[全]高考高中数学必考公式定理全总结
- 格式:docx
- 大小:7.05 MB
- 文档页数:31
高考数学必备必考公式大全一、集合1.并集的运算A∪B={x|x∈A,或x∈B}2. 并集的运算性质(1) A∪A=A(2)A∪∅=A(3)A∪B=B∪A(4) A∪B=A⇔B⊆A3. 交集的运算A∩B={x|x∈A,且x∈B}4. 交集的运算性质(1)A∩A=A(2)A∩∅=∅(3)A∩B=B∩A(4)A∩B=A⇔A⊆B5. 补集的运算∁U A={x|x∈U,且x∉A}6. 补集的运算性质(1) ∁U (∁U A)=A(2) ∁U U=∅,∁U∅=U(3)A∪(∁U A)=U,A∩(∁U A)=∅(4) ∁U (A∩B)=( ∁U A)∪(∁U B), ∁U (A∪B)=( ∁U A)∩(∁U B)二、函数与导数公式1. 有理数指数幂的运算性质(1)a r a s=a r+s(a>0,r,s∈Q)(2)=a r-s(a>0,r,s∈Q)(3)(a r)s=a rs(a>0,r,s∈Q)(4)(ab)r=a r b r(a>0,b>0,r∈Q)2.对数运算公式(1)对数的运算性质如果a>0,且a≠1,M>0,N>0,那么:log a(M·N)=log a M+log a N;log a=log a M-log a N;log a M n=n log a M(n∈R)(2)对数恒等式a log aN =N(a>0,且a≠1,N>0)(3)对数运算的换底公式log a b=(a>0,且a≠1;c>0,且c≠1;b>0)(4)换底公式的变形log a b·log b a=1,即log a b=lo b n=log a blog N M==(5)换底公式的推广log a b·log b c·log c d=log a d3.求导公式及运算法则(1)基本初等函数的导数公式a.若f(x)=c(c为常数),则f'(x)=0.b.若f(x)=x n(n∈Q*),则f'(x)=nx n-1.c.若f(x)=sin x,则f'(x)=cos x.d.若f(x)=cos x,则f'(x)=-sin x.e.若f(x)=a x,则f'(x)=a x ln a.f.若f(x)=e x,则f'(x)=e x.g.若f(x)=log a x,则f'(x)=.h.若f(x)=ln x,则f'(x)=.(2)导数运算法则a.[f(x)±g(x)]'=f'(x)±g'(x)b.[f(x)·g(x)]'=f'(x)g(x)+f(x)g'(x)c.[]'=(g(x)≠0)(3)复合函数的导数(理)设y=f(u),u=φ(x),则y'x=y'u u'x或记作f '[φ(x)]=f '(u)φ'(x).特别地,[f (ax +b )] '=a f' (ax+b).4.定积分的运算性质(理)(1)b a ⎰kf (x )d x=k b a ⎰f (x )d x (k 为常数)(2) b a ⎰[f (x )±g (x )]d x=b a ⎰f (x )d x±b a ⎰g (x )d x (3)b a ⎰f (x )d x=-a b ⎰f (x )d x(4)c a ⎰f (x )d x=b a ⎰f (x )d x+cb ⎰f (x )d x (a<b<c )三、三角函数1. 同角关系:(1)平方关系:sin 2α+cos 2α=1.(2)商的关系:=tan α(α≠+k π,k ∈Z ). 2. 诱导公式:奇变偶不变,符号看象限。
高中数学必考公式全总结(超详细)高中数学必考公式全总结(超详细)1. 代数基础- 求根公式:$x=\frac{-b\pm\sqrt{b^2-4ac}}{2a}$- 平方差公式:$(a+b)^2=a^2+2ab+b^2, (a-b)^2=a^2-2ab+b^2$- 完全平方公式:$a^2-b^2=(a+b)(a-b), a^3-b^3=(a-b)(a^{n-1}+...+b^{n-1})$ 二次函数相关 - 标准形式:$y=ax²+bx+c(a≠0)$- 顶点坐标: $(-\frac{b}{(2a)},-\frac{\Delta}{4a})$- 对称轴: $x=-\dfrac b {2a}$- 判别式:$ \Delta=b²-4ac $当$\Delta>0$,有两个实根;当$\Delta=0$,有一个重根;当$\Delta<0$,无实根。
三角函数相关正弦定理:$\dfrac{sinA}{AB}=\dfrac{sinB}{BC}=\dfrac{sinC}{AC}=k(k为常数)$余弦定理:$cosA=\dfrac {b²+c²-a²} {2bc}, cosB=…, cosC=…$正切定义:tan A = $\dfrac {\textup{o}} {\textup{邻}},tan B = …,tan C = …$ 导数与微分导数定义:$\lim_{h→0}\dfrac{(f(x+h)-f(x))}{h}$ 或者$f'(x)=lim_{Δx→0}\dfrac{\vartriangle y }{\vartriangle x}(或\dif f(x))$常见导函数:$(e^{ax})'=ae^{ax},(\ln x)'=\dfrac1{x},(log_ax)'=\dfrac1{xln a},(sin x)'=cos x,(cos x)'=-sin x,(tan x)'=sec ^ 2x,(cotan x)′=-csc ^2x,$等。
高中高考数学公式大全1.代数公式- 二次方程根公式:若ax^2+bx+c=0 (a≠0),则 x=(-b±√(b^2-4ac))/(2a)。
-二次三项全解公式:若知二次三项完全分解为(x-a)(x-b)(x-c)=0,则x=a,b,c。
- 余弦和公式:cos(A±B)=cosAcosB∓sinAsinB。
- 余弦差公式:cos(A-B)=cosAcosB+sinAsinB。
- 正弦和公式:sin(A±B) = sinAcosB±cosAsinB。
- 正弦差公式:sin(A-B) = sinAcosB-cosAsinB。
- 二项式定理:(a+b)^n = C(n,0)a^n b^0+C(n,1)a^(n-1)b+C(n,2)a^n^(n-2)b^2+…+C(n,n)na^0 b^n。
2.几何公式-长方形面积公式:面积=长×宽。
-正方形面积公式:面积=边长×边长。
-圆面积公式:面积=πr^2-平行四边形面积公式:面积=底边×高。
-梯形面积公式:面积=(上底+下底)×高÷2-三角形面积公式:面积=底边×高÷2- 三角形余弦定理:c^2 = a^2 + b^2 - 2abcosC。
- 三角形正弦定理:sinA/a = sinB/b = sinC/c。
- 三角形正弦面积公式:面积 = (1/2)abSinC。
-三角形内切圆半径公式:r=面积/半周长。
3.数列和数列项公式-等差数列通项公式:an = a1 + (n-1)d。
-等差数列前n项和公式:Sn = (n/2)(a1 + an)。
-等差数列等差公式:dn = an+1 - an。
-等差数列求和公式:Sn=(2a1+(n-1)d)n/2-等比数列通项公式:an = a1 * q^(n-1)。
-等比数列前n项和公式:Sn=a1(1-q^n)/(1-q)。
高中数学公式大全(最全面,最详细)高中数学公式大全抛物线:y = ax *+ bx + c就是y等于ax 的平方加上bx再加上ca > 0时开口向上a < 0时开口向下c = 0时抛物线经过原点b = 0时抛物线对称轴为y轴还有顶点式y = a(x+h)* + k就是y等于a乘以(x+h)的平方+k-h是顶点坐标的xk是顶点坐标的y一般用于求最大值与最小值抛物线标准方程:y^2=2px它表示抛物线的焦点在x的正半轴上,焦点坐标为(p/2,0) 准线方程为x=-p/2由于抛物线的焦点可在任意半轴,故共有标准方程y^2=2px y^2=-2px x^2=2py x^2=-2py圆:体积=4/3(pi)(r^3)面积=(pi)(r^2)周长=2(pi)r圆的标准方程(x-a)2+(y-b)2=r2 注:(a,b)是圆心坐标圆的一般方程x2+y2+Dx+Ey+F=0 注:D2+E2-4F>0(一)椭圆周长计算公式椭圆周长公式:L=2πb+4(a-b)椭圆周长定理:椭圆的周长等于该椭圆短半轴长为半径的圆周长(2πb)加上四倍的该椭圆长半轴长(a)与短半轴长(b)的差。
(二)椭圆面积计算公式椭圆面积公式:S=πab椭圆面积定理:椭圆的面积等于圆周率(π)乘该椭圆长半轴长(a)与短半轴长(b)的乘积。
以上椭圆周长、面积公式中虽然没有出现椭圆周率T,但这两个公式都是通过椭圆周率T推导演变而来。
常数为体,公式为用。
椭圆形物体体积计算公式椭圆的长半径*短半径*PAI*高三角函数:两角和公式sin(A+B)=sinAcosB+cosAsinB sin(A-B)=sinAcosB-sinBcosAcos(A+B)=cosAcosB-sinAsinB cos(A-B)=cosAcosB+sinAsinBtan(A+B)=(tanA+tanB)/(1-tanAtanB) tan(A-B)=(tanA-tanB)/(1+tanAtanB)cot(A+B)=(cotAcotB-1)/(cotB+cotA) cot(A-B)=(cotAcotB+1)/(cotB-cotA)倍角公式tan2A=2tanA/(1-tan2A) cot2A=(cot2A-1)/2cotacos2a=cos2a-sin2a=2cos2a-1=1-2sin2asinα+sin(α+2π/n)+sin(α+2π*2/n)+sin(α+2π*3/n)+……+sin[α+2π*(n-1)/n]=0cosα+cos(α+2π/n)+cos(α+2π*2/n)+cos(α+2π*3/n)+……+cos[α+2π*(n-1)/n]=0 以及sin^2(α)+sin^2(α-2π/3)+sin^2(α+2π/3)=3/2tanAtanBtan(A+B)+tanA+tanB-tan(A+B)=0四倍角公式:sin4A=-4*(cosA*sinA*(2*sinA^2-1))cos4A=1+(-8*cosA^2+8*cosA^4)tan4A=(4*tanA-4*tanA^3)/(1-6*tanA^2+tanA^4)五倍角公式:sin5A=16sinA^5-20sinA^3+5sinAcos5A=16cosA^5-20cosA^3+5cosAtan5A=tanA*(5-10*tanA^2+tanA^4)/(1-10*tanA^2+5*tanA^4)六倍角公式:sin6A=2*(cosA*sinA*(2*sinA+1)*(2*sinA-1)*(-3+4*sinA^2))cos6A=((-1+2*cosA^2)*(16*cosA^4-16*cosA^2+1))tan6A=(-6*tanA+20*tanA^3-6*tanA^5)/(-1+15*tanA^2-15*tanA^4+tanA^6)七倍角公式:sin7A=-(sinA*(56*sinA^2-112*sinA^4-7+64*sinA^6))cos7A=(cosA*(56*cosA^2-112*cosA^4+64*cosA^6-7))tan7A=tanA*(-7+35*tanA^2-21*tanA^4+tanA^6)/(-1+21*tanA^2-35*tanA^4+7*tanA^6)八倍角公式:sin8A=-8*(cosA*sinA*(2*sinA^2-1)*(-8*sinA^2+8*sinA^4+1))cos8A=1+(160*cosA^4-256*cosA^6+128*cosA^8-32*cosA^2)tan8A=-8*tanA*(-1+7*tanA^2-7*tanA^4+tanA^6)/(1-28*tanA^2+70*tanA^4-28*tanA^6+tanA^8)九倍角公式:sin9A=(sinA*(-3+4*sinA^2)*(64*sinA^6-96*sinA^4+36*sinA^2-3))cos9A=(cosA*(-3+4*cosA^2)*(64*cosA^6-96*cosA^4+36*cosA^2-3))tan9A=tanA*(9-84*tanA^2+126*tanA^4-36*tanA^6+tanA^8)/(1-36*tanA^2+126*tanA^4-84*tanA^6+9*tanA^8) 十倍角公式:sin10A=2*(cosA*sinA*(4*sinA^2+2*sinA-1)*(4*sinA^2-2*sinA-1)*(-20*sinA^2+5+16*sinA^4))cos10A=((-1+2*cosA^2)*(256*cosA^8-512*cosA^6+304*cosA^4-48*cosA^2+1))tan10A=-2*tanA*(5-60*tanA^2+126*tanA^4-60*tanA^6+5*tanA^8)/(-1+45*tanA^2-210*tanA^4+210*tanA^6-45*tanA^8+ta nA^10)·万能公式:sinα=2tan(α/2)/[1+tan^2(α/2)]cosα=[1-tan^2(α/2)]/[1+tan^2(α/2)]tanα=2tan(α/2)/[1-tan^2(α/2)]半角公式sin(A/2)=√((1-cosA)/2) sin(A/2)=-√((1-cosA)/2)cos(A/2)=√((1+cosA)/2) cos(A/2)=-√((1+cosA)/2)tan(A/2)=√((1-cosA)/((1+cosA)) tan(A/2)=-√((1-cosA)/((1+cosA))cot(A/2)=√((1+cosA)/((1-cosA)) cot(A/2)=-√((1+cosA)/((1-cosA))和差化积2sinAcosB=sin(A+B)+sin(A-B) 2cosAsinB=sin(A+B)-sin(A-B)2cosAcosB=cos(A+B)-sin(A-B) -2sinAsinB=cos(A+B)-cos(A-B)sinA+sinB=2sin((A+B)/2)cos((A-B)/2 cosA+cosB=2cos((A+B)/2)sin((A-B)/2)tanA+tanB=sin(A+B)/cosAcosB tanA-tanB=sin(A-B)/cosAcosBcotA+cotBsin(A+B)/sinAsinB -cotA+cotBsin(A+B)/sinAsinB某些数列前n项和1+2+3+4+5+6+7+8+9+…+n=n(n+1)/2 