课件光学第三章习题解答
- 格式:ppt
- 大小:1022.54 KB
- 文档页数:50
第三章习题及答案
1.人照镜子时,要想看到自己的全身,问镜子要多长?人离镜子的距离有没有关系?
解:
镜子的高度为1/2 人身高,和前后距离无关。
2.设平行光管物镜L 的焦距f ' =1000mm,顶杆与光轴的距离a=10 mm,如果推动顶杆使平面镜倾斜,物镜焦点F 的自准直像相对于F 产生了y=2 mm 的位移,问平面镜的倾角为多少?顶杆的移动量为多少?
解:
3.一光学系统由一透镜和平面镜组成,如图3-1所示,平面镜MM 与透镜光轴垂直交于D 点,透镜前方离平面镜600 mm 有一物体AB,经透镜和平面镜后,所成虚像A"B"至平面镜的距离为150 mm,且像高为物高的一半,试分析透镜焦距的正负,确定透镜的位置和焦距,并画出光路图。
图3-1习题3图
解:平面镜成β=1 的像,且分别在镜子两侧,物像虚实相反。
4.用焦距=450mm 的翻拍物镜拍摄文件,文件上压一块折射率n=1.5,厚度d=15mm
的玻璃平板,若拍摄倍率,试求物镜后主面到平板玻璃第一面的距离。
解:
此为平板平移后的像。
5.棱镜折射角,C 光的最小偏向角,试求棱镜光学材料的折射率。
解:
6.白光经过顶角
的色散棱镜,n=1.51 的色光处于最小偏向角,试求其
最小偏向角值及n=1.52 的色光相对于n=1.51 的色光间的交角。
解:。
13.1 证明反射定律符合费马原理。
证明:证明:设两个均匀介质的分界面是平面,设两个均匀介质的分界面是平面,设两个均匀介质的分界面是平面,它们的折射率为它们的折射率为n 1和n 2。
光线通过第一介质中指定的A 点后到达同一介质中指定的B 点。
为了确定实际光线的路径,通过A,B 两点作平面垂直于界面,'OO 是它们的交线,则实际光线在界面上的反射点C 就可由费马原理来确定,如下图所示。
(1)反证法:如果有一点'C 位于线外,则对应于'C ,必可在'OO 线上找到它的垂足''C .由于''AC 'AC >,''BC 'BC >,故光线B AC'总是大于光程B ''AC 而非极小值,这就违背了费马原理,故入射面和反射面在同一平面内得证。
面内得证。
(2)在图中建立坐XOY 坐标系,则指定点A,B 的坐标分别为(x1,y1)和(x2,y2),未知点C 的坐标为(x ,0)。
C 点是在'A 、'B 之间的,光程必小于C 点在''B A 以外的相应光程,以外的相应光程,即即21vx x <<,于是光程ACB 为 yx x n y x x n CB n AC n ACB n 2211221221111)()(+-++-=+=根据费马原理,它应取极小值,即0)(1=ACB n dx d0)sin (sin )()()()()()(21112222211212111=-=¢-¢=+---+--=i i n CB B C AC C A n y x x x x n y x x x x n ACB n dx d 所以当11'i i =,取的是极值,符合费马原理。
,取的是极值,符合费马原理。
3.2 根据费马原理可以导出在近轴条件下,从物点发出并会聚倒像点的所有光线的光程都相等。
d zm x λ='dzm x 2)12(λ+='dzd z 2132)132(λλ=+⨯nm 67.5086712==∴λλ极大值极小值解:53-mm d z e 45.0105.0103.3363=⨯⨯⨯==--λλm h n =-)1(λm d z x ='λz x d m '=zx d h n '=-∴)1(zh dx n '=+∴152.11001.03103.31073.41333=⨯⨯⨯⨯⨯=+=---n 条纹向上移动解:43-cms 40='5=βmmd d 152.0=⨯==∴βcms z 52210=++'=mmdze 26.0==∴λ,则由成像公式)若右移(cm 23方向垂直于21s s 21εαεαλ+=e 001.01022.0221=⨯==⋅==⋅f d f z dαεαεmmm e 25.0105.2002.01050049=⨯=⨯=∴--ε,带公式求的像距求亦可用成像2121s s s s S )直条纹(1解:63-间距为空间周期)条纹无变化(2x d z e =15= 5.11015==∴e nm z ed 58715.11045.05.15=⨯⨯==-λ解:33-86.21==dz e λnm400=λ93.32==z de λnm 550=λnm 700=λ53=e 解:23-4=d 5.1=z 1875.0==∴d z e λ由几何关系45.3=x 15.1='x 3.215.145.3=-='-=∆∴x x x 条取可观察:122.121875.03.2=解:113-60=l 18012060=+=z θλ⨯⨯-=60)1(2n ze rad31084.8-⨯=θ2.051==e mm x n 6.10)12(=-θ范围:解:103-rade 3100.1-⨯=5.0=l 25.15.0=+=z mml z e 1105.02250023=⨯⨯⨯==∴-θλl z l x d m-=5.12lx l m =θmm x m3=条3=e x m可观察∴解:93-)有由几何关系(见书上图7.2.3α201cos I =I β202cos I =I βαθ+=而)cos(cos cos cos cos 2)cos(cos cos cos cos 2cos 22222222121βαβαβαβαβαβαθ++=++=I +I I I =v 夹角21P P 后的通过21P P 00,2I P I 后为则透过设入射光强为解:73-cmf tg D 048.130=⋅=048.1=Nγ设hn n f λγN =N0则λγN =∴N n f 221.6106005.120102048.1923222=⨯⨯⨯⨯⨯==N ∴--N λγn f h个亮环可观察6∴解:273-i f e δ⋅=或用ndn n i λδ021=cme 671.0=i nh cos 