°<α<180°}B .{α∣90°+k ·180°<α<180°+k ·180°,k ∈Z }C .{α∣-270°+k ·180°<α<-180°+k ·180°,k ∈Z }D .{α∣-270°+k ·360°<α<-180°+k ·360°,k ∈Z } 5、下列命题是真命题的是( )Α.三角形的内角必是一、二象限内的角 B .第一象限的角必是锐角C .不相等的角终边一定不同D .{}Z k k ∈±⋅=,90360|αα={}Z k k ∈+⋅=,90180|αα 6、已知A={第一象限角},B={锐角},C={小于90°的角},那么A 、B 、C 关系是( )A .B=A ∩CB .B ∪C=C C .A ⊂CD .A=B=C7、已知角2α的终边在x 轴的上方,那么α是 ( )A .第一象限角B .第一、二象限角C .第一、三象限角D .第一、四象限角 8、若α是第四象限的角,则α- 180是 .(89上海)A .第一象限的角B .第二象限的角C .第三象限的角D .第四象限的角二.填空题1、写出-720°到720°之间与-1068°终边相同的角的集合___________________.2、与1991°终边相同的最小正角是_________,绝对值最小的角是_______________.3、若角α的终边为第二象限的角平分线,则α的集合为______________________.4、在0°到360°范围内,与角-60°的终边在同一条直线上的角为 .三.解答题1、求所有与所给角终边相同的角的集合,并求出其中的最小正角,最大负角: (1)210-; (2)731484'-.2、求θ,使θ与900-角的终边相同,且[]1260180,-∈θ.3、设集合{}Z k k x k x A ∈+⋅<<+⋅=,30036060360|, {}Z k k x k x B ∈⋅<<-⋅=,360210360|,求B A ,B A .4、已知角α是第二象限角,求:(1)角2α是第几象限的角;(2)角α2终边的位置。
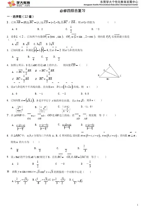
232a -b 2 a - b 2a - ba - b一、选择题(12 道)必修四综合复习1.已知 AB = (6,1), BC = (x , y ), C D = (-2,-3),且BC ∥ DA ,则 x+2y 的值为( )1 A .0B. 2C.D. -222. 设0 ≤< 2,已知两个向量OP 1 = (cos , sin ), OP 2 = (2 + sin , 2 - cos ),则向量 P 1 P 2 长度的最大值是( ) A. B. C. 3 D. 23.已知向量 a , b 满足 a = 1, b = 4, 且 a ⋅ b = 2 则 a 与b 的夹角为A.B .C .D .64 3 24. 如图 1 所示,D 是△ABC 的边 AB 上的中点,则向量CD = ()A. - BC + 1 1BA2B. - BC - 1BA 21C. BC - BA 2D. BC + BA25. 设 a 与b 是两个不共线向量,且向量 a +b 与-(b - 2a )共线,则=( )A .0B .-1C .-2D .0.56. 已知向量 a =( 3,1), b 是不平行于 x 轴的单位向量,且a ⋅ b =,则b =()A. ⎛ 3 1 ⎫B.⎛ 1 3 ⎫C.⎛ 1 3 3 ⎫ D .(1,0), ⎪, ⎪ , ⎪⎝ 2 2 ⎭ ⎝ 2 2 ⎭⎝ 4 4 ⎭7.在∆OAB 中, = a , = b , OD 是 AB 边上的高,若 =,则实数等 于( )OAA. a ⋅ (b - a )OB B. a ⋅ (a - b )C. a ⋅ (b - a ) AD ABD. a ⋅ (a - b )8.在∆ABC 中, a , b , c 分别为三个内角 A 、B 、C 所对的边,设向量 m = (b - c , c - a ), n = (b , c + a ) ,若向量 m ⊥ n ,则角 A 的大小为 ( )2A.B .C .D .632 39.设∠BAC 的平分线 AE 与 BC 相交于 E ,且有 BC = CE , 若 AB = 2 A C 则等于()1 1 A 2BC -3D -2310.函数 y = sin x cos x + 3 cos 2x -的图象的一个对称中心是()A. ( , 33 3 , - 3)2 , -3 )B. ( 5 ,- 3 ) C. (- 23 ) D. ( 3 2 62 3 233 2 b 11. (1+ tan 210 )(1+ tan 220 )(1+ tan 230 )(1+ tan 240 ) 的值是()A. 16B. 8C. 4D. 2cos 2 x12.当0 < x <时,函数 f (x ) = 41cos x sin x - sin 2x1 的最小值是( )A. 4B.C . 2D .24二、填空题(8 道) 13.已知向量 a = (cos , s in ) ,向量= ( 3, -1) ,则 2a - 的最大值是.b b14.设向量 a 与 的夹角为,且 a= (3,3) , 2b - a = (-1,1) ,则cos=.15.在∆AOB 中, O A = (2 c os,2 s in ), OB = (5 c os,5sin ) ,若OA ⋅ O B = -5 ,则∆AOB 的面积为.16. tan 20 + tan 40 + tan 20tan 40 的值是 .3 517. ABC 中, sin A = 5 , cos B =13,则cos C =.18. 已知sin + c os = 1, s in - c os = 3 1 ,则sin(- ) =.2⎡ ⎤19. 函数 y = sin x + cos x 在区间 ⎢⎣0, 2 ⎥⎦上的最小值为 .20. 函数 y = (a cos x + b sin x ) cos x 有最大值2 ,最小值-1,则实数 a =, b =.三、解答题(3 道)21. 已知|a|= ,|b|=3,向量 a 与向量 b 夹角为45 ,求使向量 a+b 与a+b 的夹角是锐角时,的取值范围3dongguan XueDa Personalized Education Development Center22 .已知向量 a = (sin ,-2) 与b = (1, c os ) 互相垂直,其中∈(0, ) .2(1)求sin 和cos 的值;(2)若sin(-) =, 0 <<,求cos的值.10223.)已知向量 a = (sin , cos - 2 sin ), b = (1, 2).若| a |=| b |, 0 << , 求的值。
政治必修4试题及答案必修4是高中政治的重点学习模块,那么政治必修四的知识点你都掌握了多少,你需要一份试题来验证自己的水平到哪里吗?接下来店铺为你整理了政治必修4试题及答案,一起来看看吧。
政治必修4试题一、选择题Ⅰ(在每小题给出的四个选项中,只有一项最符合题意。
)1.国家最高科学技术奖获得者李振声说:“几十年的经验使我深刻体会到,学点哲学的确可以使人做事情少犯错误,做研究少走弯路。
”这一感悟表明( )A.哲学是各门具体科学的基础B.哲学是人类对某一具体领域规律的概括C.哲学是科学的世界观和方法论D.真正的哲学能够指导人们正确地认识世界和改造世界2.随着自然科学领域中每一个划时代的发现,唯物主义也必然要改变自己的形式。
这一论断说明的哲学道理是( )A.具体科学是哲学的基础B.哲学为具体科学提供世界观和方法论的指导C.哲学是社会变革的先导D.哲学是科学之科学3.全部哲学,特别是近代哲学的重大基本问题,是思维和存在的关系问题。
这是因为,思维和存在的关系问题是( )A.唯物主义者必须首先回答的问题B.唯心主义者必须首先回答的问题C.区分可知论和不可知论的根本标志D.一切哲学都不能回避、必须回答的问题4.下列观点与漫画观点相一致的是( )A.我思故我在B.气者,理之依也C.形存则神存,形谢则神灭D.无其器则无其道5.马克思说:“一切存在物,一切生活在地上和水中的东西,只是由于某种运动才得以存在、生活。
”这段论述表明( )A.运动是物质的固有属性和存在方式B.物质是运动的载体C.世界上没有静止的事物D.物质运动是有规律的6.荀子在《天论》中说:“从天而颂之,孰与制天命而用之。
”这句话体现的哲理是( )A.人不能服从自然,而是要改造自然B.人不仅要尊重规律,更要认识和利用客观规律C.必须发挥主观能动性,改造客观规律D.在人与自然之间,人的需要是第一位的7.2007年4月,太湖蓝藻大规模暴发,严重影响了太湖地区人们的饮水安全。
