2020年高中文科数学公式及知识点总结大全(精华版)
- 格式:pdf
- 大小:2.44 MB
- 文档页数:10
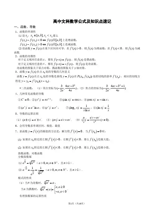
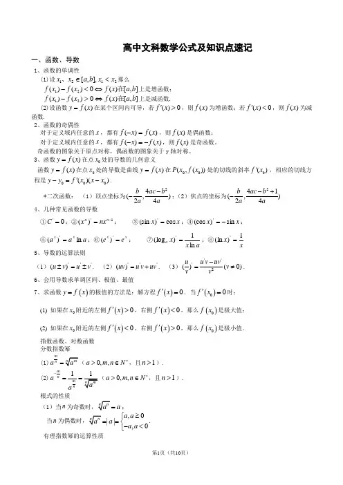
高中文科数学公式及知识点速记一、函数、导数1、函数的单调性(1)设2121],,[x x b a x x <∈、那么],[)(0)()(21b a x f x f x f 在⇔<-上是增函数; ],[)(0)()(21b a x f x f x f 在⇔>-上是减函数.(2)设函数)(x f y =在某个区间内可导,若0)(>'x f ,则)(x f 为增函数;若0)(<'x f ,则)(x f 为减函数.2、函数的奇偶性对于定义域内任意的x ,都有)()(x f x f =-,则)(x f 是偶函数; 对于定义域内任意的x ,都有)()(x f x f -=-,则)(x f 是奇函数。
奇函数的图象关于原点对称,偶函数的图象关于y 轴对称。
3、函数)(x f y =在点0x 处的导数的几何意义函数)(x f y =在点0x 处的导数是曲线)(x f y =在))(,(00x f x P 处的切线的斜率)(0x f ',相应的切线方程是))((000x x x f y y -'=-.*二次函数: (1)顶点坐标为24(,)24b ac b a a --;(2)焦点的坐标为241(,)24b ac b a a-+- 4、几种常见函数的导数①'C 0=;②1')(-=n n nxx ; ③x x cos )(sin '=;④x x sin )(cos '-=;⑤a a a xx ln )('=;⑥xx e e =')(; ⑦a x x a ln 1)(log '=;⑧xx 1)(ln '= 5、导数的运算法则(1)'''()u v u v ±=±. (2)'''()uv u v uv =+. (3)'''2()(0)u u v uv v v v-=≠. 6、会用导数求单调区间、极值、最值7、求函数()y f x =的极值的方法是:解方程()0f x '=.当()00f x '=时: (1) 如果在0x 附近的左侧()0f x '>,右侧()0f x '<,那么()0f x 是极大值; (2) 如果在0x 附近的左侧()0f x '<,右侧()0f x '>,那么()0f x 是极小值. 指数函数、对数函数分数指数幂(1)m na =0,,a m n N *>∈,且1n >).(2)1m nm naa-==(0,,a m n N *>∈,且1n >).根式的性质(1)当na =;当n(1) r sa a a⋅=(2) ()(r s rsa a=(3)()r r rab a b=注:若a>0,指数幂都适用..0,1,0)a a N>≠>..1,0m>,且1m≠,0N>).对数恒等式:推论log m nab常见的函数图象822sin cosθθ+9απ±kα看成锐角时该函数的符号;αππ±+2kα看成锐角时该函数的符号。
高中文科数学公式及知识点速记一、函数、导数1、函数的单调性(1)设2121],,[x x b a x x <∈、那么],[)(0)()(21b a x f x f x f 在⇔<-上是增函数; ],[)(0)()(21b a x f x f x f 在⇔>-上是减函数.(2)设函数)(x f y =在某个区间内可导,若0)(>'x f ,则)(x f 为增函数;若0)(<'x f ,则)(x f 为减函数.2、函数的奇偶性对于定义域内任意的x ,都有)()(x f x f =-,则)(x f 是偶函数; 对于定义域内任意的x ,都有)()(x f x f -=-,则)(x f 是奇函数。
奇函数的图象关于原点对称,偶函数的图象关于y 轴对称。
