激光原理第五章
- 格式:ppt
- 大小:701.50 KB
- 文档页数:58
激光原理复习题重点难点《激光原理》复习第⼀部分知识点第⼀章激光的基本原理?1、⾃发辐射受激辐射受激吸收的概念及相互关系?2、激光器的主要组成部分有哪些?各个部分的基本作⽤。
激光器有哪些类型?如何对激光器进⾏分类。
3、什么是光波模式和光⼦状态?光波模式、光⼦状态和光⼦的相格空间是同⼀概念吗?何谓光⼦的简并度??4、如何理解光的相⼲性?何谓相⼲时间,相⼲长度?如何理解激光的空间相⼲性与⽅向性,如何理解激光的时间相⼲性?如何理解激光的相⼲光强?5、EINSTEIN系数和EINSTEIN关系的物理意义是什么?如何推导出EINST EIN关系??4、产⽣激光的必要条件是什么?热平衡时粒⼦数的分布规律是什么??5、什么是粒⼦数反转,如何实现粒⼦数反转??6、如何定义激光增益,什么是⼩信号增益?什么是增益饱和?7、什么是⾃激振荡?产⽣激光振荡的基本条件是什么??8、如何理解激光横模、纵模?第⼆章开放式光腔与⾼斯光束1、描述激光谐振腔和激光镜⽚的类型?什么是谐振腔的谐振条件??2、如何计算纵模的频率、纵模间隔?3、如何理解⽆源谐振腔的损耗和Q值?在激光谐振腔中有哪些损耗因素?什么是腔的菲涅⽿数,它与腔的损耗有什么关系?4、写出(1)光束在⾃由空间的传播;(2)薄透镜变换;(3)凹⾯镜反射5、什么是激光谐振腔的稳定性条件?6、什么是⾃再现模,⾃再现模是如何形成的??7、画出圆形镜谐振腔和⽅形镜谐振腔前⼏个模式的光场分布图,并说明意义8、基模⾼斯光束的主要参量:束腰光斑的⼤⼩,束腰光斑的位置,镜⾯上光斑的⼤⼩?任意位置激光光斑的⼤⼩?等相位⾯曲率半径,光束的远场发散⾓,模体积?9、如何理解⼀般稳定球⾯腔与共焦腔的等价性?如何计算⼀般稳定球⾯腔中⾼斯光束的特征1、如何⽤ABCD⽅法来变换⾼斯10、⾼斯光束的特征参数?q参数的定义??1光束?12、⾮稳定腔与稳定腔的区别是什么?判断哪些是⾮稳定腔。
第三章电磁场与物质的共振相互作⽤1、什么是谱线加宽?有哪些加宽的类型,它们的特点是什么?如何定义线宽和线型函数?什么是均匀加宽和⾮均匀加宽?它们各⾃的线型函数是什么?2、⾃然加宽、碰撞加宽和多普勒加宽的线宽与哪些因素有关?3、光学跃迁的速率⽅程,并考虑连续谱和单⾊谱光场与物质的作⽤和⼯作物质的线型函数。
激光原理知识点汇总第一章电磁场和物质的共振相互作用1.相干光的光子描述,光的受激辐射基本概念1)1960年7月Maiman报道第一台红宝石固体激光器,波长694.3nm。
2)光的基本性质:能量ε=hνh: Planck常数,ν :光波频率运动质量m=ε/c2=hv/c2静止质量0动量knhnchnmcp=•===22λππν3)光子的相干性:在不同的空间点、不同时刻的光波场某些特性的相关性相干体积相干面积,相干长度,相干时间光源单色性越好,相干时间越长:相格空间体积以及一个光波摸或光子态占有的空间体积度等于相干体积属于同一状态的光子或同一模式的光波是相干的4)黑体辐射的planck公式在温度T的热平衡下,黑体辐射分配到腔内每个模式上的平均能量1-=kThehEνν腔内单位体积、单位频率间隔内的光波摸式数338chnνπν=Planck公式:11833-==kThechνννπρ单色能量密度,k:Boltzmann常数Bohr定则:νhEE=-125)光的受激放大a.普通光源在红外和可见光波段是非相干光,黑体是相干光黑体辐射的简并度KTnmnmKTnmKTncmKTkThhEn50000,1,110,6.0,3001,60,30010,30,3001)exp(1353=≈=≈==≈==≈==→-==-μλμλμλλννb.让特定、少数模式震荡,获得高的光子简并度21212121338AWABchn===ννρνπρ6)光的自激振荡a.自激振荡概念分数单位距离光强衰减的百自损耗系数)(1)(zIdzzdI-=αdzzIIgzdI)(])([)(..α-=考虑增益和损耗])ex p[()(0zgIzIα-=αααsmsmIgIIIgIg)(1)(0-=→=+=光腔作用: (1)模式选择; (2)提供轴向光波摸的反馈;b.震荡条件等于号是阈值振荡ααα≥→≥-=000)(gIgI sm是工作物质长度llgL...........0δδα≥→=lg0单程小信号增益因子7)激光的特性:单色性、相干性、方向性、高亮性。
