《高等代数》(上)题库
- 格式:doc
- 大小:765.52 KB
- 文档页数:32
科目名称:《高等代数》姓名: 班级: 考试时间:120分钟 考试形式:闭卷 ≌≌≌≌≌≌≌≌≌≌≌≌≌≌≌≌≌≌≌≌≌≌≌≌≌≌≌≌≌≌≌≌≌≌≌≌≌≌≌≌≌≌≌≌≌≌≌≌≌≌≌≌≌≌≌≌≌≌≌≌≌≌≌≌≌≌≌≌一、填空题(每小题5分,共25分)1、在[]X P 中,向量21x x ++关于基23,1,12+--x x x 的坐标为 。
2、向量组()()()()()8,3,5,2,1,1,3,0,3,2,4,2,1,2,154321-=-==-=-=ααααα的秩) 是线其中7、若矩阵A 与B 相似,那么A 与B 等价。
( ) 8、n 阶实对称矩阵A 有n 个线性无关的特征向量。
( )9、在)(2R M 中,若W 由所有满足迹等于零的矩阵组成,那么W 是)(2R M 的子空间。
( )10、齐次线性方程组0)(=-X A E λ的非零解向量是A 的属于λ的特征向量。
( ) 三、明证题(每小题××分,共31分)1、设n εεε,,,21 是线性空间V 的一组基,A 是V 上的线性变换,证明:A 可逆当且仅当n A A A εεε,,,21 线性无关。
(10)2、设δ是n 维欧氏空间V 的一个线性变幻,证明:如果δ是对称变幻,2δ=l 是单位变幻,那么δ是正交变换。
(11)3、设V 是一个n 维欧氏空间,证明:如果21,W W 都是V 得子空间,那么() ⊥⊥⊥=+2121W W W W 。
(10) 四、计算题(每小题8分,共24分)⎫⎛-331AP 为对考试形式:闭卷 4、特征根是1,1,2,特征向量分别为()(),1,1,2,1,1,121-==αα 5、秩为 3二、是非题(每小题2分,共20分)1、(是 )2、(是 )3、(是 )4、(否 )5、(否 )6、(否 )7、(是 ) 8、(是 ) 9、(是 ) 10、(是 )三、明证题(每小题××分,共31分)1、证明 设A 可逆,则1-A 存在,且1-A 也是V 的线性变换,(1) 若n A A A εεε,,,21 线性相关,则)(,),(),(12111n A A A A A A εεε--- ,(2)即n εεε,,,21 也线性相关,这与假设n εεε,,,21 是基矛盾,故n A A A εεε,,,21 线性无的一组存在即n A ε,是(10) 则() ⊥⊥⊥=+2121W W W W 。
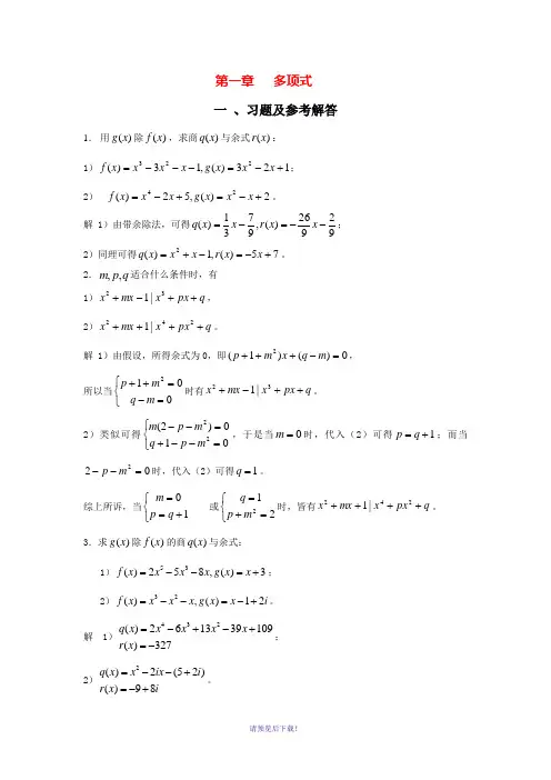
第一章 多项式一 、习题及参考解答1. 用)(x g 除)(x f ,求商)(x q 与余式)(x r : 1)123)(,13)(223+-=---=x x x g x x x x f ; 2)2)(,52)(24+-=+-=x x x g x x x f 。
解 1)由带余除法,可得92926)(,9731)(--=-=x x r x x q ; 2)同理可得75)(,1)(2+-=-+=x x r x x x q 。
2.q p m ,,适合什么条件时,有 1)q px x mx x ++-+32|1, 2)q px x mx x ++++242|1。
解 1)由假设,所得余式为0,即0)()1(2=-+++m q x m p ,所以当⎩⎨⎧=-=++0012m q m p 时有q px x mx x ++-+32|1。
2)类似可得⎩⎨⎧=--+=--010)2(22m p q m p m ,于是当0=m 时,代入(2)可得1+=q p ;而当022=--m p 时,代入(2)可得1=q 。
综上所诉,当⎩⎨⎧+==10q p m 或⎩⎨⎧=+=212m p q 时,皆有q px x mx x ++++242|1。
3.求()g x 除()f x 的商()q x 与余式:1)53()258,()3f x x x x g x x =--=+; 2)32(),()12f x x x x g x x i =--=-+。
解 1)432()261339109()327q x x x x x r x =-+-+=-;2)2()2(52)()98q x x ix i r x i=--+=-+。
4.把()f x 表示成0x x -的方幂和,即表成2010200()()...()n n c c x x c x x c x x +-+-++-+的形式:1)50(),1f x x x ==;2)420()23,2f x x x x =-+=-;3)4320()2(1)37,f x x ix i x x i x i =+-+-++=-。
高等代数学习题集一、线性方程组1. 解下列线性方程组:(1)$3x+2y=7$$2x-3y=4$(2)$2x-y+z=4$$x+3y-2z=5$$2x-y+z=1$(3)$3x+y=5$$4x-y=8$2. 通过矩阵表示以下线性方程组,并求出其解:(1)$4x+2y=6$$-2x+y=3$(2)$x-2y+3z=1$$2x+y+3z=9$$3x+2y+4z=12$(3)$x+y+z=0$$x+2y+3z=1$$x-3y+2z=2$二、矩阵运算与性质1. 计算以下矩阵的乘积:$\begin{bmatrix} 2 & 3 \\ 1 & -1 \end{bmatrix}$$\begin{bmatrix} 4 & 2 \\ -1 & 3 \end{bmatrix}$2. 求下列矩阵的逆矩阵:(1)$\begin{bmatrix} 4 & 2 \\ 1 & 3 \end{bmatrix}$(2)$\begin{bmatrix} 1 & 0 & 2 \\ 0 & 1 & -1 \\ -1 & 0 & 3 \end{bmatrix}$3. 判断下列矩阵是否可逆,并求其逆矩阵:(1)$\begin{bmatrix} 1 & 2 \\ 2 & 4 \end{bmatrix}$(2)$\begin{bmatrix} 3 & -2 & 1 \\ 1 & -3 & 2 \\ 2 & -4 & 3 \end{bmatrix}$4. 