排队论习题及答案
- 格式:doc
- 大小:148.50 KB
- 文档页数:8
排队考试题及答案一、单项选择题(每题2分,共20分)1. 排队理论中,顾客到达的过程通常被假设为()。
A. 确定性过程B. 随机过程C. 周期性过程D. 线性过程答案:B2. 在排队系统中,如果服务时间是确定的,那么该系统被称为()。
A. M/M/1B. M/D/1C. M/G/1D. D/M/1答案:B3. 排队理论中,以下哪个参数表示顾客在系统中的平均逗留时间?()A. λ(到达率)B. μ(服务率)C. W(平均逗留时间)D. L(系统中的平均顾客数)答案:C4. 以下哪个公式用于计算排队系统中顾客的平均等待时间?()A. Wq = λ / (μ - λ)B. Lq = λ / (μ - λ)C. Wq = 1 / (μ - λ)D. Lq = 1 / (μ - λ)答案:A5. 在排队理论中,如果顾客到达率和服务率都是随机的,这种类型的系统被称为()。
B. M/G/1C. G/M/1D. G/G/1答案:D6. 以下哪个参数表示系统中顾客的平均数量?()A. λ(到达率)B. μ(服务率)C. L(系统中的平均顾客数)D. W(平均逗留时间)答案:C7. 排队理论中,如果服务台数量为无限大,这种类型的系统被称为()。
A. M/M/1B. M/M/∞C. M/M/k答案:B8. 在排队系统中,如果顾客到达过程是泊松分布,服务时间是指数分布,这种类型的系统被称为()。
A. M/M/1B. M/D/1C. M/G/1D. G/M/1答案:A9. 以下哪个参数表示顾客在队列中的平均等待时间?()A. λ(到达率)B. μ(服务率)C. Wq(队列中的平均等待时间)D. Lq(队列中的平均顾客数)答案:C10. 排队理论中,如果顾客到达率和服务率都是确定的,这种类型的系统被称为()。
A. M/M/1B. D/D/1C. M/D/1D. D/M/1答案:B二、多项选择题(每题3分,共15分)11. 排队理论中,以下哪些因素会影响顾客的平均等待时间?()A. 到达率B. 服务率C. 服务台数量D. 顾客的耐心答案:ABC12. 在排队理论中,以下哪些参数是描述系统性能的?()A. 系统中的平均顾客数(L)B. 队列中的平均顾客数(Lq)C. 系统中的平均逗留时间(W)D. 队列中的平均等待时间(Wq)答案:ABCD13. 以下哪些是排队理论中常见的排队规则?()A. 先来先服务(FCFS)B. 后来先服务(LCFS)C. 随机服务(RS)D. 最短处理时间优先(SPT)答案:ABD14. 以下哪些是排队理论中常见的到达和服务时间分布?()A. 泊松分布B. 指数分布C. 均匀分布D. 确定性分布答案:ABCD15. 在排队理论中,以下哪些因素会影响顾客的满意度?()A. 等待时间B. 服务时间C. 服务台数量D. 环境舒适度答案:ABD三、简答题(每题10分,共30分)16. 请简述排队理论中的“Little定律”。
排队论习题及答案排队论习题及答案排队论是概率论和数学统计中的一个重要分支,研究的是随机事件的排队问题。
在现实生活中,我们经常会遇到排队的情况,如等候乘坐公交车、购物结账等。
排队论的研究可以帮助我们更好地理解和优化排队过程,提高效率和服务质量。
下面,我们将介绍几个排队论的习题及其解答。
习题一:某银行有两个窗口,顾客到达银行的时间服从平均到达率为λ的泊松分布,每个顾客在窗口办理业务的时间服从平均服务率为μ的指数分布。
求平均等待时间和平均排队长度。
解答:首先,我们可以根据泊松分布和指数分布的性质,得到顾客到达时间和服务时间之间的关系。
假设顾客到达时间服从泊松分布,到达率为λ,那么两个顾客到达时间之间的时间间隔服从参数为λ的指数分布。
同样,假设顾客的服务时间服从指数分布,服务率为μ,那么两个顾客的服务时间之间的时间间隔服从参数为μ的指数分布。
根据排队论的基本原理,平均等待时间等于平均排队长度除以到达率。
平均排队长度可以通过利用排队论的公式计算得到。
在本题中,根据M/M/2模型,可以得到平均排队长度的公式为:Lq = λ^2 / (2μ(μ - λ))其中,Lq表示平均排队长度,λ表示到达率,μ表示服务率。
接下来,我们可以计算平均等待时间。
根据排队论的公式,平均等待时间等于平均排队长度除以到达率。