必修4数学试题及答案一、选择题(每题4分,共20分)1. 下列函数中,哪一个是奇函数?A. \(y = x^2\)B. \(y = x^3\)C. \(y = \sin x\)D. \(y = \cos x\)答案:C2. 已知函数\(f(x) = 2x + 1\),则\(f(-1)\)的值为?A. 1B. -1C. 3D. -3答案:B3. 计算\(\int_{0}^{1} x^2 dx\)的值是多少?A. \(\frac{1}{3}\)B. \(\frac{1}{2}\)C. \(\frac{2}{3}\)D. \(\frac{3}{2}\)答案:A4. 以下哪个数列是等差数列?A. \(1, 2, 4, 8\)B. \(1, 3, 5, 7\)C. \(2, 4, 6, 8\)D. \(3, 6, 9, 12\)答案:B5. 已知\(a\)和\(b\)是方程\(x^2 - 5x + 6 = 0\)的两个根,则\(a + b\)的值为?A. 2B. 3C. 4D. 5答案:B二、填空题(每题4分,共20分)1. 已知\(\cos \theta = \frac{3}{5}\),则\(\sin \theta\)的值为\(\_\_\_\_\)。
答案:\(\frac{4}{5}\)2. 函数\(y = x^2 - 6x + 5\)的顶点坐标为\(\_\_\_\_\)。
答案:\((3, -4)\)3. 等比数列\(1, 2, 4, \ldots\)的第5项为\(\_\_\_\_\)。
答案:164. 已知\(\tan \alpha = 2\),则\(\sin \alpha\)的值为\(\_\_\_\_\)。
答案:\(\frac{2\sqrt{5}}{5}\)5. 函数\(y = \log_2 x\)的定义域为\(\_\_\_\_\)。
答案:\((0, +\infty)\)三、解答题(共60分)1. 解方程\(x^2 - 5x + 6 = 0\)。
高中必修4试题及答案一、选择题1. 下列关于细胞结构的描述,哪一项是错误的?A. 细胞核是遗传信息库B. 线粒体是细胞的动力工厂C. 叶绿体是光合作用的场所D. 细胞壁是所有细胞的组成部分答案:D2. 光合作用中,光能被转化为化学能的过程发生在:A. 光反应B. 暗反应C. 光反应和暗反应D. 细胞质答案:A3. 以下哪个选项是生态系统中能量流动的特点?A. 能量可以循环使用B. 能量流动是双向的C. 能量流动是单向的D. 能量流动是可逆的答案:C二、填空题1. 细胞分裂过程中,____染色体的变化最明显。
答案:染色体2. 达尔文的进化论认为生物进化的内在因素是____。
答案:遗传和变异3. 细胞呼吸过程中,有机物分解产生的主要能量形式是____。
答案:ATP三、简答题1. 请简述细胞分裂的过程及其意义。
答案:细胞分裂是生物体生长、发育和繁殖的基本过程。
它包括有丝分裂和无丝分裂两种类型。
有丝分裂主要发生在体细胞中,分为间期、前期、中期、后期和末期五个阶段。
细胞分裂的意义在于:保持了遗传性状的稳定性,使后代能保持亲代的性状。
2. 描述生态系统中物质循环的特点。
答案:生态系统中的物质循环具有全球性、循环性和不可逆性。
物质循环是生物体与环境之间以及生物体内部物质的转化和流动过程。
它包括水循环、碳循环、氮循环等,这些循环过程保证了生态系统中物质的持续供应和平衡。
四、论述题1. 论述基因突变对生物进化的影响。
答案:基因突变是生物进化的重要驱动力之一。
突变可以产生新的遗传变异,为自然选择提供了原材料。
突变可能对生物体产生不利的影响,导致疾病或死亡;但有时也能产生有利的变化,增加生物体适应环境的能力。
长期的自然选择作用于这些突变,可能导致新物种的形成。
结束语:通过本试题的练习,同学们应该对高中生物必修4的相关知识有了更深入的理解。
希望同学们能够通过不断的学习和实践,提高自己的科学素养,为未来的学术或职业生涯打下坚实的基础。
1.已知中学生一节课的上课时间一般是45分钟,那么,经过一节课,分针旋转形成的角是( )A .120°B .-120°C .270°D .-270°解析:分针旋转形成的角是负角,每60分钟转动一周,所以一节课45分钟分针旋转形成的角是-360°×4560=-270°.答案:D2.下列叙述正确的是( )A .第一或第二象限的角都可作为三角形的内角B .始边相同而终边不同的角一定不相等C .第四象限角一定是负角D .钝角比第三象限角小解析:-330°角是第一象限角,但不能作为三角形的内角,故A 错;280°角是第四象限角,它是正角,故C 错;-100°角是第三象限角,它比钝角小,故D 错.答案:B3.若α是第四象限角,则180°-α是第________象限角. 解析:∵角α与角-α的终边关于x 轴对称, 又∵角α的终边在第四象限,∴角-α终边在第一象限,又角-α与180°-α的终边关于原点对称,∴角180°-α的终边在第三象限. 答案:三4.在0°~360°范围内:与-1 000°角终边相同的最小正角是________,是第________象限角.解析:-1 000°=-3×360°+80°,∴与-1 000°角终边相同的最小正角是80°,为第一象限角. 答案:80° 一5.在角的集合{α|α=k ·90°+45°,k ∈Z }中, (1)有几种终边不相同的角?(2)若-360°<α<360°,则集合中的α共有多少个?解:(1)在给定的角的集合中终边不相同的角共有四种,分别是与45°、135°、-135°、-45°终边相同的角.(2)令-360°<k ·90°+45°<360°,得-92<k <72. 又∵k ∈Z ,∴k =-4,-3,-2,-1,0,1,2,3, ∴满足条件的角共有8个.1.下列命题中,正确的是( ) A .1弧度是1度的圆心角所对的弧 B .1弧度是长度为半径的弧C .1弧度是长度等于半径的弧所对的圆心角D .1弧度是1度的弧与1度的角之和解析:利用弧度的概念可直接推得C 为正确选项. 答案:C2.2 100°化成弧度是( ) A.35π3 B .10π C.28π3D.25π3解析:2 100°=2 100×π180=35π3. 答案:A3.若扇形的圆心角为60°,半径为6,则扇形的面积为________. 解析:扇形的面积S =12|α|r 2=12×π3×62=6π. 答案:6π4.若θ角的终边与8π5角的终边相同,在[0,2π)内与θ4角的终边相同的角是________.解析:由题设知θ=2k π+8π5,k ∈Z ,则θ4=k π2+2π5,k ∈Z . ∴当k =0时,θ4=2π5; 当k =1时,θ4=9π10; 当k =2时,θ4=7π5; 当k =3时,θ4=19π10. 答案:2π5,9π10,7π5,19π105.已知α=-800°.(1)把α改写成β+2k π(k ∈Z,0≤β<2π)的形式,并指出α的终边在第几象限;(2)求 γ角,使γ与α角的终边相同,且γ∈⎝ ⎛⎭⎪⎫-π2,π2.解:(1)∵-800°=-3×360°+280°,280°=14π9, ∴α=14π9+(-3)×2π,α角与14π9的终边相同, ∴α是第四象限角.(2)∵与α角终边相同的角为2k π+α,k ∈Z ,α与14π9终边相同, ∴γ=2k π+14π9,k ∈Z .又∵γ∈⎝ ⎛⎭⎪⎫-π2,π2,∴-π2<2k π+14π9<π2, 当k =-1时,不等式成立, ∴γ=-2π+14π9=-4π9.1.有下列说法:①终边相同的角的同名三角函数的值相等; ②终边不同的角的同名三角函数的值不等; ③若sin α>0,则α是第一、二象限的角;④若α是第二象限的角,且P (x ,y )是其终边上一点,则cos α=-xx 2+y2, 其中不正确的个数为( ) A .0 B .1 C .2 D .3答案:D2.若点P 的坐标是(sin2,cos2),则点P 位于( ) A .第一象限 B .第二象限 C .第三象限 D .第四象限 答案:D3.sin420°=________.答案:324.使得lg(cos αtan α)有意义的角α是第________象限角. 解析:要使原式有意义,必须cos αtan α>0,即需cos α,tan α同号,所以α是第一或第二象限角.答案:一或二 5.求下列各式的值.(1)sin1 470°;(2)cos 9π4;(3)tan(-116π). 解:(1)sin1 470°=sin(4×360°+30°)=sin30°=12. (2)cos 9π4=cos(2π+π4)=cos π4=22. (3)tan(-11π6)=tan(-2π+π6)=tan π6=33.1.已知角α的正弦线的长度为单位长度,那么角α的终边( ) A .在x 轴上 B .在y 轴上 C .在直线y =x 上 D .在直线y =-x 上答案:B2.已知11π6的正弦线为MP ,正切线为AT ,则有( ) A .MP 与AT 的方向相同 B .|MP |=|AT | C .MP >0,AT <0D .MP <0,AT >0 解析:三角函数线的方向和三角函数值的符号是一致的.MP =sin 11π6<0,AT =tan 11π6<0.答案:A3.若角α的正弦线的长度为12,且方向与y 轴的正方向相反,则sin α的值为________.答案:-124.函数y =lg(sin x -cos x )的定义域为________.解析:利用三角函数线,如下图,MN 为正弦线,OM 为余弦线,要使sin x ≥cos x ,即MN ≥OM ,则π4≤x ≤54π,(在[0,2π]内).∴定义域为{x |π4+2k π≤x ≤54π+2k π,k ∈Z }. 答案:{x |π4+2k π≤x ≤54π+2k π,k ∈Z }5.在单位圆中画出满足cos α=12的角α的终边,并写出α组成的集合.解:如图所示,作直线x =12交单位圆于M ,N ,连接OM ,ON ,则OM ,ON 为α的终边.