求矩阵的转置:(1)$\begin{bmatrix} 1 & 2 & 3 \\ 4 & 5 & 6 \end{bmatrix}$(2)$\begin{bmatrix} 1 & 2 \\ 3 & 4 \\ 5 & 6 \end{bmatrix}$三、特征值与特征向量1. 求矩阵的特征值与特征向量:$\begin{bmatrix} 3 & 1 \\ 2 & 2 \end{bmatrix}$2. 计算以下矩阵的迹:(1)$\begin{bmatrix} 2 & 5 \\ -1 & 3 \end{bmatrix}$(2)$\begin{bmatrix} 1 & 2 & 3 \\ 4 & 5 & 6 \\ 7 & 8 & 9\end{bmatrix}$四、向量空间1. 判断向量组是否线性相关:(1)$\begin{bmatrix} 1 \\ 2 \end{bmatrix}$, $\begin{bmatrix} 2 \\ 4 \end{bmatrix}$(2)$\begin{bmatrix} 1 \\ 1 \\ 1 \end{bmatrix}$, $\begin{bmatrix} 1 \\ 2 \\ 3 \end{bmatrix}$, $\begin{bmatrix} 2 \\ 3 \\ 4 \end{bmatrix}$2. 求以下向量组的一个极大线性无关组:(1)$\begin{bmatrix} 1 \\ 2 \\ 3 \end{bmatrix}$, $\begin{bmatrix} 3 \\ 1 \\ 2 \end{bmatrix}$, $\begin{bmatrix} 2 \\ 3 \\ 1 \end{bmatrix}$(2)$\begin{bmatrix} 1 \\ 1 \\ 0 \\ 1 \end{bmatrix}$, $\begin{bmatrix} 1 \\ 0 \\ 1 \\ 0 \end{bmatrix}$, $\begin{bmatrix} 0 \\ 1 \\ 0 \\ 1\end{bmatrix}$, $\begin{bmatrix} 1 \\ 0 \\ 1 \\ 0 \end{bmatrix}$五、线性变换1. 判断以下线性变换是否为一一映射:(1)$T\left(\begin{bmatrix} x \\ y\end{bmatrix}\right)=\begin{bmatrix} 2x+y \\ 3y \end{bmatrix}$(2)$T\left(\begin{bmatrix} x \\ y \\ z\end{bmatrix}\right)=\begin{bmatrix} x+y \\ y+z \\ x+z \end{bmatrix}$2. 求下列线性变换的矩阵表示:(1)$T\left(\begin{bmatrix} x \\ y\end{bmatrix}\right)=\begin{bmatrix} 2x-y \\ 3x+2y \end{bmatrix}$(2)$T\left(\begin{bmatrix} x \\ y \\ z\end{bmatrix}\right)=\begin{bmatrix} x+y+z \\ 2x+3y-z \\ 3x-2y+2z\end{bmatrix}$六、二次型1. 对以下二次型进行分类:(1)$f(x,y)=2x^2+3y^2-4xy$(2)$f(x,y,z)=x^2+y^2+z^2-2xy+4xz$2. 将以下二次型化为标准形:(1)$f(x,y,z)=3x^2+4y^2+2z^2+4xy+4xz-8yz$(2)$f(x,y,z)=x^2+2y^2+3z^2-2xy+6xz$以上为《高等代数学习题集》的内容,希望对你的学习有所帮助。
高代一期末考试试题及答案高等代数一期末考试试题一、选择题(每题2分,共10分)1. 以下哪个不是线性代数中的基本概念?A. 向量空间B. 线性变换C. 矩阵D. 微积分2. 矩阵的秩是指:A. 矩阵中非零行的最大数量B. 矩阵中非零列的最大数量C. 矩阵中线性无关行的最大数量D. 矩阵中线性无关列的最大数量3. 线性方程组有唯一解的条件是:A. 系数矩阵的行列式不为零B. 系数矩阵的秩等于增广矩阵的秩C. 系数矩阵的秩等于未知数的个数D. 所有选项都是4. 以下哪个矩阵是可逆的?A. 零矩阵B. 单位矩阵C. 行阶梯形矩阵D. 非方阵5. 特征值和特征向量的计算与下列哪个矩阵运算相关?A. 矩阵的加法B. 矩阵的乘法C. 矩阵的转置D. 矩阵的行列式二、填空题(每空1分,共10分)6. 一个向量空间 \( V \) 的基 \( B \) 包含 \( n \) 个线性无关向量,则 \( V \) 的维数为 _______。
7. 若 \( A \) 是 \( m \times n \) 矩阵,\( B \) 是 \( n\times p \) 矩阵,则 \( AB \) 是 _______ 矩阵。
8. 线性变换 \( T: V \rightarrow W \) 的核是所有满足 \( T(v) = 0 \) 的向量 \( v \) 的集合,记为 _______。
9. 矩阵 \( A \) 与 \( B \) 相等,当且仅当它们具有相同的_______。
10. 一个 \( n \) 阶方阵的迹是其对角线上元素的 _______。
三、简答题(每题5分,共20分)11. 解释什么是线性相关和线性无关,并给出一个线性无关向量组的例子。
12. 描述矩阵的行列式计算的几何意义。
13. 说明如何使用高斯消元法求解线性方程组。
14. 什么是特征值分解?它在哪些领域有应用?四、证明题(每题10分,共20分)15. 证明如果矩阵 \( A \) 可逆,则 \( A \) 的行列式不为零。
一、填空题(共10 题,每题2分,共20分)。
1. 多项式可整除任意多项式。
2.艾森施坦因判别法是判断多项式在有理数域上不可约的一个 条件。
3.在n 阶行列式D 中,0的个数多于 个是0D =。
4.若A 是n 阶方阵,且秩1A n =-,则秩A*= 。
5.实数域上不可约多项式的类型有 种。
6.若不可约多项式()p x 是()f x 的k 重因式,则()p x 是(1)()k f x -的 重因式。