所以,平均等待时间的公式为:Wq = Lq / λ综上所述,我们可以通过计算得到平均等待时间和平均排队长度。
习题二:某餐厅有4个服务台,每个服务台的服务时间服从平均服务率为μ的指数分布,顾客到达时间服从平均到达率为λ的泊松分布。
求平均等待时间和平均排队长度。
解答:在这个问题中,我们可以使用M/M/4模型来求解。
根据M/M/4模型,平均排队长度的公式为:Lq = (λ/μ)^4 * (1/(4! * (1 - ρ)))其中,Lq表示平均排队长度,λ表示到达率,μ表示服务率,ρ表示系统繁忙度。
平均等待时间的公式为:Wq = Lq / λ通过计算可以得到平均等待时间和平均排队长度。
排队论例1题目:某火车站的售票处设有一个窗口,若购票者是以最简单流到达,平均每分钟到达1人,假定售票时间服从负指数分布,平均每分钟可服务2人,试研究售票窗口前排队情况解:由题设λ=1(人/分),μ=2(人/分),ρ=λμ=12平均队长L=1ρρ-=1(人)平均等待队长Lq=21ρρ-=12(人)平均等待时间Wq=λμμ(-1)=12(分)平均逗留时间W=1μλ-=1(分)顾客不需要等待的概率为P o=12,等待的顾客人数超过5人的概率为P(N≥6)=1766666111111()(1)()()()()222222n n nnn n n nPρ-∞∞∞∞=====-===∑∑∑∑1例2题目:在某工地卸货台装卸设备的设计方案中,有三个方案可供选择,分别记作甲、乙、丙。
目的是选取使总费用最小的方案,有关费用(损失)如下表所示设货车按最简单流到达,平均每天(按10小时计算)到达15车,每车平均装货500袋,卸货时间服从负指数分布,每辆车停留1小时的损失为10元。
解:平均到达率λ=1.5车/小时,服务率μ依赖于方案μ甲=1000/500/袋小时袋车=2车/小时μ乙=2000/500/袋小时袋车=4车/小时μ丙=6000/500/袋小时袋车=12车/小时由(7.2.6),1辆车在系统内平均停留时间为W甲=12-1.5=2(小时/车)W乙=14-1.5=0.4(小时/车)W丙=112-1.5=0.095(小时/车)每天货车在系统停留的平均损失费为W⨯10⨯15,每天的实际可变费用(如燃料费等)为(可变操作费/天)⨯设备忙的概率=c p(元/天)而ρ甲=0.75 , ρ乙=0.375 , ρ丙=0.125,所以每个方案的费用综合如下表所示:23例3 题目:要购置计算机,有两种方案.甲方案是购进一大型计算机,乙方案是购置n 台小型计算机.每台小型计算机是大型计算机处理能力的1n设要求上机的题目是参数为λ的最简单流,大型计算机与小型计算机计算题目的时间是负指数分布,大型计算机的参数是μ.试从平均逗留时间、等待时间看,应该选择哪一个方案 解:设ρ=λμ,按甲方案,购大型计算机 平均等待时间 q W 甲=ρμρ(1-)=λμμλ(-)平均逗留时间 W 甲=1μλ- 按乙方案,购n 台小型计算机,每台小计算机的题目到达率为n λ,服务率为nμ, ρ=//n n λμ=λμ平均等待时间 W q 乙=nρμρ(1-)=n ρμρ(1-)=nW q 甲平均逗留时间 W 乙=1n nμλ-=n μλ-=nW 甲所以只是从平均等待时间,平均逗留时间考虑,应该购置大型计算机4例4题目:设船到码头,在港口停留单位时间损失c 1 元,进港船只是最简单流,参数为λ,装卸时间服从参数为μ的负指数分布,服务费用为c μ2,c 2是一个正常数.求使整个系统总费用损失最小的服务率μ 解:因为平均队长L λμλ=-,所以船在港口停留的损失费为1c λμλ-,服务费为c μ1,因此总费用为 1c F c λμμλ=+-2 求μ使F 达到最小,先求F 的导数12()c dF c d λμμλ=-+-2 让dF d μ=0,解出2μλ=因为 22F u μμ*=∂∂=22()c λμλ*-1>0 (μ>λ) 最优服务率是μ*,当μμ*=时, 12()[c F c c λμλ*=+5例5题目:一个理发店只有一个理发师,有3个空椅供等待理发的人使用,设顾客以最简单流来到,平均每小时5人,理发师的理发时间服从负指数分布,平均每小时6人.