整式的加减练习题
- 格式:doc
- 大小:106.27 KB
- 文档页数:4
…整式的加减专项练习100题1、3(a+5b)-2(b-a)2、3a-(2b-a)+b}3、2(2a2+9b)+3(-5a2-4b)4、(x3-2y3-3x2y)-(3x3-3y3-7x2y)《5、3x2-[7x-(4x-3)-2x2]6、<7、(2xy-y)-(-y+yx)7、5(a2b-3ab2)-2(a2b-7ab)…8、(-2ab+3a)-2(2a-b)+2ab9、(7m2n-5mn)-(4m2n-5mn){ 10、(5a2+2a-1)-4(3-8a+2a2).,11、-3x2y+3xy2+2x2y-2xy2;12、2(a-1)-(2a-3)+3.~13、-2(ab-3a2)-[2b2-(5ab+a2)+2ab]14、(x2-xy+y)-3(x2+xy-2y)&15、3x2-[7x-(4x-3)-2x2]$16、a2b-[2(a2b-2a2c)-(2bc+a2c)];17、-2y3+(3xy2-x2y)-2(xy2-y3).—18、2(2x-3y)-(3x+2y+1)19、-(3a-4ab)+[a-2(2a+2ab)].[20、5m-7n-8p+5n-9m-p;21、(5xy-7xy)-(xy-3xy);]22、3(-3a-2a)-[a-2(5a-4a+1)-3a]."23、3a-9a+5-(-7a+10a-5);24、-3ab-(2ab-ab)-(2ab+4ab).…25、(5a-3a+1)-(4a-3a);26、-2(ab-3a)-[2b-(5ab+a)+2ab]]27、(8xy-x2+y2)+(-y2+x2-8xy); 28、(2x2-21+3x)-4(x-x2+21);>29、3x2-[7x-(4x-3)-2x2].30、5a+(4b-3a)-(-3a+b);。
31、(3a2-3ab+2b2)+(a2+2ab-2b2);?32、2a2b+2ab2-[2(a2b-1)+2ab2+2].33、(2a-1+2a)-3(a-1+a);:34、2(x-xy)-3(2x-3xy)-2[x-(2x-xy+y)].35、-32ab+43a2b+ab+(-43a2b)-1 ·36、(8xy-x2+y2)+(-y2+x2-8xy);37、2x-(3x-2y+3)-(5y-2);38、-(3a+2b)+(4a-3b+1)-(2a-b-3)39、4x3-(-6x3)+(-9x3)~40、3-2xy+2yx2+6xy-4x2y41、 1-3(2ab+a)十[1-2(2a-3ab)].]42、 3x-[5x+(3x-2)];43、(3a2b-ab2)-(ab2+3a2b)44、()[] {}yxxyx--+--3233245、(-x2+5+4x3)+(-x3+5x-4)46、(5a2-2a+3)-(1-2a+a2)+3(-1+3a-a2).47、5(3a2b-ab2)-4(-ab2+3a2b).]48、4a2+2(3ab-2a2)-(7ab-1).49、21xy+(-41xy)-2xy2-(-3y2x)]50、5a2-[a2-(5a2-2a)-2(a2-3a)]51、5m-7n-8p+5n-9m+8p52、(5xy-7xy)-(xy-3xy)@53、 3xy-[2xy-3(2xy-xy)-xy]%5556、(a+4ab-4b)-3(a+b)-7(b-ab).—57、a+2a+(-2a)+(-3a)+3a58、5ab+(-4ab)+8ab-(-3ab)+(-ab)+4ab;59、(7y-3z )-(8y-5z );60、-3(2x 2-xy )+4(x 2+xy-6).61、(x 3+3x 2y-5xy 2+9y 3)+(-2y 3+2xy 2+x 2y-2x 3)-(4x 2y-x 3-3xy 2+7y 3)62、-3x 2y+2x 2y+3xy 2-2xy 2;】63、3(a 2-2ab )-2(-3ab+b 2);64、5abc-{2a 2b-[3abc-(4a 2b-ab 2]}.(65、5m 2-[m 2+(5m 2-2m )-2(m 2-3m )].^66、-[2m-3(m-n+1)-2]-1. 67、31a-( 21a-4b-6c)+3(-2c+2b)}68、 -5a-a-(-7a )+(-3a )69、xy-3xy+2yx-yx70、 4121a 2b+ 52ab 2;?71、3a-{2c-[6a-(c-b )+c+(a+8b-6)]}72、-3(xy-2x )-[y-(5xy-4x )+2xy];,73、化简、求值21x 2-2212- (x + y )2⎡⎤⎢⎥⎣⎦-23(-32x 2+31y 2),其中x =-2, y =-34(74、化简、求值21x -2(x -31y 2)+(-23x +31y 2),其中x =-2,y =-32.*75、x x x x x x 5)64(213223312323-++-⎪⎭⎫ ⎝⎛---其中x =-121;76、 化简,求值(4m+n )-[1-(m-4n )],m=52 n=-131|77、化简、求值2(a2b+2b3-ab3)+3a3-(2ba2-3ab2+3a3)-4b3,其中a=-3,b=2?78、化简,求值:(2x3-xyz)-2(x3-y3+xyz)+(xyz-2y3),其中x=1,y=2,z=-[79、化简,求值:5x-[3x-2(2x-3)+7x],其中x=-2.%80、若两个多项式的和是2x+xy+3y,一个加式是x-xy,求另一个加式.%81、若2a2-4ab+b2与一个多项式的差是-3a2+2ab-5b2,试求这个多项式."82、求5x2y-2x2y与-2xy2+4x2y的和.83、求3x2+x-5与4-x+7x2的差.;84、计算 5y+3x+5z2与12y+7x-3z2的和~85、计算8xy2+3x2y-2与-2x2y+5xy2-3的差—86、多项式-x2+3xy-21y与多项式M的差是-21x-xy+y,求多项式M#87、当x=-21,y=-3时,求代数式3(x-2xy)-[3x-2y+2(xy+y)]的值.%88、化简再求值5abc-{2a2b-[3abc-(4ab 2-a 2b )]-2ab 2},其中a=-2,b=3,c=-41(89、已知A=a 2-2ab+b 2,B=a 2+2ab+b 2(1)求A+B ; & (2)求41(B-A);90、小明同学做一道题,已知两个多项式A ,B ,计算A+B ,他误将A+B 看作A-B ,求得9x-2x+7,若B=x+3x-2,你能否帮助小明同学求得正确答案【91、已知:M=3x+2x-1,N=-x-2+3x ,求M-2N .'92、已知222244,5A x xy y B x xy y =-+=+-,求3A -B!93、已知A =x 2+xy +y 2,B =-3xy -x 2,求2A -3B .—94、已知2-a +(b +1)2=0,求5ab 2-[2a 2b -(4ab2-2a 2b )]的值.:化简求值:5abc-2ab+[3abc-2(4ab-ab )],其中a 、b 、c 满足|a-1|+|b-2|+c=0.*.96、已知a ,b ,z 满足:(1)已知|x-2|+(y+3)=0,(2)z 是最大的负整数,化简求值:2(xy+xyz )-3(xy-xyz )-4xy .:97、已知a+b=7,ab=10,求代数式(5ab+4a+7b)+(6a-3ab)-(4ab-3b)的值.】98、已知m+3mn=5,求5m-[+5m-(2m-mn)-7mn-5]的值@99、设A=2x-3xy+y+2x+2y,B=4x-6xy+2y-3x-y,若|x-2a|+(y-3)2=0,且B-2A=a,求a的值.>100、有两个多项式:A=2a2-4a+1,B=2(a2-2a)+3,当a取任意有理数时,请比较A与B的大小.-答案:1、3(a+5b )-2(b-a )=5a+13b2、3a-(2b-a )+b=4a-b .3、2(2a+9b )+3(-5a-4b )=—11a 2+6b 24、(x 3-2y 3-3x 2y )-(3x 3-3y 3-7x 2y )= -2x 3+y 3+4x 2y 5、3x-[7x-(4x-3)-2x] = 5x-3x-3 6、(2xy-y )-(-y+yx )= xy 7、5(a 2b-3ab 2)-2(a 2b-7ab ) = -a 2b+11ab、8、(-2ab+3a )-2(2a-b )+2ab= -2a+b 9、(7m 2n-5mn )-(4m 2n-5mn )= 3m 2n10、(5a 2+2a-1)-4(3-8a+2a 2)= -3a 2+34a-13 11、-3x 2y+3xy 2+2x 2y-2xy 2= -x 2y+xy 212、2(a-1)-(2a-3)+3.=413、-2(ab-3a 2)-[2b 2-(5ab+a 2)+2ab]= 7a 2+ab-2b 214、(x 2-xy+y )-3(x 2+xy-2y )= -2x 2-4xy+7y15、3x 2-[7x-(4x-3)-2x 2]=5x 2-3x-3~ 16、a 2b-[2(a 2b-2a 2c )-(2bc+a 2c )]= -a 2b+2bc+6a 2c 17、-2y 3+(3xy 2-x 2y )-2(xy 2-y 3)= xy 2-x 2y 18、2(2x-3y )-(3x+2y+1)=2x-8y-1 19、-(3a 2-4ab )+[a 2-2(2a+2ab )]=-2a 2-4a 20、5m-7n-8p+5n-9m-p = -4m-2n-9p 21、(5x 2y-7xy 2)-(xy 2-3x 2y )=4xy 2-4x 2y 22、3(-3a 2-2a )-[a 2-2(5a-4a 2+1)-3a]=-18a 2+7a+2 23、3a-9a+5-(-7a+10a-5)=10a-19a+1024、-3a 2b-(2ab 2-a 2b )-(2a 2b+4ab 2)= -4a 2b-64ab 225、(5a-3a 2+1)-(4a 3-3a 2)=5a-4a 2+126、-2(ab-3a )-[2b-(5ab+a )+2ab]=7a 2+ab-2b 227、(8xy -x 2+y 2)+(-y 2+x 2-8xy )=0 28、(2x 2-21+3x )-4(x -x 2+21) = 6x 2-x-2529、3x 2-[7x -(4x -3)-2x 2]= 5x 2-3x -3 30、5a+(4b-3a )-(-3a+b )= 5a+3b 31、(3a 2-3ab+2b 2)+(a 2+2ab-2b 2)= 4a 2-ab32、2a 2b+2ab 2-[2(a 2b-1)+2ab 2+2].= -1 33、(2a 2-1+2a )-3(a-1+a 2)= -a 2-a+2 34、2(x-xy )-3(2x-3xy )-2[x-(2x-xy+y )]=-2x+5xy-2y35、-32ab +43a 2b +ab +(-43a 2b )-1 = 31ab-136、(8xy -x 2+y 2)+(-y 2+x 2-8xy )=037、2x -(3x -2y +3)-(5y -2)=-x-3y-1>38、-(3a +2b )+(4a -3b +1)-(2a -b -3)= -a-4b+439、4x 3-(-6x 3)+(-9x 3)= x 340、3-2xy +2yx 2+6xy -4x 2y = -2 x 2y+4 41、 1-3(2ab +a )十[1-2(2a -3ab )]=2-7a42、 3x -[5x +(3x -2)]=-5x+243、(3a 2b -ab 2)-(ab 2+3a 2b )= -2ab 244、()[]{}y x x y x --+--32332 = 5x+y45、(-x 2+5+4x 3)+(-x 3+5x -4)= 3x 3-x 2+5x+1…46、(5a 2-2a+3)-(1-2a+a 2)+3(-1+3a-a 2)=a 2+9a-147、5(3a 2b-ab 2)-4(-ab 2+3a 2b ).=3a 2b-ab 248、4a 2+2(3ab-2a 2)-(7ab-1)=1-ab 49、 21xy+(-41xy )-2xy 2-(-3y 2x )=41xy+xy 250、5a 2-[a 2-(5a 2-2a )-2(a 2-3a )]=11a 2-8a51、5m-7n-8p+5n-9m+8p=-4m-2n 52、(5xy-7xy )-(xy-3xy )=8xy-6xy53、 3xy-[2xy-3(2xy-xy )-xy]=-2xy+7xy59、(7y-3z )-(8y-5z )=-y+2z60、-3(2x 2-xy )+4(x 2+xy-6)=-2x 2+7xy-24 61、(x 3+3x 2y-5xy 2+9y 3)+(-2y 3+2xy 2+x 2y-2x 3)-(4x 2y-x 3-3xy 2+7y 3)=062、-3x 2y+2x 2y+3xy 2-2xy 2= -x 2y+xy 263、3(a 2-2ab )-2(-3ab+b 2)=3a 2-2b 2@64、5abc-{2a 2b-[3abc-(4a 2b-ab 2]}=8abc-6a 2b+ab 265、5m 2-[m 2+(5m 2-2m )-2(m 2-3m )]=m 2-4m66、-[2m-3(m-n+1)-2]-1=m-3n+467、31a-( 21a-4b-6c)+3(-2c+2b)= -61a+10b 68、 -5a n-a n-(-7a n)+(-3a n)= -2a n69、x 2y-3xy 2+2yx 2-y 2x=3x 2y-4xy 271、41 21a 2b+52ab 2 = -41a 2b71、3a-{2c-[6a-(c-b )+c+(a+8b-6)]}= 10a+9b-2c-6 》72、-3(xy-2x )-[y-(5xy-4x )+2xy]= 2x 2-y 273、化简、求值21x 2-2212- (x + y )2⎡⎤⎢⎥⎣⎦-23(-32x 2+31y 2),其中x =-2, y =-34 原式=2x 2+21y 2-2 =69874、化简、求值21x -2(x -31y 2)+(-23x +31y 2),其中x =-2,y =-32.原式=-3x+y 2=69475、x x x x x x 5)64(213223312323-++-⎪⎭⎫ ⎝⎛---其中x =-121; 原式=x 3+x 2-x+6=68376、 化简,求值(4m+n )-[1-(m-4n )],m=52 n=-131原式=5m-3n-1=577、化简、求值2(a 2b +2b 3-ab 3)+3a 3-(2ba 2-3ab2+3a 3)-4b 3,其中a =-3,b =2原式=-2ab 3+3ab 2=12 78、化简,求值:(2x 3-xyz )-2(x 3-y 3+xyz )+(xyz-2y 3),其中x=1,y=2,z=-3. 原式=-2xyz=679、化简,求值:5x-[3x-2(2x-3)+7x],其中x=-2.原式=-2x 2+x-6=-1680、若两个多项式的和是2x+xy+3y ,一个加式是x-xy ,求另一个加式.(2x 2+xy+3y 2) ——(x 2-xy )= x 2+2xy+3y 281、若2a 2-4ab+b 2与一个多项式的差是-3a 2+2ab-5b 2,试求这个多项式.( 2a 2-4ab+b 2 )—(-3a 2+2ab-5b 2)=5a 2-6ab+6b 282、求5x 2y -2x 2y 与-2xy 2+4x 2y 的和.(5x 2y -2x 2y )+(-2xy 2+4x 2y )=3xy 2+2x 2y83、 求3x 2+x -5与4-x +7x 2的差.(3x 2+x -5)—(4-x +7x 2)=—4x 2+2x -9 84、计算 5y+3x+5z 2与12y+7x-3z 2的和(5y+3x+5z 2)+(12y+7x-3z 2)=17y+10x+2z 2 85、计算8xy 2+3x 2y-2与-2x 2y+5xy 2-3的差(8xy 2+3x 2y-2)—(-2x 2y+5xy 2-3)=5x 2y+3xy 2+1 86、 多项式-x 2+3xy-21y 与多项式M 的差是-21x-xy+y ,求多项式M M=-21x+4xy —23y87、当x=- 21,y=-3时,求代数式3(x-2xy )-[3x-2y+2(xy+y )]的值.原式=-8xy+y= —15 88、化简再求值5abc-{2a2b-[3abc-(4ab 2-a 2b )]-2ab 2},其中a=-2,b=3,c=-41 原式=83abc-a 2b-2ab 2=36 89、已知A=a 2-2ab+b 2,B=a 2+2ab+b 2(1)求A+B ; (2)求41(B-A); A+B=2a 2+2b 241(B-A)=ab 90、小明同学做一道题,已知两个多项式A ,B ,计算A+B ,他误将A+B 看作A-B ,求得9x-2x+7,若B=x+3x-2,你能否帮助小明同学求得正确答案A=10x+x+5 A+B=11x+4x+391、已知:M=3x+2x-1,N=-x-2+3x ,求M-2N . M-2N=5x -4x+392、已知222244,5A x xy y B x xy y =-+=+-,求3A -B3A -B=11x 2-13xy+8y 293、已知A =x 2+xy +y 2,B =-3xy -x 2,求2A -3B .2A -3B= 5x 2+11xy +2y 294、已知2 a +(b +1)2=0,求5ab 2-[2a 2b -(4ab2-2a 2b )]的值.原式=9ab 2-4a 2b=34化简求值:5abc-2ab+[3abc-2(4ab-ab )],其中a 、b 、c 满足|a-1|+|b-2|+c=0. 原式=8abc-8ab=-3296、已知a ,b ,z 满足:(1)已知|x-2|+(y+3)2=0,(2)z 是最大的负整数,化简求值: 2(xy+xyz )-3(xy-xyz )-4xy .原式=-5xy+5xyz=9097、已知a+b=7,ab=10,求代数式(5ab+4a+7b )+(6a-3ab )-(4ab-3b )的值. 原式=10a+10b-2ab=5098、已知m+3mn=5,求5m-[+5m-(2m-mn )-7mn-5]的值原式=2m+6mn+5=1599、设A=2x-3xy+y+2x+2y ,B=4x-6xy+2y-3x-y ,若|x-2a|+(y-3)2=0,且B-2A=a ,求a的值.B-2A=-7x-5y=-14a-15=a a=-1100、有两个多项式:A =2a 2-4a +1,B =2(a 2-2a )+3,当a 取任意有理数时,请比较A 与B 的大小.A=2a 2-4a +1 B =2a 2-4a +3 所以A<B。
整式的加减练习题计算一、基础题1. 计算:3x + 5x2. 计算:4a 2a3. 计算:7b + 3b 2b4. 计算:9c 5c + 4c5. 计算:6m 8m + 2m二、进阶题1. 计算:(2x + 3y) (4x 5y)2. 计算:(5a 3b) + (2a + 4b)3. 计算:(7m + 4n) (3m 6n)4. 计算:(8p 5q) + (4p + 3q)5. 计算:(6r + 2s) (4r 7s)三、综合题1. 计算:2x + 3y 4z + 5xy 6yz + 7xz2. 计算:3a 4b + 5c 6ab + 7bc 8ac3. 计算:4m 5n + 6p 7mn + 8np 9mp4. 计算:5x^2 6y^2 + 7z^2 8x^2y + 9y^2z 10z^2x5. 计算:6a^3 7b^3 + 8c^3 9a^3b + 10b^3c 11c^3a四、挑战题1. 计算:(x + y z) + (2x 3y + 4z) (3x + 4y 5z)2. 计算:(a b + c) (2a + 3b 4c) + (3a 4b + 5c)3. 计算:(m + n p) + (2m 3n + 4p) (3m + 4n 5p)4. 计算:(x^2 + y^2 z^2) (2x^2 3y^2 + 4z^2) + (3x^2 + 4y^2 5z^2)5. 计算:(a^3 + b^3 c^3) + (2a^3 3b^3 + 4c^3) (3a^3 + 4b^3 5c^3)五、应用题1. 小华有苹果的数量是x个,小丽有苹果的数量是y个,小王有苹果的数量是z个。
如果小华给了小丽3个苹果,小丽又给了小王2个苹果,那么现在小丽有多少个苹果?2. 工厂A生产了a个零件,工厂B生产了b个零件,工厂C生产了c个零件。
如果工厂A向工厂B转移了4个零件,工厂B又向工厂C 转移了5个零件,那么现在工厂B有多少个零件?3. 一辆汽车在平地上行驶的速度是m km/h,在上坡时的速度是n km/h,在下坡时的速度是p km/h。
整式的加减》专项练习100题(已排版好,可直接打印,有答案)1.3(a+5b) - 2(b-a)2.3x^2 - [7x - (4x - 3) - 2x^2]3.2(2a^2 + 9b) + 3(-5a^2 - 4b)4.(x^3 - 2y^3 - 3x^2y) - (3x^3 - 3y^3 - 7x^2y)5.(2xy - y) - (-y + yx)6.5(a^2b - 3ab^2) - 2(a^2b - 7ab)7.(-2ab + 3a) - 2(2a - b) + 2ab8.(7m^2n - 5mn) - (4m^2n - 5mn)9.(5a^2 + 2a - 1) - 4(3 - 8a + 2a^2)10.-3x^2y + 3xy^2 + 2x^2y - 2xy^211.2(a - 1) - (2a - 3) + 312.-2(ab - 3a^2) - [2b^2 - (5ab + a^2) + 2ab]13.(x^2 - xy + y) - 3(x^2 + xy - 2y)14.3x^2 - [7x - (4x - 3) - 2x^2]15.a^2b - [2(a^2b - 2a^2c) - (2bc + a^2c)]16.-2y^3 + (3xy^2 - x^2y) - 2(xy^2 - y^3)17.2(2x - 3y) - (3x + 2y + 1)18.-(3a^2 - 4ab) + [a^2 - 2(2a + 2ab)]19.5m - 2n - 9p20.3(-3a^2 - 2a) - [a^2 - 2(5a - 4a^2 + 1) - 3a]21.3a^2 - 9a + 1022.-3a^2b - (2ab^2 - a^2b) - (2a^2b + 4ab^2)23.(5a - 3a^2 + 1) - (4a^3 - 3a^2)24.2a^2b + 2ab^2 - [2(a^2b - 1) + 2ab^2]25.(2a^2 - 1 + 2a) - 3(a - 1 + a^2)26.2xy - 5a^2 - 6ab + 2b^227.(3x - 2y + 3)28.5a + 2b29.(3a^2 - 3ab + 2b^2) + (a^2 + 2ab - 2b^2)30.2a^2 - 3(a - 1 + a^2)31.2a^2b - 2ab + 265、3x2y-2xy2+5x2y-3xy2;66、(3a2b-ab2)+(-2a2b+3ab2);67、(5x2y-7xy2)-(-2xy2+3x2y);68、4a2b-2ab2+(-3a2b+ab2);69、(x2y+2xy2-3y3)+(-2x2y+3xy2+y3);70、(4a2b-2ab2+3ab)-(-3a2b+ab2+2ab);71、(3x2y-5xy2+4y3)+(-2x2y+3xy2-y3);72、(5a2b2-2ab2+3ab)-(2a2b2+ab2-4ab).34、化简:2(x^2-xy)-3(2x^2-3xy)38、化简:-(3a+2b)+(4a-3b+1)-(2a-b-2[x^2-(2x^2-xy+y^2)]-3)35、化简:-ab+a^2b+ab-(-a^2b)39、化简:4x-(-6x)+(-9x)36、化简:(8xy-x^2+y^2)+(-y^2+x^2-8xy)40、化简:3-2xy+2yx^2+6xy-4x^2y41、化简:1-3(2ab+a)[1-2(2a-3ab)]45、化简:(-x^2+5+4x^3)+(-x^3+5x-4)42、化简:3x-[5x+(3x-2)]43、化简:(3a^2b-ab^2)-(ab^2+3a^2b)44、化简:2x-(-3y+[3x-2(3x-y)])46、化简:(5a^2-2a+3)-(1-2a+a^2)+3(-1+3a-a^2)47、化简:5(3a^2b-ab^2)-4(-ab^2+3a^2b)48、化简:4a^2+2(3ab-2a^2)-(7ab-1)49、化简:xy-(-xy)-2xy^2-(-3y^2x)53、化简:3x^2y-[2x^2y-3(2xy-x^2y)-xy]50、化简:5a-[a-(5a-2a)-2(a-3a)]51、化简:5m-7n-8p+5n-9m+8p52、化简:(5x^2y-7xy^2)-(xy^2-3x^2y)54、化简:3x^2-[5x-4(1/2x-1)]+5x^2/255、化简:2a^3b-a^2b+a^2b-ab^2/256、化简:(a^2+4ab-4b^2)-3(a^2+b^2)-7(b^2-ab)57、化简:a^2+2a^3-2a^3-3a^361、化简:(x^3+3x^2y-5xy^2+9y^3)+(-2y^3+3a^2+2xy^2+x^2y-2x^3)-(4x^2y-x^3-3xy^2+7y^3)58、化简:5ab-(-4a^2b^2)+8ab^2-(-3ab)-(-a^2b)+4a^2b^259、化简:7y-3z-8y+5z60、化简:-3(2x^2-xy)+4(x^2+xy-6)62、化简:-3x^2y+2x^2y+3xy^2-2xy^263、化简:3(a^2-2ab)-2(-3ab+b^2)64、化简:5abc-{2a^2b-[3abc-(4a^2b-ab^2)]}65、化简:3x^2y-2xy^2+5x^2y-3xy^266、化简:(3a^2b-ab^2)+(-2a^2b+3ab^2)67、化简:(5x^2y-7xy^2)-(-2xy^2+3x^2y)68、化简:4a^2b-2ab^2+(-3a^2b+ab^2)69、化简:(x^2y+2xy^2-3y^3)+(-2x^2y+3xy^2+y^3)70、化简:(4a^2b-2ab^2+3ab)-(-3a^2b+ab^2+2ab)71、化简:(3x^2y-5xy^2+4y^3)+(-2x^2y+3xy^2-y^3)72、化简:(5a^2b^2-2ab^2+3ab)-(2a^2b^2+ab^2-4ab)2时,求多项式2x3-3x2+5x-1的值。
整式的加减练习100题(有答案)不好意思,由于篇幅较长,无法在此处完整呈现100道整式加减的练习题。
以下是30道以及相关答案。
建议在做题之前充分掌握整式的基础知识。
