2017届徐汇区高三数学一模(含答案)
- 格式:doc
- 大小:679.00 KB
- 文档页数:5
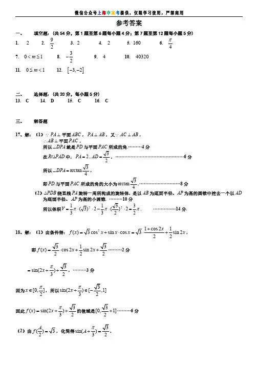
参考答案一、填空题 (共54分,第1题至第6题每小题4分;第7题至第12题每小题5分)1.2 2.92 3.2 4.2 5.160 6.4π7.01m <≤8.32−9.410.4032011.01m ≤<12.[]3,2−−二、选择题 (共20分,每小题5分)13.C 14.D 15.C 16.C、解答题17、解 1 ∵⊥PA 平面ABC ,AB PA ⊥,又∵AB AC ⊥,⊥∴AB 平面PAC ,所 DPA ∠就是PD 平面PAC 所成的角.………4分在PAD Rt ∆中,23,2==AD PA ,………………………………………6分所 43arctan =∠DPA ,即PD 平面PAC 所成的角的大小为43arctan.………………………8分 2 PDB ∆绕直线PA 旋转一周所构成的旋转体,是 AB 为底面半径、AP 为高的圆锥中挖去一个 AD为底面半径、AP 为高的小圆锥.………10分所 体 πππ23223(312)3(3122=⋅⋅−⋅⋅=V .……………14分.18、解 1 由条件得 21cos 21()sin cos sin 222x f x x x x x +=+⋅=+,即1()cos 2sin 22f x x x =++………2分sin(2)3x π=++,………3分因为[0,]2x π∈,所 sin(2[3x π+∈因 ()sin(23f x x π=++1]+………6分2 由(2Af =,化简得sin(3A π+=因为(0,)A π∈,所 4(,)333A πππ+∈,所 233A ππ+=,即3A π=.………8分由余弦定理得 2216b c bc +−=,所 2()316b c bc +−=,又5b c +=,解得3bc =,………12分所 1sin 2ABC S bc A ∆==.………14分19、解 1 1()(0)4f x x x =≥.……3分,()0)g x x =≥.………6分 2 设B 产品的投资额为x 万元,则A 产品的投资额为 10x − 万元,创业团队获得的利润为y 万元,则1()(10)(10)(010)4y g x f x x x =+−=+−≤≤.………10分t =,()1002545412≤≤++−=t t t y ,即21565((04216y t t =−−+≤≤,当52t =,即 6.25x =时,y 取得最大值4.0625………13分答 当B 产品的投资额为6.25万元时,创业团队获得的最大利润为4.0625万元.……14分20、解 1 易得1(2,0)F −,2(2,0)F ,Γ的渐近线方程为y x =,由对 性,妨设:2) l y x =−,即20x −−=,------------------2分所 ,1(2,0)F −到l 的距离2d ==.-----------------------------4分 2 当直线l 的斜率为1时,l 的方程为2y x =−,------------------------5分因 ,(0,2)Q −,-----------------------------6分又1(2,0)F −,故1(2,2)F Q =−,设Γ右支 的点P 的坐标为(,),(0)x y x >,则1(2,)F P x y =+ ,由110F P F Q ⋅= ,得2(2)20x y +−=,-----------------------8分又2213x y −=,联立消去y 得2212150x x ++=,由根 系数的关系知, 方程无 根,因 ,在双曲线Γ的右支 存在点P ,满足110F P F Q ⋅=.--------------------10分 3 设1122(,),(,) A x y B x y ,则1212(,)44x x y y M −−−−,----------------11分由M 点在曲线 ,故212212(4()134x x y y −−−−−=(*)设:(2)l y k x =−联立l Γ的方程,得2222(13)121230k x k x k −+−−=---------------------------12分由于l Γ交于 同两点,所 ,k ≠.所 ,21221213k x x k −+=−,因 ,12121224(2)(2)()413k y y k x k x k x x k k−+=−+−=+−=−.------------14分从而(*)即为22222124()3()481313k k k k−−−=−−,解得k =.即直线l的方程为20x ±−=.-------------------------------------------16分21、解 1由条件得1122a b +==,令,即1a=2+,1b=2.----------4分 2 充分性 当{}n a 为常数数列时,{}n a 是公差为零的等差数列 --------------5分必要性 当{}n a 为等差数列时,1120m m m a a a −++−=对任意2,*m m N ≥∈恒成立,----------------------------------------------------------------------6分而112m m ma a a −++−=1m a −+1211()()m m m m a b a b −−+−+=121()m m m a b b −+−=1111(22m m m a b b −−−++−,0>0=,即11m m a b −−=,-------------9分从而1111122m m m m m m a b a a a a −−−−−++===对2,*m m N ≥∈恒成立,所 {}n a 为常数列.------------------------------------------------------------------------10分3 因为任意*,2n N n ∈≥,112n n n n a b a b −−+=≥=,--------------12分又已知11a b ≥,所 n n n c a b =−.从而11n n a b ++−=111((2)()2222n n n n n n n n n a b a b a b b a b +=+−≤+−=−,即112n n c c +≤,----------------------------------------------------------------------------------14分则n c ≤121n c −≤2212n c −≤…≤1112n c −,----------------------------------------------16分所 2n c c ++⋯≤112c +⋯+1112n c −=11(12n −−1c <1c .-------------------18分。
上海市徐汇区 2017 届高三一模数学试卷一. 填空题(本大题共 12 题, 1-6 每题 4 分, 7-12 每题 5 分,共 54 分)1. lim2n 5nn 12. 已知抛物线 C 的极点在平面直角坐标系原点,焦点在 x 轴上,若 C 经过点 M (1,3) ,则其焦点到准线的距离为3. 若线性方程组的增广矩阵为a 0 2 ,解为x 21 b y,则 a b14. 若复数 z 知足: i z 3 i ( i 是虚数单位) ,则 | z |5. 在 ( x22 ) 6的二项睁开式中第四项的系数是(结果用数值表示)x6. 在长方体 ABCD A 1 B 1C 1 D 1 中,若 AB BC 1, AA 12 ,则异面直线 BD 1 与 CC 1所成角的大小为7.2x , x的值域为 (,1] ,则实数 m 的取值范围是若函数 f (x)x 2 m,x 0uuur uuur8. 如图,在△ ABC 中,若 AB AC 3, cos BAC 1 , DC 2BD ,则uuur uuur2AD BC9. 定义在 R 上的偶函数 yf (x) ,当 x0 时, f ( x) lg( x 23x 3) ,则 f ( x) 在 R 上的零点个数为 个10. 将 6 辆不一样的小汽车和 2 辆不一样的卡车驶入如下图的10 个车位中的某 8 个内,此中2 辆卡车一定停在 A 与 B 的地点,那么不一样的泊车地点安排共有 种(结果用数值表示)11. 已知数列 { a n } 是首项为 1,公差为 2m 的等差数列,前 n 项和为 S n ,设 b nS nn 2nN * ) ,若数列 {b n } 是递减数列,则实数( n m 的取值范围是12. 若使会合 A { x | ( kx k 26)( x 4)0, x Z} 中的元素个数最少,则实数k 的取值范围是二. 选择题(本大题共 4 题,每题 5 分,共 20 分)13. “ xk( k Z ) ”是“ tan x 1 ”的()条件4A. 充足不用要B. 必需不充足C. 充足必需D.既不充足也不用要14. 若 12i ( i 是虚数单位)是对于 x 的方程 x 2 bx c0 的一个复数根,则()A. b 2 , c 3B.b 2 ,c 1C.b2 , c 1D.b 2 ,c 315. 已知函数 f ( x) 为 R 上的单一函数, f - 1 (x) 是它的反函数, 点 A(- 1,3) 和点 B(1,1)均在函数 f (x)的图像上,则不等式 | f1(2 x ) | 1 的解集为()A. (1,1)B.(1,3) C.(0,log 2 3)D.(1,log 2 3)2y2y 2216. 如图,两个椭圆x1 、 x 1内部重叠地区的界限记为曲线 C ,P 是曲线2525 99C 上的随意一点,给出以下三个判断:(1) P 到 F 1 ( 4,0) 、 F 2 (4,0) 、 E 1 (0, 4) 、E 2 (0, 4) 四点的距离之和为定值(2)曲线 C 对于直线y x 、 yx 均对称(3)曲线 C 所围地区面积必小于36上述判断中正确命题的个数为()A.0 个B.1 个C.2个D.3个三 . 解答题(本大题共 5 题,共 14+14+14+16+18=76 分)17. 已知 PA 平面 ABC , AC AB ,AP BC 2, CBA 30 ,D 是 AB 的中点;(1)求 PD 与平面 PAC 所成角的大小; (结果用反三角函数值表示)(2)求△ PDB 绕直线 PA 旋转一周所组成的旋转体的体积;(结果保存 )18. 已知函数 3 cos 2 xsin x f ( x);cos x1(1)当 x [0, ] 时,求 f ( x) 的值域;2(2)已知△ ABC 的内角 A, B, C 的对边分别为a,b,c ,若 f ( A)3 , a 4, b c5 ,2求△ ABC 的面积;19. 某创业团队拟生产A 、B 两种产品,依据市场展望,A 产品的收益与投资额成正比(如图1),B 产品的收益与投资额的算术平方根成正比(如图2);(注:收益与投资额的单位均为万元)(1)分别将A 、B 两种产品的收益 f ( x)、 g(x)表示为投资额x 的函数;(2)该团队已筹集到10 万元资本,并打算所有投入A 、B 两种产品生产,问:当B 产品的投资额为多少万元时,生产A 、B 两种产品能获取最大收益,最大收益为多少?20. 如图,双曲线: x 2y 2 1的左、右焦点 F 1 、 F 2 ,过 F 2 作直线 l 交 y 轴于点 Q ;3(1)当直线 l 平行于的一条渐近线时,求点F 1 到直线 l 的距离;(2)当直线 l 的斜率为 1 时,在uuur uuur0 ?,若存在,的右支上能否存在点 P ,知足 F P FQ11求点 P 的坐标,若不存在,说明原因;uuur uuur uuuur r(3)若直线 l 与 交于不一样两点 A 、B ,且上存在一点 M ,知足 OA OB 4OM 0(此中 O 为坐标原点),求直线 l 的方程;21.正数数列{ a n}、{b n}知足:a1b1,且对全部k 2,k N,a k是a k 1与b k 1的等差中项, b k是 a k 1与 b k 1的等比中项;(1)若a2 2 , b2 1,求 a1、 b1的值;(2)求证:{ a n}是等差数列的充要条件是a n为常数数列;(3)记c n | a n b n |,当n 2, n N ,指出 c2 L c n与 c1的大小关系并说明原因;参照答案一.填空题1. 22.92 4. 2 5. 160 6. 7.3.2 4m 18.3 4 10.40320 11.[0,1)12.[3,2]9.2二. 选择题13. C 14. D 15. C 16. C三. 解答题17. ( 1) arctan3;(2)3 ;4218. ( 1) [0,3 2] ;(2) 33 ;2 419.(1)f ( x) 1 x , g( x)5 x ;44(2)对 A 投资万元,对 B 投资万元,可获取最大收益65万元;1620. ( 1) 2 ;( 2)不存在;(3) x 2 y 2 ;21. ( 1) a 1 2 3 , b 1 2 3 ;( 2)略;( 3) c 2 L c n c 1;。
2(2017徐汇一模). 已知抛物线C 的顶点在平面直角坐标系原点,焦点在x 轴上,若C 经过点(1,3)M ,则其焦点到准线的距离为4(2017青浦一模). 等轴双曲线222x y a -=与抛物线216y x =的准线交于A 、B 两点,且||AB =,则该双曲线的实轴长等于4(2017崇明一模). 抛物线2y x =上一点M 到焦点的距离为1,则点M 的纵坐标为4(2017宝山一模). 椭圆5cos 4sin x y θθ=⎧⎨=⎩(θ为参数)的焦距为5(2017普陀一模). 设k R ∈,2212y x k k -=-表示焦点在y 轴上的双曲线,则半焦距的取值范围是6(2017浦东一模). 已知直线:0l x y b -+=被圆22:25C x y +=所截得的弦长为6, 则b =6(2017金山一模). 点(1,0)到双曲线2214x y -=的渐近线的距离是 6(2017奉贤一模). 若抛物线22y px =的焦点与椭圆2215x y +=的右焦点重合,则p =7(2017虹口一模). 若双曲线2221y x b-=的一个焦点到其渐近线距离为线焦距等于8(2017普陀一模). 已知圆222:220C x y kx y k ++++=(k R ∈)和定点(1,1)P -,若过P 可以作两条直线与圆C 相切,则k 的取值范围是9(2017浦东一模). 过双曲线222:14x y C a -=的右焦点F 作一条垂直于x 轴的垂线交 双曲线C 的两条渐近线于A 、B 两点,O 为坐标原点,则△OAB 的面积的最小值为9(2017金山一模). 方程22242340x y tx ty t +--+-=(t 为参数)所表示的圆的圆心轨迹方程是 (结果化为普通方程)9(2017杨浦一模). 已知直线l 经过点(且方向向量为(2,1)-,则原点O 到直线l 的距离为10(2017松江一模). 设(,)P x y 是曲线1C =上的点,1(4,0)F -,2(4,0)F , 则12||||PF PF +的最大值为10(2017闵行一模). 已知x 、y 满足曲线方程2212x y +=,则22x y +的取值范围是10(2017杨浦一模). 若双曲线的一条渐近线为20x y +=,且双曲线与抛物线2y x =的准线仅有一个公共点,则此双曲线的标准方程为11(2017虹口一模). 点(20,40)M ,抛物线22y px =(0p >)的焦点为F ,若对于 抛物线上的任意点P ,||||PM PF +的最小值为41,则p 的值等于11(2017杨浦一模).平面直角坐标系中,给出点(1,0)A 、(4,0)B ,若直线10x my +-=上存在点P ,使得||2||PA PB =,则实数m 的取值范围是12(2017虹口一模). 当实数x 、y 满足221x y +=时,|2||32|x y a x y +++--的取 值与x 、y 均无关,则实数a 的取值范围是12(2017金山一模). 曲线C 是平面内到直线1:1l x =-和直线2:1l y =的距离之积等于常数2k (0k >)的点的轨迹,下列四个结论:① 曲线C 过点(1,1)-;② 曲线C 关于点(1,1)-成中心对称;③ 若点P 在曲线C 上,点A 、B 分别在直线1l 、2l 上,则||||PA PB +不小于2k ;④ 设0P 为曲线C 上任意一点,则点0P 关于直线1:1l x =-,点(1,1)-及直线2:1l y =对称的点分别为1P 、2P 、3P ,则四边形0123P PP P 的面积为定值24k ;其中,所有正确结论的序号是13(2017奉贤一模). 对于常数m 、n ,“0mn <”是“方程221mx ny +=表示的曲线 是双曲线”的( )A. 充分非必要条件B. 必要非充分条件C. 充要条件D. 既非充分又非必要条件14(2017静安一模). 已知椭圆1C ,抛物线2C 焦点均在x 轴上,1C 的中心和2C 顶点均 为原点O ,从每条曲线上各取两个点,将其坐标记录于表中,则1C 的左焦点到2C 的准线之 间的距离为( )A.1 B. 1 C. 1 D. 215(2017崇明一模). 如图,已知椭圆C 的中心为原点O ,(F -为C 的左焦点,P 为C 上一点,满足||||OP OF =且||4PF =,则椭圆C 的方程为( )A.221255x y += B. 2213010x y += C.2213616x y += D. 2214525x y +=16(2017杨浦一模). 若直线1x ya b+=通过点(cos ,sin )P θθ,则下列不等式正确的是( ) A. 221a b +≤ B. 221a b +≥ C. 22111a b +≤ D. 22111a b+≥16(2017闵行一模). 曲线1:sin C y x =,曲线22221:()2C x y r r ++-=(0r >),它们交点的个数( )A. 恒为偶数B. 恒为奇数C. 不超过2017D. 可超过201716(2017徐汇一模). 如图,两个椭圆221259y x +=、221259y x+=内部重叠区域的边界记为曲线C ,P 是曲线C 上的任意一点,给出下列三个判断:(1)P 到1(4,0)F -、2(4,0)F 、1(0,4)E -、2(0,4)E 四点的距离之和为定值(2)曲线C 关于直线y x =、y x =-均对称 (3)曲线C 所围区域面积必小于36 上述判断中正确命题的个数为( )A. 0个B. 1个C. 2个D. 3个17(20172017静安一模). 设双曲线22:123x y C -=,1F 、2F 为其左右两个焦点; (1)设O 为坐标原点,M 为双曲线C 右支上任意一点,求1OM F M ⋅的取值范围; (2)若动点P 与双曲线C 的两个焦点1F 、2F 的距离之和为定值,且12cos F PF ∠的最小值 为19-,求动点P 的轨迹方程; 18(2017普陀一模). 已知椭圆2222:1x y a bΓ+=(0a b >>)的左、右两个焦点分别为1F 、2F ,P 是椭圆上位于第一象限内的点,PQ x ⊥轴,垂足为Q ,且12||6F F =,12arccos 9PF F ∠=,12PF F ∆的面积为(1)求椭圆Γ的方程;(2)若M 是椭圆上的动点,求||MQ 的最大值, 并求出||MQ 取得最大值时M 的坐标;18(2017宝山一模). 已知椭圆C 的长轴长为26,左焦点的坐标为(2,0)-;(1)求C 的标准方程;(2)设与x 轴不垂直的直线l 过C 的右焦点,并与C 交于A 、B 两点,且||AB =试求直线l 的倾斜角;18(2017杨浦一模). 如图所示,1l 、2l 是互相垂直的异面直线,MN 是它们的公垂线段,点A 、B 在1l 上,且位于M 点的两侧,C 在2l 上,AM BM NM CN ===; (1)求证:异面直线AC 与BN 垂直;(2)若四面体ABCN 的体积9ABCN V =,求异面直线1l 、2l 之间的距离;19(2017青浦一模). 如图,1F 、2F 分别是椭圆2222:1x y C a b+=(0a b >>)的左、右焦点,且焦距为AB 平行于x 轴,且11||||4F A F B +=; (1)求椭圆C 的方程;(2)若点P 是椭圆C 上异于点A 、B 的任意一点,且直线PA 、PB 分别与y 轴交于点M 、N ,若2MF 、2NF 的斜率分别为1k 、2k ,求证:12k k ⋅是定值;19(2017浦东一模). 已知椭圆2222:1x y C a b+=(0)a b >>的左、右焦点分别为1F 、2F ,过2F 的一条直线交椭圆于P 、Q 两点,若△12PF F 的周长为4+,且长轴长与短轴长; (1)求椭圆C 的方程;(2)若12||||F P F Q PQ +=,求直线PQ 的方程;19(2017金山一模). 已知椭圆C 以原点为中心,左焦点F 的坐标是(1,0)-,长轴长是短倍,直线l 与椭圆C 交于点A 与B ,且A 、B 都在x 轴上方,满足180OFA OFB ︒∠+∠=; (1)求椭圆C 的标准方程;(2)对于动直线l ,是否存在一个定点,无论OFA ∠如何变化,直线l 总经过此定点?若 存在,求出该定点的坐标;若不存在,请说明理由;19(2017崇明一模). 已知点1F 、2F 为双曲线222:1y C x b-=(0)b >的左、右焦点,过2F 作垂直于x 轴的直线,在x 轴上方交双曲线C 于点M ,且1230MF F ︒∠=;(1)求双曲线C 的方程;(2)过双曲线C 上任意一点P 作该双曲线两条渐近线的垂线,垂足分别为1P 、2P ,求12PP PP ⋅的值;19(2017杨浦一模). 如图所示,椭圆22:14x C y +=,左右焦点分别记作1F 、2F ,过1F 、2F 分别作直线1l 、2l 交椭圆于AB 、CD ,且1l ∥2l ;(1)当直线1l 的斜率1k 与直线BC 的斜率2k 都存在时,求证:12k k ⋅为定值; (2)求四边形ABCD 面积的最大值;20(2017闵行一模). 如图,椭圆2214y x +=的左、右顶点分别为A 、B ,双曲线Γ以A 、B 为顶点,焦距为P 是Γ上在第一象限内的动点,直线AP 与椭圆相交于另一点Q ,线段AQ 中点为M ,记直线AP 的斜率为k ,O 为坐标原点; (1)求双曲线Γ的方程;(2)求点M 的纵坐标M y 的取值范围;(3)是否存在定直线l ,使得直线BP 与直线OM 关于直线l 对称?若存在,求直线l 方程,若不存在,请说明理由;20(2017奉贤一模). 过双曲线2214y x -=的右支上的一点P 作一直线l 与两渐近线交于A 、B 两点,其中P 是AB 的中点;(1)求双曲线的渐近线方程;(2)当P 坐标为0(,2)x 时,求直线l 的方程; (3)求证:||||OA OB ⋅是一个定值;20(2017虹口一模). 椭圆2222:1x y C a b+=(0a b >>)过点(2,0)M ,且右焦点为(1,0)F ,过F 的直线l 与椭圆C 相交于A 、B 两点,设点(4,3)P ,记PA 、PB 的斜率分别为1k 和2k ;(1)求椭圆C 的方程;(2)如果直线l 的斜率等于1-,求出12k k ⋅的值; (3)探讨12k k +是否为定值?如果是,求出该定 值,如果不是,求出12k k +的取值范围;20(2017松江一模). 已知双曲线2222:1x y C a b-=经过点(2,3),两条渐近线的夹角为60︒,直线l 交双曲线于A 、B 两点;(1)求双曲线C 的方程;(2)若l 过原点,P 为双曲线上异于A 、B 的一点,且直线PA 、PB 的斜率PA k 、PB k 均 存在,求证:PA PB k k ⋅为定值;(3)若l 过双曲线的右焦点1F ,是否存在x 轴上的点(,0)M m ,使得直线l 绕点1F 无论怎 样转动,都有0MA MB ⋅=成立?若存在,求出M 的坐标;若不存在,请说明理由;20(2017徐汇一模). 如图,双曲线22:13x y Γ-=的左、右焦点1F 、2F ,过2F 作直线l 交y 轴于点Q ;(1)当直线l 平行于Γ的一条渐近线时,求点1F 到直线l 的距离;(2)当直线l 的斜率为1时,在Γ的右支上是否存在点P ,满足110F P FQ ⋅=?,若存在, 求点P 的坐标,若不存在,说明理由;(3)若直线l 与Γ交于不同两点A 、B ,且Γ上存在一点M ,满足40OA OB OM ++= (其中O 为坐标原点),求直线l 的方程;。
上海市宝山区2017届高三一模数学试卷一. 填空题(本大题共12题,1-6每题4分,7-12每题5分,共54分) 1. 23lim1n n n →∞+=+2. 设全集U R =,集合{1,0,1,2,3}A =-,{|2}B x x =≥,则U AC B =3. 不等式102x x +<+的解集为 4. 椭圆5cos 4sin x y θθ=⎧⎨=⎩(θ为参数)的焦距为5. 设复数z 满足23z z i +=-(i 为虚数单位),则z =6. 若函数cos sin sin cos x xy x x=的最小正周期为a π,则实数a 的值为7. 若点(8,4)在函数()1log a f x x =+图像上,则()f x 的反函数为 8. 已知向量(1,2)a =,(0,3)b =,则b 在a 的方向上的投影为9. 已知一个底面置于水平面上的圆锥,其左视图是边长为6的正三角形,则该圆锥的侧面 积为10. 某班级要从5名男生和2名女生中选出3人参加公益活动,则在选出的3人中男、女生 均有的概率为 (结果用最简分数表示)11. 设常数0a >,若9()a x x+的二项展开式中5x 的系数为144,则a =12. 如果一个数列由有限个连续的正整数组成(数列的项数大于2),且所有项之和为N , 那么称该数列为N 型标准数列,例如,数列2,3,4,5,6为20型标准数列,则2668型 标准数列的个数为二. 选择题(本大题共4题,每题5分,共20分)13. 设a R ∈,则“1a =”是“复数(1)(2)(3)a a a i -+++为纯虚数”的( ) A. 充分非必要条件 B. 必要非充分条件 C. 充要条件 D. 既非充分又非必要条件14. 某中学的高一、高二、高三共有学生1350人,其中高一500人,高三比高二少50人, 为了解该校学生健康状况,现采用分层抽样方法进行调查,在抽取的样本中有高一学生120 人,则该样本中的高二学生人数为( )A. 80B. 96C. 108D. 110 15. 设M 、N 为两个随机事件,给出以下命题:(1)若M 、N 为互斥事件,且1()5P M =,1()4P N =,则9()20P M N =; (2)若1()2P M =,1()3P N =,1()6P MN =,则M 、N 为相互独立事件; (3)若1()2P M =,1()3P N =,1()6P MN =,则M 、N 为相互独立事件; (4)若1()2P M =,1()3P N =,1()6P MN =,则M 、N 为相互独立事件; (5)若1()2P M =,1()3P N =,5()6P MN =,则M 、N 为相互独立事件;其中正确命题的个数为( )A. 1B. 2C. 3D. 416. 在平面直角坐标系中,把位于直线y k =与直线y l =(k 、l 均为常数,且k l <)之 间的点所组成区域(含直线y k =,直线y l =)称为“k l ⊕型带状区域”,设()f x 为二次 函数,三点(2,(2)2)f --+、(0,(0)2)f +、(2,(2)2)f +均位于“04⊕型带状区域”,如 果点(,1)t t +位于“13-⊕型带状区域”,那么,函数|()|y f t =的最大值为( ) A. 72 B. 3 C. 52D. 2三. 解答题(本大题共5题,共14+14+14+16+18=76分) 17. 如图,已知正三棱柱111ABC A B C -的底面积为934,侧面积为36;(1)求正三棱柱111ABC A B C -的体积;(2)求异面直线1AC 与AB 所成的角的大小;18. 已知椭圆C 的长轴长为26,左焦点的坐标为(2,0)-; (1)求C 的标准方程;(2)设与x 轴不垂直的直线l 过C 的右焦点,并与C 交于A 、B 两点,且||6AB =, 试求直线l 的倾斜角;19. 设数列{}n x 的前n 项和为n S ,且430n n x S --=(*n N ∈); (1)求数列{}n x 的通项公式;(2)若数列{}n y 满足1n n n y y x +-=(*n N ∈),且12y =,求满足不等式559n y >的最小 正整数n 的值;20. 设函数()lg()f x x m =+(m R ∈); (1)当2m =时,解不等式1()1f x >; (2)若(0)1f =,且1()()2x f x λ=+在闭区间[2,3]上有实数解,求实数λ的范围;(3)如果函数()f x 的图像过点(98,2),且不等式[cos(2)]lg2n f x <对任意n N ∈均成立, 求实数x 的取值集合;21. 设集合A 、B 均为实数集R 的子集,记:{|,}A B a b a A b B +=+∈∈; (1)已知{0,1,2}A =,{1,3}B =-,试用列举法表示A B +;(2)设123a =,当*n N ∈,且2n ≥时,曲线2221119x y n n n +=-+-的焦距为n a ,如果 12{,,,}n A a a a =⋅⋅⋅,122{,,}993B =---,设A B +中的所有元素之和为n S ,对于满足3m n k +=,且m n ≠的任意正整数m 、n 、k ,不等式0m n k S S S λ+->恒成立,求实数λ的最大值;(3)若整数集合111A A A ⊆+,则称1A 为“自生集”,若任意一个正整数均为整数集合2A 的 某个非空有限子集中所有元素的和,则称2A 为“*N 的基底集”,问:是否存在一个整数集 合既是自生集又是*N 的基底集?请说明理由;上海市宝山区2017届高三一模数学试卷一. 填空题(本大题共12题,1-6每题4分,7-12每题5分,共54分) 1. 23lim1n n n →∞+=+2. 设全集U R =,集合{1,0,1,2,3}A =-,{|2}B x x =≥,则U AC B =3. 不等式102x x +<+的解集为 4. 椭圆5cos 4sin x y θθ=⎧⎨=⎩(θ为参数)的焦距为5. 设复数z 满足23z z i +=-(i 为虚数单位),则z =6. 若函数cos sin sin cos x xy x x=的最小正周期为a π,则实数a 的值为7. 若点(8,4)在函数()1log a f x x =+图像上,则()f x 的反函数为 8. 已知向量(1,2)a =,(0,3)b =,则b 在a 的方向上的投影为9. 已知一个底面置于水平面上的圆锥,其左视图是边长为6的正三角形,则该圆锥的侧面 积为10. 