试求L ,q L ,W ,q W解:λ=5(人/小时) , μ=5(人/小时) , k =4 , 56ρ= 用公式(7.2.10),(7.2.11),(7.2.12),(7.2.13)得到565555[16()5()]666 1.9715[1()]66L -+==- 5555(1)[16()]66 1.97 1.2251()6q L -=+=- 55555()[1()]660.101()6P -==- 5(1)z LLW P λλ==-=1.9750.9=0.438(小时)0.271qq zL W λ==(小时)6例6题目:给定一个//1/M M k 系统,具有λ=10(人/小时), μ=30(人/小时),k =2.管理者想改进服务机构.方案甲是增加等待空间,使k =3.方案乙是将平均服务率提高到μ=40(人/小时),设服务每个顾客的平均收益不变,问哪个方案获得更大收益,当λ增加到每小时30人,又将有什么结果?解:由于服务每个顾客的平均收益不变,因此服务机构单位时间的收益与单位时间内实际进入系统的平均人数k n 成正比(注意,不考虑成本)!(1)(1)1k k k k n p λρλρ+-=-=- 方案甲:k=3, λ=10, μ=3033411()310[]11()3n -=-=9.75 方案乙: k=2, λ=10, μ=40223110(1())311()4n -=-=9.5 因此扩大等待空间收益更大 当λ增加到30人/小时时,λρμ==1.这时方案甲有3330()31n =+=22.5(人/小时) 而方案乙是把μ提高到μ=40人/小时. λρμ==3040<1, k=2 2233(1())430[]31()4n -=-=22.7(人/小时) 所以当λ=30人/小时时,提高服务效益的收益比扩大等待空间的收益大7例7题目:一个大型露天矿山,考虑建设矿山卸矿场,是建一个好呢?还是建两个好.估计矿车按最简单流到达,平均每小时到达15辆,卸车时间也服从负指数分布,平均卸车时间是3分钟,每辆卡车售价8万元,建设第二个卸矿场需要投资14万元解:平均到达率 λ=15(辆/小时) 平均服务率 μ=20(辆/小时) 只建一个卸矿场的情况:1ρρ==1520=0.75 在卸矿场停留的平均矿车数0,,,,,,q q q q p p L L W W λμL λμλ=-=152015-=3(辆)建两个卸矿场的情况:ρ=0.75,2μ=2λμ=0.375 2101220[10.75(0.75)]0.452!22015P -=++=- 220.451520(0.75)0.750.120.750.871!(22015)L +=+=+=-因此建两个卸矿场可减少在卸矿场停留的矿车数为:3-0.87=2.13辆.就是相当于平均增加2.13辆矿车运矿石.而每辆卡车的价格为8万元,所以相当于增加2.13⨯8=17.04万元的设备,建第二个卸矿场的投资为14万元,所以建两个卸矿场是合适的.8例8题目:有一个///M M c ∞系统,假定每个顾客在系统停留单位时间的损失费用为c 1元,每个服务设备单位时间的单位服务率成本为c 2元.要求建立几个服务台才能使系统单位时间平均总损失费用最小解:单位时间平均损失费为F c L c c μ=+12要求使F 达到最小的正整数解c *,通常用边际分析法:找正整数c *,使其满足{()(1)()(1)F c F c F c F c ****≤+≤-由()(1)F c F c **≤+,得到122()(1)(1)c L c c c c L c c c μμ****+≤+++所以 21()(1)c L c L c c μ**-+≤ 同样,由()(1)F c F c **≤-得到21(1)()c L c L c c μ**--≥因此c *必须满足不等式21()(1)c L c L c c μ**-+≤≤(1)()L c L c **-- 取c =1,2,…,计算()L c 与(1)L c +之差,若21c c μ落在()(1)L c L c **-+,(1)()L c L c **--之间,c *就是最优解9例9题目:某公司中心实验室为各工厂服务,设做实验的人数按最简单流到来.平均每天48(人次/天),1c =6(元).作实验时间服从负指数分布,平均服务率为μ=25(人次/天),2c =4(元),求最优实验设备c *,使系统总费用为最小. 解:λ= 48(人次/天),μ=25(人次/天),λμ=1.92 按///M M c ∞计算0P ,()L c 等(注意以下公式只对0 1.92cρ=<1成立). 