数理统计习题 数理统计练习题
- 格式:doc
- 大小:1.17 MB
- 文档页数:16
数理统计练习题一、选择题(每题2分,共20分)1. 以下哪个是描述总体特征的参数?A. 样本均值B. 总体均值C. 样本方差D. 总体方差2. 随机变量X服从正态分布N(0,1),求P(-1<X<1)的值。
A. 0.34B. 0.68C. 0.95D. 0.993. 某工厂生产的产品中,次品率是0.05,求任意抽取100件产品中至少有5件次品的概率。
A. 0.05B. 0.1C. 0.3D. 0.54. 以下哪个是描述样本特征的统计量?A. 总体均值B. 总体方差C. 样本均值D. 样本方差5. 以下哪个是参数估计的方法?A. 点估计B. 区间估计C. 假设检验D. 以上都是二、填空题(每题2分,共20分)6. 某随机变量X服从二项分布B(10,0.3),求P(X=3)的值。
___________________________7. 已知样本数据为3, 5, 7, 9, 11,求样本均值。
___________________________8. 已知样本数据为2, 4, 6, 8, 10,求样本方差。
___________________________9. 假设检验中,当原假设为H0:μ=20,备择假设为H1:μ≠20,进行t检验时,若t值大于临界值,则__________。
10. 置信度为95%的单样本均值的置信区间为(20.5, 21.5),若要提高置信度至99%,则置信区间会变__________。
三、简答题(每题15分,共30分)11. 解释什么是中心极限定理,并简述其在实际应用中的意义。
12. 描述什么是假设检验中的两类错误,并解释如何平衡它们。
四、计算题(每题15分,共30分)13. 某工厂生产的零件长度服从正态分布N(50, 4),求长度超过52mm 的概率。
14. 某公司进行一项市场调查,随机抽取了100名顾客,其中70人表示愿意购买新产品。
根据这个样本,使用95%的置信水平估计总体中愿意购买新产品的顾客比例。
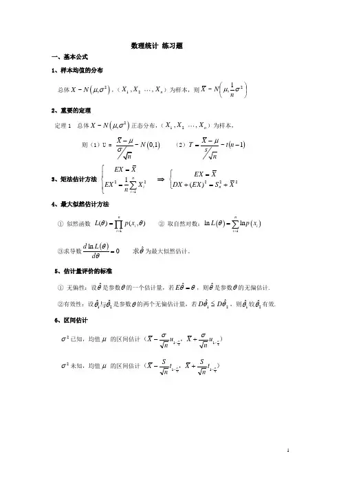
数理统计 练习题一、基本公式 1、样本均值的分布 总体()2~,X Nμσ,(12,,n X X X )为样本,则⎪⎭⎫⎝⎛21,~σμn N X2、重要的定理 定理1 总体()2~,X Nμσ正态分布,(12,,n X X X )为样本,则(1)()~0,1X N (2)()1~--=n t ns X T μ3、矩法估计方法 2211n ii EX XEX X n =⎧=⎪⎨=⎪⎩∑ ⇒ ⎩⎨⎧+=+=222)(X S EX DX X EX n 4、最大似然估计方法 ① 似然函数 ),()(1θθ∏==n i ix p L ② 取自然对数:()()1ln ln nii L p x θ==∑③求导数()ln ˆ0d L d θθθ=求为最大似然估计。
5、估计量评价的标准① 无偏性:设θˆ是参数θ的一个估计量,若θθ=ˆE ,则θˆ是参数θ的无偏估计. ②有效性:设12ˆˆθθ与是参数θ的两个无偏估计量,若21ˆˆθθD D ≤,则1ˆθ较2ˆθ有效. 6、区间估计2σ已知,均值μ 的区间估计),(2211αασσ--+-u n X u n X2σ未知,均值μ 的区间估计),(2211αα--+-t nS X t nS X二、填空题1、n X X X 21,满足(1) ;(2) . 则(n X X X 21,)为简单随机样本.2、一样本a ,0,1,2,3,的均值为1,则样本方差=2n S .3、总体)100,(~μN X ,(1021,X X X )为样本,则样本均值X 的分布是 .4、总体),(~2σμN X 正态分布,(n X X X 21,)为样本,则=X E .=X D . =2ES .5、总体),1(~p b X ,p 为参数,则似然函数L(p )= .6、总体)100,(~μN X 正态分布,(1021,X X X )为样本,则参数μ的最大似然估计是 .7、总体),1(~θU X 的均匀分布,θ为未知参数,(n X X X 21,)为样本,则参数θ的矩法估计量为 .8、 一批零件的长度)4,(~2μN X 正态分布,从中随机地抽取16个零件,得cm X 40=,则μ的置信度为0.95的置信区间是 . 9、总体)2,(~2μN X 正态分布,1216(,,)X X X 为样本,则均值μ的置信度为0.95的置信区间长度为 .(附:975.096.1=Φ)() 10、总体()2~,X Nμσ正态分布,),(321,X X X 为样本,且3215251ˆX aX X ++=μ 是未知参数μ的无偏估计,则 a = .11、在单侧U 检验中,原假设00:μμ≤H 的拒绝域是 .12、 12、总体)1,(~μN X 正态分布,)(n X X ,,1 样本,00:10≠=μμ:,H H 则在0H 成立的条件下,对于显著性水平α的拒绝域为 .三、选择题1、某车间为了检查10万只灯泡的质量,从中抽取500个做试验,抽取的500个灯泡 的质量叫做( ).A 、总 体B 、个 体C 、总体的一个样本D 、样本容量2、总体X 服从均值为19,标准差为10的正态分布,从总体中抽取一个容量为100的随机样本,则样本均值的抽样分布为( ).A 、 N (19,2)B 、 N (10,2)C 、 N (19,1)D 、 N (10,2)3、总体正态分布,其中μ是已知的,而2σ未知,),(321,X X X 为样本,则下列表达式中不是统计量的是( ).A 、321X X X ++B 、},min{321X X X ,C 、∑=31221i i XσD 、μ21+X4、下列不是对称性分布的是( ).A 、2χ (5)B 、t (5)C 、N (5,5)D 、N(0,1)5、321X X X ,,独立,且)5(~21χX ,)10(~22χX ,)15(~23χX ,则321X X X ++仍然服从2χ分布,自由度为( ).A 、 30B 、 40C 、 50D 、 606、当样本容量一定时,均值μ的置信区间大小与置信度α-1的关系为( ). A 、 随着置信度的增大而增大 B 、随着置信度的增大而减小 C 、 与置信度的大小无关 D 、与置信度的平方根成正比7、总体()2~,X N μσ正态分布,2σ已知,995.0)58.2(=Φ ,则μ的的置信区间)58.2(⨯±nX σ的置信度为( ).A 、0.995B 、0.99C 、0.01D 、0.05 8、总体()2~,X Nμσ正态分布,2σ已知,若样本容量n 和置信度α-1均不变,则对于不同的样本观测值,均值μ的置信区间的长度( ) A 、变长 B 、变短 C 、保持不变 D 、不能确定四、计算题1. (04年) 设总体X 的分布函数为),(βx F =11,10,1x x x β⎧->⎪⎨⎪≤⎩,其中未知参数β>1,1x ,2x ,,n x 为来自总体X 的简单随机样本.