3、函数)(x f y =在点0x 处的导数的几何意义函数)(x f y =在点0x 处的导数是曲线)(x f y =在))(,(00x f x P 处的切线的斜率)(0x f ',相应的切线方程是))((000x x x f y y -'=-.*二次函数: (1)顶点坐标为24(,)24b ac b a a --;(2)焦点的坐标为241(,)24b ac b a a-+- 4、几种常见函数的导数①'C 0=;②1')(-=n n nxx ; ③x x cos )(sin '=;④x x sin )(cos '-=;⑤a a a xx ln )('=;⑥x x e e =')(; ⑦a x x a ln 1)(log '=;⑧xx 1)(ln '= 5、导数的运算法则(1)'''()u v u v ±=±. (2)'''()uv u v uv =+. (3)'''2()(0)u u v uv v v v -=≠. 6、会用导数求单调区间、极值、最值7、求函数()y f x =的极值的方法是:解方程()0f x '=.当()00f x '=时: (1) 如果在0x 附近的左侧()0f x '>,右侧()0f x '<,那么()0f x 是极大值; (2) 如果在0x 附近的左侧()0f x '<,右侧()0f x '>,那么()0f x 是极小值. 指数函数、对数函数分数指数幂(1)m na =0,,a m n N *>∈,且1n >).(2)1m nm naa-==(0,,a m n N *>∈,且1n >).根式的性质(1)当na =; 当n,0||,0a a a a a ≥⎧==⎨-<⎩.有理指数幂的运算性质(1) (0,,)r s r sa a aa r s Q +⋅=>∈.(2) ()(0,,)r s rs a a a r s Q =>∈. (3)()(0,0,)rr rab a b a b r Q =>>∈.注: 若a >0,p 是一个无理数,则a p 表示一个确定的实数.上述有理指数幂的运算性质,对于无理数指数幂都适用..指数式与对数式的互化式: log b a N b a N =⇔=(0,1,0)a a N >≠>. .对数的换底公式 :log log log m a m NN a= (0a >,且1a ≠,0m >,且1m ≠, 0N >).对数恒等式:log a Na N =(0a >,且1a ≠, 0N >).推论 log log m n a a nb b m=(0a >,且1a ≠, 0N >). 常见的函数图象二、三角函数、三角变换、解三角形、平面向量8、同角三角函数的基本关系式22sin cos 1θθ+=,tan θ=θθcos sin . 9、正弦、余弦的诱导公式(奇变偶不变,符号看象限)απ±k 的正弦、余弦,等于α的同名函数,前面加上把α看成锐角时该函数的符号;αππ±+2k 的正弦、余弦,等于α的余名函数,前面加上把α看成锐角时该函数的符号。
⾼中⽂科数学公式及知识点总结⼤全(精华版).⾼中⽂科数学公式及知识点速记⼀、函数、导数1、函数的单调性(1)设2121],,[x x b a x x <∈、那么],[)(0)()(21b a x f x f x f 在?<-上是增函数; ],[)(0)()(21b a x f x f x f 在?>-上是减函数.(2)设函数)(x f y =在某个区间内可导,若0)(>'x f ,则)(x f 为增函数;若0)(<'x f ,则)(x f 为减函数.2、函数的奇偶性对于定义域内任意的x ,都有)()(x f x f =-,则)(x f 是偶函数;对于定义域内任意的x ,都有)()(x f x f -=-,则)(x f 是奇函数。
奇函数的图象关于原点对称,偶函数的图象关于y 轴对称。
3、函数)(x f y =在点0x 处的导数的⼏何意义函数)(x f y =在点0x 处的导数是曲线)(x f y =在))(,(00x f x P 处的切线的斜率)(0x f ',相应的切线⽅程是))((000x x x f y y -'=-.*⼆次函数:(1)顶点坐标为24(,)24b ac b a a --;(2)焦点的坐标为241(,)24b ac b a a-+- 4、⼏种常见函数的导数①'C 0=;②1')(-=n n nx x ;③x x cos )(sin '=;④x x sin )(cos '-=;⑤a a a x x ln )('=;⑥x x e e =')(;⑦a x x a ln 1)(log '=;⑧xx 1)(ln '= 5、导数的运算法则(1)'''()u v u v ±=±. (2)'''()uv u v uv =+. (3)'''2()(0)u u v uv v v v -=≠. 