7.写出行列式展开定理及推论公式 。
8.当排列12n i i i 是奇排列时,则12n i i i 可经过 数次对换变成12n 。
9.方程组12312322232121x x x ax bx cx d a x b x c x d ++=⎧⎪++=⎨⎪++=⎩,当满足 条件时,有唯一解,唯一解为 。
10.若242(1)1x ax bx -∣++,则a = ,b = 。
二、判断题(共10 题,每题1分, 共 10分)。
1.任何两个多项式的最大公因式不因数域的扩大而改变。
( ) 2.两个多项式互素当且仅当它们无公共根。
( )3.设12n ααα是n P 中n 个向量,若n P β∀∈,有12,n αααβ线性相关,则12n ααα线性相关。
( )4.设α是某一方程组的解向量,k 为某一常数,则k α也为该方程组的解向量。
( ) 5.若一整系数多项式()f x 有有理根,则()f x 在有理数域上可约。
( ) 6 秩()A B +=秩A ,当 且仅当秩0B =。
( )7.向量α线性相关⇔它是任一向量组的线性组合。
( )8. 若(),()[]f x g x P x ∈,且((),())1f x g x =,则(()(),()())f x g x f x g x +=。
( )9.(),()[]f x g x Z x ∈,且()g x 为本原多项式,若()()()f x g x h x =则()[]h x Z x ∈。
高等代数复习题精选第一章多项式自测题一、填空题1.设 $g(x)$ 为 $f(x)$ 的因式,则 $f(x)$ 与 $g(x)$ 的一个最大公因式为 $g(x)$。
2.$f(x)=a_nx^n+a_{n-1}x^{n-1}+\cdots+a_1x+a_0$,$x=1$ 是 $f(x)$ 的根,则 $a_0+a_1+\cdots+a_n=f(1)$,若$x|f(x)$,则 $a=0$,若 $x+1|f(x)$,则 $a_n=0$。
3.若 $(f(x),f'(x))=x+1$,则 $x+1$ 是 $f(x)$ 的重根。
4.$x^4-4$ 在有理数域、实数域、复数域上的标准分解式为 $(x^2+2x+2)(x^2-2x+2)$。
二、选择题(以下所涉及的多项式,都是数域 $P$ 上的多项式)1.设 $\phi(x)|f(x)$,$\phi(x)|g(x)$,且 $\phi(x)\neq 0$,$g(x)$ 与 $f(x)$ 不全为 $0$,则下列命题为假的是()。
A。
$\phi(x)|(u(x)f(x)+v(x)g(x))$B。
$\deg(\phi(x))\leq\min\{\deg f(x),\deg g(x)\}$C。
若存在 $u(x)$,$v(x)$,使 $u(x)f(x)+v(x)g(x)=\phi(x)$,则 $(f(x),g(x))=\phi(x)$D。
若 $x-a|\phi(x)$,则 $f(a)=g(a)$。
答案:D。
2.若 $(f(x),g(x))=1$,则以下命题为假的是()。
A。
$(f^2(x),g^3(x))=1$B。
$(f(x),f(x)+g(x))=1$___(x)|f(x)h(x)$ 必有 $g(x)|h(x)$D。
以上都不对。
答案:D。
3.下列命题为假的是()。
A。
在有理数域上存在任意次不可约多项式。
B。
在实数域上 $3$ 次多项式一定可约。
C。
在复数域上次数大于 $1$ 的多项式都可约。
大学高等代数试题及答案一、单项选择题(每题2分,共10分)1. 设矩阵A为3阶方阵,且|A|=1,则矩阵A的逆矩阵的行列式是()。
A. 0B. 1C. -1D. 32. 若线性方程组有唯一解,则该方程组的系数矩阵的秩与增广矩阵的秩()。
A. 不相等B. 相等C. 相差1D. 相差23. 以下哪个矩阵是正交矩阵?()A. \[\begin{pmatrix} 1 & 2 \\ 0 & 1 \end{pmatrix}\]B. \[\begin{pmatrix} 1 & 0 \\ 0 & -1 \end{pmatrix}\]C. \[\begin{pmatrix} 1 & 1 \\ 1 & -1 \end{pmatrix}\]D. \[\begin{pmatrix} 0 & 1 \\ 1 & 0 \end{pmatrix}\]4. 矩阵A的特征值是λ,那么矩阵A的转置的特征值是()。
A. λB. -λC. 0D. 不确定5. 设A是n阶方阵,且A^2=I(I是单位矩阵),则A的行列式是()。
A. 1B. -1C. 0D. 不确定二、填空题(每题3分,共15分)6. 若矩阵A的秩为2,则A的行最简形矩阵中非零行的个数为_________。
7. 设A是3×3矩阵,且A的迹等于3,则A的对角线元素之和为_________。
8. 若线性方程组的系数矩阵A和增广矩阵B的秩相等,则该方程组有_________解。
9. 设矩阵A的特征多项式为f(λ)=λ^2-5λ+6,则A的特征值为_________。
10. 若矩阵A与B相似,则A与B有相同的_________。
三、解答题(每题10分,共20分)11. 给定矩阵\[A=\begin{pmatrix} 2 & 1 \\ 1 & 2\end{pmatrix}\],求矩阵A的特征值和特征向量。
《高等代数》上题库第一章多项式填空题 1.71、设用x-1除fx余数为5用x1除fx余数为7则用x2-1除fx余数是。
1.52、当px是多项式时由px fxgx可推出pxfx或pxgx。
1.43、当fx与gx 时由fxgxhx可推出fxhx。
1.54、设fxx33x2axb 用x1除余数为3用x-1除余数为5那么a b 。
1.75、设fxx43x2-kx2用x-1除余数为3则k 。
1.76、如果x2-12x4-3x36x2axb则a b 。
1.77、如果fxx3-3xk有重根那么k 。
1.88、以l为二重根21i为单根的次数最低的实系数多项式为fx 。
1.89、已知1-i是fxx4-4x35x2-2x-2的一个根则fx的全部根是。
1.410、如果fxgx1hxgx1 则。