由于cos π3=12,cos 5π3=12,则M 在π3的终边上,N 在5π3的终边上,则α=π3+2k π或α=5π3+2k π,k ∈Z . 所以α组成的集合为S =⎩⎨⎧⎭⎬⎫αα=π3+2k π或α=5π3+2k π,k ∈Z .1.已知α是第二象限角,sin α=513,则cos α=( ) A .-1213 B .-513 C.513D.213解析:因为α是第二象限角,所以cos α<0, 故cos α=-1-sin 2α=-1-(513)2=-1213.答案:A2.已知cos α-sin α=-12,则sin αcos α的值为( ) A.38 B .±38 C.34D .±34解析:由已知得(cos α-sin α)2=sin 2α+cos 2α-2sin αcos α=1-2sin αcos α=14,解得sin αcos α=38,故选A.答案:A3.若sin θ=-45,tan θ>0,则cos θ=________.解析:由已知得θ是第三象限角,所以cos θ=-1-sin 2θ=-1-(-45)2=-35. 答案:-354.已知tan α=3,则2sin 2α+4sin αcos α-9cos 2α的值为________. 解析:原式=2sin 2α+4sin αcos α-9cos 2αsin 2α+cos 2α=2tan 2α+4tan α-9tan 2α+1 =2×32+4×3-932+1=2110.答案:21105.若π2<α<π,化简cos α1-cos 2α+sin α1-sin 2α1-cos 2α.解:因为π2<α<π,所以cos α=-1-sin 2α,sin α=1-cos 2α,所以原式=cos αsin α+sin α(-cos α)1-cos 2α=cos αsin α-sin αcos αsin 2α=cos αsin α-cos αsin α=0.1.cos(-20π3)等于( ) A.12 B.32 C .-12D .-32解析:cos(-20π3)=cos 20π3 =cos(6π+2π3)=cos 2π3=-12. 答案:C2.sin600°+tan240°的值是( ) A .-32 B.32 C .-12+ 3 D.12+3 解析:sin600°+tan240°=sin(360°+240°)+tan(180°+60°) =sin240°+tan60°=sin(180°+60°)+tan60° =-sin60°+tan60°=-32+3=32. 答案:B3.已知sin(45°+α)=513,则sin(135°-α)=________.解析:sin(135°-α)=sin[180°-(45°+α)] =sin(45°+α)=513. 答案:5134.已知α∈(0,π2),tan(π-α)=-34,则sin α=________. 解析:由于tan(π-α)=-tan α=-34, 则tan α=34,解方程组⎩⎨⎧sin αcos α=34,sin 2α+cos 2α=1,得sin α=±35,又α∈(0,π2),所以sin α>0. 所以sin α=35. 答案:355.化简tan (2π-θ)sin (-2π-θ)cos (6π-θ)cos (θ-π)sin (5π+θ).解:原式=tan (-θ)sin (-θ)cos (-θ)(-cos θ)(-sin θ)=(-tan θ)(-sin θ)cos θcos θsin θ=tan θ.1.已知sin40°=a ,则cos130°等于( ) A .a B .-a C.1-a 2D .-1-a 2解析:cos130°=cos(90°+40°)=-sin40°=-a .答案:B2.已知sin(α-π4)=13,则cos(π4+α)的值等于( ) A.223 B .-232 C.13D .-13解析:∵π4+α-(α-π4)=π2, ∴cos(π4+α)=cos[π2+(α-π4)] =-sin(α-π4)=-13. 答案:D3.已知sin(π6-θ)=13,则cos(π3+θ)等于________. 解析:cos(π3+θ)=cos[π2-(π6-θ)] =sin(π6-θ)=13. 答案:134.已知cos α=15,且α为第四象限角,那么cos(α+π2)等于________. 解析:∵α为第四象限角且cos α=15, ∴sin α=-1-cos 2α=-25 6. ∴cos(α+π2)=-sin α=25 6. 答案:2655.化简1+2sin (π2-2)·cos (π2+2).解:原式=1+2cos2·(-sin2)=1-2sin2cos2=(sin2-cos2)2=|sin2-cos2|. 又∵sin2>cos2,∴原式=sin2-cos2.1.函数y =-sin x ,x ∈⎣⎢⎡⎦⎥⎤-π2,3π2的简图是( )解析:用特殊点来验证.x =0时,y =-sin0=0,排除选项A ,C ;又x =-π2时,y =-sin ⎝ ⎛⎭⎪⎫-π2=1,排除选项B.答案:D2.方程x +sin x =0的根有( ) A .0个 B .1个 C .2个D .无数个解析:设f (x )=-x ,g (x )=sin x ,在同一直角坐标系中画出 f (x )和g (x )的图象,如图所示.由图知f (x )和g (x )的图象仅有一个交点,则方程x +sin x =0仅有一个根.答案:B3.用“五点法”画y =1-cos x ,x ∈[0,2π]的图象时,五个关键点的坐标是________.答案:(0,0),⎝⎛⎭⎪⎫π2,1,(π,2),⎝⎛⎭⎪⎫3π2,1,(2π,0)4.函数y =2cos x -2的定义域是________. 解析:由2cos x -2≥0得cos x ≥22, 借助y =cos x 的图象可得cos x ≥22的解集为 ⎩⎨⎧⎭⎬⎫x |2k π-π4≤x ≤2k π+π4,k ∈Z .答案:⎩⎨⎧⎭⎬⎫x |2k π-π4≤x ≤2k π+π4,k ∈Z 5.在[0,2π]内用五点法作出y =-sin x -1的简图. 解:(1)按五个关键点列表xπ2π3π22πy -1 -2 -1 0 -1(2)描点并用光滑曲线连接可得其图象,如图所示:1.函数y =2cos(π3-ωx )的最小正周期是4π,则ω等于( ) A .2 B.12 C .±2D .±12解析:4π=2π|ω|,∴ω=±12. 答案:D2.定义在R 上的周期函数f (x )的一个周期为5,则f (2 011)=( )A .f (1)B .f (2)C .f (3)D .f (4) 解析:f (2 011)=f (402×5+1)=f (1). 答案:A3.若函数f (x )=sin ωx (ω>0)的周期为π,则ω=________. 解析:由于周期T =2πω,所以2πω=π,解得ω=2. 答案:24.已知函数f (x )是定义在R 上的周期为6的奇函数,且f (1)=1,则f (5)=________.解析:由于函数f (x )是定义在R 上的周期为6的奇函数,则f (5)=f (5-6)=f (-1)=-f (1).又f (1)=1,则f (5)=-1. 答案:-15.若函数f (x )是以π2为周期的奇函数,且f (π3)=1,求 f (-176π)的值.证明:∵f (x )的周期为π2,且为奇函数, ∴f (-17π6)=f (-3π+π6)=f (-6×π2+π6) =f (π6).而f (π6)=f (π2-π3)=f (-π3)=-f (π3)=-1, ∴f (-17π6)=-1.1.函数y =sin(2x +52π)的图象的一条对称轴方程是( ) A .x =-π2 B .x =-π4 C .x =π8D .x =54π解析:y =sin(2x +52 π)=cos2x ,令2x =k π(k ∈Z ),则x =k2 π(k ∈Z ).当k =-1时,x =-π2.答案:A2.函数y =2sin(2x -π4)的一个单调递减区间是( ) A .[3π8,7π8] B .[-π8,3π8] C .[3π4,5π4]D .[-π4,π4]解析:令z =2x -π4,函数y =sin z 的单调递减区间是[π2+2k π,3π2+2k π](k ∈Z ).由π2+2k π≤2x -π4≤3π2+2k π,k ∈Z , 得3π8+k π≤x ≤7π8+k π,k ∈Z . 令k =0,3π8≤x ≤7π8. 答案:A3.下列关系式中正确的是( ) A .sin11°<cos10°<sin168° B .sin168°<sin11°<cos10° C .sin11°<sin168°<cos10° D .sin168°<cos10°<sin11°解析:∵sin168°=sin(180°-168°)=sin12°,cos10°=sin80°, ∴sin11°<sin12°<sin80°. ∴sin11°<sin168°<cos10°. 答案:C4.设ω>0,若函数f (x )=2sin ωx 在[-π3,π4]上单调递增,则ω的取值范围是________.解析:令-π2≤ωx ≤π2,-π2ω≤x ≤π2ω,则[-π2ω,π2ω]是函数的关于原点对称的递增区间中范围最大的,即[-π3,π4]⊆[-π2ω,π2ω],则⎩⎪⎨⎪⎧π4≤π2ω,-π3≥-π2ω.