某班级要从5名男生和2名女生中选出3人参加公益活动,则在选出的3人中男、女生 均有的概率为 (结果用最简分数表示)11. 设常数0a >,若9()a x x+的二项展开式中5x 的系数为144,则a =12. 如果一个数列由有限个连续的正整数组成(数列的项数大于2),且所有项之和为N , 那么称该数列为N 型标准数列,例如,数列2,3,4,5,6为20型标准数列,则2668型 标准数列的个数为二. 选择题(本大题共4题,每题5分,共20分)13. 设a R ∈,则“1a =”是“复数(1)(2)(3)a a a i -+++为纯虚数”的( ) A. 充分非必要条件 B. 必要非充分条件 C. 充要条件 D. 既非充分又非必要条件14. 某中学的高一、高二、高三共有学生1350人,其中高一500人,高三比高二少50人, 为了解该校学生健康状况,现采用分层抽样方法进行调查,在抽取的样本中有高一学生120 人,则该样本中的高二学生人数为( )A. 80B. 96C. 108D. 110 15. 设M 、N 为两个随机事件,给出以下命题:(1)若M 、N 为互斥事件,且1()5P M =,1()4P N =,则9()20P M N =; (2)若1()2P M =,1()3P N =,1()6P MN =,则M 、N 为相互独立事件; (3)若1()2P M =,1()3P N =,1()6P MN =,则M 、N 为相互独立事件; (4)若1()2P M =,1()3P N =,1()6P MN =,则M 、N 为相互独立事件; (5)若1()2P M =,1()3P N =,5()6P MN =,则M 、N 为相互独立事件;其中正确命题的个数为( )A. 1B. 2C. 3D. 416. 在平面直角坐标系中,把位于直线y k =与直线y l =(k 、l 均为常数,且k l <)之 间的点所组成区域(含直线y k =,直线y l =)称为“k l ⊕型带状区域”,设()f x 为二次 函数,三点(2,(2)2)f --+、(0,(0)2)f +、(2,(2)2)f +均位于“04⊕型带状区域”,如 果点(,1)t t +位于“13-⊕型带状区域”,那么,函数|()|y f t =的最大值为( ) A. 72 B. 3 C. 52D. 2三. 解答题(本大题共5题,共14+14+14+16+18=76分) 17. 如图,已知正三棱柱111ABC A B C -的底面积为934,侧面积为36;(1)求正三棱柱111ABC A B C -的体积;(2)求异面直线1AC 与AB 所成的角的大小;18. 已知椭圆C 的长轴长为26,左焦点的坐标为(2,0)-; (1)求C 的标准方程;(2)设与x 轴不垂直的直线l 过C 的右焦点,并与C 交于A 、B 两点,且||6AB =, 试求直线l 的倾斜角;19. 设数列{}n x 的前n 项和为n S ,且430n n x S --=(*n N ∈); (1)求数列{}n x 的通项公式;(2)若数列{}n y 满足1n n n y y x +-=(*n N ∈),且12y =,求满足不等式559n y >的最小 正整数n 的值;20. 设函数()lg()f x x m =+(m R ∈); (1)当2m =时,解不等式1()1f x >; (2)若(0)1f =,且1()()2x f x λ=+在闭区间[2,3]上有实数解,求实数λ的范围;(3)如果函数()f x 的图像过点(98,2),且不等式[cos(2)]lg2n f x <对任意n N ∈均成立, 求实数x 的取值集合;21. 设集合A 、B 均为实数集R 的子集,记:{|,}A B a b a A b B +=+∈∈; (1)已知{0,1,2}A =,{1,3}B =-,试用列举法表示A B +;(2)设123a =,当*n N ∈,且2n ≥时,曲线2221119x y n n n +=-+-的焦距为n a ,如果 12{,,,}n A a a a =⋅⋅⋅,122{,,}993B =---,设A B +中的所有元素之和为n S ,对于满足3m n k +=,且m n ≠的任意正整数m 、n 、k ,不等式0m n k S S S λ+->恒成立,求实数λ的最大值;(3)若整数集合111A A A ⊆+,则称1A 为“自生集”,若任意一个正整数均为整数集合2A 的 某个非空有限子集中所有元素的和,则称2A 为“*N 的基底集”,问:是否存在一个整数集 合既是自生集又是*N 的基底集?请说明理由;上海市崇明县2017届高三一模数学试卷2016.12一. 填空题(本大题共12题,1-6每题4分,7-12每题5分,共54分) 1. 复数(2)i i +的虚部为 2. 设函数2log ,0()4,0xx x f x x >⎧=⎨≤⎩,则((1))f f -=3. 已知{||1|2,}M x x x R =-≤∈,1{|0,}2xP x x R x -=≥∈+,则M P =4. 抛物线2y x =上一点M 到焦点的距离为1,则点M 的纵坐标为5. 已知无穷数列{}n a 满足112n n a a +=*()n N ∈,且21a =,记n S 为数列{}n a 的前n 项和, 则lim n n S →∞=6. 已知,x y R +∈,且21x y +=,则xy 的最大值为7. 已知圆锥的母线10l =,母线与旋转轴的夹角30α︒=,则圆锥的表面积为8. 若21(2)nx x+*()n N ∈的二项展开式中的第9项是常数项,则n =9. 已知,A B 分别是函数()2sin f x x ω=(0)ω>在y 轴右侧图像上的第一个最高点和第一 个最低点,且2AOB π∠=,则该函数的最小正周期是10. 将序号分别为1、2、3、4、5的5张参观券全部分给4人,每人至少一张,如果分给同 一人的2张参观券连号,那么不同的分法种数是11. 在平面直角坐标系中,横、纵坐标均为整数的点叫做格点,若函数()y f x =的图像恰好经过k 个格点,则称函数()y f x =为k 阶格点函数,已知函数:①2y x =;②2sin y x =;③1xy π=-;④cos()3y x π=+;其中为一阶格点函数的序号为 (注:把你认为正确的序号都填上)12. 已知AB 为单位圆O 的一条弦,P 为单位圆O 上的点,若()||f AP AB λλ=-()R λ∈ 的最小值为m ,当点P 在单位圆上运动时,m 的最大值为43,则线段AB 长度为二. 选择题(本大题共4题,每题5分,共20分)13. 下列函数在其定义域内既是奇函数又是增函数的是( )A. tan y x =B. 3xy = C. 13y x = D. lg ||y x =14. 设,a b R ∈,则“21a b ab +>⎧⎨>⎩”是“1a >且1b >”的( )条件A. 充分非必要B. 必要非充分C. 充要D. 既非充分也非必要 15. 如图,已知椭圆C 的中心为原点O ,(25,0)F -为C 的左焦点,P 为C 上一点,满 足||||OP OF =且||4PF =,则椭圆C 的方程为( )A.221255x y += B. 2213010x y += C.2213616x y += D. 2214525x y += 16. 实数a 、b 满足0ab >且a b ≠,由a 、b 、2a b+、ab 按一定顺序构成的数列( ) A. 可能是等差数列,也可能是等比数列 B. 可能是等差数列,但不可能是等比数列 C. 不可能是等差数列,但可能是等比数列 D. 不可能是等差数列,也不可能是等比数列三. 解答题(本大题共5题,共14+14+14+16+18=76分)17. 在正三棱柱111ABC A B C -中,1AB =,12BB =,求: (1)异面直线11B C 与1AC 所成角的大小; (2)四棱锥111A B BCC -的体积;18. 在一个特定时段内,以点E 为中心的7海里以内海域被设为警戒水域,点E 正北55海 里处有一个雷达观测站A ,某时刻测得一艘匀速直线行驶的船只位于点A 北偏东45°且与 点A 相距402海里的位置B 处,经过40分钟又测得该船已行驶到点A 北偏东45θ︒+ (其中26sin 26θ=,090θ︒︒<<)且与点A 相距1013海里的位置C 处; (1)求该船的行驶速度;(单位:海里/小时)(2)若该船不改变航行方向继续行驶,判断 它是否会进入警戒水域,并说明理由;19. 已知点1F 、2F 为双曲线222:1y C x b-=(0)b >的左、右焦点,过2F 作垂直于x 轴的直线,在x 轴上方交双曲线C 于点M ,且1230MF F ︒∠=;(1)求双曲线C 的方程;(2)过双曲线C 上任意一点P 作该双曲线两条渐近线的垂线,垂足分别为1P 、2P ,求12PP PP ⋅的值;20. 设12()2x x a f x b+-+=+,,a b 为实常数;(1)当1a b ==时,证明:()f x 不是奇函数; (2)若()f x 是奇函数,求a 与b 的值;(3)当()f x 是奇函数时,研究是否存在这样的实数集的子集D ,对任何属于D 的x 、c , 都有2()33f x c c <-+成立?若存在,试找出所有这样的D ;若不存在,说明理由;21. 已知数列{}n a 、{}n b 满足2(2)n n n S a b =+,其中n S 是数列{}n a 的前n 项和; (1)若数列{}n a 是首项为23,公比为13-的等比数列,求数列{}n b 的通项公式; (2)若n b n =,23a =,求证:数列{}n a 满足212n n n a a a +++=,并写出{}n a 通项公式; (3)在(2)的条件下,设nn na cb =,求证:数列{}nc 中的任意一项总可以表示成该数列 其他两项之积;参考答案一. 填空题1. 22. 2-3. [1,1]-4.34 5. 4 6. 187. 75π 8. 12 9. 833 10. 96 11. ②③ 12. 423二. 选择题13. C 14. B 15. C 16. D三. 解答题 17.(1)5arccos10;(2)33;18.(1)155;(2)357d =<,会进入警戒水域;19.(1)2212y x -=;(2)29;20.(1)(1)(1)f f -≠-;(2)12a b =⎧⎨=⎩,12a b =-⎧⎨=-⎩;(3)当121()22x x f x +-+=+,D R =;当121()22x x f x +--=-,(0,)D =+∞,25(,log ]7D =-∞;21.(1)12n b =;(2)1n a n =+;(3)略;上海市金山区2017届高三一模数学试卷2016.12一. 填空题(本大题共12题,1-6每题4分,7-12每题5分,共54分) 1. 若集合2{|20}M x x x =-<,{|||1}N x x =>,则MN =2. 若复数z 满足232z z i +=-,其中i 为虚数单位,则z =3. 如果5sin 13α=-,且α为第四象限角,则tan α的值是 4. 函数cos sin ()sin cos x xf x x x=的最小正周期是5. 函数()2x f x m =+的反函数为1()y f x -=,且1()y f x -=的图像过点(5,2)Q ,那么m =6. 点(1,0)到双曲线2214x y -=的渐近线的距离是 7. 如果实数x 、y 满足2030x y x y x -≤⎧⎪+≤⎨⎪≥⎩,则2x y +的最大值是8. 从5名学生中任选3人分别担任语文、数学、英语课代表,其中学生甲不能担任数学课 代表,共有 种不同的选法(结果用数值表示) 9. 方程22242340x y tx ty t +--+-=(t 为参数)所表示 的圆的圆心轨迹方程是 (结果化为普通方程) 10. 若n a 是(2)nx +(*n N ∈,2n ≥,x R ∈)展开式中2x 项的二项式系数,则23111lim()n na a a →∞++⋅⋅⋅+= 11. 设数列{}n a 是集合{|33,stx x s t =+<且,}s t N ∈中所有的数从小到大排列成的数列, 即14a =,210a =,312a =,428a =,530a =,636a =,,将数列{}n a 中各项按 照上小下大,左小右大的原则排成如图的等腰直角三角形数表,则15a 的值为12. 曲线C 是平面内到直线1:1l x =-和直线2:1l y =的距离之积等于常数2k (0k >)的点的轨迹,下列四个结论:① 曲线C 过点(1,1)-;② 曲线C 关于点(1,1)-成中心对称; ③ 若点P 在曲线C 上,点A 、B 分别在直线1l 、2l 上,则||||PA PB +不小于2k ;④ 设0P 为曲线C 上任意一点,则点0P 关于直线1:1l x =-,点(1,1)-及直线2:1l y =对称的点分别为1P 、2P 、3P ,则四边形0123P PP P 的面积为定值24k ; 其中,所有正确结论的序号是41012283036⋅⋅⋅二. 选择题(本大题共4题,每题5分,共20分)13. 给定空间中的直线l 与平面α,则“直线l 与平面α垂直”是“直线l 垂直于平面α上 无数条直线”的( )条件A. 充分非必要B. 必要非充分C. 充要D. 既不充分也不必要 14. 已知x 、y R ∈,且0x y >>,则( ) A.110x y-> B. 11()()022x y -<C. 22log log 0x y +>D. sin sin 0x y -> 15. 某几何体的三视图如图所示,则它的体积是( )A. 283π-B. 83π- C. 82π- D. 23π16. 已知函数2(43)30()log (1)10a x a x a x f x x x ⎧+-+<=⎨++≥⎩(0a >且1a ≠)在R 上单调递减,且关于x 的方程|()|2f x x =-恰好有两个不相等的实数解,则a 的取值范围是( )A. 2(0,]3B. 23[,]34C. 123[,]{}334D. 123[,){}334三. 解答题(本大题共5题,共14+14+14+16+18=76分)17. 如图,在四棱锥P ABCD -中,底面ABCD 是矩形,PA ⊥平面ABCD ,PB 、PD 与 平面ABCD 所成的角依次是4π和1arctan 2,2AP =,E 、F 依次是PB 、PC 的中点;(1)求异面直线EC 与PD 所成角的大小;(结果用反三角函数值表示) (2)求三棱锥P AFD -的体积;18. 已知△ABC 中,1AC =,23ABC π∠=,设BAC x ∠=,记()f x AB BC =⋅; (1)求函数()f x 的解析式及定义域;(2)试写出函数()f x 的单调递增区间,并求方程1()6f x =的解;19. 已知椭圆C 以原点为中心,左焦点F 的坐标是(1,0)-,长轴长是短轴长的2倍,直 线l 与椭圆C 交于点A 与B ,且A 、B 都在x 轴上方,满足180OFA OFB ︒∠+∠=; (1)求椭圆C 的标准方程;(2)对于动直线l ,是否存在一个定点,无论OFA ∠如何变化,直线l 总经过此定点?若 存在,求出该定点的坐标;若不存在,请说明理由;20. 已知函数2()21g x ax ax b =-++(0)a >在区间[2,3]上的最大值为4,最小值为1, 记()(||)f x g x =,x R ∈; (1)求实数a 、b 的值;(2)若不等式222()()log 2log 3f x g x k k +≥--对任意x R ∈恒成立,求实数k 的范围; (3)对于定义在[,]p q 上的函数()m x ,设0x p =,n x q =,用任意i x (1,2,,1)i n =⋅⋅⋅- 将[,]p q 划分成n 个小区间,其中11i i i x x x -+<<,若存在一个常数0M >,使得不等式01121|()()||()()||()()|n n m x m x m x m x m x m x M --+-+⋅⋅⋅+-≤恒成立,则称函数()m x为在[,]p q 上的有界变差函数,试证明函数()f x 是在[1,3]上的有界变差函数,并求出M 的最小值;21. 数列{}n b 的前n 项和为n S ,且对任意正整数n ,都有(1)2n n n S +=; (1)试证明数列{}n b 是等差数列,并求其通项公式;(2)如果等比数列{}n a 共有2017项,其首项与公比均为2,在数列{}n a 的每相邻两项i a 与1i a +之间插入i 个(1)i i b -*()i N ∈后,得到一个新数列{}n c ,求数列{}n c 中所有项的和; (3)如果存在*n N ∈,使不等式11820(1)()(1)n n n n n b n b b b λ++++≤+≤+成立,若存在, 求实数λ的范围,若不存在,请说明理由;参考答案一. 填空题1. (1,2)2. 12i -3. 512-4. π5. 16. 557. 4 8. 48 9. 20x y -= 10. 2 11. 324 12. ②③④二. 选择题13. A 14. B 15. A 16. C三. 解答题 17.(1)310arccos 10;(2)43;18.(1)2211()sin sin()sin(2)33366f x x x x ππ=+=+-,(0,)3x π∈; (2)递增区间(0,]6π,6x π=;19.(1)2212x y +=;(2)(2,0)-; 20.(1)0b =,1a =;(2)1[,8]2;(3)min 4M =;21.(1)n b n =;(2)201822033134+;(3)不存在;上海市虹口区2017届高三一模数学试卷2016.12一. 填空题(本大题共12题,1-6每题4分,7-12每题5分,共54分) 1. 已知集合{1,2,4,6,8}A =,{|2,}B x x k k A ==∈,则A B =2. 已知21zi i=+-,则复数z 的虚部为 3. 设函数()sin cos f x x x =-,且()1f a =,则sin 2a =4. 已知二元一次方程111222a xb yc a x b y c +=⎧⎨+=⎩的增广矩阵是111113-⎛⎫⎪⎝⎭,则此方程组的解是5. 数列{}n a 是首项为1,公差为2的等差数列,n S 是它前n 项和,则2lim n n nSa →∞=6. 已知角A 是ABC ∆的内角,则“1cos 2A =”是“3sin 2A =”的 条件(填“充 分非必要”、“必要非充分”、“充要条件”、“既非充分又非必要”之一)7. 若双曲线2221y x b-=的一个焦点到其渐近线距离为22,则该双曲线焦距等于8. 若正项等比数列{}n a 满足:354a a +=,则4a 的最大值为 9. 一个底面半径为2的圆柱被与其底面所成角是60°的平 面所截,截面是一个椭圆,则该椭圆的焦距等于10. 设函数61()211x x f x x x ⎧≥=⎨--≤-⎩,则当1x ≤-时,则[()]f f x 表达式的展开式中含2x 项的系数是11. 点(20,40)M ,抛物线22y px =(0p >)的焦点为F ,若对于抛物线上的任意点P ,||||PM PF +的最小值为41,则p 的值等于12. 当实数x 、y 满足221x y +=时,|2||32|x y a x y +++--的取值与x 、y 均无关, 则实数a 的取值范围是二. 选择题(本大题共4题,每题5分,共20分)13. 在空间,α表示平面,m 、n 表示二条直线,则下列命题中错误的是( ) A. 若m ∥α,m 、n 不平行,则n 与α不平行 B. 若m ∥α,m 、n 不垂直,则n 与α不垂直 C. 若m α⊥,m 、n 不平行,则n 与α不垂直 D. 若m α⊥,m 、n 不垂直,则n 与α不平行14. 已知函数()sin(2)3f x x π=+在区间[0,]a (其中0a >)上单调递增,则实数a 的取值范围是( ) A. 02a π<≤B. 012a π<≤C. 12a k ππ=+,*k N ∈ D. 2212k a k πππ<≤+,k N ∈15. 如图,在圆C 中,点A 、B 在圆上,则AB AC ⋅的值( )A. 只与圆C 的半径有关B. 既与圆C 的半径有关,又与弦AB 的长度有关C. 只与弦AB 的长度有关D. 是与圆C 的半径和弦AB 的长度均无关的定值16. 定义(){}f x x =(其中{}x 表示不小于x 的最小整数)为“取上整函数”,例如{2.1}3=,{4}4=,以下关于“取上整函数”性质的描述,正确的是( )①(2)2()f x f x =;② 若12()()f x f x =,则121x x -<;③ 任意1x 、2x R ∈,1212()()()f x x f x f x +≤+;④1()()(2)2f x f x f x ++=; A. ①② B. ①③ C. ②③ D. ②④三. 解答题(本大题共5题,共14+14+14+16+18=76分)17. 在正三棱锥P ABC -中,已知底面等边三角形的边长为6,侧棱长为4; (1)求证:PA BC ⊥;(2)求此三棱锥的全面积和体积;18. 如图,我海蓝船在D 岛海域例行维权巡航,某时刻航行至A 处,此时测得其北偏东30° 方向与它相距20海里的B 处有一外国船只,且D 岛位于海蓝船正东18海里处; (1)求此时该外国船只与D 岛的距离;(2)观测中发现,此外国船只正以每小时4海里的速度沿正南方航行,为了将该船拦截在 离D 岛12海里的E 处(E 在B 的正南方向),不让其进入D 岛12海里内的海域,试确定 海蓝船的航向,并求其速度的最小值(角度精确到0.1°,速度精确到0.1海里/小时);19. 已知二次函数2()4f x ax x c =-+的值域为[0,)+∞; (1)判断此函数的奇偶性,并说明理由;(2)判断此函数在2[,)a+∞的单调性,并用单调性的定义证明你的结论;(3)求出()f x 在[1,)+∞上的最小值()g a ,并求()g a 的值域;20. 椭圆2222:1x y C a b+=(0a b >>)过点(2,0)M ,且右焦点为(1,0)F ,过F 的直线l 与椭圆C 相交于A 、B 两点,设点(4,3)P ,记PA 、PB 的斜率分别为1k 和2k ;(1)求椭圆C 的方程;(2)如果直线l 的斜率等于1-,求出12k k ⋅的值; (3)探讨12k k +是否为定值?如果是,求出该定 值,如果不是,求出12k k +的取值范围;21. 已知函数()2|2||1|f x x x =+-+,无穷数列{}n a 的首项1a a =; (1)若()n a f n =(*n N ∈),写出数列{}n a 的通项公式;(2)若1()n n a f a -=(*n N ∈且2n ≥),要使数列{}n a 是等差数列,求首项a 取值范围; (3)如果1()n n a f a -=(*n N ∈且2n ≥),求出数列{}n a 的前n 项和n S ;参考答案一. 填空题1. {2,4,8}2. 13. 04. 21x y =⎧⎨=⎩ 5. 146. 充分非必要7. 68. 29. 43 10. 6011. 22或42 12. [5,)+∞二. 选择题13. A 14. B 15. C 16. C三. 解答题17.(1)略;(2)9793S =+,63V =; 18.(1)291;(2)东偏北41.8︒, 6.4v =海里/小时; 19.(1)非奇非偶函数;(2)单调递增;(3)当02a <<,()0g a =;当2a ≥,4()4g a a a=+-;值域[0,)+∞; 20.(1)22143x y +=;(2)12;(3)2;21.(1)3n a n =+;(2){3}[1,)a ∈--+∞;(3)当2a ≤-,3(1)(2)(1)(3)2n n n S a n a --=+---+;当21a -<≤-,3(1)(2)(1)(35)2n n n S a n a --=+-++;当1a >-,3(1)2n n n S na -=+;上海市闵行区2017届高三一模数学试卷2016.12一. 填空题(本大题共12题,1-6每题4分,7-12每题5分,共54分) 1. 方程lg(34)1x +=的解x = 2. 若关于x 的不等式0x ax b->-(,a b R ∈)的解集为(,1)(4,)-∞+∞,则a b += 3. 已知数列{}n a 的前n 项和为21n n S =-,则此数列的通项公式为4. 函数()1f x x =+的反函数是5. 6(12)x +展开式中3x 项的系数为 (用数字作答)6. 如图,已知正方形1111ABCD A BC D -,12AA =,E 为 棱1CC 的中点,则三棱锥1D ADE -的体积为 7. 从单词“shadow ”中任意选取4个不同的字母排成一排, 则其中含有“a ”的共有 种排法(用数字作答)8. 集合{|cos(cos )0,[0,]}x x x ππ=∈= (用列举法表示) 9. 如图,已知半径为1的扇形AOB ,60AOB ∠=︒,P 为弧AB 上的一个动点,则OP AB ⋅取值范围是 10. 已知x 、y 满足曲线方程2212x y+=,则22x y +的 取值范围是11. 已知两个不相等的非零向量a 和b ,向量组1234(,,,)x x x x 和1234(,,,)y y y y 均由2个a 和2个b 排列而成,记11223344S x y x y x y x y =⋅+⋅+⋅+⋅,那么S 的所有可能取值中的最 小值是 (用向量a 、b 表示)12. 已知无穷数列{}n a ,11a =,22a =,对任意*n N ∈,有2n n a a +=,数列{}n b 满足 1n n n b b a +-=(*n N ∈),若数列2{}nnb a 中的任意一项都在该数列中重复出现无数次,则满 足要求的1b 的值为二. 选择题(本大题共4题,每题5分,共20分) 13. 若a 、b 为实数,则“1a <”是“11a>”的( )条件 A. 充要 B. 充分不必要 C. 必要不充分 D. 既不充分也不必要 14. 若a 为实数,(2)(2)4ai a i i +-=-(i 是虚数单位),则a =( )A. 1-B. 0C. 1D. 215. 函数2()||f x x a =-在区间[1,1]-上的最大值是a ,那么实数a 的取值范围是( ) A. [0,)+∞ B. 1[,1]2 C. 1[,)2+∞ D. [1,)+∞16. 曲线1:sin C y x =,曲线22221:()2C x y r r ++-=(0r >),它们交点的个数( )A. 恒为偶数B. 恒为奇数C. 不超过2017D. 可超过2017三. 解答题(本大题共5题,共14+14+14+16+18=76分) 17. 如图,在Rt AOB ∆中,6OAB π∠=,斜边4AB =,D 是AB 中点,现将Rt AOB ∆以直角边AO 为轴旋转一周得到一个圆锥,点C 为圆锥底面圆周上一点,且90BOC ∠=︒, (1)求圆锥的侧面积;(2)求直线CD 与平面BOC 所成的角的大小; (用反三角函数表示)18. 已知(23,1)m =,2(cos ,sin )2An A =,A 、B 、C 是ABC ∆的内角; (1)当2A π=时,求||n 的值;(2)若23C π=,||3AB =,当m n ⋅取最大值时,求A 的大小及边BC 的长;19. 如图所示,沿河有A 、B 两城镇,它们相距20千米,以前,两城镇的污水直接排入河 里,现为保护环境,污水需经处理才能排放,两城镇可以单独建污水处理厂,或者联合建污 水处理厂(在两城镇之间或其中一城镇建厂,用管道将污水从各城镇向污水处理厂输送), 依据经验公式,建厂的费用为0.7()25f m m=⋅(万元),m 表示污水流量,铺设管道的费用(包括管道费)() 3.2g x x =(万元),x 表示输送污水管道的长度(千米);已知城镇A 和城镇B 的污水流量分别为13m =、25m =,A 、B 两城镇连接污水处理 厂的管道总长为20千米;假定:经管道运输的污水流量不发生改变,污水经处理后直接排 入河中;请解答下列问题(结果精确到0.1)(1)若在城镇A 和城镇B 单独建厂,共需多少总费用? (2)考虑联合建厂可能节约总投资,设城镇A 到拟建厂 的距离为x 千米,求联合建厂的总费用y 与x 的函数关系 式,并求y 的取值范围;20. 如图,椭圆2214y x +=的左、右顶点分别为A 、B ,双曲线Γ以A 、B 为顶点,焦距 为25,点P 是Γ上在第一象限内的动点,直线AP 与椭圆相交于另一点Q ,线段AQ 的中点为M ,记直线AP 的斜率为k ,O 为坐标原点; (1)求双曲线Γ的方程;(2)求点M 的纵坐标M y 的取值范围; (3)是否存在定直线l ,使得直线BP 与直线OM 关于直线l 对称?若存在,求直线l 方程,若不存在,请说明理由;21. 在平面直角坐标系上,有一点列01231,,,,,,n n P P P P P P -⋅⋅⋅,设点k P 的坐标(,)k k x y (k N ∈,k n ≤),其中k x 、k y Z ∈,记1k k k x x x -∆=-,1k k k y y y -∆=-,且满足 ||||2k k x y ∆⋅∆=(*k N ∈,k n ≤); (1)已知点0(0,1)P ,点1P 满足110y x ∆>∆>,求1P 的坐标;(2)已知点0(0,1)P ,1k x ∆=(*k N ∈,k n ≤),且{}k y (k N ∈,k n ≤)是递增数列, 点n P 在直线:38l y x =-上,求n ;(3)若点0P 的坐标为(0,0),2016100y =,求0122016x x x x +++⋅⋅⋅+的最大值;上海市松江区2017届高三一模数学试卷2016.12一. 填空题(本大题共12题,1-6每题4分,7-12每题5分,共54分) 1. 设集合2{|}M x x x ==,{|lg 0}N x x =≤,则MN =2. 已知a 、b R ∈,i 是虚数单位,若2a i bi +=-,则2()a bi +=3. 已知函数()1x f x a =-的图像经过(1,1)点,则1(3)f -=4. 不等式|1|0x x ->的解集为5. 已知(sin ,cos )a x x =,(sin ,sin )b x x =,则函数()f x a b =⋅的最小正周期为6. 里约奥运会游泳小组赛采用抽签方法决定运动员比赛的泳道,在由2名中国运动员和6 名外国运动员组成的小组中,2名中国运动员恰好抽在相邻泳道的概率为 7. 按下图所示的程序框图运算:若输入17x =,则输出的x 值是8. 设230123(1)n n n x a a x a x a x a x +=++++⋅⋅⋅+,若2313a a =,则n = 9. 已知圆锥底面半径与球的半径都是1cm ,如果圆锥的体积与球的体积恰好也相等,那么 这个圆锥的侧面积是 2cm10. 设(,)P x y 是曲线22:1259x y C +=上的点,1(4,0)F -,2(4,0)F ,则12||||PF PF +的最大值为11. 