求 ① β的矩估计量; ② β的最大似然估计量2、设总体X 的密度函数是)(x P =⎩⎨⎧202)2(<≥--x x e x θθ ; 求参数θ的最大似然估计.3、设n X X ,,1 是取自总体X 的一个样本,其中X 服从参数为λ的泊松分布,其中λ未知,0>λ,如得到一组样本观测值,求λ的矩估计值与最大似然估计值.4、总体X ~N (μ,36)的正态分布,今对总体X 进行了9次独立观测,得到如下数据 54 67 77 68 70 66 67 70 65(1)求均值μ的置信度为95%的置信区间. (2)试检验:0H μ=71.3 .(α=0.05) 5、从某台车床加工的零件中任取10件,测量其直径(单位㎝)为20.5 19.9 19.7 20.4 20.1 20.0 19.6 19.9 19.8 20.3,由经验知道直径服从正态分布 N (μ,0.1).能否认为该车床加工的零件的平均直径μ为19.8 .(α=0.05) 6、化肥厂用自动包装机包装化肥,每包的质量服从)2.1,100(2N 的正态分布,某日开工后, 为了确定这天包装机工作是否正常,随机抽取9袋化肥,称得质量如下(单位kg ):99.3 98.7 100.5 101.2 98.3 99.7 99.5 102.1 100.5;设方差稳定不变,试检验100:0=μH (α=0.05 ,附:96.1975.0=u )7、正常人的脉搏平均为72次/分,下面是10例四乙基铅中毒患者的脉搏(次/分)54 67 68 78 70 66 67 70 65 69,已知该患者的脉搏服从),2(σμN 正态分布,求(1)患者的脉搏均值μ的置信度为95%的置信区间. (2)检验720=μ:H 721≠μ:H (α=0.05)。
数理统计练习题一、填空题1、θθθ是常数21ˆ ,ˆ的两个 估计量,若)ˆ()ˆ(21θθD D <,则称1ˆθ比2ˆθ有效。
2、已知总体X ~ N (0, 1),设X 1,X 2,…,X n 是来自总体X 的简单随机样本,则∑=ni iX12~ 。
3、设n X X X ,,,21 是来自总体X ~ N (0, 1)的简单随机样本,则∑=-ni iX X12)(服从的分布为 。
4、X 1,X 2,…,X n 是取自总体()2,σμN 的样本,则212)(σ∑=-ni i X X ~ 。
5、设)(~),1,0(~2n x Y N X ,且X ,Y 相互独立,则~n YX 。
6、已知总体n X X X N X ,,,),,(~212 σμ是来自总体X 的样本,要检验202σσ=:o H ,则采用的统计量是 。
7、设随机变量T 服从自由度为n 的t 分布,若{}αλ=>T P ,则{}=<λT P 。
8、若n X X X N X ,,,),,(~2121 σμ是来自总体X 的样本,2,S X 分别为样本均值和样本方差,则SnX )(μ-~ 。
9、设总体),(~2σμN X ,X 是样本均值,则)(X D ________ . 10、假设子样1621,,,X X X 来自正态母体),(2σμN ,令∑∑==-=161110143i ii i X X Y ,则Y 的分布为 .二、选择题1、设12, X X 是来自总体X 的一个简单随机样本,则最有效的无偏估计是( )。
A. 121122X X μ=+ B. 121233X X μ=+ C. 121344X X μ=+ D. 122355X X μ=+2、设),,,(21n X X X 为总体)2,1(2N 的一个样本,X 为样本均值,则下列结论中正确的是( )。
A.)(~/21n t nX -; B. )1,(~)1(4112n F X ni i ∑=-; C.)1,0(~/21N nX -; D. )(~)1(41212n X ni i χ∑=-; 3、设总体)2,(~2μN X ,其中μ未知,n X X X ,,,21 为来自总体的样本,样本均值为X ,样本方差为2s , 则下列各式中不是统计量的是( )。
数理统计试题及答案一、选择题1. 在一次试验中,事件A和事件B是互斥事件,概率分别为0.4和0.3。
则事件“A或B”发生的概率是多少?A. 0.1B. 0.2C. 0.3D. 0.7答案:D. 0.72. 一批产品的重量服从正态分布,均值为100g,标准差为5g。
若随机抽取一件产品,其重量大于105g的概率是多少?A. 0.6827B. 0.1587C. 0.3413D. 0.0228答案:B. 0.15873. 一家量化投资公司共有1000名员工,调查结果显示,有700人拥有股票,400人拥有债券,300人既拥有股票又拥有债券。
随机选择一名员工,问其既拥有股票又拥有债券的概率是多少?A. 0.3B. 0.4C. 0.2D. 0.15答案:A. 0.34. 设X和Y为两个随机变量,已知X的期望为2,方差为4;Y的期望为5,方差为9,且X与Y的协方差为6。
则X + Y的期望为多少?A. 5B. 7C. 6D. 9答案:B. 7二、计算题1. 一箱产品中有10个次品,从中随机抽取3个,求抽到1个次品的概率。
解答:总共的可能抽取组合数为C(10,3) = 120。
抽取到1个次品的组合数为C(10,1) * C(90,2) = 4005。
所以,抽到1个次品的概率为4005/120 = 33.375%。
2. 已知某城市的男性身高服从正态分布,均值为172cm,标准差为5cm;女性身高也服从正态分布,均值为160cm,标准差为4cm。
