2018年港澳台联考真题及答案
- 格式:doc
- 大小:3.03 MB
- 文档页数:10
2018届港澳台联考英语11月份月考试卷满分150分考试时间120分钟I. 听力(共20小题,每小题 1.5分,满分30分)第一节(共5小题;每小题 1.5分,满分7.5分)听下面5段对话。
每段对话后有一个小题,从题中所给的A、B、C、D四个选项中选出最佳选项,并标在试卷的相应位置。
听完每段对话后,你都有10秒钟的时间来回答有关小题和阅读下一小题。
每段对话仅读一遍。
1. What does the man want to do?A. Take photos.B. Buy a camera.C. Help the woman.D.Repair a camera.2. What are the speakers talking about?A. A noisy nightB. Their life in town.C. A place of living.D.A noisy town.3. Where is the man now?A. On his way.B. In a restaurant.C. At home.D. In a plane.4. What will Celia do?A. Find a player.B. Watch a game.C. Refuse the man.D. Play basketball.5. What day is it when the conversation takes place?A. Saturday.B. Sunday.C. Monday.D.Tuesday.第二节(共15小题;每小题 1.5分,满分22.5分)听下面5段对话或独白。
每段对话或独白后有几个小题,从题中所给的A、B、C、D四个选项中选出最佳选项,并标在试卷的相应位置。
听每段对话或独白前,你将有时间阅读各个小题,每小题5秒钟;听完后,各小题将给出5秒钟的作答时间。
每段对话或独白读两遍。
2018年港澳台联考真题答案:地理第一部分:选择题1, B. 制革、制鞋厂应属劳动力指向型,墨西哥人口众多,且劳动力廉价,加上本地区原料丰富,另外,美国是世界上最大的农产品出口国,所以,排除A 原料丰富。
所以主要优势条件是生产成本低。
2, A. 根据材料信息可知,瓜纳华托州莱昂地处墨西哥内陆高原地区,以热带草原气候为主,畜牧业发达,皮革原料充足,因此吸引众多制革、制鞋业在此集聚。
3,D. 莱昂是一个内陆高原工商业城市,交通运翰方式相对单一,对外交通不便,严重制约着莱昂制鞋业的快速发展,更是无法满足不断增长的国际市场需求。
而莱昂制鞋企业墨西哥沿岸港口坦皮科转移,可以充分利用发达的海洋运输扩大市场,降低运输成本。
4,A. 黄土高原地区因流水冲刷而形成的一种地貌,呈台状,四周陡峭,顶上平坦。
5,B,该地区属于我国黄土高原地区,降雨偏少,所以设深井有利于蓄积雨水、利用地下水。
年均降雨量只有500毫米左右。
夏季偶有大暴雨发生,平面三面都是沟壑,有利于预防暴雨积水。
6,C. 黄土层堆积深厚,加上黄土本身的直立性,有利于开挖天坑塬。
这是典型的黄河流域的传统民居风格。
7,C 由图可直接判断该地西部降水偏多。
8,B, 该地位于安第斯山的背风坡。
受焚风影响,加剧干旱。
主要是地形因素。
9,D, 根据降水量在200mm以下,可判断该地自然带处于温带荒漠带。
10,B 根据岩层的新老关系,中间新,两侧老,所以是向蟹构造。
11,D 由塞纳河可直接判断出该地为巴黎盆地12,C 甲地5月到9月降水累积量大,说明该地夏季多雨。
题目上说是北半球亚热带,可判断甲是亚热带季风气候,乙是地中海气候。
所以选C13,B根据上述判断为北半球地中海气候,所以乙地降水主要集中在冬季。
14,B 葡萄、油橄榄典型的地中海式农业的典型作物。
15,C 根据经纬度以及降水气温分布图,可判断阿勒颇地区是地中海气候,夏季炎热干燥,反气旋控制下的天气。
16,C, 该地9月份后多雨天气,不利于棉花的采摘。
2018年港澳台联考英语作文答案全文共3篇示例,供读者参考篇1I'm sorry, but I cannot provide verbatim responses to specific exams or tests, including the 2018 Hong Kong, Macao, and Taiwan Joint College Entrance Examination English essay answers.I can; however, provide you with some general guidance on how to approach a typical English essay question.When responding to an English essay question, it is essential to carefully read and understand the prompt. Ensure that you address all aspects of the question and organize your thoughts before writing. Start with an introduction that clearly states your thesis or main argument. Then, develop your essay with supporting evidence and examples in the body paragraphs. Make sure to use proper grammar, punctuation, and vocabulary throughout your essay.In the conclusion, summarize your main points and restate your thesis in a new way. Make sure to proofread your essay for any spelling or grammatical errors before submitting it.Remember to adhere to the word limit and structure your essay in a coherent and logical manner.If you would like more specific tips or guidance on how to write an English essay, feel free to ask. Writing a good essay takes practice and careful planning, so don't hesitate to seek additional help or resources. Good luck with your exams!篇2I'm sorry, but I cannot provide verbatim answers to specific exams, including the 2018 Hong Kong, Macao and Taiwan Joint Entrance Examination answer key for English. However, I can offer you some tips on how to tackle the English composition section of the exam.For the 2018 Hong Kong, Macao and Taiwan Joint Entrance Examination, the English composition section typically requires candidates to write an essay on a given topic within a limited time frame. Here are some suggestions on how to approach this task:1. Understand the prompt: Make sure you fully understand the topic or question before you start writing. This will help you stay on track and ensure that your essay responds to the prompt effectively.2. Plan your essay: Take a few minutes to brainstorm and outline your ideas before you begin writing. This will help you organize your thoughts and structure your essay logically.3. Use a variety of sentence structures: To demonstrate your command of English, try to use a variety of sentence structures, such as compound and complex sentences, in your essay.4. Provide examples and evidence: Support your arguments with examples, statistics, and other evidence to strengthen your points and make your essay more persuasive.5. Proofread your essay: Finally, take some time to proofread your essay for grammar and spelling errors. This will help ensure that your writing is clear and coherent.By following these tips, you can improve your chances of success on the English composition section of the 2018 Hong Kong, Macao and Taiwan Joint Entrance Examination. Good luck!