最全高中数学公式汇总
- 格式:doc
- 大小:4.77 MB
- 文档页数:16
完整版)高中数学公式大全完整版高中数学常用公式及常用结论1.包含关系若集合A包含于集合B,则AB=B;若AB=B,则A为B 的子集;若C为A和B的并集,则B包含于C;若A和B的交集为∅,则AB=∅;若AB=R,则A和B互为补集。
2.集合的子集集合{a1,a2,…,an}的子集个数共有2n个;真子集有2n–1个;非空子集有2n–1个;非空的真子集有2n–2个。
3.充要条件1)充分条件:若p→q,则p是q的充分条件。
2)必要条件:若q→p,则p是q的必要条件。
3)充要条件:若p→q,且q→p,则p是q的充要条件。
注:如果甲是乙的充分条件,则乙是甲的必要条件;反之亦然。
4.函数的单调性1)设x1≠x2,且x1,x2∈[a,b],则有:f(x1)−f(x2)>0 ⇔ f(x)在[a,b]上是增函数;f(x1)−f(x2)<0 ⇔ f(x)在[a,b]上是减函数。
2)设函数y=f(x)在某个区间内可导,如果f′(x)>0,则f(x)为增函数;如果f′(x)<0,则f(x)为减函数。
5.函数的性质如果函数f(x)和g(x)都是减函数,则在公共定义域内,和函数f(x)+g(x)也是减函数;如果函数y=f(u)和u=g(x)在其对应的定义域上都是减函数,则复合函数y=f[g(x)]是增函数。
6.奇偶函数的图象特征奇函数的图象关于原点对称,偶函数的图象关于y轴对称;反过来,如果一个函数的图象关于原点对称,则这个函数是奇函数;如果一个函数的图象关于y轴对称,则这个函数是偶函数。
7.函数的对称轴对于函数y=f(x)(x∈R),若f(x+a)=f(b−x)恒成立,则函数f(x)的对称轴是函数x=a+b/2;函数y=f(x+a)与y=f(b−x)的图象关于直线x=a+b/2对称。
8.几个函数方程的周期(约定a>0)1)f(x)=f(x+a),则f(x)的周期T=a;2)f(x+a)=−f(x),或f(x+a)=f(−x)(f(x)≠0),则f(x)的周期T=2a。
高中数学公式大全高中数学公式大全数学是一门重要的学科,它在高中阶段占据着重要的位置。
数学公式是数学知识的核心,因此掌握数学公式对于学习和应用数学都具有重要意义。
下面是高中数学公式的大全,希望对大家的学习有所帮助。
1. 代数公式- 二次方程的求根公式:对于方程ax^2+bx+c=0,其中a≠0,其根可以通过公式x=(-b±√(b^2-4ac))/(2a)来求得。
- 平方差公式:(a-b)^2=a^2-2ab+b^2,(a+b)^2=a^2+2ab+b^2。
- 二次平均不等式:对于任意的正实数a和b,有(a+b)/2 ≥ √(ab)。
- 三角函数基本关系式:sin^2θ+cos^2θ=1,1+tan^2θ=sec^2θ,1+cot^2θ=csc^2θ。
2. 几何公式- 三角形面积公式:对于已知三角形的底和高,其面积可以通过公式A=(1/2)bh来计算。
- 三角形周长公式:对于已知三角形的三边长度a、b、c,其周长可以通过公式P=a+b+c来计算。
- 圆的周长和面积公式:对于给定半径r的圆,其周长可以通过公式C=2πr来计算,面积可以通过公式A=πr^2来计算。
- 直线与平面的关系:对于平面Ax+By+Cz+D=0和直线的方程lx+my+nz=0,两者垂直的条件是A·l + B·m + C·n = 0。
3. 微积分公式- 函数导数的四则运算:如果f(x)和g(x)都是可导函数,那么导数的和差法则为(d/f+g)(x)=f'(x)+g'(x),导数的常数倍法则为(d/c·f)(x)=c·f'(x)。
- 链式法则:对于复合函数f(g(x)),其导数可以通过链式法则求解,即(d/dx)f(g(x))=f'(g(x))·g'(x)。
- 定积分计算公式:定积分可以通过牛顿-莱布尼茨公式计算,即∫[a,b]f(x)dx=F(b)-F(a),其中F(x)是f(x)的一个原函数。
高中数学必考公式全总结(超详细)高中数学必考公式全总结(超详细)1. 代数基础- 求根公式:$x=\frac{-b\pm\sqrt{b^2-4ac}}{2a}$- 平方差公式:$(a+b)^2=a^2+2ab+b^2, (a-b)^2=a^2-2ab+b^2$- 完全平方公式:$a^2-b^2=(a+b)(a-b), a^3-b^3=(a-b)(a^{n-1}+...+b^{n-1})$ 二次函数相关 - 标准形式:$y=ax²+bx+c(a≠0)$- 顶点坐标: $(-\frac{b}{(2a)},-\frac{\Delta}{4a})$- 对称轴: $x=-\dfrac b {2a}$- 判别式:$ \Delta=b²-4ac $当$\Delta>0$,有两个实根;当$\Delta=0$,有一个重根;当$\Delta<0$,无实根。
三角函数相关正弦定理:$\dfrac{sinA}{AB}=\dfrac{sinB}{BC}=\dfrac{sinC}{AC}=k(k为常数)$余弦定理:$cosA=\dfrac {b²+c²-a²} {2bc}, cosB=…, cosC=…$正切定义:tan A = $\dfrac {\textup{o}} {\textup{邻}},tan B = …,tan C = …$ 导数与微分导数定义:$\lim_{h→0}\dfrac{(f(x+h)-f(x))}{h}$ 或者$f'(x)=lim_{Δx→0}\dfrac{\vartriangle y }{\vartriangle x}(或\dif f(x))$常见导函数:$(e^{ax})'=ae^{ax},(\ln x)'=\dfrac1{x},(log_ax)'=\dfrac1{xln a},(sin x)'=cos x,(cos x)'=-sin x,(tan x)'=sec ^ 2x,(cotan x)′=-csc ^2x,$等。
高中数学常用公式及常用结论1. 元素与集合的关系U x A x C A ,U x C A xA .2.德摩根公式();()U U U U U U C AB C AC B C AB C A C B . 3.包含关系A B AA B BU U A B C BC AU AC BU C ABR4.容斥原理()()card A B cardA cardB card A B ()()card AB C cardA cardB cardC card AB ()()()()card AB card BC card C A card AB C .5.集合12{,,,}n a a a 的子集个数共有2n个;真子集有2n–1个;非空子集有2n–1个;非空的真子集有2n–2个.6.二次函数的解析式的三种形式(1)一般式2()(0)f x ax bx c a ;(2)顶点式2()()(0)f x a x h k a ; (3)零点式12()()()(0)f x a x x x x a. 7.解连不等式()Nf x M 常有以下转化形式()Nf x M[()][()]0f x M f x N |()|22M NM N f x ()0()f x N Mf x 11()f x N M N.8.方程0)(x f 在),(21k k 上有且只有一个实根,与0)()(21k f k f 不等价,前者是后者的一个必要而不是充分条件.特别地, 方程)0(02a c bx ax 有且只有一个实根在),(21k k 内,等价于0)()(21k f k f ,或0)(1k f 且22211k k ab k ,或0)(2k f 且22122k a b k k .9.闭区间上的二次函数的最值二次函数)0()(2a c bxaxx f 在闭区间q p,上的最值只能在ab x2处及区间的两端点处取得,具体如下:(1)当a>0时,若q p ab x,2,则minmaxmax()(),()(),()2b f x f f x f p f q a;q p ab x,2,maxmax()(),()f x f p f q ,minmin()(),()f x f p f q .(2)当a<0时,若q p abx ,2,则min()min (),()f x f p f q ,若q p ab x,2,则max()max (),()f x f p f q ,min()min (),()f x f p f q .10.一元二次方程的实根分布依据:若()()0f m f n ,则方程0)(x f 在区间(,)m n 内至少有一个实根 .设q px x x f 2)(,则(1)方程0)(x f 在区间),(m 内有根的充要条件为0)(m f 或2402pq p m;(2)方程0)(x f 在区间(,)m n 内有根的充要条件为()()0f m f n 或2()0()0402f m f n pq p mn或()0()f m af n 或()0()f n af m ;(3)方程0)(x f 在区间(,)n 内有根的充要条件为()0f m 或2402pq p m.11.定区间上含参数的二次不等式恒成立的条件依据(1)在给定区间),(的子区间L (形如,,,,,不同)上含参数的二次不等式(,)0f x t (t 为参数)恒成立的充要条件是min(,)0()f x t xL . (2)在给定区间),(的子区间上含参数的二次不等式(,)0f x t (t 为参数)恒成立的充要条件是(,)0()manf x t x L .(3)0)(24cbxaxx f 恒成立的充要条件是000ab c或2040a bac.12.真值表pq非pp或qp且q真真假真真真假假真假假真真真假假假真假假13.常见结论的否定形式原结论反设词原结论反设词是不是至少有一个一个也没有都是不都是至多有一个至少有两个大于不大于至少有n 个至多有(1n )个小于不小于至多有n 个至少有(1n )个对所有x ,成立存在某x ,不成立p 或q p 且q 对任何x ,不成立存在某x ,成立p 且qp 或q14.四种命题的相互关系原命题互逆逆命题若p则q若q则p互互互为为互否否逆逆否否否命题逆否命题若非p则非q互逆若非q则非p15.充要条件(1)充分条件:若p q ,则p 是q 充分条件. (2)必要条件:若q p ,则p 是q 必要条件. (3)充要条件:若pq ,且qp ,则p 是q 充要条件.注:如果甲是乙的充分条件,则乙是甲的必要条件;反之亦然.16.函数的单调性(1)设2121,,x x b a x x 那么1212()()()0x x f x f x b a x f x x x f x f ,)(0)()(2121在上是增函数;1212()()()x x f x f x b a x f x x x f x f ,)(0)()(2121在上是减函数.(2)设函数)(x f y在某个区间内可导,如果0)(x f ,则)(x f 为增函数;如果0)(x f ,则)(x f 为减函数.17.如果函数)(x f 和)(x g 都是减函数,则在公共定义域内,和函数)()(x g x f 也是减函数; 如果函数)(u f y 和)(x g u在其对应的定义域上都是减函数,则复合函数)]([x g f y是增函数.18.奇偶函数的图象特征奇函数的图象关于原点对称,偶函数的图象关于y 轴对称;反过来,如果一个函数的图象关于原点对称,那么这个函数是奇函数;如果一个函数的图象关于y 轴对称,那么这个函数是偶函数.19.若函数)(x f y 是偶函数,则)()(a x f a x f ;若函数)(a x f y 是偶函数,则)()(a xf a xf .20.对于函数)(x f y(R x ),)()(x bf a xf 恒成立,则函数)(x f 的对称轴是函数2ba x;两个函数)(a xf y与)(x bf y 的图象关于直线2ba x对称.21.若)()(a xf x f ,则函数)(x f y的图象关于点)0,2(a对称; 若)()(a xf x f ,则函数)(x f y为周期为a 2的周期函数.22.多项式函数110()nn n n P x a xa x a 的奇偶性多项式函数()P x 是奇函数()P x 的偶次项(即奇数项)的系数全为零.多项式函数()P x 是偶函数()P x 的奇次项(即偶数项)的系数全为零. 23.函数()y f x 的图象的对称性(1)函数()yf x 的图象关于直线x a 对称()()f a x f a x (2)()f ax f x .(2)函数()yf x 的图象关于直线2a bx 对称()()f a mx f b mx ()()f abmx f mx .24.两个函数图象的对称性(1)函数()y f x 与函数()y f x 的图象关于直线0x (即y 轴)对称.(2)函数()y f mxa 与函数()yf b mx 的图象关于直线2ab xm对称.(3)函数)(x f y和)(1x fy 的图象关于直线y=x 对称.25.若将函数)(x f y 的图象右移a 、上移b 个单位,得到函数b a x f y )(的图象;若将曲线0),(y x f 的图象右移a 、上移b 个单位,得到曲线0),(b y a x f 的图象.26.