问男性身高高于女性身高的概率是多少?解答:需要计算男性身高大于女性身高的概率,可以转化为计算两个正态分布随机变量之差的概率。
设随机变量X表示男性身高,Y表示女性身高,则X - Y服从正态分布,其均值为172cm - 160cm = 12cm,方差为5cm^2 + 4cm^2 =41cm^2。
要计算男性身高高于女性身高的概率,即计算P(X - Y > 0)。
首先,标准化X - Y,得到标准正态分布的随机变量Z:Z = (X - Y - 12) / sqrt(41)所以,P(X - Y > 0) = P(Z > (0 - 12) / sqrt(41)) = P(Z > -2.464)查标准正态分布表可知,P(Z > -2.464) ≈ 0.9937所以,男性身高高于女性身高的概率约为99.37%。
数理统计试题及答案[5篇范文]第一篇:数理统计试题及答案数理统计考试试卷一、填空题(本题15分,每题3分)1、总体的容量分别为10,15的两独立样本均值差________;2、设为取自总体的一个样本,若已知,则=________;3、设总体,若和均未知,为样本容量,总体均值的置信水平为的置信区间为,则的值为________;4、设为取自总体的一个样本,对于给定的显著性水平,已知关于检验的拒绝域为2≤,则相应的备择假设为________;5、设总体,已知,在显著性水平0.05下,检验假设,,拒绝域是________。
1、;2、0.01;3、;4、;5、。
二、选择题(本题15分,每题3分)1、设是取自总体的一个样本,是未知参数,以下函数是统计量的为()。
(A)(B)(C)(D)2、设为取自总体的样本,为样本均值,则服从自由度为的分布的统计量为()。
(A)(B)(C)(D)3、设是来自总体的样本,存在,, 则()。
(A)是的矩估计(B)是的极大似然估计(C)是的无偏估计和相合估计(D)作为的估计其优良性与分布有关 4、设总体相互独立,样本容量分别为,样本方差分别为,在显著性水平下,检验的拒绝域为()。
(A)(B)(C)(D)5、设总体,已知,未知,是来自总体的样本观察值,已知的置信水平为0.95的置信区间为(4.71,5.69),则取显著性水平时,检验假设的结果是()。
(A)不能确定(B)接受(C)拒绝(D)条件不足无法检验 1、B;2、D;3、C;4、A;5、B.三、(本题14分)设随机变量X的概率密度为:,其中未知参数,是来自的样本,求(1)的矩估计;(2)的极大似然估计。
解:(1),令,得为参数的矩估计量。
(2)似然函数为:,而是的单调减少函数,所以的极大似然估计量为。
四、(本题14分)设总体,且是样本观察值,样本方差,(1)求的置信水平为0.95的置信区间;(2)已知,求的置信水平为0.95的置信区间;(,)。
《数理统计习题》一、填空题1、设12,,,n X X X 为总体X 的一个样本,如果1(X ,,X )n g 中 ,则称1(X ,,X )n g 为一个统计量。
2、设总体2(,)XN μσ,σ已知,则在求均值μ的区间估计时所用的枢轴量为3、设总体X 服从正态分布,根据来自总体的容量为100的样本,测得字样均值为5,标准差为1,则X 的数学期望的置信水平为95%的置信区间为4、假设检验的统计思想是5、某产品以往废品率不高于5%,今抽取一个样本检验这批产品废品率是否高于5%,此问题的原假设为6、某地区的年降雨量2(,)XN μσ,现对其年降雨量连续进行5次观察,得数据为(单位:mm )587 672 701 640 650 ,则2σ的矩估计值为_______________ 7、设两个相互独立的样本1221,,,X X X 与125,,,Y Y Y 分别取自正态总体N (1,4)与N(2,1),2212,S S 分别为他们的样本方差,若2222221122(20),()(4)aS a b S χχχχ==+,则a=_________,b=_________ 8、假设随机变量(n)X t ,则21X服从分布________ 9、假设随机变量(10)X t ,已知2(X )0.05P λ≥=,则λ=___________10、设样本1216,,,X X X 来自标准正态分布总体N (0,1),X 为样本均值,若(X )0.99P λ>=,则λ=_________11、假设样本1216,,,X X X 来自正态总体2(,)N μσ,令101611134i i i i Y X X ===-∑∑,则Y 的分布为________________ 12、设样本1210,,,X X X 来自标准正态分布总体N(0,1),2,X S 分别为样本均值与样本方差,令2210X Y S=,若已知(Y )0.01P λ≥=,则λ=___________ 13、如果1ˆθ,2ˆθ都是总体中未知参数θ的估计量,若满足______________,则称1ˆθ比2ˆθ有效。
数理统计考试题及答案一、选择题1. 下列哪个选项是中心极限定理的主要内容?A. 样本均值的分布趋近于正态分布B. 样本方差的分布趋近于正态分布C. 样本中位数的分布趋近于正态分布D. 样本最大值的分布趋近于正态分布答案:A2. 假设检验中的两类错误是什么?A. 第一类错误和第二类错误B. 系统误差和随机误差C. 测量误差和估计误差D. 抽样误差和非抽样误差答案:A二、填空题1. 总体均值的估计量是_________。
答案:样本均值2. 在进行假设检验时,如果原假设被拒绝,则我们犯的是_________错误。
答案:第一类三、简答题1. 简述什么是置信区间,并说明其在统计分析中的作用。
答案:置信区间是指在一定置信水平下,用于估计总体参数的一个区间范围。
它的作用是在统计分析中提供对总体参数估计的不确定性度量,帮助我们了解估计值的可信度。
2. 解释什么是点估计和区间估计,并给出它们的区别。
答案:点估计是用样本统计量来估计总体参数的单个值。
区间估计是在一定置信水平下,给出总体参数可能落在的区间范围。
它们的区别在于点估计提供了一个具体的数值,而区间估计提供了一个包含该数值的区间,反映了估计的不确定性。
四、计算题1. 某工厂生产的零件长度服从正态分布,样本均值为50mm,样本标准差为1mm,样本容量为100。
求95%置信水平下的总体均值的置信区间。