2=∆光程差时)(010=i 331061025.122--⨯=⨯⨯⨯=nh m m 4391010610600⨯⨯=⨯=--hnN n f r λ.102=)(00=n 5.1=n CMF 20=10=N cmr 34.1067.02010210600105.11203910=⨯=⨯⨯⨯⨯=∴--cmr 4.107.02010210600115.12033911=⨯=⨯⨯⨯⨯=--)(cmr 27.120063.01021060095.120399=⨯=⨯⨯⨯⨯=--cm r 07.027.134.1=-=∆cmr 06.034.14.1=-=∆∴为明点∴无半波损失解:263-mmm d z b s3164.04.316102108.632139==⨯⨯⨯==--Mμλmmm b b p0791.01.7941===Mμ解:163-t C L C∆=s c l t c 982101031030--=⨯⨯==∆x f Hz t '=∆=∆9101ν()nmmm m x c 3912918221038.11038.11038.110108.643----⨯=⨯=⨯=⨯'⨯=∆=∆νλλ解:223-mmb z dm s2.1105.010600139=--⨯⨯⨯==λmm b z dm s4.2105.010600239--⨯⨯⨯==λ解:173-21h h h +=2)12(22λλ+=+=∆m h 2λm h =∴11212h R r =由几何关系22222hR R =222222121λm R r R r =+∴21r r =λm R R R R r 21212+=∴2121R R m R R r +=λ解373-2020=R 220,2=⋅=∴λλR Rm 2010231-⨯=λR 2010432-⨯=λR 3.589=λm R 34.01=∴mR 35.12=∴cmR R n f 543.074.094.22)35.1134.01(5.01)11)(1(121=+=+=--=∴解:353-mm r r 123=-2021rr -求m R r R e mλλ212==λmR r m=12323=-=-∴λλR R r r 1)23(=-λR )23(231+=-=λR mmR r r 346.0146.311.0)23)(2021()2021(2021=⨯=+-=-=-∴λ解333-αλn e 2=ad ne γλα5310876.310552.123.5892--⨯=⨯⨯⨯==∴解313-λλm nh =+22337.1=n m h 910380-⨯=910016.1)21(-⨯=-λm 时当1=m nm 20321=λ时2=m nm3.6772=λnm4.4063=λ时3=m λm nh =2时当1=m nm 1016=λ时2=m nm 5082=λnm3383=λ时3=m 时当nm h 38=<<9106.1012-⨯=nh 光干涉相长反射光干涉相消,透射远小于.λ解:303-nm nm 3.677064.4和最强光波长为∴透射光无半波损失波长的光最强508∴,则条纹移过一个每移动2λ1102423220.0=∴λnm 9.62810242322.0=⨯=λ:解40-321h h h +=2)12(22λλ+=+=∆m h 2211222hR h R r ==12212R R m R R r -=λ2222212λm R r R r =-∴1221R R m R R r -=∴λ解:同上题38-3λλm h =+222)12(λk m r -=亮环半径m r m 311006.13-⨯==时mrR 9988.052121==∴λm r m 321077.15-⨯==时nmr rr r r R 1.697952592921212221122222=⋅=⋅==∴λλλ解363-解:413-hn )1(2-了插入玻璃板后光程增加条纹移一条)每增加则条纹增加一条(厚度光程每增加2λλ120)1(2=-∴λh n λ10)1(=-∴h n nmm n h 41009.19.10110⨯==-=μλ解:433-nm 0013.0=∆λλλγ∆=∆∴2c γ∆=∆∴1t cmc L c88.312=∆=∆=∴λλγhh 2则光程增加镜子每移动最大光程差cL h =2cm L h c94.15288.312===∴λm h =个510476.2⨯==λhm 解:463-2)1(4R R F -=2r R =80)1(4)1(222=-=∴r rF 447.04)2(==∆Fδ05.142)3(=∆=σπϑF 9756.02993.012)4(2=+==+=F FR r V解:473-λ02m nh =1=n 41042⨯==λhm 第二十个环399802040000200=-=-=m m λm i h =cos 29995.010210500399802cos 29=⨯⨯⨯==∴--h m i λyad i 201016.381.1-⨯==变化。
《光学教程》(姚启钧)课后习题解答 - 百度文库《光学教程》(姚启钧)习题解答第一章光的干涉1 、波长为的绿光投射在间距为的双缝上,在距离处的光屏上形成干涉条纹,求两个亮条纹之间的距离。
若改用波长为的红光投射到此双缝上,两个亮纹之间的距离为多少?算出这两种光第2 级亮纹位置的距离。
解:改用两种光第二级亮纹位置的距离为:2 、在杨氏实验装置中,光源波长为,两狭缝间距为,光屏离狭缝的距离为,试求:⑴光屏上第 1 亮条纹和中央亮纹之间的距离;⑵若 P 点离中央亮纹为问两束光在 P 点的相位差是多少?⑶求 P 点的光强度和中央点的强度之比。
解:⑴⑵由光程差公式⑶中央点强度:P 点光强为:3 、把折射率为的玻璃片插入杨氏实验的一束光路中,光屏上原来第 5 级亮条纹所在的位置变为中央亮条纹,试求插入的玻璃片的厚度。
已知光波长为解:,设玻璃片的厚度为由玻璃片引起的附加光程差为:4 、波长为的单色平行光射在间距为的双缝上。
通过其中一个缝的能量为另一个的倍,在离狭缝的光屏上形成干涉图样,求干涉条纹间距和条纹的可见度。