6、会⽤导数求单调区间、极值、最值7、求函数()y f x =的极值的⽅法是:解⽅程()0f x '=.当()00f x '=时: (1) 如果在0x 附近的左侧()0f x '>,右侧()0f x '<,那么()0f x 是极⼤值; (2) 如果在0x 附近的左侧()0f x '<,右侧()0f x '>,那么()0f x 是极⼩值.指数函数、对数函数分数指数幂(1)m na =0,,a m n N *>∈,且1n >).aa-==0,,a m n N *>∈,且1n >).根式的性质(1)当na =;当n,0||,0a a a a a ≥?==?-.(1) r sa a?=(2) ()r s rsa a=(3)()r rab a b=注:若a>0数指数幂都适⽤. .(0,1,0)a≠,0m>,且1m≠,0N>).对数恒等式:).推论log m nab).常见的函数图象822sin cosθθ+9απ±kα看成锐⾓时该函数的符号;αππ±+2kα看成锐⾓时该函数的符号。
高中文科数学公式及知识点速记一、函数、导数1、函数的单调性(1)设2121],,[x x b a x x <∈、那么],[)(0)()(21b a x f x f x f 在⇔<-上是增函数; ],[)(0)()(21b a x f x f x f 在⇔>-上是减函数.(2)设函数)(x f y =在某个区间内可导,若0)(>'x f ,则)(x f 为增函数;若0)(<'x f ,则)(x f 为减函数.2、函数的奇偶性对于定义域内任意的x ,都有)()(x f x f =-,则)(x f 是偶函数; 对于定义域内任意的x ,都有)()(x f x f -=-,则)(x f 是奇函数。
奇函数的图象关于原点对称,偶函数的图象关于y 轴对称。
3、函数)(x f y =在点0x 处的导数的几何意义函数)(x f y =在点0x 处的导数是曲线)(x f y =在))(,(00x f x P 处的切线的斜率)(0x f ',相应的切线方程是))((000x x x f y y -'=-.*二次函数: (1)顶点坐标为24(,)24b ac b a a --;(2)焦点的坐标为241(,)24b ac b a a-+- 4、几种常见函数的导数①'C 0=;②1')(-=n n nxx ; ③x x cos )(sin '=;④x x sin )(cos '-=;⑤a a a xx ln )('=;⑥x x e e =')(; ⑦a x x a ln 1)(log '=;⑧xx 1)(ln '= 5、导数的运算法则(1)'''()u v u v ±=±. (2)'''()uv u v uv =+. (3)'''2()(0)u u v uv v v v -=≠. 6、会用导数求单调区间、极值、最值7、求函数()y f x =的极值的方法是:解方程()0f x '=.当()00f x '=时: (1) 如果在0x 附近的左侧()0f x '>,右侧()0f x '<,那么()0f x 是极大值; (2) 如果在0x 附近的左侧()0f x '<,右侧()0f x '>,那么()0f x 是极小值. 指数函数、对数函数分数指数幂(1)m na =0,,a m n N *>∈,且1n >).(2)1m nm naa-==(0,,a m n N *>∈,且1n >).根式的性质(1)当na =; 当n,0||,0a a a a a ≥⎧==⎨-<⎩.有理指数幂的运算性质(1) r sa a⋅=(2) ()r s rsa a=(3)()r rab a b=注:若a>0,指数幂都适用..(0,1,0)a a N>≠>..1a≠,0m>,且1m≠,0N>).对数恒等式:).推论logmnab).常见的函数图象822sin cosθθ+9απ±kα看成锐角时该函数的符号;αππ±+2kα看成锐角时该函数的符号。