互为反函数的两个函数的关系a b f b a f )()(1. 27.若函数)(b kxf y存在反函数,则其反函数为])([11b x fky ,并不是)([1b kxfy,而函数)([1b kx fy 是])([1b x f ky的反函数.28.几个常见的函数方程(1)正比例函数()f x cx ,()()(),(1)f xy f x f y f c . (2)指数函数()xf x a ,()()(),(1)0f x y f x f y f a . (3)对数函数()log a f x x ,()()(),()1(0,1)f xy f x f y f a aa.(4)幂函数()f x x ,'()()(),(1)f xy f x f y f .(5)余弦函数()cos f x x ,正弦函数()sin g x x ,()()()()()f x y f x f y g x g y ,()(0)1,lim1xg x f x.29.几个函数方程的周期(约定a>0)(1))()(a x f x f ,则)(x f 的周期T=a ;(2)0)()(a x f x f ,或)0)(()(1)(x f x f a x f ,或1()()f x a f x (()0)f x ,或21()()(),(()0,1)2f x f x f x a f x ,则)(x f 的周期T=2a ;(3))0)(()(11)(x f a x f x f ,则)(x f 的周期T=3a ;(4))()(1)()()(212121x f x f x f x f x x f 且1212()1(()()1,0||2)f a f x f x x x a ,则)(x f 的周期T=4a ;(5)()()(2)(3)(4)f x f x a f x a f x a f x a ()()(2)(3)(4)f x f x a f x a f x a f x a ,则)(x f 的周期T=5a ;(6))()()(a x f x f a x f ,则)(x f 的周期T=6a.30.分数指数幂(1)1mnn ma a(0,,a m n N ,且1n ). (2)1m nm n aa(0,,am nN ,且1n ).31.根式的性质(1)()nna a .(2)当n 为奇数时,nnaa ;当n 为偶数时,,0||,0nna a aa a a.32.有理指数幂的运算性质(1) (0,,)r s r s a a a a r s Q . (2) ()(0,,)r s rsa a ar s Q . (3)()(0,0,)rr rab a b a brQ .注:若a >0,p 是一个无理数,则a p表示一个确定的实数.上述有理指数幂的运算性质,对于无理数指数幂都适用.33.指数式与对数式的互化式log ba NbaN (0,1,0)aa N .34.对数的换底公式log log log m a m N Na(0a ,且1a ,0m ,且1m ,0N).推论log log mna a nb b m(0a ,且1a ,,0m n,且1m,1n ,0N).35.对数的四则运算法则若a >0,a ≠1,M >0,N >0,则(1)log ()log log a a a MN M N ; (2) log log log aa a MMN N ; (3)log log ()na a Mn M nR .36.设函数)0)((log )(2a c bxaxx f m ,记ac b42.若)(x f 的定义域为R,则0a,且0;若)(x f 的值域为R ,则0a ,且0.对于0a的情形,需要单独检验.37.对数换底不等式及其推广若0a,0b,0x ,1xa ,则函数log ()ax ybx (1)当a b 时,在1(0,)a 和1(,)a上log ()ax ybx 为增函数. ,(2)当ab 时,在1(0,)a 和1(,)a 上log ()ax ybx 为减函数.推论:设1n m ,0p,0a,且1a ,则(1)log ()log m p m n p n . (2)2log log log 2a a am n m n.38.平均增长率的问题如果原来产值的基础数为N ,平均增长率为p ,则对于时间x 的总产值y ,有(1)xy N p .39.数列的同项公式与前n 项的和的关系11,1,2nnn s n a s s n( 数列{}n a 的前n 项的和为12nn s a a a ).40.等差数列的通项公式*11(1)()na a n ddna d nN ;其前n 项和公式为1()2n nn a a s 1(1)2n n na d211()22d n a d n. 41.等比数列的通项公式1*11()n nna a a qq nN q;其前n 项的和公式为11(1),11,1nna q qs q na q或11,11,1n na a qq q s na q . 42.等比差数列n a :11,(0)nna qa d ab q的通项公式为1(1),1(),11nn nb n d q a bqdb q dq q ;其前n 项和公式为(1),(1)1(),(1)111nnnb n n d q s d qd bn qqq q.43.分期付款(按揭贷款) 每次还款(1)(1)1nnab b xb 元(贷款a 元,n 次还清,每期利率为b ).44.常见三角不等式(1)若(0,)2x,则sin tan xx x .(2) 若(0,)2x ,则1sin cos 2xx.(3) |sin ||cos |1x x .45.同角三角函数的基本关系式22sincos1,tan =cossin ,tan 1cot .46.正弦、余弦的诱导公式212(1)sin ,sin()2(1)s ,n n n co 212(1)s ,s()2(1)sin ,nn co n co 47.和角与差角公式sin()sincoscos sin; cos()cos cos sin sin;tan tan tan()1tantan .22sin()sin()sinsin(平方正弦公式); 22cos()cos()cossin.sin cos a b =22sin()a b (辅助角所在象限由点(,)a b 的象限决定,tanba).48.二倍角公式sin22sin cos .2222cos2cossin2cos112sin.22tan tan21tan.49. 三倍角公式3sin 33sin 4sin4sin sin()sin()33. 3cos34cos 3cos 4coscos()cos()33.323tantantan3tan tan()tan()13tan33.50.三角函数的周期公式函数sin()y x,x ∈R 及函数cos()y x,x ∈R(A,ω,为常数,且A ≠0,ω>0)的周期2T ;函数tan()y x ,,2x kk Z (A,ω,为常数,且A ≠0,ω>0)的周期T. 51.正弦定理2sin sin sin a b c R A BC.52.余弦定理2222cos abcbc A ; 2222cos b c a ca B ;2222cos c abab C .(n 为偶数) (n 为奇数) (n 为偶数)(n 为奇数)53.面积定理(1)111222abc S ah bh ch (a b c h h h 、、分别表示a 、b 、c 边上的高).(2)111sin sin sin 222S ab C bc Aca B .(3)221(||||)()2OABS OA OB OA OB .54.三角形内角和定理在△ABC 中,有()A B CC A B 222C A B222()C AB .55.简单的三角方程的通解sin (1)arcsin (,||1)k x a x k a k Z a . s 2arccos (,||1)co x a x ka k Z a .tan arctan (,)x a x k a kZ aR .特别地,有sin sin (1)()kk k Z . s cos 2()co k k Z . tan tan ()k kZ . 56.最简单的三角不等式及其解集sin (||1)(2arcsin ,2arcsin ),xa a xka ka kZ .sin (||1)(2arcsin ,2arcsin ),x a a x k a k a k Z . cos (||1)(2arccos ,2arccos ),x a a x k a k a k Z . cos (||1)(2arccos ,22arccos ),x a a x k a k a k Z .tan ()(arctan ,),2x a a R x k a k kZ . tan ()(,arctan ),2xa aR xkka kZ .57.实数与向量的积的运算律设λ、μ为实数,那么(1) 结合律:λ(μa)=(λμ)a; (2)第一分配律:(λ+μ)a=λa+μa;(3)第二分配律:λ(a+b)=λa+λb. 58.向量的数量积的运算律:(1) a ·b= b ·a (交换律); (2)(a )·b= (a ·b )=a ·b= a ·(b ); (3)(a +b )·c= a ·c +b ·c.59.平面向量基本定理如果e 1、e 2是同一平面内的两个不共线向量,那么对于这一平面内的任一向量,有且只有一对实数λ1、λ2,使得a=λ1e 1+λ2e 2.不共线的向量e 1、e 2叫做表示这一平面内所有向量的一组基底.60.向量平行的坐标表示设a=11(,)x y ,b=22(,)x y ,且b 0,则a b(b 0)12210x y x y .53. a 与b 的数量积(或内积)a ·b=|a ||b|cos θ.61. a ·b 的几何意义数量积a ·b 等于a 的长度|a|与b 在a 的方向上的投影|b|cos θ的乘积.62.平面向量的坐标运算(1)设a=11(,)x y ,b=22(,)x y ,则a+b=1212(,)x x y y . (2)设a=11(,)x y ,b=22(,)x y ,则a-b=1212(,)x x y y .(3)设A 11(,)x y ,B 22(,)x y ,则2121(,)ABOB OA x x y y .(4)设a=(,),x y R ,则a=(,)x y . (5)设a=11(,)x y ,b=22(,)x y ,则a ·b=1212()x x y y .63.两向量的夹角公式121222221122cos x x y y x y x y (a =11(,)x y ,b=22(,)x y ). 64.平面两点间的距离公式,A B d =||AB AB AB 222121()()x x y y (A 11(,)x y ,B 22(,)x y ).65.向量的平行与垂直设a=11(,)x y ,b=22(,)x y ,且b 0,则A ||b b=λa 12210x y x y . ab(a0)a ·b=012120x x y y .66.线段的定比分公式设111(,)P x y ,222(,)P x y ,(,)P x y 是线段12P P 的分点,是实数,且12PP PP ,则121211x x x y y y121OP OP OP12(1)OPtOP t OP (11t).67.三角形的重心坐标公式△ABC 三个顶点的坐标分别为11A(x ,y )、22B(x ,y )、33C(x ,y ),则△ABC 的重心的坐标是123123(,)33x x x y y y G .68.点的平移公式''''xx h x xh y y kyyk''OPOPPP .注:图形F 上的任意一点P(x ,y)在平移后图形'F 上的对应点为'''(,)P x y ,且'PP 的坐标为(,)h k .69.“按向量平移”的几个结论(1)点(,)P x y 按向量a=(,)h k 平移后得到点'(,)P x h y k .(2) 函数()yf x 的图象C 按向量a=(,)h k 平移后得到图象'C ,则'C 的函数解析式为()yf x h k .(3) 图象'C 按向量a=(,)h k 平移后得到图象C ,若C 的解析式()y f x ,则'C 的函数解析式为()y f x h k .(4)曲线C :(,)0f x y 按向量a=(,)h k 平移后得到图象'C ,则'C 的方程为(,)0f xh yk .(5) 向量m =(,)x y 按向量a=(,)h k 平移后得到的向量仍然为m =(,)x y .70.三角形五“心”向量形式的充要条件设O 为ABC 所在平面上一点,角,,A B C 所对边长分别为,,a b c ,则(1)O 为ABC 的外心222OA OB OC . (2)O 为ABC 的重心0OA OBOC.(3)O 为ABC 的垂心OA OB OB OCOC OA . (4)O 为ABC 的内心0aOAbOBcOC.(5)O 为ABC 的A 的旁心aOA bOB cOC . 71.常用不等式:(1),a b R 222a b ab (当且仅当a =b 时取“=”号).(2),a b R 2a bab (当且仅当a =b 时取“=”号).