解:由干涉条纹可见度定义:由题意,设,即代入上式得5 、波长为的光源与菲涅耳双镜的相交棱之间距离为,棱到光屏间的距离为,若所得干涉条纹中相邻亮条纹的间隔为,求双镜平面之间的夹角。
解:由菲涅耳双镜干涉条纹间距公式6 、在题 1.6 图所示的劳埃德镜实验中,光源 S 到观察屏的距离为,到劳埃德镜面的垂直距离为。
劳埃德镜长,置于光源和屏之间的中央。
⑴若光波波长,问条纹间距是多少?⑵确定屏上可以看见条纹的区域大小,此区域内共有几条条纹?(提示:产生干涉的区域 P 1 P 2 可由图中的几何关系求得)解:由图示可知:①②在观察屏上可以看见条纹的区域为 P 1 P 2 间即,离屏中央上方的范围内可看见条纹。
7 、试求能产生红光()的二级反射干涉条纹的肥皂膜厚度。
已知肥皂膜折射率为,且平行光与法向成 30 0 角入射。
《光学教程》(姚启钧)习题解答第一章 光的干涉1、波长为500nm 的绿光投射在间距d 为0.022cm 的双缝上,在距离180cm 处的光屏上形成干涉条纹,求两个亮条纹之间的距离。
若改用波长为700nm 的红光投射到此双缝上,两个亮纹之间的距离为多少?算出这两种光第2级亮纹位置的距离。
解:1500nm λ= 7011180500100.4090.022r y cm d λ-∆==⨯⨯= 改用2700nm λ= 7022180700100.5730.022r y cm d λ-∆==⨯⨯= 两种光第二级亮纹位置的距离为: 21220.328y y y cm ∆=∆-∆=2、在杨氏实验装置中,光源波长为640nm ,两狭缝间距为0.4mm ,光屏离狭缝的距离为50cm ,试求:⑴光屏上第1亮条纹和中央亮纹之间的距离;⑵若P 点离中央亮纹为0.1mm 问两束光在P 点的相位差是多少?⑶求P 点的光强度和中央点的强度之比。
解:⑴ 7050640100.080.04r y cm d λ-∆==⨯⨯= ⑵由光程差公式210sin yr r d dr δθ=-== 0224y dr πππϕδλλ∆==⋅= ⑶中央点强度:204I A =P 点光强为:221cos4I A π⎛⎫=+ ⎪⎝⎭012(1)0.8542I I =+=3、把折射率为1.5的玻璃片插入杨氏实验的一束光路中,光屏上原来第5级亮条纹所在的位置变为中央亮条纹,试求插入的玻璃片的厚度。
已知光波长为7610m -⨯解: 1.5n =,设玻璃片的厚度为d由玻璃片引起的附加光程差为:()1n d δ'=- ()15n d λ-= ()7645561061061010.5d m cm n λ---==⨯⨯=⨯=⨯-4、波长为500nm 的单色平行光射在间距为0.2mm 的双缝上。
通过其中一个缝的能量为另一个的2倍,在离狭缝50cm 的光屏上形成干涉图样,求干涉条纹间距和条纹的可见度。
《光学教程》(姚启钧)习题解答之吉白夕凡创作第一章光的干与1、波长为500nm 的绿光投射在间距d 为0.022cm 的双缝上,在距离180cm 处的光屏上形成干与条纹,求两个亮条纹之间的距离.若改用波长为700nm 的红光投射到此双缝上,两个亮纹之间的距离为多少?算出这两种光第2级亮纹位置的距离. 解:1500nm λ= 改用2700nm λ=两种光第二级亮纹位置的距离为:2、在杨氏实验装置中,光源波长为640nm ,两狭缝间距为0.4mm ,光屏离狭缝的距离为50cm ,试求:⑴光屏上第1亮条纹和中央亮纹之间的距离;⑵若P 点离中央亮纹为0.1mm 问两束光在P 点的相位差是多少?⑶求P 点的光强度和中央点的强度之比. 解:⑴7050640100.080.04r y cm dλ-∆==⨯⨯= ⑵由光程差公式⑶中央点强度:204I A =P 点光强为:221cos 4I A π⎛⎫=+ ⎪⎝⎭3、把折射率为1.5的玻璃片拔出杨氏实验的一束光路中,光屏上原来第5级亮条纹所在的位置变成中央亮条纹,试求拔出的玻璃片的厚度.已知光波长为7610m -⨯解: 1.5n =,设玻璃片的厚度为d由玻璃片引起的附加光程差为:()1n d δ'=-4、波长为500nm 的单色平行光射在间距为0.2mm 的双缝上.通过其中一个缝的能量为另一个的2倍,在离狭缝50cm 的光屏上形成干与图样,求干与条纹间距和条纹的可见度. 解: 7050500100.1250.02r y cm dλ-∆==⨯⨯= 由干与条纹可见度定义:由题意,设22122A A =,即12A A =5、波长为700nm 的光源与菲涅耳双镜的相交棱之间距离为20cm ,棱到光屏间的距离L 为180cm ,若所得干与条纹中相邻亮条纹的间隔为1mm ,求双镜平面之间的夹角θ.解:700,20,180,1nm r cm L cm y mm λ===∆= 由菲涅耳双镜干与条纹间距公式6、在题1.6 图所示的劳埃德镜实验中,光源S 到不雅察屏的距离为1.5m ,到劳埃德镜面的垂直距离为2mm .劳埃德镜长40cm ,置于光源和屏之间的中央.⑴若光波波长500nm λ=,问条纹间距是多少?⑵确定屏上可以看见条纹的区域大小,此区域内共有几条条纹?(提示:产生干与的区域P1P2可由图中的几何关系求得)解:由图示可知:7050050010,40.4, 1.5150nm cm d mm cm r m cm λ-==⨯====①70150500100.018750.190.4r y cm mm d λ-∆==⨯⨯== ②在不雅察屏上可以看见条纹的区域为P1P2间即21 3.45 1.16 2.29P P mm =-=,离屏中央1.16mm 上方的2.29mm 规模内可看见条纹.7、试求能产生红光(700nm λ=)的二级反射干与条纹的番笕膜厚度.已知番笕膜折射率为1.33,且平行光与法向成300角入射. 解:2700, 1.33nm n λ==由等倾干与的光程差公式:22λδ=8、透镜概略通常镀一层如MgF2( 1.38n =)一类的透明物质薄膜,目的是利用干与来降低玻璃概略的反射.为了使透镜在可见光谱的中心波长(550nm )处产生极小的反射,则镀层必须有多厚? 