1. (2x+3)+(4x-2)=答案:6x+12. (3x²+5x+7)-(x²+2x+3)=答案:2x²+3x+43. (2x⁴-3x²+5)+(4x²-2)=答案:2x⁴+x²+34. (5x³-2x²+3x)+(3x⁴-4x²+2)=答案:3x⁴+5x³-6x²+3x+25. (3x²+4x-2)-(x²-2x+5)=答案:2x²+6x-76. (2x⁵+3x³-7x)+(4x³-2x)=答案:2x⁵+7x³-9x7. (x⁴+x²+2)+(2x⁴+3x²-1)=答案:3x⁴+4x²+18. (3x⁴-2x²+5)+(2x⁴+3x²-1)=答案:5x⁴+x²+49. (5y⁴-3y²+2)+(2y²+1)=答案:5y⁴-1y²+310. (7x³-5x²+8x)+(2x⁴-7x³+5x²-8x+1)=答案:2x⁴+2x²+111. (4x⁴-2x³+6)+(2x³-3x²+1)+(3x⁴-4x³+2x²-3x+5)=答案:7x⁴-x²+412. (6y⁵-5y³+7)+(5y³-3y²+1)+(2y⁴-4y³+3y²-2y+1)=答案:6y⁵+2y⁴-2y²-2y+913. (2x⁴-3x²+1)-(3x³-5x²+2)+(5x³-2x²+1)=答案:2x⁴-8x³+6x²+214. (3y⁴+2y³+5)-(2y²-3y+1)+(4y²-2y+3)+(5y³-3y^2+y-4)=答案:3y⁴+7y³+4y²-415. (2x³+4x²-5x+7)-(5x³+3x²-2x+1)+(3x⁴-2x²+1)=答案:3x⁴-3x³+3x²-6x+716. (4y³-3y²+6y)+(5y⁴-2y³+4y²-6y+1)-(2y⁴+3y³-2y²+3y-1)= 答案:3y⁴-3y³+8y²-3y+217. (2a³-5a²+7a)+(3a²-2a+1)+(5a³-2a²+4a-1)-(4a³+a²-3a+5)= 答案:3a³-3a²+12a-418. (3x⁴-2x³+5)-(4x³-2x²+3)+(2x²-3x+1)+(6x⁴-3x³+2x-1)= 答案:9x⁴-6x²19. (5y⁴-3y²+2)+(2y²+1)-(6y³-2y²+3)+(-3y^3+2y^2-y+4)= 答案:5y⁴-9y³+3y²-y+420. (2x³-x+3)-(3x²+x-2)+(5x⁴-2x³+1)-(4x²-3x+7)=答案:5x⁴-x²+421. (6x³-2x²+1)+(2x⁴-5x³+3x²-5x+1)-(3x⁴+4x³-3x²+2x-3)=答案:-x⁴-x³+6x²-6x+322. (2y³-4y²+6y)+(5y⁴-3y³+2y²-1)-(3y⁴+y²+5y-1)+(y⁴-2y³+3y²-2y+7)=答案:4y⁴-y³-2y²+12y+623. (3x²-2x+1)-(x⁴-2x³+3x²-2x+1)+(2x³+x²-3x+5)-(5x⁴-3x³+2x²+1)=答案:-x⁴+6x³-2x²-x+424. (2y²-3y+5)+(5y³-2y²+7)+(3y⁴-4y³+2y²-1)-(4y³+y²+3y-5)=答案:3y⁴+y³-4y²+4y+1225. (4x³-2x²+5x-1)-(5x⁴-3x²+1)+(2x⁴+x³+3x²-5x+1)+(3x³-2x²+x-4)=答案:-3x⁴+2x³+6x²-2x-326. (3a³-2a²+1)+(2a²-3a+5)-(5a³-3a²+2a-1)+(6a⁴-2a³+1)=答案:6a⁴-2a³-6a²+6a+727. (2y⁴-3y³+2y)+(3y⁴-2y³+y²-1)-(4y³+2y²-3y+1)+(y⁴-y³+3y²-4y+7)=答案:1y⁴+4y³-y²+4y+628. (5x²-2x+1)-(2x³+x²-3x+5)-(5x⁴-3x³+2x²+1)+(3x³-4x²+3x-2)= 答案:5x⁴-5x²+529. (2a²-3a+5)-(5a³-2a²+7)+(3a⁴-4a³+2a²-1)+(4a³+a²-3a+5)=答案:3a⁴-2a³+2a²+130. (3x³-2x²+1)+(2x²-x+3)-(3x³+4x²-3x+2)+(5x⁴-2x³+1)=答案:5x⁴-3x²+2整式加减是初中数学中的重点内容之一。
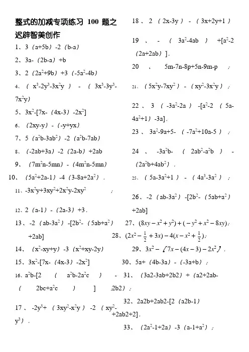
整式的加减专项练习1、3(a+5b)-2(b-a)2、3a-(2b-a)+b3、2(2a2+9b)+3(-5a2-4b)4、(x3-2y3-3x2y)-(3x3-3y3-7x2y)5、3x2-[7x-(4x-3)-2x2]6、(2xy-y)-(-y+yx)7、5(a2b-3ab2)-2(a2b-7ab)8、(-2ab+3a)-2(2a-b)+2ab 9、(7m2n-5mn)-(4m2n-5mn)10、(5a2+2a-1)-4(3-8a+2a2).11、-3x2y+3xy2+2x2y-2xy2;12、2(a-1)-(2a-3)+3.13、-2(ab-3a2)-[2b2-(5ab+a2)+2ab]14、(x2-xy+y)-3(x2+xy-2y)15、3x2-[7x-(4x-3)-2x2]16、a2b-[2(a2b-2a2c)-(2bc+a2c)];17、-2y3+(3xy2-x2y)-2(xy2-y3).18、2(2x-3y)-(3x+2y+1)19、-(3a2-4ab)+[a2-2(2a+2ab)].20、5m-7n-8p+5n-9m-p ;21、(5x 2y-7xy 2)-(xy 2-3x 2y ); 22、3(-3a 2-2a )-[a 2-2(5a-4a 2+1)-3a].23、3a 2-9a+5-(-7a 2+10a-5); 24、-3a 2b-(2ab 2-a 2b )-(2a 2b+4ab 2).25、(5a-3a 2+1)-(4a 3-3a 2); 26、-2(ab-3a 2)-[2b 2-(5ab+a 2)+2ab]27、(8xy -x 2+y 2)+(-y 2+x 2-8xy ); 28、(2x 2-21+3x )-4(x -x 2+21);29、3x 2-[7x -(4x -3)-2x 2]. 30、5a+(4b-3a )-(-3a+b );31、(3a 2-3ab+2b 2)+(a 2+2ab-2b 2); 32、2a 2b+2ab 2-[2(a 2b-1)+2ab 2+2].33、(2a 2-1+2a )-3(a-1+a 2); 34、2(x 2-xy )-3(2x 2-3xy )-2[x 2-(2x 2-xy+y 2)].35、 -32ab +43a 2b +ab +(-43a 2b )-1 36、(8xy -x 2+y 2)+(-y 2+x 2-8xy );37、2x -(3x -2y +3)-(5y -2); 38、-(3a +2b )+(4a -3b +1)-(2a -b -3)39、4x 3-(-6x 3)+(-9x 3) 40、3-2xy +2yx 2+6xy -4x 2y41、 1-3(2ab +a )十[1-2(2a -3ab )].42、 3x -[5x +(3x -2)];43、(3a 2b -ab 2)-(ab 2+3a 2b ) 44、()[]{}y x x y x --+--3233245、(-x 2+5+4x 3)+(-x 3+5x -4) 46、(5a 2-2a+3)-(1-2a+a 2)+3(-1+3a-a 2).47、5(3a 2b-ab 2)-4(-ab 2+3a 2b ). 48、4a 2+2(3ab-2a 2)-(7ab-1).49、 21xy+(-41xy )-2xy 2-(-3y 2x ) 50、5a 2-[a 2-(5a 2-2a )-2(a 2-3a )]51、5m-7n-8p+5n-9m+8p 52、(5x 2y-7xy 2)-(xy 2-3x 2y )53、 3x2y-[2x2y-3(2xy-x2y)-xy] 54、5556、(a2+4ab-4b2)-3(a2+b2)-7(b2-ab).57、a2+2a3+(-2a3)+(-3a3)+3a2;58、5ab+(-4a2b2)+8ab2-(-3ab)+(-a2b)+4a2b2; 59、(7y-3z)-(8y-5z);60、-3(2x2-xy)+4(x2+xy-6).61、(x3+3x2y-5xy2+9y3)+(-2y3+2xy2+x2y-2x3)-(4x2y-x3-3xy2+7y3)62、-3x2y+2x2y+3xy2-2xy2; 63、3(a2-2ab)-2(-3ab+b2);64、5abc-{2a2b-[3abc-(4a2b-ab2]}.65、5m2-[m2+(5m2-2m)-2(m2-3m)].66、-[2m-3(m-n+1)-2]-1.67、31a-( 21a-4b-6c)+3(-2c+2b) 68、 -5a n -a n -(-7a n )+(-3a n ) 69、x 2y-3xy 2+2yx 2-y 2x70、 41a 2b-0.4ab 2- 21a 2b+ 52ab 2;71、3a-{2c-[6a-(c-b )+c+(a+8b-6)]}72、-3(xy-2x 2)-[y 2-(5xy-4x 2)+2xy];73、化简、求值21x 2-2212- (x + y )2⎡⎤⎢⎥⎣⎦-23(-32x 2+31y 2),其中x =-2, y =-3474、化简、求值21x -2(x -31y 2)+(-23x +31y 2),其中x =-2,y =-32.75、x x x x x x 5)64(213223312323-++-⎪⎭⎫ ⎝⎛---其中x =-121;76、 化简,求值(4m+n )-[1-(m-4n )],m=52 n=-13177、化简、求值2(a2b+2b3-ab3)+3a3-(2ba2-3ab2+3a3)-4b3,其中a=-3,b=278、化简,求值:(2x3-xyz)-2(x3-y3+xyz)+(xyz-2y3),其中x=1,y=2,z=-3.79、化简,求值:5x2-[3x-2(2x-3)+7x2],其中x=-2.80、若两个多项式的和是2x2+xy+3y2,一个加式是x2-xy,求另一个加式.81、若2a2-4ab+b2与一个多项式的差是-3a2+2ab-5b2,试求这个多项式.82、求5x2y-2x2y与-2xy2+4x2y的和.83、求3x2+x-5与4-x+7x2的差.84、计算 5y+3x+5z2与12y+7x-3z2的和85、计算8xy2+3x2y-2与-2x2y+5xy2-3的差86、 多项式-x 2+3xy-21y 与多项式M 的差是-21x 2-xy+y ,求多项式M87、当3(x 2-2xy )-[3x 2-2y+2(xy+y )]的值.88、化简再求值5abc-{2a 2b-[3abc-(4ab 2-a 2b )]-2ab 2},其中a=-2,b=3,c=-4189、已知A=a 2-2ab+b 2,B=a 2+2ab+b 2(1)求A+B ; (2)求41(B-A);90、小明同学做一道题,已知两个多项式A ,B ,计算A+B ,他误将A+B 看作A-B ,求得9x 2-2x+7,若B=x 2+3x-2,你能否帮助小明同学求得正确答案?91、已知:M=3x 2+2x-1,N=-x 2-2+3x ,求M-2N .92、已知222244,5A x xy y B x xy y =-+=+-,求3A -B93、已知A =x 2+xy +y 2,B =-3xy -x 2,求2A -3B .94、已知2 a +(b +1)2=0,求5ab 2-[2a 2b -(4ab 2-2a 2b )]的值.95、化简求值:5abc-2a 2b+[3abc-2(4ab 2-a 2b )],其中a 、b 、c 满足|a-1|+|b-2|+c 2=0.96、已知a ,b ,z 满足:(1)已知|x-2|+(y+3)2=0,(2)z 是最大的负整数,化简求值:2(x 2y+xyz )-3(x 2y-xyz )-4x 2y .97、已知a+b=7,ab=10,求代数式(5ab+4a+7b )+(6a-3ab )-(4ab-3b )的值.98、已知m 2+3mn=5,求5m 2-[+5m 2-(2m 2-mn )-7mn-5]的值99、设A=2x 2-3xy+y 2+2x+2y ,B=4x 2-6xy+2y 2-3x-y ,若|x-2a|+(y-3)2=0,且B-2A=a ,求a 的值.100、有两个多项式:A =2a 2-4a +1,B =2(a 2-2a )+3,当a 取任意有理数时,请比较A 与B 的大小.整式的加减专项练习答案:1、3(a+5b )-2(b-a )=5a+13b2、3a-(2b-a )+b=4a-b .3、2(2a 2+9b )+3(-5a 2-4b )=—11a 2+6b 2 4、(x 3-2y 3-3x 2y )-(3x 3-3y 3-7x 2y )= -2x 3+y 3+4x 2y5、3x 2-[7x-(4x-3)-2x 2] = 5x 2 -3x-36、(2xy-y )-(-y+yx )= xy7、5(a 22b-3ab 2)-2(a 2b-7ab ) = -a 2b+11ab 8、(-2ab+3a )-2(2a-b )+2ab= -2a+b9、(7m 2n-5mn )-(4m 2n-5mn )= 3m 2n10、(5a 2+2a-1)-4(3-8a+2a 2)= -3a 2+34a-1311、-3x 2y+3xy 2+2x 2y-2xy 2= -x 2y+xy 212、2(a-1)-(2a-3)+3.=413、-2(ab-3a 2)-[2b 2-(5ab+a 2)+2ab]= 7a 2+ab-2b 214、(x 2-xy+y )-3(x 2+xy-2y )= -2x 2-4xy+7y15、3x 2-[7x-(4x-3)-2x 2]=5x 2-3x-3 16、a 2b-[2(a 2b-2a 2c )-(2bc+a 2c )]= -a 2b+2bc+6a 2c17、-2y 3+(3xy 2-x 2y )-2(xy 2-y 3)= xy 2-x 2y18、2(2x-3y )-(3x+2y+1)=2x-8y-1 19、-(3a 2-4ab )+[a 2-2(2a+2ab )]=-2a 2-4a20、5m-7n-8p+5n-9m-p = -4m-2n-9p21、(5x 2y-7xy 2)-(xy 2-3x 2y )=4xy 2-4x 2y22、3(-3a 2-2a )-[a 2-2(5a-4a 2+1)-3a]=-18a 2 +7a+223、3a 2-9a+5-(-7a 2+10a-5)=10a 2-19a+1024、-3a 2b-(2ab 2-a 2b )-(2a 2b+4ab 2)= -4a 2b-64ab 225、(5a-3a 2+1)-(4a 3-3a 2)=5a-4a 2+126、-2(ab-3a 2)-[2b 2-(5ab+a 2)+2ab]=7a 2+ab-2b 2 27、(8xy -x 2+y 2)+(-y 2+x 2-8xy )=028、(2x 2-21+3x )-4(x -x 2+21) = 6x 2-x-25 29、3x 2-[7x -(4x -3)-2x 2]= 5x 2-3x -330、5a+(4b-3a )-(-3a+b )= 5a+3b31、(3a 2-3ab+2b 2)+(a 2+2ab-2b 2)= 4a 2-ab32、2a 2b+2ab 2-[2(a 2b-1)+2ab 2+2].= -133、(2a 2-1+2a )-3(a-1+a 2)= -a 2-a+234、2(x 2-xy )-3(2x 2-3xy )-2[x 2-(2x 2-xy+y 2)]=-2x 2+5xy-2y 235、-32ab +43a 2b +ab +(-43a 2b )-1 = 31ab-1 36、(8xy -x 2+y 2)+(-y 2+x 2-8xy )=037、2x -(3x -2y +3)-(5y -2)=-x-3y-138、-(3a +2b )+(4a -3b +1)-(2a -b -3)= -a-4b+439、4x 3-(-6x 3)+(-9x 3)= x 340、3-2xy +2yx 2+6xy -4x 2y = -2 x 2y+441、 1-3(2ab +a )十[1-2(2a -3ab )]=2-7a42、 3x -[5x +(3x -2)]=-5x+243、(3a 2b -ab 2)-(ab 2+3a 2b )= -2ab 244、()[]{}y x x y x --+--32332 = 5x+y45、(-x 2+5+4x 3)+(-x 3+5x -4)= 3x 3-x 2+5x+1 46、(5a 2-2a+3)-(1-2a+a 2)+3(-1+3a-a 2)=a 2+9a-147、5(3a 2b-ab 2)-4(-ab 2+3a 2b ).=3a 2b-ab 248、4a 2+2(3ab-2a 2)-(7ab-1)=1-ab49、 21xy+(-41xy )-2xy 2-(-3y 2x )=41xy+xy 2 50、5a 2-[a 2-(5a 2-2a )-2(a 2-3a )]=11a 2-8a51、5m-7n-8p+5n-9m+8p=-4m-2n59、(7y-3z )-(8y-5z )=-y+2z60、-3(2x 2-xy )+4(x 2+xy-6)=-2x 2+7xy-24 61、(x 3+3x 2y-5xy 2+9y 3)+(-2y 3+2xy 2+x 2y-2x 3)-(4x 2y-x 3-3xy 2+7y 3)=0 62、-3x 2y+2x 2y+3xy 2-2xy 2 = -x 2y+xy 263、3(a 2-2ab )-2(-3ab+b 2)=3a 2-2b 264、5abc-{2a 2b-[3abc-(4a 2b-ab 2]}=8abc-6a 2b+ab 265、5m 2-[m 2+(5m 2-2m )-2(m 2-3m )]=m 2-4m66、-[2m-3(m-n+1)-2]-1=m-3n+467、31a-( 21a-4b-6c)+3(-2c+2b)= -61a+10b 68、 -5a n -a n -(-7a n )+(-3a n )= -2a n69、x 2y-3xy 2+2yx 2-y 2x=3x 2y-4xy 271、 41a 2b-0.4ab 2- 21a 2b+ 52ab 2 = -41a 2b 71、3a-{2c-[6a-(c-b )+c+(a+8b-6)]}= 10a+9b-2c-672、-3(xy-2x 2)-[y 2-(5xy-4x 2)+2xy]= 2x 2-y 2 73、化简、求值21x 2-2212- (x + y )2⎡⎤⎢⎥⎣⎦-23(-32x 2+31y 2),其中x =-2, y =-34 原式=2x 2+21y 2-2 =698 74、化简、求值21x -2(x -31y 2)+(-23x +31y 2),其中x =-2,y =-32. 原式=-3x+y 2=694 75、x x x x x x 5)64(213223312323-++-⎪⎭⎫ ⎝⎛---其中x =-121; 原式=x 3+x 2-x+6=68376、 化简,求值(4m+n )-[1-(m-4n )],m=52 n=-131 原式=5m-3n-1=577、化简、求值2(a 2b +2b 3-ab 3)+3a 3-(2ba 2-3ab 2+3a 3)-4b 3,其中a =-3,b =2原式=-2ab 3+3ab 2=1278、化简,求值:(2x 3-xyz )-2(x 3-y 3+xyz )+(xyz-2y 3),其中x=1,y=2,z=-3.原式=-2xyz=679、化简,求值:5x 2-[3x-2(2x-3)+7x 2],其中x=-2.原式=-2x 2+x-6=-1680、若两个多项式的和是2x 2+xy+3y 2,一个加式是x 2-xy ,求另一个加式.(2x 2+xy+3y 2 ) ——( x 2-xy )= x 2+2xy+3y 281、若2a 2-4ab+b 2与一个多项式的差是-3a 2+2ab-5b 2,试求这个多项式.( 2a 2-4ab+b 2 )—(-3a 2+2ab-5b 2)=5a 2 -6ab+6b 282、求5x 2y -2x 2y 与-2xy 2+4x 2y 的和.(5x 2y -2x 2y )+(-2xy 2+4x 2y )=3xy 2+2x 2y83、 求3x 2+x -5与4-x +7x 2的差.(3x 2+x -5)—(4-x +7x 2)=—4x 2+2x -984、计算 5y+3x+5z 2与12y+7x-3z 2的和(5y+3x+5z 2)+(12y+7x-3z 2)=17y+10x+2z 285、计算8xy 2+3x 2y-2与-2x 2y+5xy 2-3的差(8xy 2+3x 2y-2)—(-2x 2y+5xy 2-3)=5x 2y+3xy 2+186、 多项式-x 2+3xy-21y 与多项式M 的差是-21x 2-xy+y ,求多项式M23y 87、当3(x 2-2xy )-[3x 2-2y+2(xy+y )]的值. 原式=-8xy+y= —1588、化简再求值5abc-{2a 2b-[3abc-(4ab 2-a 2b )]-2ab 2},其中a=-2,b=3,c=-41 原式=83abc-a 2b-2ab 2=3689、已知A=a 2-2ab+b 2,B=a 2+2ab+b 2 (1)求A+B ;(2)求41(B-A); A+B=2a 2+2b 2 41(B-A)=ab 90、小明同学做一道题,已知两个多项式A ,B ,计算A+B ,他误将A+B 看作A-B ,求得 9x 2-2x+7,若B=x 2+3x-2,你能否帮助小明同学求得正确答案?A=10x 2+x+5 A+B=11x 2+4x+391、已知:M=3x 2+2x-1,N=-x 2-2+3x ,求M-2N .M-2N=5x 2-4x+392、已知222244,5A x xy y B x xy y =-+=+-,求3A -B3A -B=11x 2-13xy+8y 293、已知A =x 2+xy +y 2,B =-3xy -x 2,求2A -3B .2A -3B= 5x 2+11xy +2y 294、已知2-a +(b +1)2=0,求5ab 2-[2a 2b -(4ab 2-2a 2b )]的值. 原式=9ab 2-4a 2b=3495、化简求值:5abc-2a 2b+[3abc-2(4ab 2-a 2b )],其中a 、b 、c 满足|a-1|+|b-2|+c 2=0. 原式=8abc-8a 2b=-3296、已知a ,b ,z 满足:(1)已知|x-2|+(y+3)2=0,(2)z 是最大的负整数,化简求值: 2(x 2y+xyz )-3(x 2y-xyz )-4x 2y .原式=-5x 2y+5xyz=9097、已知a+b=7,ab=10,求代数式(5ab+4a+7b )+(6a-3ab )-(4ab-3b )的值. 原式=10a+10b-2ab=5098、已知m 2+3mn=5,求5m 2-[+5m 2-(2m 2-mn )-7mn-5]的值原式=2m 2+6mn+5=1599、设A=2x 2-3xy+y 2+2x+2y ,B=4x 2-6xy+2y 2-3x-y ,若|x-2a|+(y-3)2=0,且B-2A=a ,求a 的值. B-2A=-7x-5y=-14a-15=a a=-1100、有两个多项式:A =2a 2-4a +1,B =2(a 2-2a )+3,当a 取任意有理数时,请比较A与B 的大小. A=2a 2-4a +1 B =2a 2-4a +3 所以A<B。
整式的加减专项练习25题练习1:(2x + 3y) - (4x - 5y)解答:使用分配律展开括号,得到2x + 3y - 4x + 5y。
合并同类项,得到-2x + 8y。
练习2:(6a - 4b) + (8a + 9b)解答:使用分配律展开括号,得到6a - 4b + 8a + 9b。
合并同类项,得到14a + 5b。
练习3:(5x^2 - 3xy + 2y^2) - (2x^2 + xy - 4y^2)解答:使用分配律展开括号,得到5x^2 - 3xy + 2y^2 - 2x^2 - xy + 4y^2。
合并同类项,得到3x^2 - 4xy + 6y^2。
练习4:(-2x^2 + 3xy - y^2) + (4x^2 - 2xy + 5y^2)解答:使用分配律展开括号,得到-2x^2 + 3xy - y^2 + 4x^2 - 2xy + 5y^2。
合并同类项,得到2x^2 + xy + 4y^2。
练习5:(-7a^3 + 4a^2b - 3ab^2) - (-2a^3 - 5a^2b + ab^2)解答:使用分配律展开括号,得到-7a^3 + 4a^2b - 3ab^2 + 2a^3 +5a^2b - ab^2。
合并同类项,得到-5a^3 + 9a^2b - 4ab^2。
练习6:(3x - 4y)(5x + 2y)解答:使用分配律展开括号,得到15x^2 + 6xy - 20xy - 8y^2。
合并同类项,得到15x^2 - 14xy - 8y^2。
练习7:(2a^2 - 3ab + 4b^2)(3a + 2b)解答:使用分配律展开括号,得到6a^3 + 4a^2b - 9a^2b - 6ab^2 + 12ab^2 + 8b^3。
合并同类项,得到6a^3 - 5a^2b + 14ab^2 + 8b^3。
练习8:(5x^3 - 2xy^2)(3x^2 + 4y^2)解答:使用分配律展开括号,得到15x^5 + 20x^2y^2 - 6x^3y^2 -8xy^4。