高中文科数学公式及知识点速记一、函数、导数1、函数的单调性(1)设2121],,[x x b a x x <∈、那么],[)(0)()(21b a x f x f x f 在⇔<-上是增函数; ],[)(0)()(21b a x f x f x f 在⇔>-上是减函数.(2)设函数)(x f y =在某个区间内可导,若0)(>'x f ,则)(x f 为增函数;若0)(<'x f ,则)(x f 为减函数.2、函数的奇偶性对于定义域内任意的x ,都有)()(x f x f =-,则)(x f 是偶函数; 对于定义域内任意的x ,都有)()(x f x f -=-,则)(x f 是奇函数。
奇函数的图象关于原点对称,偶函数的图象关于y 轴对称。
3、函数)(x f y =在点0x 处的导数的几何意义函数)(x f y =在点0x 处的导数是曲线)(x f y =在))(,(00x f x P 处的切线的斜率)(0x f ',相应的切线方程是))((000x x x f y y -'=-.*二次函数: (1)顶点坐标为24(,)24b ac b a a --;(2)焦点的坐标为241(,)24b ac b a a-+- 4、几种常见函数的导数①'C 0=;②1')(-=n n nxx ; ③x x cos )(sin '=;④x x sin )(cos '-=;⑤a a a xx ln )('=;⑥x x e e =')(; ⑦a x x a ln 1)(log '=;⑧xx 1)(ln '= 5、导数的运算法则(1)'''()u v u v ±=±. (2)'''()uv u v uv =+. (3)'''2()(0)u u v uv v v v -=≠. 6、会用导数求单调区间、极值、最值7、求函数()y f x =的极值的方法是:解方程()0f x '=.当()00f x '=时: (1) 如果在0x 附近的左侧()0f x '>,右侧()0f x '<,那么()0f x 是极大值; (2) 如果在0x 附近的左侧()0f x '<,右侧()0f x '>,那么()0f x 是极小值. 指数函数、对数函数分数指数幂(1)m na =0,,a m n N *>∈,且1n >).(2)1m nm naa-==(0,,a m n N *>∈,且1n >).根式的性质(1)当na =; 当n,0||,0a a a a a ≥⎧==⎨-<⎩.有理指数幂的运算性质(1) r sa a⋅=(2) ()r s rsa a=(3)()r rab a b=注:若a>0,指数幂都适用..(0,1,0)a a N>≠>..1a≠,0m>,且1m≠,0N>).对数恒等式:).推论logmnab).常见的函数图象822sin cosθθ+9απ±kα看成锐角时该函数的符号;αππ±+2kα看成锐角时该函数的符号。
高中文科数学公式及知识点速记一、函数、导数1、函数的单调性(1)设2121],,[x x b a x x <∈、那么],[)(0)()(21b a x f x f x f 在⇔<-上是增函数; ],[)(0)()(21b a x f x f x f 在⇔>-上是减函数.(2)设函数)(x f y =在某个区间内可导,若0)(>'x f ,则)(x f 为增函数;若0)(<'x f ,则)(x f 为减函数.2、函数的奇偶性对于定义域内任意的x ,都有)()(x f x f =-,则)(x f 是偶函数; 对于定义域内任意的x ,都有)()(x f x f -=-,则)(x f 是奇函数。
奇函数的图象关于原点对称,偶函数的图象关于y 轴对称。
3、函数)(x f y =在点0x 处的导数的几何意义函数)(x f y =在点0x 处的导数是曲线)(x f y =在))(,(00x f x P 处的切线的斜率)(0x f ',相应的切线方程是))((000x x x f y y -'=-.*二次函数: (1)顶点坐标为24(,)24b ac b a a --;(2)焦点的坐标为241(,)24b ac b a a-+- 4、几种常见函数的导数①'C 0=;②1')(-=n n nxx ; ③x x cos )(sin '=;④x x sin )(cos '-=;⑤a a a xx ln )('=;⑥x x e e =')(; ⑦a x x a ln 1)(log '=;⑧xx 1)(ln '= 5、导数的运算法则(1)'''()u v u v ±=±. (2)'''()uv u v uv =+. (3)'''2()(0)u u v uv v v v -=≠. 