1+3+5+7+9+11+13+15+…+(2n-1)=n22+4+6+8+10+12+14+…+(2n)=n(n+1) 1^2+2^2+3^2+4^2+5^2+6^2+7^2+8^2+…+n^2=n(n+1)(2n+1)/61^3+2^3+3^3+4^3+5^3+6^3+…n^3=(n(n+1)/2)^2 1*2+2*3+3*4+4*5+5*6+6*7+…+n(n+1)=n(n+1)(n+2)/3正弦定理a/sinA=b/sinB=c/sinC=2R 注:其中R 表示三角形的外接圆半径余弦定理b2=a2+c2-2accosB 注:角B是边a和边c的夹角乘法与因式分a2-b2=(a+b)(a-b) a3+b3=(a+b)(a2-ab+b2) a3-b3=(a-b(a2+ab+b2)三角不等式|a+b|≤|a|+|b| |a-b|≤|a|+|b| |a|≤b<=>-b≤a≤b|a-b|≥|a|-|b| -|a|≤a≤|a|一元二次方程的解-b+√(b2-4ac)/2a -b-√(b2-4ac)/2a根与系数的关系x1+x2=-b/a x1*x2=c/a 注:韦达定理判别式b2-4a=0 注:方程有相等的两实根b2-4ac>0 注:方程有两个不相等的个实根b2-4ac<0 注:方程有共轭复数根公式分类公式表达式圆的标准方程(x-a)2+(y-b)2=r2 注:(a,b)是圆心坐标圆的一般方程x2+y2+Dx+Ey+F=0 注:D2+E2-4F>0抛物线标准方程y2=2px y2=-2px x2=2py x2=-2py直棱柱侧面积S=c*h 斜棱柱侧面积S=c'*h正棱锥侧面积S=1/2c*h' 正棱台侧面积S=1/2(c+c')h'圆台侧面积S=1/2(c+c')l=pi(R+r)l 球的表面积S=4pi*r2圆柱侧面积S=c*h=2pi*h 圆锥侧面积S=1/2*c*l=pi*r*l弧长公式l=a*r a是圆心角的弧度数r >0 扇形面积公式s=1/2*l*r锥体体积公式V=1/3*S*H 圆锥体体积公式V=1/3*pi*r2h斜棱柱体积V=S'L 注:其中,S'是直截面面积,L是侧棱长柱体体积公式V=s*h 圆柱体V=pi*r2h图形周长面积体积公式长方形的周长=(长+宽)×2正方形的周长=边长×4长方形的面积=长×宽正方形的面积=边长×边长三角形的面积已知三角形底a,高h,则S=ah/2已知三角形三边a,b,c,半周长p,则S=√[p(p - a)(p - b)(p - c)] (海伦公式)(p=(a+b+c)/2)和:(a+b+c)*(a+b-c)*1/4已知三角形两边a,b,这两边夹角C,则S=absinC/2设三角形三边分别为a、b、c,内切圆半径为r则三角形面积=(a+b+c)r/2设三角形三边分别为a、b、c,外接圆半径为r则三角形面积=abc/4r已知三角形三边a、b、c,则S=√{1/4[c^2a^2-((c^2+a^2-b^2)/2)^2]} (“三斜求积” 南宋秦九韶)| a b 1 |S△=1/2 * | c d 1 || e f 1 |【| a b 1 || c d 1 | 为三阶行列式,此三角形ABC在平面直角坐标系内A(a,b),B(c,d), C(e,f),这里ABC| e f 1 |选区取最好按逆时针顺序从右上角开始取,因为这样取得出的结果一般都为正值,如果不按这个规则取,可能会得到负值,但不要紧,只要取绝对值就可以了,不会影响三角形面积的大小!】秦九韶三角形中线面积公式:S=√[(Ma+Mb+Mc)*(Mb+Mc-Ma)*(Mc+Ma-Mb)*(Ma+Mb-Mc)]/3其中Ma,Mb,Mc为三角形的中线长.平行四边形的面积=底×高梯形的面积=(上底+下底)×高÷2直径=半径×2 半径=直径÷2圆的周长=圆周率×直径=圆周率×半径×2圆的面积=圆周率×半径×半径长方体的表面积=(长×宽+长×高+宽×高)×2长方体的体积=长×宽×高正方体的表面积=棱长×棱长×6正方体的体积=棱长×棱长×棱长圆柱的侧面积=底面圆的周长×高圆柱的表面积=上下底面面积+侧面积圆柱的体积=底面积×高圆锥的体积=底面积×高÷3长方体(正方体、圆柱体)的体积=底面积×高平面图形名称符号周长C和面积S正方形a—边长C=4aS=a2长方形a和b-边长C=2(a+b)S=ab三角形a,b,c-三边长h-a边上的高s-周长的一半A,B,C-内角其中s=(a+b+c)/2 S=ah/2=ab/2?sinC=[s(s-a)(s-b)(s-c)]1/2=a2sinBsinC/(2sinA)1 过两点有且只有一条直线2 两点之间线段最短3 同角或等角的补角相等4 同角或等角的余角相等5 过一点有且只有一条直线和已知直线垂直6 直线外一点与直线上各点连接的所有线段中,垂线段最短7 平行公理经过直线外一点,有且只有一条直线与这条直线平行8 如果两条直线都和第三条直线平行,这两条直线也互相平行9 同位角相等,两直线平行10 内错角相等,两直线平行11 同旁内角互补,两直线平行12两直线平行,同位角相等13 两直线平行,内错角相等14 两直线平行,同旁内角互补15 定理三角形两边的和大于第三边16 推论三角形两边的差小于第三边17 三角形内角和定理三角形三个内角的和等于180°18 推论1 直角三角形的两个锐角互余19 推论2 三角形的一个外角等于和它不相邻的两个内角的和20 推论3 三角形的一个外角大于任何一个和它不相邻的内角21 全等三角形的对应边、对应角相等22边角边公理(sas) 有两边和它们的夹角对应相等的两个三角形全等23 角边角公理( asa)有两角和它们的夹边对应相等的两个三角形全等24 推论(aas) 有两角和其中一角的对边对应相等的两个三角形全等25 边边边公理(sss) 有三边对应相等的两个三角形全等26 斜边、直角边公理(hl) 有斜边和一条直角边对应相等的两个直角三角形全等27 定理1 在角的平分线上的点到这个角的两边的距离相等28 定理2 到一个角的两边的距离相同的点,在这个角的平分线上29 角的平分线是到角的两边距离相等的所有点的集合30 等腰三角形的性质定理等腰三角形的两个底角相等(即等边对等角)31 推论1 等腰三角形顶角的平分线平分底边并且垂直于底边32 等腰三角形的顶角平分线、底边上的中线和底边上的高互相重合33 推论3 等边三角形的各角都相等,并且每一个角都等于60°34 等腰三角形的判定定理如果一个三角形有两个角相等,那么这两个角所对的边也相等(等角对等边)35 推论1 三个角都相等的三角形是等边三角形36 推论2 有一个角等于60°的等腰三角形是等边三角形37 在直角三角形中,如果一个锐角等于30°那么它所对的直角边等于斜边的一半38 直角三角形斜边上的中线等于斜边上的一半39 定理线段垂直平分线上的点和这条线段两个端点的距离相等40 逆定理和一条线段两个端点距离相等的点,在这条线段的垂直平分线上41 线段的垂直平分线可看作和线段两端点距离相等的所有点的集合42 定理1 关于某条直线对称的两个图形是全等形43 定理2 如果两个图形关于某直线对称,那么对称轴是对应点连线的垂直平分线44定理3 两个图形关于某直线对称,如果它们的对应线段或延长线相交,那么交点在对称轴上45逆定理如果两个图形的对应点连线被同一条直线垂直平分,那么这两个图形关于这条直线对称46勾股定理直角三角形两直角边a、b的平方和、等于斜边c的平方,即a^2+b^2=c^247勾股定理的逆定理如果三角形的三边长a、b、c有关系a^2+b^2=c^2 ,那么这个三角形是直角三角形48定理四边形的内角和等于360°49四边形的外角和等于360°50多边形内角和定理n边形的内角的和等于(n-2)×180°51推论任意多边的外角和等于360°52平行四边形性质定理1 平行四边形的对角相等53平行四边形性质定理2 平行四边形的对边相等54推论夹在两条平行线间的平行线段相等55平行四边形性质定理3 平行四边形的对角线互相平分56平行四边形判定定理1 两组对角分别相等的四边形是平行四边形57平行四边形判定定理2 两组对边分别相等的四边形是平行四边形58平行四边形判定定理3 对角线互相平分的四边形是平行四边形59平行四边形判定定理4 一组对边平行相等的四边形是平行四边形60矩形性质定理1 矩形的四个角都是直角61矩形性质定理2 矩形的对角线相等62矩形判定定理1 有三个角是直角的四边形是矩形63矩形判定定理2 对角线相等的平行四边形是矩形64菱形性质定理1 菱形的四条边都相等65菱形性质定理2 菱形的对角线互相垂直,并且每一条对角线平分一组对角66菱形面积=对角线乘积的一半,即s=(a×b)÷267菱形判定定理1 四边都相等的四边形是菱形68菱形判定定理2 对角线互相垂直的平行四边形是菱形69正方形性质定理1 正方形的四个角都是直角,四条边都相等70正方形性质定理2正方形的两条对角线相等,并且互相垂直平分,每条对角线平分一组对角71定理1 关于中心对称的两个图形是全等的72定理2 关于中心对称的两个图形,对称点连线都经过对称中心,并且被对称中心平分73逆定理如果两个图形的对应点连线都经过某一点,并且被这一点平分,那么这两个图形关于这一点对称74等腰梯形性质定理等腰梯形在同一底上的两个角相等75等腰梯形的两条对角线相等76等腰梯形判定定理在同一底上的两个角相等的梯形是等腰梯形77对角线相等的梯形是等腰梯形78平行线等分线段定理如果一组平行线在一条直线上截得的线段相等,那么在其他直线上截得的线段也相等79 推论1 经过梯形一腰的中点与底平行的直线,必平分另一腰80 推论2 经过三角形一边的中点与另一边平行的直线,必平分第三边81 三角形中位线定理三角形的中位线平行于第三边,并且等于它的一半82 梯形中位线定理梯形的中位线平行于两底,并且等于两底和的一半l=(a+b)÷2 s=l×h83 (1)比例的基本性质如果a:b=c:d,那么ad=bc 如果ad=bc,那么a:b=c:d84 (2)合比性质如果a/b=c/d,那么(a±b)/b=(c±d)/d85 (3)等比性质如果a/b=c/d=…=m/n(b+d+…+n≠0),那么(a+c+…+m)/(b+d+…+n)=a/b86 平行线分线段成比例定理三条平行线截两条直线,所得的对应线段成比例87 推论平行于三角形一边的直线截其他两边(或两边的延长线),所得的对应线段成比例88 定理如果一条直线截三角形的两边(或两边的延长线)所得的对应线段成比例,那么这条直线平行于三角形的第三边89 平行于三角形的一边,并且和其他两边相交的直线,所截得的三角形的三边与原三角形三边对应成比例90 定理平行于三角形一边的直线和其他两边(或两边的延长线)相交,所构成的三角形与原三角形相似91 相似三角形判定定理1 两角对应相等,两三角形相似(asa)92 直角三角形被斜边上的高分成的两个直角三角形和原三角形相似93 判定定理2 两边对应成比例且夹角相等,两三角形相似(sas)94 判定定理3 三边对应成比例,两三角形相似(sss)95 定理如果一个直角三角形的斜边和一条直角边与另一个直角三角形的斜边和一条直角边对应成比例,那么这两个直角三角形相似96 性质定理1 相似三角形对应高的比,对应中线的比与对应角平分线的比都等于相似比97 性质定理2 相似三角形周长的比等于相似比98 性质定理3 相似三角形面积的比等于相似比的平方99 任意锐角的正弦值等于它的余角的余弦值,任意锐角的余弦值等于它的余角的正弦值100任意锐角的正切值等于它的余角的余切值,任意锐角的余切值等于它的余角的正切值101圆是定点的距离等于定长的点的集合102圆的内部可以看作是圆心的距离小于半径的点的集合103圆的外部可以看作是圆心的距离大于半径的点的集合104同圆或等圆的半径相等105到定点的距离等于定长的点的轨迹,是以定点为圆心,定长为半径的圆106和已知线段两个端点的距离相等的点的轨迹,是着条线段的垂直平分线107到已知角的两边距离相等的点的轨迹,是这个角的平分线108到两条平行线距离相等的点的轨迹,是和这两条平行线平行且距离相等的一条直线109定理不在同一直线上的三点确定一个圆。
高中数学定理公式大全高中数学是数学学科的一部分,主要包括数学分析和数学推理两个方面。
数学分析是研究数学对象和数学对象之间的关系、性质和变化规律的学科,而数学推理是运用数学知识进行问题求解和推理的学科。
高中数学的学习过程中有许多重要的定理和公式,下面是一些高中数学常见的定理和公式的介绍。
1.二项式定理:对于任意实数a,b和正整数n,成立(a+b)^n=C(n,0)*a^n*b^0+C(n,1)*a^(n-1)*b^1+...+C(n,n)*a^0*b^n,其中C(n,k)表示组合数,即从n个不同元素中取出k个元素的方法的数量。
2. 一次函数的斜率公式:对于一次函数y = mx + c,其中m表示斜率,c表示截距,斜率m可以通过任意两个点(x1, y1)和(x2, y2)来求得,m = (y2 - y1) / (x2 - x1)。
3. 三角函数的基本关系式:sin^2θ + cos^2θ = 1,1 + tan^2θ= sec^2θ,1 + cot^2θ = csc^2θ。
4.三角函数的和差公式:sin(A ± B) = sin(A) * cos(B) ± cos(A) * sin(B)cos(A ± B) = cos(A) * cos(B) ∓ sin(A) * sin(B)tan(A ± B) = (tan(A) ± tan(B)) / (1 ∓ tan(A) * tan(B))5. 余弦定理:对于任意三角形ABC,设a、b、c分别表示边BC、AC、AB的长度,A、B、C分别表示∠BAC、∠ABC、∠BCA的大小,则有c^2 =a^2 + b^2 - 2ab * cos(C)。
6. 正弦定理:对于任意三角形ABC,设a、b、c分别表示边BC、AC、AB的长度,A、B、C分别表示∠BAC、∠ABC、∠BCA的大小,则有a /sin(A) = b / sin(B) = c / sin(C)。
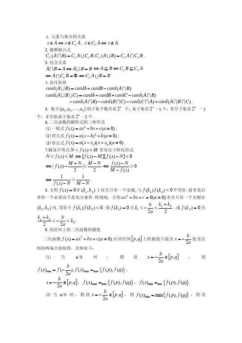
