中国地质大学北京2017考博英语培训--改错与阅读
- 格式:pdf
- 大小:765.72 KB
- 文档页数:55
绝密★启用前2017年普通高等学校全国招生统一考试(北京卷)英语本试卷共16页,共150分。
考试时长120分钟。
考生务必将答案答在答题卡上,在试卷上作答无效。
考试结束后,将本试卷和答题卡一并交回。
第一部分:听力理解(共三节,30分)第一节(共5小题;每小题1.5分,满分7.5分)听下面5段对话。
每段对话后有一道小题,从每题所给的A、B、C三个选项中选出最佳选项。
听完每段对话后,你都有10秒钟的时间来回答有关小题和阅读下一小题。
每段对话你将听一遍。
例:What is the man going to read?A.A newspaper. B.A magazine. C.A book.答案是A。
1.When will the film start?A.At 5:00. B.At 6:00. C.At 7:00.2.Which club will the man join?A.The film club. B.The travel club. C.The sports club. 3.What was the weather like in the mountains yesterday?A.Sunny. B.Windy. C.Snowy.4.What does the man want to cut out of paper?A.A fish. B.A bird. C.A monkey.5.Where does the conversation most probably take place?A.In a library. B.At a bookstore. C.In a museum.第二节(共10小题;每小题1.5分,15分)听下面4段对话或独白。
每段对话或独白后有几道小题,从每题所给的A、B、C三个选项中选出最佳选项。
听每段对话或独白前,你将有5秒钟的时间阅读每小题。
听完后,每小题将给出5秒钟的作答时间。
中国石油大学博士英语考试真题北京全文共3篇示例,供读者参考篇1Title: China University of Petroleum Ph.D. English Exam Sample Paper BeijingChina University of Petroleum (CUP) is one of the leading universities in China, known for its excellence in engineering and natural sciences. To maintain its high academic standards, the university conducts rigorous Ph.D. English exams to assess the language proficiency of its students. Below is an example of a Ph.D. English exam paper from the university's Beijing campus.Section 1: Reading ComprehensionRead the following passage and answer the questions that follow:Climate change is a pressing global issue that requires immediate action. The burning of fossil fuels releases greenhouse gases into the atmosphere, leading to a rise in global temperatures and disruptions in weather patterns. To mitigate the impact of climate change, countries around the world are investing in renewable energy sources such as solarand wind power. These clean energy alternatives can reduce our dependence on fossil fuels and help protect the environment for future generations.Questions:1. What is the main cause of climate change?2. How can renewable energy sources help mitigate the impact of climate change?Section 2: WritingWrite an essay on the following topic:"The importance of sustainable development in the 21st century."Your essay should be at least 500 words long and cover the following points:- Definition of sustainable development- Benefits of sustainable development- Challenges to achieving sustainable development- Strategies for promoting sustainable developmentSection 3: SpeakingPrepare a 3-minute presentation on the topic "The role of technology in addressing environmental challenges." You will be evaluated on your fluency, pronunciation, and coherence.This is just a sample of the kind of questions that may appear on the Ph.D. English exam at China University of Petroleum, Beijing. Students are expected to demonstrate a high level of proficiency in reading, writing, and speaking English to pass the exam and pursue their doctoral studies at the university. Good luck to all the aspiring Ph.D. candidates!篇2China University of Petroleum (CUP) Doctoral English ExamInstructions:1. This exam consists of four sections: Listening, Reading, Writing, and Speaking.2. You must complete all sections within the given time limit.3. Each section will test different aspects of your English proficiency.4. Pay attention to the instructions in each section.5. Write your answers clearly and legibly.Section 1: Listening ComprehensionPart A – Directions:In this part you will hear 10 short conversations. At the end of each conversation, a question will be asked about what was said. Both the conversation and the question will be spoken only once. After each question, there will be a pause. During the pause, you must read the four choices marked A), B), C) and D), and decide which is the best answer. Then mark the corresponding letter on the Answer Sheet with a single line through the center.Part B – Directions:In this part, you will hear a passage. The passage will be read twice. After you hear the passage, you must complete the questions about the passage. Each question has four choices.Section 2: Reading ComprehensionPart A – Directions:For each question in this part, you will read four passages, each with a number of questions. Choose the best answer to each question and write the letter A, B, C or D on the corresponding line on the Answer Sheet.Part B – Directions:For questions 41-50, complete the sentences with the information given in the reading passages.Section 3: WritingPart A – Directions:In this part you'll be given a topic to write about. You must write at least 150 words.Section 4: SpeakingPart A – Directions:In this part you will be given a topic to discuss. You will have 2 minutes to prepare your response, and then you must speak for 1-2 minutes.Part B – Directions:In this part, you will be given a scenario and you must act it out in English.Best of luck!This is a sample format for the Doctoral English Exam at China University of Petroleum. Students are advised to prepare thoroughly for each section to achieve their desired score. Good luck!篇3China University of Petroleum (CUP) Doctoral English Exam in BeijingThe China University of Petroleum (CUP) is one of the leading universities in China for the study of petroleum engineering. As part of their doctoral program, students are required to pass an English exam to demonstrate theirproficiency in the language. The exam is typically held in Beijing, the capital city of China, and is a crucial step in the academic journey of CUP doctoral students.The CUP doctoral English exam covers a wide range of topics, including reading, writing, listening, and speaking skills. The reading section requires students to read academic articles and answer questions based on the content. The writing section tests students' ability to write essays on a given topic within a limited time frame. The listening section involves listening to recordings of lectures or conversations and answering questions based on the audio. The speaking section requires students to engage in a conversation with examiners on a variety of topics.Preparing for the CUP doctoral English exam is no easy task. Students must dedicate a significant amount of time and effort to improve their English language skills. Many students enroll in English language courses or hire tutors to help them prepare for the exam. Additionally, students often practice with past exam papers and sample questions to familiarize themselves with the format and content of the exam.On the day of the exam, students are anxious yet determined to perform well. The exam is a challenging test of their English proficiency, and passing it is essential for their academic success.Students must remain focused and composed throughout the exam, relying on their knowledge and skills to answer the questions to the best of their ability.After completing the exam, students eagerly await their results. Passing the CUP doctoral English exam is a significant milestone in their academic career, paving the way for further research and studies in the field of petroleum engineering. Those who do not pass the exam may have to retake it, adding more pressure and stress to their already demanding academic schedule.In conclusion, the CUP doctoral English exam in Beijing is a rigorous test that assesses students' English language skills and proficiency. It is a vital component of the doctoral program at CUP and plays a crucial role in shaping the academic future of students pursuing a career in petroleum engineering. Students must prepare thoroughly and approach the exam with confidence and determination to achieve success in this important milestone in their academic journey.。
2022年考研考博-考博英语-中国地质大学考试全真模拟易错、难点剖析AB卷(带答案)一.综合题(共15题)1.填空题After (1)about it for several weeks, we decided to do our fieldwork in an area of southeastern Yunnan (2)along the border with Vietnam. The (3)with our choice was that the area was closed, so we had to ask for official(4)to work at the site we had in mind. (5),the officials we spoke with were very open to our arguments, after we(6) our reasons for wanting to do fieldwork near the border, they quickly approved our request. We finished our fieldwork in 2005. Last month I went(7) to the area for the first time and discovered that things have changed greatly (8)then. The area is now completely open and there is a brisk trade in manufactured goods in the towns on sides of the border.句意:在开始工作几个星期后,我们决定去云南东南部一个沿途与越南接壤的地方进行我们的野外作业。
我们选择存在的一个问题是这个地方是关闭的,所以为了去在我们所想的地方作业,我们不得不去寻求官方的许可。
2022年考研考博-考博英语-中国地质大学考试全真模拟易错、难点剖析AB卷(带答案)一.综合题(共15题)1.填空题(1)he studied in America for three years, he can’t write English very well. He is rather embarrassed by this now. He (2)he had not spent more time(3) his written English while he was abroad.句意: 尽管在美国学习过三年,但是他的英语书写能力却很差。
这让他现在倍感尴尬。
他说自己在国外时没有在书面英语上花较多的时间。
【答案】1.Although2.said3.on【解析】1.逻辑分析。
空格所在句子与其后面句子构成让步关系。
2.语义题。
用said表示“说过”。
3.固定搭配。
Spend time on 花时间在某事上。
2.填空题She couldn't buy the book anywhere. (1)of the bookstores in Beijing had any copies(2). They had all been sold as soon as they were put on the shelves.【答案】1.None2.since 【解析】1.语义题。
none of‘ 没有...。
2.逻辑分析。
Since 因为,由于。
3.填空题Mike left ()saying goodbye. Do you think he was upset?【答案】Without【解析】语义题。
句意: 迈克道别就走了。
你认为他是不是生气了?迈克可能是因为生气,于是没有道别就离开了,填without。
4.单选题The Daodejing is almost certainly the most admired ancient Chinese philosophical text among modem Westerners. Since the mid-19th century it has been translated into English dozens of times.问题1选项A.almost certainlyB.ancient Chinese philosophical textC.Since the mid-19th centuryD.English dozens of times.E.没有问题【答案】E【解析】没有错误。
阅读 篇章1 当前题号:第1-10题,总题数:50题Line Low wages, chronic unemployment and underemployment lead to low income,lack of property ownership, absence of savings, absence of food reserves in the home, and a chronic shortage of cash. These conditions reduce the possibility of effective participation in the larger economic system. And as a r e s p o n s e t o t h e s e c o n d i t i o n s w e f i n d i n t h e culture of poverty a high incidence of pawning personal goods, borrowing from localmoney -lenders at higher rates of interest, spontaneous informal credit devices organized by neighbors, the use of secondhand clothing and furniture, and the pattern of frequent buying of small quantities of food many times a day as the need arises.People with a culture of poverty produce very little wealth andreceive very little in return. They have a low level of literacy and education, usually do not belong to labor unions, are not members of political parties, generally do not participate in the national welfare agencies, and make very little use of banks, hospitals, department stores, museums or art gal l eri e s. T he y h a ve a c ri t i c al a t t i t u de t o w a rd s om e or the basic institutions of the dominant classes, hatred of the police,mistrust of government, and a cynicism that extends even to the church.This gives the culture of poverty a high potential for protest and forBeing used in political movements aimed against the existing socialorder.People with a culture of poverty are aware of middle -class values,talk about them and even claim some of them as their own, but on thewhole they do not live by them. Thus it is important to distinguishbetweenwhat they say and what they do. For example, many will tellyou that marriage by law, by the church, or by both is the ideal form of marriage, but few will marry. To men who have no steady jobs or othersources of income, who do not own property and have no wealth to passon to their children, who are present -time oriented and who want toavoid the expense and legal difficulties involved in formal marriage anddivorce, free unions or consensual marriages make a lot of sense. Women will often turn down offers of marriage because they feel it tiesthem down to men. Women feel that consensual union gives them abetter break; it gives them some of the freedom and flexibility that menhave. By not giving the fathers of their children legal status as husbands,the women have a stronger claim on their children if they decide toleave their men. It also gives women exclusive rights to a house or anyother property they may own.1. According to the passage, a defining characteristic of poverty is that poor people__________.A. are isolated from the mainstream of societyB. lack the skills to find decent jobsC. are responsible for their own poverty510 1520 25 30 35D.are constantly in a state of crisis2.The author of the passage uses the phrase “culture of poverty” (Line 6) to suggestthat __________.A.there are several classifications of poor peopleB.poor people often take pride in their povertyC.poor people share a common ethnicityD.poverty