201100(1.92)(1.92)[]!(1)!( 1.92)n P n c c ρ--==+--∑12(1.92)() 1.92(1)!( 1.92)c L c P c c +=+-- 将计算结果列成下表21c c μ=1006=16.67 所以取c *=3,总费用最小10例10题目:设有2个工人看管5台自动机,组成//2/5/5M M 系统,λ=1(次/运转小时),μ=4(次/小时),求平均停止运转机器数L 、平均等待修理数q L 以及每次出故障的平均停止运转时间W 、平均等待修理时间q W解:14λμ=,18c λμ=由(7.3.1),(7.3.2)有 0P =0.3149 1P =0.391 2P =0.197 由(7.3.3),(7.3.4)有 q L =0.118,L =1.094,c λ=3.906 由(7.3.5),(7.3.6)有W =0.28(小时),q W =0.03(小时)实际上,这些数量指标有表可查例11题目:设某厂有自动车床若干台,各台的质量是相同的,连续运转时间服从负指数分布,参数为λ,工人的技术也差不多,排除故障的时间服从负指数分布,参数为μ.设λμ=0.1,有两个方案.方案一:3个工人独立地各自看管6台机器.方案二,3个工人共同看管20台机器,试比较两个方案的优劣解:方案一.因为是分别看管,可以各自独立分析,是3个//1/6M M 系统.由上面的公式可求出01P -=0.5155,c =0.5155, a =5.155Lq =0.3295, L =0.845,(1)q =0.4845,(1)r =0.0549方案二.m =20,c =3,λμ=0.1,可求得c =1.787,a =17.87,q L =0.339 L =2.126,(3)q =0.4042,(3)r =0.01695机器损失系数,修理工人损失系数都小于方案一,所以方案二较好11例12题目:某露天铁矿山,按设计配备12辆卡车参加运输作业(每辆载重160吨,售价72万元),备用车8辆,要求保证同时有12辆车参加运输的概率不低于0.995.设每辆平均连续运输时间为3个月,服从负指数分布.有两个修理队负责修理工作,修理时间服从负指数分布.平均修复时间为5天.问这个设计是否合理.解:由假设知,这是////M M c m N m +系统,m =12,1λ=3,1μ=6(月)c =2我们有m c λμ=0.3333,c μλ=36用c N ≤的公式,求N ,要求00.995Nn n p =≥∑设N =2,有Nnn p=∑=0.9474,当N =3时,有Nnn p=∑=0.9968.所以3辆备用车就能达到要求,原设计用的备用车太多当N =3时,卡车的利用律(2)q =0.793712例13题目:假定例2.1中工人的到达服从泊松分布,λ=8人/小时,试分别计算1h 内到达4,5,6,…,12个工人的概率。
《运筹学》第六章排队论习题转载请注明1. 思考题(1)排队论主要研究的问题是什么;(2)试述排队模型的种类及各部分的特征;(3)Kendall 符号C B A Z Y X /////中各字母的分别代表什么意义;(4)理解平均到达率、平均服务率、平均服务时间和顾客到达间隔时间等概念; (5)分别写出普阿松分布、负指数分布、爱尔朗分布的密度函数,说明这些分布的主要性质;(6)试述队长和排队长;等待时间和逗留时间;忙期和闲期等概念及他们之间的联系与区别。
2.判断下列说法是否正确(1)若到达排队系统的顾客为普阿松流,则依次到达的两名顾客之间的间隔时间服从负指数分布;(2)假如到达排队系统的顾客来自两个方面,分别服从普阿松分布,则这两部分顾客合起来的顾客流仍为普阿松分布;(3)若两两顾客依次到达的间隔时间服从负指数分布,又将顾客按到达先后排序,则第1、3、5、7,┉名顾客到达的间隔时间也服从负指数分布; (4)对1//M M 或C M M //的排队系统,服务完毕离开系统的顾客流也为普阿松流; (5)在排队系统中,一般假定对顾客服务时间的分布为负指数分布,这是因为通过对大量实际系统的统计研究,这样的假定比较合理;(6)一个排队系统中,不管顾客到达和服务时间的情况如何,只要运行足够长的时间后,系统将进入稳定状态;(7)排队系统中,顾客等待时间的分布不受排队服务规则的影响;(8)在顾客到达及机构服务时间的分布相同的情况下,对容量有限的排队系统,顾客的平均等待时间少于允许队长无限的系统;(9)在顾客到达分布相同的情况下,顾客的平均等待时间同服务时间分布的方差大小有关,当服务时间分布的方差越大时,顾客的平均等待时间就越长; (10)在机器发生故障的概率及工人修复一台机器的时间分布不变的条件下,由1名工人看管5台机器,或由3名工人联合看管15台机器时,机器因故障等待工人维修的平均时间不变。