(3)3333(0,0,0).a b c abc a b c (4)柯西不等式22222()()(),,,,.ab cd ac bd a b c dR (5)b a b a b a .72.极值定理已知y x,都是正数,则有(1)若积xy 是定值p ,则当y x 时和y x 有最小值p 2;(2)若和y x 是定值s ,则当y x时积xy 有最大值241s .推广已知R yx,,则有xyy xy x2)()(22(1)若积xy 是定值,则当||y x 最大时,||y x 最大;当||y x 最小时,||y x 最小. (2)若和||y x 是定值,则当||y x 最大时, ||xy 最小;当||y x最小时, ||xy 最大.73.一元二次不等式20(0)ax bxc或2(0,40)abac,如果a 与2axbx c 同号,则其解集在两根之外;如果a 与2ax bx c 异号,则其解集在两根之间.简言之:同号两根之外,异号两根之间.121212()()0()x xx x x x x x x ;121212,()()0()xx x x xx xx x x 或.74.含有绝对值的不等式当a> 0时,有22xaxaa x a .22x a x axa 或x a .75.无理不等式(1)()0()()()0()()f x f xg x g x f x g x .(2)2()0()0()()()0()0()[()]f x f x f xg x g x g x f x g x 或.(3)2()0()()()0()[()]f x f xg x g x f x g x .76.指数不等式与对数不等式(1)当1a 时,()()()()f x g x aaf xg x ;()0log ()log ()()0()()a a f x f x g x g x f x g x .(2)当01a 时,()()()()f x g x aaf xg x ;()0log ()log ()()0()()a a f x f x g x g x f x g x 77.斜率公式2121y y kx x (111(,)P x y 、222(,)P x y ).78.直线的五种方程(1)点斜式11()y y k x x (直线l 过点111(,)P x y ,且斜率为k ).(2)斜截式y kx b (b 为直线l 在y 轴上的截距).(3)两点式112121y y x x y y x x (12y y )(111(,)P x y 、222(,)P x y (12x x )).(4)截距式1xya b (a b 、分别为直线的横、纵截距,0a b 、)(5)一般式0Ax ByC (其中A 、B 不同时为0). 79.两条直线的平行和垂直(1)若111:l y k x b ,222:l y k x b ①121212||,l l k k b b ;②12121l l k k . (2)若1111:0l A x B y C ,2222:0l A x B y C ,且A 1、A 2、B 1、B 2都不为零,①11112222||A B C l l A B C ;②1212120l l A A B B ;80.夹角公式(1)2121tan ||1k k k k .(111:l y k x b ,222:l yk x b ,121k k )(2)12211212tan ||A B A B A A B B .(1111:0l A x B y C ,2222:0l A xB yC ,12120A A B B ).直线12l l 时,直线l 1与l 2的夹角是2.81. 1l 到2l 的角公式(1)2121tan 1k k k k .(111:l y k xb ,222:l yk x b ,121k k )(2)12211212tan A B A B A A B B .(1111:0l A x B yC ,2222:0l A xB yC ,12120A A B B ).直线12l l 时,直线l 1到l 2的角是2.82.四种常用直线系方程(1)定点直线系方程:经过定点000(,)P x y 的直线系方程为00()y y k x x (除直线0x x ),其中k 是待定的系数; 经过定点000(,)P x y 的直线系方程为00()()0A x x B y y ,其中,A B 是待定的系数.(2)共点直线系方程:经过两直线1111:0l A x B yC ,2222:0l A xB yC 的交点的直线系方程为111222()()0A xB yC A xB yC (除2l ),其中λ是待定的系数.(3)平行直线系方程:直线y kx b 中当斜率k 一定而b 变动时,表示平行直线系方程.与直线0Ax By C 平行的直线系方程是0Ax By (0),λ是参变量.(4)垂直直线系方程:与直线0Ax By C (A ≠0,B ≠0)垂直的直线系方程是0BxAy,λ是参变量.83.点到直线的距离22||Ax By C dAB(点00(,)P x y ,直线l :0AxBy C).84. 0AxBy C 或0所表示的平面区域设直线:0l Ax ByC,则0AxByC或0所表示的平面区域是:若0B ,当B 与Ax By C 同号时,表示直线l 的上方的区域;当B 与AxBy C 异号时,表示直线l 的下方的区域.简言之,同号在上,异号在下.若0B ,当A 与Ax By C 同号时,表示直线l 的右方的区域;当A 与Ax ByC 异号时,表示直线l 的左方的区域. 简言之,同号在右,异号在左.85. 111222()()0A x B y C A x B y C 或0所表示的平面区域设曲线111222:()()0C A xB yC A x B y C (12120A A B B ),则111222()()0A x B y C A x B y C 或0所表示的平面区域是:111222()()0A x B y C A x B y C 所表示的平面区域上下两部分;111222()()0A xB yC A xB yC 所表示的平面区域上下两部分.86. 圆的四种方程(1)圆的标准方程222()()x a y b r . (2)圆的一般方程220xyDxEy F(224DEF >0).(3)圆的参数方程cos sinx a r yb r .(4)圆的直径式方程1212()()()()0xx xx yy yy (圆的直径的端点是11(,)A x y 、22(,)B x y ).87. 圆系方程(1)过点11(,)A x y ,22(,)B x y 的圆系方程是1212112112()()()()[()()()()]0x x x x y y y y x x y y y y x x 1212()()()()()0xx xx yy y y axbyc ,其中0ax by c是直线AB 的方程,λ是待定的系数.(2)过直线l :0AxBy C与圆C :220x yDxEy F的交点的圆系方程是22()0xyDx Ey FAx By C ,λ是待定的系数.(3) 过圆1C :221110x yD xE yF 与圆2C :222220x yD xE yF 的交点的圆系方程是2222111222()0xyD xE yF xy D xE yF ,λ是待定的系数.88.点与圆的位置关系点00(,)P x y 与圆222)()(r b ya x 的位置关系有三种若2200()()da xb y ,则d r 点P 在圆外;d r 点P 在圆上;d r 点P 在圆内. 89.直线与圆的位置关系直线0C By Ax 与圆222)()(r b y a x 的位置关系有三种: 0相离r d ;0相切r d ; 0相交rd.其中22BA CBb Aad.90.两圆位置关系的判定方法设两圆圆心分别为O 1,O 2,半径分别为r 1,r 2,dO O 21条公切线外离421r r d ; 条公切线外切321r r d;条公切线相交22121r r d r r ;条公切线内切121r r d ;无公切线内含21r r d.91.圆的切线方程(1)已知圆220x y Dx Ey F .①若已知切点00(,)x y 在圆上,则切线只有一条,其方程是00()()022D x x E y y x xy yF. 当00(,)x y 圆外时, 000()()022D x xE y y x x y yF表示过两个切点的切点弦方程.②过圆外一点的切线方程可设为00()yy k xx ,再利用相切条件求k ,这时必有两条切线,注意不要漏掉平行于y 轴的切线.③斜率为k 的切线方程可设为y kx b ,再利用相切条件求b ,必有两条切线.(2)已知圆222x yr .①过圆上的000(,)P x y 点的切线方程为200x x y yr ;②斜率为k 的圆的切线方程为21y kx r k .92.椭圆22221(0)x y a bab的参数方程是cos sinx a yb .93.椭圆22221(0)x y a bab 焦半径公式)(21ca xe PF ,)(22x c ae PF .94.椭圆的的内外部(1)点00(,)P x y 在椭圆22221(0)x y a b a b 的内部2200221x y a b . (2)点00(,)P x y 在椭圆22221(0)x y abab的外部2200221x yab .95. 椭圆的切线方程(1)椭圆22221(0)x y a b ab 上一点00(,)P x y 处的切线方程是00221x xy y ab.(2)过椭圆22221(0)x y abab外一点00(,)P x y 所引两条切线的切点弦方程是00221x x y y ab. (3)椭圆22221(0)x y a bab 与直线0Ax By C 相切的条件是22222A aB bc .96.双曲线22221(0,0)x y ab ab的焦半径公式21|()|aPF e xc,22|()|aPF e x c .97.双曲线的内外部(1)点00(,)P x y 在双曲线22221(0,0)x y a b a b 的内部2200221x y a b . (2)点00(,)P x y 在双曲线22221(0,0)x y abab的外部2200221x ya b .98.双曲线的方程与渐近线方程的关系(1)若双曲线方程为12222by ax 渐近线方程:22220x y abx ab y. (2)若渐近线方程为xa b yby ax 双曲线可设为2222by ax .(3)若双曲线与12222by ax 有公共渐近线,可设为2222by ax (0,焦点在x 轴上,0,焦点在y 轴上).99. 双曲线的切线方程(1)双曲线22221(0,0)x y a b ab 上一点00(,)P x y 处的切线方程是00221x x y y ab.(2)过双曲线22221(0,0)x y abab外一点00(,)P x y 所引两条切线的切点弦方程是00221x x y y ab.(3)双曲线22221(0,0)x y a bab与直线0AxBy C相切的条件是22222A aB bc .100. 抛物线px y 22的焦半径公式抛物线22(0)ypx p焦半径02p CFx . 过焦点弦长p x x p x p x CD 212122. 101.抛物线px y22上的动点可设为P ),2(2y py或或)2,2(2pt pt P P (,)x y ,其中22ypx .102.二次函数2224()24b ac b yaxbx c a xaa(0)a 的图象是抛物线:(1)顶点坐标为24(,)24b ac b a a;(2)焦点的坐标为241(,)24b ac ba a;(3)准线方程是2414acb ya.103.抛物线的内外部(1)点00(,)P x y 在抛物线22(0)y px p的内部22(0)y px p. 点00(,)P x y 在抛物线22(0)y px p的外部22(0)ypx p . (2)点00(,)P x y 在抛物线22(0)ypx p 的内部22(0)ypx p.点00(,)P x y 在抛物线22(0)y px p的外部22(0)ypx p . (3)点00(,)P x y 在抛物线22(0)xpy p的内部22(0)xpy p.点00(,)P x y 在抛物线22(0)x py p 的外部22(0)x py p .(4) 点00(,)P x y 在抛物线22(0)xpy p 的内部22(0)xpy p . 点00(,)P x y 在抛物线22(0)xpy p 的外部22(0)xpy p. 104. 抛物线的切线方程(1)抛物线px y 22上一点00(,)P x y 处的切线方程是00()y y p xx .(2)过抛物线px y22外一点00(,)P x y 所引两条切线的切点弦方程是00()y yp x x .(3)抛物线22(0)y px p 与直线0Ax By C 相切的条件是22pB AC .105.两个常见的曲线系方程(1)过曲线1(,)0f x y ,2(,)0f x y 的交点的曲线系方程是12(,)(,)0f x y f x y (为参数).(2)共焦点的有心圆锥曲线系方程22221xya kb k ,其中22max{,}ka b .