《电动力学(第二版)》(郭硕鸿)第二章习题
- 格式:doc
- 大小:792.50 KB
- 文档页数:11
第二章 静 电 场静电场:静止电荷或电荷分布不随时间变化产生的电场一.主要内容:应用电磁场基本理论解决最简单的问题:电荷静止或电荷分布不随时间变化,产生的场不随时间变化的静电场问题。
本章研究的主要问题是:在给定自由电荷分布及介质和导体分布的情况下如何求解静电场。
由于静电场的基本方程是矢量方程,求解很难,并不直接求解静电场的场强,而是通过静电场的标势来求解。
首先根据静电场满足的麦克斯韦方程,引入标势,讨论其满足的微分方程和边值关系。
在后面几节中陆续研究求解:分离变量法、镜像法和格林函数法。
最后讨论局部范围内的电荷分布所激发的电势在远处的展开式。
知 识 体 系:1.静电场的微分方程:0=⨯∇ED ρ∇⋅= 边值关系:()12=-⨯E E n()21n D D σ⋅-= 静电场的能量:12W E DdV ∞=⋅⎰ 12V W dV ρϕ=⎰2.静电边值问题的构成:21122121S S S S S S n n n ρϕεϕϕϕϕεεσϕϕ⎧∇=-⎪⎪=⎪⎪∂∂⎨-=-⎪∂∂⎪∂⎪⎪∂⎩或 3.静电边值问题的基本解法: (1)镜像法 (2)分离变量法条件:电势满足拉普拉斯方程:20ϕ∇= (3)电多极矩引入电势:E ϕ=-∇ 122121SSSSnnϕϕϕϕεεσ⎧=⎪⎨∂∂-=-⎪∂∂⎩——微分方程 ——边界条件(由唯一性定理给出)(4) 格林函数法二.内容提要:1.静电场的电势及其微分方程: (1)电势和电势梯度因为静电场为无旋场,即0=⨯∇E,所以可以引入标量函数ϕ,引入后ϕ-∇=E电势差:空间某点电势无物理意义,但两点间电势差有意义选空间有限两点Q P →⎰⋅-=-QPP Q l d E ϕϕ参考点:(1)电荷分布在有限区域,通常选无穷远为电势参考点 )(0∞→=∞Q ϕ⎰∞⋅=PP l d E ϕ(2)电荷分布在无限区域不能选无穷远点作参考点,否则积分将无穷大。
电荷分布在有限区域时的几种情况的电势 (1) 真空中点电荷300()44PQr QP dl r rϕπεπε∞'=⋅='⎰无限大均匀线性介质中点电荷 : rQ πεϕ4=(2) 电荷组 : ∑==ni ii r Q P 104)(πεϕ(3) 连续分布电荷:无穷远处为参考点⎰''=VrV d x P 04)()(περϕ(2)电势满足的微分方程和边值关系泊松方程:ερϕ-=∇2 ○1 其中ρ仅为自由电荷分布,适用于均匀各向同性线性介质。
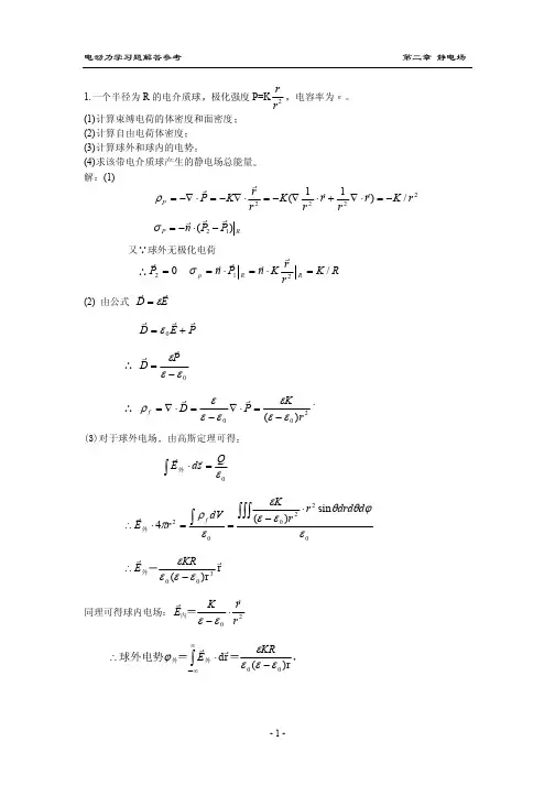
习题二1.将一个位于真空中的带电导体球切成两半,求它们之间的排斥力.设球的半径为0R ,球的电势为0V .答案: .ˆ2200z e V F πε= 解:0004R q V πε=,0004V R q πε=,.00R V εσ=z z eV e R F ˆ2ˆ22002002πεπεσ=⋅= 2.内外半径分别为a 和b 的无限长圆柱形电容器,单位长度荷电为f λ,板间填充电导率为σ的非磁性物质.⑴证明在介质中任何一点传导电流与位移电流严格抵消.因此内部无磁场.⑵求f λ随时间的衰减规律.⑶求与轴相距为r 的地方的能量耗散功率密度.⑷求长度为l 的一段介质总的能量耗散功率,并证明它等于这段的静电能减少率. ⑵;0tf eεσλλ-=⑶22⎪⎪⎭⎫⎝⎛r f πελσ;⑷.ln 222a bl f πελσ 解:⑴r f e r D ˆ2πλ= ,.ˆ2r fe rD E πελε==.ˆ2r f f e r E J πεσλσ== .ˆ21r fD e tr t D J ∂∂=∂∂=λπ对两式求散度,并且由f D ρ=⋅∇ ,0=∂∂+⋅∇tJ ff ρ得f f tλεσλ-=∂∂,所以 0=∂∂+tDJ f 。
