分省城镇居民人均可支配收入(1978-2016)
- 格式:xls
- 大小:55.00 KB
- 文档页数:5
各城镇居民人均可支配收入(1978-2016)
一、引言
1.1 研究背景
1.2 研究目的
1.3 数据来源和研究方法
二、相关概念和指标解释
2.1可支配收入的定义
2.2人均可支配收入的计算方法
2.3 城镇居民的范围
三、1978年至1999年各城镇居民人均可支配收入情况 3.1 各年份人均可支配收入变化趋势
3.2 不同地区城镇居民人均可支配收入比较
3.3 影响人均可支配收入的因素分析
四、2000年至2016年各城镇居民人均可支配收入情况
4.1 各年份人均可支配收入变化趋势
4.2 不同地区城镇居民人均可支配收入比较
4.3 影响人均可支配收入的因素分析
五、附件
5.1 数据表格
5.2 数据图表
5.3 相关附录资料
六、法律名词及注释
6.1可支配收入法律定义
6.2人均可支配收入法律定义
6.3城镇居民法律定义
附件:
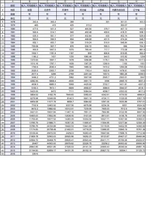
- 数据表格:包含各年份各地区城镇居民人均可支配收入的具体数值
-数据图表:以图表形式展示各年份各地区城镇居民人均可支配收入的变化趋势以及比较情况
- 相关附录资料:包括附表、图表的说明和解读,研究方法详解等
法律名词及注释:
- 可支配收入:指个人或家庭从各种经济活动中获得的净收入,包括工资、奖金、利息、股息等。
- 人均可支配收入:城镇居民人均可支配收入是指城镇居民人口的可支配收入总额除以城镇居民人口总数。
-城镇居民:根据国家统计局的定义,城镇居民指的是常住人口中在城镇户籍登记的人口。
分城镇居民人均可支配收入(1978-2016)分城镇居民人均可支配收入(1978-2016)简介本文档主要探讨了中国城镇居民的人均可支配收入在1978年至2016年期间的变化情况。
人均可支配收入是一个重要的宏观经济指标,反映了居民的经济生活水平和消费能力。
通过分析这一指标的历史数据,我们可以了解中国城镇居民的经济发展状况以及收入分配的变化轨迹。
数据来源本文所使用的数据来自中国国家统计局公布的相关统计数据,包括城镇居民人均可支配收入的年度数据。
这些数据经过严格的统计和验证,具有较高的可信度和代表性。
数据分析以下是中国城镇居民人均可支配收入(1978-2016)的主要数据和分析:- 1978年:228元- 1985年:606元- 1990年:1,342元- 1995年:3,616元- 2000年:8,883元- 2005年:13,786元- 2010年:19,109元- 2015年:36,396元- 2016年:39,251元从上述数据可以看出,中国城镇居民的人均可支配收入在过去几十年中呈现了持续增长的趋势。
自1978年改革开放以来,中国经济取得了长足的发展,城镇居民的收入水平得到了明显提升。
在改革开放初期的1978年,城镇居民的人均可支配收入仅为228元,而到了2016年,这一数值已经增长到了39,251元,增幅惊人。
特别是在过去十几年间,城镇居民的收入增长明显加快,2010年至2016年的六年间,人均可支配收入增长了近一倍。
这反映了中国经济持续高速增长的,城镇居民受益于不断提高的工资水平和就业机会。
,尽管城镇居民人均可支配收入呈现了增长的趋势,但在不同的年份间仍存在较大的差距。
例如,1978年与2016年的城镇居民人均可支配收入相差近一百倍。
这说明中国的收入分配仍然存在差距,并且需要进一步加强公平和可持续的发展。
政策影响中国政府实施了一系列旨在提高城镇居民收入水平的政策和措施,并取得了显著的成效。
各城镇居民人均可支配收入(1978-2016) 各城镇居民人均可支配收入(1978-2016)简介本文档将介绍从1978年到2016年的各城镇居民人均可支配收入的变化情况。
可支配收入是指个人在满足基本生活需要后剩余的可支配的经济资源。
数据来源本文档的数据来自国家统计局发布的《中国统计年鉴》。
统计年鉴是中国国家统计局每年出版的一本大型综合性统计资料工具书,内容包括国家和各省、自治区、直辖市、计划单列市主要社会经济指标、综合统计资料、统计调查实验计划和指标体系等。
数据展示以下是各城镇居民人均可支配收入的变化情况:- 年份 - 人均可支配收入(元) --- 1978 - 343.21 -- 1979 - 472.52 -- 1981 - 570.37 -- 1982 - 634.90 -- 1983 - -- 1984 - -- 1985 - -- 1986 - 880.14 -- 1987 - 973.04 -- 1988 - 1,094.35 -- 1989 - 1,214.45 -- 1990 - 1,336.91 -- 1991 - 1,584.80 -- 1992 - 1,886.17 -- 1993 - 2,186.96 -- 1994 - 2,558.52 -- 1995 - 2,933.00 -- 1996 - 3,349.98 -- 1998 - 3,811.34 -- 1999 - 3,929.41 -- 2000 - 4,315.67 -- 2001 - 4,691.77 -- 2002 - 5,131.63 -- 2003 - 6,197.07 -- 2004 - 6,832.54 -- 2005 - 7,109.08 -- 2006 - 7,703.05 -- 2007 - 8,585.40 -- 2008 - 9,422.03 -- 2009 - 10,493.12 -- 2010 - 11,487.91 -- 2011 - 13,064.03 -- 2012 - 14,038.50 -- 2013 - 15,616.34 -- 2015 - 17,642.16 -- 2016 - 18,322.13 -数据分析从上表可以看出,自1978年到2016年,各城镇居民人均可支配收入呈现了显著的增长趋势。