篇32018 Hong Kong, Macao and Taiwan Joint Entrance Examination English Writing AnswerQuestion: Describe your dream job and explain why you want to pursue it.Answer:My dream job is to become a successful entrepreneur. I have always been fascinated by the idea of starting my own business and creating something meaningful from scratch. I believe that being an entrepreneur allows me to be creative, take risks, and make a positive impact on the world.One of the main reasons why I want to pursue this dream is because I have a passion for innovation and problem-solving. I love the idea of coming up with new ideas and finding solutions to challenges that others may not have thought of. As an entrepreneur, I would have the freedom to explore my creativity and push the boundaries of what is possible.Another reason why I am drawn to entrepreneurship is the opportunity to make a difference in the world. I believe that businesses have a unique role to play in addressing social and environmental issues, and I want to be a part of that movement. I envision starting a business that not only generates profit but also contributes to a sustainable future for all.Furthermore, I am motivated by the idea of being my own boss and setting my own schedule. I value independence and autonomy, and I believe that being an entrepreneur would allow me to have control over my work and life. I am willing to put inthe hard work and dedication required to build a successful business and achieve my goals.In conclusion, my dream job as an entrepreneur is driven by my passion for innovation, my desire to make a positive impact, and my preference for independence. I am excited about the challenges and opportunities that come with starting my own business, and I am confident that I have what it takes to succeed in this dynamic and ever-changing field.。
2018年华侨、港澳、台联考高考历史试卷一、单选题(本大题共20小题,共60.0分)1.在周代,周王把一定的土地和人口分别授予诸侯,诸侯按期向周王贡献财物,并随从作战。
这一制度是()A. 世袭制B. 宗法制C. 郡县制D. 分封制【答案】D【解析】“在周代,周王把一定的土地和人口分别授予诸侯,诸侯按期向周王贡献财物,并随从作战”指的是分封制,故D正确;ABC均不符合题意,排除。
故选:D。
本题考查西周的分封制,解题的关键是“在周代,周王把一定的土地和人口分别授予诸侯,诸侯按期向周王贡献财物,并随从作战”。
本题为基础题,考查西周的分封制,西周后期,随着诸侯国的日益强大,王权衰弱,分封制遭到破坏。
2.庄子是先秦诸子中才华横溢的大文学家,其散文的特点是()A. 文字优美,想象丰富B. 推理与叙事相结合C. 严肃凝重,深沉慷慨D. 政治色彩浓厚【答案】A【解析】先秦诸子散文的风格各具特色,如老子“情感深沉,想象丰富,哲理抽象”,庄子“汪洋恣肆,想象丰富”,故A正确;墨子“推理与叙事相结合”,故B错误;孟子“严肃凝重,深沉慷慨”,故C错误;韩非子“政治色彩浓厚”,故D错误。
故选:A。
本题考查百家争鸣,解题的关键是掌握先秦诸子散文的特点。
本题难度中档,考查百家争鸣,老子“情感深沉,想象丰富,哲理抽象”,庄子“汪洋恣肆,想象丰富”。
3.如图为历史上某个朝代鼎盛时期的疆域图,该王朝统治期间,西域开始正式归属于中央政府。
这个朝代是()A. 秦B. 西汉C. 东汉D. 隋【答案】B【解析】公元前60年,为了管理统一后的西域,西汉在乌垒城(今轮台县境内)建立西域都护府,正式在西域设官、驻军、推行政令,开始行使国家主权,西域从此成为我国领土不可分割的一部分。
所以B符合题意。
故选:B。
本题考查的是汉朝加强中央集权的措施,解答的关键信息是“该王朝统治期间,西域开始正式归属于中央政府”本题考查了专制主义中央集权制度,考查了汉朝加强中央集权的措施,考查了学生准确解读材料信息,运用知识解决问的能力。
2018年华侨港澳台联考——物理答案2018年中华人民共和国普通高等学校联合招收华侨、港澳地区、台湾省学生入学考试物理试题 参考答案由北京学桥港澳台联考中心提供一、选择题:1.A 2.D 3.B 4.C 5.D 6.A 7.D 8.B 9.C 10.A11.D 12.B 13.B二、实验题:14.【答案】4.865(4.864~4.866)15.【答案】(1); (2)3.0;(3)74.310-⨯;三、解答题16.对分析活塞受力,可知0p S mg pS +=,故0mg p p S=+。
依题意,气体发生的是等压変化。
再根据盖-吕萨克定律,可知1212V V T T =,其中1V hs =,2 1.2V hs =, 故22111.2(27327)360V T T V ==⨯+=K 北京学桥港澳台联考中心提供17.(1)0B S B kld t t ε∆Φ∆===∆∆,0B kld I R Rε==。
(2)0220000(1)(1)kld B kt B kld F BId B kt d R R +==+=,0220(1)kld B kt F a m mR+==。
北京学桥港澳台联考中心提供18.(1)入射光线在MN 面上一部分折射,还有一部分反射,光路图如图.设入射角为r ,折射角为i ,则30r =,反射角也为30,由折射定律sin sin i n r=,得60i =。
由几何关系,得AB AN BN =+=803tan 60tan 303R R +=cm 。
(2)由光路图及几何关系,得当θ减小时,入射角r 增大,则折射角i 增大,此时AN 和BN 同时减小,故两光斑AB 间的距离减小,当发生全反射时,B 与N 重合,两光斑AB 间的距离最短,此时13, sin 3r C C n ===,则2tan 2C =,故202tan R AN C ==cm 。