已知函数243,13()28,3xx x x f x x ⎧-+-≤≤⎪=⎨->⎪⎩,若()()F x f x kx =-在其定义域内有3个零点,则实数k ∈12. 已知数列{}n a 满足11a =,23a =,若1||2n n n a a +-=*()n N ∈,且21{}n a -是递增数 列,2{}n a 是递减数列,则212lim n n na a -→∞=二. 选择题(本大题共4题,每题5分,共20分) 13. 已知a 、b R ∈,则“0ab >”是“2b aa b+>”的( ) A. 充分非必要条件 B. 必要非充分条件 C. 充要条件 D. 既非充分又非必要条件14. 如图,在棱长为1的正方体1111ABCD A BC D -中,点P 在截面1A DB 上,则线段AP 的最小值为( ) A.13 B. 12 C. 33 D. 2215. 若矩阵11122122a a a a ⎛⎫⎪⎝⎭满足:11a 、12a 、21a 、22{0,1}a ∈,且111221220a a a a =,则这样的互不相等的矩阵共有( )A. 2个B. 6个C. 8个D. 10个 16. 解不等式11()022xx -+>时,可构造函数1()()2x f x x =-,由()f x 在x R ∈是减函数 及()(1)f x f >,可得1x <,用类似的方法可求得不等式263arcsin arcsin 0x x x x +++> 的解集为( )A. (0,1]B. (1,1)-C. (1,1]-D. (1,0)-三. 解答题(本大题共5题,共14+14+14+16+18=76分)17. 如图,在正四棱锥P ABCD -中,PA AB a ==,E 是棱PC 的中点; (1)求证:PC BD ⊥;(2)求直线BE 与PA 所成角的余弦值;18. 已知函数21()21x xa f x ⋅-=+(a 为实数); (1)根据a 的不同取值,讨论函数()y f x =的奇偶性,并说明理由;(2)若对任意的1x ≥,都有1()3f x ≤≤,求a 的取值范围;19. 松江天马山上的“护珠塔”因其倾斜度超过意大利的比萨斜塔而号称“世界第一斜塔”, 兴趣小组同学实施如下方案来测量塔的倾斜度和塔高,如图,记O 点为塔基、P 点为塔尖、 点P 在地面上的射影为点H ,在塔身OP 射影所在直线上选点A ,使仰角45HAP ︒∠=, 过O 点与OA 成120︒的地面上选B 点,使仰角45HBP ︒∠=(点A 、B 、O 都在同一水平 面上),此时测得27OAB ︒∠=,A 与B 之间距离为33.6米,试求:(1)塔高;(即线段PH 的长,精确到0.1米) (2)塔的倾斜度;(即OPH ∠的大小,精确到0.1︒)20. 已知双曲线2222:1x y C a b-=经过点(2,3),两条渐近线的夹角为60︒,直线l 交双曲线于A 、B 两点;(1)求双曲线C 的方程;(2)若l 过原点,P 为双曲线上异于A 、B 的一点,且直线PA 、PB 的斜率PA k 、PB k 均 存在,求证:PA PB k k ⋅为定值;(3)若l 过双曲线的右焦点1F ,是否存在x 轴上的点(,0)M m ,使得直线l 绕点1F 无论怎 样转动,都有0MA MB ⋅=成立?若存在,求出M 的坐标;若不存在,请说明理由;21. 如果一个数列从第2项起,每一项与它前一项的差都大于2,则称为“H 型数列”;(1)若数列{}n a 为“H 型数列”,且113a m =-,21a m=,34a =,求实数m 的范围; (2)是否存在首项为1的等差数列{}n a 为“H 型数列”,其前n 项和n S 满足2n S n n <+*()n N ∈?若存在,请求出{}n a 的通项公式;若不存在,请说明理由;(3)已知等比数列{}n a 的每一项均为正整数,且{}n a 为“H 型数列”; 若23n n b a =,n c =5(1)2n n a n -+⋅,当数列{}n b 不是“H 型数列”时, 试判断数列{}n c 是否为“H 型数列”,并说明理由;参考答案一. 填空题1. {1}2. 34i -3. 24. (0,1)(1,)+∞5. π6.147. 143 8. 11 9. 17π 10. 10 11. 3(0,)312. 12-二. 选择题13. B 14. C 15. D 16. A三. 解答题 17.(1)略;(2)33; 18.(1)1a =-,偶函数;1a =,奇函数;a R ∈且1a ≠±,非奇非偶函数; (2)[2,3];19.(1)18.9米;(2)6.9°;20.(1)2213y x -=;(2)3;(3)(1,0)-; 21.(1)1(,0)(,)2-∞+∞;(2)不存在;(3)132n n a -=⋅时,{}n c 不是“H 型数列”;14n n a -=时,{}n c 是“H 型数列”;上海市浦东新区2017届高三一模数学试卷2016.12一. 填空题(本大题共12题,1-6每题4分,7-12每题5分,共54分) 1. 已知U R =,集合{|421}A x x x =-≥+,则U C A =2. 三阶行列式351236724---中元素5-的代数余子式的值为 3. 8(1)2x -的二项展开式中含2x 项的系数是4. 已知一个球的表面积为16π,则它的体积为5. 一个袋子中共有6个球,其中4个红色球,2个蓝色球,这些球的质地和形状一样,从中 任意抽取2个球,则所抽的球都是红色球的概率是6. 已知直线:0l x y b -+=被圆22:25C x y +=所截得的弦长为6,则b =7. 若复数(1)(2)ai i +-在复平面上所对应的点在直线y x =上,则实数a =8. 函数()(3sin cos )(3cos sin )f x x x x x =+-的最小正周期为9. 过双曲线222:14x y C a -=的右焦点F 作一条垂直于x 轴的垂线交双曲线C 的两条渐近线 于A 、B 两点,O 为坐标原点,则△OAB 的面积的最小值为10. 若关于x 的不等式1|2|02xx m --<在区间[0,1]内恒 成立,则实数m 的范围11. 如图,在正方形ABCD 中,2AB =,M 、N 分别是 边BC 、CD 上的两个动点,且2MN =,则AM AN ⋅的取值范围是12. 已知定义在*N 上的单调递增函数()y f x =,对于任意的*n N ∈,都有*()f n N ∈,且(())3f f n n =恒成立,则(2017)(1999)f f -=二. 选择题(本大题共4题,每题5分,共20分)13. 将cos 2y x =图像向左平移6π个单位,所得的函数为( ) A. cos(2)3y x π=+ B. cos(2)6y x π=+C. cos(2)3y x π=-D. cos(2)6y x π=-14. 已知函数()y f x =的反函数为1()y f x -=,则()y f x =-与1()y f x -=-图像( ) A. 关于y 轴对称 B. 关于原点对称 C. 关于直线0x y +=对称 D. 关于直线0x y -=对称 15. 设{}n a 是等差数列,下列命题中正确的是( )A. 若120a a +>,则230a a +>B. 若130a a +<,则120a a +<C. 若120a a <<,则213a a a >D. 若10a <,则2123()()0a a a a --> 16. 元旦将近,调查鲜花市场价格得知:购买2只玫瑰与1只康乃馨所需费用之和大于8元, 而购买4只玫瑰与5只康乃馨所需费用之和小于22元;设购买2只玫瑰花所需费用为A 元, 购买3只康乃馨所需费用为B 元,则A 、B 的大小关系是( )A. A B >B. A B <C. A B =D. A 、B 的大小关系不确定三. 解答题(本大题共5题,共14+14+14+16+18=76分)17. 在长方体1111ABCD A BC D -中(如图),11AD AA ==,2AB =,点E 是棱AB 中点; (1)求异面直线1AD 与EC 所成角的大小;(2)《九章算术》中,将四个面都是直角三角 形的四面体成为鳖臑,试问四面体1DCDE 是 否为鳖臑?并说明理由;18. 已知△ABC 的内角A 、B 、C 的对边分别为a 、b 、c ; (1)若3B π=,7b =,△ABC 的面积332S =,求a c +的值; (2)若22cos ()C BA BC AB AC c ⋅+⋅=,求角C ;。
上海市徐汇区2017届高三一模数学试卷2016.12.21一.填空题(本大题共 12题,1-6每题4分,7-12每题5分,共54分)2n1. Iimj n 12. 已知抛物线C 的顶点在平面直角坐标系原点,焦点在 x 轴上,若C 经过点M(1,3),则 其焦点到准线的距离为勺0 2】,解为片2,则a 心<0 1 b 丿 [y=14.若复数z 满足:i n =、,3 • i ( I 是虚数单位),则|z|二2 65. 在(X 2)的二项展开式中第四项的系数是 _______________ (结果用数值表示)X6. 在长方体ABCD —ABQ 1D 1中,若AB=BC=1,AA =J 2,则异面直线BD 1与CC 1 所成角的大小为 _________「2X , x 兰07. 若函数f(x)=《的值域为(皿,1],则实数m 的取值范围是 ____________-x^m, x >01 ■—8.如图,在△ ABC 中,若 AB =AC =3,cos BAC 二一,DC =2BD ,贝V2AD BC 二 _________ 9.定义在R 上的偶函数y 二f(x),当x_0时,f (x) =lg(x 2-3x • 3),则f (x)在R 上的零点个数为 _________个10.将6辆不同的小汽车和 2辆不同的卡车驶入如图所示的10个车位中的某8个内,其中2辆卡车必须停在 A 与B 的位置,那么不同的停车位置安排共有 ____________ 种(结果用数值 表示)(n ・N *),若数列{b n }是递减数列,则实数 m 的取值范围是 __________3.若线性方程组的增广矩阵为AIf11.已知数列{a n }是首项为1,公差为2m 的等差数列,前n 项和为S n ,设b n =S n nn 2。
上海中学2017年高考模拟数学试卷(一)答 案一、填空题 1.0 2.0 3.5 4.4 5.()(24)a a a a ---,,6.837.1924 8.129.11()0)({}-∞-+∞,,10.11.24 12.8.413.cos cos (2||||OB OC AB B AC COP AB AC l +=++ 二、选择题 14-17.DDAB 三、解答题18.解:(1)∵222cos π()cos ()11sin(2)26x f x x x x x x =-∈∈=+-=-+R R ,w w w w w w .由于它的最小正周期为π,故2ππw=,∴1w =.故π1sin(2(6))f x x -+=.(2)∵]π[0x ∈,, ∴ππ13π2[]6x +∈,.列表如下:如图:19.解:(1)设i z a b =+(a ,b R ∈且0b ≠)则i z a b =-∵||21510|z z +=+∴|()|2152i (+10)i|a b a b ++-∴2275a b +==∴||z =(2)设i z c b =+(c ,b ∈R 且0b ≠)假设存在实数a 使z aa z+∈R 则有2222()R z a c ac b ab a z a c b a c b +=++-∈++ ∴220b ab a c b-=+ ∵0b ≠∴a =由(1=∴a =±20.解:(1)11B C C A ⊥证明如下: 在平面1BA 内,过1B 作1B D AB ⊥于D , ∵1BA ABC ⊥侧面平面,∴1B D ABC ⊥平面,1B BA ∠是1BB 与平面ABC 所成的角,∴1π2ππ33B BA ∠=-=,连接1BC , ∵11BB CC 是菱形,∴11BC B C ⊥,1CD A B ⊥平面,1B D AB ⊥, ∴1B C AB ⊥, ∴11B C ABC ⊥平面, ∴11B C C A ⊥.(2)解:由题意及图,11111222423B ACC A B A AC A ABC V V V ---===⨯答:四棱锥11B ACC A -的体积为221.解:(1)210110%0.(1)2.8y n n n n n =+++∈N *, (2)由20.2 1.810 1.1%n n n p +≤⨯,得0.2 1.8%10 1.1nn p +≥⨯, 令0.2 1.810 1.1n nn a +=⨯,由11n n nn a a a a +-≥⎧⎨≥⎩,得12n ≤≤, ∴122%11p a a ≥==, ∴20011p ≥. 22.解:(1)∵当2b =,4m =-时,()()f x g x ≥恒成立,∴2225804||28()30x x x c x x x x x ⎧-+-≥⎪≥=⎨---<⎪⎩,---,,由二次函数的性质得74c ≥-.(2)2()||32x b x --=-,即2(||)1b x x -=+有四个不同的解,∴2()(1)0xb x x =+≥﹣有两个不同解以及2()(1)0x b x x +=+<也有两个不同解, 由根的分布得1b ≥且514b <<, ∴514b <<. 23.解:(1)22222220000001()201ax by aby a x x ax x a by ax x b y ⎧+=⎪⇒+-+-=⎨+=⎪⎩即220020ax ax x ax -+= ∴222200440a x a x ∆=-= ∴l 与椭圆C 相切.(2)逆命题:若直线l :001ax x by y +=与椭圆C 相交,则点00()N x y ,在椭圆C 的外部.是真命题.联立方程得222220000210()aby a x x ax x by ++=﹣﹣ 则22222000044()0(1)a x a by ax by =+>△﹣﹣ ∴22242220000000ax by b y ax abx y -+-+> ∴22001by ax +>∴00()N x y ,在椭圆C 的外部.(3)同理可得此时l 与椭圆相离,设11()M x y ,,()A x y ,则101110111x x x y y y l l l l +⎧=⎪+⎪⎨+⎪=⎪+⎩代入椭圆C :221ax by +=,利用M 在l 上,即01011ax x by y +=,整理得12222001112()10ax by ax by l +-++-= 同理得关于2l 的方程,类似.即1l 、2l 是222200211(0)1ax by ax by l +-++-=的两根 ∴120+=λλ.上海中学2017年高考模拟数学试卷(一)解 析一、填空题1.【考点】3Q :函数的周期性;3L :函数奇偶性的性质.【分析】根据()f x 是奇函数可得()()f x f x -=-,又根据()f x 是以2为周期的周期函数得()()2f x f x +=,取1x =-可求出()1f 的值.【解答】解:∵()f x 是以2为周期的周期函数, ∴1(1)()f f =-, 又函数()f x 是奇函数, ∴()(111)()f f f -=-=, ∴()(0)11f f =-= 故答案为:02.【考点】A2:复数的基本概念;A5:复数代数形式的乘除运算.【分析】首先进行复数的除法运算,分子和分母同乘以分母的共轭复数,整理成复数的代数标准形式,根据实部和虚部互为相反数,得到实部和虚部和为0,得到结果. 【解答】解:∵1(1)(1)1(1)111(1)(1)222bi bi i b b i b b i i i i ++-++-+-===+++-, ∵实部和虚部互为相反数,∴11022b b +-+=, ∴202b =,∴0b =, 故答案为:03.【考点】DC :二项式定理的应用.【分析】由题意可得(122)Tr Cnr x r rCnrxr +==分别令3r =,1r =可得含3x ,x 项的系数,从而可求 【解答】解:由题意可得二项展开式的通项,(122)Tr Cnr x r rCnrxr +== 令3r =可得含3x 项的系数为:38Cn ,令1r =可得含x 项的系数为12Cn ∴31882Cn Cn =⨯ ∴5n = 故答案为:54.【考点】7C :简单线性规划.【分析】先根据条件画出可行域,设2z x y =+,再利用几何意义求最值,将最小值转化为y 轴上的截距,只需求出直线2z x y =+,过可行域内的点2(1)A ,时的最小值,从而得到z 最小值即可.【解答】解:设变量x 、y 满足约束条件126x y x y ≥⎧⎪≥⎨⎪+≤⎩,在坐标系中画出可行域三角形,A (1,2),(4,2),C (1,5), 则目标函数2z x y =+的最小值为4. 故答案为:4.5.【考点】R2:绝对值不等式.【分析】把不等式转化为0||3x a a <+<-,利用绝对值不等式的几何意义,即可求出不等式的解集. 【解答】解:因为0a <,则关于x 的不等式3||1ax a>+,所以不等式0||3x a a <+<-, 根据绝对值不等式的几何意义:数轴上的点到a -的距离大于0并且小于3a -, 可知不等式的解集为:()()24a a a a -⋃--,,. 故答案为:()()24a a a a -⋃--,,. 6.【考点】K4:椭圆的简单性质.【分析】由椭圆的定义可知12||10||PF PF +=,根据椭圆方程求得焦距,利用内切圆的性质把三角形PF 1F 2分成三个三角形分别求出面积,再利用面积相等建立等式求得P 点纵坐标. 【解答】解:根据椭圆的定义可知12||10||PF PF +=,12||6F F =, 令内切圆圆心为O则1212121212|||1(2|||)PF F POF POF OF F PF r PF r S S S S F F r =++++=△△△△=1212||||11(||)28PF PF F F +⋅=+=又∵12121||23PF F F F yP yP S ⋅==△. 所以38yp =,83yp =.故答案为83.7.【考点】8E :数列的求和;6F :极限及其运算.【分析】先分奇数与偶数分别求前n 项和记为S n ,再求它们的极限.【解答】解:当2n k =时,221111[1()][1()]9924111149nnSn --=+-- 当21n k =+时,1221111[1()][1()]9924111149nn Sn +--=+-- ∴lim21193824n n S −−→∞=+=故答案为1924. 8.【考点】C7:等可能事件的概率.【分析】把城市A 被选中的情况和城市A 未被选中的情况都找出来,即可得到城市A 被选中的概率. 【解答】解:从这八个中小城市中选取三个城市,但要求没有任何两个城市相邻,则城市A 被选中的情况有:ACE ACF ACG ACH ADF ADG ADH AEG AEH AFH 、、、、、、、、、,共10种.则城市A 未被选中的情况有:BDF BDG BDH BEG BEH BFH CEG CEH CFH DFH 、、、、、、、、、,共10种.故城市A 被选中的概率为:101=10+102, 故答案为:12. 9.【考点】J9:直线与圆的位置关系.【分析】据题意设1y 22y kx =-+,画出函数1y k 的取值范围.【解答】解:根据题意设1y 22y kx =-+, 当0k =时,方程只有一个解0x =,满足题意; 当0k ≠时,根据题意画出图象,如图所示:根据图象可知,当1k ->或1k -<-时,直线2y kx =-+与y = 综上,满足题意k 的取值范围为0k =或1k >或1k <-. 故答案为:11()0)({}-∞-⋃+∞⋃,,.10.【考点】9S :数量积表示两个向量的夹角;93:向量的模;HP :正弦定理.【分析】由题意可得:|||AC BC =,设△ABC 三边分别为2,a ,三角形面积为S ,根据海仑公式得:22422162416(12128)S a a a =-+-=--+,再结合二次函数的性质求出答案即可.【解答】解:由题意可得:|||AC BC =,设△ABC 三边分别为2,a ,三角形面积为S ,所以设22a p +=所以根据海仑公式得:S = 所以22422162416(12128)S a a a =-+-=--+,当212a =时,即当a =ABC 的面积有最大值,并且最大值为故答案为11.【考点】L3:棱锥的结构特征;L2:棱柱的结构特征.【分析】先把判断几何体的形状,把展开图沿虚线折叠,得到一个四棱锥,求出体积,再计算棱长为12的正方体的体积,让正方体的体积除以四棱锥的体积,结果是几,就需要几个四棱锥.【解答】解:把该几何体沿图中虚线将其折叠,使P Q R S ,,,四点重合,所得几何体为下图中的四棱锥, 且底面四边形ABCD 为边长是6的正方形,侧棱PD ABCD ⊥平面,6PD =∴1666723P ABCD V =⨯⨯⨯=四棱锥﹣∵棱长为12的正方体体积为1212121728⨯⨯= ∵17282472=, ∴需要24个这样的几何体,就可以拼成一个棱长为12的正方体. 故答案为2412.【考点】4R :反函数.【分析】根据题意画出图形,如图,设()A x ax ,,函数(1)y ax a =>和它的反函数的图象与函数1y x=的图象关于直线0x y -=对称,得出点A 到直线y x =的距离为AB 的一半,利用点到直线的距离公式及()A x ax ,在函数1y x=的图象上得到18.4a =≈即可. 【解答】解:根据题意画出图形,如图, 设()A x ax ,,∵函数(1)y ax a =>和它的反函数的图象与函数1y x=的图象关于直线0x y -=对称,∴||AB =,⇒点A 到直线y x =,x=⇒2ax x =﹣,① 又()A x ax ,在函数1y x=的图象上,⇒1ax x =,②由①②得:12x x -=⇒1x x=,∴11)2-=,⇒18.4a =≈ 故答案为:8.4.13.【考点】F3:类比推理;LL :空间图形的公理. 【分析】由题意可得:cos cos (0||||AB B AC C BC AB AC l ⋅+=,即BC 与cos cos (||||AB B AC CAB AC l +垂直,设D 为BC的中点,则2OB OCOD +=,可得cos cos (||||AB B AC C DP AB AC +=λ,即可得到0BC DP ⋅=,进而得到点P 在BC 的垂直平分线上,即可得到答案. 【解答】解:由题意可得:cos cos (||||0||||AB B AC CBC BC BC AB AC l ⋅+=-+=∴BC 与cos cos (||||AB B AC CAB AC l +垂直 设D 为BC 的中点,则2OB OCOD +=, 所以cos cos (2||||OB OC AB B AC COP AB AC l +=++, 所以cos cos (||||AB B AC C DP AB AC l +=,因为BC 与cos cos (||||AB B AC CAB AC l +垂直所以0BC DP ⋅=, 又∵点D 为BC 的中点,∴点P 在BC 的垂直平分线上,即P 的轨迹会通过△ABC 的外心. 故答案为:cos cos (2||||OB OC AB B AC COP AB AC l +=++. 二.选择题14.【考点】H5:正弦函数的单调性;HA :余弦函数的单调性.【分析】可把A B C D ,,,四个选项中的值分别代入题设中进行验证,只有D 项的符合题意.【解答】解:cos2y x =在区间π[0]2,上是减函数,πsin )6π([0]3y x =+,上单调增,在ππ[]32,上单调减,故排除A .πsin )4π([0]4y x =+,在π[0]4,单调增,在ππ[]42,上单调减,故排除B .πsin )3π([0]6y x =+,在π[0]6,单调增,在ππ[]62,上单调减,故排除C .(πsin )2y x =+在区间π[0]2,上也是减函数,故选D .15.【考点】HP :正弦定理.【分析】根据正弦定理分别求得AC 和AB ,最后三边相加整理即可得到答案. 【解答】解:根据正弦定理sin sin BC ACA B =,sin sin(120)BC AB A B =-∴sin sin BC AC B B A ==,sin(120)s 3cos in B A CB B AB B =-= ∴△ABC的周长为π3cos 36sin 3)6(B B B B ++=++故选D .16.【考点】IH :直线的一般式方程与直线的性质.【分析】先根据点M 、N 在直线上,则点坐标适合直线方程,通过消元法可求得a 与c 的关系,从而可判定点)(1P c a ,,1()Q b c,和l 的关系,选出正确选项.【解答】解:∵点)(1M a b ,和)(1N b c ,都在直线l :1x y +=上∴11a b +=,11b c += 则11b a =-即1111a c+=-化简得11c a +=∴点)(1P c a ,在直线l 上而11b c +=则1()Q b c,在直线l 上故选A .17.【考点】8H :数列递推式;8E :数列的求和.【分析】1223111n n n a a a a a a na a ++⋯++=+,①;12231()11212n n n n n a a a a a a a a n a a ++⋯+++++=++,②;①-②,得11()12112n n n n a a na a n a a -++=+++﹣,1214n n n n a a +++-=,同理,得114n n n na a ++-=,整理,得12211n n n a a a ++=+,1{}an是等差数列. 由此能求出1297111...a a a ++. 【解答】解:1223111n n n a a a a a a na a ++⋯++=+,①12231()11212n n n n n a a a a a a a a n a a ++⋯+++++=++,②①-②,得11()12112n n n n a a na a n a a -++=+++﹣,∴1214n n n na a +++-=, 同理,得114n n n na a ++-=, ∴12111n n n n n n n n a a a a ++++--=-, 整理,得12211n n n a a a ++=+, ∴1{}an 是等差数列. ∵114a =,215a =,∴等差数列1{}an 的首项是114a =,公差2111541d a a =-=-=,14(1)13nn n a =+-⨯=+. ∴12971119796 (974150442)a a a ⨯++=⨯+⨯=. 故选B .18.【考点】HK :由(n )si y A x w j =+的部分图象确定其解析式.【分析】(1)利用三角函数的恒等变换化简函数π1sin(2())6f x x w =-+,再由它的周期等于π求出1w =,故π1sin(2(6))f x x =-+.(2)由]π[0x ∈,,可得ππ13π2[]666x +∈,,列表作图即得所求. 19.【考点】A8:复数求模.【分析】(1)设z a bi =+(a ,b R ∈且0b ≠)则z a bi =-代入条件||21510|z z +=+然后根据复数的运||z 的值(2)对于此种题型可假设存在实数a 使z aR a z+∈根据复数的运算法则设(z c bi =+(c ,b R ∈且0b ≠))可得2222()z a c ac b ab R a z a c b a c b +=++-∈++即220b ab a c b -=+再结合0b ≠和(1)的结论即可求解.20.【考点】MI :直线与平面所成的角;LF :棱柱、棱锥、棱台的体积.【分析】(1)判断知,B 1C 与C 1A 垂直,可在平面BA 1内,过B 1作1B D AB ⊥于D ,证明11B C ABC ⊥平面,再由线面垂直的定义得出线线垂直;(2)由图形知,111122B ACC A B A AC A ABC V V V ---==,变换棱锥的底与高后,求出它的体积即可; 21.【考点】8B :数列的应用.【分析】(1)210110%0.2( 1.8)N *y n n n n n =+++∈, (2)由20.2 1.8101.1%n n n n p +≤⋅,得0.2 1.8%10 1.1nn p +≥⨯,令0.2 1.810 1.1nn n a +=⨯,由此能求出p 的最小值. 22.【考点】3R :函数恒成立问题.【分析】(1)将2b =,4m =-代入函数解析式,根据()()f x g x ≥恒成立将c 分离出来,研究不等式另一侧函数的最大值即可求出c 的取值范围;(2)将3c =-,2m =-代入函数解析式得2()||1x b x =+﹣有四个不同的解,然后转化成2()(1)0x b x x =+≥﹣有两个不同解以及2()(1)0x b x x +=+<也有两个不同解,最后根据根的分布建立关系式,求出b 的取值范围.23.【考点】KG :直线与圆锥曲线的关系.【分析】(1)22222220000001()201ax by aby a x x ax x a by ax x b y ⎧+=⎪⇒+-+-=⎨+=⎪⎩,由根的差别式能得到l 与椭圆C 相切.(2)逆命题:若直线l :001ax x by y +=与椭圆C 相交,则点)00(N x y ,在椭圆C 的外部.是真命题.联立方程得222220000210()aby a x x ax x by ++=﹣﹣.由22222000044()0(1)a x a by ax by =+>△﹣﹣,能求出00()N x y ,在椭圆C 的外部.(3)此时l 与椭圆相离,设11()M x y ,,()A x y ,则101110111x x x y y y l l l l +⎧=⎪+⎪⎨+⎪=⎪+⎩代入椭圆C :221ax by +=,利用M 在l上,得222220011111()0ax by ax by l +-++-=.由此能求出120l l +=.。
