南宁三中上学期高三月考数学试卷及详细答案
- 格式:docx
- 大小:152.44 KB
- 文档页数:13
一、单选题1. 下列函数中是奇函数的是( )A.B.C.D.2. 设集合,,则( )A.B.C.D.3.已知,且,则( )A .1B.C.D.4. 连续向上抛一枚硬币五次,设事件“没有连续两次正面向上”的概率为,设事件“没有连续三次正面向上”的概率为,则下列结论正确的是( )A.B.C.D.5. 如图,在中,是的中点,与交于点,则()A.B.C.D.6.四棱锥的底面为正方形,底面,,若该四棱锥的所有顶点都在体积为的同一球面上,则的长为( )A .3B .2C .1D.7.已知椭圆及圆O :,如图,过点与椭圆相切的直线l 交圆O 于点A,若 ,则椭圆离心率的为()A.B.C.D.8. 古希腊数学家阿基米德利用“逼近法”得到椭圆的面积除以圆周率等于椭圆的长半轴长与短半轴长的乘积.若椭圆的中心为原点,焦点,均在轴上,的面积为,且短轴长为,则的标准方程为( )广西壮族自治区南宁市第三中学2023届高三模拟数学(理)试题(一)二、多选题A.B.C.D.9. 已知直线与曲线相切,则的最小值为( )A.B.C.D.10.已知函数的最小正周期为,若将其图象向左平移个单位长度后得到的图象关于坐标原点对称,则的图象( )A .关于点对称B .关于对称C .关于点对称D .关于对称11. 中国的5G 技术领先世界,5G 技术的数学原理之一便是著名的香农公式:,它表示:在受噪声干扰的信道中,最大信息传递速率C 取决于信道带宽W 、信道内信号的平均功率S 、信道内部的高斯噪声功率N的大小,其中叫做信噪比.当信噪比比较大时,公式中真数中的1可以忽略不计,按照香农公式,若不改变带宽W ,而将信噪比从1000提升至5000,则C 大约增加了()(附:)A .20%B .23%C .28%D .50%12. 已知,,,则( )A.B.C.D.13.如图,已知,,分别以为直径作半圆弧,D 是半圆弧的中点,E 为半圆弧上靠近点C的三等分点,则向量在向量上的投影向量为()A.B.C.D.14.椭圆的左焦点为为上顶点,为长轴上任意一点,且在原点的右侧,若的外接圆圆心为,且,椭圆离心率的范围为A.B.C.D.15.设,则( )A .5B.C .6D.16.已知为等边三角形,,设点,满足,,与交于点,则( )A.B.C .1D .217. 已知函数在区间内存在两个极值点,则( )A.B.三、填空题C.D.18. 设无穷数列为正项等差数列且其前n 项和为,若,则下列判断正确的是( )A.B.C.D.19.已知函数的定义域为的导函数的图象关于中心对称,且函数在上单调递增,若且,则( )A.B.C.D.20. 历史上第一个给出函数一般定义的是19世纪德国数学家狄利克雷(Dirichlet ),当时数学家们处理的大部分数学对象都没有完全的严格的定义,数学家们习惯借助于直觉和想象来描述数学对象,狄利克雷在1829年给出了著名函数:(其中为有理数集,为无理数集),狄利克雷函数的出现表示数学家们对数学的理解发生了深刻的变化,数学的一些“人造”特征开始展现出来,这种思想也标志着数学从研究“算”转变到了研究“概念、性质、结构”.一般地,广义的狄利克雷函数可定义为:(其中,且),以下对说法错误的是( )A.定义域为B.当时,的值域为;当时,的值域为C.为偶函数D .是一个具有最小正周期的周期函数21. 下列函数中,既是奇函数又是减函数的为( )A.B.C.D.22. 下列关于点、线、面位置关系的命题中正确的是( )A .若两个平面有三个公共点,则它们一定重合B .空间中,相交于同一点的三直线在同一平面内C .两条直线,分别和异面直线,都相交,则直线,可能是异面直线,也可能是相交直线D .正方体中,点是的中点,直线交平面于点,则,,三点共线,且,,,四点共面23. 下列选项中正确的是( )A.若平面向量,满足,则的最大值是5;B.在中,,,O 是的外心,则的值为4;C.函数的图象的对称中心坐标为D .已知P 为内任意一点,若,则点P 为的垂心;24. 在正方体中,分别为,,,,的中点,则( )A .平面B .平面C .平面平面D .平面平面25. 已知向量,,,若向量与共线,则向量在向量方向上的投影为______.26.已知函数的两条对称轴之间距离的最小值为4,将函数的图象向右平移1个单位长度后得到函数的图象,则___________.四、解答题27. ________.28.已知正的边长为2,PQ 为内切圆O 的一条直径,M 为边上的动点,则的取值范围为______________.29.已知点,,,均在球的球面上,,,若三棱锥体积的最大值是,则球的表面积为__________30. 在平面直角坐标系:中,,,,若P 为圆上一动点,且,则的取值范围是_______.31. 小张计划从个沿海城市和个内陆城市中随机选择个去旅游,则他至少选择个沿海城市的概率是__________.32. 在一次以“二项分布的性质”为主题的数学探究活动中,立德中学高三某小组的学生表现优异,发现的正确结论得到老师和同学的一致好评.设随机变量,记,.在研究的最大值时,小组同学发现:若为正整数,则时,,此时这两项概率均为最大值;若为非整数,当取的整数部分,则是唯一的最大值.以此为理论基础,有同学重复投掷一枚质地均匀的骰子并实时记录点数1出现的次数.当投掷到第20次时,记录到此时点数1出现5次,若继续再进行80次投掷试验,则当投掷到第100次时,点数1总共出现的次数为____________的概率最大.33. (1)求值:;(2)已知,求的值.34.已知函数(Ⅰ)将函数化简成的形式,并指出的周期;(Ⅱ)求函数上的最大值和最小值35. 已知椭圆C :()的离心率为,左顶点A 到右焦点的距离为3.(1)求椭圆的方程;(2)设直线与椭圆交于不同两点,(不同于A ),且直线和的斜率之积与椭圆的离心率互为相反数,求在上的射影的轨迹方程.36. 随着寒冷冬季的到来,羽绒服进入了销售旺季,某调查机构随机调查了400人,询问他们选购羽绒服时更关注保暖性能还是更关注款式设计,得到以下的列联表:更关注保暖性能更关注款式设计合计女性16080240男性12040160合计280120400附:.0.100.050.0102.7063.8416.635(1)是否有95%的把握认为男性和女性在选购羽绒服时的关注点有差异?(2)若从被调查的更关注保暖性能的人中按男女比例用分层抽样的方法抽取7人进行采访,再从这7人中任选2人赠送羽绒服,求这2人都是女五、解答题性的概率.37.在数列中,,且.(1)求的通项公式;(2)若,数列的前项和为,求38. 化简求值:(1)(2)已知,,求的值;39.一天,小锤同学为了比较与的大小,他首先画出了的函数图像,然后取了离1.1很近的数字1,计算出了在x =1处的切线方程,利用函数与切线的图像关系进行比较.(1)请利用小锤的思路比较与大小(2)现提供以下两种类型的曲线,试利用小锤同学的思路选择合适的曲线,比较的大小.40. 如图为一块直四棱柱木料,其底面满足:,.(1)要经过平面内的一点和棱将木料锯开,在木料表面应该怎样画线?(借助尺规作图,并写出作图说明,无需证明)(2)若,,当点是矩形的中心时,求点到平面的距离.41. 一般地,任何一个复数(,)都可以表示成形式,其中,是复数的模,是以轴的非负半轴为始边,向量所在射线(射线)为终边的角,叫做复数的辐角,叫做复数的三角表示式,简称三角形式.为了与“三角形式”区分开来,(,)叫做复数的代数表示式,简称“代数形式”.(1)画出复数对应的向量,并把表示成三角形式;(2)已知,,,其中,.试求(结果表示代数形式).42. 某动漫影视制作公司长期坚持文化自信,不断挖掘中华优秀传统文化中的动漫题材,创作出一批又一批的优秀动漫影视作品,获得市场和广大观众的一致好评,同时也为公司赢得丰厚的利润.该公司年至年的年利润关于年份代号的统计数据如下表(已知该公司的年利润与年份代号线性相关).六、解答题年份年份代号年利润(单位:亿元)(Ⅰ)求关于的线性回归方程,并预测该公司年(年份代号记为)的年利润;(Ⅱ)当统计表中某年年利润的实际值大于由(Ⅰ)中线性回归方程计算出该年利润的估计值时,称该年为级利润年,否则称为级利润年.将(Ⅰ)中预测的该公司年的年利润视作该年利润的实际值,现从年至年这年中随机抽取年,求恰有年为级利润年的概率.参考公式:,.43. 某校从参加邵阳市数学竞赛的学生中随机抽取20名学生的数学成绩(均为整数)整理后分成六,画出如图所示的频率分布直方图,观察图形的信息,回答下列问题:(1)求这20名学生中分数在内的人数;(2)若从成绩大于或等于80分的学生中随机抽取2人,求恰有1名学生成绩在区间内的概率.44. 已知四棱锥中,底面为直角梯形,平面,,,,,为中点,过,,的平面截四棱锥所得的截面为.(1)若与棱交于点,画出截面,保留作图痕迹(不用说明理由),并证明.(2)求多面体的体积.45. 已知双曲线C :(a >0,b >0)的左、右焦点分别为、,离心率为3,直线y =2与C 的两个交点间的距离为.(Ⅰ)求a ,b ;(Ⅱ)设过的直线l 与C 的左、右两支分别交于A 、B 两点,且,证明:、、成等比数列.46. 在如图所示的六面体中,面是边长为2的正方形,面是直角梯形,.七、解答题(1)求证:平面;(2)若二面角为,点P 在线段上,当二面角的余弦值为时,求.47. 已知函数,其中.(1)若不等式的解集为,求实数,的值;(2)在(1)的条件下,若,,且,求证:.48. 在△ABC 中,角A ,B ,C 的对边分别为a ,b ,c ,.(1)求证:;(2)若,,求△ABC 的面积.49. 如图,在平面直角坐标系中,已知抛物线的焦点为,点是第一象限内抛物线上的一点,点的坐标为(1)若,求点的坐标;(2)若为等腰直角三角形,且,求点的坐标;(3)弦经过点,过弦上一点作直线的垂线,垂足为点,求证:“直线与抛物线相切”的一个充要条件是“为弦的中点”.50. 已知函数在处取得极小值.(1)求实数的值;(2)当时,求证.51. 甲、乙两人进行射击比赛,各射击4局,每局射击10次,射击命中目标得1分,未命中目标得0分.两人4局的得分情况如下:甲6699乙79xy(1)已知在乙的4局比赛中随机选取1局时,此局得分小于6分的概率不为零,且在4局比赛中,乙的平均得分高于甲的平均得分,求的值;(2)如果,从甲、乙两人的4局比赛中随机各选取1局,并将其得分分别记为,求的概率;(3)在4局比赛中,若甲、乙两人的平均得分相同,且乙的发挥更稳定,写出的所有可能取值.(结论不要求证明)52. 随着互联网金融的不断发展,很多互联网公司推出余额增值服务产品和活期资金管理服务产品,如蚂蚁金服旗下的“余额宝”,腾讯旗下的“财富通”,京东旗下“京东小金库”.为了调查广大市民理财产品的选择情况,随机抽取1200名使用理财产品的市民,按照使用理财产品的情况统计得到如下频数分布表:分组频数(单位:名)使用“余额宝”使用“财富通”使用“京东小金库”80使用其他理财产品120合计1200已知这1200名市民中,使用“余额宝”的人比使用“财富通”的人多200名.(1)求频数分布表中的值;(2)已知2018年“余额宝”的平均年化收益率为,“财富通”的平均年化收益率为.若在1200名使用理财产品的市民中,从使用“余额宝”和使用“财富通”的市民中按分组用分层抽样方法共抽取5人,然后从这5人中随机选取2人,假设这2人中每个人理财的资金有10000元,这2名市民2018年理财的利息总和为,求的分布列及数学期望.注:平均年化收益率,也就是我们所熟知的利息,理财产品“平均年化收益率为”即将100元钱存入某理财产品,一年可以获得3元利息.53. 某种病菌在某地区人群中的带菌率为,目前临床医学研究中已有费用昂贵但能准确检测出个体是否带菌的方法. 现引进操作易、成本低的新型检测方法: 每次只需检测两项指标,若指标的值大于 4 且指标的值大于 100,则检验结果呈阳性,否则呈阴性. 为考查该检测方法的准确度,随机抽取 50 位带菌者(用 “*” 表示)和 50 位不带菌者(用 “+” 表示)各做 1 次检测,他们检测后的数据,制成如下统计图:阳性阴性总计带菌不带菌总计(1)根据独立性检验,完成列联表,判断是否有以上的把握认为 “带菌” 与 “检测结果呈阳性” 有关?(2)现用新型检测方法,对该地区人群进行全员检测,用频率估计概率,求每个被检者 “带菌” 且 “检测结果呈阳性” 的概率.附:.0.0500.0100.0013.841 6.63510.82854.日销售量1 1.52频数102515八、解答题频率0.2某批发市场对某种商品的日销售量(单位:吨)进行统计,最近50天的统计结果如下:(1)填充上表;(2)若以上表频率作为概率,且每天的销售量相互独立.①5天中该种商品恰好有2天的销售量为1.5吨的概率;②已知每吨该商品的销售利润为2千元,表示该种商品两天销售利润的和(单位:千元),求的分布列.55. 长绒棉是世界上纤维品质最优的棉花,也是全球高端纺织品及特种纺织品的重要原料,新疆具有独特的自然资源优势,是我国最大的长绒棉生产基地,产量占全国长绒棉总产量的95%以上,新疆某农科所为了研究不同土壤环境下长绒棉的品质,选取甲、乙两地实验田进行种植,在棉花成熟后采摘,分别从甲、乙两地采摘的棉花中各随机抽取50份样本,测定其马克隆值,整理测量数据得到下表(单位:份):马克隆值甲地247101485乙地791011742棉花的马克隆值是反映棉花纤维细度与成熟度的综合指标,是棉纤维重要的内在质量指标之一,根据现行国家标准规定,马克隆值可分为,,三级,级品质最好,级为标准级,级品质最差,其分类标准如下表所示:马克隆值或或级别(1)现从甲地这50份样本的马克隆值为级或级的棉花中,利用分层抽样的方法,随机抽取6份,再从这6份中随机抽取3份作其它质量指标检测,求这3份中取到级品1份,级品2份的概率;(2)完成下面列联表,并根据列联表,判断是否有95%的把握认为该品种棉花的马克隆值级别与土壤环境有关?级或级级合计甲地乙地合计附:0.0500.0100.001k3.8416.63510.82856. 某学校组织“一带一路”知识竞赛,有A ,B 两类问题,每位参加比赛的同学先在两类问题中选择一类并从中随机抽取一个问题回答,若回答错误则该同学比赛结束;若回答正确则从另一类问题中再随机抽取一个问题回答,无论回答正确与否,该同学比赛结束.A 类问题中的每个问题回答正确得20分,否则得0分;B 类问题中的每个问题回答正确得80分,否则得0分,已知小明能正确回答A 类问题的概率为0.8,能正确回答B 类问题的概率为0.6,且能正确回答问题的概率与回答次序无关.(1)若小明先回答A 类问题,记为小明的累计得分,求的分布列;(2)为使累计得分的期望最大,小明应选择先回答哪类问题?并说明理由.57. 如图,已知椭圆与等轴双曲线共顶点,过椭圆上一点P (2,-1)作两直线与椭圆相交于相异的两点A ,B ,直线PA ,PB 的倾斜角互补.直线AB 与x ,y 轴正半轴相交,分别记交点为M ,N .(1)若的面积为,求直线AB的方程;(2)若AB与双曲线的左、右两支分别交于Q,R,求的范围.58. 某中学为了了解全校学生的上网情况,在全校采用随机抽样的方法抽取了 40 名学生(其中男女生人数恰好各占一半)进行问卷调查,并进行了统计,按男女分为两组,再将每组学生的月上网次数分为5组:,,,,,得到如图所示的频率分布直方图:(1)求的值;(2)求抽取的40名学生中月上网次数不少于15次的人数;(3)再从月上网次数不少于20 次的学生中随机抽取2人,求至少抽到1名女生的概率.59.如图,四棱锥中,,,,,,,为中点.(1)证明:;(2)求直线与平面所成角的正弦值.60. 某电视节目为选拔出现场录制嘉宾,在众多候选人中随机抽取名选手,按选手身高分组,得到的频率分布表如图所示.(1)请补充频率分布表中空白位置相应数据,再在答题纸上完成下列频率分布直方图;(2)为选拔出舞台嘉宾,决定在第、、组中用分层抽样抽取人上台,求第、、组每组各抽取多少人?(3)在(2)的前提下,电视节目主持人会在上台人中随机抽取人表演节目,求第组至少有一人被抽取的概率?组号分组频数频率第1组第2组第3组第4组第5组合计61.已知椭圆C:的左、右焦点分别为F1,F2,以F1F2为直径的圆与直线ax+2by-ab=0相切.(1)求椭圆C的离心率;(2)如图,过F 1作直线l与椭圆分别交于P,Q两点,若△PQF2的周长为4,求的最大值.62. 已知椭圆(),四点,,,中恰有三点在椭圆C上.(1)求椭圆C的方程;(2)椭圆C上是否存在异于的两点M,N使得直线与的斜率之和与直线MN的斜率(不为零)的2倍互为相反数?若存在,请判断直线MN是否过定点;若不存在,请说明理由.。
2019届广西南宁市第三中学高三上学期第一次月考数学(理)试题★祝考试顺利★注意事项:1、考试范围:高考范围。
2.答题前,先将自己的姓名、准考证号填写在试题卷和答题卡上,并将准考证号条形码粘贴在答题卡上的指定位置。
用2B铅笔将答题卡上试卷类型A后的方框涂黑。
3.选择题的作答:每小题选出答案后,用2B铅笔把答题卡上对应题目的答案标号涂黑,写在试题卷、草稿纸和答题卡上的非答题区域均无效。
4.非选择题的作答:用签字笔直接答在答题卡上对应的答题区域内。
写在试题卷、草稿纸和答题卡上的非答题区域均无效。
5.选考题的作答:先把所选题目的题号在答题卡上指定的位置用2B铅笔涂黑.答案写在答题纸上对应的答题区域内,写在试题卷、草稿纸和答题卡上的非答题区域均无效。
6.保持卡面清洁,不折叠,不破损。
7.考试结束后,请将本试题卷、答题卡、草稿纸一并上交。