has become a prevailing way of life for some people3.The word “incidence” in Line 6 is closest in meaning to __________.A.inflationB.introductionC.accidentD.occurrence4.The word “literacy” in Line 12 refers to the ability to __________.A.go to schoolB.read and writeC.understand mathD.receive an education5.By asserting that the culture of poverty can be used by political movements (Line19), the author is __________.A.cautioning against an uprising by the poorB.showing how poverty may threaten social stabilityC.calling upon the middle class to fight against the poorD.justifying the motives of politicians6.Which of the following best describes people with a culture of poverty?A.They work hard but receive little in returnB.They’re cynical to all but the churchC.They usually ignore the national welfare agenciesD.They are economically active7.According to the last paragraph, consensual union can provide poor women whorefuse to get married legally with all of the following EXCEPT __________.A.a free church wedding or civil ceremonyB.some of the freedom and flexibility that men haveC. a stronger claim on their children when they want to leave their menD.rights to a house or any other property8. A conclusion can be drawn from the last paragraph that men and women in theculture of poverty __________.A.consider themselves unworthy of legal marriageB.prefer not to be in relationshipC.avoid legalized marriages for practical and economic reasonsD.do not trust each other to be faithful husbands and wives9.In the discussion of poverty, the author is most likely to agree that poverty__________.A.is more widespread than most people thinkB.cannot be eliminatedC. weakens the fabric of societyD. means more than lack of money10. The word “it” in Line 37 refers to __________.A. a better breakB. legal statusC. consensual unionD. illegal marriage篇章2 当前题号:第11-20题,总题数:50题;Line Cars account for half the oil consumed in the U.S., about half the urban pollution and one -fourth of the greenhouse gases. They take asimilar toll of resources in other industrial nations and in the cities of thedeveloping world. As vehicle use continues to increase in the coming decade, the U.S. and other countries will have to deal with these issues or else face unacceptable economic, health -related and political costs. Itis unlikely that oil prices will remain at their current low level or thatother nations will accept a large and growing U.S. contribution to globalclimate change.Policymakers and industry have four options: reduce vehicle use,increase the efficiency and reduce the emissions of conventionalgasoline -powered vehicles, switch to less harmful fuels, or find lesspolluting driving systems. The last of these — in particular theintroduction of vehicles powered by electricity — is ultimately the only sustainable option. The other alternatives are attractive in theory but in practice are either impractical or offer only marginal improvements. Forexample, reduced vehicle use could solve traffic problems and a host ofsocial and environmental problems, but evidence from around the worldsuggests that it is difficult to make people give up their cars to any significant extent. In the U.S., mass -transit ridership and carpoolinghave declined since World War II. Even in Western Europe, with fuelprices averaging more than $1 a liter (about $4 a gallon) and with easilyaccessible mass transit and dense populations, cars still account for 80percent of all passenger travel.Improved energy efficiency is also appealing, but automotive fueleconomy has barely made any progress in 10 years. Alternative fuelssuch as natural gas, burned in internal -combustion engines, could beintroduced at relatively low cost, but they would lead to only marginalreductions in pollution and greenhouse gas emissions (especiallybecause oil companies are already spending billions of dollars everyyear to develop less polluting types of gasoline).11. It can be learned from the passage that the increased use of cars will __________.A. consume half of the oil produced in the worldB. have serious consequences on the well -being of all nationsC. impose an economic burden on residents of large cities510 1520 25D.widen the gap between the developed and developing countries12.America has to solve the problems arising from vehicle use because __________.A.few Americans are reluctant to switch to public transportationB.the present level of oil prices is considered unacceptableC.it should take the lead in conserving natural resourcesD.other countries are unsatisfied about its large greenhouse emissions13.According to the author, America’s contribution to global climate change is__________.A.increasingB.decreasingC.fluctuatingD.stabilizing14.Which of the following is the best solution to the problems mentioned in thepassage?A.The designing of highly efficient car enginesB. A reduction of vehicle use in citiesC.The use of less polluting fuelsD.The development of electric cars15.What does “host” in Line 17 mean?A.Person who serves people as guestsB.Anchor of a television program, etc.rge number of somethingD.Caretaker of an inn16. What is the meaning of “carpooling” in Line 20?A. People riding together in one carB. A number of cars used by a company’s salesmenC. A person who owns many carsD. Cars owned by an organization for the use of its members17. According to the passage, after World War II many people in the U.S.__________.A.only used railwaysB.preferred their own cars for travelC.always used public transportationD.insist on carpooling18. Which of the following is practical but only makes a small contribution to solvingthe problem of greenhouse emissions?A.Slowing down fuel economyB.The use of fuels other than gasolineC.Reducing car use by carpoolingD.The introduction of less polluting driving systems19. Which of the following statements is TRUE according to the passage?A.The decline of public transportation accounts for increased car use in WesternEuropeB.Cars are popular in Western Europe even though fuel prices are fairly highC. Western Europe oil companies cannot sustain the cost of developing new -typefuelsD. The reduction of vehicle use is the only sustainable option in denselypopulated Western Europe20. The word “they” in Line 28 refers to __________.A. internal -combustion enginesB. marginal reductionsC. alternative fuelsD. greenhouse emissions篇章3 当前题号:第21-30题,总题数:50题;Line Cancer has always been with us, but not always in the same way. Its care and management have differed over time and have its identity. visibility, and meaning. Pick up the thread of history at its most distant end and you have “cancer the crab”—so named because its pain is like the pinch of a crab’s claw. Pre -modern cancer is a lump that sometimes b r e a k s t h r o u gh t h e s k i n i n u l c e r a t i o n s p r o d u c i n g f o u l -s m e l l i n g discharges. The ancient Egyptians knew about many tumors that had a bad outcome, and the Greeks made a distinction between benign tumors and evil ones. In the second century A.D., Galen reckoned that the cause was systemic, an excess of sadness or black bile, one of the body’s four “humors” brought on by bad diet and environmental circumstances.Ancient medical practitioners sometimes cut tumors out, but theprognosis was known to be grim .The experience of cancer has always been terrible, but, until modern times, its mark on culture has been light. In the past, fear came from infectious and epidemic diseases, strokes, heart attacks, and tuberculosis.The agonizing manner of cancer death was dreaded, but that fear was notcentrally situated in the public mind — as it now is. This is one reasonwhy the medical historian Roy Porter wrote that cancer is “the modern disease par excellence ”.At one time, it was thought that cancer was a “disease ofcivilization,” belonging to much the same causal domain as“neurasthenia” and diabetes, the former a nervous weakness believed tobe brought about by the stress of modern life and the latter a condition produced by bad diet and indolence. In the eighteenth and nineteenthcenturies, some physicians attributed cancer to psychological andbehavioral causes. William Buchan’s wildly popular eighteenth -centurytext Domestic Medicine judged that cancers might be caused by“excessive fear, grief, and religious melancholy”. In the nineteenth century, reference was repeatedly made to a “cancer personality”, and, insome versions, specifically to sexual repression. As Susan Sontagobserved, cancer was considered shameful, even obscene. “It seemsunimaginable”, Sontag wrote, “to aestheticize” cancer.5 10 1520 25 3021. According to the passage, the ancient Egyptians __________.A.were able to tell benign tumors from evil onesB.knew about a lot of cancerous tumorsC.found out the cause of cancerD.looked at cancer as the crab22. According to Galen, cancer is triggered by all of the following EXCEPT _______.A.the excess of sadnessB. a poor dietC.sociological factorsD.environmental conditions23. The word “benign” in Line 8 refers to _______.A.unharmfulB.badC.positiveD.brutal24. The word “grim” in Line 13 is closest in meaning to _______.A.dirtyB.dreadfulC.strikingD.excellent25. Which of the following statements about the cancers of the past is best supportedby the passage?A.Ancient people did not live long enough to become prone to cancerB.Cancer death might be considered a badge of refinementC.In the past, people did not fear cancer at allD.Some physicians believed behavioral characteristics could lead to cancer26. According to the passage, with which of the following would the author mostlikely agree?A.Today people understand cancer in fundamentally new waysB.Cancer would be totally eliminated in the 21st centuryC.Cancer care and management are very sophisticatedD.There is a dramatic rise in mortality in modern cancer world27. “Neurasthenia and diabetes” are mentioned in Paragraph 3 for the purpose of_______.A.emphasizing that they are as fatal as cancerB.illustrating that they are regarded as “diseases of civilization”C.explaining that they are brought about by the pressure of modern lifeD.showing that people dread them very much28. Sontag’s remark about cancer indicates that one time _______.A.infectious and epidemic diseases were major causes of deathB.cancer ranked just below heart disease as a cause of deathC.cancer was viewed as a dirty disease related to human being’s behaviorsD.the cancers of the past were visible on the body’s surface29. The author’s attitude towards cancer can be described as _______.A. criticalB. concernedC. helplessD. objective30. Which of the following best summarizes the passage?A. Cancer’s identity has never changedB. Cancer is the price paid for modern lifeC. The care and management of cancer have developed over timeD. The cultural significance of cancer has shifted over time篇章4 当前题号:第31-40题,总题数:50题;Line Nelson Mandela once said, “Education is the most powerful weaponthat you can use to change the world”. Nearly everybody agrees: It’sgoing to take a revolution to fix America’s public schools. Louis V .Gerstner Jr., one of the business leaders in education reform, proclaims the Noah principle: “No more prizes for predicting rain. Prizes only for bilding arks. We’ve got to change whole schools and whole schoolsystem.”But this isn’t so. Firstly, nobody really wants a revolution. Revolutionwould mean removing the whole present structure of education overnightand inventing a new one from the beginning, in the conviction that anything must be an improvement—no matter what it costs. What thesefolks really want isn’t revolution but major reform, changing the systemradically but in an orderly fashion. The changes are supposed to be testedin large -scale pilot programs—Gerstner’s “arks”—and then installed nationally. But even that is just a distant gleam in the eye and a dubiousproposition too. There’s nothing like a consensus even on designing thosearks, let alone where they are supposed to come to ground. And anyonewho has watched radical reforms in the real world has to be wary of them: Invariably, they take a long time and cost a great deal, and even so they fail more often than they succeed. The best and most natural changescome not in wholesale gulps, but in small bites.What the think -big reformers fail to acknowledge is that schools allover the country are changing all the time. From head -start programs to after -school big brother/big sister projects to self -esteem workshops, it’sprecisely these small -scale innovations and demonstration programs that are doing the job, in thousands of schools. Some of these efforts are only partly successful; some fail; some work small miracles. They focus varyingly on children, teachers, and parents, on methods of administration