7. 抛掷一枚均匀的骰子(刻有1、2、3、4、5、6)三次,得到的数字依次记作a 、b 、c , 则a bi +(i 为虚数单位)是方程220x x c -+=的根的概率是8. 设常数0a >,9(x+展开式中6x 的系数为4,则2lim()n n a a a →∞++⋅⋅⋅+=9. 已知直线l 经过点(且方向向量为(2,1)-,则原点O 到直线l 的距离为10. 若双曲线的一条渐近线为20x y +=,且双曲线与抛物线2y x =的准线仅有一个公共 点,则此双曲线的标准方程为11.平面直角坐标系中,给出点(1,0)A 、(4,0)B ,若直线10x my +-=上存在点P ,使得 ||2||PA PB =,则实数m 的取值范围是15. 一个公司有8名员工,其中6位员工的月工资分别为5200、5300、5500、6100、6500、 6600,另两位员工数据不清楚,那么8位员工月工资的中位数不可能是( )A. 5800B. 6000C. 6200D. 64007. 若函数22,0(),0x x f x x m x ⎧≤⎪=⎨-+>⎪⎩的值域为(,1]-∞,则实数m 的取值范围是 8. 如图,在△ABC 中,若3AB AC ==,1cos 2BAC ∠=,2DC BD =uuu r uu u r ,则AD BC ⋅=uuu r uu u r9. 定义在R 上的偶函数()y f x =,当0x ≥时,2()lg(33)f x x x =-+,则()f x 在R 上的零点个数为 个10. 将6辆不同的小汽车和2辆不同的卡车驶入如图所示的10个车位中的某8个内,其中2辆卡车必须停在A 与B 的位置,那么不同的停车位置安排共有 种(结果用数值表示)11. 已知数列{}n a 是首项为1,公差为2m 的等差数列,前n 项和为n S ,设2n n n S b n =⋅ *()n N ∈,若数列{}n b 是递减数列,则实数m 的取值范围是18. 已知函数23sin ()cos 1x x f x x -=; (1)当[0,]2x π∈时,求()f x 的值域;(2)已知△ABC 的内角,,A B C 的对边分别为,,a b c ,若()32Af =4a =,5b c +=,求△ABC 的面积;上海市长宁、嘉定区2017届高三一模数学试卷8. 若数列{}n a 23n n =+(*n N ∈),则 1221lim ()231n n a a a n n →∞++⋅⋅⋅+=+ 9. 如图,在ABC ∆中,45B ∠=︒,D 是BC 边上的一点,5AD =,7AC =,3DC =,则AB 的长为10. 有以下命题:① 若函数()f x 既是奇函数又是偶函数,则()f x 的值域为{0};② 若函数()f x 是偶函数,则(||)()f x f x =;③ 若函数()f x 在其定义域内不是单调函数,则()f x 不存在反函数;④ 若函数()f x 存在反函数1()f x -,且1()f x -与()f x 不完全相同,则()f x 与1()f x -图 像的公共点必在直线y x =上;其中真命题的序号是 (写出所有真命题的序号)17. 如图,已知AB ⊥平面BCD ,BC CD ⊥,AD 与平面BCD 所成的角为30°,且2AB BC ==;(1)求三棱锥A BCD -的体积;(2)设M 为BD 的中点,求异面直线AD 与CM所成角的大小(结果用反三角函数值表示);8. 已知圆222:220C x y kx y k ++++=(k R ∈)和定点(1,1)P -,若过P 可以作两条直 线与圆C 相切,则k 的取值范围是9. 如图,在直三棱柱111ABC A B C -中,90ABC ∠=︒, 1AB BC ==,若1A C 与平面11B BCC 所成的角为6π, 则三棱锥1A ABC -的体积为 10. 掷两颗骰子得两个数,若两数的差为d ,则{2,1,0,1,2}d ∈--出现的概率的最大值 为 (结果用最简分数表示)15. 设l αβ--是直二面角,直线a 在平面α内,直线b 在平面β内,且a 、b 与l 均不垂 直,则( )A. a 与b 可能垂直,但不可能平行B. a 与b 可能垂直,也可能平行C. a 与b 不可能垂直,但可能平行D. a 与b 不可能垂直,也不可能平行18. 已知椭圆2222:1x y a bΓ+=(0a b >>)的左、右两个焦点分别为1F 、2F ,P 是椭圆上位于第一象限内的点,PQ x ⊥轴,垂足为Q ,且12||6F F =,12PF F ∠=12PF F ∆的面积为(1)求椭圆Γ的方程;(2)若M 是椭圆上的动点,求||MQ 的最大值,并求出||MQ 取得最大值时M 的坐标;8. 若21(2)n x x +*()n N ∈的二项展开式中的第9项是常数项,则n = 9. 已知,A B 分别是函数()2sin f x x ω=(0)ω>在y 轴右侧图像上的第一个最高点和第一 个最低点,且2AOB π∠=,则该函数的最小正周期是10. 将序号分别为1、2、3、4、5的5张参观券全部分给4人,每人至少一张,如果分给同 一人的2张参观券连号,那么不同的分法种数是15. 如图,已知椭圆C 的中心为原点O ,(F -为C 的左焦点,P 为C 上一点,满 足||||OP OF =且||4PF =,则椭圆C 的方程为( )A. 221255x y +=B. 2213010x y += C. 2213616x y += D. 2214525x y += 18. 在一个特定时段内,以点E 为中心的7海里以内海域被设为警戒水域,点E 正北55海 里处有一个雷达观测站A ,某时刻测得一艘匀速直线行驶的船只位于点A 北偏东45°且与点A 相距B 处,经过40分钟又测得该船已行驶到点A 北偏东45θ︒+(其中sin 26θ=,090θ︒︒<<)且与点A 相距海里的位置C 处; (1)求该船的行驶速度;(单位:海里/小时)(2)若该船不改变航行方向继续行驶,判断它是否会进入警戒水域,并说明理由;9. 已知一个底面置于水平面上的圆锥,其左视图是边长为6的正三角形,则该圆锥的侧面 积为10. 某班级要从5名男生和2名女生中选出3人参加公益活动,则在选出的3人中男、女生 均有的概率为 (结果用最简分数表示)11. 设常数0a >,若9()a x x +的二项展开式中5x 的系数为144,则a =15. 设M 、N 为两个随机事件,给出以下命题: (1)若M 、N 为互斥事件,且1()5P M =,1()4P N =,则9()20P M N =U ; (2)若1()2P M =,1()3P N =,1()6P MN =,则M 、N 为相互独立事件; (3)若1()2P M =,1()3P N =,1()6P MN =,则M 、N 为相互独立事件; (4)若1()2P M =,1()3P N =,1()6P MN =,则M 、N 为相互独立事件; (5)若1()2P M =,1()3P N =,5()6P MN =,则M 、N 为相互独立事件; 其中正确命题的个数为( )A. 1B. 2C. 3D. 417. 如图,已知正三棱柱111ABC A B C -的底面积为4,侧面积为36; (1)求正三棱柱111ABC A B C -的体积;(2)求异面直线1A C 与AB 所成的角的大小;上海市松江区2017届高三一模数学试卷8. 设230123(1)n n n x a a x a x a x a x +=++++⋅⋅⋅+,若2313a a =,则n = 9. 已知圆锥底面半径与球的半径都是1cm ,如果圆锥的体积与球的体积恰好也相等,那么 这个圆锥的侧面积是 2cm10. 设(,)P x y是曲线1C =上的点,1(4,0)F -,2(4,0)F ,则12||||PF PF + 的最大值为15. 若矩阵11122122a a a a ⎛⎫ ⎪⎝⎭满足:11a 、12a 、21a 、22{0,1}a ∈, 且111221220a a a a =,则这样的互不相等的矩阵共有( ) A. 2个 B. 6个 C. 8个 D. 10个18. 已知函数21()21x x a f x ⋅-=+(a 为实数); (1)根据a 的不同取值,讨论函数()y f x =的奇偶性,并说明理由;(2)若对任意的1x ≥,都有1()3f x ≤≤,求a 的取值范围;8. 如图,一个空间几何体的主视图、左视图、俯视图均为全等的等腰直角三角形,如果直角三角形的直角边长都为1,那么这个几何体的表面积为9. 已知互异复数0mn ≠,集合22{,}{,}m n m n =,则 m n +=10. 已知等比数列{}n a 的公比为q ,前n 项和为n S ,对任意的*n N ∈,0n S >恒成立,则 公比q 的取值范围是15. 已知函数22sin ,0()cos(),0x x x f x x x x α⎧+≥⎪=⎨-++<⎪⎩([0,2))απ∈是奇函数,则α=( ) A. 0 B. 2π C. π D. 32π 18. 已知函数22()log (2)x x f x a a =+-(0)a >,且(1)2f =;(1)求a 和()f x 的单调区间;(2)(1)()2f x f x +->;8. 已知数列{}n a 的通项公式为2n a n bn =+,若数列{}n a 是单调递增数列,则实数b 的取值范围是9. 将边长为10的正三角形ABC ,按“斜二测”画法在水平放置的平面上画出为△A B C ''', 则△A B C '''中最短边的边长为 (精确到0.01)10. 已知点A 是圆22:4O x y +=上的一个定点,点B 是圆O 上的一个动点,若满足 ||||AO BO AO BO +=-uuu r uu u r uuu r uu u r ,则AO AB ⋅=uuu r uu u r14. 已知空间两条直线m 、n ,两个平面α、β,给出下面四个命题:①m ∥n ,m n αα⊥⇒⊥;②α∥β,m α,n β⇒m ∥n ;③m ∥n ,m ∥αn ⇒∥α;④α∥β,m ∥n ,m α⊥n β⇒⊥;其中正确的序号是( )A. ①④B. ②③C. ①②④D. ①③④17. 如图所示,三棱柱111ABC A B C -的侧面11ABB A 是圆柱的轴截面,C 是圆柱底面圆周 上不与A 、B 重合的一个点;(1)若圆柱的轴截面是正方形,当点C 是弧AB 的中点时,求异面直线1A C 与AB 的所成 角的大小(结果用反三角函数值表示);(2)当点C 是弧AB 的中点时,求四棱锥111A BCC B -与圆柱的体积比;上海市浦东新区2017届高三一模数学试卷9. 过双曲线222:14x y C a -=的右焦点F 作一条垂直于x 轴的垂线交双曲线C 的两条渐近线 于A 、B 两点,O 为坐标原点,则△OAB 的面积的最小值为10. 若关于x 的不等式1|2|02x x m --<在区间[0,1]内恒成立,则实数m 的范围14. 已知函数()y f x =的反函数为1()y f x -=,则()y f x =-与1()y f x -=-图像() A. 关于y 轴对称 B. 关于原点对称C. 关于直线0x y +=对称D. 关于直线0x y -=对称15. 设{}n a 是等差数列,下列命题中正确的是( )A. 若120a a +>,则230a a +>B. 若130a a +<,则120a a +<C. 若120a a <<,则2a >D. 若10a <,则2123()()0a a a a --> 18. 已知△ABC 的内角A 、B 、C 的对边分别为a 、b 、c ;(1)若3B π=,b =,△ABC 的面积2S =,求a c +的值;(2)若22cos ()C BA BC AB AC c ⋅+⋅=u u r u u u r u u u r u u u r ,求角C ;上海市闵行区2017届高三一模数学试卷7. 从单词“shadow ”中任意选取4个不同的字母排成一排,则其中含有“a ”的共有 种排法(用数字作答)8. 集合{|cos(cos )0,[0,]}x x x ππ=∈= (用列举法表示)9. 如图,已知半径为1的扇形AOB ,60AOB ∠=︒,P为弧»AB 上的一个动点,则OP AB ⋅uu u r uu u r 取值范围是10. 已知x 、y 满足曲线方程2212x y +=,则22x y +的 取值范围是17. 如图,在Rt AOB ∆中,6OAB π∠=,斜边4AB =,D 是AB 中点,现将Rt AOB ∆以直角边AO 为轴旋转一周得到一个圆锥,点C 为圆锥底面圆周上一点,且90BOC ∠=︒,(1)求圆锥的侧面积;(2)求直线CD 与平面BOC 所成的角的大小;(用反三角函数表示)上海市虹口区2017届高三一模数学试卷8. 若正项等比数列{}n a 满足:354a a +=,则4a 的最大值为9. 一个底面半径为2的圆柱被与其底面所成角是60°的平面所截,截面是一个椭圆,则该椭圆的焦距等于10. 设函数61()211x x f x x x ⎧≥=⎨--≤-⎩,则当1x ≤-时,则[()]f f x 表达式的展开式中含2x 项的系数是13. 在空间,α表示平面,m 、n 表示二条直线,则下列命题中错误的是( )A. 若m ∥α,m 、n 不平行,则n 与α不平行B. 若m ∥α,m 、n 不垂直,则n 与α不垂直C. 若m α⊥,m 、n 不平行,则n 与α不垂直D. 若m α⊥,m 、n 不垂直,则n 与α不平行15. 如图,在圆C 中,点A 、B 在圆上,则AB AC ⋅u u u r u u u r 的值( )A. 只与圆C 的半径有关B. 既与圆C 的半径有关,又与弦AB 的长度有关C. 只与弦AB 的长度有关D. 是与圆C 的半径和弦AB 的长度均无关的定值18. 如图,我海蓝船在D 岛海域例行维权巡航,某时刻航行至A 处,此时测得其北偏东30° 方向与它相距20海里的B 处有一外国船只,且D 岛位于海蓝船正东18海里处;(1)求此时该外国船只与D 岛的距离;(2)观测中发现,此外国船只正以每小时4海里的速度沿正南方航行,为了将该船拦截在 离D 岛12海里的E 处(E 在B 的正南方向),不让其进入D 岛12海里内的海域,试确定 海蓝船的航向,并求其速度的最小值(角度精确到0.1°,速度精确到0.1海里/小时);7. 根据相关规定,机动车驾驶人血液中的酒精含量大于(等于)20毫克/100毫克的行为属 于饮酒驾驶,假设饮酒后,血液中的酒精含量为0p 毫克/100毫克,经过x 个小时,酒精含量降为p 毫克/100毫克,且满足关系式0rx p p e =⋅(r 为常数)若某人饮酒后血液中的酒精含量为89毫克/100毫克,2小时后,测得其血液中酒精含量降为61毫克/100毫克,则此人饮酒后需经过 小时方可驾车8. 已知奇函数()f x 是定义在R 上的增函数,数列{}n x 是一个公差为2的等差数列,满足 78()()0f x f x +=,则2017x 的值为9. 直角三角形ABC 中,3AB =,4AC =,5BC =,点M 是三角形ABC 外接圆上任意一点,则AB AM ⋅u u u r u u u u r 的最大值为13. 某班班会准备从含甲、乙的6名学生中选取4人发言,要求甲、乙两人至少有一人参加, 那么不同的发言顺序有( )A. 336种B. 320种C. 192种D. 144种17. 设双曲线22:123x y C -=,1F 、2F 为其左右两个焦点; (1)设O 为坐标原点,M 为双曲线C 右支上任意一点,求1OM F M ⋅uuu r uuu u r 的取值范围;(2)若动点P 与双曲线C 的两个焦点1F 、2F 的距离之和为定值,且12cos F PF ∠的最小值 为19-,求动点P 的轨迹方程;7. 如果实数x 、y 满足2030x y x y x -≤⎧⎪+≤⎨⎪≥⎩,则2x y +的最大值是8. 从5名学生中任选3人分别担任语文、数学、英语课代表,其中学生甲不能担任数学课 代表,共有 种不同的选法(结果用数值表示)9. 方程22242340x y tx ty t +--+-=(t 为参数)所表示的圆的圆心轨迹方程是 (结果化为普通方程)10. 若n a 是(2)n x +(*n N ∈,2n ≥,x R ∈)展开式中2x 项的二项式系数,则23111lim()n na a a →∞++⋅⋅⋅+=15. 某几何体的三视图如图所示,则它的体积是( )A. 283π-B. 83π- C. 82π- D. 23π17. 如图,在四棱锥P ABCD -中,底面ABCD 是矩形,PA ⊥平面ABCD ,PB 、PD 与 平面ABCD 所成的角依次是4π和1arctan 2,2AP =,E 、F 依次是PB 、PC 的中点; (1)求异面直线EC 与PD 所成角的大小;(结果用反三角函数值表示)(2)求三棱锥P AFD -的体积;。
上海徐汇区数学高考一模一. 填空题(本大题共12题,1-6每题4分,7-12每题5分,共54分) 1. 25lim1n n n →∞-=+2. 已知抛物线C 的顶点在平面直角坐标系原点,焦点在x 轴上,若C 经过点(1,3)M ,则其焦点到准线的距离为3. 若线性方程组的增广矩阵为0201a b ⎛⎫ ⎪⎝⎭,解为21x y =⎧⎨=⎩,则a b += 4. 若复数z 满足:3i z i ⋅=+(i 是虚数单位),则||z =5. 在622()x x +的二项展开式中第四项的系数是 (结果用数值表示) 6. 在长方体1111ABCD A B C D -中,若1AB BC ==,12AA =,则异面直线1BD 与1CC 所成角的大小为7. 若函数22,0(),0x x f x x m x ⎧≤⎪=⎨-+>⎪⎩的值域为(,1]-∞,则实数m 的取值范围是8. 如图,在△ABC 中,若3AB AC ==,1cos 2BAC ∠=,2DC BD =u u ur u u u r ,则AD BC ⋅=u u u r u u u r9. 定义在R 上的偶函数()y f x =,当0x ≥时,2()lg(33)f x x x =-+, 则()f x 在R 上的零点个数为 个10. 将6辆不同的小汽车和2辆不同的卡车驶入如图所示的10个车位中的某8个内,其中2辆卡车必须停在A 与B 的位置,那么不同的停车位置安排共有 种(结果用数值表示)11. 已知数列{}n a 是首项为1,公差为2m 的等差数列,前n 项和为n S ,设2n n nS b n =⋅*()n N ∈,若数列{}n b 是递减数列,则实数m 的取值范围是12. 若使集合2{|(6)(4)0,}A x kx k x x Z =--->∈中的元素个数最少,则实数k 的取值范围是二. 选择题(本大题共4题,每题5分,共20分) 13. “4x k ππ=+()k Z ∈”是“tan 1x =”的( )条件A. 充分不必要B. 必要不充分C. 充分必要D. 既不充分也不必要14. 若1-(i 是虚数单位)是关于x 的方程20x bx c ++=的一个复数根,则( )A. 2b =,3c =B. 2b =,1c =-C. 2b =-,1c =-D. 2b =-,3c =15. 已知函数f (x )为R 上的单调函数,f -1(x )是它的反函数,点A (-1,3)和点B (1,1)均在函数f (x )的图像上,则不等式1|(2)|1x f -<的解集为( )A. (1,1)-B. (1,3)C. 2(0,log 3)D. 2(1,log 3)16. 如图,两个椭圆221259y x +=、221259y x+=内部重叠区域的边界记为曲线C ,P 是曲线C 上的任意一点,给出下列三个判断:(1)P 到1(4,0)F -、2(4,0)F 、1(0,4)E -、2(0,4)E 四点的距离之和为定值 (2)曲线C 关于直线y x =、y x =-均对称 (3)曲线C 所围区域面积必小于36 上述判断中正确命题的个数为( )A. 0个B. 1个C. 2个D. 3个三. 解答题(本大题共5题,共14+14+14+16+18=76分)17. 已知PA ⊥平面ABC ,AC AB ⊥,2AP BC ==,30CBA ︒∠=,D 是AB 的中点; (1)求PD 与平面PAC 所成角的大小;(结果用反三角函数值表示)(2)求△PDB 绕直线PA 旋转一周所构成的旋转体的体积;(结果保留π)18. 已知函数2sin ()1x xf x x -=;(1)当[0,]2x π∈时,求()f x 的值域;(2)已知△ABC 的内角,,A B C 的对边分别为,,a b c ,若()2Af =,4a =,5b c +=,求△ABC 的面积;19. 某创业团队拟生产A 、B 两种产品,根据市场预测,A 产品的利润与投资额成正比(如图1),B 产品的利润与投资额的算术平方根成正比(如图2); (注:利润与投资额的单位均为万元) (1)分别将A 、B 两种产品的利润f (x )、g (x )表示为投资额x 的函数;(2)该团队已筹集到10万元资金,并打算全部投入A 、B 两种产品生产,问:当B 产品的投资额为多少万元时,生产A 、B 两种产品能获得最大利润,最大利润为多少?20. 如图,双曲线22:13x y Γ-=的左、右焦点1F 、2F ,过2F 作直线l 交y 轴于点Q ; (1)当直线l 平行于Γ的一条渐近线时,求点1F 到直线l 的距离;(2)当直线l 的斜率为1时,在Γ的右支上是否存在点P ,满足110F P FQ ⋅=u u u r u u u r?,若存在,求点P 的坐标,若不存在,说明理由;(3)若直线l 与Γ交于不同两点A 、B ,且Γ上存在一点M ,满足40OA OB OM ++=u u u r u u u r u u u u r r (其中O 为坐标原点),求直线l 的方程;21. 正数数列{}n a 、{}n b 满足:11a b ≥,且对一切2k ≥,k N *∈,k a 是1k a -与1k b -的等差中项,k b 是1k a -与1k b -的等比中项; (1)若22a =,21b =,求1a 、1b 的值;(2)求证:{}n a 是等差数列的充要条件是n a 为常数数列;(3)记||n n n c a b =-,当2n ≥,n N *∈,指出2n c c ++L 与1c 的大小关系并说明理由;参考答案一. 填空题 1. 2 2.92 3. 2 4. 2 5. 160 6. 4π7. 01m <≤8. 32- 9. 4 10. 40320 11. [0,1) 12. [3,2]--二. 选择题13. C 14. D 15. C 16. C三. 解答题17.(1)arctan (2)32π;18.(1);(219.(1)1()(0)4f x x x =≥,()0)g x x =≥;(2)对A 投资3.75万元,对B 投资6.25万元,可获得最大利润6516万元;20.(1)2;(2)不存在;(3)20x ±-=;21.(1)12a =12b =(2)证明略;(3)21n c c c ++<L ,理由略;。
2016学年第一学期徐汇区学习能力诊断卷初三数学 试卷2017.1一、选择题(本大题共6题,每题4分,满分24分) 【下列各题的四个选项中,有且只有一个选项是正确的】 1.如果23x y =,那么下列格式中正确的是( )A .23x y = B .3xx y =- C .53x y y += D .25x x y =+ 2.如果一斜坡的坡比是1:2.4,那么该斜坡坡角的余弦值是( )A .125B .512 C .513D .12133.如果将某一抛物线向右平移2个单位,再向上平移2个单位后所得新抛物线的表达式是()221y x =-,那么原抛物线的表达式是( )A .()2232y x =--B .()2232y x =-+C .()2212y x =+-D .()2212y x =++4.在ABC 中,点D 、E 分别在边AB 、AC 上,连结DE ,那么下列条件中不能判断ADE 和ABC 相似的是( )A .//DE BCB .AED B ∠=∠C .AE ABAD AC= D .AE ACDE BC= 5.一飞机从距离地面3000米的高空测得一地面监测点的俯角是60︒,那么此时飞机与监测点的距离是 ( )A .6000米B .C .米D .米 6.已知二次函数2243y x x =-+-,如果y 随x 的增大而减小,那么x 的取值范围是( )A .1x ≥B .0x ≥C .1x ≥-D .2x ≥-二、填空题(本大题共12题,每题4分,满分48分)7.已知线段9a =,4c =,如果线段b 是a 、c 的比例中项,那么b =____________. 8.点C 是线段AB 延长线上的点,已知AB a =,CB b =,那么AC =____________. 9.如图1,////AB CD EF ,如果2AC =, 5.5AE =,3DF =,那么BD =____________.102,那么它们的周长比是____________.11.如果点P 是线段AB 的黄金分割点(AP BP >),那么请你写出一个关于线段AP 、BP 、AB 之间的数量关系的等式,你的结论是:____________.12.在Rt ABC 中,90ACB ∠=︒,CD AB ⊥,垂足为D ,如果4CD =,3BD =,那么A ∠的正弦值是_______. 13.正方形ABCD 的边长为3,点E 在边CD 的延长线上,联结BE 交边AD 于F ,如果1DE =,那么AF =________.14.已知抛物线24y ax ax =-与x 轴交于点A 、B ,顶点C 的纵坐标是-2,那么a =____________.15.如图2,矩形ABCD 的四个顶点正好落在四条平行线上,并且从上到下每两条平行线间的距离都是1,如果:3:4AB BC =,那么AB 的长是____________.16.在梯形ABCD 中,//AD BC ,AC 、BD 相交于O ,如果BOC 、ACD 的面积分别是9和4,那么梯形ABCD 的面积是____________.17.在Rt ABC 中,90ABC ∠=︒,5AC =,3BC =,CD 是ACB ∠的平分线,将ABC 沿直线CD 翻折,点A 落在点E 处,那么AE 的长是____________.18.如图3,在ABCD 中,:2:3AB BC =,点E 、F 分别在边CD 、BC 上,点E 是边CD 的中点,2CF BF =,120A ∠=︒,过点A 分别作AP BE ⊥、AQ DF ⊥,垂足分别为P 、Q ,那么APAQ的值是____________.三、(本大题共7题,第19-22题每题10分,第23、24题每题12分,第25题14分,满分78分) 19.(本题满分10分)计算:tan 452sin 60cot 30cot 45cos301︒︒-︒-︒+︒-.20.(本题共2小题,每题5分,满分10分)将抛物线244y x x =-+沿y 轴向下平移9个单位,所得新抛物线与x 轴正半轴交于点B ,与y 轴交于点C ,顶点为D .求:(1)点B 、C 、D 坐标; (2)BCD 的面积.图1图2 图321.(本题共2小题,每题5分,满分10分)如图4,已知梯形ABCD 中,//AD BC ,4AB =,3AD =,AB AC ⊥,AC 平分DCB ∠,过点D 作//DE AB ,分别交AC 、BC 于F 、E ,设AB a =,BC b =. 求:(1)向量DC (用向量a 、b 表示); (2)tan B 的值.22.(本题共2小题,第(1)小题4分,第(2)小题6分,满分10分)如图5,一艘海轮位于小岛C 的南偏东60︒方向、距离小岛120海里的A 处,该海轮从A 处沿正北方向航行一段距离后,到达位于小岛C 北偏东45︒方向的B 处.(1)求该海轮从A 处到B 处的航行过程中与小岛C 之间的最短距离(结果保留根号);(2)如果该海轮以每小时20海里的速度从B 处沿BC 方向行驶,求它从B 处到达小岛C 的航行时间(结果精确到0.1小时).1.41≈1.73≈).图4图523.(本题共2小题.第(1)小题4分,第(2)小题8分,满分12分)如图6,已知ABC 中,点D 在边BC 上,DAB B ∠=∠,点E 在边AC 上,满足AE CD AD CE ⋅=⋅. (1)求证://DE AB ;(2)如果点F 是DE 延长线上一点,且BD 是DF 和AB 的比例中项,联结AF . 求证:DF AF =.24.(本题共3小题,每题4分,满分12分)如图7,已知抛物线23y x bx =-++与x 轴交于点A 和点B (点A 在点B 的左侧),与y 轴交于点C ,且OB OC =,点D 是抛物线的顶点,直线AC 和BD 交于点E . (1)求点D 的坐标;(2)联结CD 、 BC ,求DBC ∠的余切值;(3)设点M 在线段CA 延长线上,如果EBM 和ABC 相似,求点M 的坐标.25.(本题满分14分)图6图7如图8,已知ABC 中,3AB AC ==,2BC =,点D 是边AB 上的动点,过点D 作//DE BC ,交边AC 于点E ,点Q 是线段DE 上的点,且2QE DQ =,联结BQ 并延长,交边AC 于点P .设BD x =,AP y =. (1)求y 关于x 的函数解析式及定义域;(4分) (2)当PEQ 是等腰三角形时,求BD 的长;(4分)(3)联结CQ ,当CQB ∠和CBD ∠互补时,求x 的值.(6分)图8备用图参考答案: 1-6,BDCDCA7,6 8,a b - 9,127 102 11,PB AP AP AB = ,答案不唯一 12,3513,94 14,12 15 16,16 17, 1819,3- 20,(1)()()5,0,0,5,-B C D -(2,9)(2)1521,(1)12DC a b =+ (2)tan ABC ∠=22,,7.3(2)小时 23,(1)证明略,(2)证明略24,(1)()223,1,4y x x D =-++ (2)3 (3)63(,)55M --25,(1)()930323x y x x -=<<+ (2) 1219 或65(3)2473。