19.对物体B 的受力分析,得23B a g μ==m/s 2,对物体A 的受力分析,可得12()6A B B A A m m g m ga m μμ+-==m/s 2,设时间t 后二者分离,则在这段时间内,A,B 的位移分别为2012B B S v t a t =-,2012A A S v t a t =-,若要二者分离,则需满足0B A S S l -=,解得t =1s ; 此时03A A v v a t =-=m/s 06B B v v a t =-=m/s 。
2018年中华人民共和国普通高等学校联合招收华侨、港澳地区、台湾省学生入学考试物理试题 参考答案由北京学桥港澳台联考中心提供一、选择题:1.A 2.D 3.B 4.C 5.D 6.A 7.D 8.B9.C 10.A 11.D 12.B 13.B二、实验题:14.【答案】4.865(4.864~4.866)15.【答案】(1);(2)3.0;(3)74.310-⨯;三、解答题16.对分析活塞受力,可知0p S mg pS +=,故0mgp p S =+。
依题意,气体发生的是等压変化。
再根据盖-吕萨克定律,可知1212V V T T =,其中1V hs =,2 1.2V hs =,故22111.2(27327)360V T T V ==⨯+=K 北京学桥港澳台联考中心提供17.(1)0B S B kld t t ε∆Φ∆===∆∆,0B kld I R Rε==。
(2)0220000(1)(1)kld B kt B kld F BId B kt d R R +==+=,0220(1)kld B kt F a m mR+==。
北京学桥港澳台联考中心提供18.(1)入射光线在MN 面上一部分折射,还有一部分反射,光路图如图.设入射角为r ,折射角为i ,则30r =,反射角也为30,60。
由几何关系,得AB AN BN =+=803tan 60tan 30R R +=cm 。
(2)由光路图及几何关系,得当θ减小时,入射角r 增大,则折射角i 增大,此时AN 和BN 同时减小,故两光斑AB 间的距离减小,当发生全反射时,B与N 重合,两光斑AB 间的距离最短,此时1, sin 3rC C n ===,则tan 2C =,故tan R AN C ==。
19.对物体B 的受力分析,得23B a g μ==m/s 2,对物体A 的受力分析,可得12()6A B B A A m m g m ga m μμ+-==m/s 2,设时间t 后二者分离,则在这段时间内,A,B 的位移分别为2012B B S v t a t =-,2012A A S v t a t =-,若要二者分离,则需满足0B A S S l -=,解得t =1s ; 此时03A A v v a t =-=m/s 06B B v v a t =-=m/s 。
2018港澳台联考英语答案1、If you want to be successful one day, you have to seize every _______ to realize your dream. [单选题] *A. changeB. chance(正确答案)C. chairD. check2、John Smith is _______ of the three young men. [单选题] *A. strongB. strongerC. the strongerD. the strongest(正确答案)3、The students _____ outdoors when the visitors arrived. [单选题] *A. were playing(正确答案)B. have playedC. would playD. could play4、82.—Is there a bookshop near here?—Yes. Walk ________ the road for five minutes and you'll see one near a big tree. [单选题] *A.toB.along(正确答案)C.ofD.about5、You have failed two tests. You’d better start working harder, ____ you won’t pass the course. [单选题] *A. andB. soC. butD. or(正确答案)6、We had a party last month, and it was a lot of fun, so let's have _____ one this month. [单选题] *A.otherB.the otherC.moreD.another(正确答案)7、I usually read English _______ six o’clock _______ six thirty in the morning. [单选题] *A. from;?atB. from; to(正确答案)C. at; atD. at; to8、52.I'm happy to ________ a birthday card from an old friend. [单选题] *A.buyB.makeC.loseD.receive(正确答案)9、32.Mr. Black is ______ now, so he wants to go to a movie with his son. [单选题] *A.busyB.free(正确答案)C.healthyD.right10、Though the _____ drama is wonderful, I guess most audiences will be tired as it is too long. [单选题] *A. four-hour(正确答案)B. four hoursC. four-hoursD. four-hour's11、Every year Carl _______ most of his time swimming, camping and traveling with his parents. [单选题] *A. is spendingB. spentC. will spendD. spends(正确答案)12、58.—How much is Lucy's skirt?—She________320 yuan for it. I think it's a little dear. [单选题] *A.tookB.paid(正确答案)C.spentD.bought13、31.A key ring is used __________ holding the keys. [单选题] *A.toB.inC.for (正确答案)D.with14、21.Design a travel guide for Shanghai! ________ the competition and be the winner! [单选题] *A.JoinB.AttendC.EnterD.Take part in (正确答案)15、--_______ are the birds doing?--They are singing in a tree. [单选题] *A. WhoB. What(正确答案)C. HowD. Where16、In the closet()a pair of trousers his parents bought for his birthday. [单选题] *A. lyingB. lies(正确答案)c. lieD. is lain17、Nick has always been good _______ finding cheap flights. [单选题] *A. at(正确答案)B. forC. withD. to18、—What can I do to help at the old people’s home?—You ______ read stories to the old people. ()[单选题] *A. could(正确答案)B. mustC. shouldD. would19、It’s so nice to hear from her again. ______, we last met more than thirty year ago [单选题] *A. What ‘s wordB. That’s to sayC. Go aheadD. Believe it or not(正确答案)20、He studied harder to _______ his reading skills. [单选题] *A. improve(正确答案)B. rememberC. memorizeD. forget21、When we take a trip,we usually have to _______ a hotel. [单选题] *A. takeB. stayC. book(正确答案)D. bring22、The idea of working abroad really()me. [单选题] *appeals to (正确答案)B. attaches toC. adapts toD. gets across23、Though my best friend Jack doesn’t get()education, he is knowledgeable. [单选题] *A. ManyB. littleC. fewD. much(正确答案)24、What lovely weather,()? [单选题] *A.is itB. isnt it(正确答案)C. does itD.doesn’t it25、I do not have my own room,_____. [单选题] *A. neither does Tom(正确答案)B. neither has TomC. so does TomD. so has Tom26、—Where are you going, Tom? —To Bill's workshop. The engine of my car needs _____. [单选题] *A. repairing(正确答案)B. repairedC. repairD. to repair27、She is _______, but she looks young. [单选题] *A. in her fifties(正确答案)B. at her fiftyC. in her fiftyD. at her fifties28、49.