一、单选题1.已知集合,则()A.B.C.D.【答案】D【解析】分析:先分别求出集合A和B,由此能求出.详解:A={x|x2﹣1<0}={x|﹣1<x<1},∴故选:D点睛:本题考查交集的求法,是基础题,解题时要认真审题,注意交集定义的合理运用.2.已知,则复数()A.B.C.D.【答案】A【解析】【分析】由题意结合复数的运算法则和复数的性质整理计算即可求得最终结果.【详解】由题意可得:,则.本题选择A选项.【点睛】本题主要考查复数的运算法则,复数的模的计算等知识,意在考查学生的转化能力和计算求解能力.3.已知,则()A.B.C.D.【答案】B【解析】【分析】由题意首先求得的值,然后利用二倍角公式整理计算即可求得最终结果.【详解】由题意结合诱导公式可得:,则.本题选择B选项.【点睛】本题主要考查诱导公式、二倍角公式的应用,意在考查学生的转化能力和计算求解能力. 4.某个几何体的三视图如图所示,则该几何体的体积为()A.B.C.D.【答案】C【解析】【分析】由题意首先确定几何体的空间结构特征,然后求解其体积即可.【详解】如图所示,在棱长为的正方体中,为棱的中点,则三视图所对的几何体为三棱锥,则,棱锥的高,据此可知该几何体的体积.本题选择C选项.【点睛】(1)求解以三视图为载体的空间几何体的体积的关键是由三视图确定直观图的形状以及直观图中线面的位置关系和数量关系,利用相应体积公式求解;(2)若所给几何体的体积不能直接利用公式得出,则常用等积法、分割法、补形法等方法进行求解.5.已知圆和两点,,若圆上存在点,使得,则的最大值为()A.B.C.D.【答案】D【解析】【分析】将原问题转化为圆与圆的位置关系,据此求解实数a的取值范围即可,据此确定a的最大值即可.【详解】若点P满足,则点P在以AB为直径的圆上,据此可知,满足题意时,圆与圆有公共点,两圆的圆心距:,两圆的半径,,满足题意时应有:,即:,求解关于实数a的不等式可得:,则的最大值为.本题选择D选项.【点睛】本题主要考查圆与圆的位置关系,等价转化的数学思想等知识,意在考查学生的转化能力和计算求解能力.6.已知的展开式中,二项式系数和为,各项系数和为,则()A.B.C.D.【答案】A【解析】【分析】由题意首先求得n的值,然后求解m的值即可.【详解】展开式二项式系数和为,则:,故.则各项系数和为,据此可得:.本题选择A选项.【点睛】本题主要考查二项式系数与各项系数和的含义与应用等知识,意在考查学生的转化能力和计算求解能力.7.函数的图象可能是()A.B.C.D.【答案】A【解析】【分析】由题意结合函数的解析式排除错误选项即可确定函数的图象.【详解】函数的定义域关于坐标原点对称,且由函数的解析式可知:,则函数为奇函数,其图象关于坐标原点对称,选项CD错误;当时,,则,当时,单调递减,当时,单调递增,即函数在区间内先单调递减,再单调递增,据此可排除B选项,本题选择A选项.【点睛】函数图象的识辨可从以下方面入手:(1)从函数的定义域,判断图象的左右位置;从函数的值域,判断图象的上下位置.(2)从函数的单调性,判断图象的变化趋势.(3)从函数的奇偶性,判断图象的对称性.(4)从函数的特征点,排除不合要求的图象.利用上述方法排除、筛选选项.8.已知随机变量服从正态分布,且,则()A.B.C.D.【答案】C【解析】【分析】由题意结合正态分布的对称性得到关于a的方程,解方程即可求得实数a的值.【详解】随机变量服从正态分布,则正态分布的图象关于直线对称,结合有,解得:.本题选择C选项.【点睛】关于正态曲线在某个区间内取值的概率求法:①熟记P(μ-σ<X≤μ+σ),P(μ-2σ<X≤μ+2σ),P(μ-3σ<X≤μ+3σ)的值.②充分利用正态曲线的对称性和曲线与x轴之间面积为1.9.已知的三边满足条件,则()A.B.C.D.【答案】D【解析】【分析】由题意首先求得的值,然后确定的大小即可.【详解】由可得:,则,据此可得.本题选择D选项.【点睛】本题主要考查余弦定理及其应用,意在考查学生的转化能力和计算求解能力.10.已知为的一个对称中心,则的对称轴可能为()A.B.C.D.【答案】B【解析】【分析】由题意首先确定的值,然后求解函数的对称轴即可.【详解】由题意可知,当时,,据此可得:,令可得,则函数的解析式为,函数的对称轴满足:,解得:,令可知函数的一条对称轴为,且很明显选项ACD不是函数的对称轴.本题选择B选项.【点睛】本题主要考查三角函数解析式的求解,三角函数对称轴方程的求解等知识,意在考查学生的转化能力和计算求解能力.11.已知双曲线的左、右焦点分别为、,过作垂直于实轴的弦,若,则的离心率为()A.B.C.D.【答案】C【解析】【分析】由题意得到关于a,c的齐次式,然后求解双曲线的离心率即可.【详解】由双曲线的通径公式可得,由结合双曲线的对称性可知是等腰直角三角形,由直角三角形的性质有:,即:,据此有:,,解得:,双曲线中,故的离心率为.本题选择C选项.【点睛】双曲线的离心率是双曲线最重要的几何性质,求双曲线的离心率(或离心率的取值范围),常见有两种方法:①求出a,c,代入公式;②只需要根据一个条件得到关于a,b,c的齐次式,结合b2=c2-a2转化为a,c的齐次式,然后等式(不等式)两边分别除以a或a2转化为关于e的方程(不等式),解方程(不等式)即可得e(e的取值范围).12.已知函数是单调函数,对任意,都有,则的值为()A.B.C.D.【答案】A【解析】【分析】首先求得函数的解析式,然后求解的值即可.【详解】函数是单调函数,则为常数,设,则,,函数单调递增,且,据此可知,函数的解析式,,.本题选择A选项.【点睛】本题主要考查函数的单调性,基本初等函数的导函数等知识,意在考查学生的转化能力和计算求解能力.二、填空题13.已知向量,,若与垂直,则实数__________.【答案】-1【解析】【分析】由题意结合向量垂直的充分必要条件得到关于k的方程,解方程即可求得实数k的值.【详解】由平面向量的坐标运算可得:,与垂直,则,即:,解得:.【点睛】本题主要考查向量的坐标运算,向量垂直的充分必要条件等知识,意在考查学生的转化能力和计算求解能力.14.若变量、满足约束条件,则的最大值为__________.【答案】8【解析】【分析】首先画出可行域,然后确定目标函数的最大值即可.【详解】绘制不等式组表示的可行域如图所示,结合目标函数的几何意义可得目标函数在点处取得最大值,其最大值为:.【点睛】求线性目标函数z=ax+by(ab≠0)的最值,当b>0时,直线过可行域且在y轴上截距最大时,z值最大,在y轴截距最小时,z值最小;当b<0时,直线过可行域且在y轴上截距最大时,z值最小,在y轴上截距最小时,z值最大.15.在三棱锥中,,,两两相互垂直,,则此三棱锥内切球的半径为__________.【答案】或【解析】【分析】首先求得棱锥的表面积,然后利用等体积法求解三棱锥的内切球半径即可.【详解】由题意可知,三棱锥的三个面是直角边长为1的等腰直角三角形,一个面是边长为的等边三角形,则三棱锥的表面积为:,设三棱锥的内切球半径为,利用等体积法可知:,即:,解得:,即.【点睛】本题主要考查三棱锥的空间结构特征,棱锥内切球半径的计算,等体积法的应用等知识,意在考查学生的转化能力和计算求解能力.16.已知抛物线,过的焦点的直线与交于,两点。
南宁市第三中学2018-2019学年高三上学期第三次月考试卷数学含答案 班级__________ 座号_____ 姓名__________ 分数__________一、选择题(本大题共12小题,每小题5分,共60分.每小题给出的四个选项中,只有一项是符合题目要求的.)1. 若圆心坐标为()2,1-的圆在直线10x y --=上截得的弦长为 ) A .()()22210x y -++= B .()()22214x y -++= C .()()22218x y -++= D .()()222116x y -++=2. 已知函数()2111x f x x ++=+,则曲线()y f x =在点()()11f ,处切线的斜率为( ) A .1 B .1- C .2 D .2- 3. 已知命题p :对任意()0x ∈+∞,,48log log x x <,命题:存在x ∈R ,使得tan 13x x =-,则下列命题为真命题的是( )A .p q ∧B .()()p q ⌝∧⌝C .()p q ∧⌝D .()p q ⌝∧4. 若a=ln2,b=5,c=xdx ,则a ,b ,c 的大小关系( )A .a <b <cB B .b <a <cC C .b <c <aD .c <b <a5. 某几何体的三视图如图所示,且该几何体的体积是,则正视图中的x 的值是( )A .2B .C .D .36. 已知||=3,||=1,与的夹角为,那么|﹣4|等于( )A .2B .C .D .137. 命题“∀a ∈R ,函数y=π”是增函数的否定是( )A .“∀a ∈R ,函数y=π”是减函数B .“∀a ∈R ,函数y=π”不是增函数C .“∃a ∈R ,函数y=π”不是增函数D .“∃a ∈R ,函数y=π”是减函数8. 二项式(1)(N )nx n *+?的展开式中3x 项的系数为10,则n =( )A .5B .6C .8D .10【命题意图】本题考查二项式定理等基础知识,意在考查基本运算能力. 9.某个几何体的三视图如图所示,该几何体的表面积为92+14π,则该几何体的体积为( ) A .80+20π B .40+20π C .60+10π D .80+10π10.设公差不为零的等差数列{}n a 的前n 项和为n S ,若4232()a a a =+,则74S a =( ) A .74 B .145C .7D .14 【命题意图】本题考查等差数列的通项公式及其前n 项和,意在考查运算求解能力.11.为了解决低收入家庭的住房问题,某城市修建了首批108套住房,已知C B A ,,三个社区分别有低收入家 庭360户,270户,180户,现采用分层抽样的方法决定各社区所分配首批经济住房的户数,则应从C 社 区抽取低收入家庭的户数为( )A .48B .36C .24D .18【命题意图】本题考查分层抽样的概念及其应用,在抽样考查中突出在实际中的应用,属于容易题. 12.如图在圆O 中,AB ,CD 是圆O 互相垂直的两条直径,现分别以OA ,OB ,OC ,OD 为直径作四个 圆,在圆O 内随机取一点,则此点取自阴影部分的概率是( )A .π1B .π21C .π121-D .π2141-【命题意图】本题考查几何概型概率的求法,借助圆这个载体,突出了几何概型的基本运算能力,因用到圆的DABCO几何性质及面积的割补思想,属于中等难度.二、填空题(本大题共4小题,每小题5分,共20分.把答案填写在横线上)13.等比数列{a n }的公比q=﹣,a 6=1,则S 6= .14.用1,2,3,4,5组成不含重复数字的五位数,要求数字4不出现在首位和末位,数字1,3,5中有且 仅有两个数字相邻,则满足条件的不同五位数的个数是 .(注:结果请用数字作答)【命题意图】本题考查计数原理、排列与组合的应用,同时也渗透了分类讨论的思想,本题综合性强,难度较大.15.在空间直角坐标系中,设)1,3(,m A ,)1,1,1(-B ,且22||=AB ,则=m . 16.函数()2log f x x =在点()1,2A 处切线的斜率为 ▲ .三、解答题(本大共6小题,共70分。
2024-2025学年广西南宁一中高三(上)月考数学试卷(10月份)一、单选题:本题共8小题,每小题5分,共40分。
在每小题给出的选项中,只有一项是符合题目要求的。
1.已知集合A ={x ∈Z|−5<x 3<10},B ={x|y =ln (x +1)},则A ∩B =( )A. {0,1,2}B. {0,1}C. {1,2}D. {−1,0,1,2}2.已知a ,b ∈R ,且a−3ib +i =1+2i ,其中i 是虚数单位,则a +b =( )A. 2B. −2C. −4D. −63.若定义域为R 的函数f(x)不是偶函数,则( )A. ∀x ∈R ,f(−x)≠f(x) B. ∀x ∈R ,f(−x)=−f(x)C. ∃x 0∈R ,f(−x 0)≠f(x 0)D. ∃x 0∈R ,f(−x 0)=−f(x 0)4.已知一组数据2x 1+1,2x 2+1,2x 3+1,2x 4+1的平均数是3,方差为4,则数据x 1,x 2,x 3,x 4的平均数和方差分别是( )A. 1,1B. 1,2C. 32, 34D. 32, 25.已知递增的等差数列{a n }的前n 项和为S n ,a 1+a 6=19,a 2a 5=70,则S 8=( )A. 70B. 80C. 90D. 1006.在△ABC 中,BA ⋅BC =12BC 2,若a =13AB +23AC ,b =34AB +14AC ,c =27AB +57AC ,则( )A. |b |>|c |>|a |B. |b |>|a |>|c |C. |a |>|c |>|b |D. |c |>|a |>|b |7.已知函数f(x)=sin (ωx +π6)(ω>0)在区间[0,π2)内既有最大值,又有最小值,则ω的取值范围是( )A. (23, +∞) B. (23, 43]∪(83, +∞)C. (83, +∞)D. (23, 43)∪(83, +∞)8.不等式t( x + y )≤2x +2y 对所有的正实数x ,y 恒成立,则t 的最大值为( )A. 2B.2C.24D. 1二、多选题:本题共3小题,共18分。
2024-2025学年广西南宁市高三上学期10月月考数学质量检测试题考生注意:1.本试卷分选择题和非选择题两部分.满分150分,考试时间120分钟.2.答题前,考生务必用直径0.5毫米黑色墨水签字笔将密封线内项目填写清楚.3.考生作答时,请将答案答在答题卡上.选择题每小题选出答案后,用2B 铅笔把答题卡上对应题目的答案标号涂黑;非选择题请用直径0.5毫米黑色墨水签字笔在答题卡上各题的答题区域内作答,超出答题区域书写的答案无效,在试题卷、草稿纸上作答无效.4.本卷命题范围:高考范围.一、选择题:本题共8小题,每小题5分,共40分.在每小题给出的四个选项中,只有一项是符合题目要求的.1.已知集合,则(){}(){}3510,ln 1A x x B x y x =∈-<<==+Z A B = A. B. {}0,1,2{}0,1C .D.{}1,2{}1,0,1,2-2. 已知,且,其中是虚数单位,则( ),a b ∈R 3i12ii a b -=++i a b +=A. B. C. D. 22-4-6-3. 已知定义域为的函数不是偶函数,则()R ()f x A. B. ()(),0x f x f x ∀∈-+≠R ()(),0x f x f x ∀∈--≠R C.D.()()000,0x f x f x ∃∈-+≠R ()()000,0x f x f x ∃∈--≠R 4. 已知一组数据的平均数是3,方差为4,则数据123421,21,21,21x x x x ++++的平均数和方差分别是( )1234,,,x x x x A. B. C. D.1,11,233,243,225. 已知递增的等差数列的前项和为,则(){}n a n 1625,19,70n S a a a a +==8S =A. 70B. 80C. 90D. 1006. 在中,,若ABC V 212BA BC BC⋅= ,则( )123125,,334477a AB AC b AB AC c AB AC=+=+=+A.B.C.D.b a c>>b c a>>a c b>>c a b>>7. 已知函数在区间内既有最大值,又有最小值,则π()sin (0)6f x x ωω⎛⎫=+> ⎪⎝⎭π0,2⎡⎫⎪⎢⎣⎭的取值范围是( )ωA.B. C.D.2,3∞⎛⎫+ ⎪⎝⎭248,,333∞⎛⎤⎛⎫⋃+ ⎪⎥⎝⎦⎝⎭8,3∞⎛⎫+ ⎪⎝⎭248,,333∞⎛⎫⎛⎫⋃+ ⎪⎪⎝⎭⎝⎭8. 不等式对所有的正实数,恒成立,则的最大值为()t+≤x y t A. 2D. 1二、选择题:本题共3小题,每小题6分,共18分.在每小题给出的选项中,有多项符合题目要求.全部选对的得6分,部分选对的得部分分,有选错的得0分.9.如图,已知为圆锥的底面的直径,,C 为底面圆周上一点,弧的长度AB SO 2SA =BC 是弧的长度的2倍,异面直线与所成角的余弦值为,则().AC SB AC 14A. 圆锥SO B. 圆锥的侧面积为SO 2πC. 直线与平面所成的角大于SO SAC 30︒D. 圆锥的外接球的表面积为SO 16π310. 已知抛物线的焦点分别为,若分别为上的点,2212:4,:8C y x C y x ==12,F F ,A B 12,C C 且直线平行于轴,则下列说法正确的是()AB x A. 若,则B. 若,是等腰三角形1AF AB ⊥12AB =43AB =2F AB C. 若,则四边形是矩形 D. 四边形可能是菱形1BF BA ⊥12F F AB 12F F AB 11.设,定义在上的函数满足,且0a >R ()f x ()1f a =,则()()()()()(),,x y f x y f x f a y f y f a x ∀∈+=-+-R A. B. ()00f =()()2f a x f x -=C.为偶函数D.()f x ()20251f a =三、填空题:本题共3小题,每小题5分,共15分.12. 的展开式中,含的项的系数为________.(用数字作答)6(12)(13)x x -+2x 13. 在平面直角坐标系中,若角的终边过点,角的终边与角的终边关于xOy α(3,4)--βα轴对称,则______.x sin()αβ-=14.已知椭圆的左焦点为,若关于直线的对称点()2222:10x y C a b a b +=>>1F 1F 2y x =恰好在上,且直线与的另一个交点为,则______.A C 1AF CB 11||||BF AF =四、解答题:本题共5小题,共77分.解答应写出文字说明、证明过程或演算步骤.15.已知的内角所对的边分别为.ABC V ,,A B C ,,,sin cos )a b c b A a B c =-(1)求角A 的大小;(2)求的最大值.222sin sin sin A B C +16. 如图,在四棱锥中,平面ABCD ,,,P ABCD -PD ⊥2PD CD ==1AD AB ==,,点M 是棱PC 的中点.AB DA ⊥//AB CD (1)求证:平面PAD ;//BM (2)求平面PAB 与平面BMD 所成锐二面角的余弦值.17. 中国体育代表团在2024年巴黎奥运会上取得了优异的成绩.为了解学生对奥运会的了解情况,某校组织了全校学生参加的奥运会知识竞赛,从一、二、三年级各随机抽取100名学生的成绩(,各年级总人数相等),统计如下:年级[0,60)[60,100]一年级4060二年级2575三年级1090学校将测试成绩分为及格(成绩不低于60分)和不及格(成绩低于60分)两类,用频率估计概率,所有学生的测试成绩结果互不影响.(1)从一、二年级各随机抽一名学生,记表示这两名学生中测试成绩及格的人数,求X 的分布列和数学期望;X (2)从这三个年级中随机抽取两个年级,并从抽取的两个年级中各随机抽取一名学生,求这两名学生测试成绩均及格的概率.18. 已知双曲线的两条渐近线方程为为2222:1(0,0)x y C a b a b -=>>20,x y A ±=上一点.C(1)求双曲线的方程;C (2)若过点的直线与仅有1个公共点,求的方程;A l C l (3)过双曲线的右焦点作两条互相垂直的直线,,且与交于两点,记C F 1l 2l 1lC ,M N的中点与交于两点,记的中点为.若,求点到直线MN 2,B l C ,P Q PQ D (0,G G 的距离的最大值.BD 19. 已知函数(其中).312()(1)21xx f x ax b x -=++-+,a b ∈R (1)当时,证明:是增函数;0,0a b >=()f x (2)证明:曲线是中心对称图形;()y f x =(3)已知,设函数,若对任0a ≠312()e ()(1)(1)21xx x g x f x b x b -=+-+-+-+()0g x ≥意的恒成立,求的最小值.x ∈R b aa -2024-2025学年广西南宁市高三上学期10月月考数学质量检测试题考生注意:1.