1. 元素与集合的关系U x A x C A ∈⇔∉,U x C A x A ∈⇔∉. 2.德摩根公式();()U U U U U U C A B C A C B C A B C A C B ==.3.包含关系A B A A B B =⇔=U U A B C B C A ⇔⊆⇔⊆ U A C B ⇔=ΦU C A B R ⇔=4.容斥原理()()card A B cardA cardB card A B =+-()()card A B C cardA cardB cardC card A B =++-()()()()card A B card B C card C A card A B C ---+.5.集合12{,,,}n a a a 的子集个数共有2n 个;真子集有2n –1个;非空子集有2n–1个;非空的真子集有2n–2个.6.二次函数的解析式的三种形式(1)一般式2()(0)f x ax bx c a =++≠; (2)顶点式2()()(0)f x a x h k a =-+≠; (3)零点式12()()()(0)f x a x x x x a =--≠. 7.解连不等式()N f x M <<常有以下转化形式()N f x M <<⇔[()][()]0f x M f x N --<⇔|()|22M N M Nf x +--<⇔()0()f x N M f x ->- ⇔11()f x N M N>--. 8.方程0)(=x f 在),(21k k 上有且只有一个实根,与0)()(21<k f k f 不等价,前者是后者的一个必要而不是充分条件.特别地, 方程)0(02≠=++a c bx ax 有且只有一个实根在),(21k k 内,等价于0)()(21<k f k f ,或0)(1=k f 且22211k k a bk +<-<,或0)(2=k f 且22122k abk k <-<+. 9.闭区间上的二次函数的最值二次函数)0()(2≠++=a c bx ax x f 在闭区间[]q p ,上的最值只能在abx 2-=处及区间的两端点处取得,具体如下:(1)当a>0时,假设[]q p abx ,2∈-=,则{}min max max ()(),()(),()2bf x f f x f p f q a=-=; []q p abx ,2∉-=,{}max max ()(),()f x f p f q =,{}min min ()(),()f x f p f q =. (2)当a<0时,假设[]q p abx ,2∈-=,则{}min ()min (),()f x f p f q =,假设[]q p abx ,2∉-=,则{}max ()max (),()f x f p f q =,{}min ()min (),()f x f p f q =. 10.一元二次方程的实根分布依据:假设()()0f m f n <,则方程0)(=x f 在区间(,)m n 内至少有一个实根 . 设q px x x f ++=2)(,则〔1〕方程0)(=x f 在区间),(+∞m 内有根的充要条件为0)(=m f 或2402p q p m ⎧-≥⎪⎨->⎪⎩;〔2〕方程0)(=x f 在区间(,)m n 内有根的充要条件为()()0f m f n <或2()0()0402f m f n p q p m n >⎧⎪>⎪⎪⎨-≥⎪⎪<-<⎪⎩或()0()0f m af n =⎧⎨>⎩或()0()0f n af m =⎧⎨>⎩; 〔3〕方程0)(=x f 在区间(,)n -∞内有根的充要条件为()0f m <或2402p q p m ⎧-≥⎪⎨-<⎪⎩ .11.定区间上含参数的二次不等式恒成立的条件依据(1)在给定区间),(+∞-∞的子区间L 〔形如[]βα,,(]β,∞-,[)+∞,α不同〕上含参数的二次不等式(,)0f x t ≥(t 为参数)恒成立的充要条件是min (,)0()f x t x L ≥∉.(2)在给定区间),(+∞-∞的子区间上含参数的二次不等式(,)0f x t ≥(t 为参数)恒成立的充要条件是(,)0()man f x t x L ≤∉.(3)0)(24>++=c bx ax x f 恒成立的充要条件是000a b c ≥⎧⎪≥⎨⎪>⎩或2040a b ac <⎧⎨-<⎩.12.13.14.四种命题的相互关系15.充要条件〔1〕充分条件:假设p q ⇒,则p 是q 充分条件.〔2〕必要条件:假设q p ⇒,则p 是q 必要条件.〔3〕充要条件:假设p q ⇒,且q p ⇒,则p 是q 充要条件.注:如果甲是乙的充分条件,则乙是甲的必要条件;反之亦然. 16.函数的单调性(1)设[]2121,,x x b a x x ≠∈⋅那么[]1212()()()0x x f x f x -->⇔[]b a x f x x x f x f ,)(0)()(2121在⇔>--上是增函数;[]1212()()()0x x f x f x --<⇔[]b a x f x x x f x f ,)(0)()(2121在⇔<--上是减函数. (2)设函数)(x f y =在某个区间内可导,如果0)(>'x f ,则)(x f 为增函数;如果0)(<'x f ,则)(x f 为减函数.17.如果函数)(x f 和)(x g 都是减函数,则在公共定义域内,和函数)()(x g x f +也是减函数; 如果函数)(u f y =和)(x g u =在其对应的定义域上都是减函数,则复合函数)]([x g f y =是增函数.18.奇偶函数的图象特征奇函数的图象关于原点对称,偶函数的图象关于y 轴对称;反过来,如果一个函数的图象关于原点对称,那么这个函数是奇函数;如果一个函数的图象关于y 轴对称,那么这个函数是偶函数.19.假设函数)(x f y =是偶函数,则)()(a x f a x f --=+;假设函数)(a x f y +=是偶函数,则)()(a x f a x f +-=+.20.对于函数)(x f y =(R x ∈),)()(x b f a x f -=+恒成立,则函数)(x f 的对称轴是函数2b a x +=;两个函数)(a x f y +=与)(x b f y -= 的图象关于直线2ba x +=对称. 21.假设)()(a x f x f +--=,则函数)(x f y =的图象关于点)0,2(a对称; 假设)()(a x f x f +-=,则函数)(x f y =为周期为a 2的周期函数.22.多项式函数110()n n n n P x a x a x a --=+++的奇偶性多项式函数()P x 是奇函数⇔()P x 的偶次项(即奇数项)的系数全为零. 多项式函数()P x 是偶函数⇔()P x 的奇次项(即偶数项)的系数全为零. 23.函数()y f x =的图象的对称性(1)函数()y f x =的图象关于直线x a =对称()()f a x f a x ⇔+=-(2)()f a x f x ⇔-=.(2)函数()y f x =的图象关于直线2a bx +=对称()()f a mx f b mx ⇔+=- ()()f a b mx f mx ⇔+-=.24.两个函数图象的对称性(1)函数()y f x =与函数()y f x =-的图象关于直线0x =(即y 轴)对称. (2)函数()y f mx a =-与函数()y f b mx =-的图象关于直线2a bx m+=对称. (3)函数)(x f y =和)(1x fy -=的图象关于直线y=x 对称.25.假设将函数)(x f y =的图象右移a 、上移b 个单位,得到函数b a x f y +-=)(的图象;假设将曲线0),(=y x f 的图象右移a 、上移b 个单位,得到曲线0),(=--b y a x f 的图象.26.互为反函数的两个函数的关系a b f b a f =⇔=-)()(1.27.假设函数)(b kx f y +=存在反函数,则其反函数为])([11b x f ky -=-,并不是)([1b kx fy +=-,而函数)([1b kx fy +=-是])([1b x f ky -=的反函数. 28.几个常见的函数方程(1)正比例函数()f x cx =,()()(),(1)f x y f x f y f c +=+=.(2)指数函数()xf x a =,()()(),(1)0f x y f x f y f a +==≠.(3)对数函数()log a f x x =,()()(),()1(0,1)f xy f x f y f a a a =+=>≠.(4)幂函数()f x x α=,'()()(),(1)f xy f x f y f α==.(5)余弦函数()cos f x x =,正弦函数()sin g x x =,()()()()()f x y f x f y g x g y -=+,()(0)1,lim1x g x f x→==. 29.几个函数方程的周期(约定a>0)〔1〕)()(a x f x f +=,则)(x f 的周期T=a ; 〔2〕0)()(=+=a x f x f ,或)0)(()(1)(≠=+x f x f a x f , 或1()()f x a f x +=-(()0)f x ≠,或[]1(),(()0,1)2f x a f x +=+∈,则)(x f 的周期T=2a ; (3))0)(()(11)(≠+-=x f a x f x f ,则)(x f 的周期T=3a ; (4))()(1)()()(212121x f x f x f x f x x f -+=+且1212()1(()()1,0||2)f a f x f x x x a =⋅≠<-<,则)(x f 的周期T=4a ;(5)()()(2)(3)(4)f x f x a f x a f x a f x a +++++++()()(2)(3)(4)f x f x a f x a f x a f x a =++++,则)(x f 的周期T=5a ; (6))()()(a x f x f a x f +-=+,则)(x f 的周期T=6a.30.分数指数幂(1)m na =〔0,,a m n N *>∈,且1n >〕. (2)1m nm naa-=〔0,,a m n N *>∈,且1n >〕.31.根式的性质〔1〕na =.〔2〕当na =; 当n,0||,0a a a a a ≥⎧==⎨-<⎩.32.有理指数幂的运算性质 (1) (0,,)rsr sa a aa r s Q +⋅=>∈.(2) ()(0,,)r s rs a a a r s Q =>∈. (3)()(0,0,)rr rab a b a b r Q =>>∈.注: 假设a >0,p 是一个无理数,则a p 表示一个确定的实数.上述有理指数幂的运算性质,对于无理数指数幂都适用.33.指数式与对数式的互化式log b a N b a N =⇔=(0,1,0)a a N >≠>.34.对数的换底公式log log log m a m NN a=(0a >,且1a ≠,0m >,且1m ≠, 0N >).推论 log log m na a nb b m =(0a >,且1a >,,0m n >,且1m ≠,1n ≠, 0N >).35.对数的四则运算法则假设a >0,a ≠1,M >0,N >0,则 (1)log ()log log a a a MN M N =+;(2) log log log aa a MM N N =-; (3)log log ()na a M n M n R =∈.36.设函数)0)((log )(2≠++=a c bx ax x f m ,记ac b 42-=∆.假设)(x f 的定义域为R ,则0>a ,且0<∆;假设)(x f 的值域为R ,则0>a ,且0≥∆.对于0=a 的情形,需要单独检验.37. 对数换底不等式及其推广 假设0a >,0b >,0x >,1x a≠,则函数log ()ax y bx = (1)当a b >时,在1(0,)a 和1(,)a +∞上log ()ax y bx =为增函数., (2)当a b <时,在1(0,)a 和1(,)a+∞上log ()ax y bx =为减函数. 推论:设1n m >>,0p >,0a >,且1a ≠,则 〔1〕log ()log m p m n p n ++<.〔2〕2log log log 2a a am nm n +<. 38. 平均增长率的问题如果原来产值的基础数为N ,平均增长率为p ,则对于时间x 的总产值y ,有(1)x y N p =+.39.数列的同项公式与前n 项的和的关系11,1,2n n n s n a s s n -=⎧=⎨-≥⎩( 数列{}n a 的前n 项的和为12n n s a a a =+++).40.等差数列的通项公式*11(1)()n a a n d dn a d n N =+-=+-∈;其前n 项和公式为1()2n n n a a s +=1(1)2n n na d -=+ 211()22d n a d n =+-. 41.等比数列的通项公式1*11()n nn a a a q q n N q-==⋅∈; 其前n 项的和公式为11(1),11,1n n a q q s q na q ⎧-≠⎪=-⎨⎪=⎩或11,11,1n n a a qq q s na q -⎧≠⎪-=⎨⎪=⎩.42.等比差数列{}n a :11,(0)n n a qa d a b q +=+=≠的通项公式为1(1),1(),11n n n b n d q a bq d b q d q q -+-=⎧⎪=+--⎨≠⎪-⎩;其前n 项和公式为(1),(1)1(),(1)111n n nb n n d q s d q db n q q q q +-=⎧⎪=-⎨-+≠⎪---⎩. 43.分期付款(按揭贷款)每次还款(1)(1)1nnab b x b +=+-元(贷款a 元,n 次还清,每期利率为b ). 44.常见三角不等式 〔1〕假设(0,)2x π∈,则sin tan x x x <<.(2) 假设(0,)2x π∈,则1sin cos x x <+≤(3) |sin ||cos |1x x +≥.45.同角三角函数的基本关系式22sin cos 1θθ+=,tan θ=θθcos sin ,tan 1cot θθ⋅=. 46.正弦、余弦的诱导公式212(1)sin ,sin()2(1)s ,nn n co απαα-⎧-⎪+=⎨⎪-⎩212(1)s ,s()2(1)sin ,nn co n co απαα+⎧-⎪+=⎨⎪-⎩47.和角与差角公式sin()sin cos cos sin αβαβαβ±=±;cos()cos cos sin sin αβαβαβ±=;tan tan tan()1tan tan αβαβαβ±±=.22sin()sin()sin sin αβαβαβ+-=-(平方正弦公式); 22cos()cos()cos sin αβαβαβ+-=-.sin cos a b αα+=)αϕ+(辅助角ϕ所在象限由点(,)a b 的象限决定,tan baϕ= ).48.二倍角公式sin 2sin cos ααα=.2222cos 2cos sin 2cos 112sin ααααα=-=-=-.22tan tan 21tan ααα=-. 