因为介质是非磁性的,即H Bμ=,故任意一点,任意时刻有 000=⎪⎪⎭⎫⎝⎛∂∂+=⨯∇=⨯∇t D J H B fμμ⑵由f f tλεσλ-=∂∂,解这个微分方程得 ()tf e t εσλλ-=0⑶()222/r E E J p f f πελσσ==⋅=⑷长度为l 的一段介质耗散的功率为.ln 222222a b l rldr r f baf πελσππελσ=⎪⎪⎭⎫⎝⎛⎰ 能量密度()22/,21r tw D E w f πελσ-=∂∂⋅= 长度为l 的一段介质内能量减少率为.ln 2222ab l rldr t wf baπελσπ⎰=∂∂-3.一很长的直圆筒,半径为R ,表面上带有一层均匀电荷,电荷量的面密度为σ.在外力矩的作用下,从0=t 时刻开始,以匀角加速度α绕它的几何轴转动,如图所示.⑴试求筒内的磁感应强度B;⑵试求筒内接近内表面处的电场强度E和玻印廷矢量S ;⑶试证明:进入这圆筒长为l 一段的S 的通量为⎪⎪⎭⎫⎝⎛2022B l R dt d μπ. 答案: ⑴ωσμR B 0=;⑵ωασμe eRr E r ˆˆ210⨯= ;r e r R S ˆ212320ασμ-= .解:⑴单位面电流ωσσπR lTRl i ==2 ωσμμR ei B z 00ˆ== ⑵在圆筒的横截面内,以轴线为心,r 为半径作一圆,通过这圆面积的磁通量为ωσμπR r S d B s02=⋅=Φ⎰由法拉第定律,得 .21210dtd Rr dt d r E ωσμπ-=Φ-=因为 t αω=所以ασμrR E 021-= 考虑到方向,则有z r e erR E ˆˆ210⨯=ασμ 在筒内接近表面处,z r e eR E ˆˆ2120⨯=ασμ 该处的能流密度为()()z z r R R R e R e eR H E S ˆˆˆ2120ωσασμ⨯⨯=⨯= r et R ˆ212320ασμ-= 负号表明,S 垂直于筒表面指向筒内。
第二章静电场本章我们把电磁场的基本理论应用到最简单的情况:电荷静止,相应的电场不随时间而变化的情况本章研究的主要问题是:在给定的自由电荷分布以及周围空间介质和导体分布的情况下,求解静电场本章内容:1.静电场的标势及其微分方程2. 唯一性定理3. 分离变量法4. 镜像法5. 格林函数法6. 电多级矩⎩⎨⎧=⋅∇=×∇ρD E 0麦克斯韦方程组的电场部分为:(1.1)(1.2)这两个方程连同介质的电磁性质方程是解决静电问题的基础●静电场的无旋性是它的一个重要特性●由于无旋性,电场强度E 可以用一个标量场的梯度来表示,和力学中用势函数描述保守力场的方法一样讨论:(a) 只有两点的电势差才有物理意义(b) 在实际计算中,常常选取某个点为参考点,规定其上的电势为零,这样全空间的电势就完全确定了(d) 一个具体问题中只能选一个零势点∫∞⋅=PP l E d )(ϕ(c) 零势点的选择是任意的,在电荷分布于有限区域的情况下,常常选取无穷远的电势为零0)(=∞ϕ(2)给定电荷分布所激发的电势根据电势和电场强度的关系:●当已知电场强度时,可以由积分公式求出电势●已知电势时,通过求梯度就可以求出电场强度由以上讨论可知:①若空间中所有电荷分布都给定,则电场强度和电势均可求出②但实际情况往往并不是所有电荷都能预先给定,因此,必须找出电荷与电场相互作用的微分方程P 2,由于电场强度时,将电荷从P 1 移到P 2,电场σ−§2.2 唯一性定理一、静电问题的唯一性定理下面研究可以均匀分区的区域V :iV iε电容率2314L)(x ρ自由电荷分布2 1342 134二、有导体存在时的唯一性定理当有导体存在时,为了确定电场,所需条件有两种类型:①一类是给定每个导体上的电势ϕi②另一类是给定每个导体上的总电荷Qi给定时,即给出了V’所有值,因而由唯一性定理可设区域V 内有一些导体,给定导体之外的电荷分布,给定各导体上的总电荷Q i 以及V 的边界S 上的ϕ或∂ϕ/∂n 值,则V 内的电场唯一地确定.对于第二种类型的问题,唯一性定理表述如下:)∫′∇+V V V d d 2ϕϕ例:两同心导体球壳之间充以两种介质,左半部电容率为ε1,右半部电容率为ε2,设内球壳带总电荷Q ,外球壳接地,求电场和球壳上的电荷分布.