本试卷分选择题和非选择题两部分.满分150分,考试时间120分钟.2.答题前,考生务必用直径0.5毫米黑色墨水签字笔将密封线内项目填写清楚.3.考生作答时,请将答案答在答题卡上.选择题每小题选出答案后,用2B 铅笔把答题卡上对应题目的答案标号涂黑;非选择题请用直径0.5毫米黑色墨水签字笔在答题卡上各题的答题区域内作答,超出答题区域书写的答案无效,在试题卷、草稿纸上作答无效.4.本卷命题范围:高考范围.一、选择题:本题共8小题,每小题5分,共40分.在每小题给出的四个选项中,只有一项是符合题目要求的.1. 已知集合,则(){}(){}3510,ln 1A x x B x y x =∈-<<==+Z A B = A. B. {}0,1,2{}0,1C.D.{}1,2{}1,0,1,2-【正确答案】A【分析】解不等式化简集合,求出函数的定义域化简集合,再利用交集的定义求出求解A B 即得.【详解】依题意,,{{}{}1,0,1,2,1A x x B x x =∈<<=-=>-所以.{}0,1,2A B = 故选:A2. 已知,且,其中是虚数单位,则( ),a b ∈R 3i12ii a b -=++i a b +=A. B. C. D. 22-4-6-【正确答案】D【分析】根据题意,由复数的运算代入计算,结合复数相等列出方程,即可得到结果.【详解】由可得,即,3i12i i a b -=++()()3i i 12i a b -=++()()3i 221ia b b -=-++所以,解得,则.2213a b b =-⎧⎨+=-⎩42a b =-⎧⎨=-⎩6a b +=-故选:D3. 已知定义域为的函数不是偶函数,则( )R ()f x A. B. ()(),0x f x f x ∀∈-+≠R ()(),0x f x f x ∀∈--≠R C.D.()()000,0x f x f x ∃∈-+≠R ()()000,0x f x f x ∃∈--≠R 【正确答案】D【分析】根据偶函数的概念得是假命题,再写其否定形式即可得()(),0x f x f x ∀∈--=R 答案.【详解】定义域为的函数是偶函数,R ()f x ()(),0x f x f x ⇔∀∈--=R 所以不是偶函数.()f x ()()000,0x f x f x ⇔∃∈--≠R 故选:D .4. 已知一组数据的平均数是3,方差为4,则数据123421,21,21,21x x x x ++++的平均数和方差分别是( )1234,,,x x x x A. B. C. D.1,11,233,243,22【正确答案】A【分析】根据题意,由平均数与方差的性质列出方程,代入计算,即可求解.【详解】设数据的平均数和方差分别是,,1234,,,x x x x x 2s 则数据的平均数是,方差是,123421,21,21,21x x x x ++++()21x +24s 所以,解得,,解得,()213x +=1x =244s=21s =即数据的平均数和方差分别是.1234,,,x x x x 1,1故选:A5. 已知递增的等差数列的前项和为,则(){}n a n 1625,19,70n S a a a a +==8S =A. 70B. 80C. 90D. 100【正确答案】D【分析】设等差数列的公差为d ,由题意结合等差数列的通项公式求出即可结合等{}n a 1,a d 差数列前n 项和公式计算得解.()112n n n S na d -=+【详解】设等差数列的公差为d ,{}n a 则由题得,解得,()()1111519,4700a a d a d a d d ++=⎧⎪++=⎨⎪>⎩132d a =⎧⎨=⎩所以.8878231002S ⨯=⨯+⨯=故选:D.6. 在中,,若ABC V 212BA BC BC⋅= ,则( )123125,,334477a AB AC b AB AC c AB AC=+=+=+ A.B.C.D.b a c>>b c a>>a c b>>c a b>>【正确答案】B【分析】先由求出即,接着由余弦定理结合数量积的运算212BA BC BC⋅= |AB |=|AC |b c =律计算得,再由平面向量模的求法即可计算比较得解.2222b a AB AC -⋅=【详解】设的角A 、B 、C 的对边为a 、b 、c ,ABC V 因为,所以,212BA BC BC ⋅= ()()212AB AC AB AC AB-⋅-=-所以,故,2221122AB AC AB AC AB AC AB-⋅=⋅+-+ 22AB AC = 所以,即,|AB |=|AC |b c =所以,222222cos 22b c a b a AB AC bc A bc bc +--⋅==⨯=所以22221214433999a AB AC AB AB AC AC⎛⎫=+=+⋅+ ⎪⎝⎭,2222221424299299b a c b b a -=+⋅+=-22222222223193193213441681616821616b a b AB AC AB AB AC AC c b b a -⎛⎫=+=+⋅+=+⋅+=- ⎪⎝⎭ ,222222222225420254202251077494949494924949b a c AB AC AB AB AC AC c b b a -⎛⎫=+=+⋅+=+⋅+=- ⎪⎝⎭,因为,所以,即.210394916>>222b c a >> b c a >>故选:B.7. 已知函数在区间内既有最大值,又有最小值,则π()sin (0)6f x x ωω⎛⎫=+> ⎪⎝⎭π0,2⎡⎫⎪⎢⎣⎭的取值范围是( )ωA.B. C.D.2,3∞⎛⎫+ ⎪⎝⎭248,,333∞⎛⎤⎛⎫⋃+ ⎪⎥⎝⎦⎝⎭8,3∞⎛⎫+ ⎪⎝⎭248,,333∞⎛⎫⎛⎫⋃+ ⎪ ⎪⎝⎭⎝⎭【正确答案】C【分析】由条件求出的范围,结合正弦函数的性质列不等式可求结论.π6x ω+【详解】因为,,π02x ≤<0ω>所以, ()πππ31666x ωω≤+<+由已知,,()π331π62ω+>所以,83ω>所以的取值范围是.ω8,3∞⎛⎫+ ⎪⎝⎭故选:C.8. 不等式对所有的正实数,恒成立,则的最大值为()t+≤x y t A. 2D. 1【正确答案】D【分析】由题意可得,令,则有mint ≤0m =>1m =,结合基本不等式求得,于是有,从而得答案.2112m =21m ≥1m ≥【详解】解:因为,,xy 0>所以,则有,t ≤mint ≤令,则m =>1m =所以,2111122m ==+≤+=当且仅当时,等号成立,x y =所以,,211m≤21m ≥又,所以,0m >1m ≥,1≥1,所以,1t ≤即的最大值为1.t 故选:D.方法点睛:对于恒成立问题,常采用参变分离法,只需求出分离后的函数(代数式)的最值即可得解.二、选择题:本题共3小题,每小题6分,共18分.在每小题给出的选项中,有多项符合题目要求.全部选对的得6分,部分选对的得部分分,有选错的得0分.9. 如图,已知为圆锥的底面的直径,,C 为底面圆周上一点,弧的长度AB SO 2SA =BC 是弧的长度的2倍,异面直线与所成角的余弦值为,则().AC SB AC 14A. 圆锥SOB. 圆锥的侧面积为SO 2πC. 直线与平面所成的角大于SO SAC 30︒D. 圆锥的外接球的表面积为SO 16π3【正确答案】ABD【分析】A 选项,作出辅助线,设底面圆的半径为,根据异面直线的夹角余弦值和余弦定r 理得到,从而得到圆锥的体积;B 选项,根据侧面积公式求出答案;C 选项,作出辅助1r =线,得到直线与平面所成角的平面角为,并求出其正切值,得到SO SAC OST ∠;D 选项,找到外接球球心,并根据半径相等得到方程,求出外接球半径,得30OST ∠<︒到外接球表面积.【详解】A 选项,连接并延长交圆于点,连接,CO P ,AP BP 因为为圆锥的底面的直径,弧的长度是弧的长度的2倍,AB SO BC AC 故四边形为矩形,,则,ACBP ππ,36CAB ABP CBA BAP ∠=∠=∠=∠=//BP AC 异面直线与所成角等于异面直线与所成角,SB BP SB AC 因为,所以,2SA =2SB SP ==设底面圆的半径为,则,r BP r =故,解得,2222441cos 244SB BP SP r SBP SB BP r +-+-∠===⋅1r =则由勾股定理得,SO ===故圆锥的体积为A 正确;SO 21π3r SO ⋅⋅=B 选项,圆锥的侧面积为,B 正确;SO π2πrl =C 选项,取的中点,连接,则⊥,⊥,AC T ,ST OT OT AC ST AC 又,平面,故⊥平面,OT ST T = ,OT ST ⊂SOT AC SOT 过点作⊥于点,由于平面,则⊥,O OE ST E OE ⊂SOT OE AC 又,平面,故⊥平面,ST AC T = ,ST AC ⊂SAC OE SAC 故即为直线与平面所成的角,OST ∠SO SAC 其中,则,πsin 3OT CO ==1tan 2OT OST OS ∠===由于,且在上单调递增,故,C 错误;1tan 302︒=>tan y x =π0,2⎛⎫ ⎪⎝⎭30OST ∠<︒D 选项,由对称性可知,外接球球心在上,连接,Q OSQC 设圆锥的外接球半径为,则,SO R OQ SO R R =-=由勾股定理得,即,解得,222OC OQ QC +=)221R R +=R =故圆锥的外接球的表面积为,D 正确.SO 2216π4π4π3R =⨯=故选:ABD方法点睛:解决与球有关的内切或外接的问题时,解题的关键是确定球心的位置.对于外切的问题要注意球心到各个面的距离相等且都为球半径;对于球的内接几何体的问题,注意球心到各个顶点的距离相等,解题时要构造出由球心到截面圆的垂线段、小圆的半径和球半径组成的直角三角形,利用勾股定理求得球的半径10. 已知抛物线的焦点分别为,若分别为上的点,2212:4,:8C y x C y x ==12,F F ,A B 12,C C 且直线平行于轴,则下列说法正确的是()AB x A. 若,则B. 若,是等腰三角形1AF AB ⊥12AB =43AB =2F AB C. 若,则四边形是矩形 D. 四边形可能是菱形1BF BA ⊥12F F AB 12F F AB 【正确答案】ABC【分析】不妨设,则,,对于A ,由题意A (x 1,y ), B (x 2,y )(y >0)21248y x x ==120x x >>求出和即可求解;对于B ,由题意得,进而可求出两点11x =212x =|AB |1243-=x x ,A B 坐标,从而求出和即可判断;对于C ,由题意先得,接着求出,进而求2F A 2F B21x =1x 出,轴即可得解;对于D ,先假设四边形是菱形,再推出矛盾12AB F F =2AF x ⊥12F F AB 即可得解.【详解】由题意得,不妨设,()()121,0,2,0F F A (x 1,y ), B (x 2,y )(y >0)则,,21248y x x ==120x x >>对于A ,因为,又直线平行于轴,所以轴,1AF AB ⊥AB x 1AF x ⊥所以,故, 11x =2212,82y y x ====如图,故,故A 正确;1212AB x x =-=对于B ,若,则,所以,解得,43AB =1243-=xx 224483y y -=y =所以,84,33A B ⎛⎛ ⎝⎝所以 ,,2103F A ==2103F B ==所以,,所以是等腰三角形,故B 正确;22F A F B=|F 2A |+|AB |>|F 2B |2F AB 对于C ,若,又直线平行于轴,所以轴,1BF BA⊥AB x 1BFx ⊥所以,故,21x =2124y y x ====故,轴,所以四边形是矩形,故C 正确;12121AB x x F F =-==2AF x ⊥12F F AB 对于D ,若四边形是菱形,则,即即,12F F AB 121AB F F==121x x -=22148y y -=所以,所以,y =((2,,1,A B 所以可得,则四边形不是菱形,矛盾,21F A F B AB==≠12F F AB 所以四边形不是菱形,故D 错误.12F F AB 故选:ABC.11.设,定义在上的函数满足,且0a >R ()f x ()1f a =,则()()()()()(),,x y f x y f x f a y f y f a x ∀∈+=-+-R A.B.()00f =()()2f a x f x -=C.为偶函数 D.()f x ()20251f a =【正确答案】ABD【分析】对于A ,令,又,即可求得;对于B ,令,,0x a y ==()1f a =()00f =y a =再由,即可推得;对于C ,令,可得()()1,00f a f ==()()2f a x f x -=y x =-,从而为奇函数;对于D ,可推得,即()()0f x f x +-=()f x ()()4f x a f x +=的周期为,则.()f x 4a ()()()202550641f a f a a f a =⨯+==【详解】对于A ,令,得,,0x a y ==()()()()()00f a f a f a f f =+因为,所以,故A 正确;()1f a =()00f =对于B ,令,代入可得,y a =()()()()()0f x a f x f f a f a x +=+-因为,所以,()()1,00f a f ==()()f x a f a x +=-从而,故B 正确;()()2f a x f x -=对于C ,令,代入得,y x =-()()()()()0f f x f a x f x f a x =++--又因为对,恒成立且不恒为0,x ∀∈R ()()f a x f a x +=-所以,从而为奇函数,()()0f x f x +-=()f x 又不恒等于0,故C 错误;()f x 对于D ,因为,()()()2f x a f x f x +=-=-所以,()()()42f x a f x a f x +=-+=所以为的周期,4a ()f x 所以,故D 正确.()()()202550641f a f a a f a =⨯+==故选:ABD .三、填空题:本题共3小题,每小题5分,共15分.12. 的展开式中,含的项的系数为________.(用数字作答)6(12)(13)x x -+2x【正确答案】99【分析】先求二项式的展开式的通项,再由乘法法则求出的展开式6(13)x +6(12)(13)x x -+中含的项即可得解.2x 【详解】由题意得的展开式的通项为,6(13)x +()166C 33C rr r r rr T x x +==所以的展开式中,含的项为,6(12)(13)x x -+2x 2221112663C 23C 99x x x x -⋅=所以展开式中含的项的系数为.2x 99故答案为.9913. 在平面直角坐标系中,若角的终边过点,角的终边与角的终边关于xOy α(3,4)--βα轴对称,则______.x sin()αβ-=【正确答案】##24250.96【分析】由条件,根据三角函数定义可求,,根据对称性可求,,sin αcos αsin βcos β结合两角差正弦公式求结论.【详解】因为角的终边过点,α(3,4)--所以,,4sin 5α==-3cos 5α==-又角的终边与角的终边关于轴对称,βαx 所以,,4sin 5β=3cos 5β=-所以.24sin()sin cos cos sin 25αβαβαβ-=-=故答案为.242514.已知椭圆的左焦点为,若关于直线的对称点()2222:10x y C a b a b +=>>1F 1F 2y x =恰好在上,且直线与的另一个交点为,则______.A C 1AF CB 11||||BF AF =【正确答案】##0.215【分析】求出点关于直线对称点的坐标,进而求出,再结1(,0)F c -2y x =A 12||,||AF AF 合椭圆定义及勾股定理求出即可.1||BF 【详解】设关于直线的对称点,由,解得1(,0)F c -2y x =11(,)A x y 111112222y x cy x c⎧=-⎪+⎪⎨-⎪=⋅⎪⎩,113545c x c y ⎧=⎪⎪⎨⎪=-⎪⎩即,令椭圆右焦点,则,34(,55c c A -2(,0)Fc 1||AF ==,而点在椭圆上,由,得2||AF ==AC 122AF AF a +=,a =设,则,显然的中点都在直线上,1||BF m =2||2BF a m m =-=-112,AF F F 2y x =则平行于直线,从而,在中,2AF 2y x =21AF AF ⊥2Rt ABF,222()))m m +=-解得,所以.m =11|1|5||BF AF =故15思路点睛:椭圆上一点与两焦点构成的三角形,称为椭圆的焦点三角形,与焦点三角形有关的计算或证明常利用勾股定理、正弦定理、余弦定理、,得到a ,c 的关12|||2PF PF a =+|系.四、解答题:本题共5小题,共77分.解答应写出文字说明、证明过程或演算步骤.15. 已知的内角所对的边分别为.ABC V ,,A B C ,,,sin cos )a b c b A a B c =-(1)求角A 的大小;(2)求的最大值.222sin sin sin A B C +【正确答案】(1);2π3A =(2).32【分析】(1)由题意结合正弦定理和即可求解.sin sin cos cos sin C A B A B =+(2)先由(1)结合余弦定理得,接着由正弦定理角化边得222a b c bc =++,再结合基本不等式即可求解.22222sin 1sin sin A bcB C bc =+++【小问1详解】因为,,sin cos )b A a B c =-()sin sin sin cos cos sin CA B A B A B =+=+所以由正弦定理得)sin sin sin cos sin cos cos sin sin B A A B C A B A B A B A B=-=,又,故,所以即,B ∈(0,π)sin 0B≠sin A A =tan A =又,所以.()0,πA ∈2π3A =【小问2详解】由(1),所以由余弦定理得,2π3A =222222cos a b c bc A b c bc =+-=++所以由正弦定理得,222222222222sin 311sin sin 2A a b c bc bc B C b c b c b c ++===+≤=++++当且仅当时等号成立.b c =所以的最大值为.222sin sin sin A B C +3216. 如图,在四棱锥中,平面ABCD ,,,P ABCD -PD ⊥2PD CD ==1AD AB ==,,点M 是棱PC 的中点.AB DA ⊥//AB CD (1)求证:平面PAD ;//BM (2)求平面PAB 与平面BMD所成锐二面角的余弦值.