6、会用导数求单调区间、极值、最值7、求函数()y f x =的极值的方法是:解方程()0f x '=.当()00f x '=时: (1) 如果在0x 附近的左侧()0f x '>,右侧()0f x '<,那么()0f x 是极大值; (2) 如果在0x 附近的左侧()0f x '<,右侧()0f x '>,那么()0f x 是极小值. 指数函数、对数函数分数指数幂(1)m na =0,,a m n N *>∈,且1n >).(2)1m nm naa-==(0,,a m n N *>∈,且1n >).根式的性质(1)当na =; 当n,0||,0a a a a a ≥⎧==⎨-<⎩.有理指数幂的运算性质cos()cos cos sin sin αβαβαβ±=;tan tan tan()1tan tan αβαβαβ±±=.11、二倍角公式sin 2sin cos ααα=.2222cos 2cos sin 2cos 112sin ααααα=-=-=-.22tan tan 21tan ααα=-. 公式变形: ;22cos 1sin ,2cos 1sin 2;22cos 1cos ,2cos 1cos 22222αααααααα-=-=+=+=12、 函数sin()y x ωϕ=+的图象变换①的图象上所有点向左(右)平移ϕ个单位长度,得到函数()sin y x ϕ=+的图象;再将函数()sin y x ϕ=+的图象上所有点的横坐标伸长(缩短)到原来的1ω倍(纵坐标不变),得到函数()sin y x ωϕ=+的图象;再将函数()sin y x ωϕ=+的图象上所有点的纵坐标伸长(缩短)到原来的A 倍(横坐标不变),得到函数()sin y x ωϕ=A +的图象.②数sin y x =的图象上所有点的横坐标伸长(缩短)到原来的1ω倍(纵坐标不变),得到函数 sin y x ω=的图象;再将函数sin y x ω=的图象上所有点向左(右)平移ϕω个单位长度,得到函数()sin y x ωϕ=+的图象;再将函数()sin y x ωϕ=+的图象上所有点的纵坐标伸长(缩短)到原来的A 倍(横坐标不变),得到函数()sin y x ωϕ=A +的图象.R R,2x x k k ππ⎧⎫≠+∈Z ⎨⎬⎩⎭14、辅助角公式)sin(cos sin 22ϕ++=+=x b a x b x a y 其中ab =ϕtan 15.正弦定理 :2sin sin sin a b cR A B C===(R 为ABC ∆外接圆的半径). 2sin ,2sin ,2sin a R A b R B c R C ⇔===::sin :sin :sin a b c A B C ⇔= 16.余弦定理 2222cos a b c bc A =+-;2222cos b c a ca B =+-;2222cos c a b ab C =+-.17.面积定理(1)111222a b c S ah bh ch ===(a b c h h h 、、分别表示a 、b 、c 边上的高). (2)111sin sin sin 222S ab C bc A ca B ===.18、三角形内角和定理在△ABC 中,有()A B C C A B ππ++=⇔=-+222C A B π+⇔=-222()C A B π⇔=-+. 19、a 与b 的数量积(或内积)θcos ||||b a b a ⋅=⋅20、平面向量的坐标运算(1)设A 11(,)x y ,B 22(,)x y ,则2121(,)AB OB OA x x y y =-=--. (2)设=11(,)x y ,=22(,)x y ,则⋅=2121y y x x +. (3)设=),(y x ,则22y x a +=21、两向量的夹角公式设=11(,)x y ,=22(,)x y ,且≠,则12cos ||||a ba b x θ⋅==⋅+a =11(,)x y,b =22(,)x y ).22、向量的平行与垂直设a =11(,)x y ,b =22(,)x y ,且b ≠0b a //⇔a b λ= 12210x y x y ⇔-=.)(≠⊥ ⇔0=⋅12120x x y y ⇔+=.