and techniques of teaching, on efforts to motivate kids, teach values andmobilize community support. Some are relatively expensive; others cost almost nothing. But all of them can be done—and have been done.The important thing is that local schools aren’t waiting for a 25 30 351051520revolution. They are working out their own problems and making theirown schools better. And anyone—teachers, parents, principals, schoolboard members—anyone who cares enough and works hard enough can dothe same.31. According to the Nelson Mandela quote, education can__________.A. be used to hurt peopleB. be accessible to powerful peopleC. teach people to use weaponD. help create change32. According to the passage, Gerstner believes __________.A. the present school system is functioning adequatelyB. the emphasis should be shifted to finding solutions rather than focus ondescribing problemsC. the school curriculum should include more classesD. in the value of monetary prizes to outstanding students33. The word “installed” in Line 14 is closest in meaning to __________.A. implementedB. informedC. explainedD. stressed34. The author views the pilot programs as all of the following EXCEPT __________.A. costlyB. time-consumingC. uncertain to succeedD. a product of consensus35. The word “they” in Line 18 refers to __________.A. folksB. pilot programsC. changesD. schools36. The word “wholesale” in Line 22 is closest in meaning to __________.A. cheapB. largeC. valuableD. fair37. Which best summarizes the idea of “small bites” in Line 22?A. Changing the system radically but in an orderly fashionB. Allowing children to choose from a variety of programsC. Using modest innovations to improve schoolsD. Teaching the theory of evolution in the classroom38. According to the author, the “small-scale innovations” mentioned in Line 26__________.A. are largely theoretical so farB. do not work on a large scaleC. are unavailable in many areasD. have in many cases been shown to work39. Judging from the author’s discussion, he believes that local schools __________.A. should embrace sweeping plans for national educational reform.B. are relatively expensiveC. are producing small but useful innovations all the timeD. can only be as good as their curricula40. The primary purpose of the passage is to __________.A. present an alternative view to a widely -held beliefB. describe plans to implement an educational revolutionC. relate the historical events that have shaped a situationD. uncover and analyze new flaws in an old system篇章5 当前题号:第41-50题,总题数:50题。
中国地质大学〔北京〕大学英语(1)模拟题中国地质大学〔北京〕继续教育学院 2022年09课程考试《大学英语〔1〕》模拟题〔补〕一.单项选择题1. A:_____A_______was the meeting like? B: It was very exciting.A. HowB. WhatC. Why 2. She is making _____C_______ a cup of coffee.A. myselfB. himselfC. herself 3. London is ______C______capital of Britain, and it is ____________ great city, too. A. a, the B. the, the C. the, a 4. Have you got _____B_______ lychees?A. someB. anyC. / 5. A: ______B______, David? B: An orange juice.A. What do you likeB. What would you likeC. Would you like an orange juice 6._____C_______ people are coming for the party?A. How oftenB. How muchC. How many 7.How many ___A__ can you see on the table ?A. cups of milkB. cup of milkC. a cup of milk 8.Hurry up. We don't have __B___ time.A. manyB. enoughC. too many 9.I'm __A___ a list of things to buy.A. makingB. doingC. looking 10. Mark is responsible __B___ the international market. A. in B. for C. of 11. The Business Banking Department is on C second floor.A. /B. aC. the 12. Maria often has a walk with C parents in the morning.A. sheB. theirC. her 13. I’d like A oranges, please. A. some B. any C. /第1页〔共6页〕中国地质大学〔北京〕继续教育学院 2022年09课程考试14. B does the flat cost a month? A. How many B. How much C. How about15. He B in Beijing, but his parents in Hangzhou. A. live, lives B. lives, live C. live, live 16. - I’m enjoying the long summer evenings. - A am I. A. So B. Neither C. Nor 17. I usually get up A 7 o’clock in the morning.A. atB. inC. on 18. It often B in winter in the north of China. A. snow B. snows C. is snowing 19. I’d like to B you to a party this Saturday.A. joinB. inviteC. leave 20. When A for London? A. is she flying B. she flies C. she is going to fly二.阅读理解Passage AHello, everyone. I'd like to talk about myself. My name is Lily. I am an IT worker. I work at the ABC company in Shanghai. Now I am working asa trainee (实习) Information Technology Manager. I am in charge of about45 people. I am here on my own. My family is in Hong Kong. I don't have any brothers, but I have a sister. She works on newspaper advertisements. She is now sitting in front of the TV set and watching me on TV in our house in Hong Kong. I believe, my mother and father are together with her too. I would like to say hello to my family. Hi, Mum and Dad! Hello, Rose! Can you see me and hear me clearly? I am now in the TV studio (演播室) of Shanghai TV Station. We are making a program about our company. These people around me are my colleagues. That one over there is our boss.21. Lily works in IT. A. Right. B. Wrong. C. Doesn't say.22. Lily has got a big family in Hong Kong.第2页〔共6页〕中国地质大学〔北京〕继续教育学院 2022年09课程考试A. Right.B. Wrong.C. Doesn't say.23. Lily is working on a training program in the TV studio of Shanghai TV Station. A. Right. B. Wrong. C. Doesn't say.24. Lily is going to be the IT Manager. A. Right. B. Wrong. C. Doesn't say. 25. Lily's boss and her colleagues are in Shanghai now. A. Right.B. Wrong.C. Doesn't say. 答案:21.A; 22.B; 23.B; 24.C; 25.APassage BLet me tell you about my new job. It's great. I work for Centre Company. They have an office in London. I am the Deputy Marketing Manager. I am in charge of newspaper advertisements. I like working here, but I don't like traveling by tube. It's too busy! There are some very nice colleagues, and I often eat lunch with them in the canteen. We start work at nine o'clock. Lunch is from one o'clock to two o'clock. Then I finish work at 6 o'clock. My brother works near my office. He is in insurance, and sometimes we have a drink in the pub in the evening. 26. The writer ____________ new job.A. doesn't like hisB. likes hisC. is looking for a 27. The writer works in ____________.A. insuranceB. marketingC. computers 28. The writer thinks the tube is too____________. A. noisy B. slow C. busy 29. The writer works for about ____________ on weekdays. A. 8 hours B. 9 hours C. 10 hours 30.The writer and his brother ____________ .A. sometimes see each otherB. never see each otherC. see each other every day答案:26.B; 27.B; 28.C; 29.A; 30.APassage CBetty is from Italy. Now she lives in Edinburgh . But her parents still live in Italy. She is 25 years old. She is a teacher. She works in a high school in Edinburgh. She teaches science (科学) and she第3页〔共6页〕中国地质大学〔北京〕继续教育学院 2022年09课程考试likes her work. Most of her students are 15 or 16 years old. They all like her. They think she is a great teacher and a beautiful girl with long golden hair. Betty has a boyfriend. His name is Ray. He is British. He is 30 years old. He likes books and music. He can play the piano very well. He is in IT. He works very hard. But he does not like his job. He likes traveling like Betty, and of course he likes staying with Betty. 31.Betty is British now.A. Right.B. Wrong.C. Doesn't say. 32.Betty has long beautiful hair.A. Right.B. Wrong.C. Doesn't say. 33.Ray likes his job.A. Right.B. Wrong.C. Doesn't say. 34.Both Betty and Ray like traveling.A. Right.B. Wrong.C. Doesn't say. 35.Betty can play the piano well.A. Right.B. Wrong.C. Doesn't say. 答案:31.C; 32.A; 33.B; 34.A; 35.C Passage DIn schools all over the world, boys and girls are learning foreign languages. Everyone knows his own language, but another one is very useful especially(尤其) when you travel to other countries. If you go to France, you should be able to speak French, and in Germany, people will expect you to understand German.How many languages are there in the world? There are about fifty hundred, but a lot of them are not very important. English is one of the most important because so many people use it, not only in England and America but also in other parts of the world. About 200,000,000 people speak it as a second language. It is difficult to say how many people are learning it. Many millions of schoolboys and schoolgirls are trying to do so. 36. Learning foreign languages is very useful.A. RightB. WrongC. Doesn't say 37. There are about 1,500 languages in the world.A. RightB. WrongC. Doesn't say第4页〔共6页〕中国地质大学〔北京〕继续教育学院 2022年09课程考试38. A lot of languages in the world are very important.A. RightB. WrongC. Doesn't say 39. People in Brazil 〔巴西〕also speak English.A. RightB. WrongC. Doesn't say 40. About 200,000,000 people are learning English.A. RightB. WrongC. Doesn't say 答案:36. A; 37.B; 38.B; 39.C; 40.B 三.完成句子 Section ADirections: 用动词的适当形式,将以下句子补充完整,每个动词只能用一次。
2017考博英语阅读The 2017 Graduate Entrance Examination English Reading ComprehensionThe graduate entrance examination is a crucial step in the academic journey of many aspiring scholars. The English reading comprehension section is a particularly significant component, as it assesses the candidate's ability to understand and analyze complex texts. In the 2017 examination, the reading passages covered a wide range of topics, from the latest advancements in scientific research to the intricacies of global economic trends.One of the most challenging passages focused on the emerging field of nanotechnology. Candidates were required to demonstrate a deep understanding of the fundamental principles of this cutting-edge technology, as well as its potential applications and societal implications. The passage delved into the unique properties of nanomaterials, exploring how their microscopic size and enhanced surface area can lead to remarkable improvements in various industries, from energy storage to medical diagnostics.Candidates were tasked with identifying the key factors driving therapid development of nanotechnology, such as the increased funding and collaborative efforts between research institutions and private companies. They were also expected to critically analyze the ethical concerns and regulatory challenges surrounding the widespread use of nanomaterials, particularly in areas where human health and environmental safety are at stake.Another challenging passage focused on the global economic landscape, examining the shifting dynamics of international trade and investment. Candidates were required to comprehend the complex interplay between geopolitical factors, trade policies, and the evolving patterns of global supply chains. They were asked to evaluate the potential impacts of emerging economic powers, such as China and India, on the traditional dominance of Western economies.The passage also touched upon the role of multinational corporations in shaping the global economic order, exploring how these entities navigate the challenges posed by trade barriers, currency fluctuations, and cultural differences. Candidates were expected to demonstrate their understanding of the intricate relationships between economic actors, from governments and international organizations to individual consumers and producers.The reading comprehension section also included passages on thelatest advancements in renewable energy technologies. Candidates were required to analyze the technical and economic factors driving the transition towards more sustainable energy solutions, as well as the sociopolitical obstacles that hinder their widespread adoption.The passage delved into the technological breakthroughs in areas such as solar photovoltaics, wind turbines, and energy storage systems. Candidates were tasked with evaluating the relative merits and limitations of these technologies, as well as their potential to address the pressing global challenges of climate change and energy security.Additionally, the reading comprehension section featured passages on the evolving landscape of higher education. Candidates were asked to critically examine the various factors shaping the future of universities, from the increasing role of online learning and the internationalization of campuses to the growing emphasis on interdisciplinary research and entrepreneurship.The passages explored the challenges faced by higher education institutions in adapting to the rapidly changing needs of students, employers, and society as a whole. Candidates were expected to demonstrate their understanding of the complex interplay between academic, economic, and social forces that are redefining the purpose and structure of higher education.Throughout the 2017 graduate entrance examination, the reading comprehension section challenged candidates to go beyond mere factual recall and engage in critical analysis and synthesis. Successful candidates were those who could not only comprehend the content of the passages but also contextualize the information, draw insightful connections, and formulate thoughtful perspectives on the various issues presented.The ability to effectively analyze and interpret complex written materials is a crucial skill for aspiring graduate students, as it underpins their capacity to engage in rigorous academic research, participate in scholarly discourse, and contribute to the advancement of knowledge in their respective fields. The 2017 examination served as a testament to the intellectual rigor and analytical prowess required to excel in the highly competitive world of graduate-level education.。