【正确答案】(1)证明见解析(2【分析】(1)取PD 的中点E ,连接ME ,AE ,根据E 是PD 的中点,得到,//EM AB ,从而四边形ABME 是平行四边形,得到,再利用线面平行的判定定理EM AB =//AE BM 证明;(2)以D 为坐标原点,DA ,DC ,DP 所在的直线分别为x 轴,y 轴,z 轴,建立空间直角坐标系,求得平面BDM 的一个法向量,平面PAB 的一个法向量,设n =(x,y,z )(),,m a b c= 平面PAB 与平面BMD 所成锐二面角的大小为θ,由求解.()cos ,n m cos n m n mθ⋅==【小问1详解】证明:取PD 的中点E ,连接ME ,AE ,因为E 是PD 的中点,M 是PC 的中点,所以,,又,,//EM DC 112EM DC ==//AB CD 1AB =所以,,//EM AB EM AB =所以四边形ABME 是平行四边形,所以,//AE BM 又平面PAD ,平面PAD ,所以平面PAD .AE ⊂BM ⊄//BM 【小问2详解】解:因为平面ABCD ,DA ,平面ABCD ,PD ⊥DC ⊂所以,,又,,所以.PD AD ⊥PD DC ⊥AB DA ⊥//AB CD AD DC ⊥以D 为坐标原点,DA ,DC ,DP 所在的直线分别为x 轴,y 轴,z 轴,建立空间直角坐标系,如图所示.则,所以.()()()()()0,0,0,0,0,2,1,0,0,1,1,0,0,2,0D P A B C ()0,1,1M 设平面BDM 的一个法向量,又,,n =(x,y,z )()1,1,0DB =()0,1,1DM =所以0,0,n DB x y n DM y z ⎧⋅=+=⎪⎨⋅=+=⎪⎩令,解得,,1x =1y =-1z =所以平面BMD 的一个法向量.n =(1,−1,1)设平面PAB 的一个法向量,又,,(),,m a b c= ()1,0,2AP =-()0,1,0AB =所以20,0.m AP a c m AB b ⎧⋅=-+=⎪⎨⋅==⎪⎩令,解得,,2a =0b =1c =所以平面PAB 的一个法向量,()2,0,1m =设平面PAB 与平面BMD 所成锐二面角的大小为θ,所以.()cos ,n m cos n m n m θ⋅====即平面PAB 与平面BMD17. 中国体育代表团在2024年巴黎奥运会上取得了优异的成绩.为了解学生对奥运会的了解情况,某校组织了全校学生参加的奥运会知识竞赛,从一、二、三年级各随机抽取100名学生的成绩(,各年级总人数相等),统计如下:年级[0,60)[60,100]一年级4060二年级2575三年级1090学校将测试成绩分为及格(成绩不低于60分)和不及格(成绩低于60分)两类,用频率估计概率,所有学生的测试成绩结果互不影响.(1)从一、二年级各随机抽一名学生,记表示这两名学生中测试成绩及格的人数,求X 的分布列和数学期望;X (2)从这三个年级中随机抽取两个年级,并从抽取的两个年级中各随机抽取一名学生,求这两名学生测试成绩均及格的概率.【正确答案】(1)答案见解析(2)111200【分析】(1)写出所有可能得取值,然后分别求出其对应概率,列出表格,即可得到分布X 列,再由期望的公式代入计算,即可得到结果;(2)根据题意,由互斥事件概率公式代入计算,即可得到结果.【小问1详解】一年级学生及格的频率为,不及格的频率为,6031005=4021005=二年级学生及格的频率为,不及格的频率为,7531004=2511004=三年级学生及格的频率为,不及格的频率为,90910010=10110010=的所有可能取值为,X 0,1,2,3则,,()21105410P X ==⨯=()312391545420P X ==⨯+⨯=,()33925420P X ==⨯=所以的分布列为:X X12P110920920所以的期望为X ()1992701210202020E X =⨯+⨯+⨯=【小问2详解】由题意可知,抽到一、二年级,一、三年级,二、三年级的概率都是,13所以抽到的两名学生测试成绩均及格的概率为.13313913911135435103410200P =⨯⨯+⨯⨯+⨯⨯=18. 已知双曲线的两条渐近线方程为为2222:1(0,0)x y C a b a b -=>>20,x y A ±=上一点.C (1)求双曲线的方程;C (2)若过点的直线与仅有1个公共点,求的方程;A l C l (3)过双曲线的右焦点作两条互相垂直的直线,,且与交于两点,记C F 1l 2l 1lC ,M N 的中点与交于两点,记的中点为.若,求点到直线MN 2,B l C ,P Q PQD (0,G G 的距离的最大值.BD 【正确答案】(1)2214x y -=(2),.220x y -+-=220x y ++-=220y --=(3【分析】(1)列出关于的方程,代入计算,即可求解;,a b (2)分直线斜率存在于不存在讨论,然后联立直线与双曲线方程,代入计算,即可得到结果;(3)分直线斜率存在于不存在讨论,分别联立直线与双曲线方程以及直线与双曲线方程,1l 2l结合韦达定理代入计算,即可得到直线过定点,从而得到结果.BD 【小问1详解】由题意可得,,解得,所以双曲线的方程为.2212811b a a b ⎧=⎪⎪⎨⎪-=⎪⎩21a b =⎧⎨=⎩C 2214x y -=【小问2详解】当直线斜率存在时,设直线的方程为,ll (1y k x -=-代入可得,2214x y -=()(()22214814110k x k k ⎡⎤-----+=⎢⎥⎣⎦当时,即时,直线与双曲线的渐近线平行,只有一个公共点,2140k -=12k =±l即直线的方程为,;l 220x y -+-=220x y ++-=当时,,2140k -≠()()()2222Δ6411614110k k ⎡⎤=-+--+=⎢⎥⎣⎦即,可得与双曲线相切,)210-=k =l 直线;l 220y --=显然,当直线斜率不存在时,直线与双曲线有两个公共点,不满足;l l 综上所述,与双曲线仅有1个公共点的直线有3条:C ,.220x y -+-=220x y ++-=220y --=【小问3详解】当直线的斜率不存在时,则与重合,又,即,1l B F 2415c =+=c =所以,,此时直线的方程为,)F()0,0D BD 0y =则到的距离为0;G BD 当直线的斜率为0时,则与重合,,,1l DF )D ()0,0B 此时直线的方程为,则到的距离为0;BD 0y =G BD 当直线的斜率存在且不为0时,设的方程为,1l 1l(y k x =-设,()()()()11223344,,,,,,,M xy N x y P x y Q x y 直线的方程为,2l (1y x k =-联立可得,(2214x y y k x ⎧-=⎪⎨⎪=⎩()2222142040k x x k -+--=,()()()()22222Δ4142041610k kk=----=+>由韦达定理可得,则12x x +=122x x +=所以,121222y y x x k k ++⎛=== ⎝所以,B 联立可得,(22141x y y x k ⎧-=⎪⎪⎨⎪=-⎪⎩222420140x x k k ⎛⎫---= ⎪⎝⎭,22224201Δ4141610k k k -⎛⎫⎛⎫⎛⎫=---=+> ⎪⎪ ⎪⎝⎭⎝⎭⎝⎭由韦达定理可得,则,34x x+==342x x +=所以,所以,1212y y k +=-=D则()()2422334414BDk k k k k k --===--+,,()()()2423134141k k kk k -+-==--()2221,140,40kk k ≠-≠-≠所以直线的方程为,BD ()2341k y x k ⎛-=-⎝即,()2413k y kx-=--所以,即,()2413k y kx -=-+()2413k y k x ⎛-=-- ⎝故直线过定点,BD ⎫⎪⎪⎭当时,直线与双曲线的渐近线平行,故与双曲线只有一个交点,舍去;2410k -=1l当时,直线与双曲线的渐近线平行,故与双曲线只有一个交点,舍去;240k -=2l 当时,的方程为,21k =,BDBD x =过点;⎫⎪⎪⎭综上所述,直线过定点.BD ⎫⎪⎪⎭所以点到直线.GBD=关键点点睛:本题主要考查了直线与双曲线的位置关系,难度较大,解答本题的关键在于分类讨论直线的斜率存在以及不存在,然后得到直线恒过定点,从而解答.BD 19. 已知函数(其中).312()(1)21xx f x ax b x -=++-+,a b ∈R (1)当时,证明:是增函数;0,0a b >=()f x (2)证明:曲线是中心对称图形;()y f x =(3)已知,设函数,若对任0a ≠312()e ()(1)(1)21xx x g x f x b x b -=+-+-+-+()0g x ≥意的恒成立,求的最小值.x ∈R b aa -【正确答案】(1)证明见解析; (2)证明见解析;(3).1-【分析】(1)根据给定条件,求出函数的导数,再判断导数值为正即可.(2)利用中心对称的定义,计算推理即得.(3)求出函数及其导数,再按分类讨论并求出的最小值,建立不等()g x 0,0a a <>()g x 式,构造函数,利用导数求出最小值即得.【小问1详解】函数的定义域为R ,当时,,()f x 0,0a b >=1122()22121x x x f x ax ax--=+=-+++求导得,所以是增函数.122ln2()0(21)x x f x a -'=+>+()f x 【小问2详解】依题意,(2)()f x f x -+2331122(2)(1)(1)2121x x x x a x b x ax b x ---=+-+-+++-++,()11222211221xx x a a --=++=+++所以曲线关于点对称,曲线是中心对称图形.()y f x =(1,1)a +()y f x =【小问3详解】依题意,,其定义域为,求导得,()e 1xg x ax b =-+-R ()x g x e a '=-当时,在上单调递增,0a <()0,()g x g x >'R 当时,,的取值集合为,0x <0e 1x<<1ax b -+-(,1)b -∞-因此当时,函数的取值集合为,不符合题意;0x <()g x (,)b -∞当时,由,得在上单调递增;0a >()0g x '>ln ,()x a g x >(ln ,)a +∞由,得在上单调递减,()0g x '<ln ,()x a g x <(,ln )a -∞函数在处取得最小值,且,()g x ln x a =min ()(ln )ln 1g x g a a a a b ==-+-由对任意的恒成立,得,即成立,()0g x ≥x ∈R ln 10a a a b -+-≥ln 1b a a a ≥-++因此,设,2ln 11ln 2b a a a a a a a a --++≥=+-221111()ln 2,()a a a a a a a a ϕϕ-=+-=='-当时,,当时,,01a <<()0a ϕ'<1a >()0a ϕ'>函数在上递减,在上递增,()a ϕ(0,1)(1,)+∞则,即,当且仅当时取等号,min()(1)1a ϕϕ==-1b aa -≥-1,0ab ==所以的最小值为.b aa -1-结论点睛:函数的定义域为D ,,()y f x =x D ∀∈①存在常数a ,b 使得,则函数()(2)2()()2f x f a x b f a x f a x b +-=⇔++-=图象关于点对称.()y f x =(,)a b ②存在常数a 使得,则函数图象关于直()(2)()()f x f a x f a x f a x =-⇔+=-()y f x =线对称.x a =。
广西南宁三中2015届高三上学期第二次月考数学试卷(理科)一、选择题:本大题共12小题,每小题5分,共60分.在每小题给出的四个选项中,只有一个选项是符合题目要求的.1.设集合S={x|x>﹣2},T={x|x2+3x﹣4≤0},则(∁R S)∪T=( )A.(﹣2,1] B.(﹣∞,﹣4] C.(﹣∞,1] D.点评:本题考查由三视图还原几何体的直观图,解题时要注意,本题要求组合体的表面积,注意有一部分面积在两个图形拼接时去掉了,注意运算时不要忽略.6.有两个等差数列{a n},{b n},它们的前n项和分别为S n,T n,若=,则=( ) A.B.C.D.考点:等差数列的性质.专题:等差数列与等比数列.分析:由等差数列的性质把要求的比值,通过等差数列的求和公式转化为它们前n项和的比值,代公式即可得答案.解答:解:在等差数列中,S2n﹣1=(2n﹣1)a n,∴,故选:A.点评:本题考查等差数列的性质与求和公式,准确转化是解决问题的关键,属中档题.7.执行如图所示的程序框图,则输出的S值是( )A.﹣1 B.C.D.4考点:循环结构.专题:计算题.分析:直接利用循环结构,计算循环各个变量的值,当i=9<9,不满足判断框的条件,退出循环输出结果即可.解答:解:第1次判断后循环,S=﹣1,i=2,第2次判断后循环,S=,i=3,第3次判断后循环,S=,i=4,第4次判断后循环,S=4,i=5,第5次判断后循环,S=﹣1,i=6,第6次判断后循环,S=,i=7,第7次判断后循环,S=,i=8,第8次判断后循环,S=4,i=9,第9次判断不满足9<8,推出循环,输出4.故选D.点评:本题考查循环框图的作用,正确计算循环变量的数值,是解题的关键,考查计算能力.8.已知直线l1:4x﹣3y+6=0和直线l2:x=﹣1,抛物线y2=4x上一动点P到直线l1和直线l2的距离之和的最小值是( )A.2 B.3 C.D.考点:直线与圆锥曲线的关系;点到直线的距离公式.专题:计算题.分析:先确定x=﹣1为抛物线y2=4x的准线,再由抛物线的定义得到P到l2的距离等于P到抛物线的焦点F(l2,0)的距离,进而转化为在抛物线y2=4x上找一个点P使得P到点F(l2,0)和直线l2的距离之和最小,再由点到线的距离公式可得到距离的最小值.解答:解:直线l2:x=﹣1为抛物线y2=4x的准线,由抛物线的定义知,P到l2的距离等于P到抛物线的焦点F(l2,0)的距离,故本题化为在抛物线y2=4x上找一个点P使得P到点F(l2,0)和直线l2的距离之和最小,最小值为F(l2,0)到直线l2:4x﹣3y+6=0的距离,即d=,故选A.点评:本小题考查抛物线的定义、点到直线的距离,考查基础知识的综合应用.圆锥曲线是2015届高考的热点也是难点问题,一定要强化复习.9.若函数y=f(x)+cosx在上单调递减,则f(x)可以是( ) A.1 B.cosx C.﹣sinx D.sinx考点:函数单调性的判断与证明.专题:函数的性质及应用.分析:由三角函数的单调性,代入选项,化简后可得单调性,进而可得答案.解答:解:代入验证:A,y=1+cosx在上单调递增,上单调递减,故错误;B,y=2cosx在上单调递增,上单调递减,故错误;C,y=﹣sinx+cosx=cos(x+),由x+∈,可得x∈,故函数在上单调递减,故正确;D,y=sinx+cosx=cos(x﹣),由x﹣∈,可得x∈,故函数在上单调递减,故错误.故选C点评:本题考查三角函数的单调性,涉及三角函数公式的应用,属基础题.10.如图,正方形街道OABC,已知小白从A出发,沿着正方形边缘A﹣B﹣C匀速走动,小白与O连线扫过的正方形内阴影部分面积S是时间t的函数,这个函数的大致图象是( )A.B.C.D.考点:函数的图象.专题:常规题型;函数的性质及应用.分析:利用面积公式,确定是一次函数即可.解答:解:设小白速度为v,则在OB段时,t时刻的面积,面积成匀速变化,故图象为线段,同理,BC段也是线段.故选:A.点评:本题考查了函数的图象的特征,属于基础题.11.设F1,F2是双曲线的两个焦点,P是C上一点,若|PF1|+|PF2|=6a,且△PF1F2的最小内角为30°,则C的离心率为( ) A.B.C.D.考点:双曲线的简单性质.专题:圆锥曲线的定义、性质与方程.分析:利用双曲线的定义和已知即可得出|PF1|,|PF2|,进而确定最小内角,再利用余弦定理和离心率计算公式即可得出.解答:解:不妨设|PF1|>|PF2|,则|PF1|﹣|PF2|=2a,又|PF1|+|PF2|=6a,解得|PF1|=4a,|PF2|=2a.则∠PF1F2是△PF1F2的最小内角为30°,∴﹣,∴(2a)2=(4a)2+(2c)2﹣,化为=0,解得.故选C.点评:熟练掌握双曲线的定义、离心率计算公式、余弦定理是解题的关键.12.小白散步后不慎走丢了,家里很着急,小新和阿呆等6人分配到A,B,C三条街道中寻找,每条街道至少安排1人,其中小新和阿呆同组,且小新不能分配到A街道,则不同的分配方案有( )种.A.132 B.150 C.80 D.100考点:排列、组合及简单计数问题.专题:排列组合.分析:由题意小新和阿呆同组,可将他们看成1个单位,故总体个数为5,则可分为3﹣1﹣1,2﹣2﹣1两种情况,小新和阿呆分到哪一组都概率一样,根据据分类计数原理求得答案.解答:解:小新和阿呆同组,可将他们看成1个单位,故总体个数为5,则可分为3﹣1﹣1,2﹣2﹣1两种情况,小新和阿呆分到哪一组都概率一样,小新不能分配到A街道,第一种情况,有•=40种,第二种情况,有•=60种,根据分类计数原理得,不同的分配方案有40+60=100种.故选:D.点评:本题主要考查了分组分配的问题,小新不能分配到A街道,利用概率解答方便快捷,属于基础题.二、填空题:本大题共四小题,每题5分.13.在面积为S的矩形ABCD内随机取一点P,则△PBC的面积小于的概率是.考点:几何概型.专题:计算题.分析:根据△PBC的面积小于S时,可得点P所在区域的面积为矩形面积的一半,从而可求相应概率.解答:解:设P到BC的距离为h∵矩形ABCD的面积为S,∴△PBC的面积小于S 时,h≤BC∴点P所在区域的面积为矩形面积的一半,∴△PBC的面积小于S 的概率是故答案为:点评:本题考查几何概型,解题的关键是根据△PBC的面积小于S时,确定点P所在区域的面积为矩形面积的一半14.如图,在△ABC中,∠B=45°,D是BC边上的一点,AD=5,AC=7,DC=3,则AB的长为.考点:余弦定理.专题:综合题.分析:先根据余弦定理求出∠ADC的值,即可得到∠ADB的值,最后根据正弦定理可得答案.解答:解:在△ADC中,AD=5,AC=7,DC=3,由余弦定理得cos∠ADC==﹣,∴∠ADC=120°,∠ADB=60°在△ABD中,AD=5,∠B=45°,∠ADB=60°,由正弦定理得,∴AB=故答案为:.点评:本题主要考查余弦定理和正弦定理的应用,在解决问题的过程中要灵活运用正弦定理和余弦定理.属基础题.15.在平面直角坐标系中,若不等式组(a为常数)所表示的平面区域内的面积等于2,则a=3.考点:简单线性规划.分析:先根据约束条件(a为常数),画出可行域,求出可行域顶点的坐标,再利用几何意义求关于面积的等式求出a值即可.