3.某店有一个修理工人,顾客到达过程为Poisson 流,平均每小时3人,修理时间服从负指数分布,平均需19分钟,求: (1)店内空闲的时间; (2)有4个顾客的概率; (3)至少有一个顾客的概率; (4)店内顾客的平均数; (5)等待服务的顾客数; (6)平均等待修理的时间;(7)一个顾客在店内逗留时间超过15分钟的概率。
《运筹学》第六章排队论习题转载请注明1. 思考题(1)排队论主要研究的问题是什么;(2)试述排队模型的种类及各部分的特征;(3)Kendall 符号C B A Z Y X /////中各字母的分别代表什么意义;(4)理解平均到达率、平均服务率、平均服务时间和顾客到达间隔时间等概念; (5)分别写出普阿松分布、负指数分布、爱尔朗分布的密度函数,说明这些分布的主要性质;(6)试述队长和排队长;等待时间和逗留时间;忙期和闲期等概念及他们之间的联系与区别。
2.判断下列说法是否正确(1)若到达排队系统的顾客为普阿松流,则依次到达的两名顾客之间的间隔时间服从负指数分布;(2)假如到达排队系统的顾客来自两个方面,分别服从普阿松分布,则这两部分顾客合起来的顾客流仍为普阿松分布;(3)若两两顾客依次到达的间隔时间服从负指数分布,又将顾客按到达先后排序,则第1、3、5、7,┉名顾客到达的间隔时间也服从负指数分布; (4)对1//M M 或C M M //的排队系统,服务完毕离开系统的顾客流也为普阿松流; (5)在排队系统中,一般假定对顾客服务时间的分布为负指数分布,这是因为通过对大量实际系统的统计研究,这样的假定比较合理;(6)一个排队系统中,不管顾客到达和服务时间的情况如何,只要运行足够长的时间后,系统将进入稳定状态;(7)排队系统中,顾客等待时间的分布不受排队服务规则的影响;(8)在顾客到达及机构服务时间的分布相同的情况下,对容量有限的排队系统,顾客的平均等待时间少于允许队长无限的系统;(9)在顾客到达分布相同的情况下,顾客的平均等待时间同服务时间分布的方差大小有关,当服务时间分布的方差越大时,顾客的平均等待时间就越长; (10)在机器发生故障的概率及工人修复一台机器的时间分布不变的条件下,由1名工人看管5台机器,或由3名工人联合看管15台机器时,机器因故障等待工人维修的平均时间不变。
3.某店有一个修理工人,顾客到达过程为Poisson 流,平均每小时3人,修理时间服从负指数分布,平均需19分钟,求: (1)店内空闲的时间; (2)有4个顾客的概率; (3)至少有一个顾客的概率; (4)店内顾客的平均数; (5)等待服务的顾客数; (6)平均等待修理的时间;(7)一个顾客在店内逗留时间超过15分钟的概率。
排队论习题答案排队论习题答案排队论是运筹学中的一个重要分支,研究的是排队系统中的等待时间、服务时间以及系统的稳定性等问题。
在实际生活中,我们经常会遇到排队的情况,比如超市、银行、医院等地方。
那么,如何有效地解决排队问题,减少等待时间呢?下面我将通过几个习题来探讨排队论的解题方法。
习题一:某银行有两个窗口,分别为A窗口和B窗口,顾客到达的时间间隔服从指数分布,平均每10分钟到达一人。
A窗口的服务时间服从均值为5分钟的指数分布,B窗口的服务时间服从均值为7分钟的指数分布。
求顾客平均等待时间和平均逗留时间。
解答一:首先,我们需要计算平均到达率λ和平均服务率μ。
根据题目给出的信息,平均到达率λ=1/10=0.1人/分钟,平均服务率μA=1/5=0.2人/分钟,平均服务率μB=1/7≈0.1429人/分钟。
根据排队论的基本原理,当λ<μ时,系统稳定,顾客平均等待时间为0。
当λ>μ时,系统不稳定,顾客平均等待时间为ρ/(μ-λ),其中ρ为系统繁忙率。
由于该题目中有两个窗口,所以我们需要计算两个窗口的繁忙率ρA和ρB。