第五章 激光振荡特性2.长度为10cm 的红宝石棒置于长度为20cm 的光谐振腔中,红宝石694.3nm 谱线的自发辐射寿命3410s s τ-≈⨯,均匀加宽线宽为5210MHz ⨯。
光腔单程损耗0.2δ=。
求(1)阈值反转粒子数t n ∆;(2)当光泵激励产生反转粒子数 1.2t n n ∆=∆时,有多少个纵模可以振荡?(红宝石折射率为1.76)解:(1) 阈值反转粒子数为:222212112337217344210 1.764100.2 cm 10(694.310) 4.0610cm H s t n l l πνητδδσλπ----∆∆==⨯⨯⨯⨯⨯⨯=⨯⨯=⨯ (2) 按照题意 1.2m t g g =,若振荡带宽为osc ν∆,则应该有22221.222H t t osc H g g ννν∆⎛⎫ ⎪⎝⎭=∆∆⎛⎫⎛⎫+⎪ ⎪⎝⎭⎝⎭ 由上式可以得到108.9410Hz osc H νν∆==⨯相邻纵模频率间隔为10831022( 1.76())2(10 1.7610) 5.4310Hzq c c l l L l ν⨯∆==='⨯+-⨯+=⨯ 所以1088.9410164.65.4310osc q νν∆⨯==∆⨯ 所以有164~165个纵模可以起振。
3.在一理想的三能级系统如红宝石中,令泵浦激励几率在t =0瞬间达到一定值13W ,1313()t W W >[13()t W 为长脉冲激励时的阈值泵浦激励几率]。
经d τ时间后系统达到反转状态并产生振荡。
试求1313/()d t W W τ-的函数关系,并画出归一化1313//()d s t W W ττ-的示意关系曲线(令1F η=)。
解:根据速率方程(忽略受激跃迁),可以知道在达到阈值之前,在t 时刻上能级的粒子数密度2()n t 与时间t 的关系为2113()1322113()1 (1)A W tnW n t e A W -+⎡⎤=-⎣⎦+ 当d t τ=时,t n n ∆=∆,即2113()1322113()1 (2)22d A W d t nW ne A W n n nττ-+⎡⎤=-⎣⎦++∆=≈由(1)可知,当时间t 足够长的时候1322113()nW n t A W ≈+由上式可知1321()t W A =由(2)式可得13211313211313131313131321ln 2()1 ln 1()1()()d tt t W A W W A W W W W W W W τ⎛⎫= ⎪+-⎝⎭⎛⎫ ⎪⎪=⎡⎤ ⎪-+ ⎪⎢⎥⎝⎭⎣⎦ 所以1313131313132()1ln 11()()d ts t t W W W W W W ττ⎛⎫⎪⎪= ⎪+- ⎪⎝⎭所以归一化1313//()d s t W W ττ-的示意关系曲线为sd ττ/tW W )/(13134.脉冲掺钕钇屡石榴石激光器的两个反射镜透过率1T 、2T 分别为0和0.5。
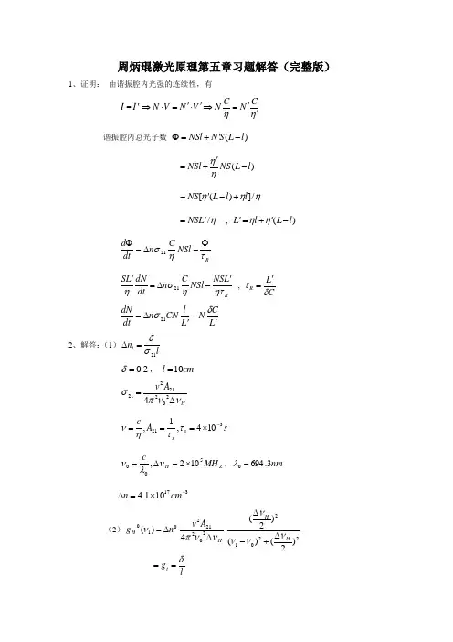
周炳琨激光原理第五章习题解答(完整版)1、证明: 由谐振腔内光强的连续性,有I =I 'ηη''=⇒'⋅'=⋅⇒C N CNV N V N 谐振腔内总光子数 )(l L S N NSl -'+=Φ)(l L NS NSl -'+=ηη ηηη/])([l l L NS +-'=η/L NS '= , )(l L l L -'+='ηηRNSl C n dt d τησΦ-∆=Φ21 R L NS NSl C n dt dN L S ητηση'-∆='21 , CL R δτ'=L CNL l CN n dt dN '-'∆=δσ21 