当22min{,}ka b 时,表示椭圆; 当2222min{,}max{,}a b ka b 时,表示双曲线.106.直线与圆锥曲线相交的弦长公式221212()()AB x x y y 或2222211212(1)()||1tan ||1tABk x x x x y y co (弦端点A ),(),,(2211y xB y x ,由方程)y ,x (F b kx y消去y 得到02cbx ax,0,为直线AB 的倾斜角,k 为直线的斜率).107.圆锥曲线的两类对称问题(1)曲线(,)0F x y 关于点00(,)P x y 成中心对称的曲线是00(2-,2)0F x x y y .(2)曲线(,)0F x y 关于直线0Ax By C 成轴对称的曲线是22222()2()(,)0A AxBy C B AxBy C F xyABAB.108.“四线”一方程对于一般的二次曲线220AxBxy Cy Dx Ey F,用0x x 代2x ,用0y y 代2y ,用002x yxy 代xy ,用02x x代x ,用2y y代y 即得方程00000222x yxy x xy yAx xBCy y DEF,曲线的切线,切点弦,中点弦,弦中点方程均是此方程得到.109.证明直线与直线的平行的思考途径(1)转化为判定共面二直线无交点;(2)转化为二直线同与第三条直线平行;(3)转化为线面平行;(4)转化为线面垂直;(5)转化为面面平行.110.证明直线与平面的平行的思考途径(1)转化为直线与平面无公共点;(2)转化为线线平行;(3)转化为面面平行.111.证明平面与平面平行的思考途径(1)转化为判定二平面无公共点;(2)转化为线面平行;(3)转化为线面垂直.112.证明直线与直线的垂直的思考途径(1)转化为相交垂直;(2)转化为线面垂直;(3)转化为线与另一线的射影垂直;(4)转化为线与形成射影的斜线垂直. 113.证明直线与平面垂直的思考途径(1)转化为该直线与平面内任一直线垂直;(2)转化为该直线与平面内相交二直线垂直;(3)转化为该直线与平面的一条垂线平行;(4)转化为该直线垂直于另一个平行平面;(5)转化为该直线与两个垂直平面的交线垂直. 114.证明平面与平面的垂直的思考途径(1)转化为判断二面角是直二面角;(2)转化为线面垂直.115.空间向量的加法与数乘向量运算的运算律(1)加法交换律:a +b=b +a .(2)加法结合律:(a +b)+c=a +(b +c).(3)数乘分配律:λ(a +b)=λa +λb .116.平面向量加法的平行四边形法则向空间的推广始点相同且不在同一个平面内的三个向量之和,等于以这三个向量为棱的平行六面体的以公共始点为始点的对角线所表示的向量.117.共线向量定理对空间任意两个向量a 、b(b ≠0 ),a ∥b 存在实数λ使a=λb .P A B 、、三点共线||AP ABAPt AB(1)OP t OA tOB .||AB CDAB 、CD 共线且AB CD 、不共线ABtCD 且AB CD 、不共线.118.共面向量定理向量p 与两个不共线的向量a 、b 共面的存在实数对,x y ,使paxby .推论空间一点P 位于平面MAB 内的存在有序实数对,x y ,使MPxMAyMB ,或对空间任一定点O ,有序实数对,x y ,使OPOMxMAyMB .119.对空间任一点O 和不共线的三点A 、B 、C ,满足OP xOA yOB zOC (x y z k ),则当1k 时,对于空间任一点O ,总有P 、A 、B 、C 四点共面;当1k 时,若O 平面ABC ,则P 、A 、B 、C 四点共面;若O 平面ABC ,则P 、A 、B 、C 四点不共面.C A B 、、、D 四点共面AD 与AB 、AC 共面ADx AByAC(1)ODxy OAxOByOC (O 平面ABC ).120.空间向量基本定理如果三个向量a 、b 、c 不共面,那么对空间任一向量p ,存在一个唯一的有序实数组x ,y ,z ,使p =xa +yb +zc .推论设O 、A 、B 、C 是不共面的四点,则对空间任一点P ,都存在唯一的三个有序实数x ,y ,z ,使OPxOAyOBzOC .121.射影公式已知向量AB =a 和轴l ,e 是l 上与l 同方向的单位向量.作A 点在l 上的射影'A ,作B 点在l 上的射影'B ,则''||cos A BAB 〈a ,e 〉=a ·e122.向量的直角坐标运算设a =123(,,)a a a ,b =123(,,)b b b 则(1)a +b =112233(,,)a b a b a b ;(2)a -b =112233(,,)a b a b a b ;(3)λa =123(,,)a a a (λ∈R);(4)a ·b =112233a b a b a b ;123.设A 111(,,)x y z ,B 222(,,)x y z ,则ABOBOA = 212121(,,)x x y y z z .124.空间的线线平行或垂直设111(,,)a x y z r ,222(,,)b x y z r,则a br r P (0)ab b r r r r 121212x x y y z z ;abr r 0a br r 1212120x x y y z z .125.夹角公式设a =123(,,)a a a ,b =123(,,)b b b ,则cos 〈a ,b 〉=112233222222123123a b a b a b aaabbb.推论2222222112233123123()()()a b a b a b aaa b bb ,此即三维柯西不等式.126. 四面体的对棱所成的角四面体ABCD 中, AC 与BD 所成的角为,则2222|()()|cos2ABCD BCDA AC BD.127.异面直线所成角cos|cos ,|a b r r =121212222222111222||||||||x x y y z z a b a b xy z x y z r r r r (其中(090oo)为异面直线a b ,所成角,,a b r r分别表示异面直线a b ,的方向向量)128.直线AB 与平面所成角sin||||AB marc AB m (m 为平面的法向量).129.若ABC 所在平面若与过若AB 的平面成的角,另两边AC ,BC 与平面成的角分别是1、2,A B 、为ABC 的两个内角,则2222212sin sin (sin sin )sin A B .特别地,当90ACB时,有22212sinsinsin.130.若ABC 所在平面若与过若AB 的平面成的角,另两边AC ,BC 与平面成的角分别是1、2,''A B 、为ABO 的两个内角,则222'2'212tan tan (sin sin )tanA B .特别地,当90AOB时,有22212sinsinsin .131.二面角l的平面角cos||||m narc m n 或cos||||m narc m n (m ,n 为平面,的法向量).132.三余弦定理设AC 是α内的任一条直线,且BC ⊥AC ,垂足为C ,又设AO 与AB 所成的角为1,AB 与AC所成的角为2,AO 与AC 所成的角为.则12cos cos cos . 133. 三射线定理若夹在平面角为的二面角间的线段与二面角的两个半平面所成的角是1,2,与二面角的棱所成的角是θ,则有22221212sinsinsinsin2sinsincos;1212||180()(当且仅当90时等号成立).134.空间两点间的距离公式若A 111(,,)x y z ,B 222(,,)x y z ,则,A B d =||AB AB AB222212121()()()x x y y z z .135.点Q 到直线l 距离221(||||)()||h a b a b a (点P 在直线l 上,直线l 的方向向量a=PA ,向量b=PQ ).136.异面直线间的距离||||CD n dn (12,l l 是两异面直线,其公垂向量为n ,C D 、分别是12,l l 上任一点,d 为12,l l 间的距离).137.点B 到平面的距离||||AB n dn (n 为平面的法向量,AB 是经过面的一条斜线,A).138.异面直线上两点距离公式2222cos dhmnmn .222'2cos ,dhmnmn EA AF .2222cos d hmnmn ('E AAF ).(两条异面直线a 、b 所成的角为θ,其公垂线段'AA 的长度为h.在直线a 、b 上分别取两点E 、F ,'A E m ,AF n ,EF d ). 139.三个向量和的平方公式2222()222a b c abca b b c c a2222||||cos ,2||||cos ,2||||cos ,a b ca b a bb c b cc a c a140. 长度为l 的线段在三条两两互相垂直的直线上的射影长分别为123l l l 、、,夹角分别为123、、,则有2222123llll222123coscoscos1222123sinsinsin2.(立体几何中长方体对角线长的公式是其特例).141. 面积射影定理'cosSS.(平面多边形及其射影的面积分别是S 、'S ,它们所在平面所成锐二面角的为). 142. 斜棱柱的直截面已知斜棱柱的侧棱长是l ,侧面积和体积分别是S 斜棱柱侧和V 斜棱柱,它的直截面的周长和面积分别是1c 和1S ,则①1S c l 斜棱柱侧. ②1V Sl 斜棱柱.143.作截面的依据三个平面两两相交,有三条交线,则这三条交线交于一点或互相平行. 144.棱锥的平行截面的性质如果棱锥被平行于底面的平面所截,那么所得的截面与底面相似,截面面积与底面面积的比等于顶点到截面距离与棱锥高的平方比(对应角相等,对应边对应成比例的多边形是相似多边形,相似多边形面积的比等于对应边的比的平方);相应小棱锥与小棱锥的侧面积的比等于顶点到截面距离与棱锥高的平方比.145.欧拉定理(欧拉公式)2V F E (简单多面体的顶点数V 、棱数E 和面数F).(1)E =各面多边形边数和的一半.特别地,若每个面的边数为n 的多边形,则面数F 与棱数E 的关系:12EnF ;(2)若每个顶点引出的棱数为m ,则顶点数V 与棱数E 的关系:12EmV .146.球的半径是R ,则其体积343VR , 其表面积24SR .147.球的组合体(1)球与长方体的组合体:长方体的外接球的直径是长方体的体对角线长.(2)球与正方体的组合体:正方体的内切球的直径是正方体的棱长, 正方体的棱切球的直径是正方体的面对角线长,正方体的外接球的直径是正方体的体对角线长. (3) 球与正四面体的组合体:棱长为a 的正四面体的内切球的半径为612a ,外接球的半径为64a .148.柱体、锥体的体积13V Sh 柱体(S 是柱体的底面积、h 是柱体的高). 13V Sh 锥体(S 是锥体的底面积、h 是锥体的高).149.分类计数原理(加法原理)12n N m m m . 150.分步计数原理(乘法原理)12n N m m m . 151.排列数公式m nA =)1()1(m nn n =!!)(m nn .(n ,m ∈N *,且mn ).注:规定1!0.152.排列恒等式(1)1(1)m m n n A n m A ; (2)1m m n n nA An m ;(3)11m m n n A nA ; (4)11n n n nn nnA AA ; (5)11m m m n nnAAmA.(6) 1!22!33!!(1)!1n n n .153.组合数公式m nC =m n m mAA=mm n n n 21)1()1(=!!!)(m nm n (n ∈N *,mN ,且m n ).154.组合数的两个性质(1)m n C =mn n C ; (2) m n C +1m nC =m n C1.注:规定10nC . 155.组合恒等式(1)11m m nnn m C C m ;(2)1m m nn n C Cn m ;(3)11m m nn n CC m;(4)nr r nC 0=n2; (5)1121r n rn r r r r r r C C C C C . (6)nnnrn n n n C C C C C 2210.(7)14205312n nnn nn n C CCCCC .(8)1321232n n nnnnn nCCCC. (9)r nm r nr mnr mnr mCC C CC CC 0110.(10)nn n n n n n C C C C C 22222120)()()()(.156.排列数与组合数的关系m m nnAm C ! .157.单条件排列以下各条的大前提是从n 个元素中取m 个元素的排列. (1)“在位”与“不在位”①某(特)元必在某位有11m n A 种;②某(特)元不在某位有11m n mnAA (补集思想)1111m n n AA(着眼位置)11111m nm m nA A A (着眼元素)种.(2)紧贴与插空(即相邻与不相邻)①定位紧贴:)(n m k k 个元在固定位的排列有km k n k k A A 种. ②浮动紧贴:n 个元素的全排列把k 个元排在一起的排法有k kk n k n A A11种.注:此类问题常用捆绑法;③插空:两组元素分别有k 、h 个(1h k),把它们合在一起来作全排列,k 个的一组互不能挨近的所有排列数有kh h h A A 1种.(3)两组元素各相同的插空m 个大球n 个小球排成一列,小球必分开,问有多少种排法?当1m n 时,无解;当1m n 时,有nm nn n m C A A 11种排法. (4)两组相同元素的排列:两组元素有m 个和n 个,各组元素分别相同的排列数为n nm C.158.分配问题(1)(平均分组有归属问题)将相异的m 、n 个物件等分给m 个人,各得n 件,其分配方法数共有mn nn nnnmn n nmn n mnn mn CCCCCN)!()!(22.(2)(平均分组无归属问题)将相异的m ·n 个物体等分为无记号或无顺序的m 堆,其分配方法数共有m n nn nnnmn nnmn n mnn m mn m CCC CCN)!(!)!(!...22. (3)(非平均分组有归属问题)将相异的)12m P(P=n +n ++n 个物体分给m 个人,物件必须被分完,分别得到1n ,2n ,…,m n 件,且1n ,2n ,…,m n 这m 个数彼此不相等,则其分配方法数共有!!...!!!! (2121)1m n n n n p n pn n n m p m CCCNm m.(4)(非完全平均分组有归属问题)将相异的)12m P(P=n +n ++n 个物体分给m 个人,物件必。