解: 1.38n =物质薄膜厚度使膜上下概略反射光产生干与相消,光在介质上下概略反射时均存在半波损失.P 2 P 1 P 0由光程差公式:9、在两块玻璃片之间一边放一条厚纸,另一边相互压紧,玻璃片l 长10cm ,纸厚为0.05mm ,从600的反射角进行不雅察,问在玻璃片单位长度内看到的干与条纹数目是多少?设单色光源波长为500nm 解:02cos602o n hδ=+相邻亮条纹的高度差为:605005001012cos60212oh nm mm n λ-∆===⨯⨯⨯可看见总条纹数60.0510050010H N h -===∆⨯ 则在玻璃片单位长度内看到的干与条纹数目为: 即每cm 内10条.10、在上题装置中,沿垂直于玻璃概略的标的目的看去,看到相邻两条暗纹间距为1.4mm .已知玻璃片长17.9cm ,纸厚0.036mm ,求光波的波长. 解:当光垂直入射时,等厚干与的光程差公式: 可得:相邻亮纹所对应的厚度差:2h nλ∆=由几何关系:h H l l∆=∆,即lh H l∆∆=11、波长为400760nm 的可见光正射在一块厚度为61.210m -⨯,折射率为1.5的薄玻璃片上,试问从玻璃片反射的光中哪些波长的光最强.解:61.210, 1.5h m n -=⨯=由光正入射的等倾干与光程差公式:22nh λδ=-使反射光最强的光波满:足22nh j λδλ=-=12、迈克耳逊干与仪的反射镜M2移动0.25mm 时,看到条纹移过的数目为909个,设光为垂直入射,求所用光源的波长.解:光垂直入射情况下的等厚干与的光程差公式:22nh h δ== 移动一级厚度的改动量为:2h λ∆=13、迈克耳逊干与仪的平面镜的面积为244cm ⨯,不雅察到该镜上有20个条纹,当入射光的波长为589nm 时,两镜面之间的夹角为多少?解:由光垂直入射情况下的等厚干与的光程差公式: 22nh h δ==相邻级亮条纹的高度差:2h λ∆=由1M 和2M '组成的空气尖劈的两边高度差为:M 1M 21M2M '14、调节一台迈克耳逊干与仪,使其用波长为500nm 的扩展光源照明时会出现同心圆环条纹.若要使圆环中心处相继出现1000条圆环条纹,则必须将移动一臂多远的距离?若中心是亮的,试计算第一暗环的角半径.(提示:圆环是等倾干与图样,计算第一暗环角半径时可利用21sin ,cos 12θθθθ≈≈-的关系.) 解:500nm λ=出现同心圆环条纹,即干与为等倾干与 对中心 2h δ=15、用单色光不雅察牛顿环,测得某一亮环的直径为3mm ,在它外边第5个亮环的直径为4.6mm ,所用平凸透镜的凸面曲率半径为1.03m ,求此单色光的波长.解:由牛顿环的亮环的半径公式:r = 以上两式相减得:16、在反射光中不雅察某单色光所形成的牛顿环,其第2级亮环与第3级亮环间距为1mm ,求第19和20级亮环之间的距离. 解:牛顿环的反射光中所见亮环的半径为:即:2r =则:)2019320.160.40.4r r r r r mm ∆=-==-== 第2章光的衍射1、单色平面光照射到一小圆孔上,将其波面分红半波带.求第k 个带的半径.若极点到不雅察点的距离0r 为1m ,单色光波长为450nm ,求此时第一半波带的半径. 解:由公式对平面平行光照射时,波面为平面,即:R →∞2、平行单色光从左向右垂直射到一个有圆形小孔的屏上,设此孔可以像照相机光圈那样改动大小.问:⑴小孔半径应满足什么条件时,才干使得此小孔右侧轴线上距小孔中心4m 的P 点的光强辨别得到极大值和极小值;⑵P 点最亮时,小孔直径应为多大?设此光的波长为500nm .解:⑴04400r m cm ==当k 为奇数时,P 点为极大值 当C 数时,P 点为极小值⑵由()112P k A a a =±,k 为奇,取“+”;k 为偶,取“-” 当1k =,即仅露出一个半波带时,P 点最亮.10.141,(1)H R cm k ==,0.282D cm =3、波长为500nm 的单色点光源离光阑1m ,光阑上有一个内外半径辨别为0.5mm 和1mm 的透光圆环,接收点P 离光阑1m ,求P 点的光强I·S1R m =与没有光阑时的光强0I 之比. 解:即从透光圆环所透过的半波带为:2,3,4 设1234a a a a a ==== 没有光阑时光强之比:2204112I a I a ==⎛⎫ ⎪⎝⎭4、波长为632.8nm 的平行光射向直径为2.76mm 的圆孔,与孔相距1m 处放一屏,试问:⑴屏上正对圆孔中心的P 点是亮点还是暗点?⑵要使P 点酿成与⑴相反的情况,至少要把屏辨别向前或向后移动多少? 解:由公式对平面平行光照射时,波面为平面,即:R →∞2290 2.7623632.8101H R k r λ-⎛⎫ ⎪⎝⎭===⨯⨯, 即P 点为亮点.则 0113k r R⎛⎫=⨯+ ⎪⎝⎭, 注:0,r R 取m 作单位向右移,使得2k =,03 1.5, 1.510.52r m r m '==∆=-=向左移,使得4k =,030.75,10.750.254r m r m '==∆=-=5、一波带片由五个半波带组成.第一半波带为半径1r 的不透明圆盘,第二半波带是半径1r 和2r 的透明圆环,第三半波带是2r 至3r 的不透明圆环,第四半波带是3r 至4r 的透明圆环,第五半波带是4r 至无穷大的不透明区域.已知1234:::r r r r =,用波长500nm 的平行单色光照明,最亮的像点在距波带片1m 的轴上,试求:⑴1r ;⑵像点的光强;⑶光强极大值出现在哪些位置上. 解:由1234:::r r r r =带片具有透镜成像的作用,2HkR f k λ'=波⑵2242,4A a a a I a =+==无光阑时,2201124I a a ⎛⎫== ⎪⎝⎭即:016I I =,0I 为入射光的强度.⑶由于波带片还有11,35f f ''…等多个焦点存在,即光强极大值在轴上11,35m m …6、波长为λ的点光源经波带片成一个像点,该波带片有100个透明奇数半波带(1,3,5,…,199).另外100个不透明偶数半波带.比较用波带片和换上同样焦距和口径的透镜时该像点的强度比0:I I . 