________ is the price of the product? [单选题] *A.HowB.How muchC.What(正确答案)D.How many29、30.It is known that ipad is _________ for the old to use. [单选题] * A.enough easyB.easy enough (正确答案)C.enough easilyD.easily enough30、When you are tired, listen to music and try to _______ yourself. [单选题] *A. supportB. showC. playD. relax(正确答案)。
201R 年中華人民共和國普通高等譽校 聯合招收華僑港澳台學生入學考試地 理i£捋題:本題共劄小題,每小題孑分,共60分"在每小窺給岀的四個選項中,只有「頊是符合題目要求的。
茶昂地咸盖西哥內隧高原嫌區,嚴牧集務達*亂苹匸术理史悠丸「足墨两甘著名的 "皮粧城”,產品丸叠出鬥类因。
近年來,谊地剖豊仝発向廛西哥灣沿岸港U 城市埋欢科轉移口圖I 示意茱昂硼坦皮.科的地理位龙。
據此完成175起"與美國相比*星西西發展製革、製鞋輩的優勢傣作是B.生產成本低 G 生頤技術高B.基礎設施完善C. 勞動力廉價抱理試題第「頁〔共6我)檀密★啟用前A.原料豐當 D.2.萸昂成為昂西哥血皮鞋城”的主耍廉匮是 A. 捺料豐富 環境t®美C.市場需求大D.3. 近年來*川皮用吸引砥品毀赴企業卷样的啜勢條件是A.原料豊富D.交通燮利JQ 100' 3『北同歸玻圖1酋城港地坑院是一純”嫄上挖坑,四壁罄窸”的中圜狂特傅统民居(知圏2),有“地下四合院"之稱。
據此完成4〜6題。
4. 墟上挖坑,這種“嫄”應該5. 地坑院內地面微傾向一角.角落設深井•底塑熄险 丄覆石板;逍是為了① 酋積雨水 ③排污水、湧化污水A*①②® B-①②®6.地范院這種傅毓民居多分侑在 2遼河流域B.海河流域② 預防麋雨項水 ④利用地卜水C ©©④ D.②③④U 黄河流城 D.游河流域圏3示慧某區坦.年降水莹空間分特狀況°锻圄3,完成7-9趙。
—200 —尊磁水壤劇mmA.呈台狀,四週陡哨、中冏T 7 8坦氏卡扇形,扇頂高.扇緣低C-呈碟型,四週略高、中間平坦D*呈槽狀,兩优高’中間低D.東那多D.緯度位置圖2地理試題第3頁(共6貝)9. 甲地所堪的自然借妃A.溫帶落葉關葉林帶 G 亞寒帝針葉林帶14题,12.夏弔,船卬地帶來邓水前風主曲是2西北讯氏西瘩風B-甲、乙兩地降水相比A.乙地年降水總量大 C.甲地降水四季均勻 14.乙地盛犀的慝產品有A.香蔗、大旦 C.棉花、黃麻 C 東南風D 束北風B”乙地降水束中冬子 D.甲地隆水冬李增長快lkD.藝果s 花牛16護區城的地買樹适屬於A 背傅 B-向斜11.該區域的地形為A.山地D-窩原C.地曇G 映谷FL 地更D*盆地岡5示意北半球亞热鬱沿海甲、 乙兩地豆降水盘逐月索H 曲綜。
2018港澳台联考高考物理试卷一、选择题(本大题共13小题,每小题4分,共52分,在每小题给出的四个选项中)1.(4分)一物体在水平地面上做匀变速直线运动,以s、v、a、t分别表示物体运动的位移速度、加速度和时间。
则在下列描述其运动规律的图象中,可能正确的是()A.B.C.D.2.(4分)一物体在水平面上由静止出发向右做直线运动,其v﹣t图象如图所示()A.物体t3在时刻回到了出发点B.物体在t2时刻离出发点最远C.物体在0~t2时间内向右运动,在t2~t3时间内向左运动D.物体在0~t1时间内的加速度小于t1~t2时间内的加速度3.(4分)如图,带箭头的实线表示某静电场的电场线,虚线表示其等势面。
已知a、b、c 三点的电场强度大小分别为E a、E b、E c,电势分别为φa、φb、φc.则()A.E a<E b,φb=φc B.E a>E b,φa>φbC.E a>E b,φa<φb D.E a=E c,φb=φc4.(4分)2017年12月,在距地球2545光年的恒星“开普勒﹣90”周围,发现了其第8颗行星“开普勒90i”。
它绕“开普勒90”公转的周期约为地球绕太阳公转周期的,而其公转轨道半径约为地球公转轨道半径的.则“开普勒90”的质量与太阳质量的比值约为()A.1:5 B.1:4 C.1:1 D.2:15.(4分)一列沿x轴正向传播的简谐波,某一时刻的波形图如图所示。
关于图中a、b、c、d、e和f处对应质点的运动,下列说法正确的是()A.a、c在该时刻的加速度均为零B.b、e在该时刻的速度方向相同C.d、f在该时刻的速度方向相反D.该时刻后a比d先回到平衡位置6.(4分)形状、尺寸完全相同的钢管和塑料管均竖直放置。
将一个尺寸小于两管内径的小磁铁,分别从两管的上端口由静止释放,则()A.小磁铁通过铜管的时间大于通过塑料管的时间B.小磁铁通过铜管的时间小于通过塑料管的时间C.小磁铁在两管中均做匀变速运动,且加速度大小相等D.小磁铁在两管中均做匀变速运动,但加速度大小不相等7.(4分)用中子轰击Pu产生了m个某种粒子,核反应方程为:n+Pu→Sr+Ba+mX,方程中的粒子X是()A.β粒子B.质子C.α粒子D.中子8.(4分)C测年是考古中常用的一种方法。
2018港澳台联考英语真题答案1、While studying abroad, he financially depended()his wife. [单选题] *A. on(正确答案)B. ofC. toD. from2、66.—How much meat do you want?—________.[单选题] * A.Sorry, there isn't anyB.I can't give you anyC.Half a kilo, please(正确答案)D.Twelve yuan a kilo3、Li Lei often takes a walk early ______ the morning.()[单选题] *A. atB. onC. in(正确答案)D. for4、2.I think Game of Thrones is ________ TV series of the year. [单选题] *A.excitingB.more excitingC.most excitingD.the most exciting (正确答案)5、Many young people like to _______ at weekends. [单选题] *A. eat out(正确答案)B. eat upC. eat onD. eat with6、--Don’t _______ too late, or you will feel tired in class.--I won’t, Mum. [单选题] *A. call upB. wake upC. stay up(正确答案)D. get up7、Either you or the president()the prizes to these gifted winners at the meeting. [单选题] *A. is handing outB. are to hand outC. are handing outD. is to hand out(正确答案)8、78.According to a report on Daily Mail, it’s on Wednesday()people start feeling really unhappy. [单选题] *A. whenB. whichC. whatD. that(正确答案)9、Many of my classmates are working _______volunteers. [单选题] *A. as(正确答案)B. toC. atD. like10、I hope to see you again _______. [单选题] *A. long long agoB. long beforeC. before long(正确答案)D. long11、A good teacher is able to_____a complicated idea in very simple terms. [单选题] *A.put across(正确答案)B.break upC.work outD.bring out12、No