高中数学公式大全(最整理新版)一、代数1. 一元一次方程:ax + b = 0,其中a ≠ 0。
解为 x = b/a。
2. 一元二次方程:ax^2 + bx + c = 0,其中a ≠ 0。
解为 x =[b ± sqrt(b^2 4ac)] / 2a。
3. 一元三次方程:ax^3 + bx^2 + cx + d = 0,其中a ≠ 0。
解为x = [b ± sqrt(b^2 3ac)] / 3a。
4. 一元四次方程:ax^4 + bx^3 + cx^2 + dx + e = 0,其中 a≠ 0。
解为x = [b ± sqrt(b^2 4ac)] / 2a。
5. 分式方程:分子和分母均为多项式。
解法为将方程两边乘以分母的乘积,得到一个等价的整式方程,然后求解。
6. 二元一次方程组:由两个一元一次方程组成的方程组。
解法为消元法或代入法。
7. 二元二次方程组:由两个一元二次方程组成的方程组。
解法为消元法或代入法。
8. 三元一次方程组:由三个一元一次方程组成的方程组。
解法为消元法或代入法。
9. 等差数列:首项为 a1,公差为 d。
第 n 项为 an = a1 + (n 1)d。
前 n 项和为 Sn = n/2(a1 + an)。
10. 等比数列:首项为 a1,公比为 q。
第 n 项为 an = a1q^(n 1)。
前 n 项和为 Sn = a1 (1 q^n) / (1 q),其中q ≠ 1。
二、几何1. 平面几何(1)直线:两点确定一条直线,直线方程为 y = mx + b,其中m 是斜率,b 是截距。
(2)圆:圆心为 (a, b),半径为 r。
圆的方程为 (x a)^2 +(y b)^2 = r^2。
(3)椭圆:中心为 (a, b),长轴为 2a,短轴为 2b。
椭圆的方程为 (x a)^2 / a^2 + (y b)^2 / b^2 = 1。
(4)双曲线:中心为 (a, b),实轴为 2a,虚轴为 2b。
高中数学公式大全完整版1.代数公式:a)二次方程求根公式:对于二次方程ax²+bx+c=0,其解为:x = (-b±√(b²-4ac))/(2a)b)平方差公式:(a+b)² = a² + 2ab + b²(a-b)² = a² - 2ab + b²c)三次方差公式:(a+b)(a²-ab+b²) = a³+b³d)和差化积公式:sin(A±B) = sinAcosB ± cosAsinBcos(A±B) = cosAcosB ∓ sinAsinBtan(A±B) = (tanA± tanB)/(1 ∓ tanAtanB) e)二项式定理:(a+b)ⁿ=nC₀aⁿb⁰+nC₁aⁿ⁻¹b¹+nC₂aⁿ⁻²b²+...+nCₙa⁰bⁿ2.几何公式:a)三角形:面积公式:S=1/2*底边*高正弦定理:sinA/a = sinB/b = sinC/c余弦定理:c² = a² + b² - 2abcosCb)圆:周长公式:C=2πr面积公式:A=πr²弧长公式:L=2πr(θ/360)c)立体图形:容积公式:立方体:V=a³正方体:V=a³圆柱体:V=πr²h圆锥体:V=1/3πr²h球体:V=4/3πr³d)平移、旋转、缩放公式:平移:(x,y)→(x+a,y+b)旋转:逆时针旋转θ度:(x,y) → (xcosθ - ysinθ, xsinθ + ycosθ)缩放:横向缩放k倍,纵向缩放k倍:(x,y) → (kx, ky)3.概率公式:a)排列组合公式:排列:A(n,m)=n!/(n-m)!组合:C(n,m)=n!/(m!(n-m)!)b)期望公式:对于离散型随机变量X,期望值E(X)=Σ(x*p(x)),其中x为X的可能取值,p(x)为对应x的概率对于连续型随机变量X,期望值E(X) = ∫(x*f(x))dx,其中f(x)表示X的概率密度函数c)标准差公式:方差σ²=Σ(x-μ)²*p(x),其中μ为随机变量X的期望值标准差σ=√σ²d)独立事件公式:P(A∩B)=P(A)P(B)4.数列与级数公式:a)等差数列通项公式:aₙ=a₁+(n-1)db)等比数列通项公式:aₙ=a₁*r^(n-1)c)等差数列求和公式:Sn=(n/2)(a₁+aₙ)d)等比数列求和公式:Sn=a₁*(rⁿ-1)/(r-1)以上是高中数学公式的一个完整版,涵盖了代数、几何、概率、数列与级数等多个方面的公式。
所有高中数学公式总结归纳高中数学作为一门重要的科目,涵盖了广泛的知识内容和丰富的数学公式。
这些公式对于学生来说是必备的工具,在解题和理解数学概念中起到关键作用。
为了帮助高中学生更好地掌握数学知识,本文将对高中数学中常用的公式进行总结归纳。
以下是各个数学领域中常见的公式。
一、代数公式总结1. 一次方程:ax + b = 0解的公式:x = -b/a2. 二次方程:ax² + bx + c = 0解的公式:x = (-b ± √(b² - 4ac))/(2a)3. 二次函数的顶点坐标公式:x = -b/2ay = f(x) = c - b²/4a4. 配方法:若 x² - px + q = 0,且有实数解,其中 p² - 4q ≥ 0,则 x₁ + x₂ = p,x₁ * x₂ = q5. 平方差公式:a² - b² = (a + b)(a - b)三角函数的平方差公式:sin²θ - cos²θ = 16. 二次和公式:(a + b)² = a² + 2ab + b²三角函数的二次和公式:sin(A ± B) = sinAcosB ± cosAsinB 7. 一元二次不等式:ax² + bx + c > 0 (a > 0) 的解集为 x ∈ R | x < x₁或 x > x₂其中 x₁, x₂分别为二次方程 ax² + bx + c = 0 的两个根8. 等差数列的通项公式:an = a₁ + (n - 1)d等差数列的前 n 项和公式:Sn = (n/2)(a₁ + an)9. 等比数列的通项公式:an = a₁ * q^(n - 1)等比数列的前 n 项和公式:Sn = a₁(1 - q^n)/(1 - q)二、几何公式总结1. 三角形的面积公式:S = (1/2)bh2. 三角形的海伦公式:S = √[p(p-a)(p-b)(p-c)],其中 p 为半周长3. 三角形的余弦定理:c² = a² + b² - 2abcosC4. 三角形的正弦定理:a/sinA = b/sinB = c/sinC5. 四边形的面积公式:平行四边形:S = bh长方形:S = lw正方形:S = a²梯形:S = (上底 + 下底)h/26. 圆的面积公式:S = πr²7. 圆的周长公式:C = 2πr三、微积分公式总结1. 导数的基本公式:常数函数导数:(k)' = 0幂函数导数:(x^n)' = nx^(n-1)指数函数导数:(e^x)' = e^x对数函数导数:(logₐx)' = 1/(xlna)三角函数导数:(sinx)' = cosx,(cosx)' = -sinx2. 积分的基本公式:常数函数积分:∫kdx = kx + C幂函数积分:∫xⁿdx = (x^(n+1))/(n+1) + C指数函数积分:∫e^xdx = e^x + C对数函数积分:∫(1/x)dx = ln|x| + C三角函数积分:∫sinxdx = -cosx + C,∫cosxdx = sinx + C四、概率与统计公式总结1. 排列公式:An = n!2. 组合公式:Cnr = n!/(r!(n-r)!)3. 期望公式:E(x) = ∑[xP(x)]4. 方差公式:Var(x) = E((x-E(x))²) = E(x²) - (E(x))²5. 标准差公式:σ = √Var(x)以上是对高中数学中常见的数学公式进行的总结归纳。
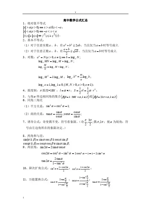
高中数学公式汇总1、绝对值不等式a x a x a a x -<>⇔>>或)0(; a x a a a x <<-⇔><)0(()x g x f x g x f 2)(2)()(≥⇔≥。
2、基本不等式:(1)对于任意实数a 、b ,有ab b a 222≥+,当且仅当a b =时等号成立.(2)对于任意正数a 、b ,有ab ba ≥+2,当且仅当a b =时等号成立.3、对数:N b a a N a a b log )1,0(=⇔≠>=;N M MN a a a log log log +=;N M NMa a alog log log -=; M k M a ka log log =;b nmb a ma n log log =;,01log ,1log ==a a a (1,0,0,≠>>a a N M );4、弧度制:π弧度=180 ;r l •=α;22121r rl S ⋅==α;5、与角α终边相同角的集合{}Z k k ∈+⋅=,360αββ 或{}Z k k ∈+=,2απββ6、同角三角比(1)平方关系:;1cos sin 22=+αα (2)商的关系:;sin cos cot ;cos sin tan αααααα==7、诱导公式:奇变偶不变,符号看象限。
(奇;23,2ππ偶ππ2,;视α为锐角;符号由左边角所在的象限决定。
)8、两角和与差:()βαβαβαsin cos cos sin sin ±=± ;sin sin cos cos )cos(βαβαβα =± 9、两倍角:sin 22sin cos ααα=ααα22sin cos 2cos -=αα22sin 211cos 2-=-=ααα2tan 1tan 22tan -=10、降次扩角公式:22cos 1sin 2αα-=;22cos 1cos 2αα+=;11、万能置换公式:22tan 2sin 1tan 2ααα=+;221tan 2cos 1tan 2ααα-=+;22tan 2tan 1tan 2ααα=-12、辅助角公式:)sin(cos sin 22βααα++=+b a b a 其中22cos b a a +=β,22sin b a b +=β13、解三角形:(1)、面积:1111sin sin sin 2222S mh ab C bc A ac B ∆====(2)正弦定理:R CcB b A a 2sin sin sin === ( R-三角形外接圆半径) (3)、余弦定理:A bc c b a cos 2222-+=; B ac c a b cos 2222-+=;C ab b a c cos 2222-+=14、正弦函数图像与性质17、n S 和n a 的关系: ⎩⎨⎧≥-==-2111n S S n Sa n n n ;其中n n a a a S +++= 2118、等差数列 :(1){}n a 是等差数列⇔d a a n n =-+1(2)通项公式:;)1(1d n a a n -+= .)(d m n a a m n -+= (3)前n 项和公式:();2;)1(2111n a a S d n n n a S n n n +=-+= (4)等差数列的性质({}n a 是公差为d 的等差数列):①若m+n=p+q,则q p n m a a a a +=+(*∈N q p n m ,,,) ②{}n a 是有穷数列,则 =+=+=+--23121n n n a a a a a a③如果A 是x,y 的等差中项,那么2yx A +=19、等比数列(1)判定方法:a n +1(q 为常数)(*∈N n )(定义法).1n m n m n q a a -=(3)前n 项和公式: ()⎪⎪⎩⎪⎪⎨⎧≠--==111111q qq a q na a n n ⎪⎪⎩⎪⎪⎨⎧≠--==11111q qqa a q n a n20、数列求和常见方法:公式法;倒序相加法;分组求和法;裂项法;错位相减法。