⇒ω≤32.答案:[0,32]5.求函数y =1-2cos 2x +5sin x 的最大值和最小值. 解:y =1-2cos 2x +5sin x =2sin 2x +5sin x -1 =2(sin x +54)2-338.∵sin x ∈[-1,1],而y 在[-1,1]上是增函数, ∴当sin x =-1时,函数取得最小值-4; 当sin x =1时,函数取得最大值6.1.y =tan(x +π)是( ) A .奇函数 B .偶函数 C .既是奇函数又是偶函数 D .非奇非偶函数答案:A2.函数y =2tan ⎝ ⎛⎭⎪⎫3x -π4的一个对称中心是( )A.⎝ ⎛⎭⎪⎫π3,0B.⎝ ⎛⎭⎪⎫π6,0 C.⎝ ⎛⎭⎪⎫-π4,0 D.⎝ ⎛⎭⎪⎫-π2,0 解析:由3x -π4=k π2,得x =k π6+π12 令k =-2得x =-π4.故选C. 答案:C3.函数y =2tan ⎝ ⎛⎭⎪⎫π3-x 2的定义域是________.解析:由π3-x 2≠k π+π2,得x ≠-2k π-π3,k ∈Z ,故函数y =2tan ⎝⎛⎭⎪⎫π3-x 2的定义域是:⎩⎨⎧⎭⎬⎫x |x ≠-π3-2k π,k ∈Z .答案:⎩⎨⎧⎭⎬⎫x |x ≠-π3-2k π,k ∈Z4.使函数y =2tan x 与y =cos x 同时为单调增的区间是________. 解析:由y =2tan x 与y =cos x 的图象知,同时为单调增的区间为(2k π-π2,2k π)(k ∈Z )和(2k π+π,2k π+3π2)(k ∈Z ).答案:⎝ ⎛⎭⎪⎫2k π-π2,2k π(k ∈Z )和(2k π+π,2k π+3π2)(k ∈Z )5.求函数y =tan(π-x ),x ∈⎝⎛⎭⎪⎫-π4,π3的值域.解:y =tan(π-x )=-tan x ,在⎝ ⎛⎭⎪⎫-π4,π3上为减函数,所以值域为(-3,1).1.把函数y =sin ⎝ ⎛⎭⎪⎫2x -π4的图象向左平移π8个单位长度,所得到的图象对应的函数是( )A .奇函数B .偶函数C .既是奇函数也是偶函数D .非奇非偶函数解析:y =sin ⎝⎛⎭⎪⎫2x -π4=sin ⎣⎢⎡⎦⎥⎤2⎝⎛⎭⎪⎫x -π8,向左平移π8个单位长度后为y =sin[2(x -π8+π8)]=sin2x ,为奇函数,故选A.答案:A2.为了得到函数y =sin ⎝ ⎛⎭⎪⎫2x -π3的图象,只需把函数y =sin ⎝ ⎛⎭⎪⎫2x +π6的图象( )A .向左平移π4个单位长度 B .向右平移π4个单位长度 C .向左平移π2个单位长度 D .向右平移π2个单位长度 解析:由y =sin ⎝ ⎛⎭⎪⎫2x +π6――→x →x +φy=sin ⎣⎢⎡⎦⎥⎤2(x +φ)+π6=sin ⎝ ⎛⎭⎪⎫2x -π3,即2x +2φ+π6=2x -π3,解得φ=-π4,即向右平移π4个单位长度.答案:B3.用“五点法”画函数y =2sin ⎝ ⎛⎭⎪⎫ωx +π3(ω>0)在一个周期内的简图时,五个关键点是(-π6,0),(π12,2),(π3,0),(712 π,-2),(5π6,0),则ω=________.解析:周期T =5π6-(-π6)=π. ∴2πω=π,ω=2. 答案:24.把函数y =2sin ⎝ ⎛⎭⎪⎫3x +π4的图象上所有的点向右平移π6个单位长度,再把所有点的横坐标伸长到原来的2倍,纵坐标不变,得到的图象对应的一个解析式为________.解析:把函数y =2sin ⎝ ⎛⎭⎪⎫3x +π4的图象上所有的点向右平移π6个单位长度,得函数y =2sin ⎣⎢⎡⎦⎥⎤3⎝ ⎛⎭⎪⎫x -π6+π4=2sin ⎝ ⎛⎭⎪⎫3x -π4的图象,再把所有点的横坐标伸长到原来的2倍,纵坐标不变,得到函数y =2sin ⎣⎢⎡⎦⎥⎤3⎝ ⎛⎭⎪⎫12x -π4的图象,即y =2sin ⎝ ⎛⎭⎪⎫32x -π4.答案:y =2sin ⎝ ⎛⎭⎪⎫32x -π45.已知函数y =sin ⎝ ⎛⎭⎪⎫2x +π4+1.(1)用“五点法”画出函数的草图.(2)函数图象可由y =sin x 的图象怎样变换得到? 解:(1)列表:2x +π4 0 π2 π 3π2 2π x -π8 π8 3π8 5π8 7π8 y1211描点、连线如图所示.将y =sin ⎝ ⎛⎭⎪⎫2x +π4+1在⎣⎢⎡⎦⎥⎤-π8,7π8上的图象向左(右)平移k π(k ∈Z )个单位,即可得到y =sin(2x +π4)+1的整个图象.1.函数y =2sin(x 2+π5)的周期、振幅依次是( ) A .4π,-2 B .4π,2 C .π,2D .π,-2解析:在y =A sin(ωx +φ)(A >0,ω>0)中,T =2πω,A 叫振幅(A >0),故y =2sin(x 2+π5)的周期T =2π12=4π,振幅为2,故选B.答案:B2.已知函数f (x )=2 sin(ωx +φ),x ∈R ,其中ω>0,-π<φ≤π.若f (x )的最小正周期为6π,且当x =π2时,f (x )取得最大值,则( )A .f (x )在区间[-2π,0]上是增函数B .f (x )在区间[-3π,-π]上是增函数C .f (x )在区间[3π,5π]上是减函数D .f (x )在区间[4π,6π]上是减函数 解析:∵函数f (x )的最小正周期为6π,∴2πω=6π,得ω=13,在x =π2时,函数f (x )取得最大值, ∴13×π2+φ=2k π+π2,k ∈Z . 又∵-π<φ≤π,∴φ=π3. ∴f (x )=2sin(13x +π3).由2k π-π2≤13x +π3≤2k π+π2(k ∈Z ), 得6k π-52π≤x ≤6k π+12π(k ∈Z ).∴f (x )的增区间是[6k π-52π,6k π+π2](k ∈Z ). 取k =0,得[-52π,π2]是f (x )的一个增区间. ∴函数f (x )在区间[-2π,0]上是增函数. 答案:A3.函数y =|5sin(2x +π3)|的最小正周期为________. 解析:∵y =5sin(2x +π3)的最小正周期为π, ∴函数y =|5sin(2x +π3)|的最小正周期为π2. 答案:π24.使函数f (x )=3sin(2x +5θ)的图象关于y 轴对称的θ为________. 解析:∵函数f (x )=3sin(2x +5θ)的图象关于y 轴对称, ∴f (-x )=f (x )恒成立,∴3sin(-2x +5θ)=3sin(2x +5θ). ∴sin(-2x +5θ)=sin(2x +5θ).∴-2x +5θ=2x +5θ+2k π(舍去)或-2x +5θ+2x +5θ=2k π+π(k ∈Z ).即10θ=2k π+π,故θ=k π5+π10(k ∈Z ). 答案:θ=k π5+π10,k ∈Z5.已知函数y =A sin(ωx +φ)(A >0,ω>0,|φ|<π2)的一段图象如图,试求这个函数的解析式.解:方法一:易知A =22,T4=6-2=4. ∴T =16,∴2πω=16,∴ω=π8. 又∵图象过点(2,22). ∴22sin(π8×2+φ)=2 2. 又∵|φ|<π2,∴φ=π4. 于是y =22sin(π8x +π4).方法二:易知A =22,由图可知,第二、第三两关键点的横坐标分别为2和6.∵⎩⎨⎧2ω+φ=π2,6ω+φ=π,∴⎩⎪⎨⎪⎧ω=π8,φ=π4.∴y =22sin(π8x +π4).1.已知某人的血压满足函数解析式f (t )=24sin(160πt )+115.其中f (t )为血压(mmHg),t 为时间(min),则此人每分钟心跳的次数为( )A .60B .70C .80D .90解析:由题意可得频率f =1T =160π2π=80(次/分),所以此人每分钟心跳的次数是80.答案:C2.如图表示电流I 与时间t 的关系I =A sin(ωt +φ)(A >0,ω>0)在一个周期内的图象,则该函数的解析式为( )A .I =300sin ⎝ ⎛⎭⎪⎫50πt +π3B .I =300sin ⎝ ⎛⎭⎪⎫50πt -π3C .I =300sin ⎝ ⎛⎭⎪⎫100πt +π3D .I =300sin(100πt -π3)解析:由图象得周期T =2(1150+1300)=150,最大值为300,图象经过点(1150,0),则ω=2πT =100π,A =300,∴I =300sin(100πt +φ). ∴0=300sin(100π×1150+φ). ∴sin(2π3+φ)=0.取φ=π3, ∴I =300sin(100πt +π3). 答案:C 3.如图为某简谐运动的图象,则这个简谐运动需要________s 往复一次.解析:由图象知周期T =0.8-0=0.8,则这个简谐运动需要0.8 s 往复一次.答案:0.84.据市场调查,某种商品每件的售价按月呈f (x )=A sin(ωx +φ)+B (A >0,ω>0,|φ|<π2)的模型波动(x 为月份),已知3月份达到最高价8千元,7月份价格最低为4千元,则f (x )=________.解析:由题意得⎩⎪⎨⎪⎧A +B =8,-A +B =4,解得A =2,B =6.周期T =2(7-3)=8,∴ω=2πT =π4,∴f (x )=2sin ⎝ ⎛⎭⎪⎫π4x +φ+6. 