1.511、设px是不可约多项式pxfxgx则。
1.312、如果fxgxgxhx则。
1.513、设px是不可约多项式fx是任一多项式则。
1.314、若fxgxhxfxgx则。
1.315、若fxgxfx hx则。
1.416、若gxfxhxfx 且gxhx1则。
1.517、若px gxhx且则pxgx或pxhx。
1.418、若fxgxhx且fxgx-hx则。
1.719、α是fx的根的充分必要条件是。
1.720、fx没有重根的充分必要条件是。
答案1、-x6 2、不可约3、互素4、a0b1 5、k3 6、a3b-7 7、k±2 8、x5-6x415x3-20x214x-4 9、1-i1i 121-2 10、fxhxgx1 11、pxfx或pxgx 12、fxhx 13、pxfx或pxfx1 14、fxhx 15、fxgxhx 16、gxhxfx 17、px是不可约多项式18、fxgx且fxhx 19、x-αfx 20、fxf’x1 判断并说明理由1.11、数集12ibabia是有理数是数域 1.12、数集12ibabia是整数是数域 1.33、若fxgxhxfxgx则fxhx 1.34、若fxgxhxfxgx则fxhx 1.45、若gxfxhxfx则gxhxfx 1.46、若fxgxhx1则fxhx1 gxhx1 7、若fxgxhx且fxgx则fxhx1 1.68、设px是数域p上不可约多项式那么如果px是fx的k重因式则px是fx的k-1重因式。
完整版高等代数习题解答(第一章)高等代数题解答第一章多项式补充题1.当a,b,c取何值时,多项式f(x)=x-5与g(x)=a(x-2)^2+b(x+1)+c(x^2-x+2)相等?提示:比较系数得a=-1,b=-1,c=6.补充题2.设f(x),g(x),h(x)∈[x],f^2(x)=xg^2(x)+x^3h^2(x),证明:假设f(x)=g(x)=h(x)不成立。
若f(x)≠0,则∂(f^2(x))为偶数,又g^2(x),h^2(x)等于或次数为偶数,由于g^2(x),h^2(x)∈[x],首项系数(如果有的话)为正数,从而xg^2(x)+x^3h^2(x)等于或次数为奇数,矛盾。
若g(x)≠0或h(x)≠0,则∂(xg^2(x)+x^3h^2(x))为奇数,而f^2(x)为偶数,矛盾。
综上所证,f(x)≠g(x)或f(x)≠h(x)。
1.用g(x)除f(x),求商q(x)与余式r(x):1)f(x) =x^3-3x^2-x-1,g(x) =3x^2-2x+1;2)f(x) =x^4-2x+5,g(x) =x^2-x+2.1)解法一:待定系数法。
由于f(x)是首项系数为1的3次多项式,而g(x)是首项系数为3的2次多项式,所以商q(x)必是首项系数为1的1次多项式,而余式的次数小于2.于是可设q(x)=x+a,r(x)=bx+c。
根据f(x)=q(x)g(x)+r(x),即x^3-3x^2-x-1=(x+a)(3x^2-2x+1)+bx+c,右边展开,合并同类项,再比较两边同次幂的系数,得a=-1/3,b=-2/3,c=-1,故得q(x)=x-1/3,r(x)=-x-1/3.2)解法二:带余除法。
用长除法得商q(x)=x^2+x-1,余式r(x)=-5x+7.2.m,p,q适合什么条件时,有1)x^2+mx-1/x^3+px+q;2)x^2+mx+1/x^4+px^2+q.解:1)将x^3+px+q除以x^2+mx-1得商为x+m+1/(x+m-1),所以当m≠1时有解。
高等代数习题及参考答案第一章多项式1.用g(x)除f(x),求商q(x)与余式r(x):322f(x)?x?3x?x?1,g(x)?3x?2x?1; 1)2)f(x)?x4?2x?5,g(x)?x2?x?2。
q(x)?17262x?,r(x)??x?3999;解 1)由带余除法,可得2q(x)?x?x?1,r(x)??5x?7。
2)同理可得2.m,p,q适合什么条件时,有23x?mx?1|x?px?q, 1)242x?mx?1|x?px?q。
2)2(p?1?m)x?(q?m)?0,解 1)由假设,所得余式为0,即?p?1?m2?0?23q?m?0x?mx?1|x?px?q。
?所以当时有?m(2?p?m2)?0?2q?1?p?m?02)类似可得?,于是当m?0时,代入(2)可得p?q?1;而当2?p?m2?0时,代入(2)可得q?1。
?m?0?q?1??2242p?q?1p?m?2x?mx?1|x?px?q。
??综上所诉,当或时,皆有3.求g(x)除f(x)的商q(x)与余式:53f(x)?2x?5x?8x,g(x)?x?3; 1)2)f(x)?x?x?x,g(x)?x?1?2i。
32q(x)?2x4?6x3?13x2?39x?109解 1)r(x)??327;q(x)?x2?2ix?(5?2i)2)r(x)??9?8i。
x?x0的方幂和,即表成4.把f(x)表示成c0?c1(x?x0)?c2(x?x0)2?...?cn(x?x0)n??的形式:5f(x)?x,x0?1; 1)42f(x)?x?2x?3,x0??2; 2)432f(x)?x?2ix?(1?i)x?3x?7?i,x0??i。
3)2345f(x)?1?5(x?1)?10(x?1)?10(x?1)?5(x?1)?(x?1)解 1)由综合除法,可得; 2)由综合除法,可得x?2x?3?11?24(x?2)?22(x?2)?8(x?2)?(x?2);432x?2ix?(1?i)x?3x?(7?i) 3)由综合除法,可得42234?(7?5i)?5(x?i)?(?1?i)(x?i)2?2i(x?i)3?(x?i)4。
⾼等代数例题(全部)⾼等代数例题第⼀章多项式1.44P 2 (1)m 、p 、q 适合什么条件时,有231x mx x px q +-++2.45P 7 设32()(1)22f x x t x x u =++++,3()g x x tx u =++的最⼤公因式是⼀个⼆次多项式,求t 、u 的值。
3.45P 14 证明:如果((),())1f x g x =,那么(()(),()())1f x g x f x g x += 4.45P 18 求多项式3x px q ++有重根的条件。