ρA=λ/μA=0.1/0.2=0.5,ρB=λ/μB=0.1/0.1429≈0.7。
由于两个窗口的繁忙率不相等,我们需要使用排队网络的方法来求解。
根据排队网络的基本原理,顾客平均逗留时间等于顾客在每个窗口的平均逗留时间之和。
根据排队网络的公式,顾客在A窗口的平均逗留时间为1/(μA-λ)≈5分钟,顾客在B窗口的平均逗留时间为1/(μB-λ)≈7.5分钟。
所以,顾客平均逗留时间为5+7.5=12.5分钟。
习题二:某医院门诊部有一个窗口,顾客到达的时间间隔服从泊松分布,平均每10分钟到达一人。
窗口的服务时间服从均值为8分钟的指数分布。
求顾客平均等待时间和平均逗留时间。
解答二:同样地,我们需要计算平均到达率λ和平均服务率μ。
根据题目给出的信息,平均到达率λ=1/10=0.1人/分钟,平均服务率μ=1/8=0.125人/分钟。
《运筹学》第六章排队论习题1. 思考题(1)排队论主要研究的问题是什么;(2)试述排队模型的种类及各部分的特征;(3)Kendall 符号C B A Z Y X /////中各字母的分别代表什么意义;(4)理解平均到达率、平均服务率、平均服务时间和顾客到达间隔时间等概念; (5)分别写出普阿松分布、负指数分布、爱尔朗分布的密度函数,说明这些分布的主要性质;(6)试述队长和排队长;等待时间和逗留时间;忙期和闲期等概念及他们之间的联系与区别。
2.判断下列说法是否正确(1)若到达排队系统的顾客为普阿松流,则依次到达的两名顾客之间的间隔时间服从负指数分布;(2)假如到达排队系统的顾客来自两个方面,分别服从普阿松分布,则这两部分顾客合起来的顾客流仍为普阿松分布;(3)若两两顾客依次到达的间隔时间服从负指数分布,又将顾客按到达先后排序,则第1、3、5、7,┉名顾客到达的间隔时间也服从负指数分布; (4)对1//M M 或C M M //的排队系统,服务完毕离开系统的顾客流也为普阿松流; (5)在排队系统中,一般假定对顾客服务时间的分布为负指数分布,这是因为通过对大量实际系统的统计研究,这样的假定比较合理;(6)一个排队系统中,不管顾客到达和服务时间的情况如何,只要运行足够长的时间后,系统将进入稳定状态;(7)排队系统中,顾客等待时间的分布不受排队服务规则的影响;(8)在顾客到达及机构服务时间的分布相同的情况下,对容量有限的排队系统,顾客的平均等待时间少于允许队长无限的系统;(9)在顾客到达分布相同的情况下,顾客的平均等待时间同服务时间分布的方差大小有关,当服务时间分布的方差越大时,顾客的平均等待时间就越长; (10)在机器发生故障的概率及工人修复一台机器的时间分布不变的条件下,由1名工人看管5台机器,或由3名工人联合看管15台机器时,机器因故障等待工人维修的平均时间不变。
3.某店有一个修理工人,顾客到达过程为Poisson 流,平均每小时3人,修理时间服从负指数分布,平均需19分钟,求: (1)店内空闲的时间; (2)有4个顾客的概率; (3)至少有一个顾客的概率; (4)店内顾客的平均数; (5)等待服务的顾客数; (6)平均等待修理的时间;(7)一个顾客在店内逗留时间超过15分钟的概率。
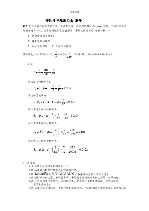
排队论习题集汇总_解答例1 高速公路入口收费处设有一个收费通道,汽车到达服从Poisson 分布,平均到达速率为100辆/小时,收费时间服从负指数分布,平均收费时间为15秒/辆。
求1、收费处空闲的概率;2、收费处忙的概率;3、系统中分别有1,2,3辆车的概率。
根据题意, λ=100辆/小时,μ1=15秒=2401(小时/辆),即μ=240(辆/小时)。
因此125240100==μλ=ρ 系统空闲的概率为:583.012712511P 0==-=ρ-= 系统忙的概率为:417.0125)1(1P 10==ρ=ρ--=- 系统中有1辆车的概率为:243.014435127125)1(P 1==⨯=ρ-ρ= 系统中有2辆车的概率为:101.01728175127125)1(P 222==⨯⎪⎭⎫⎝⎛=ρ-ρ=系统中有3辆车的概率为: 0422.020736875127125)1(P 333==⨯⎪⎭⎫⎝⎛=ρ-ρ=1. 思考题(1)排队论主要研究的问题是什么;(2)试述排队模型的种类及各部分的特征;(3)Kendall 符号C B A Z Y X /////中各字母的分别代表什么意义;(4)理解平均到达率、平均服务率、平均服务时间和顾客到达间隔时间等概念; (5)分别写出普阿松分布、负指数分布、爱尔朗分布的密度函数,说明这些分布的主要性质;(6)试述队长和排队长;等待时间和逗留时间;忙期和闲期等概念及他们之间的联系与区别。