解:由波带片成像时,像点的强度为:由透镜成像时,像点的强度为: 即014I I = 7、平面光的波长为480nm ,垂直照射到宽度为0.4mm 的狭缝上,会聚透镜的焦距为60cm .辨别计算当缝的两边到P 点的相位差为/2π和/6π时,P 点离焦点的距离.解:对沿θ标的目的的衍射光,缝的两边光的光程差为:sin b δθ=相位差为:22sin b ππϕδθλλ∆==对使2πϕ∆=的P 点对使6πϕ∆=的P`点8、白光形成的单缝衍射图样中,其中某一波长的第三个次最大值与波长为600nm 的光波的第二个次最大值重合,求该光波的波长. 解:对θ方位,600nm λ=的第二个次最大位 对 λ'的第三个次最大位 即:5722bbλλ'⨯=⨯9、波长为546.1nm 的平行光垂直地射在1mm 宽的缝上,若将焦距为100cm 的透镜紧贴于缝的后面,并使光聚焦到屏上,问衍射图样的中央到⑴第一最小值;⑵第一最大值;⑶第三最小值的距离辨别为多少?解:⑴第一最小值的方位角1θ为:1sin 1b θλ=⋅⑵第一最大值的方位角1θ'为: ⑶第3最小值的方位角3θ为:3sin 3bλθ=⋅10、钠光通过宽0.2mm 的狭缝后,投射到与缝相距300cm 的照相底片上.所得的第一最小值与第二最小值间的距离为0.885cm ,问钠光的波长为多少?若改用X 射线(0.1nm λ=)做此实验,问底片上这两个最小值之间的距离是多少? 解:单缝衍射花样最小值位置对应的方位θ满足: 则 11sin 1bλθθ≈=⋅11、以纵坐标暗示强度,横坐标暗示屏上的位置,粗略地画出三缝的夫琅禾费衍射(包含缝与缝之间的干与)图样.设缝宽为b ,相邻缝间的距离为d ,3d b =.注意缺级问题.12、一束平行白光垂直入射在每毫米50条刻痕的光栅上,问第一级光谱的末端和第二光谱的始端的衍射角θ之差为多少?(设可见光中最短的紫光波长为400nm ,最长的红光波长为760nm ) 解:每毫米50条刻痕的光栅,即10.0250d mm mm == 第一级光谱的末端对应的衍射方位角1θ末为第二级光谱的始端对应的衍射方位角2θ始为13、用可见光(760400nm )照射光栅时,一级光谱和二级光谱是否重叠?二级和三级怎样?若重叠,则重叠规模是多少?解:光谱线对应的方位角θ:sin kdλθθ≈=即第一级光谱与第二级光谱无重叠 即第二级光谱与第三级光谱有重叠 由2152015203,506.73nm nm d dλθλ==⨯==末 即第三级光谱的400506.7nm 的光谱与第二级光谱重叠. 14、用波长为589nm 的单色光照射一衍射光栅,其光谱的中央最大值和第二十级主最大值之间的衍射角为01510',求该光栅1cm 内的缝数是多少?解:第20级主最大值的衍射角由光栅方程决定 解得20.4510d cm -=⨯15、用每毫米内有400条刻痕的平面透射光栅不雅察波长为589nm 的钠光谱.试问:⑴光垂直入射时,最多功效能不雅察到几级光谱?⑵光以030角入射时,最多能不雅察到几级光谱?解:61,58910400d mm mm λ-==⨯⑴光垂直入射时,由光栅方程:sin d j θλ= 即能看到4级光谱⑵光以30o 角入射16、白光垂直照射到一个每毫米250条刻痕的平面透射光栅上,试问在衍射角为030处会出现哪些波长的光?其颜色如何? 解:1250d mm =在30o 的衍射角标的目的出现的光,应满足光栅方程:sin 30o d j λ=17、用波长为624nm 的单色光照射一光栅,已知该光栅的缝宽b 为0.012mm ,不透明部分的宽度a 为0.029mm ,缝数N 为310条.求:⑴单缝衍射图样的中央角宽度;⑵单缝衍射图样中央宽度内能看到多少级光谱?⑶谱线的半宽度为多少? 解:0.012,0.029b mm a mm ==⑴6062410220.1040.012rad b λθ-⨯∆==⨯= ⑵j 级光谱对应的衍射角θ为:即在单缝图样中央宽度内能看到()2317⨯+=条(级)光谱 ⑶由多缝干与最小值位置决定公式:sin j Ndλθ'=⋅第3章几何光学的基来源根底理1、证明反射定律合适费马原理 证明:设A 点坐标为()10,y ,B 点坐标为()22,x y 入射点C 的坐标为(),0x光程ACB为:∆=令2sin sin 0x x d i i dx -∆'=-=-=即:sin sin i i '=*2、按照费马原理可以导出近轴光线条件下,从物点收回并会聚到像点的所有光线的光程都相等.由此导出薄透镜的物像公式. 3、眼睛E 和物体PQ 之间有一块折射率为1.5的玻璃平板(见题3.3图),平板的厚度d 为30cm .求物体PQ 的像P`Q`与物体PQ 之间的距离2d 为多少?解:由图:()121211tan tan sin sin 1sin BB d i d i d i i d i n ⎛⎫'=-≈-=- ⎪⎝⎭4、玻璃棱镜的折射角A 为060,对某一波长的光其折射率n 为1.6,计算:⑴最小偏向角;⑵此时的入射角;⑶能使光线从A 角两侧透过棱镜的最小入射角. 解:⑴ 由()()()1212112211i i i i i i i i i i A θ'''''=-+-=+-+=+- 当11i i '=时偏向角为最小,即有221302o i i A '=== ⑵15308o i '= 5、(略)6、高5cm 的物体距凹面镜顶点12cm ,凹面镜的焦距是10cm ,求像的位置及高度,(并作光路图) 解:由球面成像公式: 代入数值 1121220s +='-- 得:60s cm '=- 由公式:0y y ss '+=' 7、一个5cm 高的物体放在球面镜前10cm 处成1cm 高的虚像.求⑴此镜的曲率半径;⑵此镜是凸面镜还是凹面镜?解:⑴5,10y cm s cm ==-1y cm '=, 虚像0s '>由y s y s''=- 得:2s cm '=⑵由公式112s sr+=' 5r cm =(为凸面镜)8、某不雅察者通过一块薄玻璃板去看在凸面镜中他自己的像.他移动着玻璃板,使得在玻璃板中与在凸面镜中所看到的他眼睛的像重合在一起.