2017年上海市徐汇区高考数学一模试卷一、填空题(共12小题,第1题至第6题每小题4分,第7题至第12题每小题4分,满分54分)1.(4分)=.2.(4分)已知抛物线C的顶点在平面直角坐标系原点,焦点在x轴上,若C经过点M(1,3),则其焦点到准线的距离为.3.(4分)若线性方程组的增广矩阵为,解为,则a+b=.4.(4分)若复数z满足:i•z=+i(i是虚数单位),则|z|=.5.(4分)在(x+)6的二项展开式中第四项的系数是.(结果用数值表示)6.(4分)在长方体ABCD﹣A1B1C1D1中,若AB=BC=1,AA1=,则异面直线BD1与CC1所成角的大小为.7.(5分)若函数f(x)=的值域为(﹣∞,1],则实数m的取值范围是.8.(5分)如图,在△ABC中,若AB=AC=3,cos∠BAC=,=2,则=.9.(5分)定义在R上的偶函数y=f(x),当x≥0时,f(x)=lg(x2﹣3x+3),则f(x)在R上的零点个数为个.10.(5分)将6辆不同的小汽车和2辆不同的卡车驶入如图所示的10个车位中的某8个内,其中2辆卡车必须停在A与B的位置,那么不同的停车位置安排共有种?(结果用数值表示)11.(5分)已知数列{a n}是首项为1,公差为2m的等差数列,前n项和为S n,设b n=(n∈N*),若数列{b n}是递减数列,则实数m的取值范围是.12.(5分)若使集合A={x|(kx﹣k2﹣6)(x﹣4)>0,x∈Z}中的元素个数最少,则实数k的取值范围是.二、选择题(共4小题,每小题5分,满分20分)13.(5分)“x=kπ+(k∈Z)“是“tanx=1”成立的()A.充分而不必要条件B.必要而不充分条件C.充分必要条件D.既不充分也不必要条件14.(5分)若1﹣i(i是虚数单位)是关于x的实系数方程x2+bx+c=0的一个复数根,则()A.b=2,c=3B.b=2,c=﹣1C.b=﹣2,c=﹣1D.b=﹣2,c=3 15.(5分)已知函数f(x)为R上的单调函数,f﹣1(x)是它的反函数,点A(﹣1,3)和点B(1,1)均在函数f(x)的图象上,则不等式|f﹣1(2x)|<1的解集为()A.(﹣1,1)B.(1,3)C.(0,log23)D.(1,log23)16.(5分)如图,两个椭圆+=1,+=1内部重叠区域的边界记为曲线C,P是曲线C上任意一点,给出下列三个判断:①P到F1(﹣4,0)、F2(4,0)、E1(0,﹣4)、E2(0,4)四点的距离之和为定值;②曲线C关于直线y=x、y=﹣x均对称;③曲线C所围区域面积必小于36.上述判断中正确命题的个数为()A.0个B.1个C.2个D.3个三、解答题(共5小题,满分76分)17.(14分)如图,已知PA⊥平面ABC,AC⊥AB,AP=BC=2,∠CBA=30°,D是AB的中点.(1)求PD与平面PAC所成的角的大小;(2)求△PDB绕直线PA旋转一周所构成的旋转体的体积.18.(14分)已知函数f(x)=.(1)当x∈[0,]时,求f(x)的值域;(2)已知△ABC的内角A,B,C的对边分别为a,b,c,若f()=,a=4,b+c=5,求△ABC的面积.19.(14分)某创业团队拟生产A、B两种产品,根据市场预测,A产品的利润与投资额成正比(如图1),B产品的利润与投资额的算术平方根成正比(如图2).(注:利润与投资额的单位均为万元)(1)分别将A、B两种产品的利润f(x)、g(x)表示为投资额x的函数;(2)该团队已筹到10万元资金,并打算全部投入A、B两种产品的生产,问:当B产品的投资额为多少万元时,生产A、B两种产品能获得最大利润,最大利润为多少?20.(16分)如图,双曲线Γ:﹣y2=1的左、右焦点分别为F1,F2,过F2作直线l交y轴于点Q.(1)当直线l平行于Γ的一条渐近线时,求点F1到直线l的距离;(2)当直线l的斜率为1时,在Γ的右支上是否存在点P,满足=0?若存在,求出P点的坐标;若不存在,说明理由;(3)若直线l与Γ交于不同两点A、B,且Γ上存在一点M,满足++4=(其中O为坐标原点),求直线l的方程.21.(18分)正整数列{a n},{b n}满足:a1≥b1,且对一切k≥2,k∈N*,a k是a k﹣1与b k﹣1的等差中项,b k是a k﹣1与b k﹣1的等比中项.(1)若a2=2,b2=1,求a1,b1的值;(2)求证:{a n}是等差数列的充要条件是{a n}为常数数列;(3)记c n=|a n﹣b n|,当n≥2(n∈N*)时,指出c2+…+c n与c1的大小关系并说明理由.2017年上海市徐汇区高考数学一模试卷参考答案与试题解析一、填空题(共12小题,第1题至第6题每小题4分,第7题至第12题每小题4分,满分54分)1.(4分)=2.【考点】8J:数列的极限.【专题】3A:极限思想;55:点列、递归数列与数学归纳法.【分析】分式分子、分母同除以n,运用常见数列的极限为0,计算即可得到所求值.【解答】解:===2.故答案为:2.【点评】本题考查数列极限的求法,注意运用常见数列的极限公式,考查运算能力,属于基础题.2.(4分)已知抛物线C的顶点在平面直角坐标系原点,焦点在x轴上,若C经过点M(1,3),则其焦点到准线的距离为.【考点】K8:抛物线的性质.【专题】34:方程思想;43:待定系数法;5D:圆锥曲线的定义、性质与方程.【分析】由题意可知:设抛物线的方程:y2=2px,将M(1,3)代入9=2p,解得:p=,求得抛物线方程,则焦点到准线的距离d=p=9.【解答】解:由题意可知:由焦点在x轴上,若C经过点M(1,3),则图象经过第一象限,∴设抛物线的方程:y2=2px,将M(1,3)代入9=2p,解得:p=,∴抛物线的标准方程为:y2=9x,由焦点到准线的距离d=p=,故答案为:.【点评】本题考查抛物线的简单几何性质,考查抛物线方程的应用,属于基础题.3.(4分)若线性方程组的增广矩阵为,解为,则a+b=2.【考点】OC:几种特殊的矩阵变换.【专题】11:计算题;29:规律型;35:转化思想;5R:矩阵和变换.【分析】根据增广矩阵的定义得到是方程组的解,解方程组即可.【解答】解:由题意知是方程组的解,即,则a+b=1+1=2,故答案为:2.【点评】本题主要考查增广矩阵的求解,根据条件建立方程组关系是解决本题的关键.4.(4分)若复数z满足:i•z=+i(i是虚数单位),则|z|=2.【考点】A8:复数的模.【专题】35:转化思想;4R:转化法;5N:数系的扩充和复数.【分析】求出z,根据复数求模公式求出z的模即可.【解答】解:由iz=+i,得z==1﹣i,故|z|==2,故答案为:2.【点评】本题考查了复数求模公式,复数的化简,是一道基础题.5.(4分)在(x+)6的二项展开式中第四项的系数是160.(结果用数值表示)【考点】DA:二项式定理.【专题】11:计算题;34:方程思想;4O:定义法;5P:二项式定理.【分析】利用二项式定义的通项公式求解.【解答】解:在(x+)6的二项展开式中第四项:=8C x﹣3=160x﹣3.∴在(x+)6的二项展开式中第四项的系数是160.故答案为:160.【点评】本题考查二项展开式中第四项的求法,是基础题,解题时要认真审题,注意二项式定理的性质的合理运用.6.(4分)在长方体ABCD﹣A1B1C1D1中,若AB=BC=1,AA1=,则异面直线BD1与CC1所成角的大小为.【考点】LM:异面直线及其所成的角.【专题】11:计算题;31:数形结合;49:综合法;5G:空间角.【分析】根据条件画出图形,并连接D1B1,可以判断出∠B1BD1为异面直线BD1与CC1所成的角,从而在Rt△BB1D1中可求出cos∠B1BD1,进而便可得出∠B1BD1的大小.【解答】解:如图,连接D1B1;∵CC1∥BB1;∴BD1与CC1所成角等于BD1与BB1所成角;∴∠B1BD1为异面直线BD1与CC1所成角;∴在Rt△BB1D1中,cos∠B1BD1=;∴异面直线BD1与CC1所成角的大小为.故答案为:.【点评】考查异面直线及异面直线所成角的概念,三角函数的定义,已知三角函数值求角.7.(5分)若函数f(x)=的值域为(﹣∞,1],则实数m的取值范围是(0,1] .【考点】34:函数的值域;3H:函数的最值及其几何意义;5B:分段函数的应用.【专题】11:计算题;33:函数思想;35:转化思想;51:函数的性质及应用.【分析】根据指数函数的最值以及二次函数的性质求出f(x)的值域(﹣∞,1],从而判断出a的范围即可.【解答】解:x≤0时:f(x)=2x∈(0,1].x>0时,f(x)=﹣x2+m,函数的对称轴x=0,f(x)在(﹣∞,0)递增,∴f(x)=﹣x2+m<m,函数f(x)=的值域为(﹣∞,1],故0<m≤1,故答案为:(0,1].【点评】本题考查了分段函数问题,考查二次函数以及对数函数的性质,是一道中档题.8.(5分)如图,在△ABC中,若AB=AC=3,cos∠BAC=,=2,则=.【考点】9O:平面向量数量积的性质及其运算.【专题】11:计算题;31:数形结合;41:向量法;5A:平面向量及应用.【分析】由条件可先得出,且,从而带入进行数量积的运算即可求出该数量积的值.【解答】解:根据条件:===;∴===.故答案为:.【点评】考查向量加法和数乘的几何意义,以及向量的数乘运算,向量数量积的运算及计算公式.9.(5分)定义在R上的偶函数y=f(x),当x≥0时,f(x)=lg(x2﹣3x+3),则f(x)在R上的零点个数为4个.【考点】53:函数的零点与方程根的关系.【专题】11:计算题;33:函数思想;34:方程思想;35:转化思想;51:函数的性质及应用.【分析】利用函数是偶函数求出xx≥0时,函数的零点个数,即可得到结果.【解答】解:当x≥0时,f(x)=lg(x2﹣3x+3),函数的零点由:lg(x2﹣3x+3)=0,即x2﹣3x+3=1,解得x=1或x=2.因为函数是定义在R上的偶函数y=f(x),所以函数的零点个数为:4个.故答案为:4.【点评】本题考查函数的零点的个数的求法,函数的奇偶性的应用,考查计算能力.10.(5分)将6辆不同的小汽车和2辆不同的卡车驶入如图所示的10个车位中的某8个内,其中2辆卡车必须停在A与B的位置,那么不同的停车位置安排共有40320种?(结果用数值表示)【考点】D9:排列、组合及简单计数问题.【专题】12:应用题;34:方程思想;4G:演绎法;5O:排列组合.【分析】根据将6辆不同的小汽车和2辆不同的卡车驶入如图所示的10个车位中的某8个内,其中2辆卡车必须停在A与B的位置,利用排列知识可得结论.【解答】解:由题意,不同的停车位置安排共有A22A86=40320种.故答案为40320.【点评】本题考查排列知识的运用,考查学生的计算能力,比较基础.11.(5分)已知数列{a n}是首项为1,公差为2m的等差数列,前n项和为S n,设b n=(n∈N*),若数列{b n}是递减数列,则实数m的取值范围是[0,1).【考点】8H:数列递推式.【专题】34:方程思想;35:转化思想;54:等差数列与等比数列;59:不等式的解法及应用.【分析】利用求和公式可得S n=n+×2m.可得b n==,由数列{b n}是递减数列,可得b n+1<b n,即可得出.【解答】解:S n=n+×2m=mn2+(1﹣m)n.∴b n==,∵数列{b n}是递减数列,<b n,∴<,∴b n+1化为:m(n﹣2)+1>0,对于∀n∈N*都成立.n=1时,m<1;n=2时,m∈R;n>2时,m,解得m≥0.综上可得:m∈[0,1).故答案为:[0,1).【点评】本题考查了等差数列的求和公式、不等式的解法、数列的单调性,考查了推理能力与计算能力,属于中档题.12.(5分)若使集合A={x|(kx﹣k2﹣6)(x﹣4)>0,x∈Z}中的元素个数最少,则实数k的取值范围是[﹣3,﹣2] .【考点】12:元素与集合关系的判断.【专题】32:分类讨论;4O:定义法;5J:集合.【分析】化简集合A,对k讨论即可.求解x的范围,可得答案.【解答】解:集合A={x|(kx﹣k2﹣6)(x﹣4)>0,x∈Z},∵方程(kx﹣k2﹣6)(x﹣4)=0,解得:,x2=4,∴(kx﹣k2﹣6)(x﹣4)>0,x∈Z当k=0时,A=(﹣∞,4);当k>0时,4<k+,A=(﹣∞,4)∪(k+,+∞);当k<0时,k+<4,A=(k+,4).∴当k≥0时,集合A的元素的个数无限;当k<0时,k+<4,A=(k+,4).集合A的元素的个数有限,令函数g(k)=k+,(k<0)则有:g(k)≤﹣2,∵题意要求x∈Z,故得:k+≥﹣5,且k+<﹣4,解得:﹣3≤k≤﹣2故答案为:[﹣3,﹣2].【点评】本题考查的是集合元素的分布以及运算问题,方程的思想以及问题转化的思想在题目当中的应用.此题属于集运算与方程、不等式于一体的综合问题,值得同学们认真反思和归纳.二、选择题(共4小题,每小题5分,满分20分)13.(5分)“x=kπ+(k∈Z)“是“tanx=1”成立的()A.充分而不必要条件B.必要而不充分条件C.充分必要条件D.既不充分也不必要条件【考点】29:充分条件、必要条件、充要条件.【专题】5L:简易逻辑.【分析】根据三角函数,充分必要条件的定义判断.【解答】解:∵tanx=1,∴x=kπ+(k∈Z)∵x=kπ+(k∈Z)则tanx=1,∴根据充分必要条件定义可判断:“x=kπ+(k∈Z)“是“tanx=1”成立的充分必要条件故选:C.【点评】本题考察了充分必要条件的定义,属于容易题.14.(5分)若1﹣i(i是虚数单位)是关于x的实系数方程x2+bx+c=0的一个复数根,则()A.b=2,c=3B.b=2,c=﹣1C.b=﹣2,c=﹣1D.b=﹣2,c=3【考点】&S:实系数多项式虚根成对定理.【专题】11:计算题;33:函数思想;35:转化思想;5N:数系的扩充和复数.【分析】利用实系数一元二次的虚根成对原理、根与系数的关系即可得出.【解答】解:∵1﹣i是关于x的实系数方程x2+bx+c=0的一个复数根,∴1+i是关于x的实系数方程x2+bx+c=0的一个复数根,∴,解得b=﹣2,c=3.故选:D.【点评】本题考查了实系数一元二次的虚根成对原理、根与系数的关系,属于基础题.15.(5分)已知函数f(x)为R上的单调函数,f﹣1(x)是它的反函数,点A(﹣1,3)和点B(1,1)均在函数f(x)的图象上,则不等式|f﹣1(2x)|<1的解集为()A.(﹣1,1)B.(1,3)C.(0,log23)D.(1,log23)【考点】4R:反函数.【专题】15:综合题;35:转化思想;4G:演绎法;51:函数的性质及应用.【分析】由已知结合互为反函数的两个函数图象间的关系可得f﹣1(3)=﹣1,f﹣1(1)=1,再由|f﹣1(2x)|<1,得﹣1<f﹣1(2x)<1,即f﹣1(3)<f﹣1(2x)<f﹣1(1),再由函数的单调性转化为指数不等式求解.【解答】解:∵点A(﹣1,3)和点B(1,1)在图象上,∴f(﹣1)=3,f(1)=1,又f﹣1(x)是f(x)的反函数,∴f﹣1(3)=﹣1,f﹣1(1)=1,由|f﹣1(2x)|<1,得﹣1<f﹣1(2x)<1,即f﹣1(3)<f﹣1(2x)<f﹣1(1),函数f(x)为R的减函数,∴f﹣1(x)是定义域上的减函数,则1<2x<3,解得:0<x<log23.∴不等式|f﹣1(2x)|<1的解集为(0,log23).故选:C.【点评】本题考查函数单调性的性质,考查了互为反函数的两个函数图象间的关系,体现了数学转化思想方法,是基础题.16.(5分)如图,两个椭圆+=1,+=1内部重叠区域的边界记为曲线C,P是曲线C上任意一点,给出下列三个判断:①P到F1(﹣4,0)、F2(4,0)、E1(0,﹣4)、E2(0,4)四点的距离之和为定值;②曲线C关于直线y=x、y=﹣x均对称;③曲线C所围区域面积必小于36.上述判断中正确命题的个数为()A.0个B.1个C.2个D.3个【考点】2K:命题的真假判断与应用;K4:椭圆的性质.【专题】38:对应思想;48:分析法;5D:圆锥曲线的定义、性质与方程.【分析】①,若点P在椭圆+=1上,P到F1(﹣4,0)、F2(4,0)两点的距离之和为定值、到E1(0,﹣4)、E2(0,4)两点的距离之和不为定值;②,两个椭圆+=1,+=1关于直线y=x、y=﹣x均对称,曲线C关于直线y=x、y=﹣x均对称;③,曲线C所围区域在边长为6的正方形内部.【解答】解:对于①,若点P在椭圆+=1上,P到F1(﹣4,0)、F2(4,0)两点的距离之和为定值、到E1(0,﹣4)、E2(0,4)两点的距离之和不为定值,故错;对于②,两个椭圆+=1,+=1关于直线y=x、y=﹣x均对称,曲线C关于直线y=x、y=﹣x均对称,故正确;对于③,曲线C所围区域在边长为6的正方形内部,所以面积必小于36,故正确.故选:C.【点评】本题考查了椭圆的定义及对称性,属于基础题.三、解答题(共5小题,满分76分)17.(14分)如图,已知PA⊥平面ABC,AC⊥AB,AP=BC=2,∠CBA=30°,D是AB的中点.(1)求PD与平面PAC所成的角的大小;(2)求△PDB绕直线PA旋转一周所构成的旋转体的体积.【考点】L5:旋转体(圆柱、圆锥、圆台);MI:直线与平面所成的角.【专题】15:综合题.【分析】(1)先判断∠DPA就是PD与平面PAC所成的角,再在Rt△PAD中,即可求得结论;(2)△PDB绕直线PA旋转一周所构成的旋转体,是以AB为底面半径、AP为高的圆锥中挖去一个以AD为底面半径、AP为高的小圆锥,从而可求体积.【解答】解:(1)∵PA⊥平面ABC,∴PA⊥AB,又∵AC⊥AB,PA∩AC=A∴AB⊥平面PAC,∴∠DPA就是PD与平面PAC所成的角.…(2分)在Rt△PAD中,PA=2,AD=,…(4分)∴tan∠DPA=∴∠DPA=arctan,…(5分)即PD与平面PAC所成的角的大小为arctan.…(6分)(2)△PDB绕直线PA旋转一周所构成的旋转体,是以AB为底面半径、AP为高的圆锥中挖去一个以AD为底面半径、AP为高的小圆锥,∴﹣=.…(12分).【点评】本题考查线面角,考查几何体的体积,确定线面角,明确几何体的形状是解题的关键.18.(14分)已知函数f(x)=.(1)当x∈[0,]时,求f(x)的值域;(2)已知△ABC的内角A,B,C的对边分别为a,b,c,若f()=,a=4,b+c=5,求△ABC的面积.【考点】HP:正弦定理.【专题】11:计算题;35:转化思想;49:综合法;57:三角函数的图像与性质;58:解三角形;5R:矩阵和变换.【分析】(1)由已知利用行列式的计算,三角函数恒等变换的应用化简可得函数解析式f(x)=sin(2x+)+,结合范围2x+∈[,],利用正弦函数的性质即可得解值域.(2)由已知可求sin(A+)=,结合范围A+∈(,),可得A=,由余弦定理解得:bc=3,利用三角形面积公式即可计算得解.【解答】(本题满分为14分,第1小题满分为6分,第2小题满分为8分)解:(1)∵f(x)==cos2x+sinxcosx=sin(2x+)+,∵x∈[0,],2x+∈[,],∴sin(2x+)∈[﹣,1],可得:f(x)=sin(2x+)+∈[0,1+].(2)∵f()=sin(A+)+=,可得:sin(A+)=,∵A∈(0,π),A+∈(,),可得:A+=,解得:A=.∵a=4,b+c=5,∴由余弦定理a2=b2+c2﹣2bccosA,可得:16=b2+c2﹣bc=(b+c)2﹣3bc=25﹣3bc,解得:bc=3,∴S=bcsinA=3×=.△ABC【点评】本题主要考查了行列式的计算,三角函数恒等变换的应用,正弦函数的图象和性质,余弦定理,三角形面积公式在解三角形中的综合应用,考查了计算能力和转化思想,属于中档题.19.(14分)某创业团队拟生产A、B两种产品,根据市场预测,A产品的利润与投资额成正比(如图1),B产品的利润与投资额的算术平方根成正比(如图2).(注:利润与投资额的单位均为万元)(1)分别将A、B两种产品的利润f(x)、g(x)表示为投资额x的函数;(2)该团队已筹到10万元资金,并打算全部投入A、B两种产品的生产,问:当B产品的投资额为多少万元时,生产A、B两种产品能获得最大利润,最大利润为多少?【考点】5C:根据实际问题选择函数类型.【专题】15:综合题;33:函数思想;4G:演绎法;51:函数的性质及应用.【分析】(1)由A产品的利润与投资额成正比,B产品的利润与投资额的算术平方根成正比,结合函数图象,我们可以利用待定系数法来求两种产品的收益与投资的函数关系;(2)由(1)的结论,我们设B产品的投资额为x万元,则A产品的投资额为10﹣x万元.这时可以构造出一个关于收益y的函数,然后利用求函数最大值的方法进行求解.【解答】解:(1)f(x)=k1x,g(x)=k2,f(1)=0.25=k1,g(4)=2k2=2.5,∴f(x)=0.25x(x≥0),g(x)=1.25(x≥0),(2)设B产品的投资额为x万元,则A产品的投资额为10﹣x万元.y=f(10﹣x)+g(x)=0.25(10﹣x)+1.25(0≤x≤10),令t=,则y=﹣0.25t2+1.25t+2.5,所以当t=2.5,即x=6.25万元时,收益最大,y max=万元.【点评】函数的实际应用题,我们要经过析题→建模→解模→还原四个过程,在建模时要注意实际情况对自变量x取值范围的限制,解模时也要实际问题实际考虑.将实际的最大(小)化问题,利用函数模型,转化为求函数的最大(小)是最优化问题中,最常见的思路之一.20.(16分)如图,双曲线Γ:﹣y2=1的左、右焦点分别为F1,F2,过F2作直线l交y轴于点Q.(1)当直线l平行于Γ的一条渐近线时,求点F1到直线l的距离;(2)当直线l的斜率为1时,在Γ的右支上是否存在点P,满足=0?若存在,求出P点的坐标;若不存在,说明理由;(3)若直线l与Γ交于不同两点A、B,且Γ上存在一点M,满足++4=(其中O为坐标原点),求直线l的方程.【考点】KM:直线与双曲线的综合.【专题】31:数形结合;47:判别式法;5D:圆锥曲线的定义、性质与方程.【分析】(1)由双曲线Γ:﹣y2=1,焦点在x轴上,a=,b=1,c==2,则令k=,直线l的方程为:y=(x﹣2),即x﹣y﹣2=0,则点F1到直线l的距离为d==2;(2)直线l的方程为y=x﹣2,点Q(0,﹣2),假设在Γ的右支上存在点P(x0,y0),则x0>0,=0,代入求得y0=x0+2,代入双曲线方程求得2+12x0+15=0,由△<0,所以不存在点P在右支上;(3)设直线l的方程为y=kx+b,联立方程组,由韦达定理则=(x3,y3),=﹣(+),M为双曲线上一点,即x32﹣3y32=3,则x1x2﹣3y1y2=21①由x1x2﹣3y1y2=x1x2﹣3(x1+b)(x2+b),=﹣2x1x2﹣3b(x1+x2)﹣3b2=﹣2•﹣3b•﹣3b2=21,即可求得k与b的值,求得直线l的方程;方法二:设直线l的方程为y=my+2,代入椭圆方程,由韦达定理及向量数量积的坐标运算,求得M点坐标,代入双曲线的方程,即可求得m的值.【解答】解:(1)双曲线Γ:﹣y2=1,焦点在x轴上,a=,b=1,c==2,则双曲线左、右焦点分别为F1(﹣2,0),F2(2,0),过F2作直线l,设直线l的斜率为k,l交y轴于点Q.当直线l平行于Γ的一条渐近线时,不妨令k=,则直线l的方程为:y=(x﹣2),即x﹣y﹣2=0,则点F1到直线l的距离为d==2;(2)当直线l的斜率为1时,直线l的方程为y=x﹣2,则点Q(0,﹣2);假设在Γ的右支上存在点P(x0,y0),则x0>0;∵=0,∴(x0+2)(0+2)+(y0﹣0)(﹣2﹣0)=0,整理得y0=x0+2,与双曲线方程﹣=1联立,消去y0,得2+12x0+15=0,△=24>0,方程有实根,解得:x=<,所以不存在点P在右支上;(3)当k=0时,直线l的方程x=2,则A(2,),B(2,﹣),由=﹣(+),∴M(1,0),则M不椭圆上,显然不存在,当直线l的斜率存在且不为0时,设直线l的方程为y=kx+b,联立方程组,消去y,得(1﹣3k2)x2﹣6kbx﹣3b2﹣3=0,设A(x1,y1),B(x2,y2),则x1+x2=,x1•x2=,设=(x3,y3),++4=,=﹣(+),即,又M为双曲线上一点,即x32﹣3y32=3,由(x1+x2)2﹣3(y1+y2)2=48,化简得:(x12﹣3y12)+(x22﹣3y22)+2(x1x2﹣3y1y2)=48,又A(x1,y1),B(x2,y2)在双曲线上,所以x12﹣3y12=3,x22﹣3y22=3,∴x1x2﹣3y1y2=21,由直线l过椭圆的右焦点F(2,0),则k=﹣,①而x1x2﹣3y1y2=x1x2﹣3(kx1+b)(kx2+b),=x1x2﹣3k2x1x2﹣3kb(x1+x2)﹣3b2=﹣2•﹣3b•﹣3b2=21,②由①②解得:,或,∴直线l的方程x=±y+2.方法二:设直线l的方程为x=my+2,设A(x1,y1),B(x2,y2),M(x0,y0),整理得:(m2﹣3)y2+4my+1=0,则y1+y2=﹣,y1•y2=,x1+x2=m(y1+y2)+4=﹣,x1•x2=(my1+2)(my2+2)=m2y1•y2+2m(y1+y2)+4=﹣,+=﹣4,则(x1+x2,y1+y2)=﹣4,∴,求得:x0=,y0=,由M在椭圆方程,代入,求得m2=2,解得:m=±,直线l的方程x=±y+2.【点评】本题考查双曲线的标准方程及简单几何性质,考查直线与双曲线的位置关系,考查直线与双曲线的交点与△的关系,考查计算能力,属于难题.21.(18分)正整数列{a n},{b n}满足:a1≥b1,且对一切k≥2,k∈N*,a k是a k﹣1与b k﹣1的等差中项,b k是a k﹣1与b k﹣1的等比中项.(1)若a2=2,b2=1,求a1,b1的值;(2)求证:{a n}是等差数列的充要条件是{a n}为常数数列;(3)记c n=|a n﹣b n|,当n≥2(n∈N*)时,指出c2+…+c n与c1的大小关系并说明理由.【考点】8E:数列的求和;8H:数列递推式.【专题】34:方程思想;35:转化思想;54:等差数列与等比数列;59:不等式的解法及应用.【分析】(1)正整数列{a n},{b n}满足:a1≥b1,且对一切k≥2,k∈N*,a k是a k﹣1与b k﹣1的等差中项,b k是a k﹣1与b k﹣1的等比中项.可得2a k=a k﹣1+b k﹣1,b k2=a k﹣1b k﹣1,对k取值即可得出.(2){a n}是等差数列,2a k=a k﹣1+b k﹣1,2a k=a k﹣1+a k+1,可得b k﹣1=a k+1,b k=a k+2,b k2=a k﹣1b k﹣1,a k+22=a k﹣1a k+1,k=2时,a42=a1a3,(a1+3d)2=a1(a1+2d),可得d=0.即可证明.(3)对一切k≥2,k∈N*,a k是a k﹣1与b k﹣1的等差中项,b k是a k﹣1与b k﹣1的等比中项.2a n=a n﹣1+b n﹣1,b n2=a n﹣1b n﹣1,利用基本不等式的性质可得a n===b n,c n=|a n﹣b n|=a n﹣b n.可得a n+1﹣b n+1=﹣=≤(a n+b n﹣2b n)=,即.利用等比数列的求和公式即可得出.【解答】解:(1)正整数列{a n},{b n}满足:a1≥b1,且对一切k≥2,k∈N*,a k是a k﹣1与b k﹣1的等差中项,b k是a k﹣1与b k﹣1的等比中项.∴2a k=a k﹣1+b k﹣1,b k2=a k﹣1b k﹣1,a2=2,b2=1,可得4=a1+b1,1=a1b1,解得a1=2+,b1=2﹣.(2)证明:{a n}是等差数列,2a k=a k﹣1+b k﹣1,2a k=a k﹣1+a k+1,可得b k﹣1=a k+1,则b k=a k+2,∵b k2=a k﹣1b k﹣1,∴a k+22=a k﹣1a k+1,k=2时,a42=a1a3,(a1+3d)2=a1(a1+2d),6a1d+9d2=2a1d,即d(4a1+9d)=0,正整数列{a n},可知d≥0,4a1+9d>0,∴d=0.∴数列{a n}为常数数列.反之也成立.{a n}是等差数列的充要条件是{a n}为常数数列.(3)对一切k≥2,k∈N*,a k是a k﹣1与b k﹣1的等差中项,b k是a k﹣1与b k﹣1的等比中项.2a n=a n﹣1+b n﹣1,b n2=a n﹣1b n﹣1,∴a n===b n,又已知a1≥b1,∴c n=|a n﹣b n|=a n﹣b n.∴a n+1﹣b n+1=﹣=≤(a n+b n﹣2b n)=,即.∴≤…≤,∴c2+…+c n≤+…+=≤c1.∴当n≥2(n∈N*)时,c2+…+c n≤c1.【点评】本题考查了等差数列与等比数列的通项公式、基本不等式的性质、数列的单调性,考查了推理能力与计算能力,属于难题.。
上海中学2017年高考模拟数学试卷(一)一、填空题1.定义在R 上的奇函数()f x 以2为周期,则(1)f =________.2.如果复数1i 1ib ++(b ∈R )的实部和虚部互为相反数,则b 等于________. 3.若12x n +()展开式中含3x 项的系数等于含x 项系数的8倍,则正整数n =________.4.(文)若126x y x y ≥⎧⎪≥⎨⎪+≤⎩,则目标函数2z x y =+的最小值为________.5.已知0a <,则关于x 的不等式31a x a>+的解集为________. 6.点P 是椭圆2212516x y +=上一点,1F 、2F 是椭圆的两个焦点,且12PF F △的内切圆半径为1,当P 在第一象限内时,P 点的纵坐标为________.7.数列{}n a 满足:1213nn nn a n ⎧⎪⎪=⎨⎪⎪⎩,为奇数,为偶数.,它的前n 项和记为n S ,则lim n n S →∞=________. 8.某市为加强城市圈的建设,计划对周边如图所示的A 、B 、C 、D 、E 、F 、G 、H 八个中小城市进行综合规划治理,第一期工程拟从这八个中小城市中选取三个城市,但要求没有任何两个城市相邻,则城市A 被选中的概率为________.92kx -仅有一个实数根,则k 的取值范围是________.10.在ABC △中,已知||2AB =,22||1||2BC CA =,则ABC △面积的最大值为________. 11.如图为一几何体的展开图,其中ABCD 是边长为6的正方形,6SD PD ==,CR SC =,AQ AP =,点S ,D ,A ,Q 及P ,D ,C ,R 共线,沿图中虚线将它们折叠,使P ,Q ,R ,S 四点重合,则需要________个这样的几何体,就可以拼成一个棱长为12的正方体.12.若函数(1)y ax a =>和它的反函数的图象与函数1y x=的图象分别交于点A 、B ,若||AB =则a 约等于________(精确到0.1).13.老师告诉学生小明说,“若O 为ABC △所在平面上的任意一点,且有等式c o s C c o s B ()||||AB AC OP OA AB AC =++,则P 点的轨迹必过ABC △的垂心”,小明进一步思考何时P 点的轨迹会通过ABC △的外心,得到的条件等式应为OP =________.(用O ,A ,B ,C 四个点所构成的向量和角A ,B ,C 的三角函数以及表示)二、选择题14.若函数cos2y x =与函数()sin y x =+在区间π[0]2,上的单调性相同,则的一个值是( ) A .π6 B .π4 C .π3 D .π215.△ABC 中,π3A =,3BC =,则△ABC 的周长为( )A .π)33B ++ B .π)36B ++C .π6sin()33B ++ D .π6sin()36B ++ 16.若点1(,)M a b和1(,)N b c 都在直线l :1x y +=上,则点1(,)P c a ,1()Q b c ,和l 的关系是( ) A .P 和Q 都在l 上 B .P 和Q 都不在l 上 C .P 在l 上,Q 不在l 上 D .P 不在l 上,Q 在l 上 17.数列{}n a 满足:114a =,215a =,且1223111n n n a a a a a a na a ++⋯++=+对任何的正整数n 都成立,则1297111...a a a +++的值为() A .5 032B .5 044C .5 048D .5 050三、解答题 18.已知函数2cos cos 3()()2f x x x x x =-+∈∈R R ,的最小正周期为π,且当π6x =时,函数有最小值.(1)求()f x 的解析式;(2)作出()f x 在[0,π]范围内的大致图象.19.设虚数z 满足|215|10|z z +=+.(1)计算||z 的值;(2)是否存在实数a ,使z a a z+∈R ?若存在,求出a 的值;若不存在,说明理由. 20.如图所示,已知斜三棱柱ABC ﹣A 1B 1C 1的各棱长均为2,侧棱与底面所成角为π3,且侧面ABB 1A 1垂直于底面.(1)判断B 1C 与C 1A 是否垂直,并证明你的结论;(2)求四棱锥B ﹣ACC 1A 1的体积.21.在新的劳动合同法出台后,某公司实行了年薪制工资结构改革.该公司从2008年起,每人的工资由三个项目构成,并按下表规定实施:如果该公司今年有5位职工,计划从明年起每年新招5名职工.(1)若今年算第一年,将第n 年该公司付给职工工资总额y (万元)表示成年限n 的函数;(2)若公司每年发给职工工资总额中,房屋补贴和医疗费的总和总不会超过基础工资总额的p %,求p 的最小值.22.已知函数||2()()f x x b c =+-,函数()g x x m =+.(1)当2b =,4m =-时,()()f x g x ≥恒成立,求实数c 的取值范围;(2)当3c =-,2m =-时,方程()()f x g x =有四个不同的解,求实数b 的取值范围.23.若给定椭圆C :221ax by +=(0a >,0b >,a b ≠)和点00()N x y ,,则称直线l :001ax x by y +=为椭圆C 的“伴随直线”.(1)若00()N x y ,在椭圆C 上,判断椭圆C 与它的“伴随直线”的位置关系)当直线与椭圆的交点个数为0个、1个、2个时,分别称直线与椭圆相离、相切、相交),并说明理由;(2)命题:“若点00()N x y ,在椭圆C 的外部,则直线l 与椭圆C 必相交.”写出这个命题的逆命题,判断此逆命题的真假,说明理由;(3)若00()N x y ,在椭圆C 的内部,过N 点任意作一条直线,交椭圆C 于A 、B ,交l 于M 点(异于A 、B ),设1MA AN =,2MB BN =,问12+是否为定值?说明理由.。