答案:首先计算标准误差:\( SE = \frac{\sigma}{\sqrt{n}} =\frac{1}{\sqrt{100}} = 0.1 \)。
然后根据正态分布的性质,95%置信水平下的置信区间为:\( \bar{x} \pm 1.96 \times SE \)。
计算得到:\( 50 \pm 1.96 \times 0.1 = (49.84, 50.16) \)。
2. 假设某公司员工的日均工作时长服从正态分布,样本均值为8小时,样本标准差为0.5小时,样本容量为36。
1、 离散型随机变量X 的分布律为P (X=x i )=p i ,i=1.2…..,则11=∑=ni ip2、 设两个随机变量X ,Y 的联合分布函数F (x ,y ),边际分布Fx (x ),Fy (y ),则X 、Y相互独立的条件是)()(),(y F x F y x F Y X •=3、 X 1,X 2,….X 10是总体X~N (0,1)的样本,若2102221X X X +⋅⋅⋅++=ξ,则ξ的上侧分位数025.0ξ=解:因为X~N (0,1),所以2102221X X X +⋅⋅⋅++=ξ~)10(2χ,查表得025.0ξ=20.54、 设X~N (0,1),若Φ(x )=0.576,则Φ(-x )= 解:Φ(-x )=1-Φ(x )=1-0.576=0.4245、设X 1,X 2,….X n 是总体),(~2σμN X 的样本,∑=-=ni iXY 122)(1μσ,则EY=n解:∑=-=ni iXY 122)(1μσ~)(2n χ,E 2χ=n ,D 2χ=2n二、设设X 1,X 2,….X n 是总体),(~2σμN X 的样本,∑=-=6122)(51i i X X s ,试求)5665.2(22σ≤s P 。
解:因为),(~2σμN X ,所以有)5(~)(126122χσ∑=-i i X X ,则⎪⎪⎪⎪⎭⎫ ⎝⎛≤-=⎪⎪⎪⎪⎭⎫ ⎝⎛≤-=≤=≤∑∑==8325.12)(5665.25)()5665.2()5665.2(261226122222σσσσi ii i X X P X X P s P s P 查2χ分布表得=≤)5665.2(22σs P ⎪⎪⎪⎪⎭⎫ ⎝⎛≤-∑=8325.12)(2612σi i X X P =1-α=1-0.0248=0.9752 三.设总体X 的概率密度为f(x)= (1),(01)0a x x α⎧+<<⎨⎩,其他,其中α>0,求参数α的矩估计和极大似然估计量。
1一批出厂半年的人参营养丸的潮解率为8%,从中抽取20丸,求恰有一丸潮解的概率。
32816.0)1()1(,20,08.0=-====-k n kk n p p C k P n p2.设X ~N (μ,σ2),试求P{ |X-μ| ≤1.96σ}=?95.0025.0975.0)96.1()96.1()96.1()96.1()96.1()96.1()96.196.1(}96.1{=-=-Φ-Φ=--Φ--+Φ=--+=+≤≤-=≤-σμσμσμσμσμσμσμσμσμF F X P X P3.已知某药品中某成份的含量在正常情况下服从正态分布,标准差σ=0.108,现测定9个样本,其含量的均数X=4.484,试估计药品中某种成份含量的总体均数μ的置信区间(α=0.05)。
3、解:置信区间为)55456.4,41344.4(9108.096.1484.42_=⨯±=±nu x σα4.某合成车间的产品在正常情况下其收率X ~N (μ,σ2),通常收率的标准差σ=5%以内就可以认为生产是稳定的,现生产9批,得收率(%)为:73.2,78.6,75.4,75.7,74.1,76.3,72.8,74.5,76.6。
问此药的生产是否稳定?(α=0.01) 4、解:H 0:σ≤5 H 1:σ>5n=9,s=1.81873,选择统计量058489.125484.26)1(222==-=σχs n令α=0.01,查临界值表得6465.1)8(201.0=χ,0902.20)8(299.0=χ比较统计量的数值和临界值,1.<1.6465,从而不能否定原假设H 0,即总体的标准差在5%以内,生产是稳定的。
5 中药研究所,用中药青兰试验其在改变兔脑血流图所起的作用,测得数据如下: 用药前 2.0 5.0 4.0 5.0 6.0 用药后3.06.04.55.58.0试用配对比较的t 检验说明青兰对兔脑血流图的作用(α=0.05)。
练习一1.(1)设A ,B ,C 是三个事件,且P(A)=P(B)=P(C)=1/4,P(AB)=P(BC)=0,P(AC)=1/8,求A,B,C 至少有一个发生的概率。
(2)已知P(A)=1/2,P(B)=1/3,P(C)=1/5,P(AB)=1/10,P(AC)=1/15,P(BC)=1/20,P(ABC)=1/30,求C B A C B A C B A C B A B A B A ,,,,,的概率。
(3)已知P(A)=1/2,(i)若A,B 互不相容,求)(B A P ,(ii)若P(AB)=1/8,求)(B A P 。
2.10片药片中有5片时安慰剂。
(1)从中任意抽取5片,求其中至少有2片时安慰剂的概率。
(2)从中每次取一片,作不返回抽样,求前3次都取到安慰剂的概率。
3.某油漆公司发出17桶油漆,其中白漆10桶、黑漆4桶、红漆3桶,在搬运中所有标签脱落,交货人随意将这些油漆发给顾客。
问一个订货为4桶白漆、3桶黑漆和2桶红漆的顾客,能按所定颜色如数得到订货的概率是多少?4. (1)已知5.0)(,4.0)(,3.0)(===B A P B P A P ,求条件概率)B A |( B P .(2)已知P(A)=1/4,P(B |A )=1/3,P(A |B )=1/2,求)(B A P .5.据以往资料表明,某一3口之家,患某种传染病的概率有以下规律:P{孩子得病}=0.6,P{母亲得病|孩子得病}=0.5,P{父亲得病|母亲及孩子得病}=0.4。
求母亲及孩子得病但父亲未得病的概率.6.(1)设甲袋中装有n 只白球、m 只红球;乙袋中装有N 只白球、M 只红球。
今从甲袋中任意取一只球放入乙袋中,再从乙袋中任意取一只球.问取到白球的概率是多少?(2)第一只盒子装有5只红球,4只白球;第二只盒子装有4只红球,5只白球.先从第一盒中任取2只球放入第二盒中去,然后从第二盒子中任取一只球.求取到白球的概率。