解答:解:当a<0时,不等式组所表示的平面区域,如图中的M,一个无限的角形区域,面积不可能为2,故只能a≥0,此时不等式组所表示的平面区域如图中的N,区域为三角形区域,若这个三角形的面积为2,则AB=4,即点B的坐标为(1,4),代入y=ax+1得a=3.故答案为:3.点评:本题主要考查了用平面区域二元一次不等式组,以及简单的转化思想和数形结合的思想,属中档题.16.已知函数f(x)=则方程f(x)=ax恰有两个不同实数根时,实数a的取值范围是(2)求二面角A﹣PB﹣E的大小.考点:二面角的平面角及求法;空间中直线与直线之间的位置关系.专题:空间位置关系与距离;空间角.分析:(1)连结PD,由已知得PD⊥AB,BC⊥AB,DE⊥AB,由此能证明AB⊥PE.(2)由已知得PD⊥AB,PD⊥平面ABC,DE⊥PD,ED⊥AB,从而DE⊥平面PAB,过D做DF垂直PB与F,连接EF,则EF⊥PB,∠DFE为所求二面角的平面角,由此能求出二面角的A﹣PB﹣E 大小.解答:(1)证明:连结PD,∵PA=PB,∴PD⊥AB.∵DE∥BC,BC⊥AB,DE⊥AB.又∵PD∩DE=E,∴AB⊥平面PDE,∵PE⊂平面PDE,∴AB⊥PE.(2)解:∵平面PAB⊥平面ABC,平面PAB∩平面ABC=AB,PD⊥AB,PD⊥平面ABC.则DE⊥PD,又ED⊥AB,PD∩平面AB=D,DE⊥平面PAB,过D做DF垂直PB与F,连接EF,则EF⊥PB,∴∠DFE为所求二面角的平面角∴DE=,DF=,则,故二面角的A﹣PB﹣E大小为60°.点评:本题考查异面直线垂直的证明,考查二面角的大小的求法,解题时要认真审题,注意空间思维能力的培养.20.已知椭圆C方程为+=1,已知P(2,3)、Q(2,﹣3)是椭圆上的两点,A,B是椭圆上位于直线PQ两侧的动点.(1)若直线AB的斜率为,求四边形APBQ面积的最大值;(2)当A、B运动时,满足∠APQ=∠BPQ,试问直线AB的斜率是否为定值,请说明理由.考点:椭圆的简单性质.专题:计算题;圆锥曲线的定义、性质与方程;圆锥曲线中的最值与范围问题.分析:(1)设A(x1,y1),B(x2,y2),直线AB的方程为y=x+t,代入+=1中整理得到二次方程,运用韦达定理,再由四边形APBQ的面积S=|PQ|×|x1﹣x2|,即可得到最大值;(2)当∠APQ=∠BPQ时,PA、PB的斜率之和为0,设直线PA的斜率为k,则PB的斜率为﹣k,将PA、PB的直线方程分别代入椭圆方程,然后运用韦达定理,求出x1,x2,再由而k AB=化简即可得到定值.解答:解:(1)设A(x1,y1),B(x2,y2),直线AB的方程为y=x+t,代入+=1中整理得x2+tx+t2﹣12=0,△>0⇒﹣4<t<4,x1+x2=﹣t,x1x2=t2﹣12,则四边形APBQ的面积S=|PQ|×|x1﹣x2|=6×|x1﹣x2|=3,故当t=0时S max=12;(2)当∠APQ=∠BPQ时,PA、PB的斜率之和为0,设直线PA的斜率为k,则PB的斜率为﹣k,PA的直线方程为y﹣3=k(x﹣2),代入+=1中整理得(3+4k2)x2+8(3﹣2k)kx+4(3﹣2k)2﹣48=0,2+x1=,同理2+x2=,x1+x2=,x1﹣x2=,从而k AB===,即直线AB的斜率为定值.点评:本题考查椭圆的方程及联立直线方程消去一个未知数,得到二次方程,运用韦达定理求解,考查基本的运算能力,属于中档题.21.已知函数f(x)=xlnx,g(x)=2x﹣3(1)证明:f(x)>g(x);(2)证明:(1+1×2)(1+2×3)…(1+2014×2015)>e2×2014﹣3.考点:利用导数研究函数的单调性.专题:导数的综合应用.分析:(1)构造函数F(x)=f(x)﹣g(x),利用导数求出函数的最小值为3﹣e,问题得证.(2)由题意得得,令x=1+n(n+1),利用放缩法加以证明.解答:证明:(1)令F(x)=f(x)﹣g(x)=xlnx﹣2x+3,(x>0)∴F'(x)=lnx+1﹣2=lnx﹣1,令F'(x)=0,解得x=e,∴x∈(0,e),F'(x)<0,x∈(e,+∞),F'(x)>0,∴当x=e时函数F(x)有最小值,即为F(e)=elne﹣2e+3=3﹣e>0,故f(x)>g(x).(2)由(1)xlnx>2x﹣3,得,令x=1+n(n+1),故,∴=即ln>2×2014﹣3则(1+1×2)(1+2×3)…(1+2014×2015)>e2×2014﹣3成立.故问题得以证明.点评:本题主要考查了导数以函数的最值的关系,以及利用放缩法证明不等式成立的问题,属于中档题.【选修4-5:不等式选讲】22.已知a,b,c∈R+,a+b+c=,求证:a2+b2+c2≥1.考点:不等式的证明.专题:证明题;不等式的解法及应用.分析:利用基本不等式、以及不等式的性质,证得要证的不等式.解答:证明:依题意得:(a+b+c)2=a2+b2+c2+2ab+2bc+2ac≤a2+b2+c2+(a2+b2)+(b2+c2)+(a2+c2)=3(a2+b2+c2).∵a+b+c=,∴a2+b2+c2≥1.点评:本题主要考查利用基本不等式、不等式的性质,利用综合法证明不等式,属于中档题.。
广西南宁三中2015届高三上学期第二次月考数学试卷(理科)一、选择题:本大题共12小题,每小题5分,共60分.在每小题给出的四个选项中,只有一个选项是符合题目要求的.1.设集合S={x|x>﹣2},T={x|x2+3x﹣4≤0},则(∁R S)∪T=( )A.(﹣2,1] B.(﹣∞,﹣4] C.(﹣∞,1] D.点评:本题考查由三视图还原几何体的直观图,解题时要注意,本题要求组合体的表面积,注意有一部分面积在两个图形拼接时去掉了,注意运算时不要忽略.6.有两个等差数列{a n},{b n},它们的前n项和分别为S n,T n,若=,则=( )A.B.C.D.考点:等差数列的性质.专题:等差数列与等比数列.分析:由等差数列的性质把要求的比值,通过等差数列的求和公式转化为它们前n项和的比值,代公式即可得答案.解答:解:在等差数列中,S2n﹣1=(2n﹣1)a n,∴,故选:A.点评:本题考查等差数列的性质与求和公式,准确转化是解决问题的关键,属中档题.7.执行如图所示的程序框图,则输出的S值是( )A.﹣1 B.C.D.4考点:循环结构.专题:计算题.分析:直接利用循环结构,计算循环各个变量的值,当i=9<9,不满足判断框的条件,退出循环输出结果即可.解答:解:第1次判断后循环,S=﹣1,i=2,第2次判断后循环,S=,i=3,第3次判断后循环,S=,i=4,第4次判断后循环,S=4,i=5,第5次判断后循环,S=﹣1,i=6,第6次判断后循环,S=,i=7,第7次判断后循环,S=,i=8,第8次判断后循环,S=4,i=9,第9次判断不满足9<8,推出循环,输出4.故选D.点评:本题考查循环框图的作用,正确计算循环变量的数值,是解题的关键,考查计算能力.8.已知直线l1:4x﹣3y+6=0和直线l2:x=﹣1,抛物线y2=4x上一动点P到直线l1和直线l2的距离之和的最小值是( )A.2 B.3 C.D.考点:直线与圆锥曲线的关系;点到直线的距离公式.专题:计算题.分析:先确定x=﹣1为抛物线y2=4x的准线,再由抛物线的定义得到P到l2的距离等于P到抛物线的焦点F(l2,0)的距离,进而转化为在抛物线y2=4x上找一个点P使得P到点F(l2,0)和直线l2的距离之和最小,再由点到线的距离公式可得到距离的最小值.解答:解:直线l2:x=﹣1为抛物线y2=4x的准线,由抛物线的定义知,P到l2的距离等于P到抛物线的焦点F(l2,0)的距离,故本题化为在抛物线y2=4x上找一个点P使得P到点F(l2,0)和直线l2的距离之和最小,最小值为F(l2,0)到直线l2:4x﹣3y+6=0的距离,即d=,故选A.点评:本小题考查抛物线的定义、点到直线的距离,考查基础知识的综合应用.圆锥曲线是2015届高考的热点也是难点问题,一定要强化复习.9.若函数y=f(x)+cosx在上单调递减,则f(x)可以是( ) A.1 B.cosx C.﹣sinx D.sinx考点:函数单调性的判断与证明.专题:函数的性质及应用.分析:由三角函数的单调性,代入选项,化简后可得单调性,进而可得答案.解答:解:代入验证:A,y=1+cosx在上单调递增,上单调递减,故错误;B,y=2cosx在上单调递增,上单调递减,故错误;C,y=﹣sinx+cosx=cos(x+),由x+∈,可得x∈,故函数在上单调递减,故正确;D,y=sinx+cosx=cos(x﹣),由x﹣∈,可得x∈,故函数在上单调递减,故错误.故选C点评:本题考查三角函数的单调性,涉及三角函数公式的应用,属基础题.10.如图,正方形街道OABC,已知小白从A出发,沿着正方形边缘A﹣B﹣C匀速走动,小白与O连线扫过的正方形内阴影部分面积S是时间t的函数,这个函数的大致图象是( )A.B.C.D.考点:函数的图象.专题:常规题型;函数的性质及应用.分析:利用面积公式,确定是一次函数即可.解答:解:设小白速度为v,则在OB段时,t时刻的面积,面积成匀速变化,故图象为线段,同理,BC段也是线段.故选:A.点评:本题考查了函数的图象的特征,属于基础题.11.设F1,F2是双曲线的两个焦点,P是C上一点,若|PF1|+|PF2|=6a,且△PF1F2的最小内角为30°,则C的离心率为( ) A.B.C.D.考点:双曲线的简单性质.专题:圆锥曲线的定义、性质与方程.分析:利用双曲线的定义和已知即可得出|PF1|,|PF2|,进而确定最小内角,再利用余弦定理和离心率计算公式即可得出.解答:解:不妨设|PF1|>|PF2|,则|PF1|﹣|PF2|=2a,又|PF1|+|PF2|=6a,解得|PF1|=4a,|PF2|=2a.则∠PF1F2是△PF1F2的最小内角为30°,∴﹣,∴(2a)2=(4a)2+(2c)2﹣,化为=0,解得.故选C.点评:熟练掌握双曲线的定义、离心率计算公式、余弦定理是解题的关键.12.小白散步后不慎走丢了,家里很着急,小新和阿呆等6人分配到A,B,C三条街道中寻找,每条街道至少安排1人,其中小新和阿呆同组,且小新不能分配到A街道,则不同的分配方案有( )种.A.132 B.150 C.80 D.100考点:排列、组合及简单计数问题.专题:排列组合.分析:由题意小新和阿呆同组,可将他们看成1个单位,故总体个数为5,则可分为3﹣1﹣1,2﹣2﹣1两种情况,小新和阿呆分到哪一组都概率一样,根据据分类计数原理求得答案.解答:解:小新和阿呆同组,可将他们看成1个单位,故总体个数为5,则可分为3﹣1﹣1,2﹣2﹣1两种情况,小新和阿呆分到哪一组都概率一样,小新不能分配到A街道,第一种情况,有•=40种,第二种情况,有•=60种,根据分类计数原理得,不同的分配方案有40+60=100种.故选:D.点评:本题主要考查了分组分配的问题,小新不能分配到A街道,利用概率解答方便快捷,属于基础题.二、填空题:本大题共四小题,每题5分.13.在面积为S的矩形ABCD内随机取一点P,则△PBC的面积小于的概率是.考点:几何概型.专题:计算题.分析:根据△PBC的面积小于S时,可得点P所在区域的面积为矩形面积的一半,从而可求相应概率.解答:解:设P到BC的距离为h∵矩形ABCD的面积为S,∴△PBC的面积小于S 时,h≤BC∴点P所在区域的面积为矩形面积的一半,∴△PBC的面积小于S 的概率是故答案为:点评:本题考查几何概型,解题的关键是根据△PBC的面积小于S时,确定点P所在区域的面积为矩形面积的一半14.如图,在△ABC中,∠B=45°,D是BC边上的一点,AD=5,AC=7,DC=3,则AB的长为.考点:余弦定理.专题:综合题.分析:先根据余弦定理求出∠ADC的值,即可得到∠ADB的值,最后根据正弦定理可得答案.解答:解:在△ADC中,AD=5,AC=7,DC=3,由余弦定理得cos∠ADC==﹣,∴∠ADC=120°,∠ADB=60°在△ABD中,AD=5,∠B=45°,∠ADB=60°,由正弦定理得,∴AB=故答案为:.点评:本题主要考查余弦定理和正弦定理的应用,在解决问题的过程中要灵活运用正弦定理和余弦定理.属基础题.15.在平面直角坐标系中,若不等式组(a为常数)所表示的平面区域内的面积等于2,则a=3.考点:简单线性规划.分析:先根据约束条件(a为常数),画出可行域,求出可行域顶点的坐标,再利用几何意义求关于面积的等式求出a值即可.解答:解:当a<0时,不等式组所表示的平面区域,如图中的M,一个无限的角形区域,面积不可能为2,故只能a≥0,此时不等式组所表示的平面区域如图中的N,区域为三角形区域,若这个三角形的面积为2,则AB=4,即点B的坐标为(1,4),代入y=ax+1得a=3.故答案为:3.点评:本题主要考查了用平面区域二元一次不等式组,以及简单的转化思想和数形结合的思想,属中档题.16.已知函数f(x)=则方程f(x)=ax恰有两个不同实数根时,实数a的取值范围是(2)求二面角A﹣PB﹣E的大小.考点:二面角的平面角及求法;空间中直线与直线之间的位置关系.专题:空间位置关系与距离;空间角.分析:(1)连结PD,由已知得PD⊥AB,BC⊥AB,DE⊥AB,由此能证明AB⊥PE.(2)由已知得PD⊥AB,PD⊥平面ABC,DE⊥PD,ED⊥AB,从而DE⊥平面PAB,过D做DF垂直PB与F,连接EF,则EF⊥PB,∠DFE为所求二面角的平面角,由此能求出二面角的A﹣PB﹣E 大小.解答:(1)证明:连结PD,∵P A=PB,∴PD⊥AB.∵DE∥BC,BC⊥AB,DE⊥AB.又∵PD∩DE=E,∴AB⊥平面PDE,∵PE⊂平面PDE,∴AB⊥PE.(2)解:∵平面PAB⊥平面ABC,平面PAB∩平面ABC=AB,PD⊥AB,PD⊥平面ABC.则DE⊥PD,又ED⊥AB,PD∩平面AB=D,DE⊥平面PAB,过D做DF垂直PB与F,连接EF,则EF⊥PB,∴∠DFE为所求二面角的平面角∴DE=,DF=,则,故二面角的A﹣PB﹣E大小为60°.点评:本题考查异面直线垂直的证明,考查二面角的大小的求法,解题时要认真审题,注意空间思维能力的培养.20.已知椭圆C方程为+=1,已知P(2,3)、Q(2,﹣3)是椭圆上的两点,A,B是椭圆上位于直线PQ两侧的动点.(1)若直线AB的斜率为,求四边形APBQ面积的最大值;(2)当A、B运动时,满足∠APQ=∠BPQ,试问直线AB的斜率是否为定值,请说明理由.考点:椭圆的简单性质.专题:计算题;圆锥曲线的定义、性质与方程;圆锥曲线中的最值与范围问题.分析:(1)设A(x1,y1),B(x2,y2),直线AB的方程为y=x+t,代入+=1中整理得到二次方程,运用韦达定理,再由四边形APBQ的面积S=|PQ|×|x1﹣x2|,即可得到最大值;(2)当∠APQ=∠BPQ时,PA、PB的斜率之和为0,设直线PA的斜率为k,则PB的斜率为﹣k,将PA、PB的直线方程分别代入椭圆方程,然后运用韦达定理,求出x1,x2,再由而k AB=化简即可得到定值.解答:解:(1)设A(x1,y1),B(x2,y2),直线AB的方程为y=x+t,代入+=1中整理得x2+tx+t2﹣12=0,△>0⇒﹣4<t<4,x1+x2=﹣t,x1x2=t2﹣12,则四边形APBQ的面积S=|PQ|×|x1﹣x2|=6×|x1﹣x2|=3,故当t=0时S max=12;(2)当∠APQ=∠BPQ时,PA、PB的斜率之和为0,设直线PA的斜率为k,则PB的斜率为﹣k,PA的直线方程为y﹣3=k(x﹣2),代入+=1中整理得(3+4k2)x2+8(3﹣2k)kx+4(3﹣2k)2﹣48=0,2+x1=,同理2+x2=,x1+x2=,x1﹣x2=,从而k AB===,即直线AB的斜率为定值.点评:本题考查椭圆的方程及联立直线方程消去一个未知数,得到二次方程,运用韦达定理求解,考查基本的运算能力,属于中档题.21.已知函数f(x)=xlnx,g(x)=2x﹣3(1)证明:f(x)>g(x);(2)证明:(1+1×2)(1+2×3)…(1+2014×2015)>e2×2014﹣3.考点:利用导数研究函数的单调性.专题:导数的综合应用.分析:(1)构造函数F(x)=f(x)﹣g(x),利用导数求出函数的最小值为3﹣e,问题得证.(2)由题意得得,令x=1+n(n+1),利用放缩法加以证明.解答:证明:(1)令F(x)=f(x)﹣g(x)=xlnx﹣2x+3,(x>0)∴F'(x)=lnx+1﹣2=lnx﹣1,令F'(x)=0,解得x=e,∴x∈(0,e),F'(x)<0,x∈(e,+∞),F'(x)>0,∴当x=e时函数F(x)有最小值,即为F(e)=elne﹣2e+3=3﹣e>0,故f(x)>g(x).(2)由(1)xlnx>2x﹣3,得,令x=1+n(n+1),故,∴=即ln>2×2014﹣3则(1+1×2)(1+2×3)…(1+2014×2015)>e2×2014﹣3成立.故问题得以证明.点评:本题主要考查了导数以函数的最值的关系,以及利用放缩法证明不等式成立的问题,属于中档题.【选修4-5:不等式选讲】22.已知a,b,c∈R+,a+b+c=,求证:a2+b2+c2≥1.考点:不等式的证明.专题:证明题;不等式的解法及应用.分析:利用基本不等式、以及不等式的性质,证得要证的不等式.解答:证明:依题意得:(a+b+c)2=a2+b2+c2+2ab+2bc+2ac≤a2+b2+c2+(a2+b2)+(b2+c2)+(a2+c2)=3(a2+b2+c2).∵a+b+c=,∴a2+b2+c2≥1.点评:本题主要考查利用基本不等式、不等式的性质,利用综合法证明不等式,属于中档题.。
2023届高三年级9月月考理科数学(考试时间120分钟满分150分)第I 卷(选择题,共60分)一、选择题:(本题共12小题,每小题5分,共60分。