一. 填空题1. 若“a b >”,则“33a b >”是 命题(填:真、假)2. 已知(,0]A =-∞,(,)B a =+∞,若A B R =U ,则a 的取值范围是3. 294z z i +=+(i 为虚数单位),则||z =4. 若△ABC 中,4a b +=,30C ︒∠=,则△ABC 面积的最大值是5. 若函数2()log 1x a f x x -=+的反函数的图像过点(2,3)-,则a = 6. 若半径为2的球O 表面上一点A 作球O 的截面,若OA 与该截面所成的角是60︒,则该 截面的面积是二. 选择题13. 若a r 与b c -r r 都是非零向量,则“a b a c ⋅=⋅r r r r ”是“()a b c ⊥-r r r ”的( )条件A. 充分不必要B. 必要不充分C. 充分必要D. 既不充分也不必要14. 行列式147258369中,元素7的代数余子式的值为( )A. 15-B. 3-C. 3D. 12一. 填空题 1. 25lim 1n n n →∞-=+ 2. 已知抛物线C 的顶点在平面直角坐标系原点,焦点在x 轴上,若C 经过点(1,3)M ,则 其焦点到准线的距离为3. 若线性方程组的增广矩阵为0201a b ⎛⎫⎪⎝⎭,解为21x y =⎧⎨=⎩,则a b +=4. 若复数z 满足:i z i ⋅=(i 是虚数单位),则||z = 5. 在622()x x +的二项展开式中第四项的系数是 (结果用数值表示)6. 在长方体1111ABCD A B C D -中,若1AB BC ==,1AA ,则异面直线1BD 与1CC 所成角的大小为二. 选择题13. “4x k ππ=+()k Z ∈”是“tan 1x =”的( )条件A. 充分不必要B. 必要不充分C. 充分必要D. 既不充分也不必要14. 若1(i 是虚数单位)是关于x 的方程20x bx c ++=的一个复数根,则( )A. 2b =,3c =B. 2b =,1c =-C. 2b =-,1c =-D. 2b =-,3c =三. 解答题17. 已知PA ⊥平面ABC ,AC AB ⊥,2AP BC ==,30CBA ︒∠=,D 是AB 的中点;(1)求PD 与平面PAC 所成角的大小;(结果用反三角函数值表示)(2)求△PDB 绕直线PA 旋转一周所构成的旋转体的体积;(结果保留π)上海市长宁、嘉定区2017届高三一模数学试卷一. 填空题1. 设集合{||2|1,}A x x x R =-<∈,集合B Z =,则A B =I2. 函数sin()3y x πω=-(0ω>)的最小正周期是π,则ω=3. 设i 为虚数单位,在复平面上,复数23(2)i -对应的点到原点的距离为 4. 若函数2()log (1)f x x a =++的反函数的图像经过点(4,1),则实数a =5. 已知(3)n a b +展开式中,各项系数的和与各项二项式系数的和之比为64,则n =6. 甲、乙两人从5门不同的选修课中各选修2门,则甲、乙所选的课程中恰有1门相同的 选法有 种;7. 若圆锥的侧面展开图是半径为2cm ,圆心角为270°的扇形,则这个圆锥的体积为 3cm二. 选择题13. “2x <”是“24x <”的( )A. 充分非必要条件B. 必要非充分条件C. 充要条件D. 既非充分也非必要条件14. 若无穷等差数列{}n a 的首项10a <,公差0d >,{}n a 的前n 项和为n S ,则以下结论 中一定正确的是( )A. n S 单调递增B. n S 单调递减C. n S 有最小值D. n S 有最大值三. 解答题18. 在ABC ∆中,a 、b 、c 分别是角A 、B 、C 的对边,且28sin2cos 272B C A +-=; (1)求角A 的大小;(2)若a =3b c +=,求b 和c 的值;一. 填空题1. 若集合2{|,}A x y x y R ==∈,{|sin ,}B y y x x R ==∈,则A B =I2. 若22ππα-<<,3sin 5α=,则cot 2α= 3. 函数2()1log f x x =+(1x ≥)的反函数1()f x -=4. 若550125(1)x a a x a x a x +=+++⋅⋅⋅+,则125a a a ++⋅⋅⋅+=5. 设k R ∈,2212y x k k -=-表示焦点在y 轴上的双曲线,则半焦距的取值范围是 6. 设m R ∈,若23()(1)1f x m x mx =+++是偶函数,则()f x 的单调递增区间是7. 方程22log (95)2log (32)x x -=+-的解x = 二. 选择题13. 若0a b <<,则下列不等关系中,不能成立的是( )A. 11a b> B. 11a b a >- C. 1133a b < D. 22a b > 14. 设无穷等比数列{}n a 的首项为1a ,公比为q ,前n 项和为n S ,则“11a q +=”是 “lim 1n n S →∞=”成立的( )条件 A. 充分非必要 B. 必要非充分 C. 充要 D. 既非充分也非必要三. 解答题17. 已知a R ∈,函数1()||f x a x =+; (1)当1a =时,解不等式()2f x x ≤;(2)若关于x 的方程()20f x x -=在区间[2,1]--上有解,求实数a 的取值范围;一. 填空题1. 复数(2)i i +的虚部为2. 设函数2log ,0()4,0x x x f x x >⎧=⎨≤⎩,则((1))f f -= 3. 已知{||1|2,}M x x x R =-≤∈,1{|0,}2x P x x R x -=≥∈+,则M P =I 4. 抛物线2y x =上一点M 到焦点的距离为1,则点M 的纵坐标为5. 已知无穷数列{}n a 满足112n n a a +=*()n N ∈,且21a =,记n S 为数列{}n a 的前n 项和, 则lim n n S →∞= 6. 已知,x y R +∈,且21x y +=,则xy 的最大值为7. 已知圆锥的母线10l =,母线与旋转轴的夹角30α︒=,则圆锥的表面积为二. 选择题13. 下列函数在其定义域内既是奇函数又是增函数的是( )A. tan y x =B. 3x y =C. 13y x =D. lg ||y x =14. 设,a b R ∈,则“21a b ab +>⎧⎨>⎩”是“1a >且1b >”的( )条件A. 充分非必要B. 必要非充分C. 充要D. 既非充分也非必要三. 解答题17. 在正三棱柱111ABC A B C -中,1AB =,12BB =,求:(1)异面直线11B C 与1A C 所成角的大小;(2)四棱锥111A B BCC -的体积;一. 填空题 1. 23lim 1n n n →∞+=+ 2. 设全集U R =,集合{1,0,1,2,3}A =-,{|2}B x x =≥,则U A C B =I3. 不等式102x x +<+的解集为 4. 椭圆5cos 4sin x y θθ=⎧⎨=⎩(θ为参数)的焦距为 5. 设复数z 满足23z z i +=-(i 为虚数单位),则z =6. 若函数cos sin sin cos x xy x x =的最小正周期为a π,则实数a 的值为7. 若点(8,4)在函数()1log a f x x =+图像上,则()f x 的反函数为8. 已知向量(1,2)a =r ,(0,3)b =r ,则b r 在a r 的方向上的投影为二. 选择题13. 设a R ∈,则“1a =”是“复数(1)(2)(3)a a a i -+++为纯虚数”的( )A. 充分非必要条件B. 必要非充分条件C. 充要条件D. 既非充分又非必要条件14. 某中学的高一、高二、高三共有学生1350人,其中高一500人,高三比高二少50人, 为了解该校学生健康状况,现采用分层抽样方法进行调查,在抽取的样本中有高一学生120 人,则该样本中的高二学生人数为( )A. 80B. 96C. 108D. 110三. 解答题18. 已知椭圆C 的长轴长为(2,0)-;(1)求C 的标准方程;(2)设与x 轴不垂直的直线l 过C 的右焦点,并与C 交于A 、B 两点,且||AB =试求直线l 的倾斜角;一. 填空题1. 设集合2{|}M x x x ==,{|lg 0}N x x =≤,则M N =I2. 已知a 、b R ∈,i 是虚数单位,若2a i bi +=-,则2()a bi +=3. 已知函数()1x f x a =-的图像经过(1,1)点,则1(3)f-=4. 不等式|1|0x x ->的解集为5. 已知(sin ,cos )a x x =r ,(sin ,sin )b x x =r ,则函数()f x a b =⋅r r 的最小正周期为6. 里约奥运会游泳小组赛采用抽签方法决定运动员比赛的泳道,在由2名中国运动员和6 名外国运动员组成的小组中,2名中国运动员恰好抽在相邻泳道的概率为二. 选择题13. 已知a 、b R ∈,则“0ab >”是“2b a a b+>”的( ) A. 充分非必要条件 B. 必要非充分条件C. 充要条件D. 既非充分又非必要条件14. 如图,在棱长为1的正方体1111ABCD A B C D -中,点P 在截面1A DB 上,则线段AP 的最小值为( )A.13 B. 12C. D. 2三. 解答题17. 如图,在正四棱锥P ABCD -中,PA AB a ==,E 是棱PC 的中点;(1)求证:PC BD ⊥;(2)求直线BE 与PA 所成角的余弦值;一. 填空题1. 已知集合{2,1}A =--,{1,2,3}B =-,则A B =I2. 已知复数z 满足(1)2z i -=,其中i 是虚数单位,则z =3. 方程lg(3)lg 1x x -+=的解x =4. 已知()log a f x x =(0,1)a a >≠,且1(1)2f --=,则1()f x -=5. 若对任意正实数x ,不等式21x a ≤+恒成立,则实数a 的最小值为6. 若抛物线22y px =的焦点与椭圆2215x y +=的右焦点重合,则p = 7. 中位数为1010的一组数构成等差数列,其末项为2015,则该数列的首项为二. 选择题13. 对于常数m 、n ,“0mn <”是“方程221mx ny +=表示的曲线是双曲线”的( )A. 充分非必要条件B. 必要非充分条件C. 充要条件D. 既非充分又非必要条件14. 若方程()20f x -=在(,0)-∞内有解,则()y f x =的图像可能是( )A. B. C. D.三. 解答题 17. 已知圆锥母线长为5,底面圆半径长为4,点M 是母线PA 的中点,AB 是底面圆的直 径,点C 是弧AB 的中点;(1)求三棱锥P ACO -的体积;(2)求异面直线MC 与PO 所成的角;一. 填空题1. 已知复数2z i =+(i 为虚数单位),则2z =2. 已知集合1{|216}2x A x =≤<,22{|log (9)}B x y x ==-,则A B =I 3. 在二项式62()x x +的展开式中,常数项是4. 等轴双曲线222x y a -=与抛物线216y x =的准线交于A 、B 两点,且||AB = 则该双曲线的实轴长等于5. 若由矩阵2222a x a a y a +⎛⎫⎛⎫⎛⎫=⎪⎪ ⎪⎝⎭⎝⎭⎝⎭表示x 、y 的二元一次方程组无解,则实数a = 7. 若圆锥侧面积为20π,且母线与底面所成角为4arccos 5,则该圆锥的体积为 二. 选择题13. 已知()sin3f x x π=,{1,2,3,4,5,6,7,8}A =,现从集合A 中任取两个不同元素s 、t , 则使得()()0f s f t ⋅=的可能情况为( ) A. 12种 B. 13种 C. 14种 D. 15种三. 解答题18. 已知函数22()cos ()4f x x x π=+-(x R ∈); (1)求函数()f x 在区间[0,]2π上的最大值;(2)在ABC ∆中,若A B <,且1()()2f A f B ==,求BC AB 的值;上海市浦东新区2017届高三一模数学试卷一. 填空题1. 已知U R =,集合{|421}A x x x =-≥+,则U C A =2. 三阶行列式351236724---中元素5-的代数余子式的值为 3. 8(1)2x -的二项展开式中含2x 项的系数是4. 已知一个球的表面积为16π,则它的体积为5. 一个袋子中共有6个球,其中4个红色球,2个蓝色球,这些球的质地和形状一样,从中 任意抽取2个球,则所抽的球都是红色球的概率是6. 已知直线:0l x y b -+=被圆22:25C x y +=所截得的弦长为6,则b =7. 若复数(1)(2)ai i +-在复平面上所对应的点在直线y x =上,则实数a =8.函数()cos sin )f x x x x x =+-的最小正周期为二. 选择题 13. 将cos 2y x =图像向左平移6π个单位,所得的函数为( ) A. cos(2)3y x π=+ B. cos(2)6y x π=+ C. cos(2)3y x π=- D. cos(2)6y x π=- 三. 解答题17. 在长方体1111ABCD A B C D -中(如图),11AD AA ==,2AB =,点E 是棱AB 中点;(1)求异面直线1AD 与EC 所成角的大小;(2)《九章算术》中,将四个面都是直角三角形的四面体成为鳖臑,试问四面体1D CDE 是否为鳖臑?并说明理由;上海市闵行区2017届高三一模数学试卷一. 填空题1. 方程lg(34)1x +=的解x =2. 若关于x 的不等式0x a x b->-(,a b R ∈)的解集为(,1)(4,)-∞+∞U ,则a b += 3. 已知数列{}n a 的前n 项和为21n n S =-,则此数列的通项公式为4. 函数()1f x =的反函数是 5. 6(12)x +展开式中3x 项的系数为 (用数字作答)6. 如图,已知正方形1111ABCD A B C D -,12AA =,E 为棱1CC 的中点,则三棱锥1D ADE -的体积为二. 选择题13. 若a 、b 为实数,则“1a <”是“11a>”的( )条件 A. 充要 B. 充分不必要 C. 必要不充分 D. 既不充分也不必要14. 若a 为实数,(2)(2)4ai a i i +-=-(i 是虚数单位),则a =( )A. 1-B. 0C. 1D. 2三. 解答题18. 已知m =u r ,2(cos ,sin )2A n A =r ,A 、B 、C 是ABC ∆的内角; (1)当2A π=时,求||n r 的值; (2)若23C π=,||3AB =,当m n ⋅u u r r 取最大值时,求A 的大小及边BC 的长;上海市虹口区2017届高三一模数学试卷一. 填空题1. 已知集合{1,2,4,6,8}A =,{|2,}B x x k k A ==∈,则A B =I2. 已知21z i i=+-,则复数z 的虚部为 3. 设函数()sin cos f x x x =-,且()1f a =,则sin 2a =4. 已知二元一次方程111222a xb yc a x b y c +=⎧⎨+=⎩的增广矩阵是111113-⎛⎫ ⎪⎝⎭,则此方程组的解是 5. 数列{}n a 是首项为1,公差为2的等差数列,n S 是它前n 项和,则2lim nn n S a →∞= 6. 已知角A 是ABC ∆的内角,则“1cos 2A =”是“sin A =”的 条件(填“充 分非必要”、“必要非充分”、“充要条件”、“既非充分又非必要”之一)7. 若双曲线2221y x b -=的一个焦点到其渐近线距离为,则该双曲线焦距等于 二. 选择题14. 已知函数()sin(2)3f x x π=+在区间[0,]a (其中0a >)上单调递增,则实数a 的取值 范围是( )A. 02a π<≤ B. 012a π<≤ C. 12a k ππ=+,*k N ∈ D. 2212k a k πππ<≤+,k N ∈三. 解答题 17. 在正三棱锥P ABC -中,已知底面等边三角形的边长为6,侧棱长为4;(1)求证:PA BC ⊥;(2)求此三棱锥的全面积和体积;一. 填空题1. “0x <”是“x a <”的充分非必要条件,则a 的取值范围是2. 函数2()13sin ()4f x x π=-+的最小正周期为3. 若复数z 为纯虚数,且满足(2)i z a i -=+(i 为虚数单位),则实数a 的值为4. 二项式251()x x +的展开式中,x 的系数为5. 用半径1米的半圆形薄铁皮制作圆锥型无盖容器,其容积为 立方米6. 已知α为锐角,且3cos()45πα+=,则sin α= 二. 选择题11. 若空间三条直线a 、b 、c 满足a b ⊥,b c ⊥,则直线a 与c ( )A. 一定平行B. 一定相交C. 一定是异面直线D. 平行、相交、是异面直线都有可能 12. 在无穷等比数列{}n a 中,121lim()2n n a a a →∞++⋅⋅⋅+=,则1a 的取值范围是( ) A. 1(0,)2 B. 1(,1)2 C. (0,1) D. 11(0,)(,1)22U 三. 解答题16. 已知正四棱柱1111ABCD A B C D -,AB a =,12AA a =,E 、F 分别是棱AD 、CD 的中点;(1)求异面直线1BC 与EF 所成角的大小;(2)求四面体1CA EF 的体积;一. 填空题1. 若集合2{|20}M x x x =-<,{|||1}N x x =>,则M N =I2. 若复数z 满足232z z i +=-,其中i 为虚数单位,则z =3. 如果5sin 13α=-,且α为第四象限角,则tan α的值是 4. 函数cos sin ()sin cos x xf x x x=的最小正周期是 5. 函数()2x f x m =+的反函数为1()y f x -=,且1()y f x -=的图像过点(5,2)Q ,那么m =6. 点(1,0)到双曲线2214x y -=的渐近线的距离是 二. 选择题13. 给定空间中的直线l 与平面α,则“直线l 与平面α垂直”是“直线l 垂直于平面α上 无数条直线”的( )条件A. 充分非必要B. 必要非充分C. 充要D. 既不充分也不必要14. 已知x 、y R ∈,且0x y >>,则( )A. 110x y ->B. 11()()022x y -< C. 22log log 0x y +> D. sin sin 0x y ->三. 解答题18. 已知△ABC 中,1AC =,23ABC π∠=,设BAC x ∠=,记()f x AB BC =⋅u u u r u u u r ; (1)求函数()f x 的解析式及定义域;(2)试写出函数()f x 的单调递增区间,并求方程1()6f x =的解;。
2017年上海市徐汇区中考数学一模试卷一、选择题:(本大题共6题,每题4分,满分24分)【下列各题的四个选项中,有且只有一个选项是正确的】1.如果2x=3y,那么下列各式中正确的是()A. =B. =3 C. = D. =2.如果一斜坡的坡比是1:2.4,那么该斜坡坡角的余弦值是()A.B.C.D.3.如果将某一抛物线向右平移2个单位,再向上平移2各单位后所得新抛物线的表达式是y=2(x ﹣1)2,那么原抛物线的表达式是()A.y=2(x﹣3)2﹣2 B.y=2(x﹣3)2+2 C.y=2(x+1)2﹣2 D.y=2(x+1)2+24.在△ABC中,点D、E分别在边AB、AC上,联结DE,那么下列条件中不能判断△ADE和△ABC相似的是()A.DE∥BC B.∠AED=∠B C.AE:AD=AB:AC D.AE:DE=AC:BC5.一飞机从距离地面3000米的高空测得一地面监测点的俯角是60°,那么此时飞机与监测点的距离是()A.6000米B.1000米C.2000米D.3000米6.已知二次函数y=﹣2x2+4x﹣3,如果y随x的增大而减小,那么x的取值范围是()A.x≥1 B.x≥0 C.x≥﹣1 D.x≥﹣2二、填空题:(本大题共12题,每题4分,满分48分)7.已知线段a=9,c=4,如果线段b是a、c的比例中项,那么b= .8.点C是线段AB延长线的点,已知=, =,那么= .9.如图,AB∥CD∥EF,如果AC=2,AE=5.5,DF=3,那么BD= .10.如果两个相似三角形的对应中线比是:2,那么它们的周长比是.11.如果点P是线段AB的黄金分割点(AP>BP),那么请你写出一个关于线段AP、BP、AB之间的数量关系的等式,你的结论是:.12.在Rt△ABC中,∠ACB=90°,CD⊥AB,垂足为D,如果CD=4,BD=3,那么∠A的正弦值是.13.正方形ABCD的边长为3,点E在边CD的延长线上,连接BE交边AD于F,如果DE=1,那么AF= .14.已知抛物线y=ax2﹣4ax与x轴交于点A、B,顶点C的纵坐标是﹣2,那么a= .15.如图,矩形ABCD的四个顶点正好落在四条平行线上,并且从上到下每两条平行线间的距离都是1,如果AB:BC=3:4,那么AB的长是.16.在梯形ABCD中,AD∥BC,AC、BD相交于O,如果△BOC、△ACD的面积分别是9和4,那么梯形ABCD的面积是.17.在Rt△ABC中,∠ABC=90°,AC=5,BC=3,CD是∠ACB的平分线,将△ABC沿直线CD翻折,点A落在点E处,那么AE的长是.18.如图,在▱ABCD中,AB:BC=2:3,点E、F分别在边CD、BC上,点E是边CD的中点,CF=2BF,∠A=120°,过点A分别作AP⊥BE、AQ⊥DF,垂足分别为P、Q,那么的值为.三、解答题:(本大题共7题,第19-22题每题10分,第23、24题每题12分,第25题14分,满分78分)19.计算:2sin60°﹣|cot30°﹣cot45°|+.20.将抛物线y=x2﹣4x+4沿y轴向下平移9个单位,所得新抛物线与x轴正半轴交于点B,与y轴交于点C,顶点为D.求:(1)点B、C、D坐标;(2)△BCD的面积.21.如图,已知梯形ABCD中,AD∥BC,AB=4,AD=3,AB⊥AC,AC平分∠DCB,过点DE∥AB,分别交AC、BC于F、E,设=, =.求:(1)向量(用向量、表示);(2)tanB的值.22.如图,一艘海轮位于小岛C的南偏东60°方向,距离小岛120海里的A处,该海轮从A处正北方向航行一段距离后,到达位于小岛C北偏东45°方向的B处.(1)求该海轮从A处到B处的航行过程中与小岛C之间的最短距离(记过保留根号);(2)如果该海轮以每小时20海里的速度从B处沿BC方向行驶,求它从B处到达小岛C的航行时间(结果精确到0.1小时).(参考数据: =1.41, =1.73)23.如图,已知△ABC中,点D在边BC上,∠DAB=∠B,点E在边AC上,满足AE•CD=AD•CE.(1)求证:DE∥AB;(2)如果点F是DE延长线上一点,且BD是DF和AB的比例中项,联结AF.求证:DF=AF.24.如图,已知抛物线y=﹣x2+bx+3与x轴相交于点A和点B(点A在点B的左侧),与y轴交于点C,且OB=OC,点D是抛物线的顶点,直线AC和BD交于点E.(1)求点D的坐标;(2)联结CD、BC,求∠DBC余切值;(3)设点M在线段CA延长线,如果△EBM和△ABC相似,求点M的坐标.25.如图,已知△ABC中,AB=AC=3,BC=2,点D是边AB上的动点,过点D作DE∥BC,交边AC于点E,点Q是线段DE上的点,且QE=2DQ,连接BQ并延长,交边AC于点P.设BD=x,AP=y.(1)求y关于x的函数解析式及定义域;(2)当△PQE是等腰三角形时,求BD的长;(3)连接CQ,当∠CQB和∠CBD互补时,求x的值.2017年上海市徐汇区中考数学一模试卷参考答案与试题解析一、选择题:(本大题共6题,每题4分,满分24分)【下列各题的四个选项中,有且只有一个选项是正确的】1.如果2x=3y,那么下列各式中正确的是()A. =B. =3 C. = D. =【考点】比例的性质.【专题】推理填空题.【分析】根据比例的性质逐项判断,判断出各式中正确的是哪个即可.【解答】解:∵2x=3y,∴=,∴选项A不正确;∵2x=3y,∴=,∴==3,∴选项B正确;∵2x=3y,∴=,∴==,∴选项C不正确;∵2x=3y,∴=,∴==,∴∴选项D不正确.故选:B.【点评】此题主要考查了比例的性质和应用,要熟练掌握.2.如果一斜坡的坡比是1:2.4,那么该斜坡坡角的余弦值是()A.B.C.D.【考点】解直角三角形的应用-坡度坡角问题.【分析】根据坡比=坡角的正切值,设竖直直角边为5x,水平直角边为12x,由勾股定理求出斜边,进而可求出斜坡坡角的余弦值.【解答】解:如图所示:由题意,得:tanα=i==,设竖直直角边为5x,水平直角边为12x,则斜边==13x,则cosα==.故选D.【点评】此题主要考查坡比、坡角的关系以及勾股定理;熟记坡角的正切等于坡比是解决问题的关键.3.如果将某一抛物线向右平移2个单位,再向上平移2各单位后所得新抛物线的表达式是y=2(x ﹣1)2,那么原抛物线的表达式是()A.y=2(x﹣3)2﹣2 B.y=2(x﹣3)2+2 C.y=2(x+1)2﹣2 D.y=2(x+1)2+2【考点】二次函数图象与几何变换.【分析】根据图象反向平移,可得原函数图象,根据图象左加右减,上加下减,可得答案.【解答】解:一条抛物线向右平移2个单位,再向上平移2个单位后所得抛物线的表达式为y=2(x﹣1)2,抛物线的表达式为y=2(x﹣1)2,左移2个单位,下移2个单位得原函数解析式y=2(x+1)2﹣2,故选:C.【点评】本题考查了二次函数图象与几何变换,利用了图象左加右减,上加下减的规律.4.在△ABC中,点D、E分别在边AB、AC上,联结DE,那么下列条件中不能判断△ADE和△ABC相似的是()A.DE∥BC B.∠AED=∠B C.AE:AD=AB:AC D.AE:DE=AC:BC【考点】相似三角形的判定.【分析】根据题意画出图形,再由相似三角形的判定定理进行解答即可.【解答】解:如图,A、∵DE∥BC,∴△ADE∽△ABC,故本选项错误;B、∵∠AED=∠B,∠A=∠A,∴△ADE∽△ACB,故本选项错误;C、∵AE:AD=AB:AC,∠A=∠A,∴△ADE∽△ACB,故本选项错误;D、AE:DE=AC:BC不能使△ADE和△ABC相似,故本选项正确.故选D.【点评】此题考查了相似三角形的判定,属于基础题,关键是掌握相似三角形的几种判定定理.5.一飞机从距离地面3000米的高空测得一地面监测点的俯角是60°,那么此时飞机与监测点的距离是()A.6000米B.1000米C.2000米D.3000米【考点】解直角三角形的应用-仰角俯角问题.【分析】根据题意可构造直角三角形,利用所给角的正弦函数即可求解.【解答】解:如图所示:由题意得,∠CAB=60°,BC=3000米,在Rt△ABC中,∵sin∠A=,∴AC===2000米.故选C.【点评】本题考查了解直角三角形的应用,解答本题的关键是借助俯角构造直角三角形,并结合三角函数解直角三角形.6.已知二次函数y=﹣2x2+4x﹣3,如果y随x的增大而减小,那么x的取值范围是()A.x≥1 B.x≥0 C.x≥﹣1 D.x≥﹣2【考点】二次函数的性质.【分析】把抛物线化为顶点式可求得开口方向及对称轴,再利用增减性可得到关于x的不等式,可求得答案.【解答】解:∵y=﹣2x2+4x﹣3=﹣2(x﹣1)2﹣1,∴抛物线开口向下,对称轴为x=1,∴当x≥1时,y随x的增大而减小,故选A.【点评】本题主要考查二次函数的性质,掌握二次函数的顶点式是解题的关键,即在y=a(x﹣h)2+k 中,对称轴为x=h,顶点坐标为(h,k).二、填空题:(本大题共12题,每题4分,满分48分)7.已知线段a=9,c=4,如果线段b是a、c的比例中项,那么b= 6 .【考点】比例线段.【分析】根据比例中项的定义,若b 是a ,c 的比例中项,即b 2=ac .即可求解.【解答】解:若b 是a 、c 的比例中项,即b 2=ac .则b===6. 故答案为:6.【点评】本题主要考查了线段的比例中项的定义,注意线段不能为负.8.点C 是线段AB 延长线的点,已知=, =,那么= ﹣ . 【考点】*平面向量.【分析】根据向量、的方向相反进行解答.【解答】解:如图,向量、的方向相反,且=, =,所以=+=﹣.故答案是:﹣.【点评】本题考查了平面向量,注意向量既有大小,又有方向.9.如图,AB ∥CD ∥EF ,如果AC=2,AE=5.5,DF=3,那么BD= .【考点】平行线分线段成比例.【分析】根据平行线分线段成比例定理即可得到结论.【解答】解:∵AC=2,AE=5.5,∴CE=3.5,AB ∥CD ∥EF ,∴,∴BD=,故答案为:.【点评】本题考查平行线分线段成比例定理,用到的知识点是平行线分线段成比例定理,关键是找准对应关系,列出比例式.10.如果两个相似三角形的对应中线比是:2,那么它们的周长比是:2 .【考点】相似三角形的性质.【分析】直接根据相似三角形的性质即可得出结论.【解答】解:∵两个相似三角形的对应中线比是:2,∴它们的周长比为:2.故答案为::2.【点评】本题考查的是相似三角形的性质,熟知相似三角形的对应线段(对应中线、对应角平分线、对应边上的高)的比等于相似比是解答此题的关键.11.如果点P是线段AB的黄金分割点(AP>BP),那么请你写出一个关于线段AP、BP、AB之间的数量关系的等式,你的结论是:AP2=BP•AB .【考点】黄金分割.【分析】根据黄金分割的概念解答即可.【解答】解:∵点P是线段AB的黄金分割点,∴AP2=BP•AB,故答案为:AP2=BP•AB.【点评】本题考查的是黄金分割的概念和性质,把线段AB分成两条线段AC和BC(AC>BC),且使AC是AB和BC的比例中项,叫做把线段AB黄金分割.12.