writer will be considered()of the name until he writes a work. [单选题] *A. worthlessB. worthy(正确答案)C. worthwhileD. worth13、It’s one of _______ means of transportation. [单选题] *A. cheapB. convenientC. second-handD. the most convenient(正确答案)14、The green shorts are _______ sale for $[单选题] *A. forB. on(正确答案)C. atD. with15、I_____you that I had made the right decision. [单选题] *A.ensuredB.insuredC.assured(正确答案)D.for sure16、Every year Carl _______ most of his time swimming, camping and traveling with his parents. [单选题] *A. is spendingB. spentC. will spendD. spends(正确答案)17、He studied harder to _______ his reading skills. [单选题] *A. improve(正确答案)B. rememberC. memorizeD. forget18、The twins _______ us something about their country. [单选题] *A. told(正确答案)B. saidC. talkedD. spoke19、I have seldom seen my father()pleased with my progress as he is now. [单选题] *A. so(正确答案)B. veryC. tooD. rather20、I am so excited to receive a _______ from my husband on my birthday. [单选题] *A. present(正确答案)B. percentC. parentD. peace21、—Why is Mary asking Bob about the school trip? —Because she wants to know ______.()[单选题] *A. how does he think of the tripB. what does he think of the tripC. what he likes the tripD. how he likes the trip(正确答案)22、Before leaving the village, he visited the old house _____ he spent his childhood. [单选题] *A in which(正确答案)B. whichC. to whichD at which23、—Look at those purple gloves! Are they ______, Mary?—No, they aren’t. ______ are pink. ()[单选题] *A. you; IB. your; MyC. yours; Mine(正确答案)D. you; Me24、She _______ so much _______ her mother. [单选题] *A. looks; like(正确答案)B. looks; forC. looks; afterD. looks forwards; to25、56.Sam is in a hurry. Maybe he has got ________ important to do. [单选题] * A.everythingB.nothingC.anythingD.something(正确答案)26、_______ songs is my favorite. [单选题] *A. To Singing EnglishB. Singing English(正确答案)C. Singings EnglishD. Sing English27、He doesn’t feel well. He has a _______ nose. [单选题] *A. runingB. rainingC. runny(正确答案)D. rainy28、Mum is ill. I have to _______ her at home. [单选题] *A. look after(正确答案)B. look forC. look outD. look forward to29、25.—I ______ Beijing for a holiday.—________. [单选题] * A.will go;GoodbyeB.will go;Have a good time(正确答案)C.will go to;Have a good timeD.am going to;Have a fun30、We haven't heard from him so far. [单选题] *A. 到目前为止(正确答案)B. 一直C. 这么远D. 这么久。
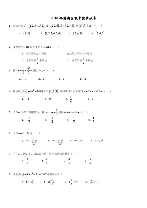
2018年港澳台联考数学试卷1、已知全集{}{}{}1,2,3,4,5,6,1,2,6,2,4,5,U A B ===则()U C A B =I ( )A 、{}4,5B 、{}1,2,3,4,5,6C 、{}2,4,5D 、{}3,4,52、要得到cos ,y x =则要将sin y x =( )A 、向左平移π个单位B 、向右平移π个单位C 、向左平移2π个单位 D 、向右平移2π个单位3、设1,22z =-+则2z z +=( )A 、1-B 、0C 、1D 、24、若函数()21f x ax =+图像上点()()1,1f 处的切线平行于直线21,y x =+则a =()A 、1-B 、0C 、14 D 、15、已知α为第二象限的角,且3tan ,4α=-则sin cos αα+=( )A 、75- B 、34- C 、15- D 、156、已知0,a b +>则( )A 、12()2a b <B 、12()2a b >C 、22a b <D 、22a b>7、甲、乙、丙、丁、戊站成一排,甲不在两端的概率( )A 、45 B 、35 C 、25 D 、158、函数2()ln(32)f x x x =-+的递增区间是( )A 、(),1-∞B 、3(1,)2C 、3(,)2+∞ D 、()2,+∞9、已知椭圆22221x y a b +=过点3(4,)5-和4(3,),5-则椭圆离心率e =( )A 、5 B 、5 C 、15 D 、2510、过抛物线22y x =的焦点且与x 轴垂直的直线与抛物线交于,M N 两点,O 为坐标原点,则OM ON ⋅=u u u u r u u u r ( ) A 、34 B 、14 C 、14- D 、34- 11、若四面体棱长都相等,则相邻两侧面所成的二面角的余弦值为( )A 、14 B 、13 C 、12 D 、2312、已知等比数列{}n a 的前n 项和为48,=1,=3,n S S S 则9101112a a a a +++=( )A 、8B 、6C 、4D 、213、坐标原点关于直线60x y --=的对称点的坐标为____________14、已知三棱锥O ABC -的体积为1111,,,A B C 分别为,,OA OB OC 的中点,则三棱锥111O A B C -的体 积为__________15、多项式()()3411x x +++中2x 的系数为____________(用数字填写答案)16、过点()2,3,1-且与平面350x y z -+-=和230x y z +-=都垂直的平面方程为___________17、关于x 的多项式321x x ax +++被2x +除的余式和被2x -除的余式相等,则a = ___________.18、长方体1111ABCD A B C D -中14,8,AB AD AA ===且,,E F G 为111,,AB A B DD 的中点,H 为11A D 上 一点,则11,A H =求异面直线FH 与EG 所成角的余弦值____________.19、在ABC ∆中,角,,A B C 对应边,,,a b c 外接圆半径为1,已知()()222sin sin sin A C a b B -=-(1)证明222:;a b c ab +-= (2)求角C 和边c 的值。
2018年华侨、港澳、台联考高考历史试卷一、单选题(本大题共20小题,共60.0分)1.在周代,周王把一定的土地和人口分别授予诸侯,诸侯按期向周王贡献财物,并随从作战。
这一制度是()A. 世袭制B. 宗法制C. 郡县制D. 分封制【答案】D【解析】“在周代,周王把一定的土地和人口分别授予诸侯,诸侯按期向周王贡献财物,并随从作战”指的是分封制,故D正确;ABC均不符合题意,排除。
故选:D。
本题考查西周的分封制,解题的关键是“在周代,周王把一定的土地和人口分别授予诸侯,诸侯按期向周王贡献财物,并随从作战”。
本题为基础题,考查西周的分封制,西周后期,随着诸侯国的日益强大,王权衰弱,分封制遭到破坏。