5.46P 24 证明:如果(1)()n x f x -,那么(1)()n n x f x -6.46P 25 证明:如果23312(1)()()x x f x xf x +++,那么1(1)()x f x -,2(1)()x f x - 7.46P 26 求多项式1nx -在复数域内和实数域内的因式分解。
8.46P 28 (4)多项式1p x px ++ (p 为奇素数)在有理数域上是否可约?9.47P 1 设1()()()f x af x bg x =+,1()()()g x cf x dg x =+,且0ad bc -≠。
求证:11((),())((),())f x g x f x g x =。
10.48P 5 多项式()m x 称为多项式()f x ,()g x 的⼀个最⼩公倍式,如果(1)()()f x m x ,()()g x m x ;(2)()f x ,()g x 的任意⼀个公倍式都是()m x 的倍式。
我们以[(),()]f x g x 表⽰⾸项系数为1的那个最⼩公倍式。
证明:如果()f x ,()g x 的⾸项系数都为1,那么()()[(),()]((),())f xg x f x g x f x g x =。
11.设 m 、n 为整数,2()1g x x x =++除33()2mn f x xx =+-所得余式为。
《高等代数》(上)题库第一章多项式填空题(1.7)1、设用x-1除f(x)余数为5,用x+1除f(x)余数为7,则用x2-1除f(x)余数是。
(1.5)2、当p(x)是多项式时,由p(x)| f(x)g(x)可推出p(x)|f(x)或p(x)|g(x)。
(1.4)3、当f(x)与g(x) 时,由f(x)|g(x)h(x)可推出f(x)|h(x)。
(1.5)4、设f(x)=x3+3x2+ax+b 用x+1除余数为3,用x-1除余数为5,那么a= b。
(1.7)5、设f(x)=x4+3x2-kx+2用x-1除余数为3,则k= 。
(1.7)6、如果(x2-1)2|x4-3x3+6x2+ax+b,则a= b= 。
(1.7)7、如果f(x)=x3-3x+k有重根,那么k= 。
(1.8)8、以l为二重根,2,1+i为单根的次数最低的实系数多项式为f(x)= 。
(1.8)9、已知1-i是f(x)=x4-4x3+5x2-2x-2的一个根,则f(x)的全部根是。
(1.4)10、如果(f(x),g(x))=1,(h(x),g(x))=1 则。
(1.5)11、设p(x)是不可约多项式,p(x)|f(x)g(x),则。
(1.3)12、如果f(x)|g(x),g(x)|h(x),则。
(1.5)13、设p(x)是不可约多项式,f(x)是任一多项式,则。
(1.3)14、若f(x)|g(x)+h(x),f(x)|g(x),则。
(1.3)15、若f(x)|g(x),f(x)| h(x),则。
(1.4)16、若g(x)|f(x),h(x)|f(x),且(g(x),h(x))=1,则。
(1.5)17、若p(x) |g(x)h(x),且则p(x)|g(x)或p(x)|h(x)。
(1.4)18、若f(x)|g(x)+h(x)且f(x)|g(x)-h(x),则。
(1.7)19、α是f(x)的根的充分必要条件是。
(1.7)20、f(x)没有重根的充分必要条件是。
高等代数(一)考试试卷一、单选题(每一小题备选答案中,只有一个答案是正确的,请把你认为正确答案的题号填入答题纸内相应的表格中。
错选、多选、不选均不给分,6小题,每小题4分,共24分)1. 以下乘积中( )是4阶行列式ij D a =展开式中取负号的项.A 、11223344a a a a .B 、14233142a a a a .C 、12233144a a a a .D 、23413214a a a a .2.行列式13402324a --中元素a 的代数余子式是( ).A 、0324-. B 、0324--. C 、1403-. D 、1403. 3.设,A B 都是n 阶矩阵,若AB O =,则正确的是( ). A 、()()r A r B n +≤. B 、0A =. C 、A O =或B O =. D 、0A ≠.4.下列向量组中,线性无关的是( ).A 、{}0.B 、{},,αβ0.C 、{}12,,,r αααL ,其中12m αα=.D 、{}12,,,r αααL ,其中任一向量都不能表示成其余向量的线性组合. 5.设A 是n 阶矩阵且()r A r n =<,则A 中( ).A 、必有r 个行向量线性无关.B 、任意r 个行向量线性无关.C 、任意r 个行向量构成一个极大线性无关组.D 、任意一个行向量都能被其它r 个行向量线性表出.6.n 阶矩阵A 具有n 个不同的特征值是A 与对角阵相似的( )条件. A 、充要. B 、充分非必要. C 、必要非充分. D 、非充分非必要. 二、判断题(正确的打√,错误的打×,5小题,每小题2分,共10分). 1.若A 为n 阶矩阵,k 为非零常数,则kA k A =. ( ) 2.若两个向量组等价,则它们包含的向量个数相同. ( ) 3.对任一排列施行偶数次对换后,排列的奇偶性不变. ( ) 4.正交矩阵的逆矩阵仍是正交矩阵. ( ) 5.任何数域都包含有理数域. ( ) 三、填空题(每空4分,共24分).1.行列式0001020010000D n n==-L L LLLL L L L. 2.已知5(1,0,1)3(1,0,2)(1,3,1),(4,2,1)αβ---=--=-,则α= ,(,)αβ= .3.矩阵12311211022584311112A ---⎡⎤⎢⎥--⎢⎥=⎢⎥---⎢⎥--⎣⎦,则()r A = . 4.设线性方程组11112211211222221122n n n n n n nn n na x a x a xb a x a x a x b a x a x a x b +++=⎧⎪+++=⎪⎨⎪⎪+++=⎩L L L L L L L L L L 有解,其系数矩阵A 与增广矩阵A 的秩分别为s 和t ,则s 与t 的大小关系是 .5.