若凸面镜的焦距为10cm ,眼睛距凸面镜顶点的距离为40cm ,问玻璃板距不雅察者眼睛的距离为多少?解:由题意,凸面镜焦距为10cm ,即2110r=玻璃板距不雅察者眼睛的距离为1242d PP cm '==9、物体位于凹面镜轴线上焦点之外,在焦点与凹面镜之间放一个与轴线垂直的两概略互相平行的玻璃板,其厚度为1d ,折射率为n .试证明:放入该玻璃板后使像移动的距离与把凹面镜向物体移动()11/d n n -的一段距离的效果相同.证明:设物点P 不动,由成像公式112s s r+=' 由题3可知:11110PP d d n ⎛⎫==-> ⎪⎝⎭入射到镜面上的光线可视为从1P 收回的,即加入玻璃板后的物距为s d +反射光线经玻璃板后也要平移d ,所成像的像距为11s s d '''=- 放入玻璃板后像移量为:()()()1122r s d rss s s d s d r s r +''''∆=-=--+-- 凹面镜向物移动d 之后,物距为s d + (0,0s d <>)2s '相对o 点距离()()222r s d s s d d s d r+'''=-=-+-10、欲使由无穷远收回的近轴光线通过透明球体并成像在右半球面的顶点处,问这透明球体的折射率应为多少? 解:由球面折射成像公式:n n n ns sr''--='解得: 2n '=11、有一折射率为1.5、半径为4cm 的玻璃球,物体在距球概略6cm 处,求:⑴物所成的像到球心之间的距离;⑵像的横向缩小率. 解:⑴P 由球面1o 成像为P ',P '由2o 球面成像P ''211s cm '=,P ''在2o 的右侧,离球心的距离11415cm += ⑵球面1o 成像1111y s y s n β''==⋅ (利用P194:y s n y s n ''=⋅') 球面2o 成像12、一个折射率为1.53、直径为20cm 的玻璃球内有两个小气泡.看上去一个恰好在球心,另一个从最近的标的目的看去,好像在概略与球心连线的中点,求两气泡的实际位置. 解:设气泡1P 经球面1o 成像于球心,由球面折射成像公式:n n n ns s r''--=' 110s cm =-, 即气泡1P 就在球心处另一个气泡2P2 6.05s cm =-, 即气泡2P 离球心10 6.05 3.95cm -=13、直径为1m 的球形鱼缸的中心处有一条小鱼,若玻璃缸壁的影响可忽略不计,求缸外不雅察者所看到的小鱼的表不雅位置和横向缩小率.解:由球面折射成像公式:n n n ns sr''--='解得 50s cm '=-,在原处14、玻璃棒一端成半球形,其曲率半径为2cm .将它水平地浸入折射率为1.33的水中,沿着棒的轴线离球面顶点8cm 处的水中有一物体,利用计算和作图法求像的位置及横向缩小率,并作光路图. 解:由球面折射成像公式:s s r-=' 15、有两块玻璃薄透镜的两概略均各为凸球面及凹球面,其曲率半径为10cm .一物点在主轴上距镜20cm 处,若物和镜均浸入水中,辨别用作图法和计算法求像点的位置.设玻璃的折射率为1.5,水的折射率为1.33.解:由薄透镜的物像公式:211212n n n n n n s s r r ---=+' 对两概略均为凸球面的薄透镜: 对两概略均为凹球面的薄透镜:16、一凸透镜在空气的焦距为40cm ,在水中时焦距为136.8cm ,问此透镜的折射率为多少(水的折射率为1.33)?若将此透镜置于CS2中(CS2的折射率为1.62),其焦距又为多少?解:⑴ 薄透镜的像方焦距:21212n f n n n n r r '=⎛⎫--+ ⎪⎝⎭12n n = 时,()111211n f n n r r '=⎛⎫-- ⎪⎝⎭在空气中:()1121111f n r r '=⎛⎫-- ⎪⎝⎭在水中:()2121.33111.33f n r r '=⎛⎫-- ⎪⎝⎭两式相比:()()12 1.33401.331136.8n f f n -'=='- 解得 1.54n = ⑵12 1.62n n == 而:()11211111f n r r '-=⎛⎫- ⎪⎝⎭则:()1.6240 1.541437.41.54 1.62f cm '=⨯⨯-=--第4章 光学仪器的基来源根底理1、眼睛的机关简单地可用一折射球面来暗示,其曲率半径为5.55mm ,内部为折射率等于4/3的液体,外部是空气,其折射率近似地等于 1.试计算眼球的两个焦距.用肉眼不雅察月球时月球对眼的张角为01,问视网膜上月球的像有多大? 解:由球面折射成像公式:n n n ns sr''--='令43, 5.55 2.22413n s f r cm n n ''=-∞=⋅=⨯='--令1,5.5516.7413n s f r cm n n '=∞=-⋅=-⨯=-'--2、把人眼的晶状体看成距视网膜2cm 的一个简单透镜.有人能看清距离在100cm 到300cm 间的物体.试问:⑴此人看远点和近点时,眼y '睛透镜的焦距是多少?⑵为看清25cm 远的物体,需配戴怎样的眼镜?解:⑴对于远点:11300,2s cm s cm '=-= 由透镜成像公式:111111s s f -=''对于近点:2211121001.961f f cm-='-'=⑵对于25cm由两光具组互相接触0d =组合整体:110.030cm f -=''(近视度:300o ) 3、一照相机对准远物时,底片距物镜18cm ,当镜头拉至最大长度时,底片与物镜相距20cm ,求目的物在镜前的最近距离? 解:由题意:照相机对准远物时,底片距物镜18cm , 由透镜成像公式:111s sf -=''4、两星所成的视角为4',用望远镜物镜照相,所得两像点相距1mm ,问望远镜物镜的焦距是多少? 解: 3.14118060rad '=⨯5、一显微镜具有三个物镜和两个目镜.三个物镜的焦距辨别为16mm 、4mm 和1.9mm ,两个目镜的缩小本领辨别为5和10倍.设三个物镜造成的像都能落在像距为160cm 处,问这显微镜的最大和最小的缩小本领各为多少?