高中数学必考公式全总结!高中数学是高中阶段最为重要的一门学科之一,掌握好数学的基本知识和公式是非常重要的。
下面是高中数学必考的一些常用公式的全面总结:1.同底数幂相乘:a^m*a^n=a^(m+n)2.同底数幂相除:a^m/a^n=a^(m-n)3. 幂的乘法公式:(a^m)^n = a^(mn)4.幂的除法公式:(a/b)^m=a^m/b^m5. 乘法公式:(a + b)(c + d) = ac + ad + bc + bd6. 二次根式乘积:√a * √b = √(ab)7.二次根式商:√a/√b=√(a/b)8. 二次根式的积:√(ab) = √a * √b9.二次根式的商:√(a/b)=√a/√b10.平方差公式:(a+b)(a-b)=a^2-b^211. 三角函数的平方和公式:sin^2θ + cos^2θ = 112. 三角函数的平方差公式:sin^2θ - cos^2θ = sin2θ13. 三角函数的和差公式:sin(α ± β) = sinαcosβ ±cosαsinβ14. 三角函数的积化和差公式:cosαcosβ = 1/2[cos(α +β) + cos(α - β)]15. 三角函数的积化和差公式:sinαsinβ = 1/2[cos(α - β) - cos(α + β)]此外,还有一些高中数学中需要掌握的重要公式:16. 三角函数的倒数关系:sinθ = 1/cscθ,cosθ = 1/secθ,tanθ = 1/cotθ17. 三角函数的商化积公式:tanθ = sinθ/cosθ,cotθ =cosθ/sinθ18.弧度与角度转换公式:弧度=(π/180)×角度,角度=(180/π)×弧度19. 二次方程求根公式:对于ax² + bx + c = 0,其中a≠0,则有x = (-b ± √(b² - 4ac)) / (2a)20.弧长公式:s=rθ21.扇形面积公式:A=(θ/360°)×πr²22.圆柱体体积公式:V=πr²h23.球体积公式:V=(4/3)πr³24.圆锥体体积公式:V=(1/3)πr²h25.向量的模长公式:∥a∥=√(a₁²+a₂²+a₃²)。
1. 集合与常用逻辑用语
2. 复数
3. 平面向量
4. 算法、推理与证明
5.不等式、线性规划
6. 计数原理与二项式定理
7. 函数、基本初等函数的图像与性质
8. 函数与方程、函数模型及其应用
9.导数及其应用
10.三角函数的图形与性质
11.三角恒等变化与解三角形
12.等差数列、等比数列
13.数列求和及数列的简单应用
14.空间几何体
15.空间点、直线、平面位置关系
16.空间向量与立体几何
17.直线与圆的方程
18.圆锥曲线的定义、方程与性质
19.圆锥曲线的热点问题
20.概率
21.离散型随机变量及其分布
22.统计与统计案例
23.函数与方程思想,数学结合思想
24.分类与整合思想,化归与转化思想
25.几何证明选讲
26.坐标系与参数方程。
高中数学公式大全高中数学公式大全(完整版)精选1、两角和公式sin(A+B)=sinAcosB+cosAsinBsin(A-B)=sinAcosB-sinBcosAcos(A+B)=cosAcosB-sinAsinBcos(A-B)=cosAcosB+sinAsinBtan(A+B)=(tanA+tanB)/(1-tanAtanB)tan(A-B)=(tanA-tanB)/(1+tanAtanB)cot(A+B)=(cotAcotB-1)/(cotB+cotA)cot(A-B)=(cotAcotB+1)/(cotB-cotA)2、乘法与因式分解a^2-b^2=(a+b)(a-b)a^3+b^3=(a+b)(a^2-ab+b^2) •a^3-b^3=(a-b(a^2+ab+b^2)3、三角不等式|a+b|≤|a|+|b| |a-b|≤|a|+|b| |a|≤b<=>-b≤a≤b|a-b|≥|a|-|b| -|a|≤a≤|a|4、正弦定理 a/sinA=b/sinB=c/sinC=2R 注:其中 R 表示三角形的外接圆半径。
5、余弦定理 b^2=a^2+c^2-2accosB 注:角B是边a和边c的夹角。
6、圆的标准方程 (x-a)^2+(y-b)^2=^r2 注:(a,b)是圆心坐标。
7、圆的一般方程 x^2+y^2+Dx+Ey+F=0 注:D^2+E^2-4F>0。
8、倍角公式tan2A=2tanA/[1-(tanA)^2]cos2a=(cosa)^2-(sina)^2=2(cosa)^2 -1=1-2(sina)^29、半角公式sin(A/2)=√((1-cosA)/2) sin(A/2)=-√((1-cosA)/2)cos(A/2)=√((1+cosA)/2) cos(A/2)=-√((1+cosA)/2)tan(A/2)=√((1-cosA)/((1+cosA)) tan(A/2)=-√((1-cosA)/((1+cosA))cot(A/2)=√((1+cosA)/((1-cosA)) cot(A/2)=-√((1+cosA)/((1-cosA))10、某些数列前n项和1+2+3+4+5+6+7+8+9+…+n=n(n+1)/21+3+5+7+9+11+13+15+…+(2n-1)=n22+4+6+8+10+12+14+…+(2n)=n(n+1) 51^2+2^2+3^2+4^2+5^2+6^2+7^2+8^2+…+n^2=n(n+1)(2n+1)/61^3+2^3+3^3+4^3+5^3+6^3+…n^3=n2(n+1)2/41*2+2*3+3*4+4*5+5*6+6*7+…+n(n+1)=n(n+1)(n+2)/3高中数学的学习方法1、要养成良好的演算、验算习惯,提高运算能力。
高考数学所有公式大全一、集合。
1. 集合的基本运算。
- 交集:A∩ B = {xx∈ A且x∈ B}- 并集:A∪ B={xx∈ A或x∈ B}- 补集:∁_U A={xx∈ U且x∉ A}(U为全集)2. 集合间的关系。
- 若A⊆ B,则A中的元素都在B中,n(A)≤ n(B)(n(A)表示集合A的元素个数)- 若A = B,则A⊆ B且B⊆ A二、函数。
1. 函数的定义域。
- 分式函数y = (f(x))/(g(x)),其定义域为g(x)≠0的x的取值范围。
- 偶次根式函数y=sqrt[n]{f(x)}(n为偶数),其定义域为f(x)≥0的x的取值范围。
2. 函数的单调性。
- 设x_1,x_2∈[a,b]且x_1 < x_2- 增函数:f(x_1),则y = f(x)在[a,b]上是增函数,其导数f^′(x)≥0(x∈(a,b))。
- 减函数:f(x_1)>f(x_2),则y = f(x)在[a,b]上是减函数,其导数f^′(x)≤0(x∈(a,b))。
3. 函数的奇偶性。
- 奇函数:f(-x)= - f(x),图象关于原点对称。
- 偶函数:f(-x)=f(x),图象关于y轴对称。
4. 一次函数y = kx + b(k≠0)- 斜率k=(y_2 - y_1)/(x_2 - x_1)5. 二次函数y=ax^2+bx + c(a≠0)- 对称轴x =-(b)/(2a)- 顶点坐标(-(b)/(2a),frac{4ac - b^2}{4a})- 当a>0时,函数图象开口向上,在x =-(b)/(2a)处取得最小值frac{4ac -b^2}{4a};当a < 0时,函数图象开口向下,在x=-(b)/(2a)处取得最大值frac{4ac -b^2}{4a}。
6. 指数函数y = a^x(a>0,a≠1)- 指数运算法则:a^m× a^n=a^m + n,frac{a^m}{a^n}=a^m - n,(a^m)^n=a^mn,(ab)^n=a^nb^n,((a)/(b))^n=frac{a^n}{b^n}- 当a > 1时,函数在R上单调递增;当0 < a<1时,函数在R上单调递减。
1.元素与集合的关系X∈A⇔X∉C U A X∈C U A⇔X∉A2.德摩根公式C U(A∩B)=C U AUC U B C U(A∪B)=C U A∩C U B3.包含关系A∩B=A⇔A∪B=B⇔A⊆B⇔C U B⊆C U A⇔A∩CU B=φ⇔CU A∪B=R.4.容斥原理card(AUB)=cardA+cardB-card(A∩B)card(AUB∪C)=cardA+cardB+cardC-card(A∩B)-card(A∩B)-card(B∩C)-card(C∩A)+card(A∩B∩C)5.集合{a1,a2,a3…an}的子集个数共有2n个;真子集有2n-1个;非空子集有2n-1个;非空的真子集有2n-2个.6.二次函数的解析式的三种形式(1)一般式f(x)=ax2+bx+c(a≠0);(2)顶点式f(x)=a(x-h)2+k(a≠0);(3)零点式f(x)=a(x-x1)(x-x2)(a≠0)7.解连不等式N<f(x)<M.常有以下转化形式N<f(x)<M⇔[f(x)-M][f(x)-N]<0⇔|f(x)-(M+N)/2|<(M-N)/2⇔f(x)-N/M-f(x)>0⇔1/f(x)-N>1/(M-N)8.方程f(x)=0在(k1,k2)上有且只有一个实根,与f(k1)f(k2)<0不等价,前者是后者的一个必要而不是充分条件,方程ax2+bx+C=0(a≠0)有且只有一个实根在(k1,k2)内等价于f(k1)f(k2)<0,或f(k1)=0且k1<-b/2a<(k1+k2)/2,或f(k2)=0且(k1+k2)/2<-b/2a<k29.闭区间上的二次函数的最值二次函数f(x)=ax2+bx+C(a≠0)在闭区间[p,q]上的最值只能在x=-b/2a处及区间的两端点处取得,具体如下:10.一元二次方程的实根分布依据:若f(m)f(n)<0,则方程f(x)=0在区间(m,n)内至少有一个实根.+pX+q,则设f(x)=X2(1)方程f(x)=0在区间(m+∞)内有根的充要条件为f(m)=0或p2-4q≥0,-p/2>m;(2)方程f(x)=0在区间(m,n)内有根的充要条件为f(m)f(n)<0或f(m)>0,f(n)>0,p2-4q≥0,m<-p/2<n或f(m)=0,af(n)>0或f(n)=0,af(m)>0;(3)方程f(x)=0在区间(-∞,n)内有根的充要条件为f(m)<0或p2-4q≥0,-p/2<m11.定区间上含参数的二次不等式恒成立的条件依据(1)在给定区间(-∞,+∞)的子区间L(形如[α,β],(-∞,β],[α,+∞)不同)上含参数的二次不等式f(x,t)≥0(t为参数)恒成立的充要条件是≥0(x∉L).f(x,t)min(2)在给定区间(-∞,+∞)的子区间上含参数的二次不等式f(x,t)≥0(t为参数)恒成立的充要条件是f(x,t)≥0(x∉L).max12.真值表p q非p P或q P且q真真假真真真假假真假假真真真假假假真假假13.常见结论的否定形式原结论反设词原结论反设词是不是至少有一个一个也没有都是不都是至多有一个至少有两个大于不大于至少有n个至多有(n-1)个小于不小于至多有n个至少有(n+1)个对所有X,成立存在某X,不成立P或q¬P且¬q对任何X,不成立存在某X,成立P且q¬P或¬q14.四种命题的相互关系原命题逆命题若q则p互逆若p则q互否互否否命题逆否命题若非p则非q互逆若非q则非p15.充要条件(1)充分条件:若P⇔q,则P是q充分条件.(2)必要条件:若q⇔P,则P是q必要条件.(3)充要条件:若P⇔q,且q⇔P,则P是q充要条件.注:如果甲是乙的充分条件,则乙是甲的必要条件;反之亦然.16.函数的单调性(1)设X1·X2∈[a,b],X1≠X2那么(X1-X2)[f(X1)-f(X2)]>0⇔[f(X1)-f(X2)]/(X1-X2)>0⇔f(x)在[a,b]上是增函数;(X1-X2)[f(X1)-f(X2)]<0⇔[f(X1)-f(X2)/(X1-X2)<0⇔f(x)在[a,b]上是减函数.(2)设函数y=f(x)在某个区间内可导,如果f’(x)>0,则f(x)为增函数;如果f’(x)<0,则f(x)为减函数.17.如果函数f(x)和g(x)都是减函数,则在公共定义域内,和函数f(x)+g(x)也是减函数,如果函数y=f(u)和u=g(x)在其对应的定义域上都是减函数。
数学公式手册:高中数学常用公式汇总1. 代数公式
1.1. 指数与幂
•a m⋅a n=a m+n
•a m
a n
=a m−n
•(a m)n=a mn
1.2. 根号运算
•√ab=√a⋅√b
•√a
√b =√a
b
1.3. 因式分解
•a2−b2=(a+b)(a−b)
•ax+bx=cx=(a+b)x
2. 几何公式
2.1. 长度和面积
•直角三角形斜边长度:c=√a2+b2•平行四边形面积:A=bℎ
2.2. 圆的相关公式
•圆的周长:C=2πr
•圆的面积:A=πr2
2.3. 三角形的面积
•海伦公式:A=√s(s−a)(s−b)(s−c)
3. 概率与统计公式
3.1. 组合排列计算法则
•排列计算:P n=n!
•组合计算:C n r=n!
r!(n−r)!