设111123111,124111051A B ⎡⎤⎡⎤⎢⎥⎢⎥=-=--⎢⎥⎢⎥⎢⎥⎢⎥-⎣⎦⎣⎦,则1A B -= .四、计算题(4小题,共42分)1.计算行列式(1)111111111111a a a a;(2)111116541362516121612564.(每小题6分,共12分)2.用基础解系表出线性方程组123451234512345123452321236222223517105x x x x x x x x x x x x x x x x x x x x ++-+=⎧⎪+++-=⎪⎨+++-=⎪⎪+--+=⎩的全部解.(10分)3.求与向量组123(1,1,1,1),(1,1,0,4),(3,5,1,1)ααα==-=-等价的正交单位向量组.(10分)4.求矩阵211020413A -⎡⎤⎢⎥=⎢⎥⎢⎥-⎣⎦的特征根和特征向量.(10分)一、单选题(每题4分,共24分)二、判断题(每题2分,共10分)三、填空题(每空4分,共24分)1.(1)2(1)!n n n --⋅; 2.(1 (2)0;3.3; 4.s t =;5.351222312212112-⎡⎤⎢⎥-⎢⎥⎢⎥-⎣⎦. 四、计算题(共42分)1.(12分,每小题各6分) (1)解:11131111111111311111(3)111311111111311111a a a a a a a a a a a aa a a++==+++ ..............(3分)311110100(3)(3)(1)001001a a a a a a -=+=+--- ...................(3分)注:中间步骤形式多样,可酌情加分(2)解:222233331111111116541654136251616541216125641654=,此行列式为范德蒙行列式 ......(3分)进而2222333311111654=(61)(51)(41)(56)(46)(45)12016541654=------=-原式 .......(3分)2.(10分)解:用初等变换把增广矩阵化为阶梯形1213211213211213212111360317740115411122220115410317742351710501711630171163---⎡⎤⎡⎤⎡⎤⎢⎥⎢⎥⎢⎥-------⎢⎥⎢⎥⎢⎥→→⎢⎥⎢⎥⎢⎥------⎢⎥⎢⎥⎢⎥--------⎣⎦⎣⎦⎣⎦1213211213210115410115410317740048510171163000000--⎡⎤⎡⎤⎢⎥⎢⎥------⎢⎥⎢⎥→→⎢⎥⎢⎥-----⎢⎥⎢⎥---⎣⎦⎣⎦..................(3分)得同解方程组12345234534523215414851x x x x x x x x x x x x ++-+=⎧⎪--+=-⎨⎪+-=-⎩ 取45,x x 为自由未知量,得方程的一般解为12345234534521321544185x x x x x x x x x x x x++=+-⎧⎪-=+-⎨⎪=--+⎩(其中45,x x 为自由未知量) 将450,0x x ==代入得特解01551(,,,0,0)444γ=--. ................(3分)用同样初等变换,得到与导出组同解的方程组12345234534523205404850x x x x x x x x x x x x ++-+=⎧⎪--+=⎨⎪+-=⎩仍取45,x x 为自由未知量,得一般解12345234534523254485x x x x x x x x x x x x++=-⎧⎪-=-⎨⎪=-+⎩,将451,0x x ==和450,4x x ==分别代入得到一个基础解系:12(1,3,2,1,0),(9,11,5,0,4)ηη=--=- ...............(3分)所以,原方程组的全部解为01122k k γηη++,12,k k 为数域P 中任意数。
高等代数第一章检测题一、判断题1.数域P 一定是个无限有集。
( )2.零多项式是唯一不定义次数的多项式。
( )3.零多项式只能整除零多项式,而任意多项式都能整除零多项式。
( )4.若)()()(x h x g x f ,则)()(x g x f 或)()(x h x f 。
( )二、填空题1.多项式157424---x x x 的有理根是 .2.多项式14+x 任复数域上的分解式 .3.多项式1323-+-tx x x 有重根,,则 .4.多项式)(x f 与)(x g 互素的充要条件是 .5.设d x c x b x a x x x +-+-+-=-+-)2()2()2(5322323则a 、b 、c 、d 分别是 . 三、选择题1.设][)(),(x p x g x f ∈,且满足)()()()(x r x q x g x f +=,那么 .(A )))(),(())(),((x r x f x g x f =; (B )))(),(())(),((x r x f x q x f =(C )))(),(())(),((x r x g x g x f = (D )))(),(())(),((x r x g x q x f =2.设][)(),(x p x g x f ∈,0)()(,0)(,0)(≠±≠≠x g x f x g x f 那么下列式子中 成立.(A )))(())(())()((x g x f x g x f ∂±∂=±∂;(B ))))(()),((max())()((x g x f x g x f ∂∂≤±∂;(C ))))(()),((max())()((x g x f x g x f ∂∂≥±∂;(D )))(()),((min ))()((x g x f x g x f ∂∂=±∂.3.设011)(a x a x a x f n n n n ++=--是一个整系数多项式,而s r 是它的一个有理根,(其中r 与s 互素),那么必有 .(A )0a s n a r ; (B )n a s 0a r(C )s 0a n a r ; (D )s n a 0a r4.