*平面向量的坐标运算(1)设a =11(,)x y ,b =22(,)x y ,则a +b =1212(,)x x y y ++. (2)设a =11(,)x y ,b =22(,)x y ,则a -b =1212(,)x x y y --. (3)设A 11(,)x y ,B 22(,)x y ,则2121(,)AB OB OA x x y y =-=--.(4)设a =(,),x y R λ∈,则λa =(,)x y λλ.(5)设a =11(,)x y ,b =22(,)x y ,则a ·b =1212x x y y +.三、数列23、数列的通项公式与前n 项的和的关系11,1,2n n n s n a s s n -=⎧=⎨-≥⎩( 数列{}n a 的前n 项的和为12n n s a a a =+++).24、等差数列的通项公式*11(1)()n a a n d dn a d n N =+-=+-∈;25、等差数列其前n 项和公式为1()2n n n a a s +=1(1)2n n na d -=+211()22d n a d n =+-. 26、等比数列的通项公式1*11()n nn a a a q q n N q-==⋅∈; 27、等比数列前n 项的和公式为11(1),11,1n n a q q s q na q ⎧-≠⎪=-⎨⎪=⎩ 或 11,11,1n n a a qq q s na q -⎧≠⎪-=⎨⎪=⎩.四、不等式28、xy yx ≥+2。
高中文科数学公式及知识点速记一、函数、导数1、函数的单调性(1)设2121],,[x x b a x x <∈、那么],[)(0)()(21b a x f x f x f 在⇔<-上是增函数; ],[)(0)()(21b a x f x f x f 在⇔>-上是减函数.(2)设函数)(x f y =在某个区间内可导,若0)(>'x f ,则)(x f 为增函数;若0)(<'x f ,则)(x f 为减函数.2、函数的奇偶性对于定义域内任意的x ,都有)()(x f x f =-,则)(x f 是偶函数; 对于定义域内任意的x ,都有)()(x f x f -=-,则)(x f 是奇函数。
奇函数的图象关于原点对称,偶函数的图象关于y 轴对称。
3、函数)(x f y =在点0x 处的导数的几何意义函数)(x f y =在点0x 处的导数是曲线)(x f y =在))(,(00x f x P 处的切线的斜率)(0x f ',相应的切线方程是))((000x x x f y y -'=-.*二次函数: (1)顶点坐标为24(,)24b ac b a a --;(2)焦点的坐标为241(,)24b ac b a a-+- 4、几种常见函数的导数①'C 0=;②1')(-=n n nx x ; ③x x cos )(sin '=;④x x sin )(cos '-=;⑤a a a x x ln )('=;⑥xx e e =')(; ⑦a x x a ln 1)(log '=;⑧xx 1)(ln '= 5、导数的运算法则(1)'''()u v u v ±=±. (2)'''()uv u v uv =+. (3)'''2()(0)u u v uv v v v -=≠. 6、会用导数求单调区间、极值、最值7、求函数()y f x =的极值的方法是:解方程()0f x '=.当()00f x '=时: (1) 如果在0x 附近的左侧()0f x '>,右侧()0f x '<,那么()0f x 是极大值; (2) 如果在0x 附近的左侧()0f x '<,右侧()0f x '>,那么()0f x 是极小值. 指数函数、对数函数分数指数幂(1)m na =0,,a m n N *>∈,且1n >).(2)1m nm naa-==0,,a m n N *>∈,且1n >).根式的性质(1)当na =; 当n,0||,0a a a a a ≥⎧=⎨-<⎩.有理指数幂的运算性质(1) r sa a⋅=(2) ()r s rsa a=(3)()r rab a b=注:若a>0数指数幂都适用..(0,1,0)a a N>≠>..1a≠,0m>,且1m≠,0N>).对数恒等式:).推论log m nab).常见的函数图象822sin cosθθ+9)απ±kα看成锐角时该函数的符号;αππ±+2kα看成锐角时该函数的符号。