解:由显微镜的缩小本领公式:其最大缩小本领: 其最小缩小本领:6、一显微镜物镜焦距为0.5cm ,目镜焦距为2cm ,两镜间距为22cm .不雅察者看到的像在无穷远处.试求物体到物镜的距离和显微镜的缩小本领.解:由透镜物像公式:111s s f -=''解得:0.51s cm =- 显微镜的缩小本领:1212252522255500.52s l M f f f f '=-⋅≈-⋅=-⨯=-'''' 7、(略)8、已知望远镜物镜的边沿即为有效光阑,试计算并作图求入光瞳和出射光瞳的位置. 9、 10、*13、焦距为20cm 的薄透镜,放在发光强度为15cd 的点光源之前30cm 处,在透镜后面80cm 处放一屏,在屏上得到明亮的圆斑.求不计透镜中光的吸收时,圆斑的中心照度.解:230S d Id Iφ=Ω= (S 为透镜的面积)P 点的像点P '的发光强度I '为:14、一长为5mm 的线状物体放在一照相机镜头前50cm 处,在底片上形成的像长为1mm .若底片后移1cm ,则像的弥散斑宽度为1mm .试求照相机镜头的F 数. 解:由y s y s''= 1550s '= 得10s cm '= 由透镜物像公式:111s s f -=''由图可见,100.11d =1d cm = F 数:508.336f d '== 15、某种玻璃在靠近钠光的黄色双谱线(其波长辨别为589nm 和589.6nm )邻近的色散率/dn d λ为1360cm --,求由此种玻璃制成的能分mm辩钠光双谱线的三棱镜,底边宽度应小于多少? 解:由色分辩本领:dnP d λδλλ==∆ 16、设计一块光栅,要求⑴使波长600nm 的第二级谱线的衍射角小于030,并能分辩其0.02nm 的波长差;⑵色散尽可能大;⑶第三级谱线缺级.求出其缝宽、缝数、光栅常数和总宽度.用这块光栅总共能看到600nm 的几条谱线? 解:由sin d j θλ= 由第三级缺级 由 P jN λλ==∆ 光栅的总宽度:315000 2.41036L Nd mm -==⨯⨯= 由sin 9024004600od j λ=== 能看到0,1,2±±,共5条谱线17、若要求显微镜能分辩相距0.000375mm 的两点,用波长为550nm 的可见光照明.试求:⑴此显微镜物镜的数值孔径;⑵若要求此两点缩小后的视角为2',则显微镜的缩小本领是多少?解:⑴由显微镜物镜的分辩极限定义⑵ 3.1418060387.70.000375250M ⨯==18、夜间自远处驶来汽车的两前灯相距1.5m .如将眼睛的瞳孔看成产生衍射的圆孔,试估量视力正常的人在多远处才干分辩出光源是两个灯.设眼睛瞳孔的直径为3mm ,设光源收回的光的波长λ为550nm .解: 1.5U L=当0.610U Rλθ==才干分辩出19、用孔径辨别为20cm 和160cm 的两种望远镜能否分辩清月球上直径为500m 的环形山?(月球与地面的距离为地球半径的60倍,面地球半径约为6370km .)设光源收回的光的波长λ为550nm . 解:63500 1.31060637010U rad -==⨯⨯⨯ 孔径20cm 望远镜:孔径160cm 望远镜:1U θ'<,即用孔径20cm 望远镜不克不及分辩清 1U θ''>,即用孔径160cm 望远镜能分辩清20、电子显微镜的孔径角028u =,电子束的波长为0.1nm ,试求它的最小分辩距离.若人眼能分辩在明视距离处相距26.710mm -⨯的两点,则此显微镜的缩小倍数是多少? 解: 3.144sin sin 4180o n u u u ⨯====第五章 光的偏振1、试确定下面两列光波 的偏振态.解:①()10cos cos 2x y E A e t kz e t kz πωω⎡⎤⎛⎫=-+-- ⎪⎢⎥⎝⎭⎣⎦有:222110x y E E A +=阐发()(),0000,2x y x y E At kz A E E t kz A E Aωπω=⎧⎪-=⎨=⎪⎩=⎧⎪-=⎨=⎪⎩为(左旋)圆偏振光②()20sin sin 2x y E A e t kz e t kz πωω⎡⎤⎛⎫=-+-- ⎪⎢⎥⎝⎭⎣⎦有:222110x y E E A +=阐发()()0,,002x y x y E t kz A E A E A t kz A E ωπω=⎧⎪-=-⎨=-⎪⎩=⎧⎪-=⎨=⎪⎩为(左旋)圆偏振光2、为了比较两个被自然光照射的概略的亮度,对其中一个概略直接进行不雅察,另一个概略通过两块偏振片来不雅察.两偏振片的透振标的目的的夹角为060.若不雅察到两概略的亮度相同.则两概略实际的亮度比是多少?已知光通过每一块偏振片后损失入射光能量的0010.解:由于被光照射的概略的亮度与其反射的光的光强成正比.设直接不雅察的概略对应的光强为1o I ,通过两偏振片不雅察的概略的光强为2o I通过第一块偏振片的光强为:通过第二块偏振片的光强为: 由1220.1o o I I I == 则:120.1ooI I = 3、两个尼科耳N1和N2的夹角为060,在它们之间放置另一个尼科耳N3,让平行的自然光通过这个系统.假设各尼科耳对很是光均无吸收,试问N3和N1的透振标的目的的夹角为何值时,通过系统的光强最大?设入射光强为0I ,求此时所能通过的最大光强. 解:令:20dI d α=得:()tan tan 60αα=- 4、在两个正义的理想偏听偏振片之间有一个偏振片以匀角速度ω绕光的传播标的目的旋转(见题5.4图),若入射的自然光强为0I ,试证明透射光强为()011cos 416I I t ω=- 证明:5、线偏振光入射到折射率为1.732的玻璃片上,入射角是060,入射光的电矢量与入射面成030角.求由分界面上反射的光强占入射光1N23N60强的百分比. 解:设入射线偏振光振幅为A ,则入射光强为20I A = 入射光平行份量为:1cos 30o P A A = 入射光垂直份量为:1sin 30o S A A = 由:21sin603sin i =得:230o i = 由:()()()()121112tan 6030tan 0tan tan 6030oPo P i i A A i i --'===++ 6、一线偏振光垂直入射到一方解石晶体上,它的振动面和主截面成030角.