解:设两介质内的电势、电场强度和电位移矢量分别为由于左右两半是不同介质,因此一般不同于只有一种均匀介质时的球对称解,,,,,,222111D E D E ϕϕ§2.3 拉普拉斯方程分离变量法静电学的基本问题是求满足给定边界条件的泊松方程只有在界面形状是比轻简单的几何曲面时,这类问题的解才能以解析形式给出本节和以下几节我们研究几种求解的解析方法一、拉普拉斯方程在许多实际问题中,静电场是由带电导体决定的例如:①电容器内部的电场是由作为电极的两个导体板上所带电荷决定的②电子光学系统的静电透镜内部,电场是由分布于电极上的自由电荷决定的这些问题的特点是:自由电荷只出现在一些导体的表面上,在空间中没有其他自由电荷分布二、分离变量法①将场量的函数表达式中不同坐标相互分离,即将场量分解为单一坐标函数的乘积的形式,求出通解不同坐标系中拉普拉斯方程的通解不同分离变量法就是:②然后再根据给定的边界条件求出实际问题的解)()()(y x y x,υψu =。
电动力学关继腾第二版课后题电动力学关继腾第二版是一本经典的电动力学教材,包含了丰富的理论知识和实例,对于学习电动力学的同学来说是一本不可多得的好书。
在课后题方面,该书也提供了一些有价值的练习题,下面将根据不同章节和难度对一些典型的课后题进行相关参考内容的总结。
第二章直流电场1、求解一平面带电面的电场分布,并计算电场强度。
解答:该题目的主要考察点是平面带电面的电场分布和计算电场强度。
根据电场的定义,电场强度是单位力对电荷的比值。
因此,我们可通过以下步骤求解该题。
第一步:根据题意推导出电场分布的表达式,即E=kσ/ε0。
第二步:根据平面对称性,可得到每一个点的电场强度,即E=kσ/2ε0。
第三步:根据电场强度的定义,求出电场强度的大小,即E=kσ/2ε0=2kσ/ε0。
其中,k为常数,σ为带电面的电荷密度,ε0为真空中的介电常数。
本题的计算较为简单,需要注意使用正确的公式和计算方法。
第三章恒定磁场1、求解匀强磁场中的带电粒子运动轨迹。
解答:该题目的主要考察点是带电粒子在匀强磁场中的运动规律。
在匀强磁场中,带电粒子的运动轨迹为圆周,其半径与电荷量、运动速度和磁场强度有关。
根据以下步骤可以求解该题:第一步:根据洛伦兹力的定义,将带电粒子在磁场中的受力写成向心力的形式。
第二步:根据向心力和圆周运动的条件,求解出带电粒子的运动半径r。
第三步:根据带电粒子在磁场中的运动规律,可求解出粒子在磁场中的运动轨迹。
在求解过程中,需要注意使用正确的公式和计算方法。
此外,对于一些复杂的问题,可能需要运用数值方法进行模拟和计算。
第四章交变电场1、计算一电容器中的能量和电场强度。
解答:该题目的主要考察点是电容器内的能量和电场强度计算。
在一个电容器中,能量存储在电场中,与电容器的电荷量、电势差和电介质的介电常数等有关。
根据以下步骤可求解该题:第一步:根据电容器的定义,计算出电容器的电容量C和某一电荷量q的电势差V。
第二步:根据电容器内的电能公式,计算出电容器中存储的能量U。
电动力学答案第一章 电磁现象的普遍规律1. 根据算符∇的微分性与向量性,推导下列公式:B A B A A B A B B A )()()()()(∇⋅+⨯∇⨯+∇⋅+⨯∇⨯=⋅∇A A A A )()(221∇⋅-∇=⨯∇⨯A 解:(1))()()(c c A B B A B A ⋅∇+⋅∇=⋅∇B A B A A B A B )()()()(∇⋅+⨯∇⨯+∇⋅+⨯∇⨯=c c c cB A B A A B A B )()()()(∇⋅+⨯∇⨯+∇⋅+⨯∇⨯=(2)在(1)中令B A =得:A A A A A A )(2)(2)(∇⋅+⨯∇⨯=⋅∇,所以 A A A A A A )()()(21∇⋅-⋅∇=⨯∇⨯即 A A A A )()(221∇⋅-∇=⨯∇⨯A2. 