高中文科数学公式及知识点速记一、函数、导数1、函数的单调性(1)设2121],,[x x b a x x <∈、那么],[)(0)()(21b a x f x f x f 在⇔<-上是增函数; ],[)(0)()(21b a x f x f x f 在⇔>-上是减函数.(2)设函数)(x f y =在某个区间内可导,若0)(>'x f ,则)(x f 为增函数;若0)(<'x f ,则)(x f 为减函数.2、函数的奇偶性对于定义域内任意的x ,都有)()(x f x f =-,则)(x f 是偶函数; 对于定义域内任意的x ,都有)()(x f x f -=-,则)(x f 是奇函数。
奇函数的图象关于原点对称,偶函数的图象关于y 轴对称。
3、函数)(x f y =在点0x 处的导数的几何意义函数)(x f y =在点0x 处的导数是曲线)(x f y =在))(,(00x f x P 处的切线的斜率)(0x f ',相应的切线方程是))((000x x x f y y -'=-.*二次函数: (1)顶点坐标为24(,)24b ac b a a --;(2)焦点的坐标为241(,)24b ac b a a-+- 4、几种常见函数的导数①'C 0=;②1')(-=n n nxx ; ③x x cos )(sin '=;④x x sin )(cos '-=;⑤a a a xx ln )('=;⑥x x e e =')(; ⑦a x x a ln 1)(log '=;⑧xx 1)(ln '= 5、导数的运算法则(1)'''()u v u v ±=±. (2)'''()uv u v uv =+. (3)'''2()(0)u u v uv v v v-=≠. 6、会用导数求单调区间、极值、最值7、求函数()y f x =的极值的方法是:解方程()0f x '=.当()00f x '=时: (1) 如果在0x 附近的左侧()0f x '>,右侧()0f x '<,那么()0f x 是极大值; (2) 如果在0x 附近的左侧()0f x '<,右侧()0f x '>,那么()0f x 是极小值. 指数函数、对数函数分数指数幂(1)m na =0,,a m n N *>∈,且1n >).(2)1m nm naa-==(0,,a m n N *>∈,且1n >).根式的性质(1)当na =;当n(1) r sa a⋅=(2) ()r s rsa a=(3)()r rab a b=注:若a>0数指数幂都适用..(0,1,0)a a N>≠>..1a≠,0m>,且1m≠,0N>).对数恒等式:).推论logmnab).常见的函数图象822sin cosθθ+9απ±kα看成锐角时该函数的符号;αππ±+2kα看成锐角时该函数的符号。
高中文科数学公式及知识点速记一、函数、导数1、函数的单调性(1)设2121],,[x x b a x x <∈、那么],[)(0)()(21b a x f x f x f 在⇔<-上是增函数; ],[)(0)()(21b a x f x f x f 在⇔>-上是减函数.(2)设函数)(x f y =在某个区间内可导,若0)(>'x f ,则)(x f 为增函数;若0)(<'x f ,则)(x f 为减函数.2、函数的奇偶性对于定义域内任意的x ,都有)()(x f x f =-,则)(x f 是偶函数; 对于定义域内任意的x ,都有)()(x f x f -=-,则)(x f 是奇函数。
奇函数的图象关于原点对称,偶函数的图象关于y 轴对称。
3、函数)(x f y =在点0x 处的导数的几何意义函数)(x f y =在点0x 处的导数是曲线)(x f y =在))(,(00x f x P 处的切线的斜率)(0x f ',相应的切线方程是))((000x x x f y y -'=-.*二次函数: (1)顶点坐标为24(,)24b ac b a a --;(2)焦点的坐标为241(,)24b ac b a a-+- 4、几种常见函数的导数①'C 0=;②1')(-=n n nxx ; ③x x cos )(sin '=;④x x sin )(cos '-=;⑤a a a xx ln )('=;⑥x x e e =')(; ⑦a x x a ln 1)(log '=;⑧xx 1)(ln '= 5、导数的运算法则(1)'''()u v u v ±=±. (2)'''()uv u v uv =+. (3)'''2()(0)u u v uv v v v -=≠. 