两束折射光通过在方解石后面的一个尼科耳棱镜,其主截面与入射光的振动标的目的成050角.计算两束透射光的相对强度.解:当光振动面与N 主截面在晶体主截面同侧: 当光振动面与N 主截面在晶体主截面两侧:7、线偏振光垂直入射到一块光轴平行于概略的方解石波片上,光的振动面和波片的主截面成030角.求:⑴透射出来的寻常光和很是光的相对强度为多少?⑵用钠光入时如要产生090的相位差,波片的厚度应为多少?(589nm λ=) 解:⑴1sin 302o o A A A ==214o I A = ⑵ 方解石对钠光 1.658 1.486o e n n ==由()2o e n n d πϕλ∆=-8、有一块平行石英片是沿平行于光轴标的目的切成一块黄光的14波片,问这块石英片应切成多厚?石英的01.552, 1.543,589e n n nm λ===.解:()2o e n n d πϕλ∆=-9、⑴线偏振光垂直入射到一个概略和光轴平行的波片,透射出来后,原来在波片中的寻常光及很是光产生了大小为π的相位差,问波片的厚度为多少?0 1.5442, 1.5533,500e n n nm λ===⑵问这块波片应怎样放置才干使透射出来的光是线偏振光,并且它的振动面和入射光的振动面成090的角? 解:⑴()()221o e n n d k πϕπλ∆=-=+⑵振动标的目的与晶体主截面成45o 角10、线偏振光垂直入射到一块概略平行于光轴的双折射波片,光振动面和波片光轴成025角,问波片中的寻常光和很是光透射出来后的相对强度如何? 解:cos 25o e A A =11、在两正交尼科耳棱镜N1和N2之间垂直拔出一块波片,发明N2后面有光射出,但当N2绕入射光向顺时针转过020后, N2的视场全暗,此时,把波片也绕入射光顺时针转过020,N2的视场又亮了,问:⑴这是什么性质的波片;⑵N2要转过多大角度才干使N2的视场以变成全暗.解:⑴由题意,当2N 绕入射光向顺时针转动20o 后,2N 后的视场全暗,说明A '与1N 夹角为20o .只有当波片为半波片时,才干使入射线偏振光出射后仍为线偏振光.⑵把波片也绕入射光顺时针转过020,2N 要转过040才干使2N 后的视场又变成全暗12、一束圆偏振光,⑴垂直入射1/4波片上,求透射光的偏振状态;⑵垂直入射到1/8波片上,求透射光的偏振状态.解:在xy 平面上,圆偏振光的电矢量为:()()cos sin x y E A t kz e A t kz e ωω=-±- +为左旋;-为右旋圆偏振光设在波片入射概略上为 ⑴波片为14波片时,2πϕ∆=即透射光为振动标的目的与晶片主截面成45o 角的线偏振光⑵波片为18波片时,4πϕ∆=即透射光为椭圆偏振光.13、试证明一束左旋圆偏振光和一束右旋圆偏振光,当它们的振幅相等时,合成的光是线偏振光. 解:左旋圆偏振光 右旋圆偏振光 即E 为线偏振光14、设一方解石波片沿平行光轴标的目的切出,其厚度为0.0343mm,放在两个正交的尼科耳棱镜间,平行光束经过第一尼科耳棱镜后,垂直地射到波片上,对于钠光(589.3nm )而言,晶体的折射率为1.658, 1.486o e n n ==.问通过第二尼科耳棱镜后,光束产生的干与是加强还是减弱?如果两个尼科耳棱镜的主截面是互相平行的,结果又如何? 解:①1N 与2N 正交时,即通过第二个尼科耳棱镜后,光束的干与是减弱的. ②1N 与2N 互相平行时,即通过第二个尼科耳棱镜后,光束的干与是加强的. 15、单色光通过一尼科耳镜N1,然后射到杨氏干与实验装置的两个细缝上,问:⑴尼科耳镜N1的主截面与图面应成怎样的角度才干使光屏上的干与图样中的暗条纹为最暗?⑵在上述情况下,在一个细缝前放置一半波片,并将这半波片绕着光线标的目的继续旋转,问在光屏上的干与图样有何改动?解:⑴尼科耳镜N1的主截面与图面应成90的角度时,光屏。
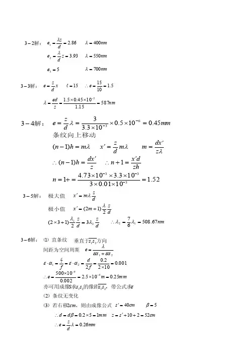
第三章作业1、波长为600nm的平行光垂直照在宽度为0.03mm的单缝上,以焦距为100cm的会聚透镜将衍射光聚焦于焦平面上进行观察,求:(1)单缝衍射中央亮纹的半宽度;(2)第一亮纹和第二亮纹到衍射场中心的距离。
2、求矩孔夫琅和费衍射图样中,沿图样对角线方向第一个次级大值和第二个次级大值相对于图样中心的强度.3、在双缝的夫琅和费衍射实验中,所用光波的波长为632.8nm,透镜的焦距为80cm,观察到两相邻亮条纹之间的距离2.5mm,并且第5级缺级,试求:(1)双缝的缝宽与缝距;(2)第1,2,3级亮纹的相对强度。
4、平行白光射到在两条平行的窄缝上,两缝相距为2mm,用一个焦距为1。
5m的透镜将双缝衍射条纹聚焦在屏幕上。
如果在屏幕上距中央白条纹3mm处开一个小孔,在该处检查所透过的光,问在可见光区(390~780nm)将缺掉那些波长?5、推导出单色光正入射时,光栅产生的谱线的半角宽度的表达式。
如果光栅宽度为15cm,每毫米内有500条缝,它产生的波长632。
8nm的单色光的一级和二级谱线的半角宽度是多少?6、钠黄光包含589。
6nm和589nm两种波长,问要在光栅的二级光谱中分辨开这两种波长的谱线,光栅至少应有多少条缝?7、设计一块光栅,要求:(1)使波长为600nm的第二级谱线的衍射角小于等于300;(2)色散尽可能的大;(3)第4级谱线缺级;(4)对于波长为600nm的二级谱线能分辨0.03nm 的波长差。
选定光栅的参数后,问在透镜的焦面上只能看见波长600nm的几条谱线?8、一束直径为2mm的氦氖激光(632.8nm)自地球发向月球,已知月球到地面的距离为380000km,问在月球上接收到的光斑的大小?若此激光束扩束到0.15m再射向月球,月球上接收到光斑大小?9、在正常条件下,人眼瞳孔直径约为2.5mm,人眼最灵敏的波长为550nm.问:(1)人眼最小分辨角(2)要分辨开远处相距0。
6m的两点光,人眼至少离光点多近?(3)讨论眼球内玻璃状液的折射率(1.336)对分辨率的影响。