又当x =3时,y =8,∴8=2sin ⎝ ⎛⎭⎪⎫3π4+φ+6. ∴sin ⎝ ⎛⎭⎪⎫3π4+φ=1.由于|φ|<π2,∴φ=-π4, ∴f (x )=2sin ⎝ ⎛⎭⎪⎫π4x -π4+6.答案:2sin ⎝ ⎛⎭⎪⎫π4x -π4+65.如图所示,摩天轮的半径为40 m ,O 点距地面的高度为50 m ,摩天轮做匀速转动,每3 min 转一圈,摩天轮上的P 点的起始位置在最低点处.(1)试确定在时刻t min 时P 点距离地面的高度;(2)在摩天轮转动的一圈内,有多长时间P 点距离地面超过70 m? 解:(1)以中心O 为坐标原点建立如图所示的坐标系,设t min 时P 距地面的高度为y ,依题意得y =40sin ⎝⎛⎭⎪⎫2π3t -π2+50.(2)令40sin ⎝ ⎛⎭⎪⎫2π3t -π2+50>70,则sin ⎝ ⎛⎭⎪⎫2π3t -π2>12,∴2k π+π6<2π3t -π2<2k π+5π6(k ∈Z ),∴2k π+2π3<2π3t <2k π+4π3(k ∈Z ),∴3k +1<t <3k +2(k ∈Z ).令k =0得1<t <2. 因此,共有1 min P 点距地面超过70 m.单元综合测试一时间:120分钟 分值:150分第Ⅰ卷(选择题,共60分)一、选择题(每小题5分,共60分)1.若角600°的终边上有一点(-4,a ),则a 的值是( ) A .-4 3 B .±43 C. 3D .43解析:因为tan600°=a-4=tan(540°+60°)=tan60° =3,故a =-4 3. 答案:A2.已知cos(π2+φ)=32,且|φ|<π2,则tan φ=( ) A .-33 B.33 C .- 3D.3 解析:由cos(π2+φ)=32,得sin φ=-32,又|φ|<π2,∴cos φ=12,∴tan φ=- 3. 答案:C3.下列函数中,最小正周期为π,且图象关于直线x =π3对称的是( )A .y =sin(2x +π6) B .y =sin(x 2+π6) C .y =sin(2x -π6)D .y =sin(2x -π3)解析:∵最小正周期为π,∴ω=2,又图象关于直线x =π3对称, ∴f (π3)=±1,故只有C 符合. 答案:C4.若2k π+π<θ<2k π+5π4(k ∈Z ),则sin θ,cos θ,tan θ的大小关系是( )A .sin θ<cos θ<tan θB .cos θ<tan θ<sin θC .cos θ<sin θ<tan θD .sin θ<tan θ<cos θ解析:设π<α<54π,则有sin θ=sin α, cos θ=cos α,tan θ=tan α, ∵tan α>0,而sin α<0,cos α<0,∴B 、D 排除,又∵cos α<-22<sin α,即cos α<sin α,排除A.选C. 答案:C5.已知A 是三角形的内角,且sin A +cos A =52,则tan A 等于( )A .4+15B .4-15C .4±15D .以上均不正确解析:因为sin A +cos A =52,所以2sin A cos A =14>0.所以A 为锐角.又(sin A -cos A )2=1-2sin A cos A =1-14=34,所以sin A -cos A =±32.从而可求出sin A ,cos A 的值,从而求出tan A =4±15.答案:C6.函数y =2sin(π6-2x )(x ∈[0,π])的单调递增区间是( ) A .[0,π3] B .[π12,7π12] C .[π3,5π6]D .[5π6,π]解析:由π2+2k π≤2x -π6≤3π2+2k π 可得π3+k π≤x ≤5π6+k π(k ∈Z ).∵x ∈[0,π],∴单调递增区间为[π3,5π6]. 答案:C7.为得到函数y =cos ⎝⎛⎭⎪⎫x +π3的图象,只需将函数y =sin x 的图象( )A .向左平移π6个单位长度 B .向右平移π6个单位长度 C .向左平移5π6个单位长度D .向右平移5π6个单位长度 解析:∵y =cos ⎝ ⎛⎭⎪⎫x +π3=sin ⎝ ⎛⎭⎪⎫x +π3+π2 =sin ⎝ ⎛⎭⎪⎫x +5π6, ∴只需将y =sin x 的图象向左平移5π6个单位长度. 答案:C8.已知函数f (x )=2sin(ωx +φ)(ω>0,|φ|<π2)的部分图象如图所示,则函数f (x )的一个单调递增区间是( )A.⎣⎢⎡⎦⎥⎤-7π12,5π12 B.⎣⎢⎡⎦⎥⎤-7π12,-π12 C.⎣⎢⎡⎦⎥⎤-π4,π6 D.⎣⎢⎡⎦⎥⎤11π12,17π12 解析:由图形可得14T =23π-512π,∴T =π,则ω=2,又图象过点⎝ ⎛⎭⎪⎫512π,2.∴2sin ⎝ ⎛⎭⎪⎫2×512π+φ=2, ∴φ=-π3,∴f (x )=2sin ⎝ ⎛⎭⎪⎫2x -π3, 其单调递增区间为⎣⎢⎡⎦⎥⎤k π-π12,k π+512π(k ∈Z ), 取k =1,即得选项D. 答案:D9.设a 为常数,且a >1,0≤x ≤2π,则函数f (x )=cos 2x +2a sin x -1的最大值为( )A .2a +1B .2a -1C .-2a -1D .a 2解析:f (x )=cos 2x +2a sin x -1 =1-sin 2x +2a sin x -1 =-(sin x -a )2+a 2,∵0≤x ≤2π,∴-1≤sin x ≤1,又a >1,∴f (x )max =-(1-a )2+a 2=2a -1. 答案:B 10.函数y =cos(ωx +φ)(ω>0,0<φ<π)为奇函数,该函数的部分图象如图所示,A ,B 分别为最高点与最低点,并且两点间的距离为22,则该函数图象的一条对称轴方程为( )A .x =2π B .x =π2 C .x =1D .x =2解析:函数y =cos(ωx +φ)(ω>0,0<φ<π)的最大值为1,最小值为-1,所以周期T =2(22)2-22=4,所以ω=π2,又函数为奇函数,所以cos φ=0(0<φ<π)⇒φ=π2,所以函数解析式为y =cos(π2x +π2)=-sin π2x ,所以直线x =1为该函数图象的一条对称轴.答案:C11.中国最高的摩天轮是“南昌之星”,它的最高点离地面160米,直径为156米,并以每30分钟一周的速度匀速旋转,若从最低点开始计时,则摩天轮进行5分钟后离地面的高度为( )A .41米B .43米C .78米D .118米解析:摩天轮转轴离地面高160-⎝ ⎛⎭⎪⎫1562=82(米),ω=2πT =π15,摩天轮上某个点P 离地面的高度h 米与时间t 的函数关系是h =82-78cos π15t ,当摩天轮运行5分钟时,其离地面高度为h =82-78cos π15t =82-78×12=43(米).答案:B12.设ω>0,函数y =sin(ωx +π3)+2的图象向右平移4π3个单位后与原图象重合,则ω的最小值是( )A.23B.43C.32D .3解析:方法一:函数y =sin(ωx +π3)+2的图象向右平移4π3个单位后得到函数y =sin[ω(x -4π3)+π3]+2=sin(ωx -4π3ω+π3)+2的图象.∵两图象重合,∴ωx +π3=ωx -4π3ω+π3+2k π,k ∈Z ,解得ω=32k ,k ∈Z .又ω>0,∴当k =1时,ω的最小值是32.方法二:由题意可知,4π3是函数y =sin(ωx +π3)+2(ω>0)的最小正周期T 的正整数倍,即4π3=kT =2k πω(k ∈N *),ω=32k ,ω的最小值为32. 答案:C第Ⅱ卷(非选择题 共90分)二、填空题(本大题共4小题,每小题5分,共20分,把答案填在题中横线上)13.在扇形中,已知半径为8,弧长为12,则圆心角是________弧度,扇形面积是________.解析:圆心角α=l r =128=32, 扇形面积S =12lr =12×12×8=48.答案:32 4814.方程sin x =lg x 的解的个数为________.解析:画出函数y =sin x 和y =lg x 的图象(图略),结合图象易知这两个函数的图象有3个交点.答案:315.设f (x )=a sin(πx +α)+b cos(πx +β),其中a ,b ,α,β为非零常数.若f (2 013)=-1,则f (2 014)=________.解析:f (2 013)=a sin(2 013π+α)+b cos(2 013π+β) =-1,f (2 014)=a sin(2 014π+α)+b cos(2 014π+β) =a sin[π+(2 013π+α)]+b cos[π+(2 013π+β)] =-[a sin(2 013π+α)+b cos(2 013π+β)]=1. 答案:116.关于函数f (x )=cos ⎝⎛⎭⎪⎫2x +π3+1有以下结论:①函数f (x )的值域是[0,2];②点⎝⎛⎭⎪⎫-512π,0是函数f (x )的图象的一个对称中心;③直线x =π3是函数f (x )的图象的一条对称轴;④将函数f (x )的图象向右平移π6个单位长度后,与所得图象对应的函数是偶函数.其中,所有正确结论的序号是________.