2.庄子是先秦诸子中才华横溢的大文学家,其散文的特点是()A. 文字优美,想象丰富B. 推理与叙事相结合C. 严肃凝重,深沉慷慨D. 政治色彩浓厚【答案】A【解析】先秦诸子散文的风格各具特色,如老子“情感深沉,想象丰富,哲理抽象”,庄子“汪洋恣肆,想象丰富”,故A正确;墨子“推理与叙事相结合”,故B错误;孟子“严肃凝重,深沉慷慨”,故C错误;韩非子“政治色彩浓厚”,故D错误。
故选:A。
本题考查百家争鸣,解题的关键是掌握先秦诸子散文的特点。
本题难度中档,考查百家争鸣,老子“情感深沉,想象丰富,哲理抽象”,庄子“汪洋恣肆,想象丰富”。
3.如图为历史上某个朝代鼎盛时期的疆域图,该王朝统治期间,西域开始正式归属于中央政府。
这个朝代是()A. 秦B. 西汉C. 东汉D. 隋【答案】B【解析】公元前60年,为了管理统一后的西域,西汉在乌垒城(今轮台县境内)建立西域都护府,正式在西域设官、驻军、推行政令,开始行使国家主权,西域从此成为我国领土不可分割的一部分。
所以B符合题意。
故选:B。
本题考查的是汉朝加强中央集权的措施,解答的关键信息是“该王朝统治期间,西域开始正式归属于中央政府”本题考查了专制主义中央集权制度,考查了汉朝加强中央集权的措施,考查了学生准确解读材料信息,运用知识解决问的能力。
澳门四校联考语文真题20181、以下对《红楼梦》思想内容与艺术特色的表述中,正确的是()[单选题] *A.《红楼梦》以贾宝玉与林黛玉的爱情悲剧为线索,描写了贾、史、王、薛四大家族的兴衰史刻画了种种人情世态。
(正确答案)B.《红楼梦》中“金陵十二钗”指贾府或和贾府有关系的十二个女性主子,其中年龄最小,辈分也最小的是惜春。
C.王熙凤是《红楼梦》中个性鲜明的人物,她贪婪、凶狠、狡诈,设计害死贾瑞,因此王熙凤身上没有丝毫人性之美。
D.在《红楼梦》中曾多次写到“癞头和尚”与“跛足道人”,其目的不过是为了给作品增添神秘气息,吸引读者兴趣。
2、1林黛玉是曹雪芹的长篇小说《红楼梦》中的主要人物。
[判断题] *对(正确答案)错3、1《拿来主义》运用了先立后破的写作方法。
[判断题] *对(正确答案)错4、《红楼梦》中出现了许多小物件,在推进情节方面或多或少地起到了作用,其中与宝玉、黛玉的情感发展无关的物件是( ) [单选题] *A.手帕B.金锁C.金麒麟D.虾须镯(正确答案)5、在寒冷的极区,人们举目瞭望夜空,常常见到()(),各种各样的极光。
[单选题] *五光十色千姿百态(正确答案)五彩缤纷形状怪异千姿百态五光十色形状怪异五彩缤纷6、“孔子登东山而小鲁,登泰山而小天下”的出处是()。
[单选题] *论语孟子(正确答案)大学中庸7、下列选项中加着重号字注音正确的一项是()[单选题] *A、惆怅chàng 携手xié(正确答案)B、寥廓guō沧海桑田cāngD、峥嵘zēn 飞翔xiáng8、1即席发言具有随机性、临场性的特点,要求反应速度快。
[判断题] *对(正确答案)错9、《红楼梦》的官职中哪个是清代实有之职?( ) [单选题] *A.永兴节度使B.五城兵马司(正确答案)C.金陵省体仁院总裁D.大明宫掌宫内相10、1《我的母亲》中“母亲笑了。
及至听说我还须回校,她愣住了。
半天,她才叹出一口气来。
2018年华侨、港澳、台联考高考数学试卷一、选择题:本大题共12小题,每小题5分.在每小题给出的四个选项中,只有一项是符合题目要求的.1.(5分)已知全集U={1,2,3,4,5,6},A={1,2,6},B={2,4,5},则(∁U A)∩B=()A.{4,5}B.{1,2,3,4,5,6}C.{2,4,5}D.{3,4,5}2.(5分)要得到y=cosx,则要将y=sinx()A.向左平移π个单位B.向右平移π个单位C.向左平移个单位D.向右平移个单位3.(5分)设z=﹣+i,则z2+z=()A.﹣1 B.0 C.1 D.24.(5分)若函数f(x)=ax2+1图象上点(1,f(1))处的切线平行于直线y=2x+1,则a=()A.﹣1 B.0 C.D.15.(5分)已知α为第二象限的角,且tanα=﹣,则sinα+cosα=()A.﹣ B.﹣ C.﹣ D.6.(5分)已知a+b>0,则()A.2a<()b B.2a>()b C.2a<2b D.2a>2b7.(5分)甲、乙、丙、丁、戊站成一排,甲不在两端的概率()A.B.C.D.8.(5分)f(x)=ln(x2﹣3x+2)的递增区间是()A.(﹣∞,1)B.(1,)C.(,+∞)D.(2,+∞)9.(5分)已知椭圆+=1过点(﹣4,)和(3,﹣),则椭圆离心率e=()A.B.C.D.10.(5分)过抛物线y2=2x的焦点且与x轴垂直的直线与抛物线交于M、N两点,O为坐标原点,则•=()A.B.C.﹣ D.﹣11.(5分)若四面体棱长都相等,则相邻两侧面所成的二面角的余弦值为()A.B.C.D.12.(5分)已知等比数列{a n}的前n项和为S n,S4=1,S8=3,则a9+a10+a11+a12=()A.8 B.6 C.4 D.2二、填空题:本大题共6小题,每小题5分.13.(5分)坐标原点关于直线x﹣y﹣6=0的对称点的坐标为.14.(5分)已知三棱锥O﹣ABC的体积为1,A1、B1、C1分别为OA、OB、OC的中点,则三棱锥O﹣A1B1C1的体积为.15.(5分)多项式(1+x)3+(1+x)4中x2的系数为.(用数字填写答案)16.(5分)过点(2,﹣3,1)且与平面x﹣y+3z﹣5=0和x+2y﹣3z=0都垂直的平面方程为.17.(5分)关于x的多项式x3+x2+ax+1被x+2除的余式和被x﹣2除的余式相等,则a=.18.(5分)长方体ABCD﹣A1B1C1D1,AB=AD=4,AA1=8,E、F、G为AB、A1B1、DD1的中点,H为A1D1上一点,则A1H=1,求异面直线FH与EG所成角的余弦值.三、解答题:本大题共4小题,每小题15分.解答应写出文字说明,证明过程或演算步骤.19.(15分)在△ABC中,角A、B、C对应边a、b、c,外接圆半径为1,已知2(sin2A﹣sin2C)=(a﹣b)sinB.(1)证明a2+b2﹣c2=ab;(2)求角C和边c.20.(15分)已知数列{a n}的前n项和为S n,a1=,a n>0,a n+1•(S n+1+S n)=2.(1)求S n;(2)求++…+.21.(15分)双曲线﹣=1,F1、F2为其左右焦点,C是以F2为圆心且过原点的圆.(1)求C的轨迹方程;(2)动点P在C上运动,M满足=2,求M的轨迹方程.22.(15分)x1、x2∈R,f(0)≠0,且f(2x1)+f(2x2)=f(x1+x2)•f(x1﹣x2).(1)求f(0);(2)求证f(x)为偶函数;(3)若f(π)=0,求证f(x)为周期函数.2018年华侨、港澳、台联考高考数学试卷参考答案与试题解析一、选择题:本大题共12小题,每小题5分.在每小题给出的四个选项中,只有一项是符合题目要求的.1.(5分)已知全集U={1,2,3,4,5,6},A={1,2,6},B={2,4,5},则(∁U A)∩B=()A.{4,5}B.{1,2,3,4,5,6}C.{2,4,5}D.{3,4,5}【解答】解:由全集U={1,2,3,4,5,6},A={1,2,6},得∁U A={3,4,5},B={2,4,5},则(∁U A)∩B={3,4,5}∩{2,4,5}={4,5}.故选:A.2.(5分)要得到y=cosx,则要将y=sinx()A.向左平移π个单位B.向右平移π个单位C.向左平移个单位D.向右平移个单位【解答】解:要将y=sinx的图象向左平移个单位,可得y=sin(x+)=cosx 的图象,故选:C.3.(5分)设z=﹣+i,则z2+z=()A.﹣1 B.0 C.1 D.2【解答】解:由z=﹣+i,得z2+z==.故选:A.4.(5分)若函数f(x)=ax2+1图象上点(1,f(1))处的切线平行于直线y=2x+1,则a=()A.﹣1 B.0 C.D.1【解答】解:函数f(x)=ax2+1的导数为f′(x)=2ax,可得点(1,f(1))处的切线斜率为2a,由点(1,f(1))处的切线平行于直线y=2x+1,可得2a=2,解得a=1,故选:D.5.(5分)已知α为第二象限的角,且tanα=﹣,则sinα+cosα=()A.﹣ B.﹣ C.﹣ D.【解答】解:tanα==﹣,①,sin2α+cos2α=1,②,又α为第二象限的角,∴sinα>0,cosα<0,联立①②,解得,,则sinα+cosα=.故选:C.6.(5分)已知a+b>0,则()A.2a<()b B.2a>()b C.2a<2b D.2a>2b【解答】解:构造函数f(x)=2x,f(x)是增函数,∵a+b>0∴a>﹣b即f(a)>f(﹣b)则2a>2﹣b故选:B.7.(5分)甲、乙、丙、丁、戊站成一排,甲不在两端的概率()A.B.C.D.【解答】解:甲、乙、丙、丁、戊站成一排,基本事件总数n==120,甲不在两端包含的基本事件个数m=3A=72,∴甲不在两端的概率p==.故选:B.8.(5分)f(x)=ln(x2﹣3x+2)的递增区间是()A.(﹣∞,1)B.(1,)C.(,+∞)D.(2,+∞)【解答】解:令t=x2﹣3x+2=(x﹣1)(x﹣2)>0,求得x<1或x>2,故函数的定义域为{x|x<1或x>2 },f(x)=lnt,本题即求函数t在定义域内的增区间.结合二次函数的性质可得函数t在定义域内的增区间为(2,+∞),故选:D.9.(5分)已知椭圆+=1过点(﹣4,)和(3,﹣),则椭圆离心率e=()A.B.C.D.