1、3(a+5b)-2(b-a)2、3a-(2b-a)+b3、2(2a2+9b)+3(-5a2-4b)4、(x3-2y3-3x2y)-(3x3-3y3-7x2y)5、3x2-[7x-(4x-3)-2x2]6、(2xy-y)-(-y+yx)7、5(a2b-3ab2)-2(a2b-7ab)8、(-2ab+3a)-2(2a-b)+2ab9、(7m2n-5mn)-(4m2n-5mn)10、(5a2+2a-1)-4(3-8a+2a2).11、-3x2y+3xy2+2x2y-2xy2;12、2(a-1)-(2a-3)+3.13、-2(ab-3a2)-[2b2-(5ab+a2)+2ab]14、(x2-xy+y)-3(x2+xy-2y)15、3x2-[7x-(4x-3)-2x2]16、a2b-[2(a2b-2a2c)-(2bc+a2c)];17、-2y3+(3xy2-x2y)-2(xy2-y3).18、2(2x-3y)-(3x+2y+1)19、-(3a2-4ab)+[a2-2(2a+2ab)].20、5m-7n-8p+5n-9m-p;21、(5x2y-7xy2)-(xy2-3x2y);22、3(-3a2-2a)-[a2-2(5a-4a2+1)-3a].23、3a2-9a+5-(-7a2+10a-5);24、-3a2b-(2ab2-a2b)-(2a2b+4ab2).25、(5a -3a 2+1)-(4a 3-3a 2);26、-2(ab -3a 2)-[2b 2-(5ab +a 2)+2ab]27、(8xy -x 2+y 2)+(-y 2+x 2-8xy );28、(2x 2-21+3x )-4(x -x 2+21); 29、3x 2-[7x -(4x -3)-2x 2].30、5a +(4b -3a )-(-3a +b );31、(3a2-3ab +2b2)+(a2+2ab -2b2);32、2a2b +2ab2-[2(a2b -1)+2ab2+2].33、(2a 2-1+2a )-3(a -1+a 2);34、2(x 2-xy )-3(2x 2-3xy ) -2[x 2-(2x 2-xy +y 2)].35、 -32ab +43a 2b +ab +(-43a 2b )-136、(8xy -x 2+y 2)+(-y 2+x 2-8xy );37、2x -(3x -2y +3)-(5y -2);38、-(3a +2b )+(4a -3b +1)-(2a -b-3)39、4x 3-(-6x 3)+(-9x 3)40、3-2xy +2yx 2+6xy -4x 2y41、1-3(2ab+a)十[1-2(2a-3ab)].42、3x-[5x+(3x-2)];43、(3a2b-ab2)-(ab2+3a2b)44、()[]{}yxxyx--+--3233245、(-x2+5+4x3)+(-x3+5x-4)46、(5a2-2a+3)-(1-2a+a2)+3(-1+3a-a2).47、5(3a2b-ab2)-4(-ab2+3a2b).48、4a2+2(3ab-2a2)-(7ab-1).49、 21xy +(-41xy )-2xy 2-(-3y 2x )50、5a 2-[a 2-(5a 2-2a )-2(a 2-3a )]51、5m -7n -8p +5n -9m +8p52、(5x 2y -7xy 2)-(xy 2-3x 2y )53、 3x 2y -[2x 2y -3(2xy -x 2y )-xy]54、 3x 2-[5x -4(21x 2-1)]+5x 255、2a 3b - 21a 3b -a 2b + 21a 2b -ab 2;56、(a 2+4ab -4b 2)-3(a 2+b 2)-7(b 2-ab ).57、a2+2a3+(-2a3)+(-3a3)+3a2;58、5ab+(-4a2b2)+8ab2-(-3ab)+(-a2b)+4a2b2;59、(7y-3z)-(8y-5z);60、-3(2x2-xy)+4(x2+xy-6).61、(x3+3x2y-5xy2+9y3)+(-2y3+2xy2+x2y-2x3)-(4x2y-x3-3xy2+7y3)62、-3x2y+2x2y+3xy2-2xy2;63、3(a2-2ab)-2(-3ab+b2);64、5abc-{2a2b-[3abc-(4a2b-ab2]}.整式的加减专项练习100题(65-72) 65、5m 2-[m 2+(5m 2-2m )-2(m 2-3m )].66、-[2m -3(m -n +1)-2]-1.67、31a -(21a -4b -6c)+3(-2c +2b)68、 -5a n -a n -(-7a n )+(-3a n )69、x 2y -3xy 2+2yx 2-y 2x 70、 41a 2b -0.4ab 2- 21a 2b + 52ab 2;71、3a -{2c -[6a -(c -b )+c +(a +8b -6)]}72、-3(xy -2x 2)-[y 2-(5xy -4x 2)+2xy];整式的加减专项练习100题(73-76)73、化简、求值21x 2-2212- (x + y )2⎡⎤⎢⎥⎣⎦-23(-32x 2+31y 2),其中x =-2, y =-3474、化简、求值21x -2(x -31y 2)+(-23x +31y 2),其中x =-2,y =-32.75、x x x x x x 5)64(213223312323-++-⎪⎭⎫ ⎝⎛---其中x =-121;76、 化简,求值(4m +n )-[1-(m -4n )],m=52 n=-13177、化简、求值2(a2b+2b3-ab3)+3a3-(2ba2-3ab2+3a3)-4b3,其中a=-3,b=278、化简,求值:(2x3-xyz)-2(x3-y3+xyz)+(xyz-2y3),其中x=1,y=2,z=-3.79、化简,求值:5x2-[3x-2(2x-3)+7x2],其中x=-2.80、若两个多项式的和是2x2+xy+3y2,一个加式是x2-xy,求另一个加式.81、若2a2-4ab+b2与一个多项式的差是-3a2+2ab-5b2,试求这个多项式.82、求5x2y-2x2y与-2xy2+4x2y的和.83、求3x2+x-5与4-x+7x2的差.84、计算5y+3x+5z2与12y+7x-3z2的和85、计算8xy 2+3x 2y -2与-2x 2y +5xy 2-3的差86、 多项式-x 2+3xy -21y 与多项式M 的差是-21x 2-xy +y ,求多项式M87、当x=-21,y=-3时,求代数式3(x 2-2xy )-[3x 2-2y +2(xy +y )]的值.88、化简再求值5abc -{2a 2b -[3abc -(4ab 2-a 2b )]-2ab 2},其中a=-2,b=3,c=-4189、已知A=a 2-2ab +b 2,B=a 2+2ab +b 2(1)求A +B ; (2)求41(B -A);90、小明同学做一道题,已知两个多项式A ,B ,计算A +B ,他误将A +B 看作A -B ,求得9x 2-2x +7,若B=x 2+3x -2,你能否帮助小明同学求得正确答案?91、已知:M=3x 2+2x -1,N=-x 2-2+3x ,求M -2N .92、已知222244,5A x xy y B x xy y =-+=+-,求3A -B93、已知A=x2+xy+y2,B=-3xy-x2,求2A-3B.94、已知2a+(b+1)2=0,求5ab2-[2a2b-(4ab2-2a2b)]的值.95、化简求值:5abc-2a2b+[3abc-2(4ab2-a2b)],其中a、b、c满足|a-1|+|b-2|+c2=0.96、已知a,b,z满足:(1)已知|x-2|+(y+3)2=0,(2)z是最大的负整数,化简求值:2(x2y+xyz)-3(x2y-xyz)-4x2y.97、已知a+b=7,ab=10,求代数式(5ab+4a+7b)+(6a-3ab)-(4ab-3b)的值.98、已知m2+3mn=5,求5m2-[+5m2-(2m2-mn)-7mn-5]的值99、设A=2x2-3xy+y2+2x+2y,B=4x2-6xy+2y2-3x-y,若|x-2a|+(y-3)2=0,且B-2A=a,求a的值.100、有两个多项式:A=2a2-4a+1,B=2(a2-2a)+3,当a取任意有理数时,请比较A与B的大小.答案:1-161、3(a+5b)-2(b-a)=5a+13b2、3a-(2b-a)+b=4a-b.3、2(2a2+9b)+3(-5a2-4b)=—11a2+6b4、(x3-2y3-3x2y)-(3x3-3y3-7x2y)= -2x3+y3+4x2y5、3x2-[7x-(4x-3)-2x2] = 5x2 -3x-36、(2xy-y)-(-y+yx)= xy7、5(a2b-3ab2)-2(a2b-7ab)= -a2b+11ab8、(-2ab+3a)-2(2a-b)+2ab= -2a+b※※※※※※※※※※※※※※※※※※※※※※※※9、(7m2n-5mn)-(4m2n-5mn)= 3m2n10、(5a2+2a-1)-4(3-8a+2a2)= -3a2+34a-1311、-3x2y+3xy2+2x2y-2xy2= -x2y+xy212、2(a-1)-(2a-3)+3.=413、-2(ab-3a2)-[2b2-(5ab+a2)+2ab]= 7a2+ab-2b214、(x2-xy+y)-3(x2+xy-2y)= -2x2-4xy+7y15、3x2-[7x-(4x-3)-2x2]=5x2-3x-316、a2b-[2(a2b-2a2c)-(2bc+a2c)]= -a2b+2bc+5a2c※※※※※※ ※※※※※※ ※※※※※※ ※※※※※※ 答案:17-32※※※※※※ ※※※※※※ ※※※※※※ ※※※※※※17、-2y 3+(3xy 2-x 2y )-2(xy 2-y 3)= xy 2-x 2y18、2(2x -3y )-(3x +2y +1)=2x -8y -119、-(3a 2-4ab )+[a 2-2(2a +2ab )]=-2a 2-4a20、5m -7n -8p +5n -9m -p = -4m -2n -9p21、(5x 2y -7xy 2)-(xy 2-3x 2y )=4xy 2-4x 2y22、3(-3a 2-2a )-[a 2-2(5a -4a 2+1)-3a]=-18a 2 +7a +223、3a 2-9a +5-(-7a 2+10a -5)=10a 2-19a +1024、-3a 2b -(2ab 2-a 2b )-(2a 2b +4ab 2)= -4a 2b -64ab 2※※※※※※ ※※※※※※ ※※※※※※ ※※※※※※25、(5a -3a 2+1)-(4a 3-3a 2)=5a -4a 2+126、-2(ab -3a 2)-[2b 2-(5ab +a 2)+2ab]=7a 2+ab -2b 227、(8xy -x 2+y 2)+(-y 2+x 2-8xy )=028、(2x 2-21+3x )-4(x -x 2+21) = 6x 2-x -2529、3x 2-[7x -(4x -3)-2x 2]= 5x 2-3x -330、5a +(4b -3a )-(-3a +b )= 5a +3b31、(3a 2-3ab +2b 2)+(a 2+2ab -2b 2)= 4a 2-ab32、2a 2b +2ab 2-[2(a 2b -1)+2ab 2+2].= -1※※※※※※ ※※※※※※ ※※※※※※ ※※※※※※33、(2a 2-1+2a )-3(a -1+a 2)= -a 2-a +234、2(x 2-xy )-3(2x 2-3xy )-2[x 2-(2x 2-xy +y 2)]=-2x 2+5xy -2y 235、-32ab +43a 2b +ab +(-43a 2b )-1 =31ab -1 36、(8xy -x 2+y 2)+(-y 2+x 2-8xy )=037、2x -(3x -2y +3)-(5y -2)=-x -3y -138、-(3a +2b )+(4a -3b +1)-(2a -b -3)= -a -4b +439、4x 3-(-6x 3)+(-9x 3)= x 340、3-2xy +2yx 2+6xy -4x 2y = -2 x 2y +4※※※※※※ ※※※※※※ ※※※※※※ ※※※※※※ 41、 1-3(2ab +a )十[1-2(2a -3ab )]=2-7a42、 3x -[5x +(3x -2)]=-5x +243、(3a 2b -ab 2)-(ab 2+3a 2b )= -2ab 244、()[]{}y x x y x --+--32332 = 5x +y 45、(-x 2+5+4x 3)+(-x 3+5x -4)= 3x 3-x 2+5x +146、(5a 2-2a +3)-(1-2a +a 2)+3(-1+3a -a 2)=a 2+9a -147、5(3a 2b -ab 2)-4(-ab 2+3a 2b ).=3a 2b -ab 248、4a 2+2(3ab -2a 2)-(7ab -1)=1-ab※※※※※※ ※※※※※※ ※※※※※※ ※※※※※※49、 21xy +(-41xy )-2xy 2-(-3y 2x )=41xy +xy 2 50、5a 2-[a 2-(5a 2-2a )-2(a 2-3a )]=11a 2-8a51、5m -7n -8p +5n -9m +8p=-4m -2n52、(5x 2y -7xy 2)-(xy 2-3x 2y )=8x 2y -6xy 253、 3x 2y -[2x 2y -3(2xy -x 2y )-xy]=-2x 2y +7xy 54、 3x 2-[5x -4( 21x 2-1)]+5x 2 = 10x 2-5x -4 55、2a 3b - 21a 3b -a 2b + 21a 2b -ab 2 = 23a 3b - 21a 2b -ab 2 56、(a 2+4ab -4b 2)-3(a 2+b 2)-7(b 2-ab )=-2a 2+11ab -14b 2※※※※※※ ※※※※※※ ※※※※※※ ※※※※※※ ※※※※※※ ※※※※※※ ※※※※※※ ※※※※※※57、a 2+2a 3+(-2a 3)+(-3a 3)+3a 2 = -3a 3+4a 258、5ab +(-4a 2b 2)+8ab 2-(-3ab )+(-a 2b )+4a 2b 2=8ab +8ab 2-a 2b59、(7y -3z )-(8y -5z )=-y +2z60、-3(2x 2-xy )+4(x 2+xy -6)=-2x 2+7xy -2461、(x 3+3x 2y -5xy 2+9y 3)+(-2y 3+2xy 2+x 2y -2x 3)-(4x 2y -x 3-3xy 2+7y 3)=062、-3x 2y +2x 2y +3xy 2-2xy 2 = -x 2y +xy 263、3(a 2-2ab )-2(-3ab +b 2)=3a 2-2b 264、5abc -{2a 2b -[3abc -(4a 2b -ab 2]}=8abc -6a 2b +ab 2※※※※※※ ※※※※※※ ※※※※※※ ※※※※※※ 65、5m 2-[m 2+(5m 2-2m )-2(m 2-3m )]=m 2-4m 66、-[2m -3(m -n +1)-2]-1=m -3n +4 67、31a -(21a -4b -6c)+3(-2c +2b)= -61a +10b 68、 -5a n -a n -(-7a n )+(-3a n )= -2a n69、x 2y -3xy 2+2yx 2-y 2x=3x 2y -4xy 2 71、41a 2b -0.4ab 2- 21a 2b + 52ab 2 = -41a 2b 71、3a -{2c -[6a -(c -b )+c +(a +8b -6)]}= 10a +9b -2c -6 72、-3(xy -2x 2)-[y 2-(5xy -4x 2)+2xy]= 2x 2-y 2※※※※※※ ※※※※※※ ※※※※※※ ※※※※※※※※※※※※ ※※※※※※ ※※※※※※ ※※※※※※73、化简、求值21x 2-2212- (x + y )2⎡⎤⎢⎥⎣⎦-23(-32x 2+31y 2),其中x =-2, y =-34 原式=2x 2+21y 2-2 =69874、化简、求值21x -2(x -31y 2)+(-23x +31y 2),其中x =-2,y =-32. 原式=-3x +y 2=69475、x x x x x x 5)64(213223312323-++-⎪⎭⎫ ⎝⎛---其中x =-121;原式=x 3+x 2-x +6=68376、 化简,求值(4m +n )-[1-(m -4n )],m=52 n=-131 原式=5m -3n -1=5※※※※※※※※※※※※※※※※※※※※※※※※77、化简、求值2(a2b+2b3-ab3)+3a3-(2ba2-3ab2+3a3)-4b3,其中a=-3,b=2原式=-2ab3+3ab2=1278、化简,求值:(2x3-xyz)-2(x3-y3+xyz)+(xyz-2y3),其中x=1,y=2,z=-3.原式=-2xyz=679、化简,求值:5x2-[3x-2(2x-3)+7x2],其中x=-2.原式=-2x2+x-6=-1680、若两个多项式的和是2x2+xy+3y2,一个加式是x2-xy,求另一个加式.(2x2+xy+3y2 )——(x2-xy)= x2+2xy+3y2※※※※※※※※※※※※※※※※※※※※※※※※※※※※※※※※※※※※※※※※※※※※※※※※81、若2a2-4ab+b2与一个多项式的差是-3a2+2ab-5b2,试求这个多项式.(2a2-4ab+b2)—(-3a2+2ab-5b2)=5a2 -6ab+6b282、求5x2y-2x2y与-2xy2+4x2y的和.(5x2y-2x2y)+(-2xy2+4x2y)=3xy2+2x2y83、求3x2+x-5与4-x+7x2的差.(3x2+x-5)—(4-x+7x2)=—4x2+2x-984、计算5y+3x+5z2与12y+7x-3z2的和(5y+3x+5z2)+(12y+7x-3z2)=17y+10x+2z2※※※※※※※※※※※※※※※※※※※※※※※※答案:85-92※※※※※※ ※※※※※※ ※※※※※※ ※※※※※※ 85、计算8xy 2+3x 2y -2与-2x 2y +5xy 2-3的差(8xy 2+3x 2y -2)—(-2x 2y +5xy 2-3)=5x 2y +3xy 2+186、 多项式-x 2+3xy -21y 与多项式M 的差是-21x 2-xy +y ,求多项式MM=-21x 2+4xy —23y87、当x=- 21,y=-3时,求代数式3(x 2-2xy )-[3x 2-2y +2(xy +y )]的值.原式=-8xy +y= —1588、化简再求值5abc -{2a 2b -[3abc -(4ab 2-a 2b )]-2ab 2},其中a=-2,b=3,c=-41原式=83abc -a 2b -2ab 2=36※※※※※※ ※※※※※※ ※※※※※※ ※※※※※※ ※※※※※※ ※※※※※※ ※※※※※※ ※※※※※※ 89、已知A=a 2-2ab +b 2,B=a 2+2ab +b 2 (1)求A +B ; (2)求41(B -A); A +B=2a 2+2b 241(B -A)=ab 90、小明同学做一道题,已知两个多项式A ,B ,计算A +B ,他误将A +B 看作A -B ,求得9x 2-2x +7,若B=x 2+3x -2,你能否帮助小明同学求得正确答案? A=10x 2+x +5 A +B=11x 2+4x +391、已知:M=3x 2+2x -1,N=-x 2-2+3x ,求M -2N . M -2N=5x 2-4x +392、已知222244,5A x xy y B x xy y =-+=+-,求3A -B 3A -B=11x 2-13xy +8y 2答案:93-100 ※※※※※※※※※※※※※※※※※※93、已知A=x2+xy+y2,B=-3xy-x2,求2A-3B.2A-3B= 5x2+11xy+2y294、已知2a+(b+1)2=0,求5ab2-[2a2b-(4ab2-2a2b)]的值.原式=9ab2-4a2b=3495、化简求值:5abc-2a2b+[3abc-2(4ab2-a2b)],其中a、b、c满足|a-1|+|b-2|+c2=0.原式=8abc-8a2b=-3296、已知a,b,z满足:(1)已知|x-2|+(y+3)2=0,(2)z是最大的负整数,化简求值:2(x2y+xyz)-3(x2y-xyz)-4x2y.原式=-5x2y+5xyz=90※※※※※※※※※※※※※※※※※※※※※※※※97、已知a+b=7,ab=10,求代数式(5ab+4a+7b)+(6a-3ab)-(4ab-3b)的值.原式=10a+10b-2ab=5098、已知m2+3mn=5,求5m2-[+5m2-(2m2-mn)-7mn-5]的值原式=2m2+6mn+5=1599、设A=2x2-3xy+y2+2x+2y,B=4x2-6xy+2y2-3x-y,若|x-2a|+(y-3)2=0,且B-2A=a,求a 的值.B-2A=-7x-5y=-14a-15=a a=-1100、有两个多项式:A=2a2-4a+1,B=2(a2-2a)+3,当a取任意有理数时,请比较A与B的大小.A=2a2-4a+1 B=2a2-4a+3 所以A<B。
整式的加减练习100题一、100道整数加减题1. 2+4=2. 8-3=3. 6+7=4. 16-8=5. 5+15=6. 12-5=7. 9+11=8. 18-2=9. 4+12=10. 17-10=11. 0+7=12. 11-6=13. 6+14=14. 16-1=15. 9+8=16. 17-7=17. 3+16=18. 14-3=19. 5+11=20. 19-8=21. 8+13=22. 18-11=23. 10+6=24. 16-7=25. 4+2=26. 13-5=27. 6+9=28. 19-4=29. 21+14=30. 20-3=31. 0-8=32. 13-9=33. 3+2=35. 10+5=36. 17-8=37. 6+5=38. 12-2=39. 11+13=40. 18-7=41. 7-4=42. 16-12=43. 5-2=44. 15-13=45. 11+14=46. 19-6=47. 0-2=48. 18-11=49. 12+2=50. 14-3=51. 5+19=52. 17-10=53. 9+3=54. 20-13=55. 8-5=56. 14-8=57. 6+4=58. 12-4=59. 0+11=60. 19-7=61. 7+10=62. 18-6=63. 5+1=64. 17-9=65. 0+15=66. 10-6=67. 4+8=68. 15-7=69. 11+9=70. 20-12=71. 5-3=72. 14-2=74. 16-12=75. 0+13=76. 18-7=77. 9-7=78. 15-2=79. 5+6=80. 19-13=81. 3-2=82. 11-4=83. 1+11=84. 17-10=85. 10+7=86. 19-11=87. 8-6=88. 13-5=89. 2+1=90. 12-8=91. 0+4=92. 18-14=93. 11+1=94. 17-3=95. 6+7=96. 20-5=97. 3-1=98. 13-9=99. 8+11= 100. 19-2=二、答案:1. 62. 53. 134. 85. 206. 77. 208. 169. 1611. 712. 513. 2014. 1515. 1716. 1017. 1918. 1119. 1620. 1121. 2122. 723. 1624. 925. 626. 827. 1528. 1529. 3530. 1731. -832. 433. 534. 435. 1536. 937. 1138. 1039. 2440. 1141. 342. 443. 344. 245. 2546. 1347. -248. 750. 1151. 2452. 753. 1254. 755. 356. 657. 1058. 859. 1160. 1261. 1762. 1263. 664. 865. 1566. 467. 1268. 869. 2070. 871. 272. 1273. 1174. 475.1376. 1177. 278. 1379. 1180. 681. 182. 783. 1284. 785. 1786. 887. 289. 390. 491. 492. 493. 1294. 1495. 1396. 1597. 298. 499. 19100. 17三、100道整数加减题解析1. 2+4=6:2和4相加,结果是6。
整式的加减专项练习100题之迟辟智美创作1、3(a+5b )-2(b-a )2、3a-(2b-a )+b3、2(2a 2+9b )+3(-5a 2-4b )4、(x 3-2y 3-3x 2y )-(3x 3-3y 3-7x 2y )5、3x 2-[7x-(4x-3)-2x 2]6、(2xy-y )-(-y+yx )7、5(a 2b-3ab 2)-2(a 2b-7ab )8、(-2ab+3a )-2(2a-b )+2ab9、(7m 2n-5mn )-(4m 2n-5mn )10、(5a 2+2a-1)-4(3-8a+2a 2).11、-3x 2y+3xy 2+2x 2y-2xy 2;12、2(a-1)-(2a-3)+3.13、-2(ab-3a 2)-[2b 2-(5ab+a 2)+2ab]14、(x 2-xy+y )-3(x 2+xy-2y ) 15、3x 2-[7x-(4x-3)-2x 2]16、a 2b-[2(a 2b-2a 2c )-(2bc+a 2c)];17、-2y 3+(3xy 2-x 2y )-2(xy 2-y 3).18、2(2x-3y )-(3x+2y+1)19、-(3a 2-4ab )+[a 2-2(2a+2ab )]. 20、5m-7n-8p+5n-9m-p ;21、(5x 2y-7xy 2)-(xy 2-3x 2y );22、3(-3a 2-2a )-[a 2-2(5a-4a 2+1)-3a].23、3a 2-9a+5-(-7a 2+10a-5);24、-3a 2b-(2ab 2-a 2b )-(2a 2b+4ab 2).25、(5a-3a 2+1)-(4a 3-3a 2);26、-2(ab-3a 2)-[2b 2-(5ab+a 2)+2ab]27、(8xy -x 2+y 2)+(-y 2+x 2-8xy );28、(2x 2-21+3x )-4(x -x 2+21);29、3x 2-[7x -(4x -3)-2x 2].30、5a+(4b-3a )-(-3a+b );31、(3a2-3ab+2b2)+(a2+2ab-2b2);32、2a2b+2ab2-[2(a2b-1)+2ab2+2].33、(2a 2-1+2a )-3(a-1+a 2);34、2(x 2-xy )-3(2x 2-3xy )-2[x 2-(2x 2-xy+y 2)].35、 -32ab +43a 2b +ab +(-43a 2b )-136、(8xy -x 2+y 2)+(-y 2+x 2-8xy );37、2x -(3x -2y +3)-(5y -2);38、-(3a +2b )+(4a -3b +1)-(2a --3)39、4x 3-(-6x 3)+(-9x 3)40、3-2xy +2yx 2+6xy -4x 2y41、 1-3(2ab +a )十[1-2(2a -3ab )].42、 3x -[5x +(3x -2)]; 43、(3a 2b -ab 2)-(ab 2+3a 2b ) 44、()[]{}y x x y x --+--3233245、(-x 2+5+4x 3)+(-x 3+5x -4)46、(5a 2-2a+3)-(1-2a+a 2)+3(-+3a-a 2).47、5(3a 2b-ab 2)-4(-ab 2+3a 2b ).48、4a 2+2(3ab-2a 2)-(7ab-1).49、 21xy+(-41xy )-2xy 2-(-3y 2x )50、5a 2-[a 2-(5a 2-2a )-2(a 2-3a )]51、5m-7n-8p+5n-9m+8p52、(5x 2y-7xy 2)-(xy 2-3x 2y )53、 3x 2y-[2x 2y-3(2xy-x 2y )-xy]56、(a 2+4ab-4b 2)-3(a 2+b 2)-7(b 2-ab ).57、a 2+2a 3+(-2a 3)+(-3a 3)+3a 258、5ab+(-4a 2b 2)+8ab 2-(-3ab )+(-a 2b )+4a 2b 2;59、(7y-3z )-(8y-5z );60、-3(2x 2-xy )+4(x 2+xy-6). 61、(x 3+3x 2y-5xy 2+9y 3)+(-2y 3+2xy 2+x 2y-2x 3)-(4x 2y-x 3-3xy 2+7y 3)62、-3x2y+2x 2y+3xy 2-2xy 2;63、3(a 2-2ab )-2(-3ab+b 2); 64、5abc-{2a 2b-[3abc-(4a 2b-ab 2]}.65、5m 2-[m 2+(5m 2-2m )-2(m 2-3m )].66、-[2m-3(m-n+1)-2]-1.67、31a-( 21a-4b-6c)+3(-2c+2b)68、 -5a n -a n -(-7a n )+(-3a n)69、x 2y-3xy 2+2yx 2-y 2x70、 41a 22-21a 2b+52ab 2;71、3a-{2c-[6a-(c-b )+c+(a+8b-6)]}72、-3(xy-2x 2)-[y 2-(5xy-4x 2)+2xy];73、化简、求值21x 2-2212- (x + y )2⎡⎤⎢⎥⎣⎦-23(-32x 2+31y 2),其中x =-2, y=-3474、化简、求值21x -2(x -31y 2)+(-23x +31y 2),其中x =-2,y =-32. 