解析:①∵-1≤cos ⎝ ⎛⎭⎪⎫2x +π3≤1, ∴0≤cos ⎝⎛⎭⎪⎫2x +π3+1≤2;②∵f ⎝ ⎛⎭⎪⎫-5π12=cos ⎝ ⎛⎭⎪⎫-5π6+π3+1=cos ⎝ ⎛⎭⎪⎫-π2+1=1≠0,∴点⎝ ⎛⎭⎪⎫-512π,0不是函数f (x )图象的一个对称中心;③∵f ⎝ ⎛⎭⎪⎫π3=cos ⎝ ⎛⎭⎪⎫2π3+π3+1=cosπ+1=0,函数取得最小值,∴直线x =π3是函数f (x )的图象的一条对称轴;④将函数f (x )的图象向右平移π6个单位长度后,与所得图象对应的函数解析式为g (x )=cos ⎣⎢⎡⎦⎥⎤2⎝ ⎛⎭⎪⎫x -π6+π3+1=cos2x +1,此函数是偶函数.综上所述,①③④正确.答案:①③④三、解答题(本大题共6小题,共70分,解答应写出文字说明、证明过程或演算步骤)17.(10分)已知sin θ=45,π2<θ<π, (1)求tan θ;(2)求sin 2θ+2sin θcos θ3sin 2θ+cos 2θ的值.解:(1)∵sin 2θ+cos 2θ=1,∴cos 2θ=1-sin 2θ=925.又π2<θ<π,∴cos θ=-35. ∴tan θ=sin θcos θ=-43.(2)sin 2θ+2sin θcos θ3sin 2θ+cos 2θ=tan 2θ+2tan θ3tan 2θ+1=-857.18.(12分)(1)已知cos(75°+α)=13,其中α为第三象限角,求cos(105°-α)+sin(α-105°)的值;(2)已知π<θ<2π,cos(θ-9π)=-35,求tan(10π-θ)的值. 解:(1)cos(105°-α)=cos[180°-(75°+α)] =-cos(75°+α)=-13,sin(α-105°)=-sin[180°-(75°+α)] =-sin(75°+α). ∵α为第三象限角,∴75°+α为第三或第四象限角,又cos(75°+α)=13>0, ∴75°+α为第四象限角,∴sin(75°+α)=-1-cos 2(75°+α) =-1-⎝ ⎛⎭⎪⎫132=-223, ∴cos(105°-α)+sin(α-105°) =-13+223=22-13. (2)由已知得cos(θ-9π)=-35, ∴cos(π-θ)=-35,∴cos θ=35, ∵π<θ<2π,∴3π2<θ<2π,∴sin θ=-45, ∴tan θ=-43,∴tan(10π-θ)=tan(-θ)=-tan θ=43.19.(12分)已知函数f (x )=2cos(2x -π4),x ∈R . (1)求函数f (x )的最小正周期和单调递增区间.(2)求函数f (x )在区间[-π8,π2]上的最小值和最大值,并求出取得最值时x 的值.解:(1)因为f (x )=2cos(2x -π4),所以函数f (x )的最小正周期为T =2π2=π.由-π+2k π≤2x -π4≤2k π(k ∈Z ),得-3π8+k π≤x ≤π8+k π(k ∈Z ),故函数f (x )的单调递增区间为[-3π8+k π,π8+k π](k ∈Z ).(2)因为f (x )=2cos(2x -π4)在区间[-π8,π8]上为增函数,在区间[π8,π2]上为减函数,又f (-π8)=0,f (π8)=2,f (π2)=2cos(π-π4)=-2cos π4=-1,所以函数f (x )在区间[-π8,π2]上的最大值为2,此时x =π8;最小值为-1,此时x =π2.20.(12分)函数f 1(x )=A sin(ωx +φ)(A >0,ω>0,|φ|<π2)的一段图象过点(0,1),如图所示.(1)求函数f 1(x )的表达式;(2)把f 1(x )的图象向右平移π4个单位长度得到f 2(x )的图象,求f 2(x )取得最大值时x 的取值.解:(1)由图知,T =π,于是ω=2πT =2.将y =A sin2x 的图象向左平移π12,得y =A sin(2x +φ)的图象,于是φ=2×π12=π6.将(0,1)代入y =A sin(2x +π6),得A =2.故f 1(x )=2sin(2x +π6).(2)依题意,f 2(x )=2sin[2(x -π4)+π6] =-2cos(2x +π6),当2x +π6=2k π+π(k ∈Z ),即x =k π+5π12(k ∈Z )时, y max =2.此时x 的取值为{x |x =k π+5π12,k ∈Z }. 21.(12分)已知函数f (x )=2sin(2x +π6)-1.(1)若点P (1,-3)在角α的终边上,求f (α2-π12)的值; (2)若x ∈[-π6,π3],求f (x )的值域.解:(1)因为点P (1,-3)在角α的终边上, 所以sin α=-32,cos α=12,所以f (α2-π12)=2sin[2×(α2-π12)+π6]-1 =2sin α-1=2×(-32)-1=-3-1. (2)令t =2x +π6,因为x ∈[-π6,π3],所以-π6≤2x +π6≤5π6,而y =sin t 在[-π6,π2]上单调递增, 在[π2,5π6]上单调递减, 且sin(-π6)=-12,sin 5π6=12,所以函数y =sin t 在[-π6,5π6]上的最大值为1, 最小值为-12,即-12≤sin(2x +π6)≤1, 所以f (x )的值域是[-2,1].22.(12分)已知函数f (x )=A sin(ωx +φ)+B (A >0,ω>0)的一系列对应值如下表:(1)(2)根据(1)的结果,若函数y =f (kx )(k >0)的最小正周期为2π3,当x ∈[0,π3]时,方程f (kx )=m 恰有两个不同的解,求实数m 的取值范围. 解:(1)设f (x )的最小正周期为T , 得T =11π6-(-π6)=2π, 由T =2πω,得ω=1.又⎩⎪⎨⎪⎧ B +A =3,B -A =-1.解得⎩⎪⎨⎪⎧A =2,B =1.令ω·5π6+φ=π2,即5π6+φ=π2,解得φ=-π3, ∴f (x )=2sin(x -π3)+1.(2)∵函数y =f (kx )=2sin(kx -π3)+1的最小正周期为2π3, 又k >0,∴k =3,令t =3x -π3, ∵x ∈[0,π3],∴t ∈[-π3,2π3],若sin t =s 在[-π3,2π3]上有两个不同的解, 则s ∈[32,1),∴方程f (kx )=m 在x ∈[0,π3]时恰好有两个不同的解,则m ∈[3+1,3),即实数m的取值范围是[3+1,3).1.如图,在⊙O 中,向量OB →,OC →,AO →是( ) A .有相同起点的向量 B .共线向量 C .模相等的向量 D .相等的向量解析:由题知OB →,OC →,AO →对应的有向线段都是圆的半径,因此它们的模相等.答案:C2.下列说法中正确的是( ) A .若|a |>|b |,则a >b B .若|a |=|b |,则a =b C .若a =b ,则a ∥bD .若a ≠b ,则a 与b 不是共线向量解析:向量不能比较大小,所以A 不正确;a =b 需满足两个条件:a ,b 同向且|a |=|b |,所以B 不正确,C 正确;a 与b 是共线向量只需方向相同或相反,所以D 不正确.答案:C3.设O 是正方形ABCD 的中心,则OA →,BO →,AC →,BD →中,模相等的向量是________.解析:∵四边形ABCD 为正方形,O 为正方形的中心, ∴OA =BO ,即|OA →|=|BO →|,|AC →|=|BD →|. 答案:OA →与BO →,AC →与BD →4.如图所示,四边形ABCD 和ABDE 都是平行四边形. (1)与向量ED →相等的向量为______;(2)若|AB →|=3,则向量EC →的模等于________. 解析:(1)在平行四边形ABCD 和ABDE 中, ∵AB →=ED →,AB →=DC →,∴ED →=DC →. (2)由(1)知ED →=DC →,∴E 、D 、C 三点共线,|EC →|=|ED →|+|DC →|=2|AB →|=6. 答案:(1)AB →、DC →(2)65.一个人从点A 出发沿东北方向走了100 m 到达点B ,然后改变方向,沿南偏东15°方向又走了100 m 到达点C .(1)画出AB →,BC →,CA →. (2)求|CA →|. 解:(1)如图所示. (2)|AB →|=100 m , |BC →|=100 m ,∠ABC =45°+15°=60°, 则△ABC 为正三角形. 故|CA →|=100 m.1.在四边形ABCD 中,AC →=AB →+AD →,则( ) A .ABCD 一定是矩形 B .ABCD 一定是菱形 C .ABCD 一定是正方形D .ABCD 一定是平行四边形解析:由AC →=AB →+AD →知由A ,B ,C ,D 构成的四边形一定是平行四边形.答案:D2.下列等式不成立的是( ) A .0+a =a B .a +b =b +a C.AB →+BA →=2BA →D.AB →+BC →=AC →解析:对于C ,∵AB →与BA →是相反向量, ∴AB →+BA →=0. 答案:C3.化简(AB →+MB →)+(BO →+BC →)+OM →=________.