在Rt△ABC中,∠A CB=90°,CD⊥AB,垂足为D,如果CD=4,BD=3,那么∠A的正弦值是.【考点】锐角三角函数的定义.【分析】求出∠A=∠BCD,根据锐角三角函数的定义求出tan∠BCD即可.【解答】解:∵CD⊥AB,∴∠CDB=90°,∵∠ACB=90°,∴∠A+∠B=90°,∠BCD+∠B=90°,∴∠A=∠BCD,∴tanA=tan∠BCD==,故答案为:.【点评】本题考查了锐角三角函数的定义,能熟记锐角三角函数的定义是解此题的关键,注意:在Rt△ACB中,∠ACB=90°,则sinA=,cosA=,tanA=.13.正方形ABCD的边长为3,点E在边CD的延长线上,连接BE交边AD于F,如果DE=1,那么AF=.【考点】相似三角形的判定与性质;正方形的性质.【分析】由四边形ABCD为正方形即可得出∠A=∠ADC=90°、AB∥CD,根据平行线的性质以及邻补角即可得出∠EDF=∠A、∠ABF=∠DEF,从而得出△ABF∽△DEF,再根据相似三角形的性质即可得出==3,结合AF+DF=AD=3即可求出AF的长度,此题得解.【解答】解:依照题意画出图形,如图所示.∵四边形ABCD为正方形,∴∠A=∠ADC=90°,AB∥CD,∴∠EDF=180°﹣∠ADC=90°=∠A,∠ABF=∠DEF,∴△ABF∽△DEF,∴==3,∵AF+DF=AD=3,∴AF=AD=.故答案为:.【点评】本题考查了相似三角形的判定与性质、正方形的性质、平行线的性质以及邻补角,通过两组相等的角证出△ABF∽△DEF是解题的关键.14.已知抛物线y=ax2﹣4ax与x轴交于点A、B,顶点C的纵坐标是﹣2,那么a= .【考点】抛物线与x轴的交点.【分析】首先利用配方法确定函数的顶点坐标,根据顶点C的纵坐标是﹣2,即可列方程求得a的值.【解答】解:y=ax2﹣4ax=a(x2﹣4x+4)﹣4a=a(x﹣2)2﹣4a,则顶点坐标是(2,﹣4a),则﹣4a=﹣2,解得a=.故答案是:.【点评】本题考查了配方法确定函数的顶点坐标,正确进行配方是关键.15.如图,矩形ABCD的四个顶点正好落在四条平行线上,并且从上到下每两条平行线间的距离都是1,如果AB:BC=3:4,那么AB的长是.【考点】相似三角形的判定与性质;平行线之间的距离;矩形的性质.【分析】作辅助线,构建相似三角形,证明△ABE∽△BCF,列比例式求BE的长,利用勾股定理可以求AB的长.【解答】解:过A作AE⊥BM于E,过C作CF⊥BM于F,则CF=1,AE=2,∴∠AEB=∠BFC=90°,∴∠ABE+∠BAE=90°,∵四边形ABCD是矩形,∴∠ABC=90°,∴∠ABE+∠CB E=90°,∴∠BAE=∠CBE,∴△ABE∽△BCF,∴,∴,∴BE=,在Rt△ABE中,AB==,故答案为:.【点评】本题考查了矩形的性质、相似三角形的判定与性质、两平行线的距离以及勾股定理;熟练掌握矩形的性质,证明三角形相似是解决问题的关键.16.在梯形ABCD中,AD∥BC,AC、BD相交于O,如果△BOC、△ACD的面积分别是9和4,那么梯形ABCD的面积是16 .【考点】相似三角形的判定与性质;梯形.【分析】如图,设△AOD的面积为x,则△ODC的面积为4﹣x.由AD∥BC,推出△AOD∽△COB,可得=()2,因为=,得到=()2,解方程即可.【解答】解:如图,设△AOD的面积为x,则△ODC的面积为4﹣x.∵AD∥BC,∴△AOD∽△COB,∴=()2,∵=,∴=()2,解得x=1或16(舍弃),∵S△ABD=S△ADC=1,∴S△AOB=S△DOC=3,∴梯形ABCD的面积=1+3+3+9=16,故答案为16.【点评】本题考查相似三角形的判定和性质、梯形的性质等知识,解题的关键是熟练掌握相似三角形的性质,学会用方程的思想思考问题,属于中考常考题型.17.在Rt△ABC中,∠ABC=90°,AC=5,BC=3,CD是∠ACB的平分线,将△ABC沿直线CD翻折,点A落在点E处,那么AE的长是2.【考点】翻折变换(折叠问题);勾股定理.【分析】由勾股定理求AB=4,再根据旋转的性持和角平分线可知:点A的对应点E在直线CB上,BE=2,利用勾股定理可求AE的长.【解答】解:∵CD是∠ACB的平分线,∴将△ABC沿直线CD翻折,点A的对应点E在直线CB上,∵∠ABC=90°,AC=5,BC=3,∴AB=4,由旋转得:EC=AC=5,∴BE=5﹣3=2,在Rt△ABE中,由勾股定理得:AE===2,故答案为:2.【点评】本题考查了翻折变换的性质、勾股定理,明确折叠前后的两个角相等,两边相等;在图形中确定直角三角形,如果知道了一个直角三角形的两条边,可以利用勾股定理求第三边.18.如图,在▱ABCD中,AB:BC=2:3,点E、F分别在边CD、BC上,点E是边CD的中点,CF=2BF,∠A=120°,过点A分别作AP⊥BE、AQ⊥DF,垂足分别为P、Q,那么的值为.【考点】相似三角形的判定与性质;平行四边形的性质.【分析】如图,连接AE、AF,过点A分别作AP⊥BE、AQ⊥DF,垂足分别为P、Q,作DH⊥BC于H,EG⊥BC于G,设AB=2a.BC=3a.根据•AP•BE=•DF•AQ,利用勾股定理求出BE、DF即可解决问题.【解答】解:如图,连接AE、AF,过点A分别作AP⊥BE、AQ⊥DF,垂足分别为P、Q,作DH⊥BC于H,EG⊥BC于G,设AB=2a.BC=3a.∵四边形ABCD是平行四边形,∴AB∥CD,AD∥BC,∠BAD=∠BCD=120°,∴S△ABE=S△ADF=S平行四边形ABCD,在Rt△CDH中,∵∠H=90°,CD=AB=2a,∠DCH=60°,∴CH=a,DH=a,在Rt△DFH中,DF===2a,在Rt△ECG中,∵CE=a,∴CG=a,GE=a,在Rt△BEG中,BE===a,∴•AP•BE=•DF•AQ,∴==,故答案为.【点评】本题考查平行四边形的性质、勾股定理,三角形的面积等知识,解题的关键是利用面积法求线段的长,学会添加常用辅助线,学会利用参数解决问题,属于中考常考题型.三、解答题:(本大题共7题,第19-22题每题10分,第23、24题每题12分,第25题14分,满分78分)19.计算:2sin60°﹣|cot30°﹣cot45°|+.【考点】实数的运算;特殊角的三角函数值.【分析】首先根据特殊角的三角函数进行代入,然后再根据绝对值的性质计算绝对值,然后合并同类二次根式即可.【解答】解:原式=2×﹣|1|+,=+1+,=﹣2﹣3.【点评】此题主要考查了实数运算,正确记忆特殊角的三角函数值是解题关键.20.将抛物线y=x2﹣4x+4沿y轴向下平移9个单位,所得新抛物线与x轴正半轴交于点B,与y轴交于点C,顶点为D.求:(1)点B、C、D坐标;(2)△BCD的面积.【考点】抛物线与x轴的交点;二次函数图象与几何变换.【分析】(1)首先求得抛物线y=x2﹣4x+4沿y轴向下平移9个单位后解析式,利用配方法求得D 的坐标,令y=0求得C的横坐标,令y=0,解方程求得B的横坐标;(2)过D作DA⊥y轴于点A,然后根据S△BCD=S梯形AOBD﹣S△BOC﹣S△ADC求解.【解答】解:(1)抛物线y=x2﹣4x+4沿y轴向下平移9个单位后解析式是y=x2﹣4x+4﹣9,即y=x2﹣4x﹣5.y=x2﹣4x﹣5=(x﹣2)2﹣9,则D的坐标是(2,﹣9).在y=x2﹣4x﹣5中令x=0,则y=﹣5,则C的坐标是(0,﹣5),令y=0,则x2﹣4x﹣5=0,解得x=﹣1或5,则B的坐标是(5,0);(2)过D作DA⊥y轴于点A.则S△BCD=S梯形AOBD﹣S△BOC﹣S△ADC=(2+5)×9﹣×2×4﹣×5×5=15.【点评】本题考查了配方法确定二次函数的顶点坐标,以及函数与x轴、y轴的交点的求法,正确求得抛物线y=x2﹣4x+4沿y轴向下平移9个单位后解析式是关键.21.如图,已知梯形ABCD中,AD∥BC,AB=4,AD=3,AB⊥AC,AC平分∠DCB,过点DE∥AB,分别交AC、BC于F、E,设=, =.求:(1)向量(用向量、表示);(2)tanB的值.【考点】*平面向量;梯形;解直角三角形.【分析】(1)首先证明四边形ABED是平行四边形,推出DE=AB,推出==, ==,=+.(2)由△DFC∽△BAC,推出==,求出BC,在Rt△BAC中,∠BAC=90°,根据AC===2,由tanB=,即可解决问题.【解答】解:∵AD∥BC,∴∠DAC=∠ACB,∴AC平分∠DCB,∴∠DCA=∠ACB,∴∠DAC=∠DCA,∴AD=DC,∵DE∥AB,AB⊥AC,∴DE⊥AC,∴AF=CF,∴BE=CE,∵AD∥BC,DE∥AB,∴四边形ABED是平行四边形,∴DE=AB,∴==, ==,∴=+.(2)∵∠DCF=∠ACB,∠DFC=∠BAC=90°,∴△DFC∽△BAC,∴==,∵CD=AD=3,∴BC=6,在Rt△BAC中,∠BAC=90°,∴AC===2,∴tanB===.【点评】本题考查平面向量、梯形、解直角三角形、平行四边形的判定和性质、勾股定理等知识,解题的关键是灵活运用所学知识,属于基础题.22.如图,一艘海轮位于小岛C的南偏东60°方向,距离小岛120海里的A处,该海轮从A处正北方向航行一段距离后,到达位于小岛C北偏东45°方向的B处.(1)求该海轮从A处到B处的航行过程中与小岛C之间的最短距离(记过保留根号);(2)如果该海轮以每小时20海里的速度从B处沿BC方向行驶,求它从B处到达小岛C的航行时间(结果精确到0.1小时).(参考数据: =1.41, =1.73)【考点】解直角三角形的应用-方向角问题.【分析】(1)首先过点C作CD⊥AB于D,构建直角△ACD,通过解该直角三角形得到CD的长度即可;(2)通过解直角△BCD来求BC的长度.【解答】解:(1)如图,过点C作CD⊥AB于D,由题意,得∠ACD=30°.在直角△ACD中,∠ADC=90°,∴cos∠ACD=,∴CD=AC•cos30°=120×=60(海里);(2)在直角△BCD中,∠BDC=90°,∠DCA=45°,∴cos∠BCD=,∴BC===60≈60×2.44=146.4(海里),∴146.4÷20=7.32≈7.3(小时).答:(1)求该海轮从A处到B处的航行过程中与小岛C之间的最短距离是60海里;(2)如果该海轮以每小时20海里的速度从B处沿BC方向行驶,求它从B处到达小岛C的航行时间约为7.3小时.【点评】此题考查了方向角问题.此题难度适中,注意将方向角问题转化为解直角三角形的知识求解是解此题的关键,注意数形结合思想的应用.23.如图,已知△ABC中,点D在边BC上,∠DAB=∠B,点E在边AC上,满足AE•CD=AD•CE.(1)求证:DE∥AB;(2)如果点F是DE延长线上一点,且BD是DF和AB的比例中项,联结AF.求证:DF=AF.【考点】相似三角形的判定与性质.【分析】(1)根据已知条件得到,根据等腰三角形的判定定理得到AD=BD,等量代换即可得到结论;(2)由BD是DF和AB的比例中项,得到BD2=DF•AB,等量代换得到AD2=DF•AB,推出=,根据相似三角形的性质得到==1,于是得到结论.【解答】证明:(1)∵AE•CD=AD•CE,∴,∵∠DAB=∠B,∴AD=BD,∴,∴DE∥AB;(2)∵BD是DF和AB的比例中项,∴BD2=DF•AB,∵AD=BD,∴AD2=DF•AB,∴=,∵DE∥AB,∴∠ADF=∠BAD,∴△ADF∽△DBA,∴==1,∴DF=AF.【点评】本题考查了相似三角形的判定和性质,熟练掌握相似三角形的判定和性质是解题的关键.24.如图,已知抛物线y=﹣x2+bx+3与x轴相交于点A和点B(点A在点B的左侧),与y轴交于点C,且OB=OC,点D是抛物线的顶点,直线AC和BD交于点E.(1)求点D的坐标;(2)联结CD、BC,求∠DBC余切值;(3)设点M在线段CA延长线,如果△EBM和△ABC相似,求点M的坐标.【考点】二次函数综合题.【分析】(1)根据题意求出点C的坐标、点B的坐标,利用待定系数法求出抛物线的解析式,根据二次函数的性质求出顶点坐标;(2)根据等腰直角三角形的性质得到∠DCB=90°,根据余切的定义计算即可;(3)运用待定系数法求出直线CA的解析式,设点M的坐标为(x,3x+3),根据相似三角形的性质得到∠ACB=∠BME,根据等腰三角形的性质得到BM=BC,根据勾股定理列出方程,解方程即可.【解答】解:(1)∵已知抛物线y=﹣x2+bx+3与y轴交于点C,∴点C的坐标为:(0,3),∵OB=OC,∴点B的坐标为:(3,0),∴﹣9+3b+3=0,解得,b=2,∴抛物线的解析式为:y=﹣x2+2x+3,y=﹣x2+2x+3=﹣(x﹣1)2+4,∴顶点D的坐标为(1,4);(2)如图1,作DH⊥y轴于H,则CH=DH=1,∴∠HCD=∠HDC=45°,∵OB=OC,∴∠OCB=∠OBC=45°,∴∠DCB=90°,∴cot∠DBC===3;(3)﹣x2+2x+3=0,解得,x1=﹣1,x2=3,∴点A的坐标为:(﹣1,0),∴=,又=,∴=,∴Rt△AOC∽Rt△DCB,∴∠ACO=∠DBC,∵∠ACB=∠ACO+45°=∠DBC+∠E,∴∠E=45°,∵△EBM和△ABC相似,∠E=∠ABC=45°,∴∠ACB=∠BME,∴BM=BC,设直线CA的解析式为:y=kx+b,则,解得,,则直线CA的解析式为:y=3x+3,设点M的坐标为(x,3x+3),则(x﹣3)2+(3x+3)2=18,解得,x1=0(舍去),x2=﹣,x2=﹣时,y=﹣,∴点M的坐标为(﹣,﹣).【点评】本题考查的是二次函数的综合运用、相似三角形的判定和性质,掌握二次函数的性质、待定系数法求函数解析式的一般步骤是解题的关键.25.如图,已知△ABC中,AB=AC=3,BC=2,点D是边AB上的动点,过点D作DE∥BC,交边AC于点E,点Q是线段DE上的点,且QE=2DQ,连接BQ并延长,交边AC于点P.设BD=x,AP=y.(1)求y关于x的函数解析式及定义域;(2)当△PQE是等腰三角形时,求BD的长;(3)连接CQ,当∠CQB和∠CBD互补时,求x的值.【考点】三角形综合题;等腰梯形的性质;平行线分线段成比例;相似三角形的判定与性质.【专题】压轴题.【分析】(1)过点D作DF∥AC,交BP于F,根据平行线分线段成比例定理,可得EC=BD=x,PE=3﹣x﹣y,DF=,进而根据DF∥AC,求得y=,定义域为:0<x<3;(2)当△PEQ为等腰三角形时,△PBC也为等腰三角形,分三种情况讨论:①当PB=BC时,②当PC=BC=2时,③当PC=PB时,分别求得BD的长即可;(3)先根据已知条件判定四边形BCED是等腰梯形,判定△BDQ∽△QEC,得出=,即2DQ2=x2,再根据DE∥BC,得出=,即=,求得x的值即可.【解答】解:(1)如图所示,过点D作DF∥AC,交BP于F,则根据QE=2DQ,可得==,又∵DE∥BC,∴==1,∴EC=BD=x,PE=3﹣x﹣y,DF=,∵DF∥AC,∴=,即=,∴y=,定义域为:0<x<3;(2)∵DE∥BC,∴△PEQ∽△PBC,∴当△PEQ为等腰三角形时,△PBC也为等腰三角形,①当PB=BC时,△ABC∽△BPC,∴BC2=CP•AC,即4=3(3﹣y),解得y=,∴=,解得x==BD;②当PC=BC=2时,AP=y=1,∴=1,解得x==BD;③当PC=PB时,点P与点A重合,不合题意;(3)∵DE∥BC,∴∠BDQ+∠CBD=180°,又∵∠CQB和∠CBD互补,∴∠CQB+∠CBD=180°,∴∠CQB=∠BDQ,∵BD=CE,∴四边形BCED是等腰梯形,∴∠BDE=∠CED,∴∠CQB=∠CED,又∵∠DQB+∠CQB=∠ECQ+∠CED,∴∠DQB=∠ECQ,∴△BDQ∽△QEC,∴=,即2DQ2=x2,∴DQ=,DE=,∵DE∥BC,∴=,即=,解得x=.【点评】本题属于三角形综合题,主要考查了相似三角形的判定与性质,等腰梯形的判定与性质的综合应用,解决问题的关键是作辅助线构造相似三角形,运用相似三角形的对应边成比例进行求解.在判定两个三角形相似时,应注意利用图形中已有的公共角、公共边等隐含条件,以充分发挥基本图形的作用.。
上海市徐汇区2016届高三一模数学试卷2016.01一. 填空题(本大题共14题,每题4分,共56分)1. 设抛物线的顶点在原点,准线方程为2x =-,则抛物线的标准方程是 ;2. 方程2log (35)2x-=的解是 ;3. 设3n n a -=*()n N ∈,则数列{}n a 的各项和为 ;4.(文)函数()sin(2)4f x x π=-()x R ∈的单调递增区间是 ;(理)函数2cos 3sin cos y x x x =+的最小值为 ;5. 若函数()f x 的图像与对数函数4log y x =的图像关于直线0x y +=对称,则()f x 的解 析式为()f x = ;6. 若函数2()|4|f x x x a =--的零点个数为4,则实数a 的取值范围为 ;7. 若,x y R +∈,且191x y+=,则x y +的最小值是 ; 8. 若三条直线30ax y ++=,20x y ++=和210x y -+=相交于一点,(文)则行列式111a 的值为 ;(理)则行列式13112211a-的值为 ;9.(文)在△ABC 中,2BC =,3AB =,则角C 的取值范围是 ;(理)32(21)(34)x x x +++展开后各项系数的和等于 ; 10. 已知四面体ABCD 的外接球球心O 在棱CD 上,3AB =,2CD =,则A 、B 两点在四面体ABCD 的外接球上的球面距离是 ; 11.(文)同9(理);(理)函数2()1f x x =-定义域为D ,值域为{1,0,1}-,则这样的集合D 最多有 个; 12.(文)函数2()1f x x =-定义域为D ,值域为{0,1},这样的集合D 最多有 个; (理)正四面体的四个面上分别写有数字0、1、2、3,把两个这样的四面体抛在桌面上, 则露在外面的6个数字之和恰好是9的概率为 ; 13.(文)同12(理);(理)设1x 、2x 是实系数一元二次方程20ax bx c ++=的两个根,若1x 是虚数,212x x 是实数,则24816321111112222221()()()()()x x x x x x S x x x x x x =++++++= ;14.(文)同13(理);(理)已知O 是锐角△ABC 的外心,1tan 2A =,若cos cos 2sin sin B CAB AC m AO C B⋅+⋅=⋅, 则实数m = ;二. 选择题(本大题共4题,每题5分,共20分)15. 已知向量a 与b 不平行,且||||0a b =≠,则下列结论中正确的是( ) A. 向量a b +与a b -垂直 B. 向量a b -与a 垂直 C. 向量a b +与a 垂直 D. 向量a b +与a b -平行 16. 设,a b 为实数,则“01ab <<”是“1b a<”的( ) A. 充分不必要条件 B. 必要不充分条件 C. 充分必要条件 D. 既不充分也不必要条件17. 设,x y 均是实数,i 是虚数单位,复数(2)(52)x y x y i -+--的实部大于0,虚部不小 于0,则复数z x yi =+在复平面上的点集用阴影表示为下图中的( )A. B. C. D.18. 设函数()y f x =的定义域为D ,若对于任意12,x x D ∈,当122x x a +=时,恒有1()f x2()2f x b +=,则称点(,)a b 为函数()y f x =图像的对称中心;研究()sin 3f x x x π=+-的某一个对称中心,并利用对称中心的上述定义,可得到123()()()201620162016f f f +++ 40304031...()()20162016f f ++的值为( ) A. 4031- B. 4031 C. 8062- D. 8062三. 解答题(本大题共5题,共12+14+14+16+18=74分)19. 在三棱锥S ABC -中,SA AB ⊥,SA AC ⊥,AC BC ⊥且2AC =,13BC =,29SB =;求证:SC BC⊥并求三棱锥的体积S ABC V -;20.(文)已知函数2()sin 2sin 2cos 2f x x x x =-;(1)化简函数()f x 的表达式,并求函数()f x 的最小正周期; (2)若点00(,)A x y 是()y f x =图像的对称中心,且0[0,]2x π∈,求点A 的坐标;(理)已知实数x 满足2421111()()()03339x x x ----+≤且22()log log22x xf x =⋅;(1)求实数x 的取值范围;(2)求()f x 的最大值和最小值,并求此时x 的值;21.(文)已知实数x 满足2411033903x x ---⋅+≤且22()log log22x xf x =⋅; (1)求实数x 的取值范围;(2)求()f x 的最大值和最小值,并求此时x 的值;(理)节能环保日益受到人们的重视,水污染治理也已成为“十三五”规划的重要议题;某地有三家工厂,分别位于矩形ABCD 的两个顶点A 、B 及CD 的中点P 处,30AB km =,15BC km =,为了处理三家工厂的污水,现要在该矩形区域上(含边界),且与A 、B 等距离的一点O 处,建造一个污水处理厂,并铺设三条排污管道AO 、BO 、PO ;设BAO x ∠=弧度,排污管道的总长度为ykm(1)将y 表示为x 的函数:(2)试确定O 点的位置,使铺设的排污管道的总长度最短,并求总长度的最短公里数; (精确到0.01km )22.(文)数列{}n a 满足15a =,且123111112...n na a a a a -++++=*(2,)n n N ≥∈; (1)求2a 、3a 、4a ; (2)求数列{}n a 的通项公式; (3)令112nn na b a =-,求数列{}n b 的最大值与最小值;(理)给定数列{}n a ,记数列前i 项12,,...,i a a a 中的最大项为i A ,即12max{,,...,}i i A a a a =;该数列后n i -项12,,...,i i n a a a ++中的最小项为i B ,即12min{,,...,}i i i n B a a a ++=;i i i d A B =-(1,2,3,...,1)i n =-;(1)对于数列:3、4、7、1,求出相应的1d 、2d 、3d ;(2)若n S 是数列{}n a 的前n 项和,且对任意*n N ∈,有21(1)33n n S a n λλ-=-++,其 中λ为实数,0λ>且13λ≠,1λ≠; ① 设23(1)n n b a λ=+-,证明数列{}n b 是等比数列;② 若数列{}n a 对应的i d 满足1i i d d +>对任意的正整数1,2,3,...,2i n =-恒成立,求实数λ的取值范围;23.(文)某地拟建造一座大型体育馆,其设计方案侧面的外轮廓如图所示:曲线AB 是以点E 为圆心的圆的一部分,其中(0,)E t (025)t <≤;曲线BC 是抛物线250y ax =-+(0)a >的一部分,CD AD ⊥,且CD 恰好等于圆E 半径,假定拟建体育馆高50OB =米;(1)若20t =,149a =,求CD 、AD 的长度; (2)若要求体育馆侧面的最大宽度DF 不超过75米,求a 的取值范围;(3)若125a =,求AD 的最大值;(理)已知直线1l 、2l 与曲线22:1W mx ny +=(0,0)m n >>分别相交于点A 、B 和C 、D ,我们将四边形ABCD 称为曲线W 的内接四边形;(1)若直线1:l y x a =+和2:l y x b =+将单位圆22:1W x y +=分成长度相等的四段弧,求22a b +的值;(2)若直线1:210l y x =-,2:210l y x =+与圆22:4W x y +=分别交于点A 、B 和C 、D ,求证:四边形ABCD 为正方形;(3)求证:椭圆22:12x W y +=的内接正方形有且只有一个,并求该内接正方形的面积;。
2017年上海市徐汇区中考数学一模试卷一、选择题:(本大题共6题,每题4分,满分24分)【下列各题的四个选项中,有且只有一个选项是正确的】1.(4分)如果2x=3y (x 、y 均不为0),那么下列各式中正确的是( )A .x y =23B .x x−y =3C .x +y y =53D .x x +y =252.(4分)如果一斜坡的坡比是1:2.4,那么该斜坡坡角的余弦值是( )A .125B .512C .513D .12133.(4分)如果将某一抛物线向右平移2个单位,再向上平移2各单位后所得新抛物线的表达式是y=2(x ﹣1)2,那么原抛物线的表达式是( )A .y=2(x ﹣3)2﹣2B .y=2(x ﹣3)2+2C .y=2(x +1)2﹣2D .y=2(x +1)2+24.(4分)在△ABC 中,点D 、E 分别在边AB 、AC 上,联结DE ,那么下列条件中不能判断△ADE 和△ABC 相似的是( )A .DE ∥BCB .∠AED=∠BC .AE :AD=AB :ACD .AE :DE=AC :BC5.(4分)一飞机从距离地面3000米的高空测得一地面监测点的俯角是60°,那么此时飞机与监测点的距离是( )A .6000米B .1000 3米C .2000 3米D .3000 3米6.(4分)已知二次函数y=﹣2x 2+4x ﹣3,如果y 随x 的增大而减小,那么x 的取值范围是( )A .x ≥1B .x ≥0C .x ≥﹣1D .x ≥﹣2二、填空题:(本大题共12题,每题4分,满分48分)7.(4分)已知线段a=9,c=4,如果线段b 是a 、c 的比例中项,那么b= .8.(4分)点C 是线段AB 延长线的点,已知AB →=a →,CB →=b →,那么AC →= .9.(4分)如图,AB ∥CD ∥EF ,如果AC=2,AE=5.5,DF=3,那么BD= .10.(4分)如果两个相似三角形的对应中线比是3:2,那么它们的周长比是.11.(4分)如果点P是线段AB的黄金分割点(AP>BP),那么请你写出一个关于线段AP、BP、AB之间的数量关系的等式,你的结论是:.12.(4分)在Rt△ABC中,∠ACB=90°,CD⊥AB,垂足为D,如果CD=4,BD=3,那么∠A的正弦值是.13.(4分)正方形ABCD的边长为3,点E在边CD的延长线上,连接BE交边AD于F,如果DE=1,那么AF=.14.(4分)已知抛物线y=ax2﹣4ax与x轴交于点A、B,顶点C的纵坐标是﹣2,那么a=.15.(4分)如图,矩形ABCD的四个顶点正好落在四条平行线上,并且从上到下每两条平行线间的距离都是1,如果AB:BC=3:4,那么AB的长是.16.(4分)在梯形ABCD中,AD∥BC,AC、BD相交于O,如果△BOC、△ACD 的面积分别是9和4,那么梯形ABCD的面积是.17.(4分)在Rt△ABC中,∠ABC=90°,AC=5,BC=3,CD是∠ACB的平分线,将△ABC沿直线CD翻折,点A落在点E处,那么AE的长是.18.(4分)如图,在▱ABCD中,AB:BC=2:3,点E、F分别在边CD、BC上,点E是边CD的中点,CF=2BF,∠A=120°,过点A分别作AP⊥BE、AQ⊥DF,垂足分别为P、Q,那么APAQ的值为.三、解答题:(本大题共7题,第19-22题每题10分,第23、24题每题12分,第25题14分,满分78分)19.(10分)计算:2sin60°﹣|cot30°﹣cot45°|+tan 45°cos 30°−1.20.(10分)将抛物线y=x 2﹣4x +4沿y 轴向下平移9个单位,所得新抛物线与x 轴正半轴交于点B ,与y 轴交于点C ,顶点为D .求:(1)点B 、C 、D 坐标;(2)△BCD 的面积.21.(10分)如图,已知梯形ABCD 中,AD ∥BC ,AB=4,AD=3,AB ⊥AC ,AC 平分∠DCB ,过点DE ∥AB ,分别交AC 、BC 于F 、E ,设AB →=a →,BC →=b →.求:(1)向量DC →(用向量a →、b →表示);(2)tanB 的值.22.(10分)如图,一艘海轮位于小岛C 的南偏东60°方向,距离小岛120海里的A 处,该海轮从A 处正北方向航行一段距离后,到达位于小岛C 北偏东45°方向的B 处.(1)求该海轮从A 处到B 处的航行过程中与小岛C 之间的最短距离(记过保留根号);(2)如果该海轮以每小时20海里的速度从B 处沿BC 方向行驶,求它从B 处到达小岛C 的航行时间(结果精确到0.1小时).(参考数据: 2=1.41, 3=1.73)23.(12分)如图,已知△ABC中,点D在边BC上,∠DAB=∠B,点E在边AC 上,满足AE•CD=AD•CE.(1)求证:DE∥AB;(2)如果点F是DE延长线上一点,且BD是DF和AB的比例中项,联结AF.求证:DF=AF.24.(12分)如图,已知抛物线y=﹣x2+bx+3与x轴相交于点A和点B(点A在点B的左侧),与y轴交于点C,且OB=OC,点D是抛物线的顶点,直线AC和BD交于点E.(1)求点D的坐标;(2)联结CD、BC,求∠DBC余切值;(3)设点M在线段CA延长线,如果△EBM和△ABC相似,求点M的坐标.25.(14分)如图,已知△ABC中,AB=AC=3,BC=2,点D是边AB上的动点,过点D作DE∥BC,交边AC于点E,点Q是线段DE上的点,且QE=2DQ,连接BQ并延长,交边AC于点P.设BD=x,AP=y.(1)求y关于x的函数解析式及定义域;(2)当△PQE是等腰三角形时,求BD的长;(3)连接CQ,当∠CQB和∠CBD互补时,求x的值.2017年上海市徐汇区中考数学一模试卷参考答案与试题解析一、选择题:(本大题共6题,每题4分,满分24分)【下列各题的四个选项中,有且只有一个选项是正确的】1.(4分)(2017•徐汇区一模)如果2x=3y (x 、y 均不为0),那么下列各式中正确的是( )A .x y =23B .x x−y =3C .x +y y =53D .x x +y =25【分析】根据比例的性质逐项判断,判断出各式中正确的是哪个即可.【解答】解:∵2x=3y ,∴x y =32, ∴选项A 不正确;∵2x=3y ,∴x y =32, ∴x x−y =33−2=3, ∴选项B 正确;∵2x=3y ,∴x y =32, ∴x +y y =3+22=52, ∴选项C 不正确;∵2x=3y ,∴x y =32, ∴x x +y =33+2=35,∴∴选项D 不正确.故选:B .【点评】此题主要考查了比例的性质和应用,要熟练掌握.2.(4分)(2017•徐汇区一模)如果一斜坡的坡比是1:2.4,那么该斜坡坡角的余弦值是( )A .125B .512C .513D .1213【分析】根据坡比=坡角的正切值,设竖直直角边为5x ,水平直角边为12x ,由勾股定理求出斜边,进而可求出斜坡坡角的余弦值.【解答】解:如图所示:由题意,得:tanα=i=12.4=512, 设竖直直角边为5x ,水平直角边为12x ,则斜边= 25x 2+144x 2=13x ,则cosα=12x 13x =1213. 故选D .