3.2. 概率计算公式
•事件A发生的概率:P(A)=有利结果数
总体样本空间
4.数列与级数公式
4.1. 等差数列
•通项公式:a n=a1+(n−1)d
•前n项和公式:S n=n(a1+a n)
2
4.2. 等比数列
•通项公式:a n=a1⋅q(n−1)
•前n项和公式(当q不等于1时):S n=a1(1−q n)
1−q
这里仅列举了几个在高中数学中常用的代数、几何、概率与统计以及数列与级数的公式,希望对您有所帮助。
如需更多详细的内容,可以进一步查阅相关的教材或参考其他资料。
高中数学公式大全(最全面,最详细)高中数学公式大全抛物线:y = ax *+ bx + c就是y等于ax 的平方加上bx再加上ca > 0时开口向上a < 0时开口向下c = 0时抛物线经过原点b = 0时抛物线对称轴为y轴还有顶点式y = a(x+h)* + k就是y等于a乘以(x+h)的平方+k-h是顶点坐标的xk是顶点坐标的y一般用于求最大值与最小值抛物线标准方程:y^2=2px它表示抛物线的焦点在x的正半轴上,焦点坐标为(p/2,0) 准线方程为x=-p/2由于抛物线的焦点可在任意半轴,故共有标准方程y^2=2px y^2=-2px x^2=2py x^2=-2py圆:体积=4/3(pi)(r^3)面积=(pi)(r^2)周长=2(pi)r圆的标准方程(x-a)2+(y-b)2=r2 注:(a,b)是圆心坐标圆的一般方程x2+y2+Dx+Ey+F=0 注:D2+E2-4F>0(一)椭圆周长计算公式椭圆周长公式:L=2πb+4(a-b)椭圆周长定理:椭圆的周长等于该椭圆短半轴长为半径的圆周长(2πb)加上四倍的该椭圆长半轴长(a)与短半轴长(b)的差。
(二)椭圆面积计算公式椭圆面积公式:S=πab椭圆面积定理:椭圆的面积等于圆周率(π)乘该椭圆长半轴长(a)与短半轴长(b)的乘积。
以上椭圆周长、面积公式中虽然没有出现椭圆周率T,但这两个公式都是通过椭圆周率T推导演变而来。
常数为体,公式为用。
椭圆形物体体积计算公式椭圆的长半径*短半径*PAI*高三角函数:两角和公式sin(A+B)=sinAcosB+cosAsinB sin(A-B)=sinAcosB-sinBcosAcos(A+B)=cosAcosB-sinAsinB cos(A-B)=cosAcosB+sinAsinBtan(A+B)=(tanA+tanB)/(1-tanAtanB) tan(A-B)=(tanA-tanB)/(1+tanAtanB)cot(A+B)=(cotAcotB-1)/(cotB+cotA) cot(A-B)=(cotAcotB+1)/(cotB-cotA)倍角公式tan2A=2tanA/(1-tan2A) cot2A=(cot2A-1)/2cotacos2a=cos2a-sin2a=2cos2a-1=1-2sin2asinα+sin(α+2π/n)+sin(α+2π*2/n)+sin(α+2π*3/n)+……+sin[α+2π*(n-1)/n]=0cosα+cos(α+2π/n)+cos(α+2π*2/n)+cos(α+2π*3/n)+……+cos[α+2π*(n-1)/n]=0 以及sin^2(α)+sin^2(α-2π/3)+sin^2(α+2π/3)=3/2tanAtanBtan(A+B)+tanA+tanB-tan(A+B)=0四倍角公式:sin4A=-4*(cosA*sinA*(2*sinA^2-1))cos4A=1+(-8*cosA^2+8*cosA^4)tan4A=(4*tanA-4*tanA^3)/(1-6*tanA^2+tanA^4)五倍角公式:sin5A=16sinA^5-20sinA^3+5sinAcos5A=16cosA^5-20cosA^3+5cosAtan5A=tanA*(5-10*tanA^2+tanA^4)/(1-10*tanA^2+5*tanA^4)六倍角公式:sin6A=2*(cosA*sinA*(2*sinA+1)*(2*sinA-1)*(-3+4*sinA^2))cos6A=((-1+2*cosA^2)*(16*cosA^4-16*cosA^2+1))tan6A=(-6*tanA+20*tanA^3-6*tanA^5)/(-1+15*tanA^2-15*tanA^4+tanA^6)七倍角公式:sin7A=-(sinA*(56*sinA^2-112*sinA^4-7+64*sinA^6))cos7A=(cosA*(56*cosA^2-112*cosA^4+64*cosA^6-7))tan7A=tanA*(-7+35*tanA^2-21*tanA^4+tanA^6)/(-1+21*tanA^2-35*tanA^4+7*tanA^6)八倍角公式:sin8A=-8*(cosA*sinA*(2*sinA^2-1)*(-8*sinA^2+8*sinA^4+1))cos8A=1+(160*cosA^4-256*cosA^6+128*cosA^8-32*cosA^2)tan8A=-8*tanA*(-1+7*tanA^2-7*tanA^4+tanA^6)/(1-28*tanA^2+70*tanA^4-28*tanA^6+tanA^8)九倍角公式:sin9A=(sinA*(-3+4*sinA^2)*(64*sinA^6-96*sinA^4+36*sinA^2-3))cos9A=(cosA*(-3+4*cosA^2)*(64*cosA^6-96*cosA^4+36*cosA^2-3))tan9A=tanA*(9-84*tanA^2+126*tanA^4-36*tanA^6+tanA^8)/(1-36*tanA^2+126*tanA^4-84*tanA^6+9*tanA^8)十倍角公式:sin10A=2*(cosA*sinA*(4*sinA^2+2*sinA-1)*(4*sinA^2-2*sinA-1)*(-20*sinA^2+5+16*sinA^4))cos10A=((-1+2*cosA^2)*(256*cosA^8-512*cosA^6+304*cosA^4-48*cosA^2+1))tan10A=-2*tanA*(5-60*tanA^2+126*tanA^4-60*tanA^6+5*tanA^8)/(-1+45*tanA^2-210*tanA^4+210*tanA^6-45*tanA^8+tanA^10) ·万能公式:sinα=2tan(α/2)/[1+tan^2(α/2)]cosα=[1-tan^2(α/2)]/[1+tan^2(α/2)]tanα=2tan(α/2)/[1-tan^2(α/2)]半角公式sin(A/2)=√((1-cosA)/2) sin(A/2)=-√((1-cosA)/2)cos(A/2)=√((1+cosA)/2) cos(A/2)=-√((1+cosA)/2)tan(A/2)=√((1-cosA)/((1+cosA)) tan(A/2)=-√((1-cosA)/((1+cosA))cot(A/2)=√((1+cosA)/((1-cosA)) cot(A/2)=-√((1+cosA)/((1-cosA))和差化积2sinAcosB=sin(A+B)+sin(A-B) 2cosAsinB=sin(A+B)-sin(A-B)2cosAcosB=cos(A+B)-sin(A-B) -2sinAsinB=cos(A+B)-cos(A-B)sinA+sinB=2sin((A+B)/2)cos((A-B)/2 cosA+cosB=2cos((A+B)/2)sin((A-B)/2)tanA+tanB=sin(A+B)/cosAcosB tanA-tanB=sin(A-B)/cosAcosBcotA+cotBsin(A+B)/sinAsinB -cotA+cotBsin(A+B)/sinAsinB某些数列前n项和1+2+3+4+5+6+7+8+9+…+n=n(n+1)/2 1+3+5+7+9+11+13+15+…+(2n-1)=n22+4+6+8+10+12+14+…+(2n)=n(n+1) 1^2+2^2+3^2+4^2+5^2+6^2+7^2+8^2+…+n^2=n(n+1)(2n+1)/61^3+2^3+3^3+4^3+5^3+6^3+…n^3=(n(n+1)/2)^2 1*2+2*3+3*4+4*5+5*6+6*7+…+n(n+1)=n(n+1)(n+2)/3正弦定理a/sinA=b/sinB=c/sinC=2R 注:其中R 表示三角形的外接圆半径余弦定理b2=a2+c2-2accosB 注:角B是边a和边c的夹角乘法与因式分a2-b2=(a+b)(a-b) a3+b3=(a+b)(a2-ab+b2) a3-b3=(a-b(a2+ab+b2)三角不等式|a+b|≤|a|+|b| |a-b|≤|a|+|b| |a|≤b<=>-b≤a≤b|a-b|≥|a|-|b| -|a|≤a≤|a|一元二次方程的解-b+√(b2-4ac)/2a -b-√(b2-4ac)/2a根与系数的关系x1+x2=-b/a x1*x2=c/a 注:韦达定理判别式b2-4a=0 注:方程有相等的两实根b2-4ac>0 注:方程有两个不相等的个实根b2-4ac<0 注:方程有共轭复数根公式分类公式表达式圆的标准方程(x-a)2+(y-b)2=r2 注:(a,b)是圆心坐标圆的一般方程x2+y2+Dx+Ey+F=0 注:D2+E2-4F>0抛物线标准方程y2=2px y2=-2px x2=2py x2=-2py直棱柱侧面积S=c*h 斜棱柱侧面积S=c'*h正棱锥侧面积S=1/2c*h' 正棱台侧面积S=1/2(c+c')h'圆台侧面积S=1/2(c+c')l=pi(R+r)l 球的表面积S=4pi*r2圆柱侧面积S=c*h=2pi*h 圆锥侧面积S=1/2*c*l=pi*r*l弧长公式l=a*r a是圆心角的弧度数r >0 扇形面积公式s=1/2*l*r锥体体积公式V=1/3*S*H 圆锥体体积公式V=1/3*pi*r2h斜棱柱体积V=S'L 注:其中,S'是直截面面积,L是侧棱长柱体体积公式V=s*h 圆柱体V=pi*r2h图形周长面积体积公式长方形的周长=(长+宽)×2正方形的周长=边长×4长方形的面积=长×宽正方形的面积=边长×边长三角形的面积已知三角形底a,高h,则S=ah/2已知三角形三边a,b,c,半周长p,则S=√[p(p - a)(p - b)(p - c)] (海伦公式)(p=(a+b+c)/2)和:(a+b+c)*(a+b-c)*1/4已知三角形两边a,b,这两边夹角C,则S=absinC/2设三角形三边分别为a、b、c,内切圆半径为r则三角形面积=(a+b+c)r/2设三角形三边分别为a、b、c,外接圆半径为r则三角形面积=abc/4r已知三角形三边a、b、c,则S=√{1/4[c^2a^2-((c^2+a^2-b^2)/2)^2]} (“三斜求积” 南宋秦九韶)| a b 1 |S△=1/2 * | c d 1 || e f 1 |【| a b 1 || c d 1 | 为三阶行列式,此三角形ABC在平面直角坐标系内A(a,b),B(c,d), C(e,f),这里ABC| e f 1 |选区取最好按逆时针顺序从右上角开始取,因为这样取得出的结果一般都为正值,如果不按这个规则取,可能会得到负值,但不要紧,只要取绝对值就可以了,不会影响三角形面积的大小!】秦九韶三角形中线面积公式:S=√[(Ma+Mb+Mc)*(Mb+Mc-Ma)*(Mc+Ma-Mb)*(Ma+Mb-Mc)]/3其中Ma,Mb,Mc为三角形的中线长.