49. 三倍角公式3sin 33sin 4sin 4sin sin()sin()33ππθθθθθθ=-=-+.3cos34cos 3cos 4cos cos()cos()33ππθθθθθθ=-=-+.323tan tan tan 3tan tan()tan()13tan 33θθππθθθθθ-==-+-.50.三角函数的周期公式函数sin()y x ωϕ=+,x ∈R 及函数cos()y x ωϕ=+,x ∈R(A,ω,ϕ为常数,且A ≠0,ω>0)的周期2T πω=;函数tan()y x ωϕ=+,,2x k k Z ππ≠+∈(A,ω,ϕ为常数,且A≠0,ω>0)的周期T πω=.51.正弦定理2sin sin sin a b cR A B C===. 52.余弦定理2222cos a b c bc A =+-; 2222cos b c a ca B =+-; 2222cos c a b ab C =+-.53.面积定理〔1〕111222a b c S ah bh ch ===〔a b c h h h 、、分别表示a 、b 、c 边上的高〕. 〔2〕111sin sin sin 222S ab C bc A ca B ===.(3)22(||||)()OAB S OA OB OA OB ∆=⋅-⋅.54.三角形内角和定理在△ABC 中,有()A B C C A B ππ++=⇔=-+222C A Bπ+⇔=-222()C A B π⇔=-+. 55. 简单的三角方程的通解sin (1)arcsin (,||1)kx a x k a k Z a π=⇔=+-∈≤. s 2arccos (,||1)co x a x k a k Z a π=⇔=±∈≤.tan arctan (,)x a x k a k Z a R π=⇒=+∈∈.特别地,有sin sin (1)()k k k Z αβαπβ=⇔=+-∈.s cos 2()co k k Z αβαπβ=⇔=±∈.tan tan ()k k Z αβαπβ=⇒=+∈.56.最简单的三角不等式及其解集sin (||1)(2arcsin ,2arcsin ),x a a x k a k a k Z πππ>≤⇔∈++-∈.sin (||1)(2arcsin ,2arcsin ),x a a x k a k a k Z πππ<≤⇔∈--+∈. cos (||1)(2arccos ,2arccos ),x a a x k a k a k Z ππ>≤⇔∈-+∈.cos (||1)(2arccos ,22arccos ),x a a x k a k a k Z πππ<≤⇔∈++-∈.tan ()(arctan ,),2x a a R x k a k k Z πππ>∈⇒∈++∈.tan ()(,arctan ),2x a a R x k k a k Z πππ<∈⇒∈-+∈.57.实数与向量的积的运算律 设λ、μ为实数,那么(1) 结合律:λ(μa )=(λμ)a ; (2)第一分配律:(λ+μ)a =λa +μa; (3)第二分配律:λ(a +b )=λa +λb . 58.向量的数量积的运算律: (1) a ·b= b ·a 〔交换律〕; (2)〔λa 〕·b= λ〔a ·b 〕=λa ·b = a ·〔λb 〕; (3)〔a +b 〕·c= a ·c +b ·c. 59.平面向量基本定理如果e 1、e 2是同一平面内的两个不共线向量,那么对于这一平面内的任一向量,有且只有一对实数λ1、λ2,使得a=λ1e 1+λ2e 2.不共线的向量e 1、e 2叫做表示这一平面内所有向量的一组基底. 60.向量平行的坐标表示设a =11(,)x y ,b =22(,)x y ,且b ≠0,则a b(b ≠0)12210x y x y ⇔-=. 53. a 与b 的数量积(或内积) a ·b =|a ||b |cos θ. 61. a ·b 的几何意义数量积a ·b 等于a 的长度|a |与b 在a 的方向上的投影|b |cos θ的乘积. 62.平面向量的坐标运算(1)设a =11(,)x y ,b =22(,)x y ,则a+b=1212(,)x x y y ++.(2)设a =11(,)x y ,b =22(,)x y ,则a-b=1212(,)x x y y --. (3)设A 11(,)x y ,B 22(,)x y ,则2121(,)AB OB OA x x y y =-=--.(4)设a =(,),x y R λ∈,则λa=(,)x y λλ.(5)设a =11(,)x y ,b =22(,)x y ,则a ·b=1212()x x y y +. 63.两向量的夹角公式cos θ=(a =11(,)x y ,b =22(,)x y ).64.平面两点间的距离公式 ,A B d=||AB AB AB =⋅=11(,)x y ,B 22(,)x y ).65.向量的平行与垂直设a =11(,)x y ,b =22(,)x y ,且b ≠0,则 A ||b ⇔b =λa 12210x y x y ⇔-=. a ⊥b(a ≠0)⇔a ·b=012120x x y y ⇔+=. 66.线段的定比分公式设111(,)P x y ,222(,)P x y ,(,)P x y 是线段12P P 的分点,λ是实数,且12PP PP λ=,则121211x x x y y y λλλλ+⎧=⎪⎪+⎨+⎪=⎪+⎩⇔121OP OP OP λλ+=+ ⇔12(1)OP tOP t OP =+-〔11t λ=+〕. 67.三角形的重心坐标公式△ABC 三个顶点的坐标分别为11A(x ,y )、22B(x ,y )、33C(x ,y ),则△ABC 的重心的坐标是123123(,)33x x x y y y G ++++. 68.点的平移公式''''x x h x x h y y k y y k⎧⎧=+=-⎪⎪⇔⎨⎨=+=-⎪⎪⎩⎩''OP OP PP ⇔=+ . 注:图形F 上的任意一点P(x ,y)在平移后图形'F 上的对应点为'''(,)P x y ,且'PP 的坐标为(,)h k .69.“按向量平移”的几个结论〔1〕点(,)P x y 按向量a =(,)h k 平移后得到点'(,)P x h y k ++.(2) 函数()y f x =的图象C 按向量a =(,)h k 平移后得到图象'C ,则'C 的函数解析式为()y f x h k =-+.(3) 图象'C 按向量a =(,)h k 平移后得到图象C ,假设C 的解析式()y f x =,则'C 的函数解析式为()y f x h k =+-.(4)曲线C :(,)0f x y =按向量a =(,)h k 平移后得到图象'C ,则'C 的方程为(,)0f x h y k --=.(5) 向量m =(,)x y 按向量a =(,)h k 平移后得到的向量仍然为m =(,)x y .70. 三角形五“心”向量形式的充要条件设O 为ABC ∆所在平面上一点,角,,A B C 所对边长分别为,,a b c ,则 〔1〕O 为ABC ∆的外心222OA OB OC ⇔==. 〔2〕O 为ABC ∆的重心0OA OB OC ⇔++=.〔3〕O 为ABC ∆的垂心OA OB OB OC OC OA ⇔⋅=⋅=⋅. 〔4〕O 为ABC ∆的内心0aOA bOB cOC ⇔++=. 〔5〕O 为ABC ∆的A ∠的旁心aOA bOB cOC ⇔=+. 71.常用不等式:〔1〕,a b R ∈⇒222a b ab +≥(当且仅当a =b 时取“=”号).〔2〕,a b R +∈⇒2a b+≥(当且仅当a =b 时取“=”号). 〔3〕3333(0,0,0).a b c abc a b c ++≥>>>〔4〕柯西不等式22222()()(),,,,.a b c d ac bd a b c d R ++≥+∈〔5〕b a b a b a +≤+≤-. 72.极值定理已知y x ,都是正数,则有〔1〕假设积xy 是定值p ,则当y x =时和y x +有最小值p 2; 〔2〕假设和y x +是定值s ,则当y x =时积xy 有最大值241s . 推广 已知R y x ∈,,则有xy y x y x 2)()(22+-=+ 〔1〕假设积xy 是定值,则当||y x -最大时,||y x +最大; 当||y x -最小时,||y x +最小.〔2〕假设和||y x +是定值,则当||y x -最大时, ||xy 最小; 当||y x -最小时, ||xy 最大.73.一元二次不等式20(0)ax bx c ++><或2(0,40)a b ac ≠∆=->,如果a 与2ax bx c ++同号,则其解集在两根之外;如果a 与2ax bx c ++异号,则其解集在两根之间.简言之:同号两根之外,异号两根之间.121212()()0()x x x x x x x x x <<⇔--<<; 121212,()()0()x x x x x x x x x x <>⇔--><或.74.含有绝对值的不等式 当a> 0时,有22x a x a a x a <⇔<⇔-<<.22x a x a x a >⇔>⇔>或x a <-.75.无理不等式 〔1()0()0()()f x g x f x g x ≥⎧⎪>⇔≥⎨⎪>⎩. 〔22()0()0()()0()0()[()]f x f x g x g x g x f x g x ≥⎧≥⎧⎪>⇔≥⎨⎨<⎩⎪>⎩或. 〔32()0()()0()[()]f x g x g x f x g x ≥⎧⎪<⇔>⎨⎪<⎩. 76.指数不等式与对数不等式 (1)当1a >时,()()()()f x g x a a f x g x >⇔>;()0log ()log ()()0()()a a f x f x g x g x f x g x >⎧⎪>⇔>⎨⎪>⎩.(2)当01a <<时,()()()()f x g x a a f x g x >⇔<;()0log ()log ()()0()()a a f x f x g x g x f x g x >⎧⎪>⇔>⎨⎪<⎩77.斜率公式2121y y k x x -=-〔111(,)P x y 、222(,)P x y 〕.78.直线的五种方程〔1〕点斜式 11()y y k x x -=- (直线l 过点111(,)P x y ,且斜率为k ). 〔2〕斜截式 y kx b =+(b 为直线l 在y 轴上的截距).〔3〕两点式112121y y x x y y x x --=--(12y y ≠)(111(,)P x y 、222(,)P x y (12x x ≠)).(4)截距式 1x ya b+=(a b 、分别为直线的横、纵截距,0a b ≠、)〔5〕一般式 0Ax By C ++=(其中A 、B 不同时为0).79.两条直线的平行和垂直(1)假设111:l y k x b =+,222:l y k x b =+ ①121212||,l l k k b b ⇔=≠; ②12121l l k k ⊥⇔=-.(2)假设1111:0l A x B y C ++=,2222:0l A x B y C ++=,且A 1、A 2、B 1、B 2都不为零, ①11112222||A B C l l A B C ⇔=≠;②1212120l l A A B B ⊥⇔+=; 80.夹角公式 (1)2121tan ||1k k k k α-=+.(111:l y k x b =+,222:l y k x b =+,121k k ≠-)(2)12211212tan ||A B A B A A B B α-=+.(1111:0l A x B y C ++=,2222:0l A x B y C ++=,12120A A B B +≠).直线12l l ⊥时,直线l 1与l 2的夹角是2π. 81. 1l 到2l 的角公式 (1)2121tan 1k k k k α-=+.(111:l y k x b =+,222:l y k x b =+,121k k ≠-)(2)12211212tan A B A B A A B B α-=+.(1111:0l A x B y C ++=,2222:0l A x B y C ++=,12120A A B B +≠).直线12l l ⊥时,直线l 1到l 2的角是2π. 82.四种常用直线系方程(1)定点直线系方程:经过定点000(,)P x y 的直线系方程为00()y y k x x -=-(除直线0x x =),其中k 是待定的系数; 经过定点000(,)P x y 的直线系方程为00()()0A x x B y y -+-=,其中,A B 是待定的系数.(2)共点直线系方程:经过两直线1111:0l A x B y C ++=,2222:0l A x B y C ++=的交点的直线系方程为111222()()0A x B y C A x B y C λ+++++=(除2l ),其中λ是待定的系数.(3)平行直线系方程:直线y kx b =+中当斜率k 一定而b 变动时,表示平行直线系方程.与直线0Ax By C ++=平行的直线系方程是0Ax By λ++=(0λ≠),λ是参变量.(4)垂直直线系方程:与直线0Ax By C ++= (A ≠0,B ≠0)垂直的直线系方程是0Bx Ay λ-+=,λ是参变量.83.点到直线的距离d =(点00(,)P x y ,直线l :0Ax By C ++=).84. 0Ax By C ++>或0<所表示的平面区域设直线:0l Ax By C ++=,则0Ax By C ++>或0<所表示的平面区域是:假设0B ≠,当B 与Ax By C ++同号时,表示直线l 的上方的区域;当B 与Ax By C ++异号时,表示直线l 的下方的区域.简言之,同号在上,异号在下.假设0B =,当A 与Ax By C ++同号时,表示直线l 的右方的区域;当A 与Ax By C ++异号时,表示直线l 的左方的区域. 简言之,同号在右,异号在左.85. 111222()()0A x B y C A x B y C ++++>或0<所表示的平面区域 设曲线111222:()()0C A x B y C A x B y C ++++=〔12120A A B B ≠〕,则111222()()0A x B y C A x B y C ++++>或0<所表示的平面区域是: 111222()()0A x B y C A x B y C ++++>所表示的平面区域上下两部分; 111222()()0A x B y C A x B y C ++++<所表示的平面区域上下两部分.86. 