2.判断下列说法是否正确(1)若到达排队系统的顾客为普阿松流,则依次到达的两名顾客之间的间隔时间服从负指数分布;(2)假如到达排队系统的顾客来自两个方面,分别服从普阿松分布,则这两部分顾客合起来的顾客流仍为普阿松分布;(3)若两两顾客依次到达的间隔时间服从负指数分布,又将顾客按到达先后排序,则第1、3、5、7,┉名顾客到达的间隔时间也服从负指数分布; (4)对1//M M 或C M M //的排队系统,服务完毕离开系统的顾客流也为普阿松流; (5)在排队系统中,一般假定对顾客服务时间的分布为负指数分布,这是因为通过对大量实际系统的统计研究,这样的假定比较合理;(6)一个排队系统中,不管顾客到达和服务时间的情况如何,只要运行足够长的时间后,系统将进入稳定状态;(7)排队系统中,顾客等待时间的分布不受排队服务规则的影响;(8)在顾客到达及机构服务时间的分布相同的情况下,对容量有限的排队系统,顾客的平均等待时间少于允许队长无限的系统;(9)在顾客到达分布相同的情况下,顾客的平均等待时间同服务时间分布的方差大小有关,当服务时间分布的方差越大时,顾客的平均等待时间就越长; (10)在机器发生故障的概率及工人修复一台机器的时间分布不变的条件下,由1名工人看管5台机器,或由3名工人联合看管15台机器时,机器因故障等待工人维修的平均时间不变。
胡运权排队论习题解10.1某修理店只有一个修理工人, 来修理的顾客到达次数服从普阿松分布,平均每小时3人,修理时间服从负指数分布,平均需10分钟, 求(1) 修理店空闲时间概率; (2) 店内有4个顾客的概率; (3) 店内至少有一个顾客的概率; (4) 在店内顾客平均数; (5) 等待服务的顾客平均数; (6) 在店内平均逗留时间; (7) 平均等待修理(服务)时间;(8) 必须在店内消耗15分钟以上的概率.04440s q s q 60M /M /1//3 6.1031(1)p 1162111(2)p (1)(1)()223211(3)1p 1223(4)L 1()631312(5)L ()632111(6)()633112(7)()636(8)1-F()W W λμρρρλμλρλμλμλρμλω∞∞====-=-==-=-=-=-====--⋅===--===--===--解:该系统为()模型,,;;;人;人;小时;小时;1515-(6-3)--(-)6020eee .μλω⨯===11(1)(2)(3)23211(4)(5)2211(6)(7)(8)3615.15-20答:修理店空闲时间概率为;店内有三个顾客的概率为;店内至少有一个顾客的概率为;店内顾客平均数为1人;等待服务顾客平均数为人;在店内平均逗留时间分钟;平均等待修理时间为分钟;必须在店内消耗分钟以上的概率为e10.22015(1)(2)(3)(4) 1.25M /M /1.603(/20λ==设有一单人打字室,顾客的到达为普阿松流,平均到达时间间隔为分钟,打字时间服从指数分布,平均时间为分钟,求顾客来打字不必等待的概率;打字室内顾客的平均数;顾客在打字室内平均逗留时间;若顾客在打字室内的平均逗留时间超过小时,则主人将考虑增加设备及打字员,问顾客的平均到达概率为多少时,主人才会考虑这样做?解:该题属模型人小时0s s s 60)4(/).1531(1)p 11443(2)L 3()4311(3)1()431(4)1.2511.25 3.23.230.2(/).4W W μρλμλμλμλλλ===-=-====--===--=>-≥>-=-,人小时;人;小时;;,,人小时1(1)(2)3(3)41(4)0.2/.答:顾客来打字不必等待的概率为;打字室内顾客平均数为人;顾客在打字室内平均逗留时间为小时;平均到达率为人小时时,店主才会考虑增加设备及打字员 10.3 汽车按平均90辆/h 的poission 流到达高速公路上的一个收费关卡,通过关卡的平均时间为38s 。