中国地质大学考博英语冲刺第四课例题习题Americans had always been preoccupied with reforming their society;with “making it over,”and between the1890s and the end of the First World War, the reform spirit intensified.More and more people tried to address the problem of their time directly,to impose order on a confusing world,and,especially,to create a(examda)conflict-free society.Their efforts,inspired by a complicated mixture of calculated self-interest and unselfish benevolence,helped what can be called the Progressive era.The urge for reform had many sources. Industrialization had brought unprecedented productivity,awesome technology, and plenty of consumer goods.But it had also included labor struggle,waste of natural resources,and abuse of corporate power.Rapidly growing cities facilitated the accumulation and distribution of goods,services,and cultural amenities but also magnified problems of poverty,disease,crime,and political corruption.Massive inflows of immigrants and the rise of a new class of managers and professionals shook the foundations of old social classes.And the depression that crippled the nation in the1890s made many leading citizens realize what working people had known for some time:the central promise of American life was not being kept;equality of opportunity—whether economic, political,or social—was a myth.Progressives tried to resolve these problems by organizing ideas and actions around three basic themes.First,they sought to end abuses of power.Second, progressives aimed to replace corrupt power with the power of reformed institutions such as schools,charities,medical clinics,and the family.Third progressives wanted to apply principles of science and efficiency on a nationwide scale to all economic,social,and political institutions,to minimize social and economic disorder and to establish cooperation,especially between business and government,that would end wasteful competition and labor conflict.Befitting their name,progressives had strong faith in the ability of humankind to create a better world.More than ever before,Americans looked to government as an agent of the people that could and should intervene in social and economic relations to protect the common good and substitute public interest for self-interest.41.The passage is primarily concerned with.A.the reasons for the Progressive MovementB.the problems that American society faced between the1890s and the end of World war IC.the causes and contents of the Progressive reformD.the belief that Americans possessed in their society42.All of the following can be inferred from the passage about the American society before the1890s except that.A.there was little equal opportunity for general AmericansB.industry developed very rapidlyC.thousands of people immigrated to the United StatesD.economic depression did great harm to its development43.The author believed that the remedy for the social problems is.A.to stop the use of powerB.to establish more schools and medical clinicsC.to depend on government to make reformsD.to minimize the conflict between the labor and capital44.It can be inferred from the passage that Progressives believed that.A.the rate of industrial development should be reducedB.rapid growth of cities resulted mainly from the massive immigrationC.human beings are able to do anything wellernment tended to protect the businesses rather than the masses45.It can be concluded from the passage that the spirit of the progressive movement is the spirit.A.to end political corruptionB.to minimize social and economic disorderC.to promote free competitionD.to reform all the social evils and problems本文由“育明考博”整理编辑。
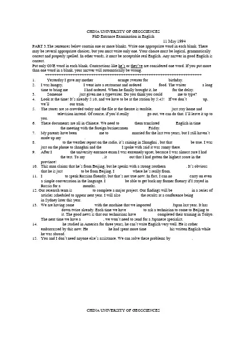
CHINA UNIVERSITY OF GEOSCIENCESPhD Entrance Examination in English11 May 1994PART 3. T he sentences below contain one or more blanks. Write one appropriate word in each blank. There may be several appropriate choices, but you must write only one. Your choice must be logical, grammatically correct and properly spelled. In other words, it must be acceptable real English. Any answer in good English is correct.Put only ONE word in each blank. Contractions like he’s or they’ve are considered one word. If you put more than one word in a blank, your answer will automatically be wrong.++++++++++++++++++++++++++++++++++++++++++++++++++++++++++++++++++++1. Yesterday I gave my mother ___________ orange sweater for _________ birthday.2. I was hungry, _________ I went into a restaurant and ordered ________food. The waiter _______ a longtime to bring me _______ I had ordered. When he finally brought it, he _______for the delay.3. Someone________ just given me a typewriter. Do you think you could _______me to type?4. Look at the time! It’s already 5:10, and we have to be at the station by 5:45! If we don’t _______ up,we’ll _________ our train.5. The stores are so crowded today and the file at the theatre is terrible. _______ just stay home and________television instead. Of course, if you’d really ________ go out, we can do that. I’ll leave it up to you.6. These documents are all in Chinese. We need to _______them translated _______ English in time_________ the meeting with the foreign businessmen _________ Friday.7. My parents have been __________ me to ___________married for the last two years, but I still haven’tmade up my ___________.8. __________ to the weather report on the radio, it’s raining in Shanghai , but that ________ be true. I wasjust on the phone to shanghai and the _________ I spoke with said it was sunny there.9. After I ________ the university entrance exam I was extremely upset, because I was almost sure I had_________ the test. To my ________, it __________ out that I had gotten the highest score in theprovince!10. This man claims that he’s from Beijing, but he speaks with a strong southern ________. It’s obviousthat he is just ________ to be from Beijing. I ________ where he’s really from.11. I __________ to speak Russian fluently, but that’s not true now. In fact, I can no ________carry on evena simple conversation in the language. I _________be able to get back my former fluency if I stayed inRussia for a __________ months.12. Our research team is _________ to complete a major project. Our findings will be _________in a series ofarticles scheduled to appear next year. I will also _________ the results at a conference being _________ in Sydney later this year.13. We are having some _________ with the machine that we imported__________ Japan last year. It has__________down twice already. Each time we have ________to ask a technician to come to Beijing to __________it. The good news is that our technicians have__________ completed their training in Tokyo.The next time we have a __________ , we won’t need to send for a Japanese specialist.14. __________ he studied in America for three years, he can’t write English very well. He is ratherembarrassed by this now. He _________ he had spent more time ___________his written English while he was abroad.15. You and I don’t need anyone else’s assistance. We can solve these problems by __________.CHINA UNIVERSITY OF GEOSCIENCESPHD ENTRANCE EXAMINATION IN ENGLISHMAY 1995PART 3. Each question in this part consist of one or more sentences in which four words or phrases are underlined. The four underlined parts of the sentence are marked A, B, C, D. Decide which one of the four parts is not good English. Then write the letter under that part in the space on the left side of the page.If the four underlined parts are all good English (in other words, if there is no error in the sentence), write E in the space.REMEMBER: You have five possible choices—A, B, C, D or E (= no error).ANSWERS1 ______ I hope the boss will agree to replace the furnitures in our office soon. The office shouldA B Clook more modern.D2 ______ You are suppose to finish writing your report by Friday if you want it to be printed inA B Ctime for the conference.D3_______ Even though he is already half an hour late, don’t you think it would be a good idea toA B Cwait a few minutes before we give up on him.D4 _______ There is a chart at the bottom of the page illustrates the surprising discrepancies in theA B Cfindings of the two research teams.D5________ Next week I am scheduled to fly to St Petersburg for a five-days internationalA Bconference on key recent development in geophysics.C D6________ Because research funds have become much harder to obtain in the past two years, soA B Cwe have decided to focus on smaller projects.D7________ The minerals that the human body require are usually obtained from plants and, to aA B Clesser extent, from animals.D8________ Although I’ve often seen him on our campus, but I’m not sure who he is.A B C D9________ One of the most interesting things about San Francisco is the way the city’s streets goA B Cup and down over its numerous hills.D10_______ The laboratory in which we do most of our experiments is located on the third floor ofA B Cthe building across the street.D11_______ To improve my English, I ever read scientific articles and jot down useful words andA B Cphrases in a notebook I keep just for that purpose .D12_______ Yesterday I had some free time, so I took a bus downtown and went to an exhibitionA B Cof Chinese new products.D13_______ I don’t think it would be a good idea for me to do fieldwork this summer, since myA B Cwife is having a baby.D14_______ It’s pity you can’t go to the movies with me. I really believe you would enjoy the filmA B Cthat’s being shown.D15_______ I’m very glad that I have an excuse for not going to the meeting tomorrow morning. IA Bcan’t stand such kind of meetings. They are a complete waste of time.C D16_______ According to the government’s plan, our university campus is set to undergo extensiveA Bchanges. About six millions of dollars will be spent on new buildings over the next five years.C D17_______ It is obviously that we will be unable to carry out the next phase of our research unlessA Bwe can get access to a more powerful electron microscope.C D18_______ These two young scientists are clearly responsible for most of significant researchA Bdone in this institute since the death of Professor Qin.C D19_______ Be very, very quiet! See if you can remove the papers without make a sound.A B COtherwise you’ll wake the baby.D20_______ I was almost killed in a terrible traffic accident that occurred late last year near theA B Cgate of our university. I am very strange that you haven’t heard about it!DPART 3. The sentences below contain one or more blanks. Write one appropriate word in each blank. There may be several appropriate choices, but you must write only one. Your choice must be logical, grammatically correct and properly spelled. In other words, it must be acceptable real English. Any answer in good English is correct.Put only ONE word in each blank. Contractions like he’s or they’re are considered one word. If you put more than one word in a blank, your answer will automatically be wrong.++++++++++++++++++++++++++++++++++++++++++++++++++++++++++++++++++++++1.