圆的四种方程〔1〕圆的标准方程 222()()x a y b r -+-=.〔2〕圆的一般方程 220x y Dx Ey F ++++=(224D E F +->0).〔3〕圆的参数方程 cos sin x a r y b r θθ=+⎧⎨=+⎩.〔4〕圆的直径式方程 1212()()()()0x x x x y y y y --+--=(圆的直径的端点是11(,)A x y 、22(,)B x y ).87. 圆系方程(1)过点11(,)A x y ,22(,)B x y 的圆系方程是1212112112()()()()[()()()()]0x x x x y y y y x x y y y y x x λ--+--+-----= 1212()()()()()0x x x x y y y y ax by c λ⇔--+--+++=,其中0ax by c ++=是直线AB 的方程,λ是待定的系数.(2)过直线l :0Ax By C ++=与圆C :220x y Dx Ey F ++++=的交点的圆系方程是22()0x y Dx Ey F Ax By C λ+++++++=,λ是待定的系数.(3) 过圆1C :221110x y D x E y F ++++=与圆2C :222220x y D x E y F ++++=的交点的圆系方程是2222111222()0x y D x E y F x y D x E y F λ+++++++++=,λ是待定的系数.88.点与圆的位置关系点00(,)P x y 与圆222)()(r b y a x =-+-的位置关系有三种假设d =d r >⇔点P 在圆外;d r =⇔点P 在圆上;d r <⇔点P 在圆内.89.直线与圆的位置关系直线0=++C By Ax 与圆222)()(r b y a x =-+-的位置关系有三种:0<∆⇔⇔>相离r d ; 0=∆⇔⇔=相切r d ; 0>∆⇔⇔<相交r d .其中22BA C Bb Aa d +++=.90.两圆位置关系的判定方法设两圆圆心分别为O 1,O 2,半径分别为r 1,r 2,d O O =21条公切线外离421⇔⇔+>r r d ; 条公切线外切321⇔⇔+=r r d ;条公切线相交22121⇔⇔+<<-r r d r r ; 条公切线内切121⇔⇔-=r r d ; 无公切线内含⇔⇔-<<210r r d .91.圆的切线方程(1)已知圆220x y Dx Ey F ++++=.①假设已知切点00(,)x y 在圆上,则切线只有一条,其方程是0000()()022D x xE y y x x y yF ++++++=. 当00(,)x y 圆外时, 0000()()022D x xE y y x x y yF ++++++=表示过两个切点的切点弦方程.②过圆外一点的切线方程可设为00()y y k x x -=-,再利用相切条件求k ,这时必有两条切线,注意不要漏掉平行于y 轴的切线.③斜率为k 的切线方程可设为y kx b =+,再利用相切条件求b ,必有两条切线.(2)已知圆222x y r +=.①过圆上的000(,)P x y 点的切线方程为200x x y y r +=;②斜率为k 的圆的切线方程为y kx =±.92.椭圆22221(0)x y a b a b +=>>的参数方程是cos sin x a y b θθ=⎧⎨=⎩.93.椭圆22221(0)x y a b a b+=>>焦半径公式)(21c a x e PF +=,)(22x ca e PF -=.94.椭圆的的内外部〔1〕点00(,)P x y 在椭圆22221(0)x y a b a b +=>>的内部2200221x y a b ⇔+<. 〔2〕点00(,)P x y 在椭圆22221(0)x y a b a b+=>>的外部2200221x y a b ⇔+>. 95. 椭圆的切线方程(1)椭圆22221(0)x y a b a b +=>>上一点00(,)P x y 处的切线方程是00221x x y ya b +=.〔2〕过椭圆22221(0)x y a b a b+=>>外一点00(,)P x y 所引两条切线的切点弦方程是00221x x y ya b+=. 〔3〕椭圆22221(0)x y a b a b+=>>与直线0Ax By C ++=相切的条件是22222A a B b c +=.96.双曲线22221(0,0)x y a b a b -=>>的焦半径公式21|()|a PF e x c =+,22|()|a PF e x c=-.97.双曲线的内外部(1)点00(,)P x y 在双曲线22221(0,0)x y a b a b -=>>的内部2200221x y a b ⇔->. (2)点00(,)P x y 在双曲线22221(0,0)x y a b a b -=>>的外部2200221x y a b⇔-<.98.双曲线的方程与渐近线方程的关系(1〕假设双曲线方程为12222=-b y a x ⇒渐近线方程:22220x y a b -=⇔x aby ±=.(2)假设渐近线方程为x aby ±=⇔0=±b y a x ⇒双曲线可设为λ=-2222b y a x .(3)假设双曲线与12222=-by a x 有公共渐近线,可设为λ=-2222b y a x 〔0>λ,焦点在x轴上,0<λ,焦点在y 轴上〕.99. 双曲线的切线方程(1)双曲线22221(0,0)x y a b a b -=>>上一点00(,)P x y 处的切线方程是00221x x y ya b -=.〔2〕过双曲线22221(0,0)x y a b a b-=>>外一点00(,)P x y 所引两条切线的切点弦方程是00221x x y ya b-=. 〔3〕双曲线22221(0,0)x y a b a b-=>>与直线0Ax By C ++=相切的条件是22222A a B b c -=.100. 抛物线px y 22=的焦半径公式抛物线22(0)y px p =>焦半径02p CF x =+.过焦点弦长p x x px p x CD ++=+++=212122.101.抛物线px y 22=上的动点可设为P ),2(2 y py 或或)2,2(2pt pt P P (,)x y ,其中22y px =.102.二次函数2224()24b ac b y ax bx c a x a a-=++=++(0)a ≠的图象是抛物线:〔1〕顶点坐标为24(,)24b ac b a a --;〔2〕焦点的坐标为241(,)24b ac b a a-+-;〔3〕准线方程是2414ac b y a--=.103.抛物线的内外部(1)点00(,)P x y 在抛物线22(0)y px p =>的内部22(0)y px p ⇔<>. 点00(,)P x y 在抛物线22(0)y px p =>的外部22(0)y px p ⇔>>. (2)点00(,)P x y 在抛物线22(0)y px p =->的内部22(0)y px p ⇔<->. 点00(,)P x y 在抛物线22(0)y px p =->的外部22(0)y px p ⇔>->. (3)点00(,)P x y 在抛物线22(0)x py p =>的内部22(0)x py p ⇔<>. 点00(,)P x y 在抛物线22(0)x py p =>的外部22(0)x py p ⇔>>. (4) 点00(,)P x y 在抛物线22(0)x py p =>的内部22(0)x py p ⇔<>. 点00(,)P x y 在抛物线22(0)x py p =->的外部22(0)x py p ⇔>->.104. 抛物线的切线方程(1)抛物线px y 22=上一点00(,)P x y 处的切线方程是00()y y p x x =+.〔2〕过抛物线px y 22=外一点00(,)P x y 所引两条切线的切点弦方程是00()y y p x x =+.〔3〕抛物线22(0)y px p =>与直线0Ax By C ++=相切的条件是22pB AC =.105.两个常见的曲线系方程(1)过曲线1(,)0f x y =,2(,)0f x y =的交点的曲线系方程是12(,)(,)0f x y f x y λ+=(λ为参数).(2)共焦点的有心圆锥曲线系方程22221x y a k b k+=--,其中22max{,}k a b <.当22min{,}k a b >时,表示椭圆; 当2222min{,}max{,}a b k a b <<时,表示双曲线.106.直线与圆锥曲线相交的弦长公式 AB =1212||||AB x x y y ==-=-〔弦端点A ),(),,(2211y xB y x ,由方程⎩⎨⎧=+=0)y ,x (F b kx y 消去y 得到02=++c bx ax ,0∆>,α为直线AB 的倾斜角,k 为直线的斜率〕.107.圆锥曲线的两类对称问题〔1〕曲线(,)0F x y =关于点00(,)P x y 成中心对称的曲线是00(2-,2)0F x x y y -=. 〔2〕曲线(,)0F x y =关于直线0Ax By C ++=成轴对称的曲线是22222()2()(,)0A Ax By C B Ax By C F x y A B A B++++--=++. 108.“四线”一方程对于一般的二次曲线220Ax Bxy Cy Dx Ey F +++++=,用0x x 代2x ,用0y y 代2y ,用002x y xy +代xy ,用02x x +代x ,用02y y+代y 即得方程 0000000222x y xy x x y yAx x B Cy y D E F ++++⋅++⋅+⋅+=,曲线的切线,切点弦,中点弦,弦中点方程均是此方程得到.109.证明直线与直线的平行的思考途径 〔1〕转化为判定共面二直线无交点; 〔2〕转化为二直线同与第三条直线平行; 〔3〕转化为线面平行; 〔4〕转化为线面垂直; 〔5〕转化为面面平行.110.证明直线与平面的平行的思考途径 〔1〕转化为直线与平面无公共点; 〔2〕转化为线线平行; 〔3〕转化为面面平行.111.证明平面与平面平行的思考途径 〔1〕转化为判定二平面无公共点; 〔2〕转化为线面平行; 〔3〕转化为线面垂直.112.证明直线与直线的垂直的思考途径 〔1〕转化为相交垂直; 〔2〕转化为线面垂直;〔3〕转化为线与另一线的射影垂直; 〔4〕转化为线与形成射影的斜线垂直. 113.证明直线与平面垂直的思考途径〔1〕转化为该直线与平面内任一直线垂直; 〔2〕转化为该直线与平面内相交二直线垂直; 〔3〕转化为该直线与平面的一条垂线平行; 〔4〕转化为该直线垂直于另一个平行平面; 〔5〕转化为该直线与两个垂直平面的交线垂直. 114.证明平面与平面的垂直的思考途径 〔1〕转化为判断二面角是直二面角; 〔2〕转化为线面垂直.115.空间向量的加法与数乘向量运算的运算律 (1)加法交换律:a +b =b +a .(2)加法结合律:(a +b )+c =a +(b +c ). (3)数乘分配律:λ(a +b )=λa +λb .116.平面向量加法的平行四边形法则向空间的推广 始点相同且不在同一个平面内的三个向量之和,等于以这三个向量为棱的平行六面体的以公共始点为始点的对角线所表示的向量.117.共线向量定理对空间任意两个向量a 、b (b ≠0 ),a ∥b ⇔存在实数λ使a =λb .P A B 、、三点共线⇔||AP AB ⇔AP t AB =⇔(1)OP t OA tOB =-+.||AB CD ⇔AB 、CD 共线且AB CD 、不共线⇔AB tCD =且AB CD 、不共线.118.共面向量定理向量p 与两个不共线的向量a 、b 共面的⇔存在实数对,x y ,使p ax by =+. 推论 空间一点P 位于平面MAB 内的⇔存在有序实数对,x y ,使MP xMA yMB =+, 或对空间任一定点O ,有序实数对,x y ,使OP OM xMA yMB =++.119.对空间任一点O 和不共线的三点A 、B 、C ,满足OP xOA yOB zOC =++〔x y z k ++=〕,则当1k =时,对于空间任一点O ,总有P 、A 、B 、C 四点共面;当1k ≠时,假设O ∈平面ABC ,则P 、A 、B 、C 四点共面;假设O ∉平面ABC ,则P 、A 、B 、C 四点不共面.C A B 、、、D 四点共面⇔AD 与AB 、AC 共面⇔AD x AB y AC =+⇔(1)OD x y OA xOB yOC =--++〔O ∉平面ABC 〕.120.空间向量基本定理如果三个向量a 、b 、c 不共面,那么对空间任一向量p ,存在一个唯一的有序实数组x ,y ,z ,使p =x a +y b +z c .推论 设O 、A 、B 、C 是不共面的四点,则对空间任一点P ,都存在唯一的三个有序实数x ,y ,z ,使OP xOA yOB zOC =++.121.射影公式已知向量AB =a 和轴l ,e 是l 上与l 同方向的单位向量.作A 点在l 上的射影'A ,作B 点在l 上的射影'B ,则''||cos A B AB =〈a ,e 〉=a ·e122.向量的直角坐标运算设a =123(,,)a a a ,b =123(,,)b b b 则 (1)a +b =112233(,,)a b a b a b +++; (2)a -b =112233(,,)a b a b a b ---;(3)λa =123(,,)a a a λλλ (λ∈R); (4)a ·b =112233a b a b a b ++; 123.设A 111(,,)x y z ,B 222(,,)x y z ,则AB OB OA =-= 212121(,,)x x y y z z ---.124.空间的线线平行或垂直设111(,,)a x y z =,222(,,)b x y z =,则a b ⇔(0)a b b λ=≠⇔121212x x y y z zλλλ=⎧⎪=⎨⎪=⎩;a b ⊥⇔0a b ⋅=⇔1212120x x y y z z ++=.125.夹角公式设a =123(,,)a a a ,b =123(,,)b b b ,则 cos 〈a ,b 〉.推论 2222222112233123123()()()a b a b a b a a a b b b ++≤++++,此即三维柯西不等式.126. 