设u 是空间坐标z y x ,,的函数,证明:u u f u f ∇=∇d d )( , u u u d d )(A A ⋅∇=⋅∇, uu u d d )(A A ⨯∇=⨯∇ 证明: (1)z y x z u f y u f x u f u f e e e ∂∂+∂∂+∂∂=∇)()()()(z y x z uu f y u u f x u u f e e e ∂∂+∂∂+∂∂=d d d d d d u uf z u y u x u u f z y x ∇=∂∂+∂∂+∂∂=d d )(d d e e e (2)z u A y u A x u A u z y x ∂∂+∂∂+∂∂=⋅∇)()()()(A zuu A y u u A x u u A z y x ∂∂+∂∂+∂∂=d d d d d duu z u y u x u u A u A u A z y x z z y y x x d d )()d d d d d d (Ae e e e e e ⋅∇=∂∂+∂∂+∂∂⋅++= (3)uA u A u A z u y u x u uu z y x zy x d /d d /d d /d ///d d ∂∂∂∂∂∂=⨯∇e e e Azx y y z x x y z yu u A x u u A x u u A z u u A z uu A y u u A e e e )d d d d ()d d d d ()d d d d (∂∂-∂∂+∂∂-∂∂+∂∂-∂∂=z x y y z x x y z y u A x u A x u A z u A z u A y u A e e e ])()([])()([])()([∂∂-∂∂+∂∂-∂∂+∂∂-∂∂=)(u A ⨯∇=3. 设222)'()'()'(z z y y x x r -+-+-=为源点'x 到场点x 的距离,r 的方向规定为从源点指向场点。
第二章 静 电 场静电场:静止电荷或电荷分布不随时间变化产生的电场一.主要内容:应用电磁场基本理论解决最简单的问题:电荷静止或电荷分布不随时间变化,产生的场不随时间变化的静电场问题。
本章研究的主要问题是:在给定自由电荷分布及介质和导体分布的情况下如何求解静电场。
由于静电场的基本方程是矢量方程,求解很难,并不直接求解静电场的场强,而是通过静电场的标势来求解。
首先根据静电场满足的麦克斯韦方程,引入标势,讨论其满足的微分方程和边值关系。
在后面几节中陆续研究求解:分离变量法、镜像法和格林函数法。
最后讨论局部范围内的电荷分布所激发的电势在远处的展开式。
知 识 体 系:1.静电场的微分方程:0=⨯∇ED ρ∇⋅= 边值关系:()12=-⨯E E n()21n D D σ⋅-= 静电场的能量:12W E DdV ∞=⋅⎰12V W dV ρϕ=⎰2.静电边值问题的构成:21122121S S S S S S n n nρϕεϕϕϕϕεεσϕϕ⎧∇=-⎪⎪=⎪⎪∂∂⎨-=-⎪∂∂⎪∂⎪⎪∂⎩或3.静电边值问题的基本解法: (1)镜像法 (2)分离变量法引入电势:E ϕ=-∇ 122121SSSSnnϕϕϕϕεεσ⎧=⎪⎨∂∂-=-⎪∂∂⎩——微分方程 ——边界条件(由唯一性定理给出)条件:电势满足拉普拉斯方程:20ϕ∇= (3)电多极矩 (4) 格林函数法二.内容提要:1.静电场的电势及其微分方程: (1)电势和电势梯度因为静电场为无旋场,即0=⨯∇E,所以可以引入标量函数ϕ,引入后ϕ-∇=E电势差:空间某点电势无物理意义,但两点间电势差有意义选空间有限两点Q P →⎰⋅-=-QPP Q l d E ϕϕ参考点:(1)电荷分布在有限区域,通常选无穷远为电势参考点 )(0∞→=∞Q ϕ⎰∞⋅=PP l d E ϕ(2)电荷分布在无限区域不能选无穷远点作参考点,否则积分将无穷大。
电荷分布在有限区域时的几种情况的电势 (1) 真空中点电荷300()44PQr QP dl r rϕπεπε∞'=⋅='⎰无限大均匀线性介质中点电荷 : rQ πεϕ4=(2) 电荷组 : ∑==ni ii r Q P 104)(πεϕ(3) 连续分布电荷:无穷远处为参考点⎰''=VrV d x P 04)()(περϕ(2)电势满足的微分方程和边值关系泊松方程:ερϕ-=∇2 ○1 其中ρ仅为自由电荷分布,适用于均匀各向同性线性介质。