《数理统计》课程习题集一、计算题1. 总体X 服从泊松分布()λP ,0>λ ,样本为n X ,,X 1 ;证明 ()111-∑=i n i i X X n 是2λ的无偏估计2. 某厂生产的40瓦灯管的使用寿命)100,(2μN X ~(单位:小时),现从这批灯管中任抽取9只,测得使用寿命如下:1450 1500 1370 1610 1430 1550 1580 1460 1550 试求这批灯管平均使用寿命的置信度为0.95的置信区间3. 设n X ,,X 1是来自总体为二项分布()p ,n B 的一个样本 ;证明 :X 是p 的无偏估计量,4. 设n X X ,,1 为简单样本,总体)(E X θ~分布,求参数θ的极大似然估计量θˆ; 5. 设总体()θE X ~ ()⎪⎩⎪⎨⎧>=-其他01x ex f xθθ 样本为n X ,,X 1,求参数θ的矩法估计量 。
6. 设n X ,,X 1是来自总体X 的样本,X 的数学期望为μ,样本值为 n x ,,x 1 是任意常数,验证∑∑∑===≠⎪⎭⎫⎝⎛n i ni ii n i i i )a(a X a 1110是μ的无偏估计量 。
7. 设n X X ,,1 为来自总体X ~1),(-=θθθx x f )10(<<x 的一个简单样本,其中0>θ 为未知参数,n x x ,,1 是X 的一组观察值。
求:θ 的矩估计。
8. 设某种清漆的9个样品,其干燥时间(以小时计)分别为6.0 5.7 5.8 6.57.0 6.3 5.6 6.1 5.0 设干燥时间总体服从正态分布()2,σμN , 求:μ的置信水平为95.0的置信区间 。
9. 设总体 {} ,,,x !x e x X P X x 210===-λλ~,样本为n X ,,X 1 , 样本值为 n x ,,x 1 ; 1、求 参数λ的矩法估计量 ; 2、求 参数λ的极大似然估计量10. 设某厂生产的细纱的强力X ~),(2σμN 分布, 任取九个样品测得强力如下:(单位:公斤)19.0 、 18.7 、 18.8 、 19.5 、 20.0 、 19.3 、 18.6 、 19.1 、 18.0 。
《概率论与数理统计》考试练习题及参考答案一、单选题1. 设X~N(2,9),Y~N(2,1),E(XY)=6,则D(X-Y)之值为A 、14B 、6C 、12D 、4答案:B2. 设X,Y的方差存在,且不等于0,则D(X+Y)=DX+DY是X,YA 、不相关的充分条件,但不是必要条件B 、独立的必要条件,但不是充分条件C 、不相关的必要条件,但不是充分条件D 、独立的充分必要条件答案:B3. 已知P(A)=0.3 ,P(B)=0.5 ,P(A∪B)=0.6,则P(AB)=A 、0.2B 、0.1C 、0.3D 、0.4答案:A4. 已知随机变量X服从二项分布,且EX=2.4,DX=1.44,则二项分布中的参数n,p的值分别为A 、n=4 ,p=0.6B 、n=6 ,p=0.4C 、n=8 ,p=0.3D 、n=24 ,p=0.1答案:B5. 若随机变量X与Y的方差D(X), D(Y)都大于零,且E(XY)=E(X)E(Y),则有A 、X与Y一定相互独立B 、X与Y一定不相关C 、D(XY)=D(X)D(Y)D 、D(X-Y)=D(X)-D(Y)答案:B6. 同时抛掷3枚硬币,则至多有1枚硬币正面向上的概率是A 、1/8B 、1/6C 、1/4D 、1/2答案:D7. 将长度为1的木棒随机地截成两段,则两段长度的相关系数为A 、1B 、1/2C 、2D 、-1答案:D8. 假设一批产品中一、二、三等品各占60% 、30% 、10%,今从中随机取一件产品,结果不是三等品,则它是二等品的概率为A 、1/3B 、1/2C 、2/3D 、1/4答案:A9. 袋中有50个乒乓球,其中20个黄球,30个白球,甲、乙两人依次各取一球,取后不放回,甲先取,则乙取得黄球的概率为A 、2/5B 、3/5C 、1/5D 、4/5答案:A10. 设随机变量X服从正态分布N(1 ,4) ,Y服从[0 ,4]上的均匀分布,则E(2X+Y )=A 、1B 、2C 、3D 、4答案:D11. 某电路由元件A 、B 、C串联而成,三个元件相互独立,已知各元件不正常的概率分别为:P(A)=0.1 ,P(B)=0.2 ,P(C)=0.3,求电路不正常的概率A 、0.496B 、0.7C 、0.25D 、0.8答案:A12. 一套五卷选集随机地放到书架上,则从左到右或从右到左卷号恰为1 ,2 ,3 ,4 ,5顺序的概率为A 、1/120B 、1/60C 、1/5D 、1/2答案:B13. 设随机变量X与Y独立同分布,记随机变量U=X+Y ,V=X-Y,且协方差Cov(U.V)存在,则U和V必然A 、不相关B 、相互独立C 、不独立D 、无法判断答案:A14. 设P(A)>0,P(B)>0,则下列各式中正确的是A 、P(A-B)=P(A)-P(B)B 、P(AB)=P(A)P(B)C 、P(A+B)=P(A)+P(B)D 、P(A+B)=P(A)+P(B)-P(AB)答案:D15. 随机变量X的所有可能取值为0和x ,且P{X=0}=0.3,E(X)=1,则x=A 、10/7B 、4/5C 、1D 、0答案:A16. 已知人的血型为O 、A 、B 、AB的概率分别是0.4;0.3;0.2;0.1。
数理统计习题数理统计练习题数理统计⼀、填空题1.设n X X X ,,21为母体X 的⼀个⼦样,如果),,(21n X X X g ,则称),,(21n X X X g 为统计量。
2.设母体 ),,(~2N X 已知,则在求均值的区间估计时,使⽤的随机变量为 3.设母体X 服从⽅差为1的正态分布,根据来⾃母体的容量为100的⼦样,测得⼦样均值为5,则X 的数学期望的置信⽔平为95%的置信区间为。
4.假设检验的统计思想是。
⼩概率事件在⼀次试验中不会发⽣5.某产品以往废品率不⾼于5%,今抽取⼀个⼦样检验这批产品废品率是否⾼于5%,此问题的原假设为。
6.某地区的年降⾬量),(~2N X ,现对其年降⾬量连续进⾏5次观察,得数据为:(单位:mm) 587 672 701 640 650 ,则2的矩估计值为。