四面体的对棱所成的角四面体ABCD 中, AC 与BD 所成的角为θ,则2222|()()|cos 2AB CD BC DA AC BDθ+-+=⋅.127.异面直线所成角cos |cos ,|a b θ==21||||||a b a b x ⋅=⋅+〔其中θ〔090θ<≤〕为异面直线a b ,所成角,,a b 分别表示异面直线a b ,的方向向量〕128.直线AB 与平面所成角sin||||AB marc AB m β⋅=(m 为平面α的法向量).129.假设ABC ∆所在平面假设β与过假设AB 的平面α成的角θ,另两边AC ,BC 与平面α成的角分别是1θ、2θ,A B 、为ABC ∆的两个内角,则2222212sin sin (sin sin )sin A B θθθ+=+.特别地,当90ACB ∠=时,有22212sin sin sin θθθ+=.130.假设ABC ∆所在平面假设β与过假设AB 的平面α成的角θ,另两边AC ,BC 与平面α成的角分别是1θ、2θ,''A B 、为ABO ∆的两个内角,则222'2'212tan tan (sin sin )tan A B θθθ+=+.特别地,当90AOB ∠=时,有22212sin sin sin θθθ+=. 131.二面角l αβ--的平面角cos||||m n arc m n θ⋅=或cos ||||m narc m n π⋅-〔m ,n 为平面α,β的法向量〕.132.三余弦定理设AC 是α内的任一条直线,且BC ⊥AC ,垂足为C ,又设AO 与AB 所成的角为1θ,AB 与AC 所成的角为2θ,AO 与AC 所成的角为θ.则12cos cos cos θθθ=.133. 三射线定理假设夹在平面角为ϕ的二面角间的线段与二面角的两个半平面所成的角是1θ,2θ,与二面角的棱所成的角是θ,则有22221212sin sin sin sin 2sin sin cos ϕθθθθθϕ=+- ;1212||180()θθϕθθ-≤≤-+(当且仅当90θ=时等号成立).134.空间两点间的距离公式假设A 111(,,)x y z ,B 222(,,)x y z ,则,A B d =||AB AB AB =⋅=135.点Q 到直线l 距离h =(点P 在直线l 上,直线l 的方向向量a =PA ,向量b =PQ ).136.异面直线间的距离||||CD n d n ⋅=(12,l l 是两异面直线,其公垂向量为n ,C D 、分别是12,l l 上任一点,d 为12,l l 间的距离).137.点B 到平面α的距离||||AB n d n ⋅=〔n 为平面α的法向量,AB 是经过面α的一条斜线,A α∈〕. 138.异面直线上两点距离公式2cos d mn θ=.',d EA AF =.d =〔'E AA F ϕ=--〕.(两条异面直线a 、b 所成的角为θ,其公垂线段'AA 的长度为h.在直线a 、b 上分别取两点E 、F ,'A E m =,AF n =,EF d =). 139.三个向量和的平方公式2222()222a b c a b c a b b c c a ++=+++⋅+⋅+⋅2222||||cos ,2||||cos ,2||||cos ,a b c a b a b b c b c c a c a =+++⋅+⋅+⋅140. 长度为l 的线段在三条两两互相垂直的直线上的射影长分别为123l l l 、、,夹角分别为123θθθ、、,则有2222123l l l l =++222123cos cos cos 1θθθ⇔++=222123sin sin sin 2θθθ⇔++=.〔立体几何中长方体对角线长的公式是其特例〕.141. 面积射影定理'cos S S θ=.(平面多边形及其射影的面积分别是S 、'S ,它们所在平面所成锐二面角的为θ). 142. 斜棱柱的直截面已知斜棱柱的侧棱长是l ,侧面积和体积分别是S 斜棱柱侧和V 斜棱柱,它的直截面的周长和面积分别是1c 和1S ,则①1S c l =斜棱柱侧. ②1V S l =斜棱柱.143.作截面的依据三个平面两两相交,有三条交线,则这三条交线交于一点或互相平行. 144.棱锥的平行截面的性质如果棱锥被平行于底面的平面所截,那么所得的截面与底面相似,截面面积与底面面积的比等于顶点到截面距离与棱锥高的平方比〔对应角相等,对应边对应成比例的多边形是相似多边形,相似多边形面积的比等于对应边的比的平方〕;相应小棱锥与小棱锥的侧面积的比等于顶点到截面距离与棱锥高的平方比.145.欧拉定理(欧拉公式)2V F E +-=(简单多面体的顶点数V 、棱数E 和面数F).〔1〕E =各面多边形边数和的一半.特别地,假设每个面的边数为n 的多边形,则面数F 与棱数E 的关系:12E nF =; 〔2〕假设每个顶点引出的棱数为m ,则顶点数V 与棱数E 的关系:12E mV =. 146.球的半径是R ,则其体积343V R π=, 其外表积24S R π=.147.球的组合体(1)球与长方体的组合体:长方体的外接球的直径是长方体的体对角线长. (2)球与正方体的组合体:正方体的内切球的直径是正方体的棱长, 正方体的棱切球的直径是正方体的面对角线长, 正方体的外接球的直径是正方体的体对角线长. (3) 球与正四面体的组合体:棱长为a ,a . 148.柱体、锥体的体积13V Sh =柱体〔S 是柱体的底面积、h 是柱体的高〕.13V Sh =锥体〔S 是锥体的底面积、h 是锥体的高〕.149.分类计数原理〔加法原理〕 12n N m m m =+++. 150.分步计数原理〔乘法原理〕 12n N m m m =⨯⨯⨯. 151.排列数公式m n A =)1()1(+--m n n n =!!)(m n n -.(n ,m ∈N *,且m n ≤).注:规定1!0=.152.排列恒等式(1〕1(1)m m n n A n m A -=-+;〔2〕1mmn n n A A n m -=-; 〔3〕11m m n n A nA --=;〔4〕11n n nn n n nA A A ++=-; 〔5〕11m m m n n n A A mA -+=+.(6) 1!22!33!!(1)!1n n n +⋅+⋅++⋅=+-.153.组合数公式m nC =m n m mA A =m m n n n ⨯⨯⨯+-- 21)1()1(=!!!)(m n m n -⋅(n ∈N *,m N ∈,且m n ≤).154.组合数的两个性质 (1)mn C =mn nC - ; (2) m n C +1-m nC =mn C 1+.注:规定10=n C .155.组合恒等式〔1〕11mm n n n m C C m --+=; 〔2〕1m mn n n C C n m -=-;〔3〕11mm n n n C C m--=;〔4〕∑=nr r nC0=n2;〔5〕1121++++=++++r n r n r r r r r rC C C C C . (6)nn n r n n n n C C C C C 2210=++++++ . (7)14205312-+++=+++n n n n n n n C C C C C C . (8)1321232-=++++n n n n n n n nC C C C . (9)rn m r n r m n r m n r m C C C C C C C +-=+++0110 . (10)nn n n n n n C C C C C 22222120)()()()(=++++ .156.排列数与组合数的关系m m n n A m C =⋅! .157.单条件排列以下各条的大前提是从n 个元素中取m 个元素的排列. 〔1〕“在位”与“不在位”①某〔特〕元必在某位有11--m n A 种;②某〔特〕元不在某位有11---m n m n A A 〔补集思想〕1111---=m n n A A 〔着眼位置〕11111----+=m n m m n A A A 〔着眼元素〕种.〔2〕紧贴与插空〔即相邻与不相邻〕①定位紧贴:)(n m k k ≤≤个元在固定位的排列有km k n k k A A --种.②浮动紧贴:n 个元素的全排列把k 个元排在一起的排法有kk k n k n A A 11+-+-种.注:此类问题常用捆绑法;③插空:两组元素分别有k 、h 个〔1+≤h k 〕,把它们合在一起来作全排列,k 个的一组互不能挨近的所有排列数有kh hh A A 1+种.〔3〕两组元素各相同的插空m 个大球n 个小球排成一列,小球必分开,问有多少种排法?当1+>m n 时,无解;当1+≤m n 时,有n m n nn m C A A 11++=种排法.〔4〕两组相同元素的排列:两组元素有m 个和n 个,各组元素分别相同的排列数为nn m C +. 158.分配问题〔1〕(平均分组有归属问题)将相异的m 、n 个物件等分给m 个人,各得n 件,其分配方法数共有mnn nn nn mn nn mn nmn n mn C C C C C N )!()!(22=⋅⋅⋅⋅⋅=-- . 〔2〕(平均分组无归属问题)将相异的m ·n 个物体等分为无记号或无顺序的m 堆,其分配方法数共有mn nn n n n mn n n mn n mn n m mn m C C C C C N )!(!)!(!...22=⋅⋅⋅⋅=--.〔3〕(非平均分组有归属问题)将相异的)12m P(P=n +n ++n 个物体分给m 个人,物件必须被分完,分别得到1n ,2n ,…,m n 件,且1n ,2n ,…,m n 这m 个数彼此不相等,则其分配方法数共有!!...!!!! (212)11m n n n n p n p n n n m p m C C C N m m =⋅⋅=-.〔4〕(非完全平均分组有归属问题)将相异的)12m P(P=n +n ++n 个物体分给m 个人,物件必须被分完,分别得到1n ,2n ,…,m n 件,且1n ,2n ,…,m n 这m 个数中分别有a 、b 、c 、…个相等,则其分配方法数有!...!!!...211c b a m C C C N m m n n n n p n p ⋅⋅=- 12!!!!...!(!!!...)m p m n n n a b c =.〔5〕(非平均分组无归属问题)将相异的)12m P(P=n +n ++n 个物体分为任意的1n ,2n ,…,m n 件无记号的m 堆,且1n ,2n ,…,m n 这m 个数彼此不相等,则其分配方法数有!!...!!21m n n n p N =.〔6〕(非完全平均分组无归属问题)将相异的)12m P(P=n +n ++n 个物体分为任意的1n ,2n ,…,m n 件无记号的m 堆,且1n ,2n ,…,m n 这m 个数中分别有a 、b 、c 、…个相等,则其分配方法数有!...)!!(!!...!!21c b a n n n p N m =.〔7〕(限定分组有归属问题)将相异的p 〔2m p n n n =1+++〕个物体分给甲、乙、丙,……等m 个人,物体必须被分完,如果指定甲得1n 件,乙得2n 件,丙得3n 件,…时,则无论1n ,2n ,…,m n 等m 个数是否全相异或不全相异其分配方法数恒有!!...!!...21211m n n n n p n p n n n p C C C N m m =⋅=-.159.“错位问题”及其推广。
(高考必备!)高中数学常用公式及结论1 元素与集合的关系:U x A x C A ∈⇔∉,U x C A x A ∈⇔∉.A A ∅⇔≠∅2 集合12{,,,}n a a a 的子集个数共有2n 个;真子集有21n -个;非空子集有21n -个;非空的真子集有22n -个.3 二次函数的解析式的三种形式:(1) 一般式2()(0)f x ax bx c a =++≠;(2) 顶点式2()()(0)h f x a a k x =-+≠;(当已知抛物线的顶点坐标(,)h k 时,设为此式) (3) 零点式12()()()(0)f x a x x x a x =--≠;(当已知抛物线与x 轴的交点坐标为12(,0),(,0)x x 时,设为此式)(4)切线式:02()()(()),0x kx d f x a x a =-+≠+。
(当已知抛物线与直线y kx d =+相切且切点的横坐标为0x 时,设为此式)4 真值表: 同真且真,同假或假 56 )充要条件: (1)、p q ⇒,则P 是q 的充分条件,反之,q 是p 的必要条件;(2)、p q ⇒,且q ≠> p ,则P 是q 的充分不必要条件; (3)、p ≠> p ,且q p ⇒,则P 是q 的必要不充分条件;4、p ≠> p ,且q ≠> p ,则P 是q 的既不充分又不必要条件。
7 函数单调性:增函数:(1)、文字描述是:y 随x 的增大而增大。
(2)、数学符号表述是:设f (x )在x ∈D 上有定义,若对任意的1212,,x x D x x ∈<且,都有12()()f x f x <成立,则就叫f (x )在x ∈D 上是增函数。
D 则就是f (x )的递增区间。
减函数:(1)、文字描述是:y 随x 的增大而减小。
(2)、数学符号表述是:设f (x )在x ∈D 上有定义,若对任意的1212,,x x D x x ∈<且,都有12()()f x f x >成立,则就叫f (x )在x ∈D 上是减函数。
高考数学知识点总结及公式大全(实用)高考数学必备公式1、函数的单调性(1)设x1、x2[a,b],x1x2那么f(x1)f(x2)0f(x)在[a,b]上是增函数;f(x1)f(x2)0f(x)在[a,b]上是减函数.(2)设函数yf(x)在某个区间内可导,若f(x)0,则f(x)为增函数;若f(x)0,则f(x)为减函数.2、函数的奇偶性对于定义域内任意的x,都有f(-x)=f(x),则f(x)是偶函数; 对于定义域内任意的x,都有f(x)f(x),则f(x)是奇函数。
奇函数的图象关于原点对称,偶函数的图象关于y轴对称。
3、判别式b2-4ac=0 注:方程有两个相等的实根b2-4acgt;0 注:方程有两个不等的实根b2-4aclt;0 注:方程没有实根,有共轭复数根4、两角和公式sin(A+B)=sinAcosB+cosAsinB sin(A-B)=sinAcosB-sinBcosAcos(A+B)=cosAcosB-sinAsinB cos(A-B)=cosAcosB+sinAsinBtan(A+B)=(tanA+tanB)/(1-tanAtanB) tan(A-B)=(tanA-tanB)/(1+tanAtanB)ctg(A+B)=(ctgActgB-1)/(ctgB+ctgA) ctg(A-B)=(ctgActgB+1)/(ctgB-ctgA)5、倍角公式tan2A=2tanA/(1-tan2A) ctg2A=(ctg2A-1)/2ctgacos2a=cos2a-sin2a=2cos2a-1=1-2sin2a6、抛物线1、抛物线:y=ax__+bx+c就是y等于ax的平方加上bx再加上c。