2、解答:(1)ln t 21σδ=∆2.0=δ, cm l 10=HA v ννπσ∆=202212214 s A cs s321104,1,-⨯===ττηνZ H MH c500102,⨯=∆=νλν,nm 3.6940=λ371101.4-⨯=∆cm n(2)010)(ng H ∆=νHA v ννπ∆202212422012)2()()2(H H νννν∆+-∆lg t δ==012ννν-=∆osc L c q '=∆2ν n=82=∆∆qoscνν 3、解答:红宝石理想三能级系统:2211131n A n W dtdn +-=和n n n 21=+ 则:()12113211n A W n A dtdn +-= 设()()()tA W 12113et c t n +-=,代入上式,并利用n )0(n 1=得:()n A W W ne A W A )t (c 211313t A W 2113212113+++=+则:()t A W 21131321132112113ne A W W n A W A )t (n +-+++=()⎥⎦⎤⎢⎣⎡⎪⎪⎭⎫ ⎝⎛+++-=-=∆+-t A W 21131321132111222113e A W W A W A 21n n f f n n 令()0n d =∆τ,并由()st 131W τ=,可得:()()()1W W W W 2lnW W 1t1313t1313t1313sd -+=ττ, ()()13t 13t 1313sdW W 12lnW W 11-+=ττ。
激光原理习题解答第五章作者:张力D11. 腔长20cm 的Nd 3+:YAG 激光器(YAG 棒长10cm ,泵浦光平均波长750nm )连续输出1.06μm 波长激光,系统总量子效率为100%,光泵浦的总效率为1%,激光器单程损耗为0.08,介质折射率为1.82,激光上能级自发辐射寿命为s 1023.03-⨯,荧光线宽为6cm -1。
试求该激光器的反转粒子数密度和泵浦功率阈值。
解:反转粒子束密度210(,)H V n Lh B g δννν=,其中,c V η=,0(1)L l L ηη+-=,32121338c B A h πνη=,21211A τ=,002(,)H Hg ννπν=. 代入题目中的数据,算得2132.4910n m -=⨯.泵浦功率阈值23012114Pt P H a P P hV V L ννδπνληηη≈⋅⋅⋅⋅⋅,代入数据得734.7610Pt aP W m V -=⨯⋅. D12. 什么时候使用小信号增益系数,什么时候使用大信号增益系数?如何获得大信号增益系数?答:如果入射光强1S I I ν,S I 为饱和光强。
此时使用小信号增益系数。
小信号增益系数的函数形状完全取决于线型函数10(,)g νν,和入射光频率有关,与光强无关。
如果1I ν大小可与S I 相比拟时,增益系数与光强有关。
此时使用大信号增益系数。
无论对于均匀、非均匀、还是综合加宽的大信号增益系数,都能通过速率方程理论导出其表达式。
如均匀加宽情况下的大信号增益系数为:()112021110022102(,)(,)()12H H H H H s h B G I g n G I V I ννννννννννν∆⎛⎫ ⎪⎝⎭==⎛⎫∆⎛⎫-++ ⎪ ⎪⎝⎭⎝⎭. 可以看出,为了确定大信号增益系数,实验手段也必不可少。
如:00()H G ν决定于工作物质特性及激发速率,由实验测出。
而且分母中多了11s I I ν⎛⎫+ ⎪⎝⎭一项,其中饱和光强也需要由实验测出,最终才能确定大信号增益系数。
《激光原理》习题解答第一章习题解答1 为了使氦氖激光器的相干长度达到1KM ,它的单色性0λ∆应为多少?解答:设相干时间为τ,则相干长度为光速与相干时间的乘积,即 c L c ⋅=τ根据相干时间和谱线宽度的关系 cL c ==∆τν1又因为 0γνλλ∆=∆,00λνc=,nm 8.6320=λ由以上各关系及数据可以得到如下形式: 单色性=0ννλλ∆=∆=cL 0λ=101210328.61018.632-⨯=⨯nmnm解答完毕。