7.设两个相互独⽴的⼦样2121,,,X X X 与51,,Y Y 分别取⾃正态母体)2,1(2N 与)1,2(N , 2221,S S 分别是两个⼦样的⽅差,令22222121)(,S b a aS ,已知)4(~),20(~222221 ,则__________, b a 。
8.假设随机变量)(~n t X ,则21X 服从分布。
9.假设随机变量),10(~t X 已知05.0)(2X P ,则____ 。
10.设⼦样1621,,,X X X 来⾃标准正态分布母体)1,0(N ,X为⼦样均值,⽽01.0)( X P ,则____11.假设⼦样1621,,,X X X 来⾃正态母体),(2N ,令 161110143i i i iX XY ,则Y 的分布12.设⼦样1021,,,X X X 来⾃标准正态分布母体)1,0(N ,X 与*2S 分别是⼦样均值和⼦样⽅差,令2*210X Y S ,若已知01.0)( Y P ,则____ 。
13.如果,?1 2都是母体未知参数的估计量,称1? ⽐2? 有效,则满⾜。
数理统计练习题1数理统计练习题一.单选题1. 设总体X ~N (μ2σ),其中μ已知, 2σ未知,),,(321X X X 是来自总体的样本,则下列表达式中不是统计量的是( )A .321X X X ;B .min ),,(321X X X ;C .)(13212X X X ++σ;D .μ21+X .2. 设),...,,(21n X X X 是来自总体),(2σμN 的样本,1)(-=X E ,)(2X E =4, X =∑=ni i X n 11,则X 服从的分布是()A .)3,1(n N -; B .)4,1(n N -;C .)4,1(n N -; D .)3,1(nn N -. 3. 设1?θ和2?θ是总体参数θ的两个估计量,说1?θ比2?θ更有效,是指()A .θθ=1?E ,且1?θ<2?θ;B .θθ=1?E ,且1?θ>2?θ;C .θθθ==21??E E ,且1?θD <2?θD ; D .1?θD <2θD . 4. 在假设检验问题中,检验水平α 的意义是()A,原假设0H 成立,经检验被拒绝的概率,B,原假设0H 成立,经检验不能拒绝的概率,C,原假设0H 不成立,经检验被拒绝的概率,D,原假设0H 不成立,经检验不能拒绝的概率。
5. 在假设检验中,H 1为备择假设,犯一类错误的概率是指()A. H 1 为真,被接受了;B. H 1不真,被接受了;C. H 1 为真,被拒绝了;D. H 1 不真,被拒绝了. 6. 简单随机样本是指()A.采用随机抽样方法得到的样本;B.与总体同分布且相互独立的样本;C.服从正态分布的样本;D.从正态总体中抽取的样本.7. 如果随机变量X,Y(X,Y 均不为常数)满足:D(X+Y)=D(X-Y),则必有(). A. X,Y 线性相关; B. X,Y 不相关;C. D(X)=D(Y);D. D(X)=0.8. 在假设检验问题中,如果检验方法选择正确,计算也没有错误,则()A. 仍有可能做出错误判断;B. 不可能做出错误判断;C. 计算在精确些就可避免做出错误判断;D. 增加样本量就不会做出错误判断.9. 在假设检验中,用αβ和分别表示犯第一类错误和犯第二类错误的概率,则当样本容量一定时,下列结论正确的是()A. αβ减少也减少;B. αβ与一个减少时另一个往往会增加;C. αβ增大也最大;D. A 与C 同时成立.10. 在假设检验中,当样本容量一定时,缩小犯第一类错误的概率则犯第二类错误的概率()A. 变小;B. 变大;C. 不变;D. 不确定.11. 设X 1,X 2,X 3为来自总体(),1XN μ的样本,下面四个关于μ的无偏估计量中最有效的一个是() A.1212+;33X X B. 123111++;424X X X C. 2315+;66X X D. 123111++.333X X X12. 总体均值μ的99%的置信区间的意义是()A .这个区间平均含总体99%的值;B .这个区间平均含样本99%的值;C .这个区间有99%的机会含μ的真值;D .这个区间有99%的机会含样本均值.13.设),...,(21n X X X 和),...,(21m Y Y Y 是分别取自两个互相独立的正态总体),(21σμN 和),(22σμN 的样本,21S 和21S 分别为两个样本的方差,则22222121σσS S 服从()分布。
数理统计期末试题数理统计期末试题————————————————————————————————作者:————————————————————————————————日期:数理统计期末练习题1. 在总体)4,6.7(N 中抽取容量为n 的样本,如果要求样本均值落在)6.9,6.5(内的概率不小于0.95,则n 至少为多少2.设n x x ,,1 是来自)25,( N 的样本,问n 多大时才能使得95.0)1|(| x P 成立 3. 由正态总体)4,100(N 抽取两个独立样本,样本均值分别为y x ,,样本容量分别15,20,试求)2.0|(| y x P .5.设161,,x x 是来自),(2 N 的样本,经计算32.5,92s x ,试求)6.0|(| x P .6.设n x x ,,1 是来自)1,( 的样本,试确定最小的常数c,使得对任意的0 ,有)|(|c x .7. 设随机变量 X~F(n,n),证明 )1(X9.设21,x x 是来自),0(2N 的样本,试求22121 x x x x Y 服从分布.10.设总体为N(0,1),21,x x 为样本,试求常数k ,使得.05.0)()()(221221221k x x x x x x11.设n x x ,,1 是来自),(21N 的样本,m y y ,,1 是来自),(22 N 的样本,c,d是任意两个不为0的常数,证明),2(~)()(2221m n t s y d x c t md nc 其中22222,2)1()1(y x yx s s m n s m s n s 与分别是两个样本方差.12.设121,,, n n x x x x 是来自),(2N 的样本,11,n n i i x x n _2211(),1n n i n i s x x n 试求常数c 使得1n nc nx x t cs 服从t 分布,并指出分布的自由度。