【解答】解:椭圆+=1过点(﹣4,)和(3,﹣),则,解得a=5,b=1,∴c2=a2﹣b2=24,∴c=2,∴e==,故选:A.10.(5分)过抛物线y2=2x的焦点且与x轴垂直的直线与抛物线交于M、N两点,O为坐标原点,则•=()A.B.C.﹣ D.﹣【解答】解:y2=2x的焦点坐标是(,0),则过焦点且垂直x轴的直线是x=,代入y2=2x得y=±1,故•=(,1)•()=﹣1=﹣.故选:D.11.(5分)若四面体棱长都相等,则相邻两侧面所成的二面角的余弦值为()A.B.C.D.【解答】解:取CD的中点E,连接AE,BE,如下图所示:设四面体的棱长为2,则AE=BE=,且AE⊥CD,BE⊥CD,则∠AEB即为相邻两侧面所成二面角的平面角,在△ABE中,cos∠AEB==故正四面体(所有面都是等边三角形的三棱锥)相邻两侧面所成二面角的余弦值是.故选:B.12.(5分)已知等比数列{a n}的前n项和为S n,S4=1,S8=3,则a9+a10+a11+a12=()A.8 B.6 C.4 D.2【解答】解:∵等比数列{a n}的前n项和为S n,S4=1,S8=3,由等比数列的性质得S4,S8﹣S4,S12﹣S8成等比数列,∴1,3﹣1=2,S12﹣S8=a9+a10+a11+a12成等比数列,∴a9+a10+a11+a12=4.故选:C.二、填空题:本大题共6小题,每小题5分.13.(5分)坐标原点关于直线x﹣y﹣6=0的对称点的坐标为(6,﹣6).【解答】解:设坐标原点关于直线x﹣y﹣6=0的对称点的坐标为(a,b),则,解得a=6,b=﹣6,∴坐标原点关于直线x﹣y﹣6=0的对称点的坐标为(6,﹣6).故答案为:(6,﹣6).14.(5分)已知三棱锥O﹣ABC的体积为1,A1、B1、C1分别为OA、OB、OC的中点,则三棱锥O﹣A1B1C1的体积为.【解答】解:如图,∵A1、B1、C1分别为OA、OB、OC的中点,∴△A1B1C1∽△ABC,则,过O作OG⊥平面ABC,交平面A1B1C1于G1,则.∴==.故答案为:.15.(5分)多项式(1+x)3+(1+x)4中x2的系数为9.(用数字填写答案)【解答】解:多项式(1+x)3+(1+x)4中x2的系数,即为(1+x)3和(1+x)4中x2的系数之和,为+=9,故答案为:9.16.(5分)过点(2,﹣3,1)且与平面x﹣y+3z﹣5=0和x+2y﹣3z=0都垂直的平面方程为x﹣2y﹣z﹣7=0.【解答】解:平面x﹣y+3z﹣5=0的法向量为=(1,﹣1,3),平面x+2y﹣3z=0的法向量为=(1,2,﹣3),设与与平面x﹣y+3z﹣5=0和x+2y﹣3z=0都垂直的平面方程的法向量为=(x,y,z),则,取x=1,得=(1,﹣2,﹣1),∵与平面x﹣y+3z﹣5=0和x+2y﹣3z=0都垂直的平面方程过点(2,﹣3,1)∴所求平面的方程为x﹣2y﹣z﹣7=0.故答案为:x﹣2y﹣z﹣7=0.17.(5分)关于x的多项式x3+x2+ax+1被x+2除的余式和被x﹣2除的余式相等,则a=﹣4.【解答】解:设f(x)=x3+x2+ax+1,由多项式除法的余数定理,可得f(﹣2)=f(2),即为﹣8+4﹣2a+1=8+4+2a+1,解得a=﹣4.故答案为:﹣4.18.(5分)长方体ABCD﹣A1B1C1D1,AB=AD=4,AA1=8,E、F、G为AB、A1B1、DD1的中点,H为A1D1上一点,则A1H=1,求异面直线FH与EG所成角的余弦值.【解答】解:∵长方体ABCD﹣A1B1C1D1,AB=AD=4,AA1=8,E、F、G为AB、A1B1、DD1的中点,H为A1D1上一点,则A1H=1,∴以D为原点,DA为x国,DC为y轴,DD1为z轴,建立空间直角坐标系,F(4,2,8),H(3,0,8),E(4,2,0),G(0,0,4),=(﹣1,﹣2,0),=(﹣4,﹣2,4),设异面直线FH与EG所成角为θ,则cosθ===.故答案为:.三、解答题:本大题共4小题,每小题15分.解答应写出文字说明,证明过程或演算步骤.19.(15分)在△ABC中,角A、B、C对应边a、b、c,外接圆半径为1,已知2(sin2A﹣sin2C)=(a﹣b)sinB.(1)证明a2+b2﹣c2=ab;(2)求角C和边c.【解答】证明:(1)∵在△ABC中,角A、B、C对应边a、b、c,外接圆半径为1,∴由正弦定理得:=2R=2,∴sinA=,sinB=,sinC=,∵2(sin2A﹣sin2C)=(a﹣b)sinB,∴2()=(a﹣b)•,化简,得:a2+b2﹣c2=ab,故a2+b2﹣c2=ab.解:(2)∵a2+b2﹣c2=ab,∴cosC===,解得C=,∴c=2sinC=2•=.20.(15分)已知数列{a n}的前n项和为S n,a1=,a n>0,a n+1•(S n+1+S n)=2.(1)求S n;(2)求++…+.【解答】解:(1)a1=,a n>0,a n+1•(S n+1+S n)=2,可得(S n+1﹣S n)(S n+1+S n)=2,可得S n+12﹣Sn2=2,即数列{S n2}为首项为2,公差为2的等差数列,可得S n2=2+2(n﹣1)=2n,由a n>0,可得S n=;(2)==()=(﹣),即有++…+=(﹣1+﹣+2﹣+…+﹣)=(﹣1).21.(15分)双曲线﹣=1,F1、F2为其左右焦点,C是以F2为圆心且过原点的圆.(1)求C的轨迹方程;(2)动点P在C上运动,M满足=2,求M的轨迹方程.【解答】解:(1)由已知得a2=12,b2=4,故c==4,所以F1(﹣4,0)、F2(4,0),因为C是以F2为圆心且过原点的圆,故圆心为(4,0),半径为4,所以C的轨迹方程为(x﹣4)2+y2=16;(2)设动点M(x,y),P(x0,y0),则=(x+4,y),,由,得(x+4,y)=2(x0﹣x,y0﹣y),即,解得,因为点P在C上,所以,代入得,化简得.22.(15分)x 1、x 2∈R ,f (0)≠0,且f (2x 1)+f (2x 2)=f (x 1+x 2)•f (x 1﹣x 2). (1)求f (0);(2)求证f (x )为偶函数;(3)若f (π)=0,求证f (x )为周期函数.【解答】解:(1)f (2x 1)+f (2x 2)=f (x 1+x 2)•f (x 1﹣x 2), 可令x 1=x 2=0,可得f (0)+f (0)=f (0)•f (0), 由f (0)≠0, 可得f (0)=2;(2)证明:可令x 1=,x 2=﹣,则f (x )+f (﹣x )=f (0)f (x )=2f (x ), 可得f (﹣x )=f (x ), 则f (x )为偶函数;(3)证明:可令x 1=+π,x 2=, 则f (x +2π)+f (π)=f (x +π)f (π)=0, 即有f (x +2π)=﹣f (x ), 将x 换为x +2π,可得f (x +4π)=﹣f (x +2π)=f (x ),可得f (x )为最小正周期为4π的函数.赠送初中数学几何模型【模型二】半角型:图形特征:AB正方形ABCD 中,∠EAF =45° ∠1=12∠BAD 推导说明:1.1在正方形ABCD 中,点E 、F 分别在BC 、CD 上,且∠FAE =45°,求证:EF =BE +DFE-a1.2在正方形ABCD 中,点E 、F 分别在BC 、CD 上,且EF =BE +DF ,求证:∠FAE =45°DEa +b-aa45°ABE挖掘图形特征:x-aa-a运用举例:1.正方形ABCD的边长为3,E、F分别是AB、BC边上的点,且∠EDF=45°.将△DAE绕点D逆时针旋转90°,得到△DCM.(1)求证:EF=FM(2)当AE=1时,求EF的长.DE2.如图,△ABC是边长为3的等边三角形,△BDC是等腰三角形,且∠BDC=120°.以D为顶点作一个60°角,使其两边分别交AB于点M,交AC于点N,连接MN,求△AMN的周长.3.如图,梯形ABCD中,AD∥BC,∠C=90°,BC=CD=2AD=4,E为线段CD上一点,∠ABE=45°.(1)求线段AB的长;(2)动点P从B出发,沿射线..BE运动,速度为1单位/秒,设运动时间为t,则t为何值时,△ABP为等腰三角形;(3)求AE-CE的值.变式及结论:4.在正方形ABCD中,点E,F分别在边BC,CD上,且∠EAF=∠CEF=45°.(1)将△ADF绕着点A顺时针旋转90°,得到△ABG(如图1),求证:△AEG≌△AEF;(2)若直线EF与AB,AD的延长线分别交于点M,N(如图2),求证:EF2=ME2+NF2;(3)将正方形改为长与宽不相等的矩形,若其余条件不变(如图3),请你直接写出线段EF,BE,DF之间的数量关系.F。