________ your friend ever visited the Great Wall?2.In _____ to find out if a hypothesis is true or not, scientists normally conduct _______.3.I _____ eating dinner when the telephone rang.4.As you can see, this building is a restaurant. It ______ to be a shop, but about three years ___ the ownerdecided he could ____ more money if he changed it into a restaurant.5.There _____ three people in the room. The one ______ the book is my brother. The _____ two areschoolmates of his Guangzhou.6.Which would you ______ drink, tea or coffee?7.How _____ beer does a bottle of this size hold?8.Professor Wang’s plane is ______ to arrive at 10 o’clock. Do you know if anyone is _________ him atthe airport?9.People say this is _______ informative articles. Have you read it _______ ?10.The director is very pleased _______ Ms Cui’s work, so he has decided to ______ her. Starting new week,she will be our supervisor.11._________ a few Russians have blond hair. It’s not at all rare.12.The State Science and Technology Commission is giving our research team an ________ for the projectwe completed _______ January. Some experts say that our research results will ________ China to increase its gold production by fifteen percent.13.Word and stone were the first materials _______ for tools.14.I’m putting the object on the scale to find out how much it ______ .15.I was a student at Zhejiang University from 1985 to 1990. Since ________ I have worked ________anengineer in a factory that ________ motors for cars and trucks.16. A square is a shape with four ________ sides.17._________ Australia and Canada are huge countries, they have rather small populations. _______ of theland in both nations is uninhabited.18.When our oil drill broke down, it _______ us over a month to _______ it.19.I think all Chinese scientists _______ be able to read and speak English, Russian or Japanese . Do you______ with me?20.Japanese culture is very _______ to that of China and Korea. This is because the Japanese _____ much oftheir East Asian neighbors until the last century.21.Our research team tried ________ ten months to find the money to continue our project. We finally________ in getting funds from a company in Shanghai. We completed the project last month. The results will be ______ in a well-known international scientific journal.22.My sister is ambitious and works very ______ , whereas my brother is so lazy that he _______ works at all.23.Next summer an international geological congress will be ______ in Berijing. The organizers ________thousands of scientists to come to Beijing from all over the globe. Unfortunately I will be _______ all summer, so I’ll have to miss the event. What about you? Are you planning to _______ it? I certainly would be there if I ___ you. It will be a wonderful _______ to meet some of the greatest geologists of our generation.24.It is possible to see _______ a window, but not a mirror.25.I had a lot of _______ opening the door to our lab this morning. I don’t know why it was so _______ .Neither my key nor the door seems to be damaged.CHINA UNIVERSITY OF GEOSCIENCESPhD Entrance Examination in EnglishMay 1996PART 2. Each question in this part consists of one or more sentences in which four words or phrases are underlined, The four underlined parts of the sentence are marked A,B,C,D.Decide which one of the four parts is not good English. Then write the letter under that part in the space on the left side of the page .If the four underlined parts are all good English (in other words,if there is no error in the sentence ).write E in the space.REMEMBER : You have FIVE possible choices-----A,B,C,D or E (=no error).ANSWERS1._______ Over half of soldiers in the Chinese army come from rural areas. Those whoA B Cleave the army often go back to their villages and set up small businesses.D2._______ I am not sure that the door to our lab is enough wide to allow the workmen toA B Cmove in the bigger pieces of equipment.D3._______ If we can persuade the foundation to grant us just a little more money ,so we willA B Cbe able to finish this project in time for the conference.D4._______ Professor Harris certainly isn't much of a lecturer .I am always very boring then IA Bhave to sit through one of his long dull presentations.C D5._______ Since the roads in the region are so poor,even with three geological teams it willA B Cprobably take at least five or six months to complete all the fieldworks.D6._______ On the staff of our institute are some 180 technicians, half of whom have little orA B C Dnothing to do.7._______Which of them is going to accompany with Professor Hart when he travels toA Beastern Tibet this fall.C D8._______ In the article I included a drawing illustrates the geology beneath the surface ofA B Cour main drilling site.D9._______ I'd like to find the phone number of the Beijing office of a engineering firmA Bnamed Bechtel,but I don't know what it's called in Chinese.Do you happen toC Dknow?10._______ It was hard to get to our hotel from the airport .As we couldn't afford a taxi,firstA Bwe took a bus,and later we change to the underground.C D11._______ Several of the people in my chemistry class suddenly got sick last night and had toA Bgo to the hospital .Three other classmates of mine were already in the hospitalCwith a mysterious illness.D12._______ The best months in which to go Beijing are May and October,when the skies areA B Cclear and the average temperature is pleasantly cool.D13._______ Everybody hopes that tomorrow would be sunny .If not ,we will be forced to callA Bour picnic off or else to eat indoors.C D14._______ The businessmen standing over there speaking English are mostly from the USA Band Canada,but one of them is a British and three are Australians.C D15._______ The director has frequently said that we should make better use of ourAcomputers,however, the older employees still have not received adequateB Ccomputer training.D16._______ A Chinese ancient thinker once said that a picture is worth a thousand words .TheA Bpublishers who put out textbooks for Chinese university students should heedCthis excellent advice.D17._______ I am eating in dining halls for the last six weeks ,because neither I nor myA Broommate has time to cook while we prepare for our qualifying exams.C D18._______ Only a handful of fossils of this sort have been found in all parts of the world .OurA Bmuseum is remarkably fortunate to have five of the twelve known specimens inC Dits collection.19._______We are conducting this series of experiments in order to seek more nowledges.TheA B Cresults thus far have been most impressive.D20._______ This newly-published article is extremely useful.I think I will give the author aA Bletter to tell him how interested I am in his work. Perhaps we can undertake someC Djoint research in the future.PART 3. In this part of the test you are asked to complete an analogy.For instance,on your paper you may see this :BLACK :: WHITEBIG :: _________You should interpret this as " The word black has the same relation to the word white as the word big has to the "word __________".First you should think about black and white .How are they related,logically and grammatically?You decide that they are both adjectives and that they are opposite in meaning.Then ask yourself what adjective is the opposite of big.There are several words you could choose,but you must give only one.You could choose small or little or tiny,etc.Each is the opposite of big.You decide to use the word small ,so you write that word in the space provided.Now you analogy is complete .black and white are opposite in neaning but grammatically similar,and so are big and small.Remember to put only one word or short phrase (e.g. on time) in each blank+ + + + + + + + + + + + + + + + + + + + + + + + + + + + + + + + + + + + + + + +1 PEN :: WRITETRUCK :: ______________2 PALACE :: HOUSEMOUNTAIN :: _____________3 FLOAT :: SINKMOVE :: _____________4 SCATTERED :: CONCENTRATEDOPTIONAL :: ______________5 MESS :: DISORDERPROPOSAL ::______________6 RICH :: MONEYCURIOUS :: _______________7 INSTRUMENT ::MICROSCOPESTRUCTURE::______________8 MUSEUM :: DISPLAYSDICTIONARY :: ______________9 BEHIND SCHEDULE :: LATESIGNIFICANT :: _____________10 ENORMOUS :: LARGEFURIOUS ::_____________PART 4.In this section you must write some questions. You will see a sentence with an underlined part . This underlined part is the answer to the question you should make .For example,suppose you see this:Q _________________________________________________A His name is John Forstner.What question (Q) will produce the answer (A) in which John Forstner is the key information ?You decide that the question must be "What is his name ?" and you then write that question in the space above the answer .You could make other correct choices.For instance,if you were to write "What is he called?",that would also be acceptable. Please give only one question,however .Don't forget to write the question mark(?) where you need it . Sometimes the answer will be very short ,the kind of very short reply you might make in spoken English.Just make sure your question can logically produce that answer,whatever it is.+ + + + + + + + + + + + + + + + + + + + + + + + + + + + + + + + + + + + + + + +1 Q ________________________________________________________________A He took the city bus.2 Q ______________________________________________________________A It's located in western Hubei.3 Q _____________________________________________________________A 2022244,extension 99750.4 Q ______________________________________________________________A They examined the samples under the electron microscope.5 Q __________________________________________________________A He got there 45 minutes late.6 Q ___________________________________________________________A It's published every 4 months.7 Q ______________________________________________________________A They gave it to the policeman.8 Q ___________________________________________________________A They gave it to the policeman.9 Q ___________________________________________________________A I grew up in a town about 450 km west of Moscow.10 Q ________________________________________________________A The town I grew up in was a small, friendly,sleepy place on the Volga River,85km from the nearest railway.PART 5. The sentences below contain one or more blanks. Write one appropriate word in each blank .There may be several appropriate choices,but you must write only one. Your choice must be logical,grammatically correct and properly spelled. In other words,it must be acceptalbe real English.Any answer in good English is correct.If no word is needed or appropriate , write zero (0) in the blank. You must use this symbol to show that nothing is needed in the blank Empty blanks, with no word or zero in them , will count as errors.+ + + + + + + + + + + + + + + + + + + + + + + + + + + + + + + + + + + + + + + +1 The meter is used internationally to _________ distance.2 I studied at Qinghua University from 1989 to 1994 .Since __________ I have been _______for theSiemens Corporation in Shanghai as ________ industrial engineer.3 This is the clearest textbook I've___________ studied.4 __________Russians can speak Chinese, even ___________Russia and China have been neighbors forover three _________now.5 Wood, coal and __________ gas are all used for _______in different parts of China.6 My watch is very ________. It's never fast or slow .7 The film made a deep _________on me. In fact,I was so __________by it that I went to see it______seven times.8 He said he would be at the meeting today, but I _________whether he'll actually come.9 _________intends to wear a black dress to the party this evening .________husband is going in a greysuit.10 We didn't arrive until 6 o'clock. The delay was ______by the repairs being made on the highway_________Jinan and Tianjin. We were quite __________to find the repair work still in progress, because we heard that the work on the road had been completed ________ three weeks earlier .11 Mistakes are hard to ________when one is inexperienced.12 Our article has been __________by the journal, but the editors haven't ________us when it will be published.13 Steel is manufactured ________iron ore.14 My father _______mathematics in a Chengdu secondary school until he ______in 1993.Now he_________most of ________time working in the garden behind our house.15 Qomolangma (Mt Everest) is the ______tallest mountain, if I'm not mistaken.16 I ______basketball almost every day when I was a teenager. Nowadays I get very __________exercise.As a _______I'm beginning to put on weight.17 _______the conference English will be used ________the main working language. Anyone who can'tspeak English will have to rely on ________.18 The__________ in our lab is getting old. I think it should all be ________with new instruments.19 Most people__________ the summer weather in Wuhan very unpleasant.20 The government of China tries to promote scientific research, ___________research likely to contribute to economic growth.。
北京大学考博英语听力、词汇、阅读、完形、改错专项分析1.听力(20题,共计20分 1×20=20)该部分共20题,每题1分,共20分。
主要测试考生掌握听力材料中心思想和主要内容的能力,考查考生对对话情景、场合、人物关系、说话人身份、说话意图、话语含义等的理解和判断能力,此外,听力理解试题对考生捕捉主要信息、熟悉习语表达、熟练语法结构变式等方面均有较高要求。
以下是华慧考博老师以表格的形式对近几年真题的听力结果进行分析:Sectio A new a talk on听力理解部分共20题,分A,B,两节节:A节有10题,为三段段子,与TOEFL相似,每段有三、四个问题;C节是听写,考生听完一篇500个词左右的短文后需完成文章中空出的20个空。
第一部分录音材料只读一遍,听完每段材料后,考生分别有15秒、20秒、15秒钟填涂答题卡,第二部分读两遍。
录音的语速约为每分钟120~140个词。
听力重点:重点把握基础,也就是第一部分的客观题,分为三篇短文,要求考生了解所听材料的大致内容,启动语音和背景知识,缩小听力理解的范围,减轻理解和记忆的负担,并且要学会带着问题去听,然后要学会正确抢读选项。
听力难点:提高能力,作为听力考试的第二部分,要求考生听完一篇500个词左右的短文后需完成文章中空出的20个空。
这明显对考生的听力能力加大了难度,要求考生对文章中心思想的把握,还有句与句之间的衔接并推敲出所填写的词的用法,根据不同情况进行变形。
听力误区:避免只见树不见林、只听不记:词汇量少,一听到自己不熟悉的词就会卡壳,琢磨反而影响了对整个语篇的理解。