agt;0时,抛物线开口向上;alt;0时抛物线开口向下;c=0时抛物线经过原点;b=0时抛物线对称轴为y轴。
2、顶点式y=a(x+h)__+k就是y等于a乘以(x+h)的平方+k,-h是顶点坐标的x,k是顶点坐标的y,一般用于求最大值与最小值。
高考必备数学公式大全一、集合。
1. 集合的基本运算。
- 交集:A∩ B={xx∈ A且x∈ B}- 并集:A∪ B ={xx∈ A或x∈ B}- 补集:∁_UA={xx∈ U且x∉ A}(U为全集)2. 集合元素个数公式。
- n(A∪ B)=n(A)+n(B)-n(A∩ B)二、函数。
1. 函数的定义域。
- 分式函数y = (f(x))/(g(x)),定义域为g(x)≠0的x的取值范围。
- 偶次根式函数y=sqrt[n]{f(x)}(n为偶数),定义域为f(x)≥slant0的x的取值范围。
2. 函数的单调性。
- 设x_1,x_2∈[a,b]且x_1,对于函数y = f(x)- 若f(x_1),则y = f(x)在[a,b]上是增函数,f^′(x)≥slant0(可导函数时)。
- 若f(x_1)>f(x_2),则y = f(x)在[a,b]上是减函数,f^′(x)≤slant0(可导函数时)。
3. 函数的奇偶性。
- 对于函数y = f(x),定义域关于原点对称。
- 若f(-x)=f(x),则y = f(x)是偶函数,其图象关于y轴对称。
- 若f(-x)= - f(x),则y = f(x)是奇函数,其图象关于原点对称。
4. 一次函数y=kx + b(k≠0)- 斜率k=frac{y_2-y_1}{x_2-x_1},截距为b。
5. 二次函数y = ax^2+bx + c(a≠0)- 对称轴x =-(b)/(2a)。
- 顶点坐标(-(b)/(2a),frac{4ac - b^2}{4a})。
- 当a>0时,函数开口向上,在x =-(b)/(2a)处取得最小值frac{4ac -b^2}{4a};当a<0时,函数开口向下,在x =-(b)/(2a)处取得最大值frac{4ac -b^2}{4a}。
6. 指数函数y = a^x(a>0,a≠1)- 性质:当a > 1时,函数在R上单调递增;当0 < a < 1时,函数在R上单调递减。
高中数学必背公式大全(完整版)
高中数学必背公式大全
为了更好地做数学题,我们可以将用到的公式和基础知识写在题目旁边,这样既可以保持对题目的敏感,也可以加深对基础知识的理解和记忆。
当然,在使用公式时,我们也需要注意公式的顺用、逆用、推导和变形。
以下是高中数学中常用的公式和知识点:
1.集合与常用逻辑用语
2.复数
3.平面向量
4.算法、推理与证明
5.不等式、线性规划
6.计数原理与二项式定理
7.函数、基本初等函数的图像与性质
8.函数与方程、函数模型及其应用
9.导数及其应用
10.三角函数的图形与性质
11.三角恒等变化与解三角形
12.等差数列、等比数列
13.数列求和及数列的简单应用
14.空间几何体
15.空间点、直线、平面位置关系
16.空间向量与立体几何
17.直线与圆的方程
18.圆锥曲线的定义、方程与性质
19.圆锥曲线的热点问题
20.概率
21.离散型随机变量及其分布
22.统计与统计案例
以上是高中数学中常用的公式和知识点,掌握它们可以帮助我们更好地理解和解决数学问题。
2024高考数学重点必考公式归纳总结2024高考数学重点必考公式归纳(一)数学两角和公式1、sin(A+B)=sinAcosB+cosAsinB sin(A-B)=sinAcosB-sinBcosA2、cos(A+B)=cosAcosB-sinAsinB cos(A-B)=cosAcosB+sinAsinB3、tan(A+B)=(tanA+tanB)/(1-tanAtanB)tan(A-B)=(tanA-tanB)/(1+tanAtanB)4、ctg(A+B)=(ctgActgB-1)/(ctgB+ctgA)ctg(A-B)=(ctgActgB+1)/(ctgB-ctgA)(二)数学椭圆公式1、椭圆周长公式:l=2πb+4(a-b)2、椭圆周长定理:椭圆的周长等于该椭圆短半轴,长为半径的圆周长(2πb)加上四倍的该椭圆长半轴长(a)与短半轴长(b)的差3、椭圆面积公式:s=πab4、椭圆面积定理:椭圆的面积等于圆周率(π)乘该椭圆长半轴长(a)与短半轴长(b)的乘积(三)数学某些数列前n项和公式1+2+3+4+5+6+7+8+9+…+n=n(n+1)/2 1+3+5+7+9+11+13+15+…+(2n-1)=n22+4+6+8+10+12+14+…+(2n)=n(n+1) 12+22+32+42+52+62+72+82+…+n2=n(n+1)(2n+1)/613+23+33+43+53+63+…n3=n2(n+1)2/4 1×2+2×3+3×4+4×5+5×6+6×7+…+n(n+1)=n(n+1)(n+2)/3高考数学必背公式乘法与因式分解a2-b2=(a+b)(a-b) a3+b3=(a+b)(a2-ab+b2)a3-b3=(a-b(a2+ab+b2)三角不等式|a+b|≤|a|+|b| |a-b|≤|a|+|b| |a|≤b=-b≤a≤b|a-b|≥|a|-|b| -|a|≤a≤|a|一元二次方程的解-b+√(b2-4ac)/2a -b-√(b2-4ac)/2a根与系数的关系X1+X2=-b/a X1×X2=c/a注:韦达定理判别式b2-4ac=0注:方程有两个相等的实根b2-4ac0注:方程有两个不等的实根b2-4ac0注:方程没有实根,有共轭复数根三角函数公式两角和公式sin(A+B)=sinAcosB+cosAsinB sin(A-B)=sinAcosB-sinBcosAcos(A+B)=cosAcosB-sinAsinB cos(A-B)=cosAcosB+sinAsinBtan(A+B)=(tanA+tanB)/(1-tanAtanB)tan(A-B)=(tanA-tanB)/(1+tanAtanB)ctg(A+B)=(ctgActgB-1)/(ctgB+ctgA)ctg(A-B)=(ctgActgB+1)/(ctgB-ctgA)倍角公式tan2A=2tanA/(1-tan2A) ctg2A=(ctg2A-1)/2ctgacos2a=cos2a-sin2a=2cos2a-1=1-2sin2a半角公式sin(A/2)=√((1-cosA)/2) sin(A/2)=-√((1-cosA)/2)cos(A/2)=√((1+cosA)/2) cos(A/2)=-√((1+cosA)/2)tan(A/2)=√((1-cosA)/((1+cosA)) tan(A/2)=-√((1-cosA)/((1+cosA)) ctg(A/2)=√((1+cosA)/((1-cosA)) ctg(A/2)=-√((1+cosA)/((1-cosA)) 和差化积2sinAcosB=sin(A+B)+sin(A-B) 2cosAsinB=sin(A+B)-sin(A-B)2cosAcosB=cos(A+B)-sin(A-B) -2sinAsinB=cos(A+B)-cos(A-B)sinA+sinB=2sin((A+B)/2)cos((A-B)/2cosA+cosB=2cos((A+B)/2)sin((A-B)/2)tanA+tanB=sin(A+B)/cosAcosB tanA-tanB=sin(A-B)/cosAcosBctgA+ctgBsin(A+B)/sinAsinB -ctgA+ctgBsin(A+B)/sinAsinB某些数列前 n 项和1+2+3+4+5+6+7+8+9+…+n=n(n+1)/2 1+3+5+7+9+11+13+15+…+(2n-1)=n2 2+4+6+8+10+12+14+ … +(2n)=n(n+1)12+22+32+42+52+62+72+82+…+n2=n(n+1)(2n+1)/613+23+33+43+53+63+ …n3=n2(n+1)2/41×2+2×3+3×4+4×5+5×6+6×7+…+n(n+1)=n(n+1)(n+2)/3正弦定理a/sinA=b/sinB=c/sinC=2R 注:其中 R 表示三角形的外接圆半径余弦定理b2=a2+c2-2accosB 注:角 B 是边 a 和边 c 的夹角圆的标准方程(x-a)2+(y-b)2=r2 注:(a,b)是圆心坐标圆的一般方程x2+y2+Dx+Ey+F=0 注:D2+E2-4F0抛物线标准方程y2=2px y2=-2px x2=2py x2=-2py直棱柱侧面积S=c×h 斜棱柱侧面积 S=c×h正棱锥侧面积S=1/2c×h 正棱台侧面积 S=1/2(c+c)h圆台侧面积S=1/2(c+c)l=pi(R+r)l 球的表面积 S=4pi×r2圆柱侧面积S=c×h=2pi×h 圆锥侧面积 S=1/2×c×l=pi×r×l弧长公式l=a×r a 是圆心角的弧度数 r 0 扇形面积公式 s=1/2×l×r 锥体体积公式V=1/3×S×H 圆锥体体积公式 V=1/3×pi×r2h斜棱柱体积V=SL 注:其中,S是直截面面积, L 是侧棱长柱体体积公式V=s×h 圆柱体 V=pi×r2h高中文科数学必背公式总结公式一:设α为任意角,终边相同的角的同一三角函数的值相等:sin(2kπ+α)=sinα (k∈Z)cos(2kπ+α)=cosα (k∈Z)tan(2kπ+α)=tanα (k∈Z)cot(2kπ+α)=cotα (k∈Z)公式二:设α为任意角,π+α的三角函数值与α的三角函数值之间的关系:sin(π+α)=-sinαcos(π+α)=-cosαtan(π+α)=tanαcot(π+α)=cotα公式三:任意角α与 -α的三角函数值之间的关系:sin(-α)=-sinαcos(-α)=cosαtan(-α)=-tanαcot(-α)=-cotα公式四:利用公式二和公式三可以得到π-α与α的三角函数值之间的关系:sin(π-α)=sinαcos(π-α)=-cosαtan(π-α)=-tanαcot(π-α)=-cotα公式五:利用公式一和公式三可以得到 2π-α与α的三角函数值之间的关系:sin(2π-α)=-sinαcos(2π-α)=cosαtan(2π-α)=-tanαcot(2π-α)=-cotα公式六:π/2±α及 3π/2±α与α的三角函数值之间的关系:sin(π/2+α)=cosαcos(π/2+α)=-sinαtan(π/2+α)=-cotαcot(π/2+α)=-tanαsin(π/2-α)=cosαcos(π/2-α)=sinαtan(π/2-α)=cotαcot(π/2-α)=tanαsin(3π/2+α)=-cosαcos(3π/2+α)=sinαtan(3π/2+α)=-cotαcot(3π/2+α)=-tanαsin(3π/2-α)=-cosαcos(3π/2-α)=-sinαtan(3π/2-α)=cotαcot(3π/2-α)=tanα(以上 k∈Z)高三学数学最有效的方法一轮复习①立足课本,迅速激活已学过的各个知识点。
高中数学公式及定理总结乘法与因式分解a -b =(a+b)(a-b)a +b =(a+b)(a -ab+b )a -b =(a-b(a +ab+b )三角不等式|a+b|≤|a|+|b||a-b|≤|a|+|b||a|≤b-b≤a≤b|a-b|≥|a|-|b|-|a|≤a≤|a|一元二次方程的解-b+√(b -4ac)/2a-b-√(b -4ac)/2a根与系数的关系X1+X2=-b/aX1*X2=c/a注:韦达定理判别式b -4ac=0注:方程有两个相等的实根b -4ac>0注:方程有两个不等的实根b -4ac1 +2 +3 +4 +5 +6 +…n =n2(n+1)2/41*2+2*3+3*4+4*5+5*6+6*7+…+n(n+1)=n(n+1)(n+2)/3正弦定理a/sinA=b/sinB=c/sinC=2R注:其中R表示三角形的外接圆半径余弦定理 b =a +c -2accosB注:角B是边a和边c的夹角圆的标准方程(x-a) +(y-b) =2注:(a,b)是圆心坐标圆的一般方程x +y +Dx+Ey+F=0注:D +E -4F>0抛物线标准方程y =2pxy =-2pxx =2pyx =-2py直棱柱侧面积S=c*h 斜棱柱侧面积S=c”*h正棱锥侧面积S=1/2c*h”正棱台侧面积S=1/2(c+c”)h”圆台侧面积S=1/2(c+c”)l=pi(R+r)l球的表面积S=4pi*r2圆柱侧面积S=c*h=2pi*h圆锥侧面积S=1/2*c*l=pi*r*l弧长公式l=a*ra是圆心角的弧度数r>0扇形面积公式s=1/2*l*r锥体体积公式V=1/3*S*H圆锥体体积公式V=1/3*pi*r2h斜棱柱体积V=S”L注:其中,S”是直截面面积,L是侧棱长柱体体积公式V=s*h圆柱体V=pi*r2h定理86平行线分线段成比例定理三条平行线截两条直线,所得的对应线段成比例87推论平行于三角形一边的直线截其他两边(或两边的延长线),所得的对应线段成比例88定理如果一条直线截三角形的两边(或两边的延长线)所得的对应线段成比例,那么这条直线平行于三角形的第三边89平行于三角形的一边,并且和其他两边相交的直线,所截得的三角形的三边与原三角形三边对应成比例90定理平行于三角形一边的直线和其他两边(或两边的延长线)相交,所构成的三角形与原三角形相似91相似三角形判定定理1两角对应相等,两三角形相似(ASA)92直角三角形被斜边上的高分成的两个直角三角形和原三角形相似93判定定理2两边对应成比例且夹角相等,两三角形相似(SAS)94判定定理3三边对应成比例,两三角形相似(SSS)95定理如果一个直角三角形的斜边和一条直角边与另一个直角三角形的斜边和一条直角边对应成比例,那么这两个直角三角形相似96性质定理1相似三角形对应高的比,对应中线的比与对应角平分线的比都等于相似比97性质定理2相似三角形周长的比等于相似比98性质定理3相似三角形面积的比等于相似比的平方99任意锐角的正弦值等于它的余角的余弦值,任意锐角的余弦值等于它的余角的正弦值100任意锐角的正切值等于它的余角的余切值,任意锐角的余切值等于它的余角的正切值101圆是定点的距离等于定长的点的**102圆的内部可以看作是圆心的距离小于半径的点的**103圆的外部可以看作是圆心的距离大于半径的点的**104同圆或等圆的半径相等105到定点的距离等于定长的点的轨迹,是以定点为圆心,定长为半径的圆106和已知线段两个端点的距离相等的点的轨迹,是着条线段的垂直平分线107到已知角的两边距离相等的点的轨迹,是这个角的平分线108到两条平行线距离相等的点的轨迹,是和这两条平行线平行且距离相等的一条直线109定理不在同一直线上的三点确定一个圆。