在每小题给出的四个选项中,只有一项是符合题目)1.设集合{}2|30M x x x =-≤,{}|14N x x =<<,则M N = ()A .{}|01x x ≤<B .{}|13x x <≤C .{}|34x x ≤<D .{}|04x x ≤<2.已知复数324i1i z -=+,则z =()AB C .D .3.已知n S 为等差数列{}n a 的前n 项和,若3715,35a a ==,则9S =()A .225B .350C .400D .4504.电子商务发展迅速,某螺蛳粉网店2021年全年的月收支数据如图所示,则针对2021年这一年的收支情况,下列说法中错误的...是()A .月收入的最大值为90万元,最小值为30万元B .7月份的利润最大C .这12个月利润的中位数与众数均为30D .这一年的总利润超过400万元5.函数()()ee sin 2xx x f x --=的大致图象是()A .B .C .D .6.方程22123x y m m +=-+表示双曲线的一个充分不必要条件是()A .30m -<<B .32m -<<C .34m -<<D .3m <7.若函数()ax x x f -=ln 在区间()∞+,0上的最大值为0,则()=e f ()A .0B .e1C .1D .e8.《九章算术》是中国古代第一部数学专著,是《算经十书》中最重要的一种,成于公元一世纪左右,它是一本综合性的历史著作,是当时世界上最简练有效的应用数学.“更相减损术”便是《九章算术》中记录的一种求最大公约数的算法,按其算理流程有如下流程框图,若输入的a ,b 分别为91,39,则输出的i =()A .5B .4C .3D .29.椭圆2222:1(0)x y C a b a b+=>>的上顶点为A ,点P ,Q 均在C 上,且关于x 轴对称.若直线,AP AQ 的斜率之积为43,则C 的离心率为()A .32B .22C .12D .1310.如图,半径为1的四分之一球形状的玩具储物盒,放入一个玩具小球,合上盒盖,当小球的半径最大时,小球的表面积为()A .πB .2πC .()322π-D .()1282π-11.已知函数()sin 2cos 2f x a x b x =+,其中,,0a b ab ∈≠R .若()π6f x f ⎛⎫≤ ⎪⎝⎭对一切的x ∈R 恒成立,且π02f ⎛⎫> ⎪⎝⎭,则函数()f x 的一个单调递减区间为()A .π2π,63⎡⎤⎢⎥⎣⎦B .π3π,22⎡⎤⎢⎥⎣⎦C .4π7π,33⎡⎤⎢⎥⎣⎦D .2π7π,36⎡⎤⎢⎥⎣⎦12.已知函数2()2cos f x x x =+,设()()2.03.03.0,2.0f b f a ==,()2log 2.0f c =,则()A .c b a >>B .c a b >>C .c a b >>D .a b c>>第II 卷(非选择题,共90分)二、填空题(本题共4小题,每小题5分,共20分)13.已知向量()0,1a =- ,4b = ,22a b ⋅=,则a 与b 的夹角为________.14.6211(1)x x ⎛⎫++ ⎪⎝⎭展开式中3x 的系数为______.15.已知数列{}n a 的前n 项和为n S ,11a =,13n n S a +=,则n S =___________.16.在棱长为1的正方体1111A B C D ABCD -中,M 为底面ABCD 的中心,Q 是棱11A D 上一点,且111D Q D A λ=,[0,1]λ∈,N 为线段AQ 的中点,给出下列命题:①Q N M C ,,,四点共面;②三棱锥A DMN -的体积与λ的取值有关;③当 90=∠QMC 时,0=λ;④当21=λ时,过A ,Q ,M322.其中正确的有___________(填写序号).三、解答题(本题共6小题,共70分.解答应写出文字说明、证明过程或演算步骤.第17~21题为必考题,每个试题考生都必须作答.第22、23题为选考题,考生根据要求作答)17.(本小题满分12分)在ABC 中,角A ,B ,C 所对的边分别为a ,b ,ccos 2B C a c =-.(1)求角B .(2)若AC 边上的中线长为52,求ABC 的面积.18.(本小题满分12分)某学校社团为调查学生课外阅读的情况,随机抽取了100名学生进行调查,并根据调查结果绘制了学生日均课外阅读时间的频率分布直方图(如图所示),将日均课外阅读时间不低于40min 的学生称为“读书迷”.(1)请根据已知条件完成上面2×2列联表,并判断是否有95%的把握认为“读书迷”与性别有关;(2)为了进一步了解“读书迷”的阅读情况,从“读书迷”中按性别分层抽样抽取5名学生组队参加校际阅读交流活动该校需派3名学生参加,若从5名学生中随机抽取3人参加,设被抽中的男同学人数为ξ,求ξ的分布列和期望.附表:()2P K k ≥0.150.100.050.0250.0100.0050.001k2.0722.7063.8415.0246.6357.87910.828(参考公式:22()()()()()n ad bc K a b c d a c b d -=++++,其中n a b c d =+++)非读书迷读书迷总计男女1055总计19.(本小题满分12分)如图,在四棱锥P ABCD -中,平面PAB ⊥平面ABCD ,底面ABCD 为菱形,2PA PB AB ===,E 为AD 中点.(1)证明:AC PE ⊥;(2)若AC=2,F 点在线段AD 上,当直线PF 与平面PCD 所成角的正弦值为41,求AF 的长.20.(本小题满分12分)已知圆()()229:4C x a y b -+-=的圆心C 在抛物线()220x py p =>上,圆C 过原点且与抛物线的准线相切.(1)求该抛物线的方程;(2)过抛物线焦点F 的直线l 交抛物线于A ,B 两点,分别在点A ,B 处作抛物线的两条切线交于P 点,求三角形PAB 面积的最小值及此时直线l 的方程.21.(本小题满分12分)已知函数2(1)1()(0)e 2x a x f x a +=+≠.(1)讨论()x f 的单调性;(2)若函数()f x 有两个零点12,x x ,证明:120x x +>,并指出a 的取值范围.请考生在22,23题中任选一题作答,如果多做,则按所做的第一题计分。
广西南宁市第三中学2023-2024学年高三上学期12月月考数学试题一、单选题1.设集合{}ln A x y x ==,{}21B y y x ==+,则()R A B ⋂=ð( )A .()0,1B .(]0,1C .[)0,1D .[]0,12.复数z 满足()22i i z -=-,则z 在复平面内对应的点位于( ) A .第一象限B .第二象限C .第三象限D .第四象限3.设5log 2a =,ln 2b =,0.20.5c -=,则a ,b ,c 的大小关系为( ) A .a c b <<B .a b c <<C .b<c<aD .c a b <<4.小明在设置银行卡的数字密码时,计划将自己出生日期的后6个数字0,5,0,9,1,9进行某种排列得到密码.如果排列时要求两个9相邻,两个0也相邻,则小明可以设置多少个不同的密码( ) A .16B .24C .166D .1805.已知双曲线22221(0,0)x y a b a b-=>>的一条渐近线与圆22:40C x x y -+=交于,A B 两点,且ABC V 是正三角形,则双曲线的离心率为( )AB .2C D 6.已知样本数据131x +,231x +,331x +,431x +,531x +,631x +的平均数为16,方差为9,则另一组数据1x ,2x ,3x ,4x ,5x ,6x ,12的方差为( ). A .467B .477C .487D .77.已知数列{}12,2,0n a a a ==,且()221nn n a a +=+⋅-,则数列{}n a 的前2024项之和为( ) A .1012 B .2022C .2024D .40488.若ln ln e ax xx a a x-≥-恒成立,则实数a 的取值范围为( )A .1,e ∞⎡⎫+⎪⎢⎣⎭B .[)1,+∞C .)+∞D .[)e,+∞二、多选题9.如图所示,M 是四面体OABC 的棱BC 的中点,点N 在线段OM 上,点P 在线段AN 上,且3AP PN =,23ON OM u u u r u u u u r =,设OA a =u u u r r ,OB b =u u u r r ,OC c =u u ur r ,则下列等式成立的是( )A .1122OM b c =-r r u u u u rB .1133AN b c a =+-u u u r r r rC .113444AP b c a =--u u u r r r rD .111444OP a b c =++r r u u u r r10.已知函数()()π2sin 0,2f x x ωϕωϕ⎛⎫=+>< ⎪⎝⎭的部分图象,则( )A .2ω=B .π3ϕ=C .点π,06⎛⎫⎪⎝⎭是()f x 图象的一个对称中心D .()f x 的图象向左平移5π12个单位后所对应的函数为偶函数11.如图,在棱长为2的正方体1111ABCD A B C D -中,Q 为线段11B C 的中点,P 为线段1CC 上的动点(含端点),则下列结论错误的是( )A .三棱锥1D D PQ -的体积为定值B .直线DP 与直线1A B 所成角的取值范围为ππ,42⎡⎤⎢⎥⎣⎦C .DP PQ +D .P 为线段1CC 的中点时,过,,D P Q 三点的平面截正方体1111ABCD A B C D -所得的截面12.已知函数()f x 是定义在R 上的奇函数,且()1f x +是偶函数,当(]0,1x ∈时,()21xf x =-,则下列选项中正确的是( )A .()f x 关于=1x -对称B .()f x 是周期为4的函数C .()2999log 20231024f =-D .()202311i f i ==∑三、填空题13.二项式61(x-的展开式中的常数项为.14.已知平面向量a r ,b r ,2a =r ,1b =r ,a r 与b r夹角是π3,则2a b -=r r .15.已知,αβ为锐角,()2cos sin 4,cos sin cos αααβαα+=+=-,则()tan αβ-=. 16.双曲线()2222:10,0x y C a b a b-=>>的右焦点为F ,O 为坐标原点,以F 为圆心,OF 为半径的圆与C 和C 的渐近线在第一象限分别交于M ,N 两点,线段MF 的中点为P .若ON OP =,则C 的离心率为.四、解答题17.已知四边形ABCD 内接于O e ,若1,3,2AB BC CD DA ====(1)求O e 的半径长.(2)若60BPD ∠=︒,求BDP ∆面积的取值范围. 18.已知数列{}n a 满足21321n a a a n n +++=-L ,12231111n n n T a a a a a a +=+++L . (1)求数列{}n a 的通项公式;(2)若49n n T a λ≤+对任意*n ∈N 恒成立,求实数λ的取值范围.19.为丰富学生的课外活动,学校羽毛球社团举行羽毛球团体赛,赛制采取5局3胜制,即某队先赢得3局比赛,则比赛结束且该队获胜,每局都是单打模式,每队有5名队员,比赛中每个队员至多上场一次目上场顺序是随机的,每局比赛结果互不影响,经过小组赛后,最终甲乙两队进入最后的决赛,根据前期比赛的数据统计,甲队明星队员M 对乙队的每名队员的胜率均为23,甲队其余4名队员对乙队每名队员的胜率均为13.(注:比赛结果没有平局)(1)若求甲队明星队员M 在前三局比赛中出场,记前三局比赛中,甲队获胜局数为X ,求随机变量X 的分布列及数学期望;(2)已知甲乙两队比赛3局,若甲队以3:0获得最终胜利,求甲队明星队员M 上场的概率. 20.如图,四棱锥P ABCD -内,PB ⊥平面ABCD ,四边形ABCD 为正方形,2AB =,BP =P 的直线l 交平面ABCD 于正方形ABCD 内的点M ,且满足平面PAM ⊥平面PBM .(1)求点M 的轨迹长度;(2)当点M 到面PBC 的距离为12时,求二面角M AP B --的余弦值.21.已知抛物线24,x y Q =为抛物线外一点,过点Q 作抛物线的两条切线,切点分别为,A B (,A B 在y 轴两侧),QA 与QB 分别交x 轴于,M N .(1)若点Q 在直线=2y -上,证明直线AB 过定点,并求出该定点; (2)若点Q 在曲线222x y =--上,求四边形AMNB 的面积的范围. 22.已知函数()()ln 1f x ax x x =++.(1)求曲线()y f x =在点()()0,0f 处的切线方程;(2)若0是函数()()e xg x f x =-的极小值点,求实数a 的取值范围.。
高三上学期第三次月考数学试卷(附答案解析)考试时间:120分钟;总分:150分学校:___________姓名:___________班级:___________第I卷(选择题)一、单选题(本大题共8小题,共40分。
在每小题列出的选项中,选出符合题目的一项)1. 已知集合A={−1,0,1,2,},B={x∈Z|x−2x≤0},则A∩B=( )A. {0,1}B. {1,2}C. {−1,1,2}D. {0,1,2}2. 若复数z=a+2i2−i(a∈R)为纯虚数,则a=( )A. −4B. −2C. −1D. 13. 已知向量a=(1,−1),b=(1,t),若〈a,b〉=π3,则t=( )A. 2−3B. 2+3C. 2+3或2−3D. −14. 若函数f(x)=1−cosxsinx(x∈[π3,π2]),则f(x)的值域为( )A. [3,+∞)B. [33,+∞)C. [1,3]D. [33,1]5. 正四面体S−ABC内接于一个半径为R的球,则该正四面体的棱长与这个球的半径的比值为( )A. 64B. 33C. 263D. 36. 在给某小区的花园绿化时,绿化工人需要将6棵高矮不同的小树在花园中栽成前后两排,每排3棵,则后排的每棵小树都对应比它前排每棵小树高的概率是( )A. 13B. 16C. 18D. 1127. 如图,圆内接四边形ABCD中,DA⊥AB,∠D=45°,AB=2,BC=22,AD=6.现将该四边形沿AD旋转一周,则旋转形成的几何体的体积为( )A. 84π3B. 30πC. 92π3D. 40π8. 函数f(x)的定义域为R,且f(x)−f(x+4)=0,当−2≤x<0时,f(x)=(x+1)2,当0≤x<2时,f(x)=1−x,则n=12022f(n)=( )A. 1010B. 1011C. 1012D. 1013二、多选题(本大题共4小题,共20分。
南宁三中上学期高三月考(一)文科数学试题一、选择题:本题共12小题,每小题5分,共60分。
在每小题给出的四个选项中,只有一项是符合题目要求的。
1. 已知U R =,集合}{|22A x x x =<->或,则U A =ð( )A. ()2,2-B. ()(),22,-∞-+∞C. []2,2-D. ](),22,-∞-+∞⎡⎣2. 已知i 是虚数单位,则复数()()112i i -+=( ) A. 13i -+B. 1i -+C. 33i +D. 3i +3. 甲、乙两人下棋,两人下成和棋的概率是12,甲获胜的概率是13,则甲不输的概率为( ) A.56B.25C. 16D. 134. 若双曲线方程为2213y x -=,则其渐近线方程为( )A. 2y x =±B. y =C. y x =D. 12y x =±5. 在等差数列{}n a 中,若67812a a a ++=,则该数列的前13项之和为( ) A. 24B. 52C. 56D. 1046. 已知程序框图如图所示,该程序运行后,为使输出b 的值为16,则循环体的判断框内①处应填( ) A. 3a > B. 3a ≥ C. 3a ≤D. 3a <7. 函数cos sin y x x x =+的图象大致为( )8. 中国古代数学名著《九章算术》中,将底面是直角三角形的直棱柱称为“堑堵”.已知某“堑堵”的正视图和俯视图如右图所示,则该“堑堵”的左视图的面积为( )A.B.C.D.9. 已知奇函数()f x 在R 上是增函数,若21(log )5a f =-,()2log 4.1b f =,()0.82c f =,则,,a b c 的大小关系为( ) A. c a b <<B. c b a <<C. a b c <<D. b a c <<10. 已知函数()sin() (0)3f x x πωω=+>的最小正周期为π,则该函数的图象( )A. 关于点(,0)3π对称 B. 关于直线3x π=对称 C. 关于点(,0)4π对称D. 关于直线4x π=对称11. 已知抛物线2:8C y x =的焦点为F ,准线为l ,P 是l 上一点,Q 是直线PF 与C 的一个交点,若3FP FQ =,则QF =( ) A. 3B. 2C.52D.8312. 设直线1l ,2l 分别是函数ln , 01()ln , 1x x f x x x -<<⎧=⎨>⎩图象上点1P ,2P 处的切线,1l 与2l 垂直相交于点P ,且1l ,2l 分别与y 轴相交于点,A B ,则PAB ∆的面积的取值范围是( )A. (0,1)B. (0,2)C. (1,2)D. (1,)+∞二、填空题:本题共4小题,每小题5分,共20分。
2024-2025学年广西南宁二中高三(上)月考数学试卷(10月份)一、单选题:本题共8小题,每小题5分,共40分。
在每小题给出的选项中,只有一项是符合题目要求的。
1.已知复数z =1+ii ,其中i 为虚数单位,则|z|=( )A. 12B.22C.2 D. 22.已知向量a =(1,3),b =(t,1),若(a−b )//b ,则实数t 的值为( )A. 13B. 3C. −1D. −1或23.体育老师记录了班上10名同学1分钟内的跳绳次数,得到如下数据:88,94,96,98,98,99,100,101,101,116.这组数据的60%分位数是( )A. 98B. 99C. 99.5D. 1004.已知圆柱和圆锥的高相等,底面半径均为2,若圆柱的侧面积是圆锥的侧面积的2倍,则圆柱的表面积为( )A. 8πB. 12πC. 16πD. 24π5.设等差数列{a n }的前n 项和为S n ,若S 10−S 3=35,a 3+a 10=7,则{a n }的公差为( )A. 1B. 2C. 3D. 46.函数f(x)=x 3+e x −ax 在区间[0,+∞)上单调递增,则实数a 的取值范围是( )A. [0,1)B. (0,1]C. [1,+∞)D. (−∞,1]7.已知f(x)=sin (x +π2),g(x)=cos (x−π2),则下列结论中不正确的是( )A. 函数y =f(x)⋅g(x)的最小正周期为πB. 函数y =f(x)⋅g(x)的最大值为12C. 函数y =f(x)⋅g(x)的图象关于点(π4,0)成中心对称D. 将函数f(x)的图象向右平移π2个单位后得到函数g(x)的图象8.已知函数f(x)的定义域为R ,f(x)−1为奇函数,f(x +2)为偶函数,则f(1)+f(2)+⋯+f(16)=( )A. 0B. 16C. 22D. 32二、多选题:本题共3小题,共18分。
在每小题给出的选项中,有多项符合题目要求。