必要的思考但是应当保持连贯性。
(学会放弃;生僻的地名。
高难度的词,非关键信息等等;学会联系和有限度的推断)只听不记,做题很难;可以记录下时间、地点、人名、数字等。
这些可以帮助你会议起有关的细节,更加准确的回答问题。
2.词汇(20题,共计20分 1×20=20)北京大学考博英语的词汇题部分共20道题,每道题1分,共20分。
2022年考研考博-考博英语-中国地质大学考试全真模拟易错、难点剖析AB卷(带答案)一.综合题(共15题)1.单选题The students, arriving at the usual time for breakfast, were extremely fhrious when they discovered that the prices of almost the food items had doubled overnight.问题1选项A.students, arrivingB.were extremely fhriousC.almost the food itemsD.had doubledE.没有问题【答案】B【解析】副词多余。
去除extremely。
由 furious 的英文释义“marked by extreme and violent energy or extreme anger”知它已经含有extremely“极其;非常”的意思,故B项这里的“extremely” 属于重复,应该去除。
2.填空题13. We are having some(1) with the machine that we imported (2)Japan last year. It has (3) down twice already. Each time we have(4) to ask a technician to come to Beijing to (5) it. The good news is that our technicians have (6)completed their training in Tokyo. The next time we have a(7), we won’t need to send for a Japanese specialist.句意:我们去年从日本进口的这台机器正有些故障。
2022年考研考博-考博英语-中国地质大学考试全真模拟易错、难点剖析AB卷(带答案)一.综合题(共15题)1.填空题Try not to use the air conditioning too much. The more power you use, the() your electrical bill will be.【答案】bigger【解析】语法题。
考查“the+比较级……the+比较级……”的固定句型, ,表示“越…… 就越……”,根据意思“使用的电越多,电费账单就会越大”,故需填入bigger。
2.单选题We are undertaking a survey to evaluate the extent to which the educational system that exists in China today answers the needs of society.问题1选项A.are undertakingB.the extent to whichC.answersD.of societyE.没有问题【答案】E3.单选题At the moment I’m reading an F.D.A. report that summarizes the debate on the responsibility of various agricultural and manufacturing corporations for the spread of mercury pollution in food products.问题1选项A.At the momentB.an F.D.A. reportC.debate onD.various agricultural and manufacturingE.没有错误【答案】E4.单选题When I put the beautifully decorated gift canister into Mr. Kang's hands, he thanked me effusively for sending him such high-quality tea.问题1选项A.When I put the beautifullyB.decorated gift canister intoC.effusivelyD.sendingE.没有问题【答案】D【解析】动词误用。
中国地质大学(北京)2007年博士研究生入学考试专业英语试题(理学)把下列短文译成汉语(1——必译,2、3—-选1)(共40分)1、Quakes Renew The Planet(地震让世界焕然一新)(30分)The advantages began billions of years ago, when this crustal recycling made the oceans and atmosphere and formed the continents. Today, it builds mountains, enriches soils, regulates the planet’s temperature, concentrates gold and other rare metals and maintains the sea’s chemical balance。
Plate tectonics describes the geology. The tragic downside is that waves of quakes and volcanic eruptions along plate boundaries can devastate human populations。
“It’s hard to find something uplifting about 150,000 lives being lost," said Dr. onald J。
DePaolo, a geochemist at the University of California, Berkeley. “But the type of geological process that caused the earthquake and the tsunami is an essential characteristic of the earth。
中国地质大学(北京)考博英语阅读理解真题解析 Let children learn to judge their own work. A child learning to talk does not learn by being corrected all the time; if corrected too much, he will stop talking. He notices a thousand times a day the difference between the languages he uses and the language those around him use. Bit by bit, he makes the necessary changes to make his language like other people. In the same way, when children learn to do all the other things they learn to do without being taught-to walk,run, climb, whistle, ride a bicycle-compare those performances with those of more skilled people, and slowly make the needed changes. But in school we never give a child a chance to find out his own mistakes for himself, let alone correct them. We do it all for him. We act as if we thought that he would never notice a mistake unless it was pointed out to him, or correct it unless he was made to. Soon he becomes dependent on the teacher. Let him do it himself. Let him work out, with the help of other children if he wants it, what this word says, what answer is to that problem, whether this is a good way of saying or doing this or not.(PS:The way to contact yumingkaobo TEL:si ling ling-liu liu ba-liu jiu qi ba QQ: 772678537) If it is a matter of right answers, as it may be in mathematics or science, give him the answer book. Let him correct his own papers. Why should we teachers waste time on such routine work? Our job should be to help the child when he tells us that he can't find the way to get the right answer. Let's end this nonsense of grades, exams, marks, Let us throw them all out, and let the children learn what all educated persons must some day learn, how to measure their own understanding, how to know what they know or do not know.Let them get on with this job in the way that seems sensible to them. With our help as school teachers if they ask for it. The idea that there is a body of knowledge to be learnt at school and used for the rest of one's life is nonsense in a world as complicated and rapidly changing as ours. Anxious parents and teachers say, “But suppose they fail to learn something essential they will need to get in the world?” Don't worry! If it is essential, they will go out into the world and learn it.1.What does the author think is the best way for children to learnthings?A.by copying what other people do.B.by making mistakes and having them corrected.C.by listening to explanations from skilled people.D.by asking a great many questions.2.What does the author think teachers do which they should not do?A.They give children correct answers.B.They point out children's mistakes to them.C.They allow children to mark their own work.D.They encourage children to mark to copy from one another.3.The passage suggests that learning to speak and learning to ridea bicycle are___.A.not really important skills.B.more important than other skills.C.basically different from learning adult skills.D.basically the same as learning other skills.4.Exams,grades,and marks should be abolished because children's progress should only be estimated by___.cated persons.B.the children themselves.C.teachers.D.parents.5.The author fears that children will grow up into adults while being___.A.too independent of others.B.too critical of themselves.C.incapable to think for themselves.D.incapable to use basic skills.答案:ABDBC本文由“育明考博”整理编辑。
C H I N A U N I V E R S I T Y O F G E O S C I E N C E SPhD Entrance Examination in English21April 2001LISTEN TO THIS!Good morning! You are about to take the English test for people who wish to enter the doctoral program in the earth sciences at this school. The test may be rather different from any exam you’ve taken in the past. The first part is a timed listening exercise. The other four sections test your knowledge of grammar, elementary writing skills and basic vocabulary, plus your reading ability. You can have as much time as you like for the last four parts of the test—within reason, of course.The test has five sections, worth a total of 130 points in all; the answers in part 5, the reading test, are worth three points each.The answers for parts 1,2,3 and 5 (in other words, every part except 4) should be marked on your answer sheet. The answers for part 4 should be written directly on this test paper.Make sure you READ AND FOLLOW THE DIRECTIONS for each part of the test!The results of this exam will enable us to compare your preparation in English with that of the other candidates. The “passing” grade is relative; in other words, it will depend on the scores for the whole body of test-takers. You should just relax and do as well as you can.We shall now begin. Turn the page to part 1. Good luck!PART 1. Imagine that you are on a train to Shanghai. In the seats in front of you there are two foreigners, and you can hear their conversation. One of them is telling the other about his job. He says what he does, not what he is or what field (profession or occupation) he is in.On your paper you see a list of the names of people in 60 different occupations or professions. As you listen, decide what the speaker is. Then find the correct word on the list and write the number beside it in the proper blank on your answer sheet.For instance, suppose you hear this: (Speaker P) “Well, I don’t enjoy lecturing very much, especially to younger students, but I do love my research. I’d be so happy if I could spend every day in the lab with my graduate students and postdocs. However, that’s just not the way university departments operate.”You decide that the speaker must be a professor, so you find “a professor” on your list. You see that the number beside it is 61; you then write the number 61 in the blank beside P on your answer sheet.By the way, in reality there is no P and no 61, and “a professor” is not one of the choices on your list. This is just a theoretical example. You will now have three minutes to read the list. [SILENCE]All right, now let’s begin! [15 points]+++++++++++++++++++++++++++++++++++++++++++++++++++++++++++++++++1an accountant 会计31 a librarian2an actor 32 a mathematician 数学家3an airline pilot 民航驾驶员33 a mechanic 机修工(技工)4an architect 建筑师34 a mechanical engineer 机械工程师5an astronomer 天文学家35 a military officer6 a biologist 36 a novelist 小说作家7 a chef 烹调师37 a nurse8 a civil engineer 土木工程师(建筑)38 a paleontologist 古生物学家9 a concert pianist 高级钢琴演奏师39 a press photographer 新闻摄影师10 a construction worker 40 a plumber 管道维修工(水暖工)11 a corporate executive 企业执行总裁41 a poet 诗人12 a dentist 牙医42 a police detective 侦探(刑警)13 a dietician 营养师43 a police patrolman 普通警察(巡警)14 a diplomat 外交官44 p pop singer 流行歌手15an electrician 电工45 a postman 邮递员16 a fashion designer 时装设计师46 a private businessman 私营企业家(个体商人)17 a film critic 电影评论家47 a private detective 私人侦探18 a film director 电影导演48 a psychiatrist 心理医生19 a flight attendant 飞机乘务员49 a psychologist 心理学家20 a florist 花店老板50 a publisher 出版商21 a geologist 51 a radio announcer 电台播音员22 a geophysicist 52 a schoolteacher (primary)23 a graphic designer 图形设计员53 a schoolteacher(secondary)24 a hairdresser 发型设计师54 a software engineer25 a hardware engineer 硬件工程师55 a store clerk/shop assistant26 a hotel manager 56 a surgeon 外科医生27 a journalist 57 a tax official 税务员28 a judge 法官58 a travel agent 旅行社职员29 a lab technician 59 a university student30 a lawyer 60 a vet 宠物医生(兽医)PART 2. In each of the ten sentences below there is an underlined words (or words). Decide which of the words in the list at the bottom of the page can be used to replace the underlined words without changing the meaning of the sentence. The underlined words and the words that you choose must be synonyms. In each case, writer the number found next to the synonym in the appropriate blank on your answer sheet.A.We need to economize, so we are trying to cut down on waste in our lab.B.Our situation is likely to deteriorate if we do not receive help soon.C.You will notice that this material can easily be seen through.D.John thinks he may be laid off when the firm reorganizes.E.Does anyone know who is in charge of this part of the project?F.How soon do you think they will exhaust their supply of oxygen?G.Was there any feedback after you made your presentation?H.We need to keep track of any changes in soil in the area around the factory.I.This plastic looks good, but I think we need something more durable.J.Please hurry. This matter requires immediate attention.The five sentences below also contain underlined words. Find the words in the list at the bottom of the page that mean the OPPOSITE of these underlined words. Again, write the number found next to each item you choose in the appropriate space on your answer sheet.K.Quite a few observers have reported changes in the quality of the air.L.The telescope they are using now is a state-of-the-art device.M.There has been a minor improvement in his condition since he started to take the new drug.N.On the basis of the study, the committee has decided that the dam project is feasible.O.Their experiments will probably shed light on this puzzling phenomenon.