平行四边形的面积=底×高梯形的面积=(上底+下底)×高÷2直径=半径×2 半径=直径÷2圆的周长=圆周率×直径=圆周率×半径×2圆的面积=圆周率×半径×半径长方体的表面积=(长×宽+长×高+宽×高)×2长方体的体积=长×宽×高正方体的表面积=棱长×棱长×6正方体的体积=棱长×棱长×棱长圆柱的侧面积=底面圆的周长×高圆柱的表面积=上下底面面积+侧面积圆柱的体积=底面积×高圆锥的体积=底面积×高÷3长方体(正方体、圆柱体)的体积=底面积×高平面图形名称符号周长C和面积S正方形a—边长C=4aS=a2长方形a和b-边长C=2(a+b)S=ab三角形a,b,c-三边长h-a边上的高s-周长的一半A,B,C-内角其中s=(a+b+c)/2 S=ah/2=ab/2?sinC=[s(s-a)(s-b)(s-c)]1/2=a2sinBsinC/(2sinA)1 过两点有且只有一条直线2 两点之间线段最短3 同角或等角的补角相等4 同角或等角的余角相等5 过一点有且只有一条直线和已知直线垂直6 直线外一点与直线上各点连接的所有线段中,垂线段最短7 平行公理经过直线外一点,有且只有一条直线与这条直线平行8 如果两条直线都和第三条直线平行,这两条直线也互相平行9 同位角相等,两直线平行10 内错角相等,两直线平行11 同旁内角互补,两直线平行12两直线平行,同位角相等13 两直线平行,内错角相等14 两直线平行,同旁内角互补15 定理三角形两边的和大于第三边16 推论三角形两边的差小于第三边17 三角形内角和定理三角形三个内角的和等于180°18 推论1 直角三角形的两个锐角互余19 推论2 三角形的一个外角等于和它不相邻的两个内角的和20 推论3 三角形的一个外角大于任何一个和它不相邻的内角21 全等三角形的对应边、对应角相等22边角边公理(sas) 有两边和它们的夹角对应相等的两个三角形全等23 角边角公理( asa)有两角和它们的夹边对应相等的两个三角形全等24 推论(aas) 有两角和其中一角的对边对应相等的两个三角形全等25 边边边公理(sss) 有三边对应相等的两个三角形全等26 斜边、直角边公理(hl) 有斜边和一条直角边对应相等的两个直角三角形全等27 定理1 在角的平分线上的点到这个角的两边的距离相等28 定理2 到一个角的两边的距离相同的点,在这个角的平分线上29 角的平分线是到角的两边距离相等的所有点的集合30 等腰三角形的性质定理等腰三角形的两个底角相等(即等边对等角)31 推论1 等腰三角形顶角的平分线平分底边并且垂直于底边32 等腰三角形的顶角平分线、底边上的中线和底边上的高互相重合33 推论3 等边三角形的各角都相等,并且每一个角都等于60°34 等腰三角形的判定定理如果一个三角形有两个角相等,那么这两个角所对的边也相等(等角对等边)35 推论1 三个角都相等的三角形是等边三角形36 推论2 有一个角等于60°的等腰三角形是等边三角形37 在直角三角形中,如果一个锐角等于30°那么它所对的直角边等于斜边的一半38 直角三角形斜边上的中线等于斜边上的一半39 定理线段垂直平分线上的点和这条线段两个端点的距离相等40 逆定理和一条线段两个端点距离相等的点,在这条线段的垂直平分线上41 线段的垂直平分线可看作和线段两端点距离相等的所有点的集合42 定理1 关于某条直线对称的两个图形是全等形43 定理2 如果两个图形关于某直线对称,那么对称轴是对应点连线的垂直平分线44定理3 两个图形关于某直线对称,如果它们的对应线段或延长线相交,那么交点在对称轴上45逆定理如果两个图形的对应点连线被同一条直线垂直平分,那么这两个图形关于这条直线对称46勾股定理直角三角形两直角边a、b的平方和、等于斜边c的平方,即a^2+b^2=c^247勾股定理的逆定理如果三角形的三边长a、b、c有关系a^2+b^2=c^2 ,那么这个三角形是直角三角形48定理四边形的内角和等于360°49四边形的外角和等于360°50多边形内角和定理n边形的内角的和等于(n-2)×180°51推论任意多边的外角和等于360°52平行四边形性质定理1 平行四边形的对角相等53平行四边形性质定理2 平行四边形的对边相等54推论夹在两条平行线间的平行线段相等55平行四边形性质定理3 平行四边形的对角线互相平分56平行四边形判定定理1 两组对角分别相等的四边形是平行四边形57平行四边形判定定理2 两组对边分别相等的四边形是平行四边形58平行四边形判定定理3 对角线互相平分的四边形是平行四边形59平行四边形判定定理4 一组对边平行相等的四边形是平行四边形60矩形性质定理1 矩形的四个角都是直角61矩形性质定理2 矩形的对角线相等62矩形判定定理1 有三个角是直角的四边形是矩形63矩形判定定理2 对角线相等的平行四边形是矩形64菱形性质定理1 菱形的四条边都相等65菱形性质定理2 菱形的对角线互相垂直,并且每一条对角线平分一组对角66菱形面积=对角线乘积的一半,即s=(a×b)÷267菱形判定定理1 四边都相等的四边形是菱形68菱形判定定理2 对角线互相垂直的平行四边形是菱形69正方形性质定理1 正方形的四个角都是直角,四条边都相等70正方形性质定理2正方形的两条对角线相等,并且互相垂直平分,每条对角线平分一组对角71定理1 关于中心对称的两个图形是全等的72定理2 关于中心对称的两个图形,对称点连线都经过对称中心,并且被对称中心平分73逆定理如果两个图形的对应点连线都经过某一点,并且被这一点平分,那么这两个图形关于这一点对称74等腰梯形性质定理等腰梯形在同一底上的两个角相等75等腰梯形的两条对角线相等76等腰梯形判定定理在同一底上的两个角相等的梯形是等腰梯形77对角线相等的梯形是等腰梯形78平行线等分线段定理如果一组平行线在一条直线上截得的线段相等,那么在其他直线上截得的线段也相等79 推论1 经过梯形一腰的中点与底平行的直线,必平分另一腰80 推论2 经过三角形一边的中点与另一边平行的直线,必平分第三边81 三角形中位线定理三角形的中位线平行于第三边,并且等于它的一半82 梯形中位线定理梯形的中位线平行于两底,并且等于两底和的一半l=(a+b)÷2 s=l×h83 (1)比例的基本性质如果a:b=c:d,那么ad=bc 如果ad=bc,那么a:b=c:d84 (2)合比性质如果a/b=c/d,那么(a±b)/b=(c±d)/d85 (3)等比性质如果a/b=c/d=…=m/n(b+d+…+n≠0),那么(a+c+…+m)/(b+d+…+n)=a/b86 平行线分线段成比例定理三条平行线截两条直线,所得的对应线段成比例87 推论平行于三角形一边的直线截其他两边(或两边的延长线),所得的对应线段成比例88 定理如果一条直线截三角形的两边(或两边的延长线)所得的对应线段成比例,那么这条直线平行于三角形的第三边89 平行于三角形的一边,并且和其他两边相交的直线,所截得的三角形的三边与原三角形三边对应成比例90 定理平行于三角形一边的直线和其他两边(或两边的延长线)相交,所构成的三角形与原三角形相似91 相似三角形判定定理1 两角对应相等,两三角形相似(asa)92 直角三角形被斜边上的高分成的两个直角三角形和原三角形相似93 判定定理2 两边对应成比例且夹角相等,两三角形相似(sas)94 判定定理3 三边对应成比例,两三角形相似(sss)95 定理如果一个直角三角形的斜边和一条直角边与另一个直角三角形的斜边和一条直角边对应成比例,那么这两个直角三角形相似96 性质定理1 相似三角形对应高的比,对应中线的比与对应角平分线的比都等于相似比97 性质定理2 相似三角形周长的比等于相似比98 性质定理3 相似三角形面积的比等于相似比的平方99 任意锐角的正弦值等于它的余角的余弦值,任意锐角的余弦值等于它的余角的正弦值100任意锐角的正切值等于它的余角的余切值,任意锐角的余切值等于它的余角的正切值101圆是定点的距离等于定长的点的集合102圆的内部可以看作是圆心的距离小于半径的点的集合103圆的外部可以看作是圆心的距离大于半径的点的集合104同圆或等圆的半径相等105到定点的距离等于定长的点的轨迹,是以定点为圆心,定长为半径的圆106和已知线段两个端点的距离相等的点的轨迹,是着条线段的垂直平分线107到已知角的两边距离相等的点的轨迹,是这个角的平分线108到两条平行线距离相等的点的轨迹,是和这两条平行线平行且距离相等的一条直线109定理不在同一直线上的三点确定一个圆。
高中数学必备公式汇总在高中数学的学习中,公式是解题的基础和关键。
熟练掌握各种公式,能够让我们在解题时更加得心应手,提高解题的效率和准确性。
下面为大家汇总了高中数学中一些必备的公式。
一、函数相关公式1、一次函数:y = kx + b(k 为斜率,b 为截距)2、二次函数:y = ax²+ bx + c(a ≠ 0),其顶点坐标为(b/2a, (4ac b²)/4a) ,对称轴为 x = b/2a3、反比例函数:y = k/x(k 为常数)二、三角函数公式1、同角三角函数基本关系:sin²α +cos²α = 1,tanα =sinα/cosα2、诱导公式:sin(π +α) =sinα,cos(π +α) =cosα,sin(α) =sinα,cos(α) =cosα 等3、和差角公式:sin(α ± β) =sinαcosβ ± cosαsinβ,cos(α ± β) =cosαcosβ ∓ sinαsinβ4、二倍角公式:sin2α =2sinαcosα,cos2α =cos²α sin²α =2cos²α1 =1 2sin²α,tan2α =2tanα/(1 tan²α)三、数列相关公式1、等差数列通项公式:an = a1 +(n 1)d,前 n 项和公式:Sn =n(a1 + an)/2 = na1 + n(n 1)d/22、等比数列通项公式:an = a1q^(n 1),前 n 项和公式:当q ≠ 1 时,Sn = a1(1 q^n)/(1 q);当 q = 1 时,Sn = na1四、导数相关公式1、(C)'= 0(C 为常数)2、(x^n)'= nx^(n 1)3、(sin x)'= cos x4、(cos x)'= sin x5、(ln x)'= 1/x6、(e^x)'= e^x五、向量相关公式1、向量的数量积:a·b =|a||b|cosθ2、向量的模:|a| =√(x²+ y²)(a =(x, y))3、向量的加法:a + b =(x1 + x2, y1 + y2)4、向量的减法:a b =(x1 x2, y1 y2)六、立体几何相关公式1、长方体的体积:V = lwh(l 为长,w 为宽,h 为高)2、正方体的体积:V = a³(a 为棱长)3、圆柱的体积:V =πr²h(r 为底面半径,h 为高)4、圆锥的体积:V =1/3πr²h5、球的体积:V =4/3πr³6、球的表面积:S =4πr²七、概率相关公式1、古典概型概率:P(A) = A 包含的基本事件数/基本事件总数2、互斥事件概率:P(A + B) = P(A) + P(B)3、独立事件概率:P(AB) = P(A)P(B)八、统计相关公式1、平均数:x=(x1 + x2 ++ xn)/n2、方差:s²=(x1 x)²+(x2 x)²++(xn x)²/n3、标准差:s =√s²以上只是高中数学中的一部分必备公式,同学们在学习过程中要理解公式的推导过程,多做练习,熟练运用这些公式来解决各种数学问题。
最全高中数学公式汇总1. 集合与常用逻辑用语
2. 复数
%
3. 平面向量
4. 算法、推理与证明
—
5.不等式、线性规划
6. 计数原理与二项式定理
7. 函数、基本初等函数的图像与性质
)
8. 函数与方程、函数模型及其应用
9.导数及其应用
10.三角函数的图形与性质
(
11.三角恒等变化与解三角形
12.等差数列、等比数列
13.数列求和及数列的简单应用
…
14.空间几何体
15.空间点、直线、平面位置关系
/
16.空间向量与立体几何
17.直线与圆的方程
18.圆锥曲线的定义、方程与性质·
19.圆锥曲线的热点问题
20.概率
21.离散型随机变量及其分布
%
22.统计与统计案例
23.函数与方程思想,数学结合思想
24.分类与整合思想,化归与转化思想
25.坐标系与参数方程
26.不等式选讲。