75、x x x x x x 5)64(213223312323-++-⎪⎭⎫ ⎝⎛---其中x =-121;76、 化简,求值(4m+n )-[1-(m-4n )],m=52 n=-13177、化简、求值2(a 2b +2b 3-ab 3)+3a 3-(2ba 2-3ab 2+3a 3)-4b 3,其中a =-3,b =278、化简,求值:(2x 3-xyz )-2(x 3-y 3+xyz )+(xyz-2y 3),其中x=1,y=2,z=-79、化简,求值:5x 2-[3x-2(2x-3)+7x 2],其中x=-2.80、若两个多项式的和是2x 2+xy+3y 2,一个加式是x 2-xy ,求另一个加式.81、若2a 2-4ab+b 2与一个多项式的差是-3a 2+2ab-5b 2,试求这个多项式.82、求5x 2y -2x 2y 与-2xy 2+4x 2y的和.83、 求3x 2+x -5与4-x +7x 2的差.84、计算5y+3x+5z 2与12y+7x-3z 2的和85、计算8xy 2+3x 2y-2与-2x 2y+5xy 2-3的差86、 多项式-x 2+3xy-21y 与多项式M 的差是-21x 2-xy+y ,求多项式M87、当x=- 21,y=-3时,求代数式3(x 2-2xy )-[3x 2-2y+2(xy+y )]的值.88、化简再求值5abc-{2a 2b-[3abc-(4ab 2-a 2b )]-2ab 2},其中a=-2,b=3,c=-4189、已知A=a 2-2ab+b 2,B=a2+2ab+b2(1)求A+B;(2)求41(B-A);90、小明同学做一道题,已知两个多项式A,B,计算A+B,他误将A+B看作A-B,求得9x2-2x+7,若B=x2+3x-2,你能否帮手小明同学求得正确谜底?91、已知:M=3x2+2x-1,N=-x2-2+3x,求M-2N.92、已知222244,5A x xy yB x xy y=-+=+-,求3A-B93、已知A=x2+xy+y2,B=-3xy -x2,求2A-3B.94、已知2-a+(b+1)2=0,求5ab2-[2a2b-(4ab2-2a2b)]的值.95、化简求值:5abc-2a2b+[3abc-2(4ab2-a2b)],其中a、b、c满足|a-1|+|b-2|+c2=0.96、已知a,b,z满足:(1)已知|x-2|+(y+3)2=0,(2)z是最年夜的负整数,化简求值:2(x2y+xyz)-3(x2y-xyz)-4x2y.97、已知a+b=7,ab=10,求代数式(5ab+4a+7b)+(6a-3ab)-(4ab-3b)的值.71、已知m2+3mn=5,求5m2-[+5m2-(2m2-mn)-7mn-5]的值99、设A=2x2-3xy+y2+2x+2y,B=4x2-6xy+2y2-3x-y,若|x-2a|+(y-3)2=0,且B-2A=a,求a的值.100、有两个多项式:A=2a2-4a+1,B=2(a2-2a)+3,当a取任意有理数时,请比力A与B的年夜小.谜底:1、3(a+5b)-2(b-a)=5a+13b2、3a-(2b-a)+b=4a-b.3、2(2a2+9b)+3(-5a2-4b)=—11a2+6b24、(x3-2y3-3x2y)-(3x3-3y3-7x2y)= -2x3+y3+4x2y5、3x2-[7x-(4x-3)-2x2] = 5x2-3x-36、(2xy-y )-(-y+yx )= xy7、5(a 22b-3ab 2)-2(a 2b-7ab ) = -a 2b+11ab8、(-2ab+3a )-2(2a-b )+2ab= -2a+b9、(7m 2n-5mn )-(4m 2n-5mn )= 3m 2n10、(5a 2+2a-1)-4(3-8a+2a 2)= -a 2+34a-1311、-3x 2y+3xy 2+2x 2y-2xy 2= -x 2y+xy 212、2(a-1)-(2a-3)+3.=413、-2(ab-3a 2)-[2b 2-(5ab+a 2)+2ab]= 7a 2+ab-2b 214、(x 2-xy+y )-3(x 2+xy-2y )= -2x 2-4xy+7y15、3x 2-[7x-(4x-3)-2x 2]=5x 2-3x-316、a 2b-[2(a 2b-2a 2c )-(2bc+a 2c )]= -a 2b+2bc+6a 2c 17、-2y 3+(3xy 2-x 2y )-2(xy 2-y 3)= xy 2-x 2y18、2(2x-3y )-(3x+2y+1)=2x-8y-119、-(3a 2-4ab )+[a 2-2(2a+2ab )]=-2a 2-4a20、5m-7n-8p+5n-9m-p = -4m-2n-9p21、(5x 2y-7xy 2)-(xy 2-3x 2y )=4xy 2-4x 2y22、3(-3a 2-2a )-[a 2-2(5a-4a 2+1)-3a]=-18a 2+7a+223、3a 2-9a+5-(-7a 2+10a-5)=10a 2-19a+1024、-3a 2b-(2ab 2-a 2b )-(2a 2b+4ab 2)= -4a 2b-64ab 225、(5a-3a 2+1)-(4a 3-3a 2)=5a-4a 2+126、-2(ab-3a 2)-[2b 2-(5ab+a 2)+2ab]=7a 2+ab-2b 227、(8xy -x 2+y 2)+(-y 2+x 2-8xy )=0 28、(2x 2-21+3x )-4(x -x 2+21) =6x 2-x-25 29、3x 2-[7x -(4x -3)-2x 2]= 5x 2-3x -330、5a+(4b-3a )-(-3a+b )= 5a+3b 31、(3a 2-3ab+2b 2)+(a 2+2ab-2b 2)= 4a 2-ab32、2a 2b+2ab 2-[2(a 2b-1)+2ab 2+2].= -13、(2a 2-1+2a )-3(a-1+a 2)= -a 2-a+2 34、2(x 2-xy )-3(2x 2-3xy )-2[x 2-(2x 2-xy+y 2)]=-2x 2+5xy-2y 235、-32ab +43a 2b +ab +(-43a 2b )-1 = 31ab-136、(8xy -x 2+y 2)+(-y 2+x 2-8xy )=037、2x -(3x -2y +3)-(5y -2)=-x-3y-38、-(3a +2b )+(4a -3b +1)-(2a -b -3)= -a-4b+439、4x 3-(-6x 3)+(-9x 3)=x 340、3-2xy +2yx 2+6xy -4x 2y = -2 x 2y+441、 1-3(2ab +a )十[1-2(2a -3ab )]=2-7a42、 3x -[5x +(3x -2)]=-5x+2 43、(3a 2b -ab 2)-(ab 2+3a 2b )= -2ab 24、()[]{}y x x y x --+--32332 = 5x+y45、(-x 2+5+4x 3)+(-x 3+5x -4)= x 3-x 2+5x+146、(5a 2-2a+3)-(1-2a+a 2)+3(-1+3a-a 2)=a 2+9a-147、5(3a 2b-ab 2)-4(-ab 2+3a 2b ).=3a 2b-ab 248、4a 2+2(3ab-2a 2)-(7ab-1)=1-ab49、 21xy+(-41xy )-2xy 2-(-3y 2x )=41xy+xy 250、5a 2-[a 2-(5a 2-2a )-2(a 2-3a )]=11a 2-8a51、5m-7n-8p+5n-9m+8p=-4m-2n52、(5x 2y-7xy 2)-(xy 2-3x 2y )=8x 2y-6xy 253、 3x 2y-[2x 2y-3(2xy-x 2y )-xy]=-2x 2y+7xy56、(a 2+4ab-4b 2)-3(a 2+b 2)-7(b 2-ab )=-2a 2+11ab-14b 2 57、a 2+2a 3+(-2a 3)+(-3a 3)+3a 2=-3a 3+4a 258、5ab+(-4a 2b 2)+8ab 2-(-3ab )+(-a 2b )+4a 2b 2=8ab+8ab 2-a 2b59、(7y-3z )-(8y-5z )=-y+2z 60、-3(2x 2-xy )+4(x 2+xy-6)=-x 2+7xy-2461、(x 3+3x 2y-5xy 2+9y 3)+(-2y 3+2xy 2+x 2y-2x 3)-(4x 2y-x 3-3xy 2+7y 3)=062、-3x 2y+2x 2y+3xy 2-2xy 2=-x 2y+xy 263、3(a 2-2ab )-2(-3ab+b 2)=3a 2-2b 264、5abc-{2a 2b-[3abc-(4a 2b-ab 2]}=8abc-6a 2b+ab 265、5m 2-[m 2+(5m 2-2m )-2(m 2-3m )]=m 2-4m66、-[2m-3(m-n+1)-2]-1=m-3n+4 67、31a-( 21a-4b-6c)+3(-2c+2b)= -61a+10b 68、 -5a n -a n -(-7a n )+(-3a n )= -2a n69、x 2y-3xy 2+2yx 2-y 2x=3x 2y-4xy 272、41a 22- 21a 2b+ 52ab 2= -41a 2b 71、3a-{2c-[6a-(c-b )+c+(a+8b-6)]}= 10a+9b-2c-672、-3(xy-2x 2)-[y 2-(5xy-4x 2)+2xy]= 2x 2-y 273、化简、求值21x 2-2212- (x + y )2⎡⎤⎢⎥⎣⎦-23(-32x 2+31y 2),其中x =-2, y =-34原式=2x 2+21y 2-2 =69874、化简、求值21x -2(x -31y 2)+(-23x +31y 2),其中x =-2,y =-32. 原式=-3x+y 2=69475、x x x x x x 5)64(213223312323-++-⎪⎭⎫ ⎝⎛---其中x =-121;原式=x 3+x2-x+6=68376、化简,求值(4m+n )-[1-(m-4n )],m=52 n=-131原式=5m-3n-1=577、化简、求值2(a 2b +2b 3-ab 3)+3a 3-(2ba 2-3ab 2+3a 3)-4b 3,其中a =-3,b =2原式=-2ab 3+3ab 2=12 78、化简,求值:(2x 3-xyz )-2(x 3-y 3+xyz )+(xyz-2y 3),其中x=1,y=2,z=-3. 原式=-2xyz=679、化简,求值:5x 2-[3x-2(2x-3)+7x 2],其中x=-2. 原式=-2x 2+x-6=-16 80、若两个多项式的和是2x 2+xy+3y 2,一个加式是x 2-xy ,求另一个加式.(2x 2+xy+3y 2)——(x 2-xy )=x 2+2xy+3y281、若2a 2-4ab+b 2与一个多项式的差是-3a 2+2ab-5b 2,试求这个多项式.( 2a 2-4ab+b 2 )—(-3a 2+2ab-5b 2)=5a 2-6ab+6b 282、求5x 2y -2x 2y 与-2xy 2+4x 2y 的和.(5x 2y -2x 2y )+(-2xy 2+4x 2y )=3xy 2+2x 2y83、 求3x 2+x -5与4-x +7x 2的差.(3x 2+x -5)—(4-x +7x 2)=—4x 2+2x -984、计算5y+3x+5z 2与12y+7x-3z 2的和(5y+3x+5z 2)+(12y+7x-3z 2)=17y+10x+2z 285、计算8xy 2+3x 2y-2与-2x 2y+5xy 2-3的差(8xy 2+3x 2y-2)—(-2x 2y+5xy 2-3)=5x 2y+3xy 2+186、 多项式-x 2+3xy-21y 与多项式M 的差是-21x 2-xy+y ,求多项式M87、当3(x 2-2xy )-[3x 2-2y+2(xy+y )]的值.原式=-8xy+y= —1588、化简再求值5abc-{2a 2b-[3abc-(4ab 2-a 2b )]-2ab 2},其中a=-2,b=3,c=-41原式=83abc-a 2b-2ab 2=36 89、已知A=a 2-2ab+b 2,B=a 2+2ab+b 2 (1)求A+B ; (2)求41(B-A);A+B=2a 2+2b 241(B-A)=ab67、小明同学做一道题,已知两个多项式A ,B ,计算A+B ,他误将A+B 看作A-B ,求得9x 2-2x+7,若B=x 2+3x-2,你能否帮手小明同学求得正确谜底? A=10x 2+x+5 A+B=11x 2+4x+3 91、已知:M=3x 2+2x-1,N=-x 2-2+3x ,求M-2N . M-2N=5x 2-4x+392、已知222244,5A x xy yB x xy y=-+=+-,求3A -B3A-B=11x2-13xy+8y293、已知A=x2+xy+y2,B=-3xy-x2,求2A-3B.2A-3B= 5x2+11xy+2y294、已知2-a+(b+1)2=0,求5ab2-[2a2b-(4ab2-2a2b)]的值.原式=9ab2-4a2b=3495、化简求值:5abc-2a2b+[3abc-2(4ab2-a2b)],其中a、b、c满足|a-1|+|b-2|+c2=0.原式=8abc-8a2b=-3296、已知a,b,z满足:(1)已知|x-2|+(y+3)2=0,(2)z是最年夜的负整数,化简求值:2(x2y+xyz)-3(x2y-xyz)-4x2y.原式=-5x2y+5xyz=9097、已知a+b=7,ab=10,求代数式(5ab+4a+7b)+(6a-3ab)-(4ab-3b)的值.原式=10a+10b-2ab=5098、已知m2+3mn=5,求5m2-[+5m2-(2m2-mn)-7mn-5]的值原式=2m2+6mn+5=1599、设A=2x2-3xy+y2+2x+2y,B=4x2-6xy+2y2-3x-y,若|x-2a|+(y-3)2=0,且B-2A=a,求a的值.B-2A=-7x-5y=-14a-15=a a=-1 100、有两个多项式:A=2a2-4a +1,B=2(a2-2a)+3,当a取任意有理数时,请比力A与B的年夜小.A=2a2-4a+1B=2a2-4a+3 所以A<B。
整式的加减专项练习100题(有答案)1、3(a+5b)-2(b-a)2、3a-(2b-a)+b3、2(2a2+9b)+3(-5a2-4b)4、(x3-2y3-3x2y)-(3x3-3y3-7x2y)5、3x2-[7x-(4x-3)-2x2]6、(2xy-y)-(-y+yx)7、5(a2b-3ab2)-2(a2b-7ab)8、(-2ab+3a)-2(2a-b)+2ab9、(7m2n-5mn)-(4m2n-5mn)10、(5a2+2a-1)-4(3-8a+2a2).11、-3x2y+3xy2+2x2y-2xy2;12、2(a-1)-(2a-3)+3.13、-2(ab-3a2)-[2b2-(5ab+a2)+2ab]14、(x2-xy+y)-3(x2+xy-2y)15、3x2-[7x-(4x-3)-2x2]16、a2b-[2(a2b-2a2c)-(2bc+a2c)];17、-2y3+(3xy2-x2y)-2(xy2-y3).18、2(2x-3y)-(3x+2y+1)19、-(3a2-4ab)+[a2-2(2a+2ab)].20、5m-7n-8p+5n-9m-p;21、(5x2y-7xy2)-(xy2-3x2y);22、3(-3a2-2a)-[a2-2(5a-4a2+1)-3a].23、3a2-9a+5-(-7a2+10a-5);24、-3a 2b-(2ab 2-a 2b )-(2a 2b+4ab 2).25、(5a-3a 2+1)-(4a 3-3a 2);26、-2(ab-3a 2)-[2b 2-(5ab+a 2)+2ab]27、(8xy -x 2+y 2)+(-y 2+x 2-8xy );28、(2x 2-21+3x )-4(x -x 2+21);29、3x 2-[7x -(4x -3)-2x 2].30、5a+(4b-3a )-(-3a+b );31、(3a2-3ab+2b2)+(a2+2ab-2b2);32、2a2b+2ab2-[2(a2b-1)+2ab2+2].33、(2a 2-1+2a )-3(a-1+a 2);34、2(x 2-xy )-3(2x 2-3xy )-2[x 2-(2x 2-xy+y 2)].35、 -32ab +43a 2b +ab +(-43a 2b )-136、(8xy -x 2+y 2)+(-y 2+x 2-8xy );37、2x -(3x -2y +3)-(5y -2);38、-(3a +2b )+(4a -3b +1)-(2a -b -3)39、4x 3-(-6x 3)+(-9x 3)40、3-2xy +2yx 2+6xy -4x 2y41、 1-3(2ab +a )十[1-2(2a -3ab )].42、 3x -[5x +(3x -2)];43、(3a 2b -ab 2)-(ab 2+3a 2b )44、()[]{}y x x y x --+--3233245、(-x 2+5+4x 3)+(-x 3+5x -4)46、(5a 2-2a+3)-(1-2a+a 2)+3(-1+3a-a 2).47、5(3a 2b-ab 2)-4(-ab 2+3a 2b ).48、4a 2+2(3ab-2a 2)-(7ab-1).49、21xy+(-41xy )-2xy 2-(-3y 2x )50、5a 2-[a 2-(5a 2-2a )-2(a 2-3a )]51、5m-7n-8p+5n-9m+8p52、(5x 2y-7xy 2)-(xy 2-3x 2y )53、 3x 2y-[2x 2y-3(2xy-x 2y )-xy]5556、(a 2+4ab-4b 2)-3(a 2+b 2)-7(b 2-ab ).57、a 2+2a 3+(-2a 3)+(-3a 3)+3a 2;58、5ab+(-4a 2b 2)+8ab 2-(-3ab )+(-a 2b )+4a 2b 2;59、(7y-3z )-(8y-5z );60、-3(2x 2-xy )+4(x 2+xy-6).61、(x 3+3x 2y-5xy 2+9y 3)+(-2y 3+2xy 2+x 2y-2x 3)-(4x 2y-x 3-3xy 2+7y 3)62、-3x 2y+2x 2y+3xy 2-2xy 2;63、3(a 2-2ab )-2(-3ab+b 2);64、5abc-{2a 2b-[3abc-(4a 2b-ab 2]}.65、5m 2-[m 2+(5m 2-2m )-2(m 2-3m )].66、-[2m-3(m-n+1)-2]-1. 67、31a-( 21a-4b-6c)+3(-2c+2b) 68, -5a n -a n -(-7a n )+(-3a n )69、x 2y-3xy 2+2yx 2-y 2x71、3a-{2c-[6a-(c-b )+c+(a+8b-6)]} 72、-3(xy-2x 2)-[y 2-(5xy-4x 2)+2xy];73、化简、求值21x 2-2212- (x + y )2⎡⎤⎢⎥⎣⎦-23(-32x 2+31y 2),其中x =-2, y =-3474、化简、求值21x -2(x -31y 2)+(-23x +31y 2),其中x =-2,y =-32.75、x x x x x x 5)64(213223312323-++-⎪⎭⎫ ⎝⎛---其中x =-121;76、 化简,求值(4m+n )-[1-(m-4n )],m=52 n=-13177、化简、求值2(a 2b +2b 3-ab 3)+3a 3-(2ba 2-3ab 2+3a 3)-4b 3,其中a =-3,b =278、化简,求值:(2x 3-xyz )-2(x 3-y 3+xyz )+(xyz-2y 3),其中x=1,y=2,z=-3.79、化简,求值:5x 2-[3x-2(2x-3)+7x 2],其中x=-2.80、若两个多项式的和是2x 2+xy+3y 2,一个加式是x 2-xy ,求另一个加式.81、若2a 2-4ab+b 2与一个多项式的差是-3a 2+2ab-5b 2,试求这个多项式.82、求5x 2y -2x 2y 与-2xy 2+4x 2y 的和. 83、 求3x 2+x -5与4-x +7x 2的差.84、计算 5y+3x+5z2与12y+7x-3z2的和 85、计算8xy2+3x2y-2与-2x2y+5xy2-3的差86、 多项式-x 2+3xy-21y 与多项式M 的差是-21x 2-xy+y ,求多项式M87x=- 21,y=-3时,求代数式3(x 2-2xy )-[3x 2-2y+2(xy+y )]的值.88,化简再求值5abc-{2a 2b-[3abc-(4ab2-a2b )]-2ab2},其中a=-2,b=3,c=-4189、已知A=a2-2ab+b2,B=a2+2ab+b2(1)求A+B ;(2)求41(B-A);90、小明同学做一道题,已知两个多项式A ,B ,计算A+B ,他误将A+B 看作A-B ,求得9x 2-2x+7,若B=x 2+3x-2,你能否帮助小明同学求得正确答案?91、已知:M=3x 2+2x-1,N=-x 2-2+3x ,求M-2N .92、已知222244,5A x xy y B x xy y=-+=+-,求3A -B93、已知A =x 2+xy +y 2,B =-3xy -x 2,求2A -3B . 94、已知2-a +(b +1)2=0,求5ab 2-[2a 2b -(4ab 2-2a 2b )]的值.95、化简求值:5abc-2a 2b+[3abc-2(4ab 2-a 2b )],其中a 、b 、c 满足|a-1|+|b-2|+c 2=0.96、已知a ,b ,z 满足:(1)已知|x-2|+(y+3)2=0,(2)z 是最大的负整数,化简求值: 2(x 2y+xyz )-3(x 2y-xyz )-4x 2y .97、已知a+b=7,ab=10,求代数式(5ab+4a+7b )+(6a-3ab )-(4ab-3b )的值.98、已知m 2+3mn=5,求5m 2-[+5m 2-(2m 2-mn )-7mn-5]的值99、设A=2x 2-3xy+y 2+2x+2y ,B=4x 2-6xy+2y 2-3x-y ,若|x-2a|+(y-3)2=0,且B-2A=a ,求a 的值.100、有两个多项式:A =2a 2-4a +1,B =2(a 2-2a )+3,当a 取任意有理数时,请比较A 与B 的大小.答案:1、3(a+5b )-2(b-a )=5a+13b2、3a-(2b-a )+b=4a-b .3、2(2a 2+9b )+3(-5a 2-4b )=—11a2+6b24、(x 3-2y 3-3x 2y )-(3x 3-3y 3-7x 2y )= -2x 3+y 3+4x 2y5、3x 2-[7x-(4x-3)-2x 2] = 5x 2 -3x-36、(2xy-y )-(-y+yx )= xy7、5(a22b-3ab2)-2(a2b-7ab ) = -a2b+11ab8、(-2ab+3a )-2(2a-b )+2ab= -2a+b 9、(7m2n-5mn )-(4m2n-5mn )= 3m2n10、(5a 2+2a-1)-4(3-8a+2a 2)= -3a 2+34a-1311、-3x2y+3xy2+2x2y-2xy2= -x2y+xy 212、2(a-1)-(2a-3)+3.=413、-2(ab-3a 2)-[2b 2-(5ab+a2)+2ab]= 7a2+ab-2b 214、(x 2-xy+y )-3(x 2+xy-2y )= -2x 2-4xy+7y15、3x2-[7x-(4x-3)-2x2]=5x2-3x-316、a 2b-[2(a 2b-2a 2c )-(2bc+a 2c )]= -a 2b+2bc+6a 2c 17、-2y 3+(3xy 2-x 2y )-2(xy 2-y 3)= xy 2-x 2y 18、2(2x-3y )-(3x+2y+1)=2x-8y-1 19、-(3a 2-4ab )+[a 2-2(2a+2ab )]=-2a 2-4a20、5m-7n-8p+5n-9m-p = -4m-2n-9p 21、(5x 2y-7xy 2)-(xy 2-3x 2y )=4xy 2-4x 2y22、3(-3a 2-2a )-[a 2-2(5a-4a 2+1)-3a]=-18a 2 +7a+223、3a 2-9a+5-(-7a 2+10a-5)=10a 2-19a+10 24、-3a 2b-(2ab 2-a 2b )-(2a 2b+4ab 2)= -4a 2b-64ab 2 25、(5a-3a 2+1)-(4a 3-3a 2)=5a-4a 2+1 26、-2(ab-3a 2)-[2b 2-(5ab+a 2)+2ab]=7a2+ab-2b227、(8xy -x 2+y 2)+(-y 2+x 2-8xy )=028、(2x 2-21+3x )-4(x -x 2+21) = 6x 2-x-25 29、3x 2-[7x -(4x -3)-2x 2]= 5x 2-3x -330、5a+(4b-3a )-(-3a+b )= 5a+3b31、(3a2-3ab+2b2)+(a2+2ab-2b2)= 4a2-ab32、2a 2b+2ab 2-[2(a 2b-1)+2ab 2+2].= -133、(2a 2-1+2a )-3(a-1+a 2)= -a 2-a+234、2(x 2-xy )-3(2x 2-3xy )-2[x 2-(2x 2-xy+y 2)]=-2x 2+5xy-2y 235、-32ab +43a 2b +ab +(-43a 2b )-1 = 31ab-136、(8xy -x 2+y 2)+(-y 2+x 2-8xy )=037、2x -(3x -2y +3)-(5y -2)=-x-3y-138、-(3a +2b )+(4a -3b +1)-(2a -b -3)= -a-4b+4 39、4x 3-(-6x 3)+(-9x 3)= x 340、3-2xy +2yx 2+6xy -4x 2y = -2 x 2y+4 41、 1-3(2ab +a )十[1-2(2a -3ab )]=2-7a 42、 3x -[5x +(3x -2)]=-5x+2 43、(3a 2b -ab 2)-(ab 2+3a 2b )= -2ab 244、()[]{}y x x y x --+--32332 = 5x+y45、(-x 2+5+4x 3)+(-x 3+5x -4)= 3x 3-x 2+5x+146、(5a 2-2a+3)-(1-2a+a 2)+3(-1+3a-a 2)=a 2+9a-1 47、5(3a 2b-ab 2)-4(-ab 2+3a 2b ).=3a 2b-ab 248、4a 2+2(3ab-2a 2)-(7ab-1)=1-ab49、21xy+(-41xy )-2xy 2-(-3y 2x )=41xy+xy250、5a 2-[a 2-(5a 2-2a )-2(a 2-3a )]=11a 2-8a51、5m-7n-8p+5n-9m+8p=-4m-2n52、(5x 2y-7xy 2)-(xy 2-3x 2y )=8x 2y-6xy 253、 3x 2y-[2x 2y-3(2xy-x 2y )-xy]=-2x 2y+7xy54、 3x 2-[5x-4(21x 2-1)]+5x 2 = 10x2-5x-455、2a 3b-21a 3b-a 2b+21a 2b-ab 2 =23a 3b- 21a 2b-ab 256、(a 2+4ab-4b 2)-3(a 2+b 2)-7(b 2-ab )=-2a 2+11ab-14b 2 57、a 2+2a 3+(-2a 3)+(-3a 3)+3a 2 = -3a 3+4a 258、5ab+(-4a 2b 2)+8ab 2-(-3ab )+(-a 2b )+4a 2b 2=8ab+8ab 2-a 2b59、(7y-3z )-(8y-5z )=-y+2z60、-3(2x 2-xy )+4(x 2+xy-6)=-2x 2+7xy-2461、(x 3+3x 2y-5xy 2+9y 3)+(-2y 3+2xy 2+x 2y-2x 3)-(4x 2y-x 3-3xy 2+7y 3)=062、-3x 2y+2x 2y+3xy 2-2xy 2 = -x 2y+xy 263、3(a 2-2ab )-2(-3ab+b 2)=3a 2-2b 264、5abc-{2a 2b-[3abc-(4a 2b-ab 2]}=8abc-6a 2b+ab 2 65、5m 2-[m 2+(5m 2-2m )-2(m 2-3m )]=m 2-4m 66、-[2m-3(m-n+1)-2]-1=m-3n+4 67、31a-( 21a-4b-6c)+3(-2c+2b)= -61a+10b 68、 -5a n -a n -(-7a n )+(-3a n )= -2a n69、x 2y-3xy 2+2yx 2-y 2x=3x 2y-4xy 2 70、41a 2b-0.4ab 2-21a 2b+52ab 2 = -41a 2b71、3a-{2c-[6a-(c-b )+c+(a+8b-6)]}= 10a+9b-2c-672、-3(xy-2x 2)-[y 2-(5xy-4x 2)+2xy]= 2x 2-y273、化简、求值21x 2-2212- (x + y )2⎡⎤⎢⎥⎣⎦-23(-32x 2+31y 2),其中x =-2, y =-34原式=2x 2+21y 2-2 =69874、化简、求值21x -2(x -31y 2)+(-23x +31y 2),其中x =-2,y =-32.