++++++++++++++++++++++++++++++++++++++++++++++++++++++++++++++++++++POSSIBLE SYNONYMS AND ANTONYMS (=OPPOSITES)1. a handful of 21. exacerbate 41. modify2. a host of 22. extremely advanced 42. monitor3.advanced 23. facilitate 43. more abundant4.advancing 24. get a raise 44. optional5.advice or criticism 25. get worse 45. other choice6.antiquated 26. greater 46. perilous7.authorize 27. identical 47. preserve8.be promoted 28. imply 48. questionable9.be transferred 29. impracticable 49. reduce10.become tired of 30. improve 50. refreshments11.challenging 31. is emergent 51. responsible forpatible 32. is invisible 52. responsible to13.constitute 33. is transparent 53. run out of14.contain 34. is urgent 54. safer15.counteract 35. is visible 55. similar16.designate 36. less prone to wear 56. snacks17.do little to explain 37. less tough 57. to blame for18.dramatic 38. lose his job 58. unprecedented19.dwindle 39. many 59. versatile20.eliminate 40. meal 60. very attractivePART 3. Each question in this part consists of one or more sentences in which four words or phrases are underlined. The four underlined parts are marked A, B, C or D. Decide which one of the four parts is not good English. Then write the letter found under that part in the proper space on your answer sheet.If the four underlined parts are all good English and there is no error in the sentence, then write E in the space on your answer sheet. REMEMBER! You always have FIVE possible choices: A, B, C, D or E (= no error).1Despite the claims of later researchers, it was two roman ancient scholars who first noticed the similarityA B Cin the structure of these crystals.D2How likely is the current campaign against spitting to success? To answer this question we must look atA B Cthe achievements of earlier efforts of this sort.D3This afternoon I forgot stopping to check the mail. I think an important letter from the U.K. may haveA B Carrived today, so I’m going to the mailroom the first thing in the morning.D4No sooner had she agreed to marry him than she began to have serious doubts about the wisdom of theA B C Dmatch.5This diagram is illustrating the difference between our data and the findings of the two earlierA B Cinvestigations. You will note that the discrepancies are quite marked, especially in sector F.D6I do a lot of traveling for my job. For example, once every two or three months I fly to Chongqing andA Bthen drive from town to town in east of Sichuan to talk to our clients.C D7I think we should all insure our bikes in case they will be stolen, but my wife doesn’t think the troubleA Band expense are worth it. As a result, my bike is insured against theft, but not hers.C D8 A number of the people came to the lecture were unable to get seats in Room 315, so Professor KleinA Bdecided to ask everyone to move to Room 403, which is much bigger.C D9There are only two methods for dealing with this problem: one is expensive but quick, which another isA B Ccheap but unfortunately takes a rather long time to be effective.D10Toward the end of the twentieth century a new means of communication was invented – the Internet. ByA B Cthe year 2000 the Internet had spread to every part of the globe.D11Hardly anybody passed the most recent physics exam, so Professor Klein has set up a series of make-upA Bclasses to help people who have fallen behind in their work to master the key concepts.C D12After the seminar in Shanghai this September, I will accompany with some of the participants on a tourA B Cof geological points of interest in Yunnan and Guizhou. Would you like to come with us?D13We are awaiting a shipment of new equipments that is scheduled to arrive in Tianjin very soon.A B C D14My boss knew that I was eager to return to my hometown to see my family, but he let me analyse all 400A Bof the rock samples anyway.C D15There is a rumor on campus that Wang Ping is about to be appointed minister of Ministry of Land andA B CResources. Do you think there’s any truth in the rumor?D16He has some experience in writing articles for publication, but not a great deal of it. Specifically, IA Bbelieve he has ever written three pieces that have appeared in professional journals, none of them inC DEnglish.17Yesterday afternoon I was busy reading a long article in the financial pages of the newspaper. At theA B Csame time, the doorbell rang, and I sprang from my chair to answer it.D18If I realized that the trip to South America was going to cost so much, I would almost certainly haveA Bbacked out of it and instead gone to a less distant spot to do my fieldwork.C D19Everyone regards it as a honor to be chosen to give the opening address at so important a conference.A B C D20We’re headed downtown on Saturday to see what’s being shown in the main art galleries. I’m told thatA B CAnne is very interested in modern art, so I hope she would join our group.DPART 4. The sentences below contain one or more blanks. In each blank you must write ONE appropriate word. There may be several appropriate choices, but you must write only one. Your choice must be logical, grammatically correct and properly spelled. In other words, it must be acceptable real English. Any answer in good English is correct.Put one and only one word in each blank. If you put more than one word in a blank, your answer is automatically wrong. Putting nothing in a blank also counts as an error. [50 points]+++++++++++++++++++++++++++++++++++++++++++++++++++++++++++++1.You’re going to the party? Have _____________!2.Do you want to eat now or would you __________ wait a little while?3.I was _________________ when I opened the letter and discovered a check for $2,000.4.I have ______________good news for you. Your salary is going to be ________, starting next month.5.Do the investigators have any idea what _________ the oil rig to collapse?6.The experiment will be over ________ three hours. ________ then I have to stay in the lab and makesure everything goes according to plan.7.___________ they didn’t understand a word of what a foreign visitor was saying, they ________ onsmiling and nodding as if they did. It was very odd.8.We’re not very __________ with the condition of our lab, but we _________ the funds that would beneeded to renovate it properly.9.You may not __________ our campus very impressive to look at. _________, the university does have anumber of genuinely distinguished researchers ______________ its staff.10.Many earth ___________ want to do research in Tibet, but ___________ there is not a good idea unlessyou are in excellent ____________.11.When John went ___________ this morning, he said he would ___________ around 2:30. __________Itell him to give you a ___________ later this afternoon?12.John got _________ in traffic on his _________ to the campus this morning. By the time he arrived, themeeting _________ already over and everyone __________ gone back to work.13.It’s true that second-hand cars are cheaper than new cars, but they _________ to use more fuel._________, they break down _________ more often. Of course, if you’re a good mechanic, perhaps that’s not such a _________, but I can’t recommend __________ an older car to anyone who is n’t good at __________ them.14.I’m upset because I’ve just witnessed __________ accident. It involved a bus, a taxi and a bike. Theman on the bike and the cab driver were both _________, the first instantly. The cab driver stopped breathing just as the ambulance arrived.15.John _________ to smoke but he ________ after his father, a lifelong heavy smoker, got lung ________.__________ him die of the disease was a terrible experience for John. Nowadays he gets angry whenever he sees an _____________ for cigarettes.16.Professor Smith’s lecture was so _________ that half of the audience had to struggle not to _________asleep. John was one of the few people who were not ______. He thinks Smith’s research is fascinating.17.If you plan to _______ the conference in Sydney next month, you should _______ a seat as soon aspossible. I traveled to Australia at this time last year, and I had a lot of _______ getting a plane ticket. 18.All of Li Bo’s friends are __________ him to take the job that the new computer company has _______him, but thus far he has _________ to leave his current job. __________ can understand why he is so reluctant to change __________, especially since he often complains about he firm he works for now.PART 5. First read the article below carefully and completely. (Notice that the paragraphs are numbered from 1 to 11.) Then answer the questions on its content. In each case write the letter of the correct answer on your answer sheet. Each answer is worth three points.You are not allowed to use a dictionary. However, we have provided a short list of difficult words with their definitions to help you read the text. Read this vocabulary list before you begin the article.VOCABULARY FOR THE ARTICLEacute (adj.): sharp; causing difficult problemsto assimilate A: to make A similar to the other people in a new environment or societya buffer: something that reduces the shock of conflict or misunderstandinga C: a merely passing mark in the usual US grading system (A-B-C-D-F, with A as the high grade)a chasm: a wide, deep gapa corollary: a result of something else; a principle derived from another principlea curriculum: a list of courses taught in a schoolcuts far deeper = is more profound in its effectsa delicatessen: a store where ready-to-eat foods prepared in the store are sold and taken elsewhere despondent (adj.): discouraged and unhappydevastating (adj.): disastrousexotic (adj.): mysteriously foreigna family dynamic [a psychological term]: a pattern of authority and emotion inside a familya go-between: a middlemanto hammer X to A: to emphasize X by constant repetitionHispanic (adj.): from any of the countries in which Spanish is the main languagea privation: a lack of something importantself-esteem: self-respect, related to self-confidenceseventh grade: grade 7 of the 12 grades in US schools (like “CHU-YI” in China)to take a toll on X: to damage Xa toddler: a young child who can walk, but not yet very well (age 2-5)virtually: almost[1] Korean-born Sung Jong Chang and her 16-year-old American son have trouble talking to each other. they barely communicate, in fact. The reason cuts far deeper than the Normal parent-teenager divide in Western societies. Mrs Chang, a Korean immigrant who works seven days a week in the family’s restaurant business, speaks almost no English. Her son, John Kim, who came to the United States as a toddler, knows little Korean. At home in a Virginian suburb of Washington, Mrs Chang watches Korean television and videotapes. In the car she listens to Korean radio. At work and church, she speaks Korean with her friends and colleagues. Working twelve hours a day, she has little opportunity or even need to learn a new language.[2] John, on the other hand, is 100 percent Americanized. His friendships, his classes at school, his tastes in music, in clothes, in recreation – all are firmly rooted in the English language and American culture, especially as represented by the programs that he sees on TV. Television has also had an enormous influence on his spoken English had how he uses it. The direct input from his parents seems to have shrunk to little more than preferences in food and a habit of diligence.[3] In a society that insistently hammers into parents the importance of talking to children and spending time with them, many immigrants can hardly do either. Holding down one or more jobs to provide for their families leaves little time for family life, much less for attending language classes. At the same time, there is evidence that the children of today’s immigrants are losing their parents’ language a good deal faster than second-generation children did years ago.[4] The result, say sociologists and others who study the effects of immigration, is a troubling new family dynamic on the rise: a generation of children growing up almost strangers to their parent. “For most of us, it would be an easy choice,” said Kathleen Harris, a sociology professor at the University of North Carolina. “Of course you would learn to communicate with your child – but not if it meant having to do without food on the table.”[5] Twelve years after arriving in the US, Mrs Chang has come to believe that she is losing her son across a great cultural chasm. It pains her greatly, but she lacks the means to tell him even that much. Instead she relies on her daughter to speak for her. Sun Mi Kim, 18 years old, who grew up speaking English and a child’s oral Korean and is only now striving to learn the spoken and written Korean of an adult, serves as a go-between for her mother and brother, translating nearly everything that passes between the, even during their occasional angry shouting matches. Because Sun Mi’s Korean is limited, however, much is left unspoken – and many feelings unexplored – in the family. Subtlety is lost. Now, when Mrs chang sees her son despondent when she comes home at night after her long workday, she wonders if their language barrier has taken its toll on more than ease of communication within her family. “I’m afraid that by now my son may have given up trying to communicate –and maybe not just with me,”the 47-year-old mother said through a translator one recent afternoon while taking a break from her kitchen duties at one of the family’s two restaurants.