高考数学知识点总结及公式大全免费高考数学重要知识点( 一 ) 导数第一定义设函数 y=f(x) 在点 x0 的某个领域内有定义,当自变量 x 在 x0 处有增量△x(x0+△x 也在该邻域内 ) 时,相应地函数取得增量△y=f(x0+△x)-f(x0); 如果△y 与△x 之比当△x→0 时极限存在,则称函数 y=f(x) 在点 x0 处可导,并称这个极限值为函数 y=f(x) 在点 x0 处的导数记为 f'(x0), 即导数第一定义( 二 ) 导数第二定义设函数 y=f(x) 在点 x0 的某个领域内有定义,当自变量 x 在 x0 处有变化△x(x-x0 也在该邻域内 ) 时,相应地函数变化△y=f(x)-f(x0); 如果△y 与△x 之比当△x→0 时极限存在,则称函数 y=f(x) 在点 x0 处可导,并称这个极限值为函数 y=f(x) 在点 x0 处的导数记为 f'(x0), 即导数第二定义( 三 ) 导函数与导数如果函数 y=f(x) 在开区间 I 内每一点都可导,就称函数 f(x) 在区间 I 内可导。
这时函数 y=f(x) 对于区间 I 内的每一个确定的 x 值,都对应着一个确定的导数,这就构成一个新的函数,称这个函数为原来函数 y=f(x) 的导函数,记作y',f'(x),dy/dx,df(x)/dx 。
导函数简称导数。
( 四 ) 单调性及其应用1. 利用导数研究多项式函数单调性的一般步骤(1) 求 f ¢ (x)(2) 确定 f ¢ (x) 在 (a , b) 内符号 (3) 若 f ¢ (x)0 在 (a , b) 上恒成立,则 f(x) 在 (a , b) 上是增函数 ; 若 f ¢ (x)0 在 (a , b) 上恒成立,则f(x) 在 (a , b) 上是减函数2. 用导数求多项式函数单调区间的一般步骤(1) 求 f ¢ (x)(2)f ¢ (x)0 的解集与定义域的交集的对应区间为增区间 ;f ¢ (x)0 的解集与定义域的交集的对应区间为减区间全国卷高考数学知识点必修一: 1 、集合与函数的概念 ( 这部分知识抽象,较难理解 )2 、基本的初等函数 ( 指数函数、对数函数 )3 、函数的性质及应用 ( 比较抽象,较难理解 ) 必修二: 1 、立体几何 (1) 、证明:垂直 ( 多考查面面垂直 ) 、平行 (2) 、求解:主要是夹角问题,包括线面角和面面角这部分知识是高一学生的难点,比如:一个角实际上是一个锐角,但是在图中显示的钝角等等一些问题,需要学生的立体意识较强。
高中数学公式大全及总结高中的数学公式定理大集中三角函数公式表同角三角函数的基本关系式倒数关系: 商的关系:平方关系:tanα ·cotα=1sinα ·cscα=1cosα ·secα=1 sinα/cosα=tanα=secα/cscαcosα/sinα=cotα=cscα/secα sin2α+cos2α=11+tan2α=sec2α1+cot2α=csc2α(六边形记忆法:图形结构“上弦中切下割,左正右余中间1”;记忆方法“对角线上两个函数的积为1;阴影三角形上两顶点的三角函数值的平方和等于下顶点的三角函数值的平方;任意一顶点的三角函数值等于相邻两个顶点的三角函数值的乘积。
”)诱导公式(口诀:奇变偶不变,符号看象限。
)sin(-α)=-sinαcos(-α)=cosα tan(-α)=-tanαcot(-α)=-cotαsin(π/2-α)=cosαcos(π/2-α)=sinαtan(π/2-α)=cotαcot(π/2-α)=tanαsin(π/2+α)=cosαcos(π/2+α)=-sinαtan(π/2+α)=-cotαcot(π/2+α)=-tanαsin(π-α)=sinαcos(π-α)=-cosαtan(π-α)=-tanαcot(π-α)=-cotαsin(π+α)=-sinαcos(π+α)=-cosαtan(π+α)=tanαcot(π+α)=cotαsin(3π/2-α)=-cosαcos(3π/2-α)=-sinαtan(3π/2-α)=cotαcot(3π/2-α)=tanαsin(3π/2+α)=-cosαcos(3π/2+α)=sinαtan(3π/2+α)=-cotαcot(3π/2+α)=-tanαsin(2π-α)=-sinαcos(2π-α)=cosαtan(2π-α)=-tanαcot(2π-α)=-cotαsin(2kπ+α)=sinαcos(2kπ+α)=cosαtan(2kπ+α)=tanαcot(2kπ+α)=cotα(其中k∈Z)两角和与差的三角函数公式万能公式sin(α+β)=sinαcosβ+cosαsinβsin(α-β)=sinαcosβ-cosαsinβcos(α+β)=cosαcosβ-sinαsinβcos(α-β)=cosαcosβ+sinαsinβtanα+tanβtan(α+β)=——————1-tanα ·tanβtanα-tanβtan(α-β)=——————1+tanα ·tanβ2tan(α/2)sinα=——————1+tan2(α/2)1-tan2(α/2)cosα=——————1+tan2(α/2)2tan(α/2)tanα=——————1-tan2(α/2)半角的正弦、余弦和正切公式三角函数的降幂公式二倍角的正弦、余弦和正切公式三倍角的正弦、余弦和正切公式sin2α=2sinαcosαcos2α=cos2α-sin2α=2cos2α-1=1-2sin2α2tanαtan2α=—————1-tan2αsin3α=3sinα-4sin3αcos3α=4cos3α-3cosα3tanα-tan3αtan3α=——————1-3tan2α三角函数的和差化积公式三角函数的积化和差公式α+β α-βsinα+sinβ=2sin———·cos———2 2α+β α-βsinα-sinβ=2cos———·sin———2 2α+β α-βcosα+cosβ=2cos———·cos———2 2α+β α-βcosα-cosβ=-2sin———·sin———2 2 1sinα ·cosβ=-[sin(α+β)+sin(α-β)]21cosα ·sinβ=-[sin(α+β)-sin(α-β)]21cosα ·cosβ=-[cos(α+β)+cos(α-β)]21sinα ·sinβ=— -[cos(α+β)-cos(α-β)]2化asinα ±bcosα为一个角的一个三角函数的形式(辅助角的三角函数的公式集合、函数集合简单逻辑任一x∈A x∈B,记作A BA B,B A A=BA B={x|x∈A,且x∈B}A B={x|x∈A,或x∈B}card(A B)=card(A)+card(B)-card(A B)(1)命题原命题若p则q逆命题若q则p否命题若 p则 q逆否命题若 q,则 p(2)四种命题的关系(3)A B,A是B成立的充分条件B A,A是B成立的必要条件A B,A是B成立的充要条件函数的性质指数和对数(1)定义域、值域、对应法则(2)单调性对于任意x1,x2∈D若x1<x2 f(x1)<f(x2),称f(x)在D上是增函数若x1<x2 f(x1)>f(x2),称f(x)在D上是减函数(3)奇偶性对于函数f(x)的定义域的任一x,若f(-x)=f(x),称f(x)是偶函数若f(-x)=-f(x),称f(x)是奇函数(4)周期性对于函数f(x)的定义域的任一x,若存在常数T,使得f(x+T)=f(x),则称f(x)是周期函数(1)分数指数幂正分数指数幂的意义是负分数指数幂的意义是(2)对数的性质和运算法则loga(MN)=logaM+logaNlogaMn=nlogaM(n∈R)指数函数对数函数(1)y=ax(a>0,a≠1)叫指数函数(2)x∈R,y>0图象经过(0,1)a>1时,x>0,y>1;x<0,0<y<10<a<1时,x>0,0<y<1;x<0,y>1a> 1时,y=ax是增函数0<a<1时,y=ax是减函数(1)y=logax(a>0,a≠1)叫对数函数(2)x>0,y∈R图象经过(1,0)a>1时,x>1,y>0;0<x<1,y<00<a<1时,x>1,y<0;0<x<1,y>0a>1时,y=logax是增函数0<a<1时,y=logax是减函数指数方程和对数方程基本型logaf(x)=b f(x)=ab(a>0,a≠1)同底型logaf(x)=logag(x) f(x)=g(x)>0(a>0,a≠1)换元型 f(ax)=0或f (logax)=0数列数列的基本概念等差数列(1)数列的通项公式an=f(n)(2)数列的递推公式(3)数列的通项公式与前n项和的关系an+1-an=dan=a1+(n-1)da,A,b成等差 2A=a+bm+n=k+l am+an=ak+al等比数列常用求和公式an=a1qn_1a,G,b成等比 G2=abm+n=k+l aman=akal不等式不等式的基本性质重要不等式a>b b<aa>b,b>c a>ca>b a+c>b+ca+b>c a>c-ba>b,c>d a+c>b+da>b,c>0 ac>bca>b,c<0 ac<bca>b>0,c>d>0 ac<bda>b>0 dn>bn(n∈Z,n>1)a>b>0 >(n∈Z,n>1)(a-b)2≥0a,b∈R a2+b2≥2ab|a|-|b|≤|a±b|≤|a|+|b|证明不等式的基本方法比较法(1)要证明不等式a>b(或a<b),只需证明a-b>0(或a-b<0=即可(2)若b>0,要证a>b,只需证明,要证a<b,只需证明综合法综合法就是从已知或已证明过的不等式出发,根据不等式的性质推导出欲证的不等式(由因导果)的方法。
高中数学必考公式定律与知识梳理
以下是高中数学必考公式、定律和知识点的梳理:
1. 三角函数:
正弦定理:a/sin A = b/sin B = c/sin C
余弦定理:a² = b² + c² - 2bc cos A
正切定义:tan A = sin A / cos A
余切定义:cot A = cos A / sin A
常见三角函数值(0°、30°、45°、60°、90°)
2. 数列:
通项公式:an = a1 + (n-1)d
等差数列求和公式:Sn = n(a1+an)/2
通项公式:an = a1 * r^(n-1)
等比数列求和公式:Sn = a1(1-r^n)/(1-r)
3. 圆:
圆的面积公式:S = πr²
圆的周长公式:C = 2πr
圆锥/圆柱侧面积公式:S = πrl
4. 平面几何:
平行四边形面积公式:S = bh
矩形面积公式:S = lw
梯形面积公式:S = (a+b)h/2
直角三角形勾股定理:a² + b² = c²
5. 解析几何:
两点之间的距离公式:AB = √[(x2-x1)² + (y2-y1)²]
直线的一般式:Ax+By+C=0
直线的斜截式:y=kx+b
直线的点斜式:y-y1=k(x-x1)
圆的一般式:(x-a)² + (y-b)² = r²
以上是高中数学必考公式、定律和知识点的梳理,希望对您有所帮助。
高中数学必背公式大全高考必考数学公式1.二次方程的根与系数之间的关系:设二次方程 ax^2 + bx + c = 0(a ≠ 0)的根为 x1 和 x2,那么有以下关系式:x1+x2=-b/ax1*x2=c/a2.一元二次不等式的求解:设二次不等式 ax^2 + bx + c > 0(a ≠ 0)的解集为 S,那么有以下关系式:a>0时,S={x,x<x1或x>x2}a<0时,S={x,x1<x<x2}3.二次函数的顶点坐标:设二次函数 y = ax^2 + bx + c 的顶点坐标为 (h, k)那么有 h = -b/2a,k = f(h) = (4ac - b^2)/4a4.一次函数的斜率与函数图像的关系:设一次函数 y = mx + c 的斜率为 m,那么有以下关系式:m>0时,函数图像上升;m<0时,函数图像下降;m=0时,函数图像水平。
5.三角函数和三角公式:sin(A + B) = sinA * cosB + cosA * sinBcos(A + B) = cosA * cosB - sinA * sinBtan(A + B) = (tanA + tanB) / (1 - tanA * tanB)sin^2A + cos^2A = 1sin²θ + cos²θ = 16.幂函数的性质:若 a > 0 且a ≠ 1,则函数 y = ax^n (n 是整数)的性质如下:n>0时,函数图像单调递增;n<0时,函数图像单调递减;n为偶数时,函数图像关于y轴对称;n为奇数时,函数图像关于原点对称。
7.对数函数的性质:若 a > 0 且a ≠ 1,则函数 y = log_a(x) 的性质如下:a>1时,函数图像单调递增;0<a<1时,函数图像单调递减;函数图像过点(1,0),且以x轴为渐近线;log_a(a^b) = b8.指数函数的性质:若a>0且a≠1,则函数y=a^x的性质如下:a>1时,函数图像单调递增;0<a<1时,函数图像单调递减;函数图像过点(0,1),且a^0=1a^m*a^n=a^(m+n)9.排列组合公式:将n个物体排成一列,有以下公式:排列公式:从n个物体中任选m个物体的排列数为A(n,m)=n!/(n-m)!组合公式:从n个物体中任选m个物体的组合数为C(n,m)=n!/(m!*(n-m)!)10.三角函数的和差化积:sin(A + B) = sinA * cosB + cosA * sinBsin(A - B) = sinA * cosB - cosA * sinBcos(A + B) = cosA * cosB - sinA * sinBcos(A - B) = cosA * cosB + sinA * sinBtan(A + B) = (tanA + tanB) / (1 - tanA * tanB)tan(A - B) = (tanA - tanB) / (1 + tanA * tanB)这些公式是高中数学中的常用公式,掌握并熟练运用它们对于高考数学考试非常重要。