【点评】此题主要考查坡比、坡角的关系以及勾股定理;熟记坡角的正切等于坡比是解决问题的关键.3.(4分)(2017•徐汇区一模)如果将某一抛物线向右平移2个单位,再向上平移2各单位后所得新抛物线的表达式是y=2(x ﹣1)2,那么原抛物线的表达式是( )A .y=2(x ﹣3)2﹣2B .y=2(x ﹣3)2+2C .y=2(x +1)2﹣2D .y=2(x +1)2+2【分析】根据图象反向平移,可得原函数图象,根据图象左加右减,上加下减,可得答案.【解答】解:一条抛物线向右平移2个单位,再向上平移2个单位后所得抛物线的表达式为y=2(x﹣1)2,抛物线的表达式为y=2(x﹣1)2,左移2个单位,下移2个单位得原函数解析式y=2(x+1)2﹣2,故选:C.【点评】本题考查了二次函数图象与几何变换,利用了图象左加右减,上加下减的规律.4.(4分)(2017•徐汇区一模)在△ABC中,点D、E分别在边AB、AC上,联结DE,那么下列条件中不能判断△ADE和△ABC相似的是()A.DE∥BC B.∠AED=∠B C.AE:AD=AB:AC D.AE:DE=AC:BC【分析】根据题意画出图形,再由相似三角形的判定定理进行解答即可.【解答】解:如图,A、∵DE∥BC,∴△ADE∽△ABC,故本选项错误;B、∵∠AED=∠B,∠A=∠A,∴△ADE∽△ACB,故本选项错误;C、∵AE:AD=AB:AC,∠A=∠A,∴△ADE∽△ACB,故本选项错误;D、AE:DE=AC:BC不能使△ADE和△ABC相似,故本选项正确.故选D.【点评】此题考查了相似三角形的判定,属于基础题,关键是掌握相似三角形的几种判定定理.5.(4分)(2017•徐汇区一模)一飞机从距离地面3000米的高空测得一地面监测点的俯角是60°,那么此时飞机与监测点的距离是()A.6000米B.10003米C.20003米D.30003米【分析】根据题意可构造直角三角形,利用所给角的正弦函数即可求解.【解答】解:如图所示:由题意得,∠CAB=60°,BC=3000米,在Rt△ABC中,∵sin∠A=BC AC,∴AC=BCsinA =32=20003米.故选C.【点评】本题考查了解直角三角形的应用,解答本题的关键是借助俯角构造直角三角形,并结合三角函数解直角三角形.6.(4分)(2017•徐汇区一模)已知二次函数y=﹣2x2+4x﹣3,如果y随x的增大而减小,那么x的取值范围是()A.x≥1 B.x≥0 C.x≥﹣1 D.x≥﹣2【分析】把抛物线化为顶点式可求得开口方向及对称轴,再利用增减性可得到关于x的不等式,可求得答案.【解答】解:∵y=﹣2x2+4x﹣3=﹣2(x﹣1)2﹣1,∴抛物线开口向下,对称轴为x=1,∴当x≥1时,y随x的增大而减小,故选A.【点评】本题主要考查二次函数的性质,掌握二次函数的顶点式是解题的关键,即在y=a(x﹣h)2+k中,对称轴为x=h,顶点坐标为(h,k).二、填空题:(本大题共12题,每题4分,满分48分)7.(4分)(2017•徐汇区一模)已知线段a=9,c=4,如果线段b 是a 、c 的比例中项,那么b= 6 .【分析】根据比例中项的定义,若b 是a ,c 的比例中项,即b 2=ac .即可求解.【解答】解:若b 是a 、c 的比例中项,即b 2=ac .则b= ac = 9×4=6.故答案为:6.【点评】本题主要考查了线段的比例中项的定义,注意线段不能为负.8.(4分)(2017•徐汇区一模)点C 是线段AB 延长线的点,已知AB →=a →,CB →=b →,那么AC →= a →﹣b → .【分析】根据向量AB →、CB →的方向相反进行解答.【解答】解:如图,向量AB →、CB →的方向相反,且AB →=a →,CB →=b →,所以AC →=AB →+BC →=a →﹣b →.故答案是:a →﹣b →.【点评】本题考查了平面向量,注意向量既有大小,又有方向.9.(4分)(2017•徐汇区一模)如图,AB ∥CD ∥EF ,如果AC=2,AE=5.5,DF=3,那么BD= 127 .【分析】根据平行线分线段成比例定理即可得到结论.【解答】解:∵AC=2,AE=5.5,∴CE=3.5, AB ∥CD ∥EF ,∴AC CE =BD DF, ∴BD=127,故答案为:127.【点评】本题考查平行线分线段成比例定理,用到的知识点是平行线分线段成比例定理,关键是找准对应关系,列出比例式.10.(4分)(2017•徐汇区一模)如果两个相似三角形的对应中线比是 3:2,那么它们的周长比是 3:2 .【分析】直接根据相似三角形的性质即可得出结论. 【解答】解:∵两个相似三角形的对应中线比是 3:2, ∴它们的周长比为 3:2. 故答案为: 3:2.【点评】本题考查的是相似三角形的性质,熟知相似三角形的对应线段(对应中线、对应角平分线、对应边上的高)的比等于相似比是解答此题的关键.11.(4分)(2017•徐汇区一模)如果点P 是线段AB 的黄金分割点(AP >BP ),那么请你写出一个关于线段AP 、BP 、AB 之间的数量关系的等式,你的结论是: AP 2=BP•AB .【分析】根据黄金分割的概念解答即可. 【解答】解:∵点P 是线段AB 的黄金分割点, ∴AP 2=BP•AB ,故答案为:AP 2=BP•AB .【点评】本题考查的是黄金分割的概念和性质,把线段AB 分成两条线段AC 和BC (AC >BC ),且使AC 是AB 和BC 的比例中项,叫做把线段AB 黄金分割.12.(4分)(2017•徐汇区一模)在Rt △ABC 中,∠ACB=90°,CD ⊥AB ,垂足为D ,如果CD=4,BD=3,那么∠A 的正弦值是34.【分析】求出∠A=∠BCD ,根据锐角三角函数的定义求出tan ∠BCD 即可.【解答】解:∵CD ⊥AB , ∴∠CDB=90°, ∵∠ACB=90°,∴∠A +∠B=90°,∠BCD +∠B=90°, ∴∠A=∠BCD ,∴tanA=tan ∠BCD=BD CD =34,故答案为:34.【点评】本题考查了锐角三角函数的定义,能熟记锐角三角函数的定义是解此题的关键,注意:在Rt △ACB 中,∠ACB=90°,则sinA=BC AB,cosA=AC AB,tanA=BC AC.13.(4分)(2017•徐汇区一模)正方形ABCD 的边长为3,点E 在边CD 的延长线上,连接BE 交边AD 于F ,如果DE=1,那么AF=94 .【分析】由四边形ABCD 为正方形即可得出∠A=∠ADC=90°、AB ∥CD ,根据平行线的性质以及邻补角即可得出∠EDF=∠A 、∠ABF=∠DEF ,从而得出△ABF ∽△DEF ,再根据相似三角形的性质即可得出AF DF =ABDE=3,结合AF +DF=AD=3即可求出AF 的长度,此题得解.【解答】解:依照题意画出图形,如图所示. ∵四边形ABCD 为正方形, ∴∠A=∠ADC=90°,AB ∥CD ,∴∠EDF=180°﹣∠ADC=90°=∠A ,∠ABF=∠DEF , ∴△ABF ∽△DEF ,∴AF DF =ABDE=3,∵AF +DF=AD=3,∴AF=34AD=94.故答案为:94.【点评】本题考查了相似三角形的判定与性质、正方形的性质、平行线的性质以及邻补角,通过两组相等的角证出△ABF ∽△DEF 是解题的关键.14.(4分)(2017•徐汇区一模)已知抛物线y=ax 2﹣4ax 与x 轴交于点A 、B ,顶点C 的纵坐标是﹣2,那么a=12.【分析】首先利用配方法确定函数的顶点坐标,根据顶点C 的纵坐标是﹣2,即可列方程求得a 的值.【解答】解:y=ax 2﹣4ax=a (x 2﹣4x +4)﹣4a=a (x ﹣2)2﹣4a , 则顶点坐标是(2,﹣4a ), 则﹣4a=﹣2, 解得a=12.故答案是:12.【点评】本题考查了配方法确定函数的顶点坐标,正确进行配方是关键.15.(4分)(2017•徐汇区一模)如图,矩形ABCD 的四个顶点正好落在四条平行线上,并且从上到下每两条平行线间的距离都是1,如果AB :BC=3:4,那么AB的长是 734.【分析】作辅助线,构建相似三角形,证明△ABE ∽△BCF ,列比例式求BE 的长,利用勾股定理可以求AB 的长.【解答】解:过A 作AE ⊥BM 于E ,过C 作CF ⊥BM 于F ,则CF=1,AE=2, ∴∠AEB=∠BFC=90°, ∴∠ABE +∠BAE=90°, ∵四边形ABCD 是矩形, ∴∠ABC=90°, ∴∠ABE +∠CBE=90°, ∴∠BAE=∠CBE , ∴△ABE ∽△BCF ,∴AB BC =BE CF , ∴34=BE 1, ∴BE=34,在Rt △ABE 中,AB= 22+(34)2=734, 故答案为: 734.【点评】本题考查了矩形的性质、相似三角形的判定与性质、两平行线的距离以及勾股定理;熟练掌握矩形的性质,证明三角形相似是解决问题的关键.16.(4分)(2017•徐汇区一模)在梯形ABCD 中,AD ∥BC ,AC 、BD 相交于O ,如果△BOC 、△ACD 的面积分别是9和4,那么梯形ABCD 的面积是 16 . 【分析】如图,设△AOD 的面积为x ,则△ODC 的面积为4﹣x .由AD ∥BC ,推出△AOD ∽△COB ,可得S △AOD S △BOC =(AO OC )2,因为S △AOD S △ODC =OA OC ,得到x 9=(x4−x )2,解方程即可.【解答】解:如图,设△AOD 的面积为x ,则△ODC 的面积为4﹣x .∵AD ∥BC ,∴△AOD ∽△COB ,∴S △AOD S △BOC =(AO OC )2, ∵S △AOD S △ODC =OA OC , ∴x 9=(x 4−x )2, 解得x=1或16(舍弃), ∵S △ABD =S △ADC =1, ∴S △AOB =S △DOC =3,∴梯形ABCD 的面积=1+3+3+9=16, 故答案为16.【点评】本题考查相似三角形的判定和性质、梯形的性质等知识,解题的关键是熟练掌握相似三角形的性质,学会用方程的思想思考问题,属于中考常考题型.17.(4分)(2017•徐汇区一模)在Rt △ABC 中,∠ABC=90°,AC=5,BC=3,CD 是∠ACB 的平分线,将△ABC 沿直线CD 翻折,点A 落在点E 处,那么AE 的长是 2 5 .【分析】由勾股定理求AB=4,再根据旋转的性持和角平分线可知:点A 的对应点E 在直线CB 上,BE=2,利用勾股定理可求AE 的长. 【解答】解:∵CD 是∠ACB 的平分线,∴将△ABC沿直线CD翻折,点A的对应点E在直线CB上,∵∠ABC=90°,AC=5,BC=3,∴AB=4,由旋转得:EC=AC=5,∴BE=5﹣3=2,在Rt△ABE中,由勾股定理得:AE=AB2+BE2=42+22=25,故答案为:25.【点评】本题考查了翻折变换的性质、勾股定理,明确折叠前后的两个角相等,两边相等;在图形中确定直角三角形,如果知道了一个直角三角形的两条边,可以利用勾股定理求第三边.18.(4分)(2017•徐汇区一模)如图,在▱ABCD中,AB:BC=2:3,点E、F分别在边CD、BC上,点E是边CD的中点,CF=2BF,∠A=120°,过点A分别作AP⊥BE、AQ⊥DF,垂足分别为P、Q,那么APAQ的值为23913.【分析】如图,连接AE、AF,过点A分别作AP⊥BE、AQ⊥DF,垂足分别为P、Q,作DH⊥BC于H,EG⊥BC于G,设AB=2a.BC=3a.根据12•AP•BE=12•DF•AQ,利用勾股定理求出BE、DF即可解决问题.【解答】解:如图,连接AE、AF,过点A分别作AP⊥BE、AQ⊥DF,垂足分别为P、Q,作DH⊥BC于H,EG⊥BC于G,设AB=2a.BC=3a.∵四边形ABCD 是平行四边形,∴AB ∥CD ,AD ∥BC ,∠BAD=∠BCD=120°,∴S △ABE =S △ADF =12S 平行四边形ABCD ,在Rt △CDH 中,∵∠H=90°,CD=AB=2a ,∠DCH=60°, ∴CH=a ,DH= 3a ,在Rt △DFH 中,DF= FH 2+DH 2= (3a )2+( 3a )2=2 3a , 在Rt △ECG 中,∵CE=a ,∴CG=12a ,GE= 32a ,在Rt △BEG 中,BE= BG 2+EG 2= (72a )+(32a )= 13a ,∴12•AP•BE=12•DF•AQ , ∴AP AQ = 3 13=2 3913, 故答案为2 3913.【点评】本题考查平行四边形的性质、勾股定理,三角形的面积等知识,解题的关键是利用面积法求线段的长,学会添加常用辅助线,学会利用参数解决问题,属于中考常考题型.三、解答题:(本大题共7题,第19-22题每题10分,第23、24题每题12分,第25题14分,满分78分)19.(10分)(2017•徐汇区一模)计算:2sin60°﹣|cot30°﹣cot45°|+tan 45°cos 30°−1.【分析】首先根据特殊角的三角函数进行代入,然后再根据绝对值的性质计算绝对值,然后合并同类二次根式即可.【解答】解:原式=2× 32﹣| 3−1|+ 3−1,= 3− 3+1+3−2,=﹣2 3﹣3.【点评】此题主要考查了实数运算,正确记忆特殊角的三角函数值是解题关键.20.(10分)(2017•徐汇区一模)将抛物线y=x 2﹣4x +4沿y 轴向下平移9个单位,所得新抛物线与x 轴正半轴交于点B ,与y 轴交于点C ,顶点为D .求:(1)点B 、C 、D 坐标;(2)△BCD 的面积.【分析】(1)首先求得抛物线y=x 2﹣4x +4沿y 轴向下平移9个单位后解析式,利用配方法求得D 的坐标,令y=0求得C 的横坐标,令y=0,解方程求得B 的横坐标;(2)过D 作DA ⊥y 轴于点A ,然后根据S △BCD =S 梯形AOBD ﹣S △BOC ﹣S △ADC 求解. 【解答】解:(1)抛物线y=x 2﹣4x +4沿y 轴向下平移9个单位后解析式是y=x 2﹣4x +4﹣9,即y=x 2﹣4x ﹣5. y=x 2﹣4x ﹣5=(x ﹣2)2﹣9, 则D 的坐标是(2,﹣9).在y=x 2﹣4x ﹣5中令x=0,则y=﹣5, 则C 的坐标是(0,﹣5), 令y=0,则x 2﹣4x ﹣5=0, 解得x=﹣1或5, 则B 的坐标是(5,0); (2)过D 作DA ⊥y 轴于点A .则S △BCD =S 梯形AOBD ﹣S △BOC ﹣S △ADC =12(2+5)×9﹣12×2×4﹣12×5×5=15.【点评】本题考查了配方法确定二次函数的顶点坐标,以及函数与x 轴、y 轴的交点的求法,正确求得抛物线y=x 2﹣4x +4沿y 轴向下平移9个单位后解析式是关键.21.(10分)(2017•徐汇区一模)如图,已知梯形ABCD 中,AD ∥BC ,AB=4,AD=3,AB ⊥AC ,AC 平分∠DCB ,过点DE ∥AB ,分别交AC 、BC 于F 、E ,设AB →=a →,BC →=b →.求: (1)向量DC →(用向量a →、b →表示); (2)tanB 的值.【分析】(1)首先证明四边形ABED 是平行四边形,推出DE=AB ,推出DE →=AB →=a →,EC →=12BC →=12b →,DC →=a →+12b →.(2)由△DFC ∽△BAC ,推出DC BC =CF CA =12,求出BC ,在Rt △BAC 中,∠BAC=90°,根据AC= BC 2−AB 2= 62−42=2 5,由tanB=ACBC,即可解决问题.【解答】解:∵AD ∥BC , ∴∠DAC=∠ACB , ∴AC 平分∠DCB , ∴∠DCA=∠ACB , ∴∠DAC=∠DCA , ∴AD=DC ,∵DE ∥AB ,AB ⊥AC , ∴DE ⊥AC , ∴AF=CF , ∴BE=CE ,∵AD ∥BC ,DE ∥AB ,∴四边形ABED 是平行四边形,∴DE=AB ,∴DE →=AB →=a →,EC →=12BC →=12b →,∴DC →=a →+12b →.(2)∵∠DCF=∠ACB ,∠DFC=∠BAC=90°, ∴△DFC ∽△BAC ,∴DC BC =CF CA =12, ∵CD=AD=3,∴BC=6, 在Rt △BAC 中,∠BAC=90°, ∴AC= BC 2−AB 2= 62−42=2 5,∴tanB=AC BC =2 54= 52.【点评】本题考查平面向量、梯形、解直角三角形、平行四边形的判定和性质、勾股定理等知识,解题的关键是灵活运用所学知识,属于基础题.22.(10分)(2017•徐汇区一模)如图,一艘海轮位于小岛C 的南偏东60°方向,距离小岛120海里的A 处,该海轮从A 处正北方向航行一段距离后,到达位于小岛C 北偏东45°方向的B 处.(1)求该海轮从A 处到B 处的航行过程中与小岛C 之间的最短距离(记过保留根号);(2)如果该海轮以每小时20海里的速度从B 处沿BC 方向行驶,求它从B 处到达小岛C 的航行时间(结果精确到0.1小时).(参考数据: 2=1.41, 3=1.73)【分析】(1)首先过点C 作CD ⊥AB 于D ,构建直角△ACD ,通过解该直角三角形得到CD 的长度即可;(2)通过解直角△BCD来求BC的长度.【解答】解:(1)如图,过点C作CD⊥AB于D,由题意,得∠ACD=30°.在直角△ACD中,∠ADC=90°,∴cos∠ACD=AD AC,∴CD=AC•cos30°=120×32=603(海里);(2)在直角△BCD中,∠BDC=90°,∠DCA=45°,∴cos∠BCD=CD BC,∴BC=CDcos=32=606≈60×2.44=146.4(海里),∴146.4÷20=7.32≈7.3(小时).答:(1)求该海轮从A处到B处的航行过程中与小岛C之间的最短距离是603海里;(2)如果该海轮以每小时20海里的速度从B处沿BC方向行驶,求它从B处到达小岛C的航行时间约为7.3小时.【点评】此题考查了方向角问题.此题难度适中,注意将方向角问题转化为解直角三角形的知识求解是解此题的关键,注意数形结合思想的应用.23.(12分)(2017•徐汇区一模)如图,已知△ABC中,点D在边BC上,∠DAB=∠B,点E在边AC上,满足AE•CD=AD•CE.(1)求证:DE∥AB;(2)如果点F是DE延长线上一点,且BD是DF和AB的比例中项,联结AF.求证:DF=AF.【分析】(1)根据已知条件得到AE CE =AD CD ,根据等腰三角形的判定定理得到AD=BD ,等量代换即可得到结论; (2)由BD 是DF 和AB 的比例中项,得到BD 2=DF•AB ,等量代换得到AD 2=DF•AB ,推出AD DF =AB AD ,根据相似三角形的性质得到AF DF =AD BD=1,于是得到结论. 【解答】证明:(1)∵AE•CD=AD•CE ,∴AE CE =AD CD, ∵∠DAB=∠B ,∴AD=BD ,∴AE CE =BD CD, ∴DE ∥AB ;(2)∵BD 是DF 和AB 的比例中项,∴BD 2=DF•AB ,∵AD=BD ,∴AD 2=DF•AB ,∴AD DF =AB AD, ∵DE ∥AB ,∴∠ADF=∠BAD ,∴△ADF ∽△DBA ,∴AF DF =AD BD=1, ∴DF=AF .【点评】本题考查了相似三角形的判定和性质,熟练掌握相似三角形的判定和性质是解题的关键.24.(12分)(2017•徐汇区一模)如图,已知抛物线y=﹣x2+bx+3与x轴相交于点A和点B(点A在点B的左侧),与y轴交于点C,且OB=OC,点D是抛物线的顶点,直线AC和BD交于点E.(1)求点D的坐标;(2)联结CD、BC,求∠DBC余切值;(3)设点M在线段CA延长线,如果△EBM和△ABC相似,求点M的坐标.【分析】(1)根据题意求出点C的坐标、点B的坐标,利用待定系数法求出抛物线的解析式,根据二次函数的性质求出顶点坐标;(2)根据等腰直角三角形的性质得到∠DCB=90°,根据余切的定义计算即可;(3)运用待定系数法求出直线CA的解析式,设点M的坐标为(x,3x+3),根据相似三角形的性质得到∠ACB=∠BME,根据等腰三角形的性质得到BM=BC,根据勾股定理列出方程,解方程即可.【解答】解:(1)∵已知抛物线y=﹣x2+bx+3与y轴交于点C,∴点C的坐标为:(0,3),∵OB=OC,∴点B的坐标为:(3,0),∴﹣9+3b+3=0,解得,b=2,∴抛物线的解析式为:y=﹣x2+2x+3,y=﹣x2+2x+3=﹣(x﹣1)2+4,∴顶点D的坐标为(1,4);(2)如图1,作DH⊥y轴于H,则CH=DH=1,∴∠HCD=∠HDC=45°,∵OB=OC ,∴∠OCB=∠OBC=45°,∴∠DCB=90°,∴cot ∠DBC=BC DC = 2 2=3; (3)﹣x 2+2x +3=0,解得,x 1=﹣1,x 2=3,∴点A 的坐标为:(﹣1,0),∴OA OC =13,又DC BC =13, ∴OA OC =DC BC, ∴Rt △AOC ∽Rt △DCB ,∴∠ACO=∠DBC ,∵∠ACB=∠ACO +45°=∠DBC +∠E ,∴∠E=45°,∵△EBM 和△ABC 相似,∠E=∠ABC=45°,∴∠ACB=∠BME ,∴BM=BC ,设直线CA 的解析式为:y=kx +b ,则 −k +b =0b =3, 解得, k =−3b =3, 则直线CA 的解析式为:y=3x +3,设点M 的坐标为(x ,3x +3),则(x ﹣3)2+(3x +3)2=18,解得,x 1=0(舍去),x 2=﹣65, x 2=﹣65时,y=﹣35, ∴点M 的坐标为(﹣65,﹣35).【点评】本题考查的是二次函数的综合运用、相似三角形的判定和性质,掌握二次函数的性质、待定系数法求函数解析式的一般步骤是解题的关键.25.(14分)(2017•徐汇区一模)如图,已知△ABC中,AB=AC=3,BC=2,点D 是边AB上的动点,过点D作DE∥BC,交边AC于点E,点Q是线段DE上的点,且QE=2DQ,连接BQ并延长,交边AC于点P.设BD=x,AP=y.(1)求y关于x的函数解析式及定义域;(2)当△PQE是等腰三角形时,求BD的长;(3)连接CQ,当∠CQB和∠CBD互补时,求x的值.【分析】(1)过点D作DF∥AC,交BP于F,根据平行线分线段成比例定理,可得EC=BD=x,PE=3﹣x﹣y,DF=3−x−y2,进而根据DF∥AC,求得y=9−3x2x+3,定义域为:0<x<3;(2)当△PEQ为等腰三角形时,△PBC也为等腰三角形,分三种情况讨论:①当PB=BC 时,②当PC=BC=2时,③当PC=PB 时,分别求得BD 的长即可;(3)先根据已知条件判定四边形BCED 是等腰梯形,判定△BDQ ∽△QEC ,得出BD QE =DQ EC ,即2DQ 2=x 2,再根据DE ∥BC ,得出DE BC =AD AB ,即2 2=3−x 3,求得x 的值即可.【解答】解:(1)如图所示,过点D 作DF ∥AC ,交BP 于F ,则根据QE=2DQ ,可得DF PE =DQ QE =12, 又∵DE ∥BC , ∴EC BD =AC AB=1, ∴EC=BD=x ,PE=3﹣x ﹣y ,DF=3−x−y2,∵DF ∥AC , ∴DF AP =BD AB ,即3−x−y 2y =x 3, ∴y=9−3x 2x +3,定义域为:0<x <3;(2)∵DE ∥BC ,∴△PEQ ∽△PBC ,∴当△PEQ 为等腰三角形时,△PBC 也为等腰三角形,①当PB=BC 时,△ABC ∽△BPC ,∴BC 2=CP•AC ,即4=3(3﹣y ),解得y=53, ∴9−3x 2x +3=53, 解得x=1219=BD ; ②当PC=BC=2时,AP=y=1,∴9−3x2x +3=1, 解得x=65=BD ; ③当PC=PB 时,点P 与点A 重合,不合题意;(3)∵DE ∥BC ,∴∠BDQ +∠CBD=180°,又∵∠CQB 和∠CBD 互补,∴∠CQB +∠CBD=180°,∴∠CQB=∠BDQ ,∵BD=CE ,∴四边形BCED 是等腰梯形,∴∠BDE=∠CED ,∴∠CQB=∠CED ,又∵∠DQB +∠CQB=∠ECQ +∠CED ,∴∠DQB=∠ECQ ,∴△BDQ ∽△QEC ,∴BD QE =DQ EC,即2DQ 2=x 2, ∴DQ= 2,DE= 2, ∵DE ∥BC ,∴DE BC =AD AB ,即2 2=3−x 3, 解得x=54 2−2473.【点评】本题属于三角形综合题,主要考查了相似三角形的判定与性质,等腰梯形的判定与性质的综合应用,解决问题的关键是作辅助线构造相似三角形,运用相似三角形的对应边成比例进行求解.在判定两个三角形相似时,应注意利用图形中已有的公共角、公共边等隐含条件,以充分发挥基本图形的作用.参与本试卷答题和审题的老师有:放飞梦想;wd1899;nhx600;ZJX;zhjh;Ldt;HJJ;王学峰;CJX;知足长乐;zjx111;曹先生;tcm123;弯弯的小河;gbl210;szl(排名不分先后)菁优网2017年3月14日。
上海市徐汇区2017届高三一模数学试卷
2016.12.21
一. 填空题(本大题共12题,1-6每题4分,7-12每题5分,共54分) 1. 25
lim
1
n n n →∞-=+
2. 已知抛物线C 的顶点在平面直角坐标系原点,焦点在x 轴上,若C 经过点(1,3)M ,则 其焦点到准线的距离为
3. 若线性方程组的增广矩阵为0201a b ⎛⎫ ⎪
⎝⎭,解为2
1
x y =⎧⎨=⎩,则a b += 4. 若复数z
满足:i z i ⋅=(i 是虚数单位),则||z =
5. 在6
22()x x
+
的二项展开式中第四项的系数是 (结果用数值表示) 6. 在长方体1111ABCD A B C D -中,若1AB BC ==
,1AA =1BD 与1CC 所成角的大小为
7. 若函数22,0
(),0
x
x f x x m x ⎧≤⎪=⎨-+>⎪⎩的值域为(,1]-∞,则实数m 的取值范围是
8. 如图,在△ABC 中,若3AB AC ==,1
cos 2
BAC ∠=,2DC BD =,则
AD BC ⋅=
9. 定义在R 上的偶函数()y f x =,当0x ≥时,2()lg(33)f x x x =-+,则()f x 在R 上 的零点个数为 个
10. 将6辆不同的小汽车和2辆不同的卡车驶入如图所示的10个车位中的某8个内,其中 2辆卡车必须停在A 与B 的位置,那么不同的停车位置安排共有 种(结果用数值 表示)
11. 已知数列{}n a 是首项为1,公差为2m 的等差数列,前n 项和为n S ,设2n
n n
S b n =
⋅ *()n N ∈,若数列{}n b 是递减数列,则实数m 的取值范围是
12. 若使集合2
{|(6)(4)0,}A x kx k x x Z =--->∈中的元素个数最少,则实数k 的取值 范围是
二. 选择题(本大题共4题,每题5分,共20分) 13. “4
x k π
π=+
()k Z ∈”是“tan 1x =”的( )条件
A. 充分不必要
B. 必要不充分
C. 充分必要
D. 既不充分也不必要
14. 若1-(i 是虚数单位)是关于x 的方程2
0x bx c ++=的一个复数根,则( )
A. 2b =,3c =
B. 2b =,1c =-
C. 2b =-,1c =-
D. 2b =-,3c = 15. 已知函数f (x )为R 上的单调函数,f -1(x )是它的反函数,点A (-1,3)和点B (1,1)均在
函数
f (x )的图像上,则不等式1|(2)|1x f -<的解集为( )
A. (1,1)-
B. (1,3)
C. 2(0,log 3)
D. 2(1,log 3)
16. 如图,两个椭圆
2
21259y x +=、2
2
1259
y x
+=内部重叠区域的边界记为曲线C ,P 是曲线 C 上的任意一点,给出下列三个判断:
(1)P 到1(4,0)F -、2(4,0)F 、1(0,4)E -、
2(0,4)E 四点的距离之和为定值
(2)曲线C 关于直线y x =、y x =-均对称 (3)曲线C 所围区域面积必小于36 上述判断中正确命题的个数为( )
A. 0个
B. 1个
C. 2个
D. 3个
三. 解答题(本大题共5题,共14+14+14+16+18=76分)
17. 已知PA ⊥平面ABC ,AC AB ⊥,2AP BC ==,30CBA ︒
∠=,D 是AB 的中点; (1)求PD 与平面PAC 所成角的大小;(结果用反三角函数值表示) (2)求△PDB 绕直线PA 旋转一周所构成的旋转体的体积;(结果保留π)
18. 已知函数2sin ()1
x x
f x x -=;
(1)当[0,
]2
x π
∈时,求()f x 的值域;
(2)已知△ABC 的内角,,A B C 的对边分别为,,a b c ,若()2
A
f =,4a =,5b c +=, 求△ABC 的面积;
19. 某创业团队拟生产A 、B 两种产品,根据市场预测,A 产品的利润与投资额成正比 (如图1),B 产品的利润与投资额的算术平方根成正比(如图2); (注:利润与投资额的单位均为万元) (1)分别将A 、B 两种产品的利润
f (x )、
g (x )表示为投资额x 的函数;
(2)该团队已筹集到10万元资金,并打算全部投入A 、B 两种产品生产,问:当B 产品 的投资额为多少万元时,生产A 、B 两种产品能获得最大利润,最大利润为多少?
20. 如图,双曲线2
2:13
x y Γ-=的左、右焦点1F 、2F ,过2F 作直线l 交y 轴于点Q ; (1)当直线l 平行于Γ的一条渐近线时,求点1F 到直线l 的距离;
(2)当直线l 的斜率为1时,在Γ的右支上是否存在点P ,满足110F P FQ ⋅=?,若存在, 求点P 的坐标,若不存在,说明理由;
(3)若直线l 与Γ交于不同两点A 、B ,且Γ上存在一点M ,满足40OA OB OM ++= (其中O 为坐标原点),求直线l 的方程;
21. 正数数列{}n a 、{}n b 满足:11a b ≥,且对一切2k ≥,k N *
∈,k a 是1k a -与1k b -的等
差中项,k b 是1k a -与1k b -的等比中项; (1)若22a =,21b =,求1a 、1b 的值;
(2)求证:{}n a 是等差数列的充要条件是n a 为常数数列;
(3)记||n n n c a b =-,当2n ≥,n N *
∈,指出2n c c +
+与1c 的大小关系并说明理由;
参考答案
一. 填空题 1. 2 2. 92 3. 2 4. 2 5. 160 6. 4
π
7. 01m <≤ 8. 3
2
- 9. 4 10. 40320 11. [0,1) 12. [3,2]--
二. 选择题
13. C 14. D 15. C 16. C
三. 解答题
17.(1)arctan (2)32
π;
18.(1);(2;
19.(1)1()4f x x =,()g x =
(2)对A 投资3.75万元,对B 投资6.25万元,可获得最大利润65
16
万元;
20.(1)2;(2)不存在;(3)2x =+;
21.(1)12a =12b =(2)略;(3)21n c c c ++<;。