[6] Previous waves of American immigrants switched over from their ancestral languages to English in a more gradual fashion, over the course of three or four generations, with a buffer between the immigrant generation and the fully assimilated generation. Back in the decades when Italy was a major source of immigrants to the US, for example, an English-speaking child might have had difficulty talking to his Italian-born grandfather, but usually the generation sandwiched in the middle was fluent in the oral forms of both languages. Nowadays the change is happening far more rapidly, according to Ruben Rumbaut, a sociologist at Michigan State University. “This country is becoming a language graveyard for the second generation,” he said, with children and parents living under the same roof yet substantially unable to talk toeach other except about the most superficial matters of everyday routine.[7] In a long-term study of 5,300 immigrant families, Professor Rumbaut found that 73 percent of the youngsters surveyed in 1991 stated that English was their primary language of communication by the time they reached seventh grade, but 94 percent of the parents spoke another language at home. In 1995, the figure for the parents was about the same, while the number of children speaking mainly English had jumped to 88 percent. A survey of immigrant families conducted last year in the Virginia county where Mrs Chang and her family live found that 53 percent of the households had an adult who spoke little or no English; in 27 percent of the households, no resident adult could speak English.[8] The language barrier separating parent and child may be particularly acute among Asians. Although a higher proportion know some English when they arrive in the US, according to a 1995 University of North Carolina study of 21,000 immigrant youths, Asian children lost their native language considerably more swiftly than do Hispanic children. That is in part because Hispanic young people usually live in larger communities where there are many Spanish-speakers. Asian communities, in contrast, tend to be much smaller and may have several languages, depending on how many countries are represented, said Pyong Gap Min, a Korean-American professor of sociology at Queens College in New York City.[9] Furthermore, Spanish has been woven into the fabric of life in many communities. “How many high schools in this country teach Korean or Vietnamese, or even Chinese?” Professor Min pointed out. “But every high school, virtually without exception, has Spanish in the curriculum, and that’s been the pattern for over a century in the US. People expect Spanish to be taught, whereas Asian language are still regarded as exotic and not of much use to the larger society. This attitude may be short-sighted, but it’s a fact, and a sad corollary is that there is seldom much support for funding instruction in Asian tongues at the primary or secondary school level, at least in public schools.”[10] Adding to the dissolution of communication is the fact that many cultures – particularly those in Asia – do not really encourage parents to sit down for heart-to-heart talks with their children. The most that these parents are likely to do is push their children to get good grades, according to Ms Min. “But if parents only talk about grades, their children’s self-esteem often becomes dependent on their school achievement, rather than on their parents’ love. Then getting a C in school can be devastating.”[11] Sung Jong Chang grew up in a South Korea recovering from the destruction wrought by war. Especially during her childhood, her parents had little food or money. When she migrated to the US in 1988, she came determined to make sure that her family would never have to face similar privations. By working in a relative’s delicatessen and at other jobs, she and her husband saved enough money to open two Japanese restaurants near their home. Now both put in long hours and take just two days off each year: Thanksgiving and New Year’s. John, who was five when he was brought to America, says he is not used to having his parents around. While they were at work, he was either with school friends or watching TV at home. He does not remember how or when he forgot the Korean he spoke as a pre-school child. Little though he now speaks with his mother, communication with his father, who knows no English beyond a few isolated words, is even worse. “We never talk at all,” John said, with a shrug of his shoulders.1In paragraph 1, the author implies thatA native-born American parents often have trouble talking to their childrenB differences between generations in the West often lead to great gaps in languageC Koreans immigrants usually fail to learn to speak English fluentlyD Asians who stay in America for years no longer use Asian languages very well2Mrs Chang’s daughter, Sun Mi Kim, moved to AmericaA at the age of 18B at the age of 5C at an unknown age; there is not enough information in the article even to hazard a guessD presumably around the age of 6 or 73The choice that Kathleen Harris refers to in paragraph 4 is betweenA learning English and ignoring itB learning how to talk to your child and focusing on economic mattersC advancing in your career and building a happy familyD migrating and losing family closeness, and remaining in your homeland4In paragraphs 5 and 11, the author seems to suggest that the boy John KimA will eventually learn to communicate well with his mother but not with his fatherB has been deeply and permanently affected by the long years of not really talking to his parentsC no longer has much trouble saying anything important to his motherD is communicating much better with his father now that his elder sister is improving her Korean5On the basis of this article, which of these statements is NOT true?A The way John Kim speaks English to some degree reflects what he watches on TV.B TV had helped John Kim get through a lot of lonely hours at home.C Spending so much time watching TV had made John Kim a passive, rather lazy boy.D John Kim feels somewhat ill at ease when he is in the company of his mother and father.6English-speaking children talking to immigrant grandparentsA used to face a much greater linguistic barrier than they do todayB seldom need to seek the help of other people nowadaysC often act as a sandwich generation helping their parents and grandparents to communicate betterD ordinarily used to have people in their parents’ generation to help bridge any gap7Researchers who compare young immigrant Asian-Americans to immigrant Hispanic-Americans in the same age group have discovered thatA Hispanic-Americans retain Spanish longer than Asian-Americans keep their native languagesB both groups become primarily English-speaking at roughly the same rateC Hispanic-Americans become English-speakers much more quickly than Asian-Americans doD Asian-Americans have smaller communities and therefore preserve their languages more zealously 8According to Professor Rumbaut’s study, in immigrant families between 1991 and 1995A parents woke up to the fact that they were losing touch with their Americanized childrenB it became a good deal less difficult for children to talk to their parentsC the proportion of children who relied on English to talk to other people rose by 15%D the proportion of parents who spoke a language other than English at home fell by 6%9Spanish is taught in most US schoolsA on account of the huge number of Hispanic immigrants in the US todayB in response to changes in the world in the last few decadesC today, as it has been for 100 years or moreD because there is no money in school budgets to pay teachers of other languages10An appropriate title for this article might beA Among Asian immigrants in the US, a wall of language separates generationsB English as a unifying factor in today’s immigrant families in the USC The Korean language faces hard times in the United States。
2017考博英语培训--改错与阅读•常出现的类型1. 同义词辨析2. 不可数名词3. 时态错误4. 介词5. 冠词6. 定语从句7. 常用错的词(hope, ever, despite, accompany, persuade, even/even if....)8. 汉语思维,中式英语9. 虚拟语气10. 。
•同义词辨析•00-10, journey/trip/travel; 00-11, in/after; 00-16, phone/call; 00-17surprising/surprised;•01-9, other/the other/another•02-7,character/characteristic; 02-14, aspect/respect;•03-14, 10-6, boring/bored; 03-20, 10-1, several/a few/few;•04-1, hard/hardly; 04-11, needn't/mustn't; •05-9, police/policeman;•06-8, finally/at last;•07-3, treat/cure; 07-9, house/family;07-12, Germany/german; 07-14, recently/soon;•08-4, 11-11,send/give; 08-9, past/passed; •09-9, tell/explain;•常用不可数名词•00-12, furniture; 07-8;•01-13, equipment; 03-6; 05-14; 06-6;•02-10,progress; 02-17, knoledge; •03-4, help; 05-7; 08-12;•04-4, information; 04-8, advice; 09-13; 11-14;•05-1, luck;•07-19, staff;•09-8, evidence;•10-2, garbage;•单数--复数•07-1;08-7•其他常用:baggage, change(零钱) ,homework, luggage, money, news, traffic,peace, pleasure, power, pride, rain, research…•时态错误•00-19, 00-20;•01-5; 01-18;•02-6; 02-9; 02-13; 02-19;•06-10;•07-16;•09-6;•10-10; 10-19;•11-4•介词错误•03-18, of/about;•04-19, in/to;•05-4, reason for/of; 05-19, in/to; 05-20, as/with;•06-16, pay attention to/on; •07-2, on/in the campus;•09-4, from/of;•冠词错误the00-2; 00-9; 04-3; 05-3; 06-2; 07-6; 09-2; 10-16定冠词特指某(些)人或某(些)事物。
I saw a film yesterday. The film was ended at eight o‘clock.用于表示世界上独一无二的事物或用于自然界现象或方位名词之前。
the sky the world the winter night定冠词与单数名词连用, 也可以表示这一类人或事物。
The dog is not too danger.定冠词与形容词连用, 可表示某一类人或事物。
The wounded were brought to the hospital.an00-4; 01-19; 02-3; 05-5; 08-1;用在读音为元音开头的名词之前。
注意:这里指的是“读音”(元音因素),而不仅仅指字母。
例如:a university;an hour a04-7; 06-4; 07-7; 11-7冠词填空:在下列句中空白处填入适当冠词,不需用冠词处划×。
1.There is ____picture of ____ elephant on ____ wall.2.This is ___ useful book.I've read it for _____ hour.3.______ elephant is much heavier than_______ horse.4._______ doctor told him to take _______ medicine three times _______ day.5.Let's go out for _______ walk.6.It's too hot.Open _______ door,please.7.There is _______ woman over there._______ woman is Meimei's mother.8._______ sun rises in _______ east.9._______ Changjiang River is _______ longest river in _______ China.10.Are you going to do it _______ second time?•定语从句关系代词01-8; 04-20; 05-11; 10-7限制性/非限制性02-18; 04-6; 05-16; 09-11His wife, who is in Shanghai, will come back tomorrow.His wife who is in Shanghai will come back tomorrow.•常用错的词hope01-20; 02-1; 06-17; 07-15; 08-2;09-3; 10-9判断下列句子正误:①We hope to see you again.②We hope that we can see you again.③I hope you can help me with my maths. ④I hope you to help me with my maths.⑤I hope you will help me with my maths. ⑥I hope you would help me with my maths.hope用作动词时,表示的是可以实现或能达到的“希望”。
后面可接不定式或that从句,但不能接“宾语+不定式”。
wish:09-7①I wish to place an order right now.②I wish him to make progress.③I wish I could fly like a bird.④I wish you happy. ⑤I wish you a pleasant journey. ⑥I wish I were you.wish后面接不定式或“宾语+不定式”都可以,其意义相当于“想要”,“希望”(=would like或want)。
wish接that从句时一般表示某种强烈而又难以实现的“愿望”,是一种虚拟。
ever00-1; 01-16; 03-17; 05-10; 06-13; 08-5;多用于疑问句和否定句中,Have you ever been to Hangzhou? Nothing ever happens in this village. 用于肯定句中,当一个受最高级修饰的名词后跟有一个定语从句,或者有only,the first等,可以用ever表示“曾经”。
This book is the most difficult that I have ever read.accompanyvt. 不接with: 01-12; 06-1;even/even if (though)02-20; 03-09; 06-18; 10-14let00-6; 01-14; 07-4; 08-15let/make (ask)despite03-5; 08-8;介词,接名词或名词短语,不接从句forget to to / doing01-3;①I won't forget to lock the door. ②I’ll never forget watching the opera in Beijing.对比remember to do / doing; stop to do / doing (11-2)avoid doing10-3;其他接动名词的常用动词及短语:allow, permit(允许), consider(考虑), suggest, advice(建议), finish(完成), imagine(想象), practise(练习), understand(明白), appreciate,enjoy(喜欢), miss(错过; 怀念), prevent(阻止), forbid(禁止), escape(避免), include(包括), forgive, pardon, excuse(原谅), dislike(厌恶), discuss(讨论), report(报道), admit(承认), mind(介意), risk(冒险), can’t stand(不能忍受), burst out(突然开始), feel like(想要), insist on(坚持), delay, put off(推迟), give up(放弃), be busy(忙于), be worth(值得)接不定式的动词及短语:ask, demand(要求), plan, intend(计划), manage, do / try one’s best, make an attempt(努力), wish, hope, desire, expect, long, want, would like, should like, would prefer (希望、想要、愿意), agree, promise(同意), decide, determine, choose, make a decision, make up one’s mind(决定), offer(主动提出), apply(申请), prepare(准备), pretend(假装), refuse(拒绝), happen(碰巧), afford(负担得起)1. We agreed ____here but so far she hasn’t turned up yet.A. having metB. meetingC. to meetD. to have met2. The squirrel was so lucky that it just missed________.A. catchingB. to be caughtC. being caughtD. to catch3. I would appreciate ________ back this afternoon.A. you to callB. you callC. your callingD. you’re calling4. She pretended ______me when I passed by.A. not to seeB. not seeingC. to not seeD. having not seenin case01-7;1. 作短语连词,引导目的状语从句,意为“以免、以防”He takes a torch in case it gets dark before hereturns.I'll make some sandwiches in case you feel hungry on the journey .2.引导条件状语从句,意为“如果、万一”。