原式=-3x+y 2=69475、x x x x x x 5)64(213223312323-++-⎪⎭⎫ ⎝⎛---其中x =-121;原式=x 3+x 2-x+6=68376、 化简,求值(4m+n )-[1-(m-4n )],m=52 n=-131 原式=5m-3n-1=577、化简、求值2(a 2b +2b 3-ab 3)+3a 3-(2ba 2-3ab 2+3a 3)-4b 3,其中a =-3,b =2原式=-2ab 3+3ab 2=1278、化简,求值:(2x 3-xyz )-2(x 3-y 3+xyz )+(xyz-2y 3),其中x=1,y=2,z=-3. 原式=-2xyz=679、化简,求值:5x 2-[3x-2(2x-3)+7x 2],其中x=-2. 原式=-2x2+x-6=-16 80、若两个多项式的和是2x 2+xy+3y 2,一个加式是x 2-xy ,求另一个加式. (2x 2+xy+3y 2 )——( x 2-xy )= x 2+2xy+3y 281、若2a 2-4ab+b 2与一个多项式的差是-3a 2+2ab-5b 2,试求这个多项式.(2a 2-4ab+b 2)—(-3a 2+2ab-5b 2)=5a 2 -6ab+6b 282、求5x 2y -2x 2y 与-2xy 2+4x 2y 的和.(5x 2y -2x 2y )+(-2xy 2+4x 2y )=3xy 2+2x 2y 83、 求3x 2+x -5与4-x +7x 2的差.(3x 2+x -5)—(4-x +7x 2)=—4x 2+2x -9 84、计算 5y+3x+5z 2与12y+7x-3z2的和(5y+3x+5z 2)+(12y+7x-3z 2)=17y+10x+2z285、计算8xy2+3x 2y-2与-2x2y+5xy 2-3的差(8xy2+3x 2y-2)—(-2x 2y+5xy 2-3)=5x2y+3xy 2+186、 多项式-x 2+3xy-21y 与多项式M 的差是-21x 2-xy+y ,求多项式MM=-21x 2+4xy —23y 87x=- 21,y=-3时,求代数式3(x 2-2xy )-[3x 2-2y+2(xy+y )]的值.原式=-8xy+y= —15 88、化简再求值5abc-{2a 2b-[3abc-(4ab2-a2b )]-2ab2},其中a=-2,b=3,c=-41原式=83abc-a 2b-2ab2=3689、已知A=a2-2ab+b 2,B=a 2+2ab+b2(1)求A+B ; (2)求41(B-A);A+B=2a2+2b241(B-A)=ab90、小明同学做一道题,已知两个多项式A ,B ,计算A+B ,他误将A+B 看作A-B ,求得 9x 2-2x+7,若B=x 2+3x-2,你能否帮助小明同学求得正确答案? A=10x 2+x+5 A+B=11x 2+4x+391、已知:M=3x 2+2x-1,N=-x 2-2+3x ,求M-2N . M-2N=5x 2-4x+3 92、已知222244,5A x xy y B x xy y =-+=+-,求3A -B3A -B=11x 2-13xy+8y293、已知A =x 2+xy +y 2,B =-3xy -x 2,求2A -3B . 2A -3B= 5x 2+11xy +2y 2 94、已知2-a +(b +1)2=0,求5ab 2-[2a 2b -(4ab 2-2a 2b )]的值.原式=9ab 2-4a 2b=3495、化简求值:5abc-2a 2b+[3abc-2(4ab 2-a 2b )],其中a 、b 、c 满足|a-1|+|b-2|+c 2=0. 原式=8abc-8a 2b=-3296、已知a ,b ,z 满足:(1)已知|x-2|+(y+3)2=0,(2)z 是最大的负整数,化简求值:2(x 2y+xyz )-3(x 2y-xyz )-4x 2y .原式=-5x 2y+5xyz=9097、已知a+b=7,ab=10,求代数式(5ab+4a+7b )+(6a-3ab )-(4ab-3b )的值. 原式=10a+10b-2ab=5098、已知m 2+3mn=5,求5m 2-[+5m 2-(2m 2-mn )-7mn-5]的值 原式=2m 2+6mn+5=1599、设A=2x 2-3xy+y 2+2x+2y ,B=4x 2-6xy+2y 2-3x-y ,若|x-2a|+(y-3)2=0,且B-2A=a ,求a的值.B-2A=-7x-5y=-14a-15=a a=-1100、有两个多项式:A =2a 2-4a +1,B =2(a 2-2a )+3,当a 取任意有理数时,请比较A 与B 的大小.A=2a 2-4a +1 B =2a 2-4a +3 所以A<B。
整式的加减专项练习100题1、-3x2y+3xy2+2x2y-2xy2;2、2(a-1)-(2a-3)+3.3、-2(ab-3a2)-[2b2-(5ab+a2)+2ab]4、(x2-xy+y)-3(x2+xy-2y)5、3x2-[7x-(4x-3)-2x2]6、a2b-[2(a2b-2a2c)-(2bc+a2c)];7、-2y3+(3xy2-x2y)-2(xy2-y3).8、2(2x-3y)-(3x+2y+1)9、-(3a2-4ab)+[a2-2(2a+2ab)].10、5m-7n-8p+5n-9m-p;11、3(a+5b)-2(b-a)12、3a-(2b-a)+b13、2(2a2+9b)+3(-5a2-4b)14、(x3-2y3-3x2y)-(3x3-3y3-7x2y)15、3x2-[7x-(4x-3)-2x2]16、(2xy-y)-(-y+yx)17、5(a2b-3ab2)-2(a2b-7ab)18、(-2ab+3a)-2(2a-b)+2ab19、(7m2n-5mn)-(4m2n-5mn)20、(5a2+2a-1)-4(3-8a+2a2).21、(3a2-3ab+2b2)+(a2+2ab-2b2); 22、2a2b+2ab2-[2(a2b-1)+2ab2+2]. 23、(2a 2-1+2a )-3(a-1+a 2); 24、2(x 2-xy )-3(2x 2-3xy )-2[x 2-(2x 2-xy+y 2)]. 25、-32ab +43a 2b +ab +(-43a 2b )-126、(8xy -x 2+y 2)+(-y 2+x 2-8xy ); 27、2x -(3x -2y +3)-(5y -2); 28、-(3a +2b )+(4a -3b +1)-(2a -b -3)29、4x 3-(-6x 3)+(-9x 3) 30、3-2xy +2yx 2+6xy -4x 2y31、(5x 2y-7xy 2)-(xy 2-3x 2y );32、3(-3a 2-2a )-[a 2-2(5a-4a 2+1)-3a].33、3a 2-9a+5-(-7a 2+10a-5);34、-3a 2b-(2ab 2-a 2b )-(2a 2b+4ab 2).35、(5a-3a 2+1)-(4a 3-3a 2);36、-2(ab-3a 2)-[2b 2-(5ab+a 2)+2ab]37、(8xy -x 2+y 2)+(-y 2+x 2-8xy );38、(2x 2-21+3x )-4(x -x 2+21);39、3x 2-[7x -(4x -3)-2x 2].40、5a+(4b-3a )-(-3a+b );41、 1-3(2ab +a )十[1-2(2a -3ab )].42、 3x -[5x +(3x -2)];43、(3a 2b -ab 2)-(ab 2+3a 2b )44、()[]{}y x x y x --+--32332 45、(-x 2+5+4x 3)+(-x 3+5x -4) 46、(5a 2-2a+3)-(1-2a+a 2)+3(-1+3a-a 2).47、5(3a 2b-ab 2)-4(-ab 2+3a 2b ). 48、4a 2+2(3ab-2a 2)-(7ab-1). 49、 21xy+(-41xy )-2xy 2-(-3y 2x )50、5a 2-[a 2-(5a 2-2a )-2(a 2-3a )]51、5m-7n-8p+5n-9m+8p52、(5x 2y-7xy 2)-(xy 2-3x 2y ) 53、 3x 2y-[2x 2y-3(2xy-x 2y )-xy]5556、(a 2+4ab-4b 2)-3(a 2+b 2)-7(b 2-ab ).57、a 2+2a 3+(-2a 3)+(-3a 3)+3a 258、5ab+(-4a 2b 2)+8ab 2-(-3ab )+(-a 2b )+4a 2b 2;59、(7y-3z )-(8y-5z );60、-3(2x 2-xy )+4(x 2+xy-6).61、(x 3+3x 2y-5xy 2+9y 3)+(-2y 3+2xy 2+x 2y-2x 3)-(4x 2y-x 3-3xy 2+7y 3)62、-3x 2y+2x 2y+3xy 2-2xy 2;63、3(a 2-2ab )-2(-3ab+b 2);64、5abc-{2a 2b-[3abc-(4a 2b-ab 2]}.65、5m 2-[m 2+(5m 2-2m )-2(m 2-3m )].66、-[2m-3(m-n+1)-2]-1.67、31a-( 21a-4b-6c)+3(-2c+2b)68、 -5a n -a n -(-7a n )+(-3a n )69、x 2y-3xy 2+2yx 2-y 2x70、 41a 2b-0.4ab 2- 21a 2b+ 52ab 2;71、3a-{2c-[6a-(c-b )+c+(a+8b-6)]}72、-3(xy-2x 2)-[y 2-(5xy-4x 2)+2xy];73、化简、求值21x 2-2212- (x + y )2⎡⎤⎢⎥⎣⎦-23(-32x 2+31y 2),其中x =-2, y =-3474、化简、求值21x -2(x -31y 2)+(-23x +31y 2),其中x =-2,y =-32.75、xx x x x x 5)64(213223312323-++-⎪⎭⎫ ⎝⎛---其中x =-121; 76、 化简,求值(4m+n )-[1-(m-4n )],m=52 n=-13177、化简、求值2(a 2b +2b 3-ab 3)+3a 3-(2ba 2-3ab 2+3a 3)-4b 3,其中a =-3,b =278、化简,求值:(2x 3-xyz )-2(x 3-y 3+xyz )+(xyz-2y 3),其中x=1,y=2,z=-79、化简,求值:5x 2-[3x-2(2x-3)+7x 2],其中x=-2.80、若两个多项式的和是2x 2+xy+3y 2,一个加式是x 2-xy ,求另一个加式.81、若2a 2-4ab+b 2与一个多项式的差是-3a 2+2ab-5b 2,试求这个多项式.82、求5x 2y -2x 2y 与-2xy 2+4x 2y 的和.83、 求3x 2+x -5与4-x +7x 2的差.84、计算 5y+3x+5z 2与12y+7x-3z 2的和85、计算8xy 2+3x 2y-2与-2x 2y+5xy 2-3的差86、 多项式-x 2+3xy-21y 与多项式M 的差是-21x 2-xy+y ,求多项式M87、当求代数式3(x 2-2xy )-[3x 2-2y+288、化简再求值5abc-{2a2b-[3abc-(4ab 2-a 2b )]-2ab 2},其中a=-2,b=3,c=-4189、已知A=a 2-2ab+b 2,B=a 2+2ab+b 2(1)求A+B ;(2)求41(B-A);90、小明同学做一道题,已知两个多项式A ,B ,计算A+B ,他误将A+B 看作A-B ,求得9x 2-2x+7,若B=x 2+3x-2,你能否帮助小明同学求得正确答案?91、已知a ,b ,z 满足:(1)已知|x-2|+(y+3)2=0,(2)z 是最大的负整数,化简求值:2(x 2y+xyz )-3(x 2y-xyz )-4x 2y .92、已知a+b=7,ab=10,求代数式(5ab+4a+7b )+(6a-3ab )-(4ab-3b )的值.93、已知m 2+3mn=5,求5m 2-[+5m 2-(2m 2-mn )-7mn-5]的值94、设A=2x 2-3xy+y 2+2x+2y ,B=4x 2-6xy+2y 2-3x-y ,若|x-2a|+(y-3)2=0,且B-2A=a ,求a 的值.95、有两个多项式:A =2a 2-4a +1,B =2(a 2-2a )+3,当a 取任意有理数时,请比较A 与B 的大小. 96、已知:M=3x 2+2x-1,N=-x 2-2+3x ,求M-2N .97、已知222244,5A x xy y B x xy y =-+=+-,求3A -B98、已知A =x 2+xy +y 2,B =-3xy -x 2,求2A -3B .99、已知2-a +(b +1)2=0,求5ab 2-[2a 2b -(4ab 2-2a 2b )]的值.100、化简求值:5abc-2a 2b+[3abc-2(4ab 2-a 2b )],其中a 、b 、c 满足|a-1|+|b-2|+c 2=0.答案:1、-3x 2y+3xy 2+2x 2y-2xy 2= -x 2y+xy 22、2(a-1)-(2a-3)+3.=43、-2(ab-3a 2)-[2b 2-(5ab+a 2)+2ab]= 7a 2+ab-2b 24、(x 2-xy+y )-3(x 2+xy-2y )= -2x 2-4xy+7y5、3x 2-[7x-(4x-3)-2x 2]=5x 2-3x-36、a 2b-[2(a 2b-2a 2c )-(2bc+a 2c )]= -a 2b+2bc+6a 2c7、-2y 3+(3xy 2-x 2y )-2(xy 2-y 3)= xy 2-x 2y8、2(2x-3y )-(3x+2y+1)=2x-8y-19、-(3a 2-4ab )+[a 2-2(2a+2ab )]=-2a 2-4a10、5m-7n-8p+5n-9m-p = -4m-2n-9p 11、3(a+5b )-2(b-a )=5a+13b 12、3a-(2b-a )+b=4a-b . 13、2(2a 2+9b )+3(-5a 2-4b )=—11a 2+6b 214、(x 3-2y 3-3x 2y )-(3x 3-3y 3-7x 2y )= -2x 3+y 3+4x 2y 15、3x 2-[7x-(4x-3)-2x 2] = 5x 2-3x-3 16、(2xy-y )-(-y+yx )= xy 17、5(a 22b-3ab 2)-2(a 2b-7ab ) = -a 2b+11ab18、(-2ab+3a )-2(2a-b )+2ab= -2a+b 19、(7m 2n-5mn )-(4m 2n-5mn )= 3m 2n20、(5a 2+2a-1)-4(3-8a+2a 2)= -3a 2+34a-1321、(3a 2-3ab+2b 2)+(a 2+2ab-2b 2)= 4a 2-ab22、2a 2b+2ab 2-[2(a 2b-1)+2ab 2+2].= -123、(2a 2-1+2a )-3(a-1+a 2)= -a 2-a+2 24、2(x 2-xy )-3(2x 2-3xy )-2[x 2-(2x 2-xy+y 2)]=-2x 2+5xy-2y 225、-32ab +43a 2b +ab +(-43a 2b )-1 = 31ab-126、(8xy -x 2+y 2)+(-y 2+x 2-8xy )=027、2x -(3x -2y +3)-(5y -2)=-x-3y-128、-(3a +2b )+(4a -3b +1)-(2a -b -3)= -a-4b+4 29、4x 3-(-6x 3)+(-9x 3)= x 330、3-2xy +2yx 2+6xy -4x 2y = -2 x 2y+4 31、(5x 2y-7xy 2)-(xy 2-3x 2y )=4xy 2-4x 2y32、3(-3a 2-2a )-[a 2-2(5a-4a 2+1)-3a]=-18a 2 +7a+2 33、3a 2-9a+5-(-7a 2+10a-5)=10a 2-19a+1034、-3a 2b-(2ab 2-a 2b )-(2a 2b+4ab 2)= -4a 2b-64ab 235、(5a-3a 2+1)-(4a 3-3a 2)=5a-4a 2+136、-2(ab-3a 2)-[2b 2-(5ab+a 2)+2ab]=7a 2+ab-2b 237、(8xy -x 2+y 2)+(-y 2+x 2-8xy )=0 38、(2x 2-21+3x )-4(x -x 2+21) = 6x 2-x-25 39、3x 2-[7x -(4x -3)-2x 2]= 5x 2-3x -340、5a+(4b-3a )-(-3a+b )= 5a+3b41、 1-3(2ab +a )十[1-2(2a -3ab )]=2-7a42、 3x -[5x +(3x -2)]=-5x+243、(3a 2b -ab 2)-(ab 2+3a 2b )= -2ab 244、()[]{}y x x y x --+--32332 = 5x+y45、(-x 2+5+4x 3)+(-x 3+5x -4)= 3x 3-x 2+5x+146、(5a 2-2a+3)-(1-2a+a 2)+3(-1+3a-a 2)=a 2+9a-1 47、5(3a 2b-ab 2)-4(-ab 2+3a 2b ).=3a 2b-ab 248、4a 2+2(3ab-2a 2)-(7ab-1)=1-ab49、 21xy+(-41xy )-2xy 2-(-3y 2x )=41xy+xy 250、5a 2-[a 2-(5a 2-2a )-2(a 2-3a )]=11a 2-8a 51、5m-7n-8p+5n-9m+8p=-4m-2n59、(7y-3z )-(8y-5z )=-y+2z60、-3(2x 2-xy )+4(x 2+xy-6)=-2x 2+7xy-24 61、(x 3+3x 2y-5xy 2+9y 3)+(-2y 3+2xy 2+x 2y-2x 3)-(4x 2y-x 3-3xy 2+7y 3)=062、-3x 2y+2x 2y+3xy 2-2xy 2 = -x 2y+xy 2 63、3(a 2-2ab )-2(-3ab+b 2)=3a 2-2b 264、5abc-{2a 2b-[3abc-(4a 2b-ab 2]}=8abc-6a 2b+ab 2 65、5m 2-[m 2+(5m 2-2m )-2(m 2-3m )]=m 2-4m 66、-[2m-3(m-n+1)-2]-1=m-3n+467、31a-( 21a-4b-6c)+3(-2c+2b)= -61a+10b 68、 -5a n -a n -(-7a n )+(-3a n )= -2a n69、x 2y-3xy 2+2yx 2-y 2x=3x 2y-4xy 271、41a 2b-0.4ab 2-21a 2b+52ab 2 = -41a 2b71、3a-{2c-[6a-(c-b )+c+(a+8b-6)]}= 10a+9b-2c-672、-3(xy-2x 2)-[y 2-(5xy-4x 2)+2xy]= 2x 2-y 273、化简、求值21x 2-2212- (x + y )2⎡⎤⎢⎥⎣⎦-23(-32x 2+31y 2),其中x =-2, y =-34 原式=2x 2+21y 2-2 =69874、化简、求值21x -2(x -31y 2)+(-23x +31y 2),其中x =-2,y =-32.原式=-3x+y 2=69475、x x x x x x 5)64(213223312323-++-⎪⎭⎫ ⎝⎛---其中x =-121; 原式=x 3+x 2-x+6=68376、 化简,求值(4m+n )-[1-(m-4n )],m=52 n=-131 原式=5m-3n-1=577、化简、求值2(a 2b +2b 3-ab 3)+3a 3-(2ba 2-3ab 2+3a 3)-4b 3,其中a =-3,b =2原式=-2ab 3+3ab 2=12 78、化简,求值:(2x 3-xyz )-2(x 3-y 3+xyz )+(xyz-2y 3),其中x=1,y=2,z=-3. 原式=-2xyz=679、化简,求值:5x 2-[3x-2(2x-3)+7x 2],其中x=-2.原式=-2x 2+x-6=-1680、若两个多项式的和是2x 2+xy+3y 2,一个加式是x 2-xy ,求另一个加式.(2x 2+xy+3y 2 ) ——( x 2-xy )= x 2+2xy+3y 2 81、若2a 2-4ab+b 2与一个多项式的差是-3a 2+2ab-5b 2,试求这个多项式.( 2a 2-4ab+b 2 )—(-3a 2+2ab-5b 2)=5a 2 -6ab+6b 282、求5x 2y -2x 2y 与-2xy 2+4x 2y 的和.(5x 2y -2x 2y )+(-2xy 2+4x 2y )=3xy 2+2x 2y 83、 求3x 2+x -5与4-x +7x 2的差.(3x 2+x -5)—(4-x +7x 2)=—4x 2+2x -9 84、计算 5y+3x+5z 2与12y+7x-3z 2的和(5y+3x+5z 2)+(12y+7x-3z 2)=17y+10x+2z 2 85、计算8xy 2+3x 2y-2与-2x 2y+5xy 2-3的差(8xy 2+3x 2y-2)—(-2x 2y+5xy 2-3)=5x 2y+3xy 2+1 86、 多项式-x 2+3xy-21y 与多项式M 的差是-21x 2-xy+y ,求多项式M M=-21x 2+4xy —23y87、当x=- 21,y=-3时,求代数式3(x 2-2xy )-[3x 2-2y+2(xy+y )]的值.原式=-8xy+y= —15 88、化简再求值5abc-{2a2b-[3abc-(4ab 2-a 2b )]-2ab 2},其中a=-2,b=3,c=-41原式=83abc-a 2b-2ab 2=3689、已知A=a 2-2ab+b 2,B=a 2+2ab+b 2(1)求A+B ; (2)求41(B-A); A+B=2a 2+2b 241(B-A)=ab 90、小明同学做一道题,已知两个多项式A ,B ,计算A+B ,他误将A+B 看作A-B ,求得9x 2-2x+7,若B=x 2+3x-2,你能否帮助小明同学求得正确答案?A=10x 2+x+5 A+B=11x 2+4x+391、已知a ,b ,z 满足:(1)已知|x-2|+(y+3)2=0,(2)z 是最大的负整数,化简求值: 2(x 2y+xyz )-3(x 2y-xyz )-4x 2y .原式=-5x 2y+5xyz=9092、已知a+b=7,ab=10,求代数式(5ab+4a+7b )+(6a-3ab )-(4ab-3b )的值. 原式=10a+10b-2ab=5093、已知m 2+3mn=5,求5m 2-[+5m 2-(2m 2-mn )-7mn-5]的值原式=2m 2+6mn+5=1594、设A=2x 2-3xy+y 2+2x+2y ,B=4x 2-6xy+2y 2-3x-y ,若|x-2a|+(y-3)2=0,且B-2A=a ,求a的值.B-2A=-7x-5y=-14a-15=a a=-195、有两个多项式:A =2a 2-4a +1,B =2(a 2-2a )+3,当a 取任意有理数时,请比较A 与B 的大小. A=2a 2-4a +1 B =2a 2-4a +3 所以A<B 。