数理统计试题及答案一、单项选择题(每题3分,共30分)1. 在概率论中,随机变量X的数学期望E(X)表示的是()。
A. X的众数B. X的中位数C. X的均值D. X的方差答案:C2. 以下哪项是描述性统计中常用的数据集中趋势的度量方法?()。
A. 极差B. 方差C. 标准差D. 偏度答案:A3. 假设检验中,原假设H0通常表示的是()。
A. 研究者想要证明的假设B. 研究者想要否定的假设C. 研究者认为正确的假设D. 研究者认为错误的假设答案:C4. 在回归分析中,如果自变量X与因变量Y之间存在线性关系,则回归系数β1表示的是()。
A. X每增加一个单位,Y平均增加β1个单位B. X每增加一个单位,Y平均减少β1个单位C. X每减少一个单位,Y平均增加β1个单位D. X每减少一个单位,Y平均减少β1个单位答案:A5. 以下哪项是统计学中用于衡量数据离散程度的指标?()。
A. 均值B. 中位数C. 众数D. 方差答案:D6. 抽样分布是指()。
A. 总体数据的分布B. 样本数据的分布C. 样本统计量的分布D. 总体统计量的分布答案:C7. 在统计学中,置信区间是用来估计()。
A. 总体均值B. 总体方差C. 总体标准差D. 以上都是答案:D8. 以下哪项是统计学中用于衡量数据分布形态的指标?()。
A. 均值B. 方差C. 偏度D. 峰度答案:C9. 假设检验中,如果p值小于显著性水平α,则()。
A. 拒绝原假设B. 接受原假设C. 无法做出决策D. 需要更多的数据答案:A10. 在方差分析中,如果F统计量大于临界值,则()。
A. 拒绝原假设B. 接受原假设C. 无法做出决策D. 需要更多的数据答案:A二、多项选择题(每题5分,共20分)1. 下列哪些是统计学中常用的数据收集方法?()。
A. 观察法B. 实验法C. 调查法D. 抽样法答案:ABCD2. 描述性统计中,以下哪些是数据的集中趋势的度量方法?()。
数理统计一、填空题1.设n X X X ,,21为母体X 的一个子样,如果),,(21n X X X g , 则称),,(21n X X X g 为统计量。
2.设母体σσμ),,(~2N X 已知,则在求均值μ的区间估计时,使用的随机变量为3.设母体X 服从方差为1的正态分布,根据来自母体的容量为100的子样,测得子样均值为5,则X 的数学期望的置信水平为95%的置信区间为 。
4.假设检验的统计思想是 。
小概率事件在一次试验中不会发生5.某产品以往废品率不高于5%,今抽取一个子样检验这批产品废品率是否高于5%, 此问题的原假设为 。
6.某地区的年降雨量),(~2σμN X ,现对其年降雨量连续进行5次观察,得数据为:(单位:mm) 587 672 701 640 650 ,则2σ的矩估计值为 。
7.设两个相互独立的子样2121,,,X X X 与51,,Y Y 分别取自正态母体)2,1(2N 与)1,2(N , 2221,S S 分别是两个子样的方差,令22222121)(,S b a aS +==χχ,已知)4(~),20(~222221χχχχ,则__________,==b a 。
8.假设随机变量)(~n t X ,则21X 服从分布 。
9.假设随机变量),10(~t X 已知05.0)(2=≤λX P ,则____=λ 。
10.设子样1621,,,X X X 来自标准正态分布母体)1,0(N ,X为子样均值,而01.0)(=>λX P , 则____=λ11.假设子样1621,,,X X X 来自正态母体),(2σμN ,令∑∑==-=161110143i i i iX XY ,则Y 的分布12.设子样1021,,,X X X 来自标准正态分布母体)1,0(N ,X 与*2S 分别是子样均值和子样方差,令2*210X Y S =,若已知01.0)(=≥λY P ,则____=λ 。
13.如果,ˆ1θ2ˆθ都是母体未知参数θ的估计量,称1ˆθ比2ˆθ有效,则满足 。
14.假设子样n X X X ,,,21 来自正态母体),(2σμN ,∑-=+-=11212)(ˆn i ii X XC σ是2σ的一个无偏估计量,则_______=C 。
15.假设子样921,,,X X X 来自正态母体)81.0,(μN ,测得子样均值5=x ,则μ的置信度是95.0的置信区间为 。
16.假设子样10021,,,X X X 来自正态母体),(2σμN ,μ与2σ未知,测得子样均值5=x ,子样方差12=s ,则μ的置信度是95.0的置信区间为 。
17.假设子样n X X X ,,,21 来自正态母体),(2σμN ,μ与2σ未知,则原假设0H :15=μ的t 检验选用的统计量为 。
18.正交设计中()rn L s 中S 的选择原则是 。
19.一元线性回归分析中y x αβε=++,对随机误差ε的要求是 。
20.一元线性回归分析中y x αβε=++中,对0H :0β=的检验所用的统计量为二、选择题1.下列结论不正确的是 ( )① 设随机变量Y X ,都服从标准正态分布,且相互独立,则)2(~222χY X +② Y X ,独立,)5(~)15(~),10(~222χχχY Y X X ⇒+③ n X X X ,,21来自母体),(~2σμN X 的子样,X 是子样均值,则∑=-ni i n X X 1222)(~)(χσ④ n X X X ,,21与n Y Y Y ,,21均来自母体),(~2σμN X 的子样,并且相互独立,Y X ,分别为子样均值,则)1,1(~)()(1212----∑∑==n n F Y YX Xni ini i2.设21ˆ,ˆθθ是参数θ的两个估计量,正面正确的是 ( ) ① )ˆ()ˆ(21θθD D >,则称1ˆθ为比2ˆθ有效的估计量 ② )ˆ()ˆ(21θθD D <,则称1ˆθ为比2ˆθ有效的估计量 ③ 21ˆ,ˆθθ是参数θ的两个无偏估计量,)ˆ()ˆ(21θθD D >,则称1ˆθ为比2ˆθ有效的估计量 ④ 21ˆ,ˆθθ是参数θ的两个无偏估计量,)ˆ()ˆ(21θθD D <,则称1ˆθ为比2ˆθ有效的估计量 3.设θˆ是参数θ的估计量,且0)ˆ(>θD ,则有 ( ) ① 2ˆθ不是2θ的无偏估计 ② 2ˆθ 是2θ的无偏估计 ③ 2ˆθ不一定是2θ的无偏估计 ④ 2ˆθ 不是2θ的估计量 4.下面不正确的是 ( )① 1u u αα-=- ② )()(221n n ααχχ-=-③ )()(1n t n t αα-=- ④ ),(1),(1n m F m n F αα=-5.母体均值的区间估计中,正确的是 ( )① 置信度α-1一定时,子样容量增加,则置信区间长度变长; ② 置信度α-1一定时,子样容量增加,则置信区间长度变短; ③ 置信度α-1增大,则置信区间长度变短; ④ 置信度α-1减少,则置信区间长度变短。