在有理数域中,不可约多项式的次数 .(A )必是一次的; (B )必是二次的;(C )必是一次或者二次的; (D )可以是任意次的.5.不可约多项式)(x p 是多次式)(x f '的1-k 重因式是)(x p 是)(x f 的k 重因式的 条件.(A )必要; (B )充分必要;(C )充分; (D )没有关系.四、完成题1.2)(,52)(24+-=+-=x x x g x x x f 用)(x g 除)(x f ,求商)(x q 及余式)(x r .2.求1)(3+-=x x x g 除l x kx x x x x f +++-+=533)(2345所得商式及余式,并确定l k ,的值,使)(x g 整除)(x f .3.设22)(234-+++=bx x ax x x f①如果)(x f 被22--x x 整除,求b a ,.②如果)(x f 被2)1(-x 整除,求b a ,,4.已知实系数方程0223=+++r qx x x 有一个根是i 21+-,试求r q ,并解此方程. 5.问2是否是多项式81222116)(345+--+-=x x x x x x f 的根,如果是,是几重根?五、证明题1.证明:如果)(x f ,)(x g 不全为零,且存在))(),(()()()()(x g x f x g x v x f x u =+则1))(),((=x v x u .2.设)(x P 是一个不可约多项式,而)(x f 是一个任意多项式,则或者)(x P 与)(x f 互素,或者)(x P 整除)(x f .3.证明:多项式3+n x 在有理数域Q 上不可约.。
《高等代数》(上)题库第一章多项式填空题(1.7)1、设用x-1除f(x)余数为5,用x+1除f(x)余数为7,则用x2-1除f(x)余数是。
(1.5)2、当p(x)是多项式时,由p(x)| f(x)g(x)可推出p(x)|f(x)或p(x)|g(x)。
(1.4)3、当f(x)与g(x) 时,由f(x)|g(x)h(x)可推出f(x)|h(x)。
(1.5)4、设f(x)=x3+3x2+ax+b 用x+1除余数为3,用x-1除余数为5,那么a= b。
(1.7)5、设f(x)=x4+3x2-kx+2用x-1除余数为3,则k= 。
(1.7)6、如果(x2-1)2|x4-3x3+6x2+ax+b,则a= b= 。
(1.7)7、如果f(x)=x3-3x+k有重根,那么k= 。
(1.8)8、以l为二重根,2,1+i为单根的次数最低的实系数多项式为f(x)= 。
(1.8)9、已知1-i是f(x)=x4-4x3+5x2-2x-2的一个根,则f(x)的全部根是。
(1.4)10、如果(f(x),g(x))=1,(h(x),g(x))=1 则。
(1.5)11、设p(x)是不可约多项式,p(x)|f(x)g(x),则。
(1.3)12、如果f(x)|g(x),g(x)|h(x),则。
(1.5)13、设p(x)是不可约多项式,f(x)是任一多项式,则。
(1.3)14、若f(x)|g(x)+h(x),f(x)|g(x),则。
(1.3)15、若f(x)|g(x),f(x)| h(x),则。
(1.4)16、若g(x)|f(x),h(x)|f(x),且(g(x),h(x))=1,则。
(1.5)17、若p(x) |g(x)h(x),且则p(x)|g(x)或p(x)|h(x)。
(1.4)18、若f(x)|g(x)+h(x)且f(x)|g(x)-h(x),则。
(1.7)19、α是f(x)的根的充分必要条件是。
(1.7)20、f(x)没有重根的充分必要条件是。
答案1、-x+62、不可约3、互素4、a=0,b=15、k=36、a=3,b=-77、k=±28、x5-6x4+15x3-20x2+14x-4 9、1-i,1+i 1+2,1-2 10、(f(x)h(x),g(x))=1 11、p(x)|f(x)或p(x)|g(x) 12、f(x)|h(x) 13、p(x)|f(x)或(p(x),f(x))=1 14、f(x)|h(x) 15、f(x)|g(x)+h(x) 16、g(x)h(x)|f(x) 17、p(x)是不可约多项式 18、f(x)|g(x)且f(x)|h(x) 19、x-α|f(x) 20、(f(x),f’(x))=1判断并说明理由(1.1)1、数集}{1,,|2-=+i b a bi a 是有理数是数域( ) (1.1)2、数集}{1,,|2-=+i b a bi a 是整数是数域 ( )(1.3)3、若f(x)|g(x)h(x),f(x)|g(x),则f(x)|h(x) ( ) (1.3)4、若f(x)|g(x)+h(x),f(x)|g(x),则f(x)|h(x) ( ) (1.4)5、若g(x)|f(x),h(x)|f(x),则g(x)h(x)|f(x) ( )(1.4)6、若(f(x)g(x),h(x))=1,则(f(x),h(x))=1 (g(x),h(x))=1 ( ) 7、若f(x)|g(x)h(x),且f(x)|g(x),则(f(x),h(x))=1 ( )(1.6)8、设p(x)是数域p 上不可约多项式,那么如果p(x)是f(x)的k 重因式,则p(x)是f(x)的k-1重因式。
( )(1.9)9、如果f(x)在有理数域上是可约的,则f(x)必有有理根。
( ) (1.9)10、f(x)=x 4-2x 3+8x-10在有理数域上不可约。
( )(1.1)11、数集}{是有理数b a b a ,|2+是数域 ( )(1.1)12、数集}{为整数n n|2是数域 ( )(1.3)13、若f(x)|g(x)h(x),则f(x)|g(x)或f(x)|h(x) ( ) (1.3)14、若f(x)|g(x),f(x)|h(x),则f(x)|g(x)h(x) ( )(1.3)15、若f(x)|g(x)+h(x),f(x)|g(x)-h(x),则f(x)|g(x)且f(x)|h(x) ( )(1.4)16、若有d(x)=f(x)u(x)+g(x)v(x),则d(x)是f(x),g(x)的最大公因式 ( )(1.6)17、若p(x)是f ’(x)的k 重因式,则p(x)是f(x)的k+1重因式( ) (1.7)18、如果f(x)没有有理根,则它在有理数域上不可约。