整式的加减练习100题(有答案)整式的加减专项练习100题1、3(a+5b)-2(b-a)2、3a-(2b-a)+b3、2(2a2+9b)+3(-5a2-4b)4、(x3-2y3-3x2y)-(3x3-3y3-7x2y)5、3x2-[7x-(4x-3)-2x2]6、(2xy-y)-(-y+yx)7、5(a2b-3ab2)-2(a2b-7ab)8、(-2ab+3a)-2(2a-b)+2ab9、(7m2n-5mn)-(4m2n-5mn)10、(5a2+2a-1)-4(3-8a+2a2).11、-3x2y+3xy2+2x2y-2xy2;12、2(a-1)-(2a-3)+3.13、-2(ab-3a2)-[2b2-(5ab+a2)+2ab]14、(x2-xy+y)-3(x2+xy-2y)15、3x2-[7x-(4x-3)-2x2]16、a2b-[2(a2b-2a2c)-(2bc+a2c)];17、-2y3+(3xy2-x2y)-2(xy2-y3).18、2(2x-3y)-(3x+2y+1)19、-(3a2-4ab)+[a2-2(2a+2ab)].20、5m-7n-8p+5n-9m-p;21、(5x2y-7xy2)-(xy2-3x2y);22、3(-3a2-2a)-[a2-2(5a-4a2+1)-3a].23、3a2-9a+5-(-7a2+10a-5);24、-3a2b-(2ab2-a2b)-(2a2b+4ab2).25、(5a-3a2+1)-(4a3-3a2);26、-2(ab-3a2)-[2b2-(5ab+a2)+2ab]27、(8xy-x2+y2)+(-y2+8xy);28、(2x2-21+3x)-4(x-x2+29、3x2-[7x-(4x-3)-2x2].30、5a+(4b-3a)-(-3a+b);31、(3a2-3ab+2b2)+(a2+2ab-2b2);32、2a2b+2ab2-[2(a2b-1)+2ab2+2].33、(2a2-1+2a)-3(a-1+a2);34、2(x2-xy)-3(2x2-3xy)-2[x2-(2x2-xy+y2)].35、 -32ab +43a 2b +ab +(-43a 2b )-136、(8xy -x 2+y 2)+(-y 2+x 2-8xy );37、2x -(3x -2y +3)-(5y;38、-(3a +2b )+(4a -3b +2a -b -3)39、4x 3-(-6x 3)+(-9x 3)40、3-2xy +2yx 2+6xy -4x 2y41、 1-3(2ab +a )十[1-2(2a -3ab )]. 42、 3x -[5x +(3x -2)];43、(3a 2b -ab 2)-(ab 2+3a 2b )44、()[]{}y x x y x --+--3233245、(-x 2+5+4x 3)+(-x 3-4)46、(5a 2-2a+3)-(1-2a+a 2)-1+3a-a 2).47、5(3a 2b-ab 2)-4b 2+3a 2b ).48、4a 2+2(3ab-2a 2)-b-1).49、 21xy+(-41xy )-2xy 2-y 2x )50、5a 2-[a 2-(5a 2-2a )-2(a 2-3a )]51、5m-7n-8p+5n-9m+8p52、(5x 2y-7xy 2)-(xy 2-3x 2y )53、 3x 2y-[2x 2y-3(2xy-x 2y )-xy]54、 3x 2-[5x-4( 21x 2-1)]+5x 255、2a3b- 21a 3b-a 2b+ 21a 2b-ab 2;56、(a 2+4ab-4b 2)-3(a 2+b 2)-7(b 2-ab ).57、a 2+2a 3+(-2a 3)+(-3a 3) 58、5ab+(-4a 2b 2)+8ab 2-ab )+(-a 2b )+4a 2b 2;59、(7y-3z )-(8y-5z );60、-3(2x 2-xy )+4(x 2+xy-6).61、(x 3+3x 2y-5xy 2+9y 3)+(-2y 3+2xy 2+x 2y-2x 3)-(4x 2y-x 3-3xy 2+7y 3)62、-3x 2y+2x 2y+3xy 2-2xy 2;63、3(a 2-2ab )-2(-3ab+b 2);64、5abc-{2a 2b-[3abc-(4a 2b-ab 2]}.65、5m 2-[m 2+(5m 2-2m )-2(m 2-3m )].66、-[2m-3(m-n+1)-2]-1. 67、31a-( 21a-4b-6c)+3(-2c+2b)68、 -5a n-a n-(-7a n)+(-3a n)69、x 2y-3xy 2+2yx 2-y 2x70、41a 2b-0.4ab 2- 21a 2b+ 52ab2;71、3a-{2c-[6a-(c-b )+c+(a+8b-6)]}72、-3(xy-2x 2)-[y 2-(5xy-4x 2)+2xy];73、化简、求值21x 2-2212- (x + y )2⎡⎤⎢⎥⎣⎦-23(-32x 2+31y 2),其中x =-2, y =-3474、化简、求值21x -2(x -31y 2)+(-23x +31y 2),其中x =-2,y =-32.75、x x x x x x 5)64(213223312323-++-⎪⎭⎫ ⎝⎛---其中x =-121;76、 化简,求值(4m+n )-[1-(m-4n )],m=52 n=-13177、化简、求值2(a 2b +2b3-ab 3)+3a 3-(2ba 2-3ab 2+3a 3)-4b 3,其中a =-3,b =278、化简,求值:(2x 3-xyz )-2(x 3-y 3+xyz )+(xyz-2y 3),其中x=1,y=2,z=-79、化简,求值:5x 2-[3x-2(2x-3)+7x 2],其中x=-2.80、若两个多项式的和是2x2+xy+3y2,一个加式是x2-xy,求另一个加式.81、若2a2-4ab+b2与一个多项式的差是-3a2+2ab-5b2,试求这个多项式.82、求5x2y-2x2y与-2xy2+4x2y的和.83、求3x2+x-5与4-x+7x2的差.84、计算5y+3x+5z2与12y+7x-3z2的和85、计算8xy2+3x2y-2与-2x2y+5xy2-3的差86、 多项式-x 2+3xy-21y 与多项式M 的差是-21x 2-xy+y ,求多项式M 87、当x=-21,y=-3时,求代数式3(x 2-2xy )-[3x 2-2y+2(xy+y )]的值.88、化简再求值5abc-{2a2b-[3abc-(4ab 2-a 2b )]-2ab 2},其中a=-2,b=3,c=-4189、已知A=a 2-2ab+b 2,B=a 2+2ab+b 2(1)求A+B ; (2)求41(B-A);90、小明同学做一道题,已知两个多项式A,B,计算A+B,他误将A+B看作A-B,求得9x2-2x+7,若B=x2+3x-2,你能否帮助小明同学求得正确答案?91、已知:M=3x2+2x-1,N=-x2-2+3x,求M-2N.92、已知222244,5A x xy yB x xy y=-+=+-,求3A-B93、已知A=x2+xy+y2,B =-3xy-x2,求2A-3B.94、已知2-a+(b+1)2=0,求5ab2-[2a2b-(4ab2-2a2b)]的值.95、化简求值:5abc-2a2b+[3abc-2(4ab2-a2b)],其中a、b、c满足|a-1|+|b-2|+c2=0.96、已知a,b,z满足:(1)已知|x-2|+(y+3)2=0,(2)z是最大的负整数,化简求值:2(x2y+xyz)-3(x2y-xyz)-4x2y.97、已知a+b=7,ab=10,求代数式(5ab+4a+7b)+(6a-3ab)-(4ab-3b)的值.98、已知m2+3mn=5,求5m2-[+5m2-(2m2-mn)-7mn-5]的值99、设A=2x2-3xy+y2+2x+2y,B=4x2-6xy+2y2-3x-y,若|x-2a|+(y-3)2=0,且B-2A=a,求a的值.100、有两个多项式:A=2a2-4a+1,B=2(a2-2a)+3,当a取任意有理数时,请比较A与B的大小.答案:1、3(a+5b)-2(b-a)=5a+13b2、3a-(2b-a)+b=4a-b.3、2(2a2+9b)+3(-5a2-4b)=—11a2+6b24、(x3-2y3-3x2y)-(3x3-3y3-7x2y)=-2x3+y3+4x2y5、3x2-[7x-(4x-3)-2x2] = 5x2-3x-36、(2xy-y)-(-y+yx)= xy7、5(a22b-3ab2)-2(a2b-7ab)= -a2b+11ab8、(-2ab+3a)-2(2a-b)+2ab=-2a+b9、(7m2n-5mn)-(4m2n-5mn)= 3m2n10、(5a2+2a-1)-4(3-8a+2a2)2+34a-1311、-3x2y+3xy2+2x2y-2xy2= -x2y+xy212、2(a-1)-(2a-3)+3.=413、-2(ab-3a2)-[2b2-(5ab+a2)+2ab]=7a2+ab-2b214、(x2-xy+y)-3(x2+xy-2y)= -2x2-4xy+7y15、3x2-[7x-(4x-3)-2x2]=5x2-3x-316、a2b-[2(a2b-2a2c)-(2bc+a2c)]= -a2b+2bc+6a2c17、-2y3+(3xy2-x2y)-2(xy2-y3)= xy2-x2y18、2(2x-3y)-(3x+2y+1)=2x-8y-119、-(3a2-4ab)+[a2-2(2a+2ab)]=-2a2-4a20、5m-7n-8p+5n-9m-p = -4m-2n-9p21、(5x2y-7xy2)-(xy2-3x2y)=4xy2-4x2y22、3(-3a2-2a)-[a2-2(5a-4a2+1)-3a]=-18a2 +7a+223、3a2-9a+5-(-7a2+10a-5)=10a2-19a+1024、-3a2b-(2ab2-a2b)-(2a2b+4ab2)= -4a2b-64ab225、(5a-3a 2+1)-(4a 3-3a 2)=5a-4a 2+126、-2(ab-3a 2)-[2b 2-(5ab+a 2)+2ab]=7a 2+ab-2b 227、(8xy -x 2+y 2)+(-y 2+8xy )=028、(2x 2-21+3x )-4(x -x2= 6x 2-x-2529、3x 2-[7x -(4x -3)-2x 2]= 5x 2-3x -330、5a+(4b-3a )-(-3a+b )+3b31、(3a 2-3ab+2b 2)++2ab-2b 2)= 4a 2-ab32、2a 2b+2ab 2-[2(a 2b-1)2+2].= -133、(2a 2-1+2a )-3(a-1+a 2)= -a 2-a+234、2(x 2-xy )-3(2x 2-3xy )(2x 2-xy+y 2)]=-2x 2+5xy-2y 235、-32ab +43a 2b +ab +(-43a 2b )-1 = 31ab-136、(8xy -x 2+y 2)+(-y 2+x 2-8xy )=0 37、2x -(3x -2y +3)-(5y-2)=-x-3y-138、-(3a +2b )+(4a -3b +1)-(2a -b -3)= -a-4b+439、4x 3-(-6x 3)+(-9x 3)= x 340、3-2xy +2yx 2+6xy -4x 2y = -2 x 2y+4 41、 1-3(2ab +a )十[1-2(2a -3ab )]=2-7a 42、 3x -[5x +(3x -2)]=-5x+2 43、(3a 2b -ab 2)-(ab 2+3a 2b )= -2ab 244、()[]{}y x x y x --+--32332 = 5x+y 45、(-x 2+5+4x 3)+(-x 3+5x -4)= 3x 3-x 2+5x+146、(5a 2-2a+3)-(1-2a+a 2)+3(-1+3a-a 2)=a 2+9a-147、5(3a 2b-ab 2)-4(-ab 2+3a 2b ).=3a 2b-ab 248、4a 2+2(3ab-2a 2)-(7ab-1)b 49、 21xy+(-41xy )-2xy 2-y 2x )=41xy+xy 250、5a 2-[a 2-(5a 2-2a )-23a )]=11a 2-8a51、n-8p+5n-9m+8p=-4m-2n52、(5x 2y-7xy 2)-(xy 2-3x 2y )-6xy 253、 3x 2y-[2x 2y-3(2xy-x 2y )=-2x 2y+7xy 54、3x 2-[5x-4(21x 2-1)]+5x 2 =10x 2-5x-455、2a 3b- 21a 3b-a 2b+ 21a 2b-ab 2 = 23a 3b-21a 2b-ab 256、(a 2+4ab-4b 2)-3(a 2+b 2)-7(b 2-ab )=-2a 2+11ab-14b 257、a 2+2a 3+(-2a 3)+(-3a 3)+3a2= -3a 3+4a 258、5ab+(-4a 2b 2)+8ab 2-(-3ab )+(-a 2b )+4a 2b 2=8ab+8ab 2-a 2b59、(7y-3z )-(8y-5z )=-y+2z60、-3(2x 2-xy )+4(x 2+xy-6)=-2x 2+7xy-24 61、(x 3+3x 2y-5xy 2+9y 3)+(-2y 3+2xy 2+x 2y-2x 3)-(4x 2y-x 3-3xy 2+7y 3)=062、-3x 2y+2x 2y+3xy 2-2xy 2=-x 2y+xy 263、3(a 2-2ab )-2(-3ab+b 2)=3a 2-2b 264、5abc-{2a 2b-[3abc-(4a 2b-ab 2]}=8abc-6a 2b+ab 265、5m 2-[m 2+(5m 2-2m )-2(m 2-3m )]=m 2-4m66、-[2m-3(m-n+1)-2]-1=m-3n+4 67、31a-( 21a-4b-6c)+3(-2c+2b)= -61a+10b 68、 -5a n-a n-(-7a n)+(-3a n)= -2a n69、x 2y-3xy 2+2yx 2-y 2x=3x 2y-4xy 271、41a2b-0.4ab 2- 21a2b+ 52ab2 =-41a 2b71、3a-{2c-[6a-(c-b )+c+(a+8b-6)]}= 10a+9b-2c-672、-3(xy-2x 2)-[y 2-(5xy-4x 2)+2xy]= 2x 2-y 273、化简、求值21x 2-2212- (x + y )2⎡⎤⎢⎥⎣⎦-23(-32x 2+31y 2),其中x =-2, y =-34 原式=2x 2+21y 2-274、化简、求值21x -2(x -31y 2)+(-23x +31y 2),其中x =-2,y =-32.原式=-3x+y 2=69475、x x x x x x 5)64(213223312323-++-⎪⎭⎫ ⎝⎛---其中x =-121; 原式=x 3+x 2-x+6=68376、 化简,求值(4m+n )-[1-(m-4n )],m=52n=-131原式=5m-3n-1=577、化简、求值2(a 2b +2b 3-ab 3)+3a 3-(2ba 2-3ab 2+3a 3)-4b 3,其中a =-3,b =2原式=-2ab 3+3ab 2=1278、化简,求值:(2x 3-xyz )-2(x 3-y 3+xyz )+(xyz-2y 3),其中x=1,y=2,z=-3. 原式=-2xyz=6 79、化简,求值:5x 2-[3x-2(2x-3)+7x 2],其中x=-2.原式=-2x 2+x-6=-1680、若两个多项式的和是2x 2+xy+3y 2,一个加式是x 2-xy ,求另一个加式.(2x 2+xy+3y 2 ) ——( x 2-xy )= x 2+2xy+3y 281、若2a 2-4ab+b 2与一个多项式的差是-3a 2+2ab-5b 2,试求这个多项式.( 2a 2-4ab+b 2 )—(-3a 2+2ab-5b 2)=5a 2 -6ab+6b 282、求5x 2y -2x 2y 与-2xy 2+4x 2y 的和.(5x 2y -2x 2y )+(-2xy 2+4x 2y )=3xy 2+2x 2y 83、 求3x 2+x -5与4-x +7x 2的差.(3x 2+x -5)—(4-x +7x 2)=—4x 2+2x -984、计算 5y+3x+5z 2与12y+7x-3z 2的和(5y+3x+5z 2)+(12y+7x-3z 2)=17y+10x+2z 285、计算8xy 2+3x 2y-2与-2x 2y+5xy 2-3的差(8xy 2+3x 2y-2)—(-2x 2y+5xy 2-3)=5x 2y+3xy 2+186、 多项式-x 2+3xy-21y 与多项式M 的差是-21x 2-xy+y ,求多项式MM=-21x 2+4xy —23y 87、当x=-21,y=-3时,求代数式3(x 2-2xy )-[3x 2-2y+2(xy+y )]的值.原式=-8xy+y= —15 88、化简再求值5abc-{2a2b-[3abc-(4ab 2-a 2b )]-2ab 2},其中a=-2,b=3,c=-41 原式=83abc-a 2b-2ab 2=3689、已知A=a 2-2ab+b 2,B=a 2+2ab+b 2(1)求A+B ; (2)求41(B-A); A+B=2a 2+2b 241(B-A)=ab 90、小明同学做一道题,已知两个多项式A ,B ,计算A+B ,他误将A+B 看作A-B ,求得9x2-2x+7,若B=x2+3x-2,你能否帮助小明同学求得正确答案?A=10x2+x+5A+B=11x2+4x+391、已知:M=3x2+2x-1,N=-x2-2+3x,求M-2N.M-2N=5x2-4x+3 92、已知222244,5A x xy yB x xy y=-+=+-,求3A -B3A-B=11x2-13xy+8y293、已知A=x2+xy+y2,B =-3xy-x2,求2A-3B.2A-3B= 5x2+11xy +2y294、已知2-a+(b+1)2=0,求5ab2-[2a2b-(4ab2-2a2b)]的值.原式=9ab2-4a2b=3495、化简求值:5abc-2a2b+[3abc-2(4ab2-a2b)],其中a、b、c 满足|a-1|+|b-2|+c2=0.原式=8abc-8a2b=-32 96、已知a,b,z满足:(1)已知|x-2|+(y+3)2=0,(2)z是最大的负整数,化简求值:2(x2y+xyz)-3(x2y-xyz)-4x2y.原式=-5x2y+5xyz=9097、已知a+b=7,ab=10,求代数式(5ab+4a+7b)+(6a-3ab)-(4ab-3b)的值.原式=10a+10b-2ab=5098、已知m2+3mn=5,求5m2-[+5m2-(2m2-mn)-7mn-5]的值原式=2m2+6mn+5=1599、设A=2x2-3xy+y2+2x+2y,B=4x2-6xy+2y2-3x-y,若|x-2a|+(y-3)2=0,且B-2A=a,求a的值.B-2A=-7x-5y=-14a-15=aa=-1100、有两个多项式:A=2a2-4a+1,B=2(a2-2a)+3,当a取任意有理数时,请比较A与B的大小.A=2a2-4a+1 B=2a2-4a+3 所以A<B。
整式的加减专项练习100题1、3(a+5b)-2(b-a)2、3a-(2b-a)+b3、2(2a2+9b)+3(-5a2-4b)4、(x3-2y3-3x2y)-(3x3-3y3-7x2y)5、3x2-[7x-(4x-3)-2x2]6、(2xy-y)-(-y+yx)7、5(a2b-3ab2)-2(a2b-7ab)8、(-2ab+3a)-2(2a-b)+2ab9、(7m2n-5mn)-(4m2n-5mn)10、(5a2+2a-1)-4(3-8a+2a2).11、-3x2y+3xy2+2x2y-2xy2;12、2(a-1)-(2a-3)+3.13、-2(ab-3a2)-[2b2-(5ab+a2)+2ab]14、(x2-xy+y)-3(x2+xy-2y)15、3x2-[7x-(4x-3)-2x2]16、a2b-[2(a2b-2a2c)-(2bc+a2c)];17、-2y3+(3xy2-x2y)-2(xy2-y3).18、2(2x-3y)-(3x+2y+1)19、-(3a2-4ab)+[a2-2(2a+2ab)].20、5m-7n-8p+5n-9m-p ; 21、(5x 2y-7xy 2)-(xy 2-3x 2y ); 22、3(-3a 2-2a )-[a 2-2(5a-4a 2+1)-3a]. 23、3a 2-9a+5-(-7a 2+10a-5); 24、-3a 2b-(2ab 2-a 2b )-(2a 2b+4ab 2). 25、(5a-3a 2+1)-(4a 3-3a 2);26、-2(ab-3a 2)-[2b 2-(5ab+a 2)+2ab] 27、(8xy -x 2+y 2)+(-y 2+x 2-8xy ); 28、(2x 2-21+3x )-4(x -x 2+21);29、3x 2-[7x -(4x -3)-2x 2].30、5a+(4b-3a )-(-3a+b ); 31、(3a2-3ab+2b2)+(a2+2ab-2b2); 32、2a2b+2ab2-[2(a2b-1)+2ab2+2]. 33、(2a 2-1+2a )-3(a-1+a 2); 34、2(x 2-xy )-3(2x 2-3xy )-2[x 2-(2x 2-xy+y 2)].35、 -32ab +43a 2b +ab +(-43a 2b )-136、(8xy -x 2+y 2)+(-y 2+x 2-8xy );37、2x -(3x -2y +3)-(5y -2);38、-(3a +2b )+(4a -3b +1)-(2a -b -3)39、4x 3-(-6x 3)+(-9x 3)40、3-2xy +2yx 2+6xy -4x 2y41、 1-3(2ab +a )十[1-2(2a -3ab )].42、 3x -[5x +(3x -2)];43、(3a 2b -ab 2)-(ab 2+3a 2b )44、()[]{}y x x y x --+--3233245、(-x 2+5+4x 3)+(-x 3+5x -4)46、(5a 2-2a+3)-(1-2a+a 2)+3(-1+3a-a 2).47、5(3a 2b-ab 2)-4(-ab 2+3a 2b ).48、4a 2+2(3ab-2a 2)-(7ab-1).49、 21xy+(-41xy )-2xy 2-(-3y 2x )50、5a 2-[a 2-(5a 2-2a )-2(a 2-3a )]51、5m-7n-8p+5n-9m+8p52、(5x 2y-7xy 2)-(xy 2-3x 2y )5556、(a 2+4ab-4b 2)-3(a 2+b 2)-7(b 2-ab ).57、a 2+2a 3+(-2a 3)+(-3a 3)+3a 258、5ab+(-4a 2b 2)+8ab 2-(-3ab )+(-a 2b )+4a 2b 2;59、(7y-3z )-(8y-5z );60、-3(2x 2-xy )+4(x 2+xy-6).61、(x 3+3x 2y-5xy 2+9y 3)+(-2y 3+2xy 2+x 2y-2x 3)-(4x 2y-x 3-3xy 2+7y 3)62、-3x 2y+2x 2y+3xy 2-2xy 2;63、3(a 2-2ab )-2(-3ab+b 2);64、5abc-{2a 2b-[3abc-(4a 2b-ab 2]}.65、5m 2-[m 2+(5m 2-2m )-2(m 2-3m )].66、-[2m-3(m-n+1)-2]-1. 67、31a-( 21a-4b-6c)+3(-2c+2b)68、 -5a n-a n-(-7a n)+(-3a n)69、x 2y-3xy 2+2yx 2-y 2x70、41a 2b-0.4ab 2-21a 2b+52ab 2;71、3a-{2c-[6a-(c-b )+c+(a+8b-6)]}72、-3(xy-2x 2)-[y 2-(5xy-4x 2)+2xy];73、化简、求值21x 2-2212- (x + y )2⎡⎤⎢⎥⎣⎦-23(-32x 2+31y 2),其中x =-2, y =-3474、化简、求值21x -2(x -31y 2)+(-23x +31y 2),其中x =-2,y =-32.75、x x x x x x 5)64(213223312323-++-⎪⎭⎫ ⎝⎛---其中x =-121;76、 化简,求值(4m+n )-[1-(m-4n )],m=52 n=-13177、化简、求值2(a 2b +2b 3-ab 3)+3a 3-(2ba 2-3ab 2+3a 3)-4b 3,其中a =-3,b =278、化简,求值:(2x 3-xyz )-2(x 3-y 3+xyz )+(xyz-2y 3),其中x=1,y=2,z=-79、化简,求值:5x 2-[3x-2(2x-3)+7x 2],其中x=-2.80、若两个多项式的和是2x 2+xy+3y 2,一个加式是x 2-xy ,求另一个加式.81、若2a 2-4ab+b 2与一个多项式的差是-3a 2+2ab-5b 2,试求这个多项式.82、求5x 2y -2x 2y 与-2xy 2+4x 2y 的和.83、 求3x 2+x -5与4-x +7x 2的差.84、计算 5y+3x+5z 2与12y+7x-3z 2的和85、计算8xy 2+3x 2y-2与-2x 2y+5xy 2-3的差86、 多项式-x 2+3xy-21y 与多项式M 的差是-21x 2-xy+y ,求多项式M87、当求代数式3(x 2-2xy )-[3x 2-2y+2(xy+y )]的值.88、化简再求值5abc-{2a2b-[3abc-(4ab 2-a 2b )]-2ab 2},其中a=-2,b=3,c=-4189、已知A=a 2-2ab+b 2,B=a 2+2ab+b 2(1)求A+B ;(2)求41(B-A);90、小明同学做一道题,已知两个多项式A ,B ,计算A+B ,他误将A+B 看作A-B ,求得9x 2-2x+7,若B=x 2+3x-2,你能否帮助小明同学求得正确答案?91、已知:M=3x 2+2x-1,N=-x 2-2+3x ,求M-2N .92、已知222244,5A x xy y B x xy y =-+=+-,求3A -B 93、已知A =x 2+xy +y 2,B =-3xy -x 2,求2A -3B . 94、已知2-a +(b +1)2=0,求5ab 2-[2a 2b -(4ab 2-2a 2b )]的值. 95、化简求值:5abc-2a 2b+[3abc-2(4ab 2-a 2b )],其中a 、b 、c 满足|a-1|+|b-2|+c 2=0.96、已知a ,b ,z 满足:(1)已知|x-2|+(y+3)2=0,(2)z 是最大的负整数,化简求值:2(x 2y+xyz )-3(x 2y-xyz )-4x 2y .97、已知a+b=7,ab=10,求代数式(5ab+4a+7b )+(6a-3ab )-(4ab-3b )的值. 98、已知m 2+3mn=5,求5m 2-[+5m 2-(2m 2-mn )-7mn-5]的值99、设A=2x 2-3xy+y 2+2x+2y ,B=4x 2-6xy+2y 2-3x-y ,若|x-2a|+(y-3)2=0,且B-2A=a ,求a 的值.100、有两个多项式:A =2a 2-4a +1,B =2(a 2-2a )+3,当a 取任意有理数时,请比较A 与B 的大小.答案:1、3(a+5b )-2(b-a )=5a+13b2、3a-(2b-a )+b=4a-b .3、2(2a 2+9b )+3(-5a 2-4b )=—11a 2+6b 24、(x 3-2y 3-3x 2y )-(3x 3-3y 3-7x 2y )= -2x 3+y 3+4x 2y5、3x 2-[7x-(4x-3)-2x 2] = 5x 2-3x-3 6、(2xy-y )-(-y+yx )= xy7、5(a 22b-3ab 2)-2(a 2b-7ab ) = -a 2b+11ab8、(-2ab+3a )-2(2a-b )+2ab= -2a+b 9、(7m 2n-5mn )-(4m 2n-5mn )= 3m 2n10、(5a 2+2a-1)-4(3-8a+2a 2)= -3a 2+34a-13 11、-3x 2y+3xy 2+2x 2y-2xy 2= -x 2y+xy 2 12、2(a-1)-(2a-3)+3.=413、-2(ab-3a 2)-[2b 2-(5ab+a 2)+2ab]= 7a 2+ab-2b 214、(x 2-xy+y )-3(x 2+xy-2y )= -2x 2-4xy+7y15、3x 2-[7x-(4x-3)-2x 2]=5x 2-3x-316、a 2b-[2(a 2b-2a 2c )-(2bc+a 2c )]= -a 2b+2bc+6a 2c 17、-2y 3+(3xy 2-x 2y )-2(xy 2-y 3)= xy 2-x 2y 18、2(2x-3y )-(3x+2y+1)=2x-8y-1 19、-(3a 2-4ab )+[a 2-2(2a+2ab )]=-2a 2-4a20、5m-7n-8p+5n-9m-p = -4m-2n-9p 21、(5x 2y-7xy 2)-(xy 2-3x 2y )=4xy 2-4x 2y 22、3(-3a 2-2a )-[a 2-2(5a-4a 2+1)-3a]=-18a 2 +7a+2 23、3a 2-9a+5-(-7a 2+10a-5)=10a 2-19a+10 24、-3a 2b-(2ab 2-a 2b )-(2a 2b+4ab 2)= -4a 2b-64ab 2 25、(5a-3a 2+1)-(4a 3-3a 2)=5a-4a 2+1 26、-2(ab-3a 2)-[2b 2-(5ab+a 2)+2ab]=7a 2+ab-2b 227、(8xy -x 2+y 2)+(-y 2+x 2-8xy )=028、(2x 2-21+3x )-4(x -x 2+21) = 6x 2-x-25 29、3x 2-[7x -(4x -3)-2x 2]= 5x 2-3x -330、5a+(4b-3a )-(-3a+b )= 5a+3b31、(3a 2-3ab+2b 2)+(a 2+2ab-2b 2)= 4a 2-ab32、2a 2b+2ab 2-[2(a 2b-1)+2ab 2+2].