广西南宁市第三中学2022届高三12月月考数学(理)试题学校:___________姓名:___________班级:___________考号:___________ 一、单选题1.设集合{}24M x x =≤≤,{}35N x x =<≤,则M N =( )A .{}23x x ≤≤B .{}34x x ≤≤C .{}34x x <≤D .{}25x x ≤≤2.若()1i 1i z +=-,则z =( ) A .1i - B .1i + C .i - D .i3.已知数列{}n a 是单调递减的等差数列,2a 、4a 分别是方程2650x x -+=的两根,则5a =( ) A .7B .3C .1D .1-4.已知双曲线()22210y x b b-=>的焦距为 )A .y =B .y x =C .y =D .y = 5.某几何体的三视图如图所示,则该几何体的体积是( )A .83B .2C .8D .46.设0.33a =, 1.212b -⎛⎫= ⎪⎝⎭,0.6log 0.8c =,则a ,b ,c 的大小关系为( ) A .a b c <<B .b a c <<C .c b a <<D .c a b <<7.已知函数()321x x f x e =-,则()f x 的大致图像为( )A .B .C .D .8.已知圆C 的圆心在直线6y x =上,且与直线:10l x y +-=相切于点()2,3-,则圆C 方程为( )A .()()221618x y +++= B .2218x y +=C .()()221618x y -+-=D .()()221612x y -+-=9.()262y x x y x ⎛⎫-+ ⎪⎝⎭的展开式中34x y 的系数为( )A .45B .30C .20D .1510.球O 为三棱锥P ABC -的外接球,ABC 和PBC 都是边长为平面PBC ⊥平面ABC ,则球的表面积为( ) A .28πB .20πC .18πD .16π11.在正整数数列中,由1开始依次按如下规则取它的项:第一次取1;第二次取2个连续偶数2,4;第三次取3个连续奇数5,7,9;第四次取4个连续偶数10,12,14,16,;第五次取5个连续奇数17,19,21,23,25;按此规律取下去,得到一个数列1,2,4,5,7,9,10,12,14,16,17,19,…,则在这个数列中第2021个数是( ) A .3976B .3974C .3978D .397312.已知定义在R 上的可导函数()f x ,对x R ∀∈,都有()()2xf x e f x -=,当0x >时()()0f x f x '+<,若()()211211a a e f a e f a -+-≤+,则实数a 的取值范围是( )A .[]0,2B .(][),12,-∞-⋃+∞C .(][),02,-∞⋃+∞D .[]1,2-二、填空题13.设{}n a 是等比数列,且1231a a a ++=,2342a a a ++=,则数列{}n a 的公比q =______.14.已知()3,0a =-,()3,4b =,则2a b +=______.15.已知O 为坐标原点,抛物线()2:20C y px p =>的焦点为F ,P 为C 上一点,PF与x 轴垂直,Q 为x 轴上一点,且PQ OP ⊥,若4FQ =,则C 的准线方程为______. 16.函数()()()sin 0,0f x A x ωϕωϕπ=+><<的部分图像如图所示,有以下结论:①()f x 的最小正周期2T =; ①()f x 的最大值为A ;①()f x 图像的一条对称轴为直线14x =-; ①()f x 在11,2⎛⎫-- ⎪⎝⎭上单调递增.则正确结论的序号为______. 三、解答题17.在ABC 中,内角A ,B ,C 所对的边分别为a ,b ,c 2sin 3c B ⎛⎫=+ ⎪⎝⎭.(1)求角C 的大小;(2)若5a b +=,求ABC 周长的取值范围.18.为推进碳达峰碳中和的目标,2021年4月某新能源公司在室内开展了“低碳出行,绿色减排”活动,向全市投放了1000辆新能源电动车,免费试用5个月.试用到期后,为了解男女试用者对该新能源车性能的评价情况,公司对申请使用的试用者进行了满意度评分调查(满分为100分),最后该公司共收回400份评分表,然后从中随机抽取40份(男女各20份)作为样本,绘制了如下茎叶图:(1)求40个样本数据的中位数m ,并说明男性与女性谁对新能源电动车的满意度更高; (2)假设该公司规定样本中试用者的“认定类型”:评分不小于m 的为“满意型”,评分小于m 的为“需改进型”,为做好车辆改进工作,公司先从样本“需改进型”的试用者按性别分别用分层抽样的方法,从中抽取8人进行回访,根据回访意见改进车辆后,再从这8人中随机抽取3人进行二次试用,记这3人中男性人数为X ,求X 的分布列及数学期望.19.如图,四棱锥P ABCD -的底面ABCD 是平行四边形,3BAD π∠=,4AB =,1BC =,AD PD ⊥.M 是AB 的中点,点N 在PC 上,12CN NP =.(1)证明:平面PDM ⊥平面ABCD ;(2)若PM MD ⊥,3PC =,求二面角A DM N --的余弦值.20.已知椭圆C 的中心在原点,焦点在x 轴上,短轴长为1 (1)求椭圆C 的方程;(2)若过(),0P 的直线l 与椭圆交于相异两点A ,B ,且2AP PB =,求实数λ的范围.21.已知函数()e sin xf x x =+.(1)求()y f x =在()()1,1f 处的切线方程;(2)当0x ≥时,()221f x ax x ≥++恒成立,求a 的取值范围.22.在平面直角坐标系中,曲线C 的参数方程为2cos sin x y θθ=+⎧⎨=⎩(θ为参数),以坐标原点为极点,x 轴非负半轴为极轴建立极坐标系. (1)求曲线C 的极坐标方程; (2)若直线l 的极坐标方程为()3R πθρ=∈,P 为曲线C 上的动点,求点P 到直线l 的距离的最大值.23.已知函数()13f x x x =+++. (1)求()4f x ≥的解集;(2)若()223f x a a ≥-+,求a 的值.参考答案:1.C 【解析】 【分析】根据交集的知识确定正确答案. 【详解】因为{}24M x x =≤≤,{}35N x x =<≤,所以{}34M N x x ⋂=<≤. 故选:C 2.D 【解析】 【分析】先求出复数z ,进而求出z . 【详解】由()1i 1i z +=-,得()()()21i 1i i 1i 1i 1i z --===-++-,所以i z = 故选:D 3.D 【解析】 【分析】根据方程求得25a =,41a =,即可求得5a . 【详解】求方程的15=x ,21x =,由于数列为递减数列,所以25a =,41a =,易得17a =,2d =-,()51241a a =+-⨯=-. 故选:D 4.A 【解析】 【分析】根据双曲线的a 与c 的值,求出b 的值,即可求其渐近线方程. 【详解】由焦距2c =21a =,222+=a b c ,故231b =+,解得b =①ba=①渐近线方程为y =, 故选:A . 5.B 【解析】 【分析】由已知的三视图可得:该几何体是一个四棱锥,计算出底面面积和高,代入锥体体积公式,可得答案. 【详解】根据三视图还原,得到四棱锥P ABCD -,其底面ABCD 为直角梯形,高为PD ,体积为()11112222332ABCD V S PD =⋅=⋅+⋅⋅=四边形,故选:B .6.D 【解析】 【分析】结合指数、对数函数单调性判断出,,a b c 大致范围,即可求解. 【详解】因为0.30.5133<<= 1.21.21222-⎛⎫=> ⎪⎝⎭,0.60.60log 0.8log 0.61<<=,所以1c a b <<<.故选:D .7.A 【解析】 【分析】结合特殊值排除错误选项,由此确定正确选项. 【详解】 ()110111ef e e--==>--,故排除C ,D , 当x →+∞,()0f x →,故排除B , 所以选A. 故选A . 8.C 【解析】 【分析】设出圆心坐标,根据垂直直线的斜率关系求得圆心坐标,结合两点距离公式得半径,即可得圆方程. 【详解】设圆心为(),6m m ,则圆心与点()2,3-的连线与直线l 垂直,即()63112m m -⨯-=-+, 则点1m =,所以圆心为()1,6,半径r ==所以方程为()()221618x y -+-=, 故选:C 9.D 【解析】 【分析】写出()6x y +展开式通项,可求得()62x x y +、()26y x y x-+的展开式中含34x y 的系数,即可得解. 【详解】()6x y +展开式的通项公式为616r rr r T C xy -+=(r N ∈且06r ≤≤),又因为()()()2266622y y x x y x x y x y x x ⎛⎫-+=+-+ ⎪⎝⎭,71622r r r r xT C x y -+=,令4r =,可得4345622xT C x y =,该项中34x y 的系数为30,25216r r r r y T C x y x -++-=,令2r =,可得223436y T C x y x-=-,该项中34x y 的系数为15-, 所以34x y 的系数为301515-=, 故选:D . 10.B 【解析】 【分析】取BC 中点为T ,以及ABC 的外心为1O ,PBC 的外心为2O ,依据平面PBC ⊥平面ABC 可知12OO TO 为正方形,然后计算外接球半径,最后根据球表面积公式计算. 【详解】设BC 中点为T ,ABC 的外心为1O ,PBC 的外心为2O , 如图由ABC 和PBC 均为边长为则ABC 和PBC 260=,又因为平面PBC ⊥平面ABC , 所以2O T ⊥平面ABC ,可知21O T O T ⊥ 且21O T O T =,过21,O O 分别作平面PBC 、平面ABC 的垂线相交于O点O 即为三棱锥P ABC -的外接球的球心,且四边形12OO TO 1的正方形,所以外接球半径R ==,则球的表面积为20π, 故选:B . 11.C 【解析】 【分析】依题得到前n 次取了()12n n +并可知第n 次取的最后一个数,令63n =,可知取了2016个数,然后简单计算和判断可知第2021个数. 【详解】由题意可得,奇数次取奇数个数,偶数次取偶数个数, 前n 次共取了()11232n n n +++++=个数,且第n 次取的最后一个数为2n , 当63n =时,()6363120162+=,即前63次共取了2016个数, 第63次取的数都为奇数,并且最后一个数为2633969=, 即第2016个数为3969,所示当64n =时,依次取3970,3972,3974,3976,3978,…,所以第2021个数是3978, 故选:C 12.C 【解析】 【分析】令()()x g x e f x =,由已知得()()xg x e f x =在区间()0,∞+单调递减, ()g x 为偶函数,且在区间(),0∞-单调递增,由此可将不等式等价转化为211a a -≥+,求解即可. 【详解】解:令()()x g x e f x =,则当0x >时,()()()0x g x e f x f x ''=+<⎡⎤⎣⎦,所以()()xg x e f x =在区间()0,∞+单调递减,又()()()()()()2x x x xg x e f x e e f x e f x g x ---=-===,所以()g x 为偶函数,且在区间(),0∞-单调递增,又()()211211a a ef a e f a -+-≤+,即()()211g a g a -≤+,所以211a a -≥+,即()()22211a a -≥+,得0a ≤或2a ≥, 故选:C. 13.2 【解析】 【分析】根据数列为等比数列,可得()234123a a a q a a a ++=++,直接整体计算即可. 【详解】由数列{}n a 是等比数列,且1231a a a ++=, 则()234123a a a q a a a ++=++,即2q故答案为:2 14.5 【解析】 【分析】先用向量的坐标公式求得:()23,4a b +=-,进而求向量的模. 【详解】()23,4a b +=-,则29165a b +=+=.故答案为:5 15.1x =- 【解析】 【分析】设点,2p P p ⎛⎫⎪⎝⎭,求得点4,02p Q ⎛⎫+ ⎪⎝⎭,由已知条件得出0PQ OP ⋅=,求出正数p 的值,即可得出抛物线C 的准线方程.【详解】抛物线()2:20C y px p =>的焦点,02p F ⎛⎫ ⎪⎝⎭,P 为C 上一点,PF x ⊥轴,所以2P p x =,将2P px =代入抛物线的方程可得P y p =±,不妨设,2p P p ⎛⎫⎪⎝⎭,因为Q 为x 轴上一点,且PQ OP ⊥,所以Q 在F 的右侧.又42Q p FQ x =-=,得42Q p x =+,即点4,02p Q ⎛⎫+ ⎪⎝⎭,所以,()4,PQ p =-,因为PQ OP ⊥,所以2402pPQ OP p ⋅=⨯-=,0p >,2p ∴=,所以抛物线C 的准线方程为1x =-. 故答案为:1x =-. 16.①①①① 【解析】 【分析】根据图象可知周期,令0x =,结合0ϕπ<<,可知最大值,根据对称点可知对称轴34x k =+()k Z ∈,代入点1,04⎛⎫⎪⎝⎭,得到34πϕ=,然后计算322242k x k -+≤+≤+,对k 取值可得结果. 【详解】由图可知,1511244T =-=,则()f x 的最小正周期2T =,①正确;如图,当0x =时,()sin 0f x A =>,结合0ϕπ<<,知()f x 的最大值为A ,①正确;因为()f x 的图象过点1,04⎛⎫ ⎪⎝⎭和5,04⎛⎫⎪⎝⎭,所以()f x 图像的对称轴为直线115324424kT x k ⎛⎫=++=+ ⎪⎝⎭,()k Z ∈, 当1k =-时,对称轴为14x =-,①正确;把点1,04⎛⎫ ⎪⎝⎭代入()()sin f x A x =+,得24k πϕππ+=+,又0ϕπ<<,得34πϕ=,则()3sin 4f x A x ⎛⎫=+ ⎪⎝⎭,由322242k x k -+≤+≤+得512244k x k -+≤≤-+,k Z ∈,此为()f x 图象的单调递增区间,当0k =时,5144x -≤≤-,而1511,,244⎛⎫⎛⎫--⊆-- ⎪ ⎪⎝⎭⎝⎭,①正确.故答案为:①①①① 17.(1)3C π=.(2)15,102⎡⎫⎪⎢⎣⎭. 【解析】 【分析】(1cos sin sin B C C B =,求得tan C =(2)由余弦定理和基本不等式求得52c ≥,再根据三角形的边的关系可求得三角形的周长的范围. (1)解:在ABC 2sin sin 3A C B ⎛⎫=+ ⎪⎝⎭,()12sin sin 2B C C B B ⎛⎫+=⋅ ⎪ ⎪⎝⎭cos sin sin B C C B =,又sin 0B >sin C C =,即tan C =()0,C π∈,所以3C π=.(2)解:由余弦定理可知,()22222cos 3c a b ab C a b ab =+-=+-, 因为5a b +=,22a b ab +⎛⎫≤ ⎪⎝⎭,所以()22225324a b c a b +⎛⎫≥+-= ⎪⎝⎭,当且仅当52a b ==时,取等号, 所以52c ≥, 又5c a b <+=,所以552c ≤<,所以ABC 周长的取值范围是15,102⎡⎫⎪⎢⎣⎭. 18.(1)81m =,女性的使用满意度更高;(2)分布列见解析,49.【解析】 【分析】(1)根据茎叶图以及中位数的定义可知结果,然后依据女性与男性用户得分集中的部分比较即可.(2)列出X 的所有可能取值,并得到相对应的概率,然后列出分布列,依据期望计算公式计算即可. (1)由茎叶图可知40组数据由小到大排序最中间两项应为80与82, 所以8082812m +==; 女性的使用满意度更高,因为女性用户的得分大部分处于80-90分之间, 而男性的评价大部分集中于70~80分之间,普遍低于女性用户的评分. (2)评分低于m 的女性有5人,而男性有15人,所以从样本“需改进型”的试用者中按性别用分层抽样的方法 抽出女性2名,男性6名 X 的所有可能取值为1,2,3.则()2126386315628C C P X C ====,()122638301525628C C P X C ====,()03263820535614C C P X C ==== 所以X 的分布列如下:所以X 的数学期望为:()315541232828149E X =⨯+⨯+⨯= 19.(1)证明见解析; (2)3-. 【解析】【分析】(1)证明AD ⊥平面PDM ,再利用面面垂直的判定定理可证得结论成立;(2)证明出PM ⊥平面ABCD ,以D 为原点,分别以DA 、DM 、MP 的方向分别为x 、y 、z 轴的正方向建立空间直角坐标系D xyz -,利用空间向量法可求得二面角A DM N--的余弦值. (1)证明:由题意得122AM AB ==,3BAD π∠=,1AD =, 在ADM △中,由余弦定理可得2222cos33DM AD AM AD AM π=+-⋅=,222AD DM AM +=,则AD DM ⊥,AD PD ⊥,PD DM D ⋂=,AD ∴⊥平面PDM ,AD ⊂平面ABCD ,所以,平面PDM ⊥平面ABCD .(2)解:由(1)知AD ⊥平面PDM ,PM ⊂平面PDM ,AD PM ∴⊥, 又PM MD ⊥,AD MD D =,所以PM ⊥平面ABCD ,以D 为原点,分别以DA 、DM 、MP 的方向分别为x 、y 、z 轴的正方向建立空间直角坐标系D xyz -,连接MC ,在平行四边形ABCD 中,由余弦定理可得MC =在直角三角形PMC 中,PM ,于是()M 、(P 、()C -,由2PN NC =得1243333DN DP DC ⎛=+=- ⎝⎭, 设平面DMN 的法向量(),,n x y z =,则0040033n DM n DN x y z =⎧⋅=⇒⎨⎨⋅=-+=⎩⎪⎩, 取1x =得,(1,0,2n =,易知平面ADM 的一个法向量()0,0,1m =,则22cos ,3m n m n m n⋅<>==⋅,由图可知,二面角A DM N --的平面角为钝角, 所以,二面角A DM N --的余弦值为 20.(1)22114y x += (2)111,,133⎛⎤⎡⎫-- ⎪⎥⎢⎝⎦⎣⎭ 【解析】 【分析】(1)由短轴长得b ,离心率得,a c 关系,结合关系式可求,a b ,进而得解; (2)设()00,B x y ,()11,A x y ,由2AP PB =代换出点A ,由点B 在椭圆上可得22041x y +=,化简可得20314x +=,结合0x 取值范围可求λ范围.(1)由题意知22221b ca abc =⎧⎪⎪=⎨⎪=+⎪⎩,解得1a =,12b =,椭圆方程为22114y x +=; (2)设()00,B x y ,()11,A x y ,由2AP PB =得()()1100,2,x y x y --=-,从而:1032x x =-,102y y =-,则()0032,2A x y --,因为点A 在椭圆2241x y +=上,故()()220032421x y -+-=, 即()2220009124410x x y -++-=,又2241x y +=,所以20314x +=,由椭圆定义知011x -≤≤,故231114+-≤≤,解得111,,133⎡⎤⎡⎤∈-⋃⎢⎥⎢⎥⎣⎦⎣⎦,又由题设知1λ≠±,故111,,133⎛⎤⎡⎫∈--⋃ ⎪⎥⎢⎝⎦⎣⎭,所以实数λ的取值范围是111,,133⎛⎤⎡⎫-- ⎪⎥⎢⎝⎦⎣⎭.21.