( ) (1.8)19、奇次数的实系数多项式必有实根。
( ) (1.9)20、 f(x)=x 6+x 3+1在有理数域上可约。
( )答案:1、√ 2、× 3、× 4、√ 5、× 6、√ 7、× 8、√ 9、× 10、√11、√ 12、× 除法不封闭 13、× 当f(x)是不可约时才成立 14、× 如f(x)=x 2,g(x)=h(x)=x 时 不成立 15、√ 16、× 17、×如f(x)=x k+1+1 18×、19、√虚根成对 20、× 变形后用判别法知 不可约选择题(1.1)1、以下数集不是数域的是( )A 、{是有理数b a bi a ,|+,i 2= -1}B 、 {是整数b a bi a ,|+,i 2= -1}C 、{}是有理数b a b a ,|2+D 、{}全体有理数(1.3)2、关于多项式的整除,以下命题正确的是 ( )A 、若f(x)|g(x)h(x),且f(x)|g(x)则f(x)|h(x)B 、若g(x)|f(x),h(x)|f(x),则g(x)h(x)|f(x)C 、若f(x)|g(x)+h(x),且f(x)|g(x),则/ f(x)|h(x)D 、若f(x)|g(x),f(x)|h(x),则f(x)|g(x)h(x)(1.4)3、关于多项式的最大公因式,以下结论正确的是 ( ) A 、若f(x)|g(x)h(x) 且f(x)|g(x) ,则(f(x),h(x))=1B 、若存在u(x),v(x),使得f(x)u(x)+g(x)v(x)=d(x),则d(x)是f(x)和g(x)的最大公因式C 、若d(x)|f(x),且有f(x)u(x)+g(x)v(x) =d(x),则d(x)是f(x)和g(x)的最大公因式D 、若(f(x)g(x),h(x))=1,则(f(x),h(x))=1且(g(x),h(x))=1( ) (1.7)4、关于多项式的根,以下结论正确的是 ( ) A 、如果f(x)在有理数域上可约,则它必有理根。
B 、如果f(x)在实数域上可约,则它必有实根。
C 、如果f(x)没有有理根,则f(x)在有理数域上不可约。
D 、一个三次实系数多项式必有实根。
(1.6)5、关于多项式的重因式,以下结论正确的是( )A 、若f(x)是f ’(x)的k 重因式,则p(x) 是f(x)的k+1重因式B 、若p(x)是f(x)的k 重因式,则p(x) 是f(x),f ’(x)的公因式C 、若p(x)是f ’(x)的因式,则p(x)是f(x)的重因式D 、若p(x)是f(x)的重因式,则p(x)是))(),(()(x f x f x f 的单因式 (1.7)6、关于多项式的根,以下结论不正确的是 ( )A 、α是f(x)的根的充分必要条件是x-α|f(x)B 、若f(x)没有有理根,则f(x)在有理数域上不可约C 、每个次数≥1的复数系数多项式,在复数域中有根D 、一个三次的实系数多项式必有实根(1.7)7、设f(x)=x 3-3x+k 有重根,那么k=( ) A 、1 B 、-1 C 、±2 D 、0 (1.9)8、设f(x)=x 3-3x 2+tx-1是整系数多项式,当t=( )时,f(x)在有理数域上可约。
A 、1 B 、0 C 、-1 D 、3或-5(1.9)9、设f(x)=x 3-tx 2+5x+1是整系数多项式,当t=( )时,f(x)在有理数域上可约。
A 、t=7或3B 、1C 、-1D 、0(1.9)10、设f(x)=x 3+tx 2+3x-1是整系数多项式,当t=( )时,f(x)在有理数域上可约。
A 、1B 、-1C 、0D 、5或-3(1.5)11、关于不可约多项式p(x),以下结论不正确的是( ) A 、若p(x)|f(x)g(x),则p(x)|f(x)或p(x)|g(x)B 、若q(x)也是不可约多项式,则(p(x),q(x))=1或p(x)=cq(x) c ≠0C 、p(x)是任何数域上的不可约多项式D 、p(x)是有理数域上的不可约多项式(1.9)12、设f(x)=x 5+5x+1,以下结论不正确的是( )A 、f(x)在有理数域上 不可约B 、f(x)在有理数域上 可约C 、f(x)有一实根D 、f(x)没有有理根(1.9)13、设f(x)=x p +px+1,p 为奇素数,以下结论正确的是 ( ) A 、f(x)在有理数域上 不可约B 、f(x)在有理数域上 可约C 、f(x)在实数域上 不可约D 、f(x)在复数域上 不可约答案:1、B2、C3、D4、D5、D6、B7、C8、D9、A 10、D 11、C 12、B 13、A计算题(1.3)1、求m ,p 的值使 x 2+3x+2|x 4-mx 2-px+2解:用带余除法 求得r(x)=-(3m+p+15)x-(2m+12)令r(x)=0即⎩⎨⎧=+=++060153m p m求得m= -6 p=3(1.6)2、判断f(x)=x 4-6x 2+8x-3有无重因式,如果有,求其重数 解:f ’(x)=4x 3-12x+8 (f(x),f ’(x))=(x-1)2x-1是f(x)的三重因式(1.7)3、设f(x)=x 4-3x 3+6x 2-10x+16, C=3,求f(c)解:用综合除法求得f(c)=40(1.7)4、决是t 的值,使f(x)=x 3-3x 2+tx-1 有重根解J :由辗转除法使(f(x),f ’(x))≠求得t=3 或t=415-当t=3时 f(x)有三重根1 当t=415-时,f(x)有二重根-21(1.9)5、设f(x)=x 5+x 4-2x 3-x 2-x+2,求f(x)的有理根,并写出f(x)在实数域和复数域上的标准分解式。
解:有理根是1(二重),2 实数域上分解式为f(x)=(x-1)2(x+2)(x 2+x+1)复数域上分解式为f(x)=(x-1)2(x+2)(x+21-23i)(x+)2321i +(1.9)6、求f(x)=4x 4-7x 2-5x+1的有理根,并写出f(x)在有理数域上的标准分解式。