6、会用导数求单调区间、极值、最值7、求函数()y f x =的极值的方法是:解方程()0f x '=.当()00f x '=时: (1) 如果在0x 附近的左侧()0f x '>,右侧()0f x '<,那么()0f x 是极大值; (2) 如果在0x 附近的左侧()0f x '<,右侧()0f x '>,那么()0f x 是极小值. 指数函数、对数函数分数指数幂(1)m na =0,,a m n N *>∈,且1n >).(2)1m nm naa-==(0,,a m n N *>∈,且1n >).根式的性质(1)当na =; 当n,0||,0a a a a a ≥⎧==⎨-<⎩.有理指数幂的运算性质(1) r sa a⋅=(2) ()r s rsa a=(3)()r rab a b=注:若a>0数指数幂都适用..(0,1,0)a a N>≠>..1a≠,0m>,且1m≠,0N>).对数恒等式:).推论logmnab).常见的函数图象822sin cosθθ+9απ±kα看成锐角时该函数的符号;αππ±+2kα看成锐角时该函数的符号。
高中文科数学公式及知识点速记一、函数、导数1、函数的单调性(1)设2121],,[x x b a x x <∈、那么],[)(0)()(21b a x f x f x f 在⇔<-上是增函数; ],[)(0)()(21b a x f x f x f 在⇔>-上是减函数.(2)设函数)(x f y =在某个区间内可导,若0)(>'x f ,则)(x f 为增函数;若0)(<'x f ,则)(x f 为减函数.2、函数的奇偶性对于定义域内任意的x ,都有)()(x f x f =-,则)(x f 是偶函数; 对于定义域内任意的x ,都有)()(x f x f -=-,则)(x f 是奇函数。
奇函数的图象关于原点对称,偶函数的图象关于y 轴对称。
3、函数)(x f y =在点0x 处的导数的几何意义函数)(x f y =在点0x 处的导数是曲线)(x f y =在))(,(00x f x P 处的切线的斜率)(0x f ',相应的切线方程是))((000x x x f y y -'=-.*二次函数: (1)顶点坐标为24(,)24b ac b a a --;(2)焦点的坐标为241(,)24b ac b a a-+- 4、几种常见函数的导数①'C 0=;②1')(-=n n nxx ; ③x x cos )(sin '=;④x x sin )(cos '-=;⑤a a a xx ln )('=;⑥x x e e =')(; ⑦a x x a ln 1)(log '=;⑧xx 1)(ln '= 5、导数的运算法则(1)'''()u v u v ±=±. (2)'''()uv u v uv =+. (3)'''2()(0)u u v uv v v v -=≠. 6、会用导数求单调区间、极值、最值7、求函数()y f x =的极值的方法是:解方程()0f x '=.当()00f x '=时: (1) 如果在0x 附近的左侧()0f x '>,右侧()0f x '<,那么()0f x 是极大值; (2) 如果在0x 附近的左侧()0f x '<,右侧()0f x '>,那么()0f x 是极小值. 指数函数、对数函数分数指数幂(1)m na =0,,a m n N *>∈,且1n >).(2)1m nm naa-==(0,,a m n N *>∈,且1n >).根式的性质(1)当na =; 当n,0||,0a a a a a ≥⎧==⎨-<⎩.有理指数幂的运算性质(1) r sa a⋅=(2) ()r s rsa a=(3)()r rab a b=注:若a>0,指数幂都适用..(0,1,0)a a N>≠>..1a≠,0m>,且1m≠,0N>).对数恒等式:).推论logmnab).常见的函数图象822sin cosθθ+9απ±kα看成锐角时该函数的符号;αππ±+2kα看成锐角时该函数的符号。