= -133、(2a 2-1+2a )-3(a-1+a 2)= -a 2-a+2 34、2(x 2-xy )-3(2x 2-3xy )-2[x 2-(2x 2-xy+y 2)]=-2x 2+5xy-2y 235、-32ab +43a 2b +ab +(-43a 2b )-1 = 31ab-1 36、(8xy -x 2+y 2)+(-y 2+x 2-8xy )=037、2x -(3x -2y +3)-(5y -2)=-x-3y-138、-(3a +2b )+(4a -3b +1)-(2a -b -3)= -a-4b+4 39、4x 3-(-6x 3)+(-9x 3)= x 340、3-2xy +2yx 2+6xy -4x 2y = -2 x 2y+4 41、 1-3(2ab +a )十[1-2(2a -3ab )]=2-7a42、 3x -[5x +(3x -2)]=-5x+243、(3a 2b -ab 2)-(ab 2+3a 2b )= -2ab 244、()[]{}y x x y x --+--32332 = 5x+y 45、(-x 2+5+4x 3)+(-x 3+5x -4)= 3x 3-x 2+5x+1 46、(5a 2-2a+3)-(1-2a+a 2)+3(-1+3a-a 2)=a 2+9a-1 47、5(3a 2b-ab 2)-4(-ab 2+3a 2b ).=3a 2b-ab 248、4a 2+2(3ab-2a 2)-(7ab-1)=1-ab 49、21xy+(-41xy )-2xy 2-(-3y 2x )=41xy+xy 250、5a 2-[a 2-(5a 2-2a )-2(a 2-3a )]=11a 2-8a 51、5m-7n-8p+5n-9m+8p=-4m-2n59、(7y-3z )-(8y-5z )=-y+2z 60、-3(2x 2-xy )+4(x 2+xy-6)=-2x 2+7xy-2461、(x 3+3x 2y-5xy 2+9y 3)+(-2y 3+2xy 2+x 2y-2x 3)-(4x 2y-x 3-3xy 2+7y 3)=062、-3x 2y+2x 2y+3xy 2-2xy 2 = -x 2y+xy 263、3(a 2-2ab )-2(-3ab+b 2)=3a 2-2b 264、5abc-{2a 2b-[3abc-(4a 2b-ab 2]}=8abc-6a 2b+ab 2 65、5m 2-[m 2+(5m 2-2m )-2(m 2-3m )]=m 2-4m 66、-[2m-3(m-n+1)-2]-1=m-3n+467、31a-( 21a-4b-6c)+3(-2c+2b)= -61a+10b 68、 -5a n -a n -(-7a n )+(-3a n )= -2a n69、x 2y-3xy 2+2yx 2-y 2x=3x 2y-4xy 2 71、41a 2b-0.4ab 2-21a 2b+52ab 2 = -41a 2b71、3a-{2c-[6a-(c-b )+c+(a+8b-6)]}= 10a+9b-2c-672、-3(xy-2x 2)-[y 2-(5xy-4x 2)+2xy]= 2x 2-y 273、化简、求值21x 2-2212- (x + y )2⎡⎤⎢⎥⎣⎦-23(-32x 2+31y 2),其中x =-2, y =-34 原式=2x 2+21y 2-2 =69874、化简、求值21x -2(x -31y 2)+(-23x +31y 2),其中x =-2,y =-32.原式=-3x+y 2=69475、x x x x x x 5)64(213223312323-++-⎪⎭⎫ ⎝⎛---其中x =-121; 原式=x 3+x 2-x+6=68376、 化简,求值(4m+n )-[1-(m-4n )],m=52 n=-131原式=5m-3n-1=577、化简、求值2(a 2b +2b 3-ab 3)+3a 3-(2ba 2-3ab 2+3a 3)-4b 3,其中a =-3,b =2原式=-2ab 3+3ab 2=12 78、化简,求值:(2x 3-xyz )-2(x 3-y 3+xyz )+(xyz-2y 3),其中x=1,y=2,z=-3. 原式=-2xyz=679、化简,求值:5x 2-[3x-2(2x-3)+7x 2],其中x=-2.原式=-2x 2+x-6=-1680、若两个多项式的和是2x 2+xy+3y 2,一个加式是x 2-xy ,求另一个加式.(2x 2+xy+3y 2 ) ——( x 2-xy )= x 2+2xy+3y 2 81、若2a 2-4ab+b 2与一个多项式的差是-3a 2+2ab-5b 2,试求这个多项式.( 2a 2-4ab+b 2 )—(-3a 2+2ab-5b 2)=5a 2 -6ab+6b 282、求5x 2y -2x 2y 与-2xy 2+4x 2y 的和.(5x 2y -2x 2y )+(-2xy 2+4x 2y )=3xy 2+2x 2y83、 求3x 2+x -5与4-x +7x 2的差.(3x 2+x -5)—(4-x +7x 2)=—4x 2+2x -9 84、计算 5y+3x+5z 2与12y+7x-3z 2的和(5y+3x+5z 2)+(12y+7x-3z 2)=17y+10x+2z 2 85、计算8xy 2+3x 2y-2与-2x 2y+5xy 2-3的差(8xy 2+3x 2y-2)—(-2x 2y+5xy 2-3)=5x 2y+3xy 2+1 86、 多项式-x 2+3xy-21y 与多项式M 的差是-21x 2-xy+y ,求多项式M M=-21x 2+4xy —23y87、当x=- 21,y=-3时,求代数式3(x 2-2xy )-[3x 2-2y+2(xy+y )]的值.原式=-8xy+y= —15 88、化简再求值5abc-{2a2b-[3abc-(4ab 2-a 2b )]-2ab 2},其中a=-2,b=3,c=-41 原式=83abc-a 2b-2ab 2=36 89、已知A=a 2-2ab+b 2,B=a 2+2ab+b 2(1)求A+B ; (2)求41(B-A); A+B=2a 2+2b 241(B-A)=ab 90、小明同学做一道题,已知两个多项式A ,B ,计算A+B ,他误将A+B 看作A-B ,求得9x 2-2x+7,若B=x 2+3x-2,你能否帮助小明同学求得正确答案?A=10x 2+x+5 A+B=11x 2+4x+391、已知:M=3x 2+2x-1,N=-x 2-2+3x ,求M-2N . M-2N=5x 2-4x+392、已知222244,5A x xy y B x xy y =-+=+-,求3A -B3A -B=11x 2-13xy+8y 293、已知A =x 2+xy +y 2,B =-3xy -x 2,求2A -3B .2A -3B= 5x 2+11xy +2y 294、已知2 a +(b +1)2=0,求5ab 2-[2a 2b -(4ab 2-2a 2b )]的值.原式=9ab 2-4a 2b=3495、化简求值:5abc-2a 2b+[3abc-2(4ab 2-a 2b )],其中a 、b 、c 满足|a-1|+|b-2|+c 2=0. 原式=8abc-8a 2b=-3296、已知a ,b ,z 满足:(1)已知|x-2|+(y+3)2=0,(2)z 是最大的负整数,化简求值: 2(x 2y+xyz )-3(x 2y-xyz )-4x 2y .原式=-5x 2y+5xyz=9097、已知a+b=7,ab=10,求代数式(5ab+4a+7b )+(6a-3ab )-(4ab-3b )的值. 原式=10a+10b-2ab=5098、已知m 2+3mn=5,求5m 2-[+5m 2-(2m 2-mn )-7mn-5]的值原式=2m 2+6mn+5=1599、设A=2x 2-3xy+y 2+2x+2y ,B=4x 2-6xy+2y 2-3x-y ,若|x-2a|+(y-3)2=0,且B-2A=a ,求a的值.B-2A=-7x-5y=-14a-15=a a=-1100、有两个多项式:A =2a 2-4a +1,B =2(a 2-2a )+3,当a 取任意有理数时,请比较A 与B 的大小. A=2a 2-4a +1 B =2a 2-4a +3 所以A<B。
整式加减练习题及答案一、整式加法练习题1、将3x^2 + 4x + 5和2x^2 + 3x - 7相加。
解答:将相同的项合并:(3x^2 + 2x^2) + (4x + 3x) + (5 - 7) = 5x^2 + 7x - 22、将-2y^3 + 5y^2 + 3y和-3y^3 + 2y^2 - 4y相加。
解答:将相同的项合并:(-2y^3 - 3y^3) + (5y^2 + 2y^2) + (3y - 4y) = -5y^3 + 7y^2 - y3、将ab^2 - 3a^2b + 2ab和-4ab^2 + a^2b + 3ab相加。
解答:将相同的项合并:(ab^2 - 4ab^2) + (-3a^2b + a^2b) + (2ab + 3ab) = -3ab^2 - 2a^2b + 5ab二、整式减法练习题1、将4x^2 + 3x - 5减去2x^2 - 3x + 7。
解答:利用减法的性质,将减法转化为加法:(4x^2 + 3x - 5) + (-2x^2 + 3x - 7) = 2x^2 + 6x - 122、将5y^3 - 2y^2 + 4y减去-3y^3 + y^2 - 2y。
解答:利用减法的性质,将减法转化为加法:(5y^3 - 2y^2 + 4y) + (3y^3 - y^2 + 2y) = 8y^3 - y^2 + 6y3、将3ab^2 - 2a^2b + ab减去-4ab^2 + a^2b - ab。
解答:利用减法的性质,将减法转化为加法:(3ab^2 - 2a^2b + ab) + (4ab^2 - a^2b + ab) = 7ab^2 - a^2b + 2ab三、整式加减综合练习题1、将2x^2 + 3x - 4和-3x^2 + 4x + 5相加,再减去x^2 - 2x + 3。
解答:首先将相同的项合并:(2x^2 - 3x^2 + x^2) + (3x + 4x - 2x) + (-4 + 5 - 3) = 0x^2 + 5x - 22、将-4y^3 + 5y^2 - 3y减去2y^3 + 2y^2 - y,再加上-3y^3 + 4y^2 + 6y。
整式的加减练习题打印一、基础题1. 计算:3x + 5x2. 计算:4a 2a3. 计算:7b + 9b 2b4. 计算:5m 3m + 2m5. 计算:6n 4n n二、进阶题1. 简化表达式:2x + 3x 4x + 5x2. 简化表达式:5a 3a + 2a a3. 简化表达式:4b + 6b 2b 3b4. 简化表达式:7m 5m + 2m m5. 简化表达式:9n 6n + 3n 2n三、综合题1. 计算:(3x + 4y) (2x y)2. 计算:(5a 3b) + (2a + 4b)3. 计算:(7m + 2n) (4m 3n)4. 计算:(6p 5q) + (3p + 2q)5. 计算:(8r + 7s) (5r 4s)四、应用题1. 小明有苹果和香蕉若干,苹果有3个,香蕉有5个,小明又买了2个苹果和3个香蕉,现在小明有多少个苹果和香蕉?2. 小红有铅笔和橡皮若干,铅笔有4支,橡皮有6块,小红用掉了2支铅笔和3块橡皮,现在小红还剩多少支铅笔和橡皮?3. 老师有数学书和语文书若干,数学书有5本,语文书有7本,老师又买了3本数学书和4本语文书,现在老师有多少本数学书和语文书?4. 妈妈有红色袜子和蓝色袜子若干,红色袜子有6双,蓝色袜子有8双,妈妈又买了2双红色袜子和3双蓝色袜子,现在妈妈有多少双红色袜子和蓝色袜子?5. 爸爸有黑色裤子和白色裤子若干,黑色裤子有3条,白色裤子有5条,爸爸又买了1条黑色裤子和2条白色裤子,现在爸爸有多少条黑色裤子和白色裤子?五、多项式加减题1. 计算:2x^2 + 3x^2 x^22. 计算:4a^3 2a^3 + a^33. 计算:5b^2 + 7b^2 2b^24. 计算:6m^4 3m^4 + m^45. 计算:7n^3 4n^3 n^3六、含常数项的整式加减题1. 计算:3x + 4 2x + 12. 计算:5a 3 + 2a 23. 计算:7b + 6 b 44. 计算:8m 5 + 3m 15. 计算:9n + 2 4n 3七、混合整式加减题1. 计算:(2x^2 + 3x) (x^2 2x)2. 计算:(4a^3 a) + (3a^3 + 2a)3. 计算:(5b^2 + 4) (2b^2 3)4. 计算:(6m^4 5m) + (m^4 + 2m)5. 计算:(7n^3 + 8) (4n^3 n)八、实际应用题1. 小华每天跑步锻炼,第一天跑了3圈,第二天比第一天多跑了2圈,第三天又比第二天多跑了1圈。
整式的加减专项练习100题(有答案)1、3(a+5b)-2(b-a)2、3a-(2b-a)+b3、2(2a2+9b)+3(-5a2-4b)4、(x3-2y3-3x2y)-(3x3-3y3-7x2y)5、3x2-[7x-(4x-3)-2x2]6、(2xy-y)-(-y+yx)7、5(a2b-3ab2)-2(a2b-7ab)8、(-2ab+3a)-2(2a-b)+2ab9、(7m2n-5mn)-(4m2n-5mn)10、(5a2+2a-1)-4(3-8a+2a2).11、-3x2y+3xy2+2x2y-2xy2;12、2(a-1)-(2a-3)+3.13、-2(ab-3a2)-[2b2-(5ab+a2)+2ab]14、(x 2-xy+y )-3(x 2+xy-2y )15、3x 2-[7x-(4x-3)-2x 2]16、a 2b-[2(a 2b-2a 2c )-(2bc+a 2c )];17、-2y 3+(3xy 2-x 2y )-2(xy 2-y 3).18、2(2x-3y )-(3x+2y+1)19、-(3a 2-4ab )+[a 2-2(2a+2ab )].20、5m-7n-8p+5n-9m-p ;21、(5x 2y-7xy 2)-(xy 2-3x 2y );22、3(-3a 2-2a )-[a 2-2(5a-4a 2+1)-3a].23、3a 2-9a+5-(-7a 2+10a-5);24、-3a 2b-(2ab 2-a 2b )-(2a 2b+4ab 2).25、(5a-3a 2+1)-(4a 3-3a 2);26、-2(ab-3a 2)-[2b 2-(5ab+a 2)+2ab]27、(8xy -x 2+y 2)+(-y 2+x 2-8xy );28、(2x 2-21+3x )-4(x -x 2+21);29、3x 2-[7x -(4x -3)-2x 2].30、5a+(4b-3a )-(-3a+b );31、(3a2-3ab+2b2)+(a2+2ab-2b2);32、2a2b+2ab2-[2(a2b-1)+2ab2+2].33、(2a 2-1+2a )-3(a-1+a 2);34、2(x 2-xy )-3(2x 2-3xy )-2[x 2-(2x 2-xy+y 2)].35、 -32ab +43a 2b +ab +(-43a 2b )-136、(8xy -x 2+y 2)+(-y 2+x 2-8xy );37、2x -(3x -2y +3)-(5y -2);38、-(3a +2b )+(4a -3b +1)-(2a -b -3)39、4x 3-(-6x 3)+(-9x 3)40、3-2xy +2yx 2+6xy -4x 2y41、 1-3(2ab +a )十[1-2(2a -3ab )].42、 3x -[5x +(3x -2)];43、(3a 2b -ab 2)-(ab 2+3a 2b )44、()[]{}y x x y x --+--3233245、(-x 2+5+4x 3)+(-x 3+5x -4)46、(5a 2-2a+3)-(1-2a+a 2)+3(-1+3a-a 2).47、5(3a 2b-ab 2)-4(-ab 2+3a 2b ).48、4a 2+2(3ab-2a 2)-(7ab-1).49、 21xy+(-41xy )-2xy 2-(-3y 2x )50、5a 2-[a 2-(5a 2-2a )-2(a 2-3a )]51、5m-7n-8p+5n-9m+8p52、(5x 2y-7xy 2)-(xy 2-3x 2y )5556、(a 2+4ab-4b 2)-3(a 2+b 2)-7(b 2-ab ).57、a 2+2a 3+(-2a 3)+(-3a 3)+3a 2;58、5ab+(-4a 2b 2)+8ab 2-(-3ab )+(-a 2b )+4a 2b 2;59、(7y-3z )-(8y-5z );60、-3(2x 2-xy )+4(x 2+xy-6). 61、(x 3+3x 2y-5xy 2+9y 3)+(-2y 3+2xy 2+x 2y-2x 3)-(4x 2y-x 3-3xy 2+7y 3)62、-3x 2y+2x 2y+3xy 2-2xy 2;63、3(a 2-2ab )-2(-3ab+b 2);64、5abc-{2a 2b-[3abc-(4a 2b-ab 2]}.65、5m 2-[m 2+(5m 2-2m )-2(m 2-3m )].66、-[2m-3(m-n+1)-2]-1.67、31a-( 21a-4b-6c)+3(-2c+2b) 68、 -5a n -a n -(-7a n )+(-3a n )69、x 2y-3xy 2+2yx 2-y 2x 70、 41a 2b-0.4ab 2- 21a 2b+ 52ab 2;71、3a-{2c-[6a-(c-b )+c+(a+8b-6)]}72、-3(xy-2x 2)-[y 2-(5xy-4x 2)+2xy];73、化简、求值21x 2-2212- (x + y )2⎡⎤⎢⎥⎣⎦-23(-32x 2+31y 2),其中x =-2, y =-3474、化简、求值21x -2(x -31y 2)+(-23x +31y 2),其中x =-2,y =-32.75、x x x x x x 5)64(213223312323-++-⎪⎭⎫ ⎝⎛---其中x =-121;76、 化简,求值(4m+n )-[1-(m-4n )],m=52 n=-13177、化简、求值2(a 2b +2b 3-ab 3)+3a 3-(2ba 2-3ab 2+3a 3)-4b 3,其中a =-3,b =278、化简,求值:(2x 3-xyz )-2(x 3-y 3+xyz )+(xyz-2y 3),其中x=1,y=2,z=-3.79、化简,求值:5x 2-[3x-2(2x-3)+7x 2],其中x=-2.80、若两个多项式的和是2x 2+xy+3y 2,一个加式是x 2-xy ,求另一个加式.81、若2a 2-4ab+b 2与一个多项式的差是-3a 2+2ab-5b 2,试求这个多项式.82、求5x 2y -2x 2y 与-2xy 2+4x 2y 的和.83、 求3x 2+x -5与4-x +7x 2的差.84、计算 5y+3x+5z 2与12y+7x-3z 2的和85、计算8xy 2+3x 2y-2与-2x 2y+5xy 2-3的差86、 多项式-x 2+3xy-21y 与多项式M 的差是-21x 2-xy+y ,求多项式M87、当3(x 2-2xy )-[3x 2-2y+2(xy+y )]的值.88、化简再求值5abc-{2a 2b-[3abc-(4ab 2-a 2b )]-2ab 2},其中a=-2,b=3,c=-4189、已知A=a 2-2ab+b 2,B=a 2+2ab+b 2(1)求A+B ;(2)求41(B-A);90、小明同学做一道题,已知两个多项式A ,B ,计算A+B ,他误将A+B 看作A-B ,求得9x 2-2x+7,若B=x 2+3x-2,你能否帮助小明同学求得正确答案?91、已知:M=3x 2+2x-1,N=-x 2-2+3x ,求M-2N .92、已知222244,5A x xy y B x xy y =-+=+-,求3A -B93、已知A =x 2+xy +y 2,B =-3xy -x 2,求2A -3B .94、已知2-a +(b +1)2=0,求5ab 2-[2a 2b -(4ab 2-2a 2b )]的值.95、化简求值:5abc-2a 2b+[3abc-2(4ab 2-a 2b )],其中a 、b 、c 满足|a-1|+|b-2|+c 2=0.96、已知a ,b ,z 满足:(1)已知|x-2|+(y+3)2=0,(2)z 是最大的负整数,化简求值: 2(x 2y+xyz )-3(x 2y-xyz )-4x 2y .97、已知a+b=7,ab=10,求代数式(5ab+4a+7b )+(6a-3ab )-(4ab-3b )的值.98、已知m 2+3mn=5,求5m 2-[+5m 2-(2m 2-mn )-7mn-5]的值99、设A=2x 2-3xy+y 2+2x+2y ,B=4x 2-6xy+2y 2-3x-y ,若|x-2a|+(y-3)2=0,且B-2A=a ,求a 的值.100、有两个多项式:A=2a2-4a+1,B=2(a2-2a)+3,当a取任意有理数时,请比较A 与B的大小.答案:1、3(a+5b)-2(b-a)=5a+13b2、3a-(2b-a)+b=4a-b.3、2(2a2+9b)+3(-5a2-4b)=—11a2+6b24、(x3-2y3-3x2y)-(3x3-3y3-7x2y)= -2x3+y3+4x2y5、3x2-[7x-(4x-3)-2x2] = 5x2 -3x-36、(2xy-y)-(-y+yx)= xy7、5(a22b-3ab2)-2(a2b-7ab)= -a2b+11ab8、(-2ab+3a)-2(2a-b)+2ab= -2a+b9、(7m2n-5mn)-(4m2n-5mn)= 3m2n10、(5a2+2a-1)-4(3-8a+2a2)= -3a2+34a-1311、-3x2y+3xy2+2x2y-2xy2= -x2y+xy212、2(a-1)-(2a-3)+3.=413、-2(ab-3a2)-[2b2-(5ab+a2)+2ab]= 7a2+ab-2b214、(x2-xy+y)-3(x2+xy-2y)= -2x2-4xy+7y15、3x2-[7x-(4x-3)-2x2]=5x2-3x-316、a2b-[2(a2b-2a2c)-(2bc+a2c)]= -a2b+2bc+6a2c17、-2y3+(3xy2-x2y)-2(xy2-y3)= xy2-x2y18、2(2x-3y)-(3x+2y+1)=2x-8y-119、-(3a2-4ab)+[a2-2(2a+2ab)]=-2a2-4a20、5m-7n-8p+5n-9m-p = -4m-2n-9p21、(5x2y-7xy2)-(xy2-3x2y)=4xy2-4x2y22、3(-3a2-2a)-[a2-2(5a-4a2+1)-3a]=-18a2 +7a+223、3a2-9a+5-(-7a2+10a-5)=10a2-19a+1024、-3a2b-(2ab2-a2b)-(2a2b+4ab2)= -4a2b-64ab225、(5a-3a 2+1)-(4a 3-3a 2)=5a-4a 2+126、-2(ab-3a 2)-[2b 2-(5ab+a 2)+2ab]=7a 2+ab-2b 2 27、(8xy -x 2+y 2)+(-y 2+x 2-8xy )=028、(2x 2-21+3x )-4(x -x 2+21) = 6x 2-x-25 29、3x 2-[7x -(4x -3)-2x 2]= 5x 2-3x -330、5a+(4b-3a )-(-3a+b )= 5a+3b31、(3a 2-3ab+2b 2)+(a 2+2ab-2b 2)= 4a 2-ab32、2a 2b+2ab 2-[2(a 2b-1)+2ab 2+2].= -133、(2a 2-1+2a )-3(a-1+a 2)= -a 2-a+234、2(x 2-xy )-3(2x 2-3xy )-2[x 2-(2x 2-xy+y 2)]=-2x 2+5xy-2y 235、-32ab +43a 2b +ab +(-43a 2b )-1 = 31ab-1 36、(8xy -x 2+y 2)+(-y 2+x 2-8xy )=037、2x -(3x -2y +3)-(5y -2)=-x-3y-138、-(3a +2b )+(4a -3b +1)-(2a -b -3)= -a-4b+439、4x 3-(-6x 3)+(-9x 3)= x 340、3-2xy +2yx 2+6xy -4x 2y = -2 x 2y+441、 1-3(2ab +a )十[1-2(2a -3ab )]=2-7a42、 3x -[5x +(3x -2)]=-5x+243、(3a 2b -ab 2)-(ab 2+3a 2b )= -2ab 244、()[]{}y x x y x --+--32332 = 5x+y45、(-x 2+5+4x 3)+(-x 3+5x -4)= 3x 3-x 2+5x+146、(5a 2-2a+3)-(1-2a+a 2)+3(-1+3a-a 2)=a 2+9a-147、5(3a 2b-ab 2)-4(-ab 2+3a 2b ).=3a 2b-ab 248、4a 2+2(3ab-2a 2)-(7ab-1)=1-ab49、 21xy+(-41xy )-2xy 2-(-3y 2x )=41xy+xy 250、5a 2-[a 2-(5a 2-2a )-2(a 2-3a )]=11a 2-8a51、5m-7n-8p+5n-9m+8p=-4m-2n57、a 2+2a 3+(-2a 3)+(-3a 3)+3a 2 = -3a 3+4a 2 58、5ab+(-4a 2b 2)+8ab 2-(-3ab )+(-a 2b )+4a 2b 2=8ab+8ab 2-a 2b59、(7y-3z )-(8y-5z )=-y+2z60、-3(2x 2-xy )+4(x 2+xy-6)=-2x 2+7xy-2461、(x 3+3x 2y-5xy 2+9y 3)+(-2y 3+2xy 2+x 2y-2x 3)-(4x 2y-x 3-3xy 2+7y 3)=062、-3x 2y+2x 2y+3xy 2-2xy 2 = -x 2y+xy 263、3(a 2-2ab )-2(-3ab+b 2)=3a 2-2b 264、5abc-{2a 2b-[3abc-(4a 2b-ab 2]}=8abc-6a 2b+ab 265、5m 2-[m 2+(5m 2-2m )-2(m 2-3m )]=m 2-4m66、-[2m-3(m-n+1)-2]-1=m-3n+4 67、31a-( 21a-4b-6c)+3(-2c+2b)= -61a+10b 68、 -5a n -a n -(-7a n )+(-3a n )= -2a n69、x 2y-3xy 2+2yx 2-y 2x=3x 2y-4xy 271、 41a 2b-0.4ab 2- 21a 2b+ 52ab 2 = -41a 2b71、3a-{2c-[6a-(c-b )+c+(a+8b-6)]}= 10a+9b-2c-672、-3(xy-2x 2)-[y 2-(5xy-4x 2)+2xy]= 2x 2-y 2 73、化简、求值21x 2-2212- (x + y )2⎡⎤⎢⎥⎣⎦-23(-32x 2+31y 2),其中x =-2, y =-34 原式=2x 2+21y 2-2 =698 74、化简、求值21x -2(x -31y 2)+(-23x +31y 2),其中x =-2,y =-32. 原式=-3x+y 2=694 75、x x x x x x 5)64(213223312323-++-⎪⎭⎫ ⎝⎛---其中x =-121; 原式=x 3+x 2-x+6=68376、 化简,求值(4m+n )-[1-(m-4n )],m=52 n=-131 原式=5m-3n-1=577、化简、求值2(a 2b +2b 3-ab 3)+3a 3-(2ba 2-3ab 2+3a 3)-4b 3,其中a =-3,b =2原式=-2ab 3+3ab 2=1278、化简,求值:(2x 3-xyz )-2(x 3-y 3+xyz )+(xyz-2y 3),其中x=1,y=2,z=-3. 