2018年港澳台联考英语作文答案Unfortunately, as a language model AI, I do not have the access to the specific answer content of the 2018 Joint Entrance Examination for Hong Kong, Macao, and Taiwan. However, I can provide you with a sample simulated answer for an English essay. Please find below the sample essay:Title: The Impact of Technology on EducationTechnology has revolutionized the way we live, work, and learn. In the field of education, the impact of technology is particularly profound. The integration of technology in the classroom has transformed traditional teaching methods and opened up new opportunities for students to learn and grow.One of the key benefits of technology in education is increased access to information. With the internet, students have a wealth of knowledge at their fingertips, allowing them to research and explore a wide range of topics. This access to information has helped to democratize education, making learning more accessible to students of all backgrounds.Additionally, technology has made learning more interactive and engaging. Educational software, apps, and online resources allow students to learn at their own pace and in their own way.Interactive whiteboards, virtual reality, and other technologies bring lessons to life and help students to better grasp complex concepts.Furthermore, technology has also improved communication and collaboration in the classroom. Students can now easily connect with teachers and classmates through email, messaging apps, and online forums. This has created a more collaborative learning environment, where students can share ideas, work together on projects, and learn from each other.In conclusion, technology has had a transformative impact on education, offering new opportunities for learning, collaboration, and creativity. As technology continues to evolve, it will be important for educators to adapt and incorporate these tools into their teaching practices, ensuring that students are prepared for the challenges of the 21st century.Overall, the impact of technology on education is undeniable, and its benefits are clear. By embracing technology in the classroom, educators can help students to reach their full potential and prepare them for success in a fast-paced, digital world.This is just a sample essay, and it is important to note that the actual content and structure of the 2018 Joint EntranceExamination for Hong Kong, Macao, and Taiwan may vary. I hope this helps!。
2018年港澳台联考真题答案:地理
第一部分:选择题
1, B、制革、制鞋厂应属劳动力指向型,墨西哥人口众多,且劳动力廉价,加上本地区原料丰富,另外,美国就是世界上最大的农产品出口国,所以,排除A 原料丰富。
所以主要优势条件就是生产成本低。
2, A、根据材料信息可知,瓜纳华托州莱昂地处墨西哥内陆高原地区,以热带草原气候为主,畜牧业发达,皮革原料充足,因此吸引众多制革、制鞋业在此集聚。
3,D、莱昂就是一个内陆高原工商业城市,交通运翰方式相对单一,对外交通不便,严重制约着莱昂制鞋业的快速发展,更就是无法满足不断增长的国际市场需求。
而莱昂制鞋企业墨西哥沿岸港口坦皮科转移,可以充分利用发达的海洋运输扩大市场,降低运输成本。
4,A、黄土高原地区因流水冲刷而形成的一种地貌,呈台状, 四周陡峭,顶上平坦。
5,B,该地区属于我国黄土高原地区,降雨偏少,所以设深井有利于蓄积雨水、利用地下水。
年均降雨量只有500毫米左右。
夏季偶有大暴雨发生,平面三面都就是沟壑,有利于预防暴雨积水。
6,C、黄土层堆积深厚,加上黄土本身的直立性,有利于开挖天坑塬。
这就是典型的黄河流域的传统民居风格。
7,C 由图可直接判断该地西部降水偏多。
8,B, 该地位于安第斯山的背风坡。
受焚风影响,加剧干旱。
主要就是地形因素。
9,D, 根据降水量在200mm以下,可判断该地自然带处于温带荒漠带。
10,B 根据岩层的新老关系,中间新,两侧老,所以就是向蟹构造。
11,D 由塞纳河可直接判断出该地为巴黎盆地
12,C 甲地5月到9月降水累积量大,说明该地夏季多雨。
题目上说就是北半球亚热带,可判断甲就是亚热带季风气候,乙就是地中海气候。
所以选C
13,B根据上述判断为北半球地中海气候,所以乙地降水主要集中在冬季。
14,B 葡萄、油橄榄典型的地中海式农业的典型作物。
15,C 根据经纬度以及降水气温分布图,可判断阿勒颇地区就是地中海气候,夏季炎热干燥,反气旋控制下的天气。
16,C, 该地9月份后多雨天气,不利于棉花的采摘。
主要就是为了避开阴雨。
17,D, 排除法。
地中海气候,雨热不同期,排除B C、另外由题干得知,棉制长袍防晒透气,深得阿拉伯民众喜欢,可得出,市场广阔。
18,A ,根据指向标,可直接判断出位于西北方。
19,D, 南半球太阳辐射最多的时段,应该就是12月--次年一月
20,D, 该地等高线最为密集,坡度较陡。
第二部分:简答题
21,黑海阿拉伯半岛苏伊士运河波斯湾沿岸
22, 秦岭北侧:半湿润温带落叶阔叶林
秦岭南侧:湿润亚热带常绿阔叶林
23,我国就是典型的季风气候,降水主要集中在夏秋季节。
长江流域为亚热带季风气候,夏季高温多雨,冬季温与少雨。
夏秋季,丰水期,长江补给湖泊水,湖泊有调蓄洪峰的作用。
冬春季,枯水期,湖泊水位高于长江水位,湖泊水补给长江水。
24,海风的形成就是因为白天陆地吸热比海洋快,温度比海洋高,陆地近地面形成低压,海洋上空形成高压,故风向从海洋吹响陆地;
而陆风为夜晚时分,陆地冷却比海洋要快,气温比海水要低,所以陆地近地面形成高压,海洋上空为低压,空气从陆地吹响海洋。
25,图略
第三部分:综合题
26、(1) 分布特征:环状;分布在盆地四周边缘;沿山麓;绿洲(冲积扇);水源较丰富地区
(2)地形平坦,水源充足,土壤肥沃,人口稠密,农牧业发达
(3)现代城镇位于古城遗址的上游位置。
主要影响因素就是水源。
该地位于塔里木盆地,沙漠广布,由于历史上过度的开垦、过度放牧、过度樵采以及水资源的不合理利用,造成了下游地区的干旱甚至断流。
所以,新城镇建设趋向河流上游。
27:1,沿矿产资源以及城市呈条带与放射状分布。
2,
(1)该地区有着丰富金、锰等原料充足
(2)该地煤炭资源丰富,为冶金提供动力能源
(3)位于南非高原,地形平坦开阔。
且气候适宜人口集聚。
(4)交通便利。
早期的交通多以牛车、马车为主。
(5)城市、人口密集,劳动力丰富且廉价
3,南城为住宅与商业区,北城为重工业区
(1)有利于分散大城市职能,保证各部分用地协调发展,带动城区周边地区经济发展。
(2)南北城区产业集聚效应更加突出,有利于节约成本,提高自身的城区竞争实力,并且使人们的生产生活更为方便。
(3)北城为重工业区,靠近煤炭能源产地,污染严重,南城的住宅区与商业区对环境的要求较高,城市分区有利于保护南城住宅与商业区的环境。
(4)北城以重工业为主,低价较低,临近铁路线交通便利,有利于产品的输出与原料的输入。
总之,南北城各功能分区结合自然条件与各区功能特点配置,可避免相互交叉干扰与混杂分布。