(1)()cos1sin1o 1e c s 0x y +-+-=. (2)1,2⎛⎤-∞ ⎥⎝⎦.【解析】 【分析】(1)由题求得导函数()e cos xf x x '+=,计算()1f ,()1f ',由直线的点斜式方程求得切线方程.(2)令()2sin 21e x g x x ax x =+---,将不等式转化为()min 0g x ≥,求导函数()cos 2e 2x g x x ax '=+--,再令()()h x g x =',求其导函数()sin 2e x h x x a '=--,令()()H x h x '=,求导函数()H x ',分析导函数()H x '的符号,得出函数()h x '的单调性,得()()012h x h a '≥=-,分120a -≥,120a -<讨论,得出函数()g x 的单调性和最值,由此可求得a 的取值范围. (1)解:由题知()1n1e si f =+,则()e cos xf x x '+=,()e 1cos1f '=+,所以()y f x =在()()1,1f 处的切线方程为()()()e e sin1cos11y x -+=+- 即()cos1sin1o 1e c s 0x y +-+-=. (2)解:由()221f x ax x ≥++得2e sin 210x x ax x +---≥,令()2e sin 21,0x g x x ax x x =+---≥,即()min 0g x ≥,()cos 2e 2x g x x ax '=+--,令()()e cos 22x h x g x x ax '==+--,则()sin 2e xh x x a '=--,令()()e sin 2x H x h x x a '==--,则()e cos xH x x '=-,因为0x ≥,所以e 1cos x x ≥≥,所以()e cos 0xH x x '=-≥,所以()h x '在[)0,+∞上单调递增,()()012h x h a '≥=-, 当120a -≥,即12a ≤时,()()0120h x h a ''≥=-≥,()g x '在[)0,+∞上单调递增, ()()00g x g ''=≥,所以()g x 在[)0,+∞上单调递增,()()00g x g ≥=,符合题意, 当120a -<即12a >时,()()0120h x h a ''≥=-<,()h x '在[)0,+∞上单调递增, 而()()ln 211sin ln 210h a a '+=-+≥⎡⎤⎡⎤⎣⎦⎣⎦,所以()(00,ln 21x a ∃∈+⎤⎦,使得()00h x '=, 当()00,x x ∈时,()0h x '<,()g x '单调递减,()()00g x g ''<=, 所以()g x 单调递减,()()00g x g <=,不满足()min 0g x ≥, 所以a 的取值范围是1,2⎛⎤-∞ ⎥⎝⎦.22.(1)24cos 30ρρθ-+=(2)1【解析】 【分析】(1)先消去参数,化为普通方程,再利用极坐标与平面直角坐标互相转化公式,求得极坐标方程;(2)法一:得到l 的直角坐标方程为y ,求出圆心到直线l 的距离,然后加上半径即为点P 到直线l 的距离的最大值;法二:设出点P 的参数坐标,利用点到直线距离公式和辅助角公式取出最大值. (1)由曲线C 参数方程消去参数θ,得普通方程()2221x y -+=, 由cos x ρθ=,sin y ρθ=得极坐标方程:24cos 30ρρθ-+= (2)法一:l的直角坐标方程为y =,圆心()2,0到直线l的距离为1d ==P到直线l 的距离的最大值为圆心()2,0到直线l的距离加上半径,即1 法二:设()2cos ,sinP +,点P 到直线l 的距离)2232sin cossin3d ⎛⎫+- ⎪-⎭==当sin 13πθ⎛⎫-= ⎪⎝⎭时,最大值为123.(1)(][),40,x ∈-∞-⋃+∞ (2)1a = 【解析】 【分析】(1)、利用零点分段法求出()f x 在各区间上的解析式,求解即可;(2)、利用绝对值三角不等式求()f x 的最小值,将问题转化为()2min 23f x a a ≥-+,解不等式即可求出a 的值. (1)①、当3x <-时,()24=f x x --,()4f x ≥,244x ∴--≥,4x ∴-≤; ①、当31x -≤<-时,()=2f x ,()4f x ≥,x ∴∈∅;①、当1x ≥-时,()24=f x x +,()4f x ≥,244x ∴+≥,0x ∴≥;综上:()4f x ≥的解集为:(][),40,x ∈-∞-⋃+∞. (2)()13f x x x =+++()()()13132f x x x x x ∴=+++≥+-+=,()min 2f x ∴=,()223≥-+恒成立,2232f x a a∴-+≤a a ()210aa∴-≤,1。
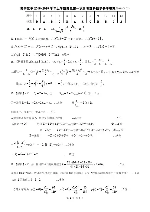
南宁三中上学期高三月考(三)理科数学试题、选择题:本题共12小题,每小题5分,共60分。
在每小题给出的四个选项中,只有一项是符合题目要求的。
A . {0,1,2}B . {0,1}C.{1,2} D . {1}2.复数「满足•一-, 则:()A . *B . 1-i3.下列各式中的值为的是()A . 2sin215:-l1 •已知全集U = R,集合A = {1,2,3,4,5} ,B= {x€C• 2sinl5:cosl5:1 .C. :D.( A B. ____ ....D. ::: __4 .设P是△ABC所在平面内的一点,一- ,则()D .忑+菖+乔:S5.已知a为实数,“a 1 ”是a2 <a3”的A .充分不必要条件B .必要不充分条件C .充要条件D .既不充分也不必要条件6 .已知某一随机变量X的分布列如下,且E(X)=6.3,则a的值为(B . 6C . 8 X49 p0.5ai b7.函数八;m的部分图象大致是图中的(C.8.已知则下列关系正确的是(A. 2<y<工B. 2<『<y C x<y<2 D. y<z<x9•三棱锥‘m:中,£丿磴为等边三角形,二—邙-- /,•工.1.:,三棱锥d 的外接球的表面积为A .二B .[密C. D.且…「关于原点对称,则••的取值范围是()9 )9A .昭,+00)C.卩砧測D【也化]11.七巧板是我们祖先的一项创造,被誉为东方魔板”,它是由五块等腰直角三角形(两块全等的小三角形、一块中三角形和两块全等的大三角形)、一块正方形和一块平行四边形组成的•如图是一个用七巧板拼成的正方形,在此正方形中任取一点,则此点取自阴影部分的概率是()12.已知双曲线_-的离心率为2, 一,一分别左、右焦点,点M(-叫N㈣,点P为线段上的动点,若昭平取得最小值和最大值时,A PF I F2的面积分别为1, 一,则•- ()C.二、填空题:本题共4小题,每小题5分,共20分。
x< 3x + y> 213•若实数Q满足I ys,则"+y的最大值为 ________________________ .(2x--)s314. 若' __________________________________ r的展开式式中含工的项为.15. 直线I与抛物线卩二8丁相交于A、B两点且AB的中点为M (1、1),则I的方程为 __________16. A ABC的三个内角A, B, C所对的边分别为a, b, c, - : ................ -…匚…丄则角A的取值范围是__________ .三、解答题:共70分。
解答应写出文字说明、证明过程或演算步骤。
第17~21题为必考题,每个试题考生都必须作答。
第22、23题为选考题,考生根据要求作答。
10.已知函数y=a+2lnx(ie[ /的图象上存在点函数. -的图象上存在点是双曲线的(一)必考题:共60分。
17. (本小题12分)$=2瓯+2笹萨4设正项等比数列{氏」的前.项和为-,且满足(I)求数列的通项公式;(n)设数列力=啦,求.•的前.项和•.18. (本小题12分)如图,平面_______ 平面,其中一…为矩形,为梯形,」m二程二】.(I)求证:二_平面二」;(n)若二面角A-BF-D 的平面角的余弦值为•,求.丄的长.19. (本小题12分)质检部门从某超市销售的甲、乙两公司生产的糖果中分别各随机抽取100颗糖果检测某项质量指标,由检测结果得到如图的频率分布直方图:(I)求出频率分布直方图(甲)中「•的值;记甲、乙两个公司各抽取的100颗糖果的质量指标方差分c2 r2 c2 c2别为'.'_,试比较一的大小(只要求写出答案);(n)用样本情况估计甲乙另个公司的产品情况,估计在甲、乙两个公司的糖果中各随机抽取1颗,恰有一颗的质量指标大于20,且另一颗糖果的质量指标不大于20的概率;(川)由频率分布直方图可以认为,乙公司生产的糖果质量指标值 -服从正态分布•’广•其中近似为样本平均数•',「近似为样本方差I,设一.表示从乙公司生产的糖果中随机抽取10颗,其品质指标值位于(14.55, 38.45)的颗数,求一.的数学期望•注:①同一组数据用该区间的中点值作代表,计算得I ' ■- ':② 若—,则PQ/-5<Z<//+5) = 0*682620. (本小题12分)已知椭圆_ ''''的离心率为,左右端点为 1 -,其中•一的横坐标为 2.过点讹:巴的直线交椭圆于:.两点,-在•.的左侧,且「「二-;• 丁二,点:.关于.轴的对称点为二射线「与—I交于点…(1 )求椭圆的方程;(2)求…点在直线.]:=-上.证:21. (本小题12分)设了 =;二少是:瑋在点处的切线.(1)求证: -■-:-;(2)设;「-- _,其中•上「.若—:-对•「…恒成立,求..的取值范围.(二)选考题:共10分。
请考生在第22、23题中任一题作答。
如果多做,则按所做的第一题计分。
22. [选修4—4 :坐标系与参数方程](本小题10分)卩二亍+ tcosa已知直线的参数方程为,(为参数),在平面直角坐标系■'中,以一为极点, 轴正半轴为极轴建立极坐标系,曲线.-的方程为“:凉「二;-i.(1)求曲线.一的直角坐标方程;(2)若直线与曲线只有一个公共点,求倾斜角一.的值•23. [选修4—5:不等式选讲](本小题10 分)已知,且::' J 二. ,证明:南宁三中上学期高三月考(三)理科数学参考答案[解析】 二_ — : , _ _•- - ' - " _[所以【解析】由二倍角公式得到----;由二倍角公式得到一_1 :''";由二倍角公式得到 山皿「皿芒"| …| 一_ =1. ||4. B 【解析】23.5. C 【解析】a ::: a 1 ::: a6. D 【解析】 根据分布列的性质得 0.5+0.1+b=1,所以b=0.4. 因为 E(X)=6.3,所以 4X 0.5+0.1 X a+9X 0.4=6.3,所以 a=7. 7. B 【解析】由题意,函数 亶工-立小丁为偶函数,.••函数的图象关于 .轴对称,故可以排除一,」答案. 又•••函数九匚-:0Svlr :'在区间」 上为增函数,排除 B ,故选8. A 【解析】T - 1 5 1, _,/ (5 ”,因为一,即.―一 • •,故选 A.9. B 【解析】 三棱锥Pm 中,丄二-为等边三角形,…一•二一 •- 一 一,A APAB 豊APA 胆APBC , ‘凹丄 P&・:P 虫丄PCPB 丄 PC ,以匸工为过同一顶点的三条棱,作长方体如图, 则长方体的外接球也是三棱锥 「一二一 一外接球, 长方体的对角线为■,球直径为•,半径为裂-,2因此,三棱锥:外接球的表面积是 几#…几二:.「〔!门门:,故选B.X 4 a 9 P0.50.1b单选题【解析】由题意得,图中阴影部分所表示的集合为 A' $ B •T B = lx R | x _ 3' e B = x R | x : 3: ••• A c (e u B ) ={1,2,3,4,5 }c{x ^ R|x <3} = {l ,2}兰=<344)(1-2.1 5-Si ‘1+-Z1.C2.D3.CBC BA =2BP,移项得 BC BA-2BP =O,BC - BP BA - BP = PC PA =0占fl=A21m+2有解,令他二»恥+2")=2「:故函数在11. D 【解 析】 设 AB=4,贝U OG=GH=FD=HI=IE= . .,DE=2, 所 以S OGHI = X v7 = 2,S PIED -2X 1=2所以点取自阴影部分的枇率杲P =寻=扌12. A 【解析】由已知 飞・二-得「一 _「.,一 ■ '■,故线段•「所在直线的方程为.八雹工卜门又点「在线段、上,可设八;)〕,其中少丘—;:,由F L (-C 」O 〕,為(匚0〕,得阳二(一2a-m -V3(E +Q )〕,陌= (2a-g-V5(m+cO 〕, 则陌•陌=4加+6伽_,=4(m+討尸一凱匸,由用F [_Z O],可知当用=-丰时,PF 、-疋取得最小值,此时Si 二才X2r- -I- T- 当.一时,一 一取得最大值,此时込心;,所以匚-..第II 卷(非选择题)二、填空题13. 9【解析】详解:画出可行域如图所示, ,可知当目标函数经过点 时取最大值,最大值为J X 纟十$ — 2 14•一 ■一〔【解析】 八—的展开式中通项公式为r r+1 = q - (2 或叶.仔『=(-i/-2s -q:-护卡, 令 一时,展开式中含「的项为:二『匸―•応 相减可得:—;;—二M 「有 :-■'疝中点为门;-匕厂一 :;一 £故.「' - ' & : :的方程为:一 .即 <-•故答案为<-16. !o n 【解析】由已知及正弦定理得 sinAcosC- 2sinBccsC= 2sinCcosB-sinCcosA即 sinAcosC+ sinCcosA = 2(sinBcosC + sinCcosB) sto(A+C) = 2sin (B + C)... sin B = 2sin A , a 时取等号,••• A 为三角形的内角,且 y = cos x 在(0, n 上是减函数,.0<A < ; 则角A 的取值 范围是o , 6.三、解答题 17. 【解析】(I) 设正项等比数列-••的公比为,则• -且'-10. A 【解析】由题知15」「• 一 .【解析】设 …•、-pi 2 =8yi 则-由已知二 有八…_门 工,即■ ■--- —一故•一 一或: ](舍) 叽-込—-/ - P 故当:_ 时, =対+切+・“+叽二呼工=一£+字r» =占1+鸟+・“+b? _ {如+鮎+…bj—2 (力4~bj+…+切》一(坷+血十…+ fcj —18. 【解析】(I )平面.一…一平面…二/,且一二…为矩形, _ _ 平面 ,又二二平面 .'.L :l 平面二上(n )设AB= x .以F 为原点,AF , FE 所在的直线分别为 x 轴,y 轴建立空间直角坐标系一 >〔则 F(0 , 0, 0) , A( — 2, 0, 0) , E(0, 一,0) , D(- 1 , -, 0) , B( — 2 , 0, x),所以 ?._=(1 , — - ' , 0), 二=(2 , 0, — x).因为EF 丄平面ABF,所以平面 ABF 的法向量可取■. = (0 , 1, 0). 设 '< =(x i , y i , z i )为平面 BFD 的法向量,-则2闿一 zpr 二 0,Xi~43y 1 = 01所以,可取«2=(祁,1,2;3 h )因为cos<"l , ”2>=恤卜丽=4 ,得x=V3 ,所以 AB=祸.19.【解析】⑴xO.Oi 5序> 必;(n )设事件£ 1:在甲公司产品中随机抽取1颗,其质量指标不大于 20 ,事件二:在乙公司产品中随机抽取 1颗,其质量指标不大于 20 ,:在甲、乙公司产品中随机抽各取1颗,恰有一颗糖果的质量指标大于 20 ,且另(n )由(I )知:r ■当■— 时,当. 时,-y+^n<7 号一字+ 42Q 7事件一个不大于 20,则 P(』} = 0・20+0・10二 OT , P(ff) = 0.10+0.20= 0.3‘ 一J 一「:亠 二-1 —「二;(川)计算得:[_由条件得-■' -■: ---从而「二一m 二 「二,I从乙公司产品中随机抽取 10颗,其质量指标值位于(14.55 , 38.45)的概率是0.6826 ,依题意得 y 逊10』・6826),■点二 10x0,6826二 6,826.20.【解析】;1(1)因为离心率为,所以.一因为•-的横坐标为2,所以西=■ - L = I.匚二■- i-.- L"二<3.(2 )设,.._ .' _ _ 由珅+4护=12与仁砒+ 4联立,得(3m 2+4)护+24阿+ 36 = 0363r+4 直线:':—',直线」—-,联立解出…. •一「一21【解析】 (1 )设乳〜,则只;却"「,所以:.•所以所以24ffl当二匚〔时II ,故单调递减;当匸汇时,汕,故单调递增.所以,朋(x|2用(0)二0 (枷E 去)•所以 /U )<gUi(2)法一:用M 的定义域是;x X①当_;二时,由(I )得冷]所以'.■ I - !■'■ ■ ' 丨- :TI • z+l x+l所以 址i 在区间[①他丨上单调递增, 所以 妣x 它ktQ )二1恒成立,符合题意. ②当―]时,由」.「⑴,且「「的导数,J ■---'' '-", (兀 + 1) (A + 1)所以;门苗在区间|匚:T 上单调递增.因为'I - 「J T , '-,1 M. JU 于是存在' H'J ,使得务【―:•所以'「在区间II. ?;, I 上单调递减,在区间 「•⑴丨上单调递增, 所以:. — 1,此时:」二1不会恒成立,不符合题意. 综上,二的取值范围是 E.打法二令」. -=令h(x) =xt?J +^--e J!-ln(x+l) + 1 用(龙)二工(尸一匚寻)> 0:' hex) > h(O) =0J ®fW>0, iftrfflt(x)在◎ + x)递增综上,■ O22.【解析】(1 )..••-. ■ ■-- ---....*+y2 + b=l ,即 ^+2^=1,此即为曲线…的直角坐标方程•(2 )将 _ 一;代入一 一一 —•得' 厂, •••直线与曲线…只有一个公共点,• A =〔^^2皿严一4 x 扌x (1+sin 2©) = 0 即 sir^a = 5^=±1 又住E[0jr),rW 或带.23【解析】当 I ')厂=…O"R.V _ .二匚 当 -_ ■ -(1 )•••_;-- -一,...4a2+b2=(4^ + b2)(a2 + 护)二4a4 + b4 +Sa2&2 > 4a2b3 +5aW =9a2b2当且仅当.时,取得等号•(2)因为一1--,且所以「一,所以丁y:、¥:护< .?■ I詁所以(a3+ b3)2 < (a2 + &2)2= 1.。