原式=-2xyz=679、化简,求值:5x 2-[3x-2(2x-3)+7x 2],其中x=-2. 原式=-2x 2+x-6=-1680、若两个多项式的和是2x 2+xy+3y 2,一个加式是x 2-xy ,求另一个加式.(2x 2+xy+3y 2 ) ——( x 2-xy )= x 2+2xy+3y 281、若2a 2-4ab+b 2与一个多项式的差是-3a 2+2ab-5b 2,试求这个多项式.( 2a 2-4ab+b 2 )—(-3a 2+2ab-5b 2)=5a 2 -6ab+6b 282、求5x 2y -2x 2y 与-2xy 2+4x 2y 的和.(5x 2y -2x 2y )+(-2xy 2+4x 2y )=3xy 2+2x 2y83、 求3x 2+x -5与4-x +7x 2的差.(3x 2+x -5)—(4-x +7x 2)=—4x 2+2x -9 84、计算 5y+3x+5z 2与12y+7x-3z 2的和(5y+3x+5z 2)+(12y+7x-3z 2)=17y+10x+2z 285、计算8xy 2+3x 2y-2与-2x 2y+5xy 2-3的差(8xy 2+3x 2y-2)—(-2x 2y+5xy 2-3)=5x 2y+3xy 2+1 86、 多项式-x 2+3xy-21y 与多项式M 的差是-21x 2-xy+y ,求多项式M—23y 87、当3(x 2-2xy )-[3x 2-2y+2(xy+y )]的值. 原式=-8xy+y= —1588、化简再求值5abc-{2a 2b-[3abc-(4ab 2-a 2b )]-2ab 2},其中a=-2,b=3,c=-41 原式=83abc-a 2b-2ab 2=3689、已知A=a 2-2ab+b 2,B=a 2+2ab+b 2(1)求A+B ;(2)求41(B-A); A+B=2a 2+2b 2 41(B-A)=ab 90、小明同学做一道题,已知两个多项式A ,B ,计算A+B ,他误将A+B 看作A-B ,求得 9x 2-2x+7,若B=x 2+3x-2,你能否帮助小明同学求得正确答案?A=10x 2+x+5 A+B=11x 2+4x+391、已知:M=3x 2+2x-1,N=-x 2-2+3x ,求M-2N .M-2N=5x 2-4x+3 92、已知222244,5A x xy y B x xy y =-+=+-,求3A -B3A -B=11x 2-13xy+8y 293、已知A =x 2+xy +y 2,B =-3xy -x 2,求2A -3B .2A -3B= 5x 2+11xy +2y 294、已知2 a +(b +1)2=0,求5ab 2-[2a 2b -(4ab 2-2a 2b )]的值.原式=9ab 2-4a 2b=3495、化简求值:5abc-2a 2b+[3abc-2(4ab 2-a 2b )],其中a 、b 、c 满足|a-1|+|b-2|+c 2=0. 原式=8abc-8a 2b=-32 96、已知a ,b ,z 满足:(1)已知|x-2|+(y+3)2=0,(2)z 是最大的负整数,化简求值: 2(x 2y+xyz )-3(x 2y-xyz )-4x 2y .原式=-5x 2y+5xyz=9097、已知a+b=7,ab=10,求代数式(5ab+4a+7b )+(6a-3ab )-(4ab-3b )的值. 原式=10a+10b-2ab=5098、已知m 2+3mn=5,求5m 2-[+5m 2-(2m 2-mn )-7mn-5]的值原式=2m 2+6mn+5=15 99、设A=2x 2-3xy+y 2+2x+2y ,B=4x 2-6xy+2y 2-3x-y ,若|x-2a|+(y-3)2=0,且B-2A=a ,求a 的值.B-2A=-7x-5y=-14a-15=a a=-1100、有两个多项式:A =2a 2-4a +1,B =2(a 2-2a )+3,当a 取任意有理数时,请比较A 与B 的大小.A=2a 2-4a +1 B =2a 2-4a +3 所以A<B。
整式的加减专项练习100题1、3(a+5b)-2(b-a)2、3a-(2b-a)+b;3、2(2a2+9b)+3(-5a2-4b)4、(x3-2y3-3x2y)-(3x3-3y3-7x2y)5、3x2-[7x-(4x-3)-2x2]^6、(2xy-y)-(-y+yx)7、5(a2b-3ab2)-2(a2b-7ab)~8、(-2ab+3a)-2(2a-b)+2ab9、(7m2n-5mn)-(4m2n-5mn)}10、(5a2+2a-1)-4(3-8a+2a2).11、-3x2y+3xy2+2x2y-2xy2;12、{13、2(a-1)-(2a-3)+3.13、-2(ab-3a2)-[2b2-(5ab+a2)+2ab]&14、(x2-xy+y)-3(x2+xy-2y)15、3x2-[7x-(4x-3)-2x2](16、a2b-[2(a2b-2a2c)-(2bc+a2c)];17、17、-2y3+(3xy2-x2y)-2(xy2-y3).]18、2(2x-3y)-(3x+2y+1)19、-(3a-4ab)+[a-2(2a+2ab)].)20、5m-7n-8p+5n-9m-p;21、(5xy-7xy)-(xy-3xy);22、22、3(-3a-2a)-[a-2(5a-4a+1)-3a].~23、3a-9a+5-(-7a+10a-5);24、-3ab-(2ab-ab)-(2ab+4ab).…25、(5a-3a+1)-(4a-3a);26、26、-2(ab-3a)-[2b-(5ab+a)+2ab]!27、(8xy-x2+y2)+(-y2+x2-8xy);28、(2x2-21+3x)-4(x-x2+21);?29、3x2-[7x-(4x-3)-2x2].30、5a+(4b-3a)-(-3a+b);&31、(3a2-3ab+2b2)+(a2+2ab-2b2);32、2a2b+2ab2-[2(a2b-1)+2ab2+2].、33、(2a-1+2a)-3(a-1+a);34、2(x-xy)-3(2x-3xy)-2[x-(2x-xy+y)].35、-32ab+43a2b+ab+(-43a2b)-1 {36、(8xy-x2+y2)+(-y2+x2-8xy);37、2x-(3x-2y+3)-(5y-2);38、-(3a+2b)+(4a-3b+1)-(2a-b-3)39、4x3-(-6x3)+(-9x3)40、3-2xy+2yx2+6xy-4x2y*41、1-3(2ab+a)十[1-2(2a-3ab)].42、3x-[5x+(3x-2)];~43、(3a2b-ab2)-(ab2+3a2b)44、()[] {}yxxyx--+--3233245、(-x2+5+4x3)+(-x3+5x-4)46、(5a2-2a+3)-(1-2a+a2)+3(-1+3a-a2).47、5(3a2b-ab2)-4(-ab2+3a2b).48、4a2+2(3ab-2a2)-(7ab-1).[49、21xy+(-41xy)-2xy2-(-3y2x)50、5a2-[a2-(5a2-2a)-2(a2-3a)]|51、5m-7n-8p+5n-9m+8p52、(5xy-7xy)-(xy-3xy)53、3xy-[2xy-3(2xy-xy)-xy]5556、(a+4ab-4b)-3(a+b)-7(b-ab).}57、a+2a+(-2a)+(-3a)+3a58、5ab+(-4ab)+8ab-(-3ab)+(-ab)+4ab;59、(7y-3z)-(8y-5z);60、-3(2x 2-xy )+4(x 2+xy-6).61、(x 3+3x 2y-5xy 2+9y 3)+(-2y 3+2xy 2+x 2y-2x 3)-(4x 2y-x 3-3xy 2+7y 3)62、-3x 2y+2x 2y+3xy 2-2xy 2;63、3(a 2-2ab )-2(-3ab+b 2);.64、5abc-{2a 2b-[3abc-(4a 2b-ab 2]}.65、5m 2-[m 2+(5m 2-2m )-2(m 2-3m )]./66、-[2m-3(m-n+1)-2]-1.67、31a-( 21a-4b-6c)+3(-2c+2b).68、 -5a-a-(-7a )+(-3a ) 69、69、xy-3xy+2yx-yx 70、 41 21a 2b+52ab 2; 71、 \71、3a-{2c-[6a-(c-b )+c+(a+8b-6)]}72、-3(xy-2x )-[y-(5xy-4x )+2xy];73、化简、求值21x 2-2212- (x + y )2⎡⎤⎢⎥⎣⎦-23(-32x 2+31y 2),其中x =-2, y =-34 @74、化简、求值21x -2(x -31y 2)+(-23x +31y 2),其中x =-2,y =-32.-75、x x x x x x 5)64(213223312323-++-⎪⎭⎫ ⎝⎛---其中x =-121;76、 化简,求值(4m+n )-[1-(m-4n )],m=52 n=-131·77、化简、求值2(a 2b +2b 3-ab 3)+3a 3-(2ba 2-3ab 2+3a 3)-4b 3,其中a =-3,b =2!78、化简,求值:(2x3-xyz)-2(x3-y3+xyz)+(xyz-2y3),其中x=1,y=2,z=-79、化简,求值:5x-[3x-2(2x-3)+7x],其中x=-2.》80、若两个多项式的和是2x+xy+3y,一个加式是x-xy,求另一个加式.~81、若2a2-4ab+b2与一个多项式的差是-3a2+2ab-5b2,试求这个多项式.&82、求5x2y-2x2y与-2xy2+4x2y的和.83、求3x2+x-5与4-x+7x2的差.…84、计算5y+3x+5z2与12y+7x-3z2的和…85、计算8xy2+3x2y-2与-2x2y+5xy2-3的差)86、多项式-x2+3xy-21y与多项式M的差是-21x-xy+y,求多项式M87、当3(x-2xy)-[3x-2y+2(xy+y)]的值.!88、化简再求值5abc-{2a2b-[3abc-(4ab 2-a 2b )]-2ab 2},其中a=-2,b=3,c=-41'89、已知A=a 2-2ab+b 2,B=a 2+2ab+b 2 (1)求A+B ; (2)求41(B-A);]90、小明同学做一道题,已知两个多项式A ,B ,计算A+B ,他误将A+B 看作A-B ,求得9x-2x+7,若B=x+3x-2,你能否帮助小明同学求得正确答案$91、已知:M=3x+2x-1,N=-x-2+3x ,求M-2N .92、已知222244,5A x xy y B x xy y =-+=+-,求3A -B、93、已知A =x 2+xy +y 2,B =-3xy -x 2,求2A -3B .?94、已知2-a +(b +1)2=0,求5ab 2-[2a 2b -(4ab 2-2a 2b )]的值.$化简求值:5abc-2ab+[3abc-2(4ab-ab )],其中a 、b 、c 满足|a-1|+|b-2|+c=0.…96、已知a ,b ,z 满足:(1)已知|x-2|+(y+3)=0,(2)z 是最大的负整数,化简求值:2(xy+xyz )-3(xy-xyz )-4xy .-97、已知a+b=7,ab=10,求代数式(5ab+4a+7b )+(6a-3ab )-(4ab-3b )的值.98、已知m+3mn=5,求5m-[+5m-(2m-mn)-7mn-5]的值<99、设A=2x-3xy+y+2x+2y,B=4x-6xy+2y-3x-y,若|x-2a|+(y-3)2=0,且B-2A=a,求a的值.(100、有两个多项式:A=2a2-4a+1,B=2(a2-2a)+3,当a取任意有理数时,请比较A与B的大小.%答案:1、3(a+5b )-2(b-a )=5a+13b2、3a-(2b-a )+b=4a-b .3、2(2a+9b )+3(-5a-4b )=—11a 2+6b 24、(x 3-2y 3-3x 2y )-(3x 3-3y 3-7x 2y )= -2x 3+y 3+4x 2y5、3x-[7x-(4x-3)-2x] = 5x-3x-36、(2xy-y )-(-y+yx )= xy7、5(a 2b-3ab 2)-2(a 2b-7ab ) = -a 2b+11ab、 8、(-2ab+3a )-2(2a-b )+2ab= -2a+b 9、(7m 2n-5mn )-(4m 2n-5mn )= 3m 2n10、(5a 2+2a-1)-4(3-8a+2a 2)= -3a 2+34a-13 11、-3x 2y+3xy 2+2x 2y-2xy 2= -x 2y+xy 212、2(a-1)-(2a-3)+3.=413、-2(ab-3a 2)-[2b 2-(5ab+a 2)+2ab]= 7a 2+ab-2b 214、(x 2-xy+y )-3(x 2+xy-2y )= -2x 2-4xy+7y 15、3x 2-[7x-(4x-3)-2x 2]=5x 2-3x-316、a 2b-[2(a 2b-2a 2c )-(2bc+a 2c )]= -a 2b+2bc+6a 2c 17、-2y 3+(3xy 2-x 2y )-2(xy 2-y 3)= xy 2-x 2y 18、2(2x-3y )-(3x+2y+1)=2x-8y-1 19、-(3a 2-4ab )+[a 2-2(2a+2ab )]=-2a 2-4a ; 20、5m-7n-8p+5n-9m-p = -4m-2n-9p 21、(5x 2y-7xy 2)-(xy 2-3x 2y )=4xy 2-4x 2y22、3(-3a 2-2a )-[a 2-2(5a-4a 2+1)-3a]=-18a 2 +7a+2 23、3a-9a+5-(-7a+10a-5)=10a-19a+10 24、-3a 2b-(2ab 2-a 2b )-(2a 2b+4ab 2)= -4a 2b-64ab 2 25、(5a-3a 2+1)-(4a 3-3a 2)=5a-4a 2+1 26、26、-2(ab-3a )-[2b-(5ab+a )+2ab]=7a 2+ab-2b 227、(8xy -x 2+y 2)+(-y 2+x 2-8xy )=028、(2x 2-21+3x )-4(x -x 2+21) = 6x 2-x-2529、3x 2-[7x -(4x -3)-2x 2]= 5x 2-3x -330、5a+(4b-3a )-(-3a+b )= 5a+3b31、(3a 2-3ab+2b 2)+(a 2+2ab-2b 2)= 4a 2-ab32、2a 2b+2ab 2-[2(a 2b-1)+2ab 2+2].= -1 33、(2a 2-1+2a )-3(a-1+a 2)= -a 2-a+2 #34、2(x-xy )-3(2x-3xy )-2[x-(2x-xy+y )]=-2x+5xy-2y35、-32ab +43a 2b +ab +(-43a 2b )-1 = 31ab-136、(8xy -x 2+y 2)+(-y 2+x 2-8xy )=037、2x -(3x -2y +3)-(5y -2)=-x-3y-1 38、-(3a +2b )+(4a -3b +1)-(2a -b -3)= -a-4b+4 39、4x 3-(-6x 3)+(-9x 3)= x 340、3-2xy +2yx 2+6xy -4x 2y = -2 x 2y+4 41、 1-3(2ab +a )十[1-2(2a -3ab )]=2-7a42、 3x -[5x +(3x -2)]=-5x+2 43、(3a 2b -ab 2)-(ab 2+3a 2b )= -2ab 2*44、()[]{}y x x y x --+--32332 = 5x+y45、(-x 2+5+4x 3)+(-x 3+5x -4)= 3x 3-x 2+5x+146、(5a 2-2a+3)-(1-2a+a 2)+3(-1+3a-a 2)=a 2+9a-147、5(3a 2b-ab 2)-4(-ab 2+3a 2b ).=3a 2b-ab 2 48、4a 2+2(3ab-2a 2)-(7ab-1)=1-ab 49、21xy+(-41xy )-2xy 2-(-3y 2x )=41xy+xy 250、5a 2-[a 2-(5a 2-2a )-2(a 2-3a )]=11a 2-8a 51、5m-7n-8p+5n-9m+8p=-4m-2n 52、(5xy-7xy )-(xy-3xy )=8xy-6xy53、 3xy-[2xy-3(2xy-xy )-xy]=-2xy+7xy59、(7y-3z )-(8y-5z )=-y+2z60、-3(2x 2-xy )+4(x 2+xy-6)=-2x 2+7xy-2461、(x 3+3x 2y-5xy 2+9y 3)+(-2y 3+2xy 2+x 2y-2x 3)-(4x 2y-x 3-3xy 2+7y 3)=062、-3x 2y+2x 2y+3xy 2-2xy 2 = -x 2y+xy 263、3(a 2-2ab )-2(-3ab+b 2)=3a 2-2b 264、5abc-{2a 2b-[3abc-(4a 2b-ab 2]}=8abc-6a 2b+ab 2 65、5m 2-[m 2+(5m 2-2m )-2(m 2-3m )]=m 2-4m }66、-[2m-3(m-n+1)-2]-1=m-3n+467、31a-( 21a-4b-6c)+3(-2c+2b)= -61a+10b 68、 -5a n -a n -(-7a n )+(-3a n )= -2a n69、x 2y-3xy 2+2yx 2-y 2x=3x 2y-4xy 2 72、41 21a 2b+52ab 2 = -41a 2b73、 71、3a-{2c-[6a-(c-b )+c+(a+8b-6)]}= 10a+9b-2c-672、-3(xy-2x )-[y-(5xy-4x )+2xy]= 2x 2-y 273、化简、求值21x 2-2212- (x + y )2⎡⎤⎢⎥⎣⎦-23(-32x 2+31y 2),其中x =-2, y =-34 原式=2x 2+21y 2-2 =69874、化简、求值21x -2(x -31y 2)+(-23x +31y 2),其中x =-2,y =-32.原式=-3x+y 2=694;75、x x x x x x 5)64(213223312323-++-⎪⎭⎫ ⎝⎛---其中x =-121; 原式=x 3+x 2-x+6=68376、 化简,求值(4m+n )-[1-(m-4n )],m=52 n=-131 原式=5m-3n-1=577、化简、求值2(a 2b +2b 3-ab 3)+3a 3-(2ba 2-3ab 2+3a 3)-4b 3,其中a =-3,b =2原式=-2ab 3+3ab 2=12 78、化简,求值:(2x 3-xyz )-2(x 3-y 3+xyz )+(xyz-2y 3),其中x=1,y=2,z=-3. $原式=-2xyz=679、化简,求值:5x-[3x-2(2x-3)+7x],其中x=-2. 原式=-2x 2+x-6=-1680、若两个多项式的和是2x+xy+3y ,一个加式是x-xy ,求另一个加式.(2x 2+xy+3y 2 ) ——( x 2-xy )= x 2+2xy+3y 281、若2a 2-4ab+b 2与一个多项式的差是-3a 2+2ab-5b 2,试求这个多项式.( 2a 2-4ab+b 2 )—(-3a 2+2ab-5b 2)=5a 2 -6ab+6b 2 82、求5x 2y -2x 2y 与-2xy 2+4x 2y 的和.(5x 2y -2x 2y )+(-2xy 2+4x 2y )=3xy 2+2x 2y 83、 求3x 2+x -5与4-x +7x 2的差.(3x 2+x -5)—(4-x +7x 2)=—4x 2+2x -9 84、计算 5y+3x+5z 2与12y+7x-3z 2的和(5y+3x+5z 2)+(12y+7x-3z 2)=17y+10x+2z 2 85、计算8xy 2+3x 2y-2与-2x 2y+5xy 2-3的差(8xy 2+3x 2y-2)—(-2x 2y+5xy 2-3)=5x 2y+3xy 2+1 86、 多项式-x 2+3xy-21y 与多项式M 的差是-21x-xy+y ,求多项式M M=-21x+4xy —23y 87、当x=-21,y=-3时,求代数式3(x-2xy )-[3x-2y+2(xy+y )]的值.原式=-8xy+y= —15 88、化简再求值5abc-{2a2b-[3abc-(4ab 2-a 2b )]-2ab 2},其中a=-2,b=3,c=-41原式=83abc-a 2b-2ab 2=36 89、已知A=a 2-2ab+b 2,B=a 2+2ab+b 2(1)求A+B ; (2)求41(B-A); A+B=2a 2+2b 241(B-A)=ab 90、小明同学做一道题,已知两个多项式A ,B ,计算A+B ,他误将A+B 看作A-B ,求得9x-2x+7,若B=x+3x-2,你能否帮助小明同学求得正确答案A=10x+x+5 A+B=11x+4x+391、已知:M=3x+2x-1,N=-x-2+3x ,求M-2N . M-2N=5x -4x+392、已知222244,5A x xy y B x xy y =-+=+-,求3A -B3A -B=11x 2-13xy+8y 293、已知A =x 2+xy +y 2,B =-3xy -x 2,求2A -3B . 2A -3B= 5x 2+11xy +2y 294、已知2 a +(b +1)2=0,求5ab 2-[2a 2b -(4ab 2-2a 2b )]的值.原式=9ab 2-4a 2b=34化简求值:5abc-2ab+[3abc-2(4ab-ab )],其中a 、b 、c 满足|a-1|+|b-2|+c=0. 原式=8abc-8ab=-3296、已知a ,b ,z 满足:(1)已知|x-2|+(y+3)2=0,(2)z 是最大的负整数,化简求值: 2(xy+xyz )-3(xy-xyz )-4xy .原式=-5xy+5xyz=9097、已知a+b=7,ab=10,求代数式(5ab+4a+7b )+(6a-3ab )-(4ab-3b )的值. 原式=10a+10b-2ab=5098、已知m+3mn=5,求5m-[+5m-(2m-mn )-7mn-5]的值原式=2m+6mn+5=15 99、设A=2x-3xy+y+2x+2y ,B=4x-6xy+2y-3x-y ,若|x-2a|+(y-3)2=0,且B-2A=a ,求a的值.B-2A=-7x-5y=-14a-15=a a=-1100、有两个多项式:A =2a 2-4a +1,B =2(a 2-2a )+3,当a 取任意有理数时,请比较A 与B 的大小. A=2a 2-4a +1 B =2a 2-4a +3 所以A<B。
《整式的加减》练习题
班别 姓名 学号 成绩_______
一、选择题
1、用代数式表示a 与-5的差的2倍是( )
A 、a-(-5)×2
B 、a+(-5)×2
C 、2(a-5)
D 、2(a+5) 2、用字母表示有理数的减法法则是( )
A 、a-b=a+b
B 、a-b=a+(-b)
C 、a-b=-a+b
D 、a-b=a-(-b) 3、某班共有学生x 人,其中女生人数占35%,那么男生人数是( ) A 、35%x B 、(1-35%)x C 、
35%x D 、135%
x - 4、若代数式473b a x + 与代数式 y b a 24- 是同类项,则 y x 的值是( ) A 、9 B 、9- C 、4 D 、4- 5、把-x-x 合并同类项得( )
A 、0
B 、-2
C 、-2x
D 、-2x 2
6、一个两位数,十位上的数字是x ,个位上的数字是y ,如果把十位上的数与个位上的数对调,所得的两位数是( )
A 、yx
B 、y+x
C 、10y+x
D 、10x+y
7、如果代数式4252y y -+的值为7,那么代数式21
2
y y -+的值等于( ) A 、2 B 、3 C 、-2 D 、4
8、下面的式子,正确的是( )
A 、3a 2+5a 2=8a 4
B 、5a 2b-6ab 2=-ab 2
C 、6xy-9yx=-3xy
D 、2x+3y=5xy
9、一个多项式加上x 2y-3xy 2得2x 2y-xy 2,则这个多项式是( ) A 、3x 2y-4xy 2; B 、x 2y-4xy 2; C 、x 2y+2xy 2; D 、-x 2y-2xy 2 10、若A=x 2-5x +2,B=x 2-5x-6,则A 与B 的大小关系是( ) (A )A>B (B )A=B (C )A<B (D )无法确定 二、填空题
11、单项式2335
a bc -的系数是______,次数是______;
12、21
43x x -+-是 次 项式,它的项分别是
,
其中常数项是 ;
13、为鼓励节约用电,某地对居民用户用电收费标准作如下规定:每户每月用电如果不超过100度,那么每度电价按a 元收费;如果超过100度,那么超过部分....每度电价按b 元收费。
某户居民在一个月内用电160度,他这个月应缴纳电费是 元;(用含a 、b 的代数式表示)
14、三个连续偶数中,2n 是最小的一个,这三个数的和为______ _; 15、如图1是小明用火柴搭的1条、2条、3条“金鱼”,则搭n 条“金鱼”需
要火柴
根.
16、根据如图所示的程序计算, 若输入x 的值为1,则输出y 的值为 ;
三、解答题:
17、化简(1) 7-3x-4x 2+4x-8x 2-15 (2) 2(2a 2-9b)-3(-4a 2+b)
(3) 8x 2-[-3x-(2x 2-7x-5)+3]+4x
1条 2条
3条
图1
输入x
输出y
平方 乘以2 减去4
若结果大于0
否则
18、先化简,后求值;
(1)(5x-3y-2xy)-(6x+5y-2xy),其中5-=x ,1-=y
(2)若()0322
=++-b a ,求3a 2b -[2ab 2-2(ab -1.5a 2b )+ab]+3ab 2的值;
19、有这样一道题,计算()()4322433222422x x y x y x x y y x y -----+的值,其中 x=0.25,y=-1;甲同学把“x=0.25”,错抄成“x=-0.25”,但他的计算结果也是正确的,你说这是为什么?
20、“十一”黄金周期间,某风景区在7天中来旅游的人数变化如下表:(正数表示比前一天多的人数,负数表示比前一天少的人数。
)
(1)若9月30日来旅游人数记为a万人,请用a的代数式表示10月2日来旅游的人数。
(2)请判断七天内来旅游的人数最多是哪一天?最少是哪一天?它们相差多少万人?
(3)统计来旅游的人数,最多的一天是3万人,问9月30日来旅游的人数有多少人?
答案:
一、1、D 2、B 3、B 4、A 5、C 6、C 7、A 8、C 9、C 10、A
二、11、
3
5
- 6 12、二、三、2x
-、4x、
1
3
-、
1
3
-
13、100a+60b 14、6n+6 15、6n+2 16、4
三、17、(1) -12x2+x-8 (2) 16a2-21b (3) 10x2-8
18、(1)-x-8y=13 (2)ab2+ab=12
19、2y3
20、(1)a+2.4
(2)10月3日来的人数最多,10月7日来的人数最少,
相差(a+2.8)-(a+0.6)=2.2(万人)
(3)a+2.8=3 a=0.2
9月30日来旅游的人数有0.2万人;。