解析:原式=(AB →+BO → )+(OM →+MB → )+BC →=AO →+OB →+BC →=AB →+BC →=AC →.答案:AC →4.若a =“向北走8 km ”,b =“向东走8 km ”,则|a +b |=________;a +b 的方向是________.解析:由向量加法的平行四边形法则,知|a +b |=82,方向为东北方向.答案:8 2 km 东北方向5.在水流速度为4 3 km/h 的河中,要使船以12 km/h 的实际航速与河岸成直角行驶,求船在静水中的航行速度的大小和方向.解:设AB →表示水流的速度,AC →表示船的实际航行速度,如图,作出AB →,AC →,连接BC ,作AD 綊BC ,连接DC ,则AD →为所求船的静水航速,且AD →+AB →=AC →.∵|AB →|=43,|AC →|=12, tan ∠ACB =4312=33. ∴∠ACB =30°=∠CAD , |AD →|=|BC →|=83,∠BAD =120°.∴船在静水中的航行速度的大小为8 3 km/h ,方向与水流速度成120°角.1.下列等式: ①0-a =-a ②-(-a )=a ③a +(-a )=0 ④a +0=a ⑤a -b =a +(-b ) ⑥a +(-a )=0正确的个数是( )A .3B .4C .5D .6解析:根据向量的加减运算易知①②③④⑤均正确. 答案:C2.设AB →,BC →,AC →是三个非零向量,且AB →+BC →=AC →,则( ) A .线段AB ,BC ,AC 一定构成一个三角形 B .线段AB ,BC 一定共线 C .线段AB ,BC 一定平行D .线段AB ,BC ,AC 构成三角形或共线解析:由于三角形法则对于共线时也成立,因此线段AB ,BC ,AC 可以构成三角形,也可以共线,但线段AB ,BC 不可能平行.答案:D3.若向量a 与b 共线,且|a |=|b |=1,则|a -b |=________. 解析:∵a 与b 共线, ∴两向量同向或反向. 又|a |=|b |=1,∴|a -b |=0或2. 答案:0或24.化简:(1)(AD →-BM →)+(BC →-MC →)=________. (2)(PQ →-MO →)+(QO →-QM →)=________. 答案:(1)AD → (2)PQ →5.如图,在五边形ABCDE 中,若四边形ACDE 是平行四边形,且AB →=a ,AC →=b ,AE →=c ,试用a ,b ,c 表示向量BD →,BE →,CE →.解:∵四边形ACDE 为平行四边形, ∴CD →=AE →=c ,BC →=AC →-AB →=b -a . ∴BD →=BC →+CD →=b -a +c , BE →=AE →-AB →=c -a , CE →=AE →-AC →=c -b .1.在四边形ABCD 中,若AB →=-12CD →,则此四边形是( ) A .平行四边形 B .菱形 C .梯形D .矩形解析:由AB →=-12CD →可得,在四边形ABCD 中有AB ∥CD ,但|AB |≠|CD |,故为梯形.答案:C2.已知非零向量a ,b 满足a =λb ,b =λa (λ∈R ),则λ=( ) A .-1 B .±1 C .0D .0解析:∵a =λb ,b =λa ,∴a =λ2a ,∴λ±1.答案:B3.化简:2(a -2b )+3(13a +b )=________. 答案:3a -b4.若|a |=5,b 与a 的方向相反,且|b |=7,则a =________b . 解析:∵b 与a 方向相反,∴设a =λb (λ<0) ∴|a |=|λ||b |,∴5=|λ|×7,∴|λ|=57, ∴λ=±57,又λ<0,∴λ=-57. 答案:-57 5.如图,在梯形ABCD 中,AB ∥CD ,且AB =2CD ,M ,N 分别是DC 和AB 的中点,若AB →=a ,AD →=b ,试用a ,b 表示BC →和MN →.解:在四边形ANMD 中,有 MN →=MD →+DA →+AN → =-12DC →-AD →+12AB → =-AD →-12(12AB →)+12AB →=-AD →+14AB →=14a -b . 在四边形ABCD 中,有BC →=BA →+AD →+DC →=-AB →+AD →+12AB → =AD →-12AB →=b -12a .1.已知e 1,e 2是表示平面内所有向量的一组基底,那么下面四组向量中,不能作为一组基底的是( )A .e 1,e 1+e 2B .e 1-2e 2,e 2-2e 1C .e 1-2e 2,4e 2-2e 1D .e 1+e 2,e 1-e 2解析:因为4e 2-2e 1=-2(e 1-2e 2),从而e 1-2e 2与4e 2-2e 1共线.答案:C2.在△ABC 中,AB →=c ,AC →=b ,若点D 满足BD →=2DC →,以b 与c 作为基底,则AD →=( )A.23b +13cB.53c -23bC.23b -13cD.13b +23c解析:∵BD →=2DC →,∴AD →-AB →=2(AC →-AD →), ∴AD →-c =2(b -AD →),∴AD →=13c +23b . 答案:A。
人教版高中英语必修 4 各单元练习题 +答案Unit 2 Working the land单元测试一.单项选择( 30 题,共 15 分)1. If you blood _____ badly, your hands and feet will get cold easily.A. passesB. crossesC. circulatesD. circles 2. --- Shall I open thewindow to let some fresh air in?--- No, _____ A. I ’d rather not B. I ’d rather you notC. I ’d rather you didn’tD. I3. He got completely _____ when he sawA. confusingB. confusedC. confuse’d like not toboth Lucy and Lily,D. confuseswho are twin sisters.4. The professor referred to _____ yesterday.A. comeB. cameC. comingD. comes5. He insisted that he _____ from heart trouble, but I didn’t think so.A. should sufferB. has sufferedC. suffersD. was suffering6. It is generally considered unwise to give a child _____ he or she wants.A. howeverB. whateverC. whicheverD. whenever7 --- What happened to your shoes?--- They want _____。
必修4课后习题及答案【习题一】题目:请根据所学知识,简述牛顿第二定律的基本原理及其在日常生活中的应用。
要求:答案应包括牛顿第二定律的数学表达式,以及至少两个实际应用的例子。
答案:牛顿第二定律的基本原理是描述力和加速度之间的关系,其数学表达式为:\[ F = ma \],其中\( F \)代表作用在物体上的合力,\( m \)是物体的质量,\( a \)是物体的加速度。
这个定律表明,作用在物体上的合力等于物体质量与加速度的乘积,即力是改变物体运动状态的原因。
在日常生活中,牛顿第二定律的应用非常广泛。
例如:1. 汽车制动时,车辆受到的制动力越大,车辆的减速度就越大,从而能够更快地减速或停止。
2. 运动员投掷铅球时,施加在铅球上的力越大,铅球获得的加速度就越大,从而能够投掷得更远。
【习题二】题目:解释什么是化学反应的平衡状态,并给出一个化学反应达到平衡状态的例子。
要求:答案应包括平衡状态的定义,以及至少一个具体反应的例子。
答案:化学反应的平衡状态是指在一个封闭系统中,正反应和逆反应进行得同样快,反应物和生成物的浓度保持不变的状态。
在平衡状态下,虽然正逆反应仍在进行,但宏观上看不到任何变化。
例如,氮气和氢气合成氨的哈伯过程:\[ N_2(g) + 3H_2(g) \rightleftharpoons 2NH_3(g) \]在这个反应中,当氮气和氢气以一定的比例混合并在一定条件下反应时,会生成氨。
当反应达到平衡时,氮气、氢气和氨的浓度不再发生变化,反应速率相等,此时系统就达到了化学平衡状态。
【习题三】题目:请根据所学知识,解释电磁波的产生原理,并列举三种常见的电磁波。
要求:答案应包括电磁波产生的原理,以及三种电磁波的名称和应用。
答案:电磁波是由变化的电场和磁场相互作用产生的波动现象。
当电荷加速运动时,会在周围空间产生变化的电场,这个变化的电场又会产生变化的磁场,反之亦然。
这种电场和磁场交替变化并向外传播的过程,就形成了电磁波。