6.对于给定的正数α,10<<α,设u α是标准正态分布的α上侧分位数,则有( )① 2()1P U u αα<=- ② 2(||)P U u αα<=③ 2()1P U u αα>=- ④ 2(||)P U u αα>=7.某工厂所生产的某种细纱支数服从正态分布200200,),,(σμσμN 为已知,现从某日生产的一批产品中随机抽取16缕进行支数测量,求得子样均值和子样方差,要检验细纱支数的均匀度是否变劣,则应提出假设 ( )① 0H :0μμ= 1H :0μμ≠ ② 0H :0μμ= 1H :0μμ> ③ 0H :202σσ= 1H :202σσ≠ ④ 0H :202σσ= 1H :202σσ>8.设子样n X X X ,,21抽自母体X ,m Y Y Y ,,21来自母体Y ,),(~21σμN X),(~22σμN Y ,则∑∑==--mi ini imYnX 122121/)(/)(μμ的分布为① ),(m n F ② )1,1(--m n F ③ ),(n m F ④ )1,1(--n m F9.设n x x x ,,,21 为来自),(~2σμN X 的子样观察值,2,σμ未知,∑==ni i x n x 11则2σ的极大似然估计值为 ( )① ∑=-n i i x x n 12)(1 ② ∑=-n i i x x n 1)(1 ③ ∑=--n i i x x n 12)(11 ④∑=--n i i x x n 1)(11 10.子样n X X X ,,21来自母体)1,0(~N X ,∑==n i i X n X 11,=2S ∑=--n i i X X n 12)(11 则下列结论正确的是 ( ) ① )1,0(~N X n ② )1,0(~N X ③∑=ni i n X 122)(~χ ④)1(~-n t SX11.假设随机变量X 100212,,,),2,1(~X X X N 是来自X 的子样,X 为子样均值。
已知)1,0(~N b X a Y +=,则下列成立的是( )①5,5=-=b a ②5,5==b a ③51,51-==b a ④51,51=-=b a12.设子样n X X X ,,,21 来自正态母体),(2σμN ,X 与2S 分别是子样均值和子样方差,则下面结论不成立的是( )①X 与2S 相互独立 ②X 与2)1(S n -相互独立③X 与∑=-ni iX X122)(1σ相互独立 ④X 与∑=-ni iX122)(1μσ相互独立13.子样54321,,,,X X X X X 取自正态母体),(2σμN ,μ已知,2σ未知。
则下列随机变量中不能作为统计量的是( )① X ② μ221-+X X ③ ∑=-5122)(1i iX X σ ④∑=-512)(31i iX X14.设子样n X X X ,,,21 来自正态母体),(2σμN ,X 与2S 分别是子样均值和子样方差,则下面结论成立的是( )① ),(~2212σμN X X - ② )1,1(~)(22--n F SX n μ ③)1(~222-n S χσ ④)1(~1---n t n SX μ15.设子样n X X X ,,,21 来自母体X ,则下列估计量中不是母体均值μ的无偏估计量的是( )。
①X ②n X X X +++ 21 ③)46(1.01n X X +⨯ ④321X X X -+ 16.假设子样n X X X ,,,21 来自正态母体),(2σμN 。
母体数学期望μ已知,则下列估计量中是母体方差2σ的无偏估计是( )①∑=-n i i X X n 12)(1②∑=--n i i X X n 12)(11③∑=-+n i i X n 12)(11μ ④∑=--n i i X n 12)(11μ 17.假设母体X 的数学期望μ的置信度是95.0,置信区间上下限分别为子样函数),(1n X X b 与 ),,(1n X X a ,则该区间的意义是( )① 95.0)(=<<b a P μ ② 95.0)(=<<b X a P ③ 95.0)(=<<b X a P ④ 95.0)(=<-<b X a P μ18.假设母体X 服从区间],0[θ上的均匀分布,子样n X X X ,,,21 来自母体X 。
则未知参数θ 的极大似然估计量θˆ为( )② ① X 2 ② ),,max (1n X X ③ ),,m in(1n X X ④ 不存在 19.在假设检验中,记0H 为原假设,则犯第一类错误的概率是( ) ① 0H 成立而接受0H ② 0H 成立而拒绝0H ③ 0H 不成立而接受0H ④ 0H 不成立而拒绝0H 20.假设子样n X X X ,,,21 来自正态母体),(2σμN ,X 为子样均值,记=21S ∑=-n i i X X n 12)(1=22S ∑=--n i i X X n 12)(11 =23S ∑=-n i i X n 12)(1μ=24S ∑=--n i i X n 12)(11μ 则服从自由度为1-n 的t 分布的随机变量是( ) ①11--n S X μ ②12--n S X μ ③ n S X 3μ- ④ n S X 4μ- 三、计算题1.设母体)4,12(~N X ,抽取容量为5的子样,求 (1) 子样均值大于13的概率; (2) 子样的最小值小于10的概率; (3) 子样最大值大于15的概率。
2.假设母体)2,10(~2N X ,821,,,X X X 是来自X 的一个子样,X 是子样均值,求)11(≥X P 。