2 如果激光器和微波激射器分别在10μm、500nm 和Z MH 3000=γ输出1瓦连续功率,问每秒钟从激光上能级向下能级跃迁的粒子数是多少。
解答:功率是单位时间内输出的能量,因此,我们设在dt 时间内输出的能量为dE ,则功率=dE/dt激光或微波激射器输出的能量就是电磁波与普朗克常数的乘积,即d νnh E =,其中n 为dt 时间内输出的光子数目,这些光子数就等于腔内处在高能级的激发粒子在dt 时间辐射跃迁到低能级的数目(能级间的频率为ν)。
由以上分析可以得到如下的形式:ννh dth dE n ⨯==功率 每秒钟发射的光子数目为:N=n/dt,带入上式,得到:()()()13410626.61--⨯⋅⨯====s s J h dt n N s J νν功率每秒钟发射的光子数 根据题中给出的数据可知:z H mms c13618111031010103⨯=⨯⨯==--λν z H mms c1591822105.110500103⨯=⨯⨯==--λνz H 63103000⨯=ν把三个数据带入,得到如下结果:19110031.5⨯=N ,182105.2⨯=N ,23310031.5⨯=N3 设一对激光能级为E1和E2(f1=f2),相应的频率为ν(波长为λ),能级上的粒子数密度分别为n2和n1,求(a)当ν=3000兆赫兹,T=300K 的时候,n2/n1=? (b)当λ=1μm ,T=300K 的时候,n2/n1=? (c)当λ=1μm ,n2/n1=0.1时,温度T=?解答:在热平衡下,能级的粒子数按波尔兹曼统计分布,即: TK E E T k h f f n n b b )(expexp 121212--=-=ν(统计权重21f f =) 其中1231038062.1--⨯=JK k b 为波尔兹曼常数,T 为热力学温度。
激光原理课后习题第1章习题1. 简述激光器的基本结构及各部分的作用。
2. 从能级跃迁角度分析,激光是受激辐射的光经放大后输出的光。
但是在工作物质中,自发辐射、受激辐射和受激吸收三个过程是同时存在的,使受激辐射占优势的条件是什么?采取什么措施能满足该条件?3. 叙述激光与普通光的区别,并从物理本质上阐明造成这一区别的原因。
4. 什么是粒子数反转分布?如何实现粒子数反转分布?5. 由两个反射镜组成的稳定光学谐振腔腔长为0.5 m,腔内振荡光的中心波长为632.8 nm,求该光的单色性?λ/λ的近似值。
6. 为使He-Ne激光器的相干长度达到1 km,它的单色性?λ/λ应是多少?7. 在2cm3的空腔内存在着带宽为0.1 nm,波长为0.5 μm的自发辐射光。
试问:(1)此光的频带范围?ν是多少?(2)在此频带范围内,腔内存在的模式数是多少?(3)一个自发辐射光子出现在某一模式的几率是多少?8. 设一光子的波长为5?10-1 μm,单色性?λ/λ=10-7,试求光子位置的不确定量?x。
若光子波长变为5?10-4 μm(X射线)和5?10-8 μm(γ射线),则相应的?x又是多少?9. 设一对激光(或微波辐射)能级为E2和E1,两能级的简并度相同,即g1=g2,两能级间跃迁频率为ν(相应的波长为λ),能级上的粒子数密度分别为n2和n1。
试求在热平衡时:(1)当ν=3000 MHz,T=300 K时,n2/n1=?(2)当λ=1 μm,T=300 K时,n2/n1=?(3)当λ=1 μm,n2/n1=0.1时,T=?10. 有一台输出波长为632.8 nm,线宽?νs为1kHz,输出功率P为1 mW的单模He-Ne激光器,如果输出光束直径为1 mm,发散角θ0为1 mrad,试问:(1)每秒发出的光子数目N0是多少?(2)该激光束的单色亮度是多少?(提示,单模激光束的单色亮度为20)(πθννs A P B ?=) 11. 在2cm 3的空腔内存在着带宽为1?10-4 μm ,波长为5?10-1 μm 的自发辐射光。