【全套精品】人教版高中语文必修4全册同步练习试题及答案人教版语文必修4同步练习及答案人教版语文必修4同步练习及答案目录1.1《窦娥冤》同步练习1.2《雷雨》同步练习1.3《哈姆雷特》同步练习2.4《柳永词两首》同步练习2.5《苏轼词二首》同步练习2.6《辛弃疾词两首》同步练习2.7《李清照词两首》同步练习3.10《短文三篇》同步练习3.8《拿来主义》同步练习3.9《父母与孩子之间的爱》同步练习4.11《廉颇蔺相如传》同步练习4.12《苏武传》同步练习4.13《张衡传》同步练习人教版语文必修4同步练习及答案窦娥冤?例题解析1(关汉卿被称为“元曲四大家”之一,另外“三家”的姓名分别是:________、________、________。
2(杂剧角色分为两大类:________、________,另外还有________等。
3(古代戏曲的语言包括________、________、________。
4(对文中“正宫”解释得正确的一项是[ ] A(词牌名,与“端正好”一样,它们都与音乐曲调有关。
B(曲牌名,与“滚绣球”一样,它们都与音乐曲调有关。
C(宫调名,与“一煞”等不同,它与演唱的内容有密切的关系,而与音乐无关。
D(宫调名,与“耍孩儿”等不同,宫调是用来表示音阶的高低的,而与内容无关。
5(最后写三桩誓愿,从创作手法上看,应该属于何种手法, ________6(阅读《窦娥冤》片段,然后按要求答题。
(刽子做喝科,云)兀那婆子靠后,时辰到了也。
(正旦跪科)(刽子开枷科)(正旦云)窦娥告监斩大人,有一事肯依窦娥,便死而无怨。
(监斩官云)你有什么事,你说。
(正旦云)要一领净席,等我窦娥站立,又要丈二白练,挂在旗枪上,若是我窦娥委实冤枉,刀过处头落,一腔热血休半点儿沾在地下,都飞在白练上者。
(监斩官云)这个就依你,打甚么不紧。
(刽子做取席站科,又取白练挂旗上科)(正旦唱)(1)选段中,“科”指________,主要用来________;“云”指________,主要用来________;“唱”指________,主要用来________。
必修4第一章单元测试
本试卷三角函数的大框架下,主要借助正弦函数和余弦函数这两种模型,从函数的定义域、值域、单调性、奇偶性,特别是新学习内容-----周期性出发,以这五个方面为主要内容而命制。
试卷中首先突出了弧度制的应用,函数状态下,弧度制的应用显然多于角度制,所以对这一学生较难接受的新概念,要在应用中体现其重要性。
其次,重基础,试卷加强了对知识形成过程的重视及拓宽。
优适当加强试题的灵活性。
第三,对数形结合的数学思想试题也比较突出。
第21题用单位圆可以做,用函数图像也可以做。
第四,体现了数学模型之间的互相转化。
反映出普遍联系的客观规律。
一、选择题:本答题共14小题,每小题5分,共70分。
在每小题给出的四个选项中,只有一项是符合题目要求的。
1.-300°化为弧度是 ( )
A.34π-
B.35π- C .32π- D .65π
-
2.为得到函数)32sin(π-=x y 的图象,只需将函数)6
2sin(π
+=x y 的图像( )
A .向左平移4π个单位长度
B .向右平移4π
个单位长度
C .向左平移2π个单位长度
D .向右平移2π
个单位长度
3.函数sin(2)3
y x π
=+图像的对称轴方程可能是( ) A .6
x π
=-
B .12
x π
=-
C .6
x π
=
D .12
x π
=
4.点A(x,y)是300°角终边上异于原点的一点,则x
y
值为( ) A.3 B. - 3 C.
33 D. -3
3
5. 函数)3
2sin(π
-=x y 的单调递增区间是( )
A .⎥⎦⎤⎢⎣⎡
+-125,12ππππk k Z k ∈ B .⎥⎦⎤⎢⎣
⎡
+-1252,122ππππk k Z k ∈
C .⎥⎦⎤⎢⎣⎡
+-65,6ππππk k Z k ∈ D .⎥⎦
⎤⎢⎣⎡
+-652,62ππππk k Z k ∈ 6.sin(-
3
10
π)的值等于( )
A .
21 B .-2
1
C .23
D .-
2
3
7.函数sin tan y x x =+的奇偶性是( )
A .奇函数
B .偶函数
C .既奇又偶函数
D .非奇非偶函数 8.下列各组角中,终边相同的角是 ( )
A .π2k 或()2k k Z π
π+∈
B . (21)k π+或(41)k π± )(Z k ∈
C .3
k π
π±
或k
()3
k Z π
∈ D .6
k π
π+
或()6
k k Z π
π±
∈
9.已知cos tan 0θθ⋅<,那么角θ是 ( )
A.第一或第二象限角 B.第二或第三象限角 C.第三或第四象限角 D.第一或第四象限角
10.为了得到函数2sin(),36
x y x R π
=+∈的图像,只需把函数2sin ,y x x R =∈的图像
上所有的点( )
A .向左平移6π个单位长度,再把所得各点的横坐标缩短到原来的3
1
倍(纵坐标不变) B .向右平移6π个单位长度,再把所得各点的横坐标缩短到原来的31
倍(纵坐标不变) C .向左平移6
π
个单位长度,再把所得各点的横坐标伸长到原来的3倍(纵坐标不变) D .向右平移6
π
个单位长度,再把所得各点的横坐标伸长到原来的3倍(纵坐标不变)
11.设函数()sin ()3f x x x π⎛
⎫=+∈ ⎪⎝
⎭R ,则()f x ( )
A .在区间2736ππ⎡⎤
⎢
⎥⎣⎦,上是增函数 B .在区间2π⎡
⎤
-π-⎢⎥⎣
⎦,
上是减函数 C .在区间84ππ⎡⎤
⎢⎥⎣⎦
,上是增函数
D .在区间536ππ⎡⎤
⎢⎥⎣⎦
,上是减函数
12.函数sin()(0,,)2
y A x x R π
ωϕωϕ=+><
∈的部分图象如图所示,则函数表达
A
.)48sin(4π+π-=x y B .)48sin(4π
-π=x y
C .)48sin(4π-π-=x y
D .)4
8sin(4π
+π=x y
13.函数sin(3)4
y x π
=-的图象是中心对称图形,其中它的一个对称中心是
( )
A .,012π⎛⎫-
⎪⎝⎭ B . 7,012π⎛⎫- ⎪⎝⎭ C . 7,012π⎛⎫ ⎪⎝⎭ D . 11,012π⎛⎫
⎪⎝⎭
14.已知()21cos cos f x x +=,则()f x 的图象是下图的 ( )
A B C D
第Ⅱ卷(非选择题 共90分)
二、填空题(每小题6分,共30分)
15.终边在坐标轴上的角的集合为_________.
16.时针走过1小时50分钟,则分钟转过的角度是______.
17. 已知扇形的周长等于它所在圆的周长的一半,则这个扇形的圆心角是________________.
18.已知角α的终边经过点P(-5,12),则sin α+2cos α的值为______.
19.一个扇形的周长是6厘米,该扇形的中心角是1弧度,该扇形的面积是________________.
三、解答题:本大题共4小题,共60分。
解答应写出文字说明及演算步骤.。
20.已知sin α是方程06752=--x x 的根,求2
33sin sin tan (2)22cos cos cot()22αππαπαππααπα⎛⎫⎛⎫--⋅-⋅- ⎪ ⎪⎝⎭⎝⎭⎛⎫⎛⎫
-⋅+⋅- ⎪ ⎪⎝⎭⎝⎭
的值.(14分) 21.求函数y=-x 2cos +x cos 3+
4
5
的最大值及最小值,并写出x 取何值时 函数有最大值和最小值。
(15分)
22.已知函数y=)sin(φω+x A (A >0,ω >0,πφ〈)的最小正周期为3
2π
,最小值为-2,图像过(
9
5π
,0),求该函数的解析式。
(15分)
答案解析:
二、填空题(每小题6分,共30分)
15.{α|}Z n n ∈=,2
π
α 16. -660° 17.rad )2(-π
18. 13
2
19. 2
三、解答题(共50分) 20.(本小题13分) 解:由sin α是方程06752=--x x 的根,可得
sin α=5
3
- 或sin α=2(舍)
原式=
)
cot ()sin (sin )tan ()23sin()23sin(
2αααααπ
απ-⨯-⨯-⨯-⨯+- =)
cot ()sin (sin tan )cos (cos 2αααα
αα-⨯-⨯⨯-⨯
=-tan α
由sin α=53
-可知α是第三象限或者第四象限角。
所以tan α=4
3
43-或
即所求式子的值为 4
3
±
21.(本小题13分)
解:令t=cosx, 则]1,1[t -∈所以函数解析式可化为:4
5
3y 2++-=t t =2)2
3(2
+-
-t 因为]1,1[-∈t , 所以由二次函数的图像可知: 当23=
t 时,函数有最大值为2,此时Z k k x ∈++=k 6
11262,或ππππ
当t=-1时,函数有最小值为34
1
-,此时Z k ∈+=k 2x ,ππ 22.(本小题14分)
解:32π函数的最小正周期为Θ , 3322===∴ωπ
ωπ即T --------3分
又2-函数的最小值为Θ, 2=∴A --------5分 所以函数解析式可写为)3sin(2y ϕ+=x
又因为函数图像过点(
95π,0),所以有:0)9
53(sin 2=+⨯ϕπ 解得35ππϕ-=k 3
23,π
πϕπϕ-=∴≤或Θ
所以,函数解析式为:)3
23sin(2y )33sin(2y π
π-=+=x x 或。