交通分析作业五—排队论参考答案一、解释排队系统的含义或概念M/M/5:顾客到达数目符合泊松分布过程,服务台服务时间符合副指数分布,系统服务台数个数为5,系统中顾客最大容量为无穷,顾客源顾客数无穷,排队规则为先到先服务。
M/D/3/10:顾客到达数目符合泊松分布过程,服务台服务时间固定,系统服务台数个数为3,系统中顾客最大容量为10,顾客源顾客数无穷,排队规则为先到先服务。
服务强度:相同时间间隔内顾客平均到达数与能被服务的顾客的平均数之比,是描述服务效率与服务机构的利用程度的重要指标二、判断题,并将错的改正1、车辆到达符合泊松分布,车辆到达的时距肯定符合对应的负指数分布;(√)2、无顾客流失的稳态排队系统的必要条件是系统服务强度小于1;(×)3、任何排队系统,顾客系统内平均逗留时间等于系统内平均顾客数除以顾客平均有效到达率(×)三、计算题1、某加油站有2套加油设施,站内允许2辆车排队,车辆到达符合30λ=veh/h 的泊松分布,加油时间符合3min/veh 的负指数分布。
(1)使用排队系统的表示方法表达该排队系统;(2)画出该排队系统的状态转移图;(3)求该加油站空闲的概率,有一套加油设施空闲的概率,加油站站内平均车辆数,站内平均排队车辆数,车辆在加油站平均驻留时间,车辆在加油站平均排队时间,车辆流失率;(4)假如给每辆车加油的平均利润是10元,加油站拟定投资3万元增加1个可供车辆排队的站内停车泊位,其他条件不变的情况下判断能否在1年内收回投资。
(加油站每年按300个工作日,每天按10个小时计算)【解答】(1)该排队系统为M/M/2/4排队系统(2)状态转意图如图所示:(3)012102030401221.5, 1.125,0.843,0.633,n λλλP P P P P P P P P μμμ=⇒===="" 401234100.196,0.293,0.220,0.165,0.124n n PP P P P P ==⇒=====∑加油站空闲的概率:00.196P =;有1套加油设施空闲的概率:10.293P =加油站站内平均车辆数41 1.724q n n L P n ===∑,站内平均排队车辆数43(2)0.413s n n L P n ==−=∑车辆流失率:40.124P =,车辆有效到达率:(10.124)23.58veh/h e λλ=−=, 车辆在加油站平均驻留时间: 1.72460 4.39min 23.58s s e L W λ==×= 车辆在加油站平均排队时间:0.41360 1.05min 23.58qs e L W λ==×= (4)分析:增加一个停车泊位后,增加的收入就是减少的流失顾客数量给加油站带来的收益 如果增加一个停车泊位,系统变为M/M/2/5排队系统,系统转移图为:同理可求得:050.179,0.085P P ==(顾客流失率)增加一个停车泊位流失率减少:0.039;一年车辆流失减少:3000300.0393510××=,增加的收入35100结论:可以在1年内收回投资。
328习题十三13.1 某市消费者协会一年365天接受顾客对产品质量的申诉。
设申诉以λ=4件/天的普阿松流到达,该协会每天可以处理申诉5件,当天处理不完的将移交专门小组处理,不影响每天业务。
试求:(1)一年内有多少天无一件申诉;(2)一年内多少天处理不完当天的申诉。
13.2 来到某餐厅的顾客流服从普阿松分布,平均每小时20人。
餐厅于上午11:00开始营业,试求:(1)当上午11:07有18名顾客在餐厅时,于11:12恰好有20名顾客的概率(假定该时间段内无顾客离去);(2)前一名顾客于11:25到达,下一名顾客在11:28至11:30之间到达的概率。
13.3 某银行有三个出纳员,顾客以平均速度为4人/分钟的泊松流到达,所有的顾客排成一队,服务时间服从均值为0.5分钟的负指数分布,试求:(1) 银行内空闲时间的概率;(2) 银行内顾客数为n 时的稳态概率;(3) 平均队列长Lq ;(4) 银行内的顾客平均数Ls ;(5) 平均逗留时间Ws ;(6) 平均等待时间Wq 。
13.4 某加油站有一台油泵。
来加油的汽车按普阿松分布到达,平均每小时20辆,但当加油站中已有n 辆汽车时,新来汽车中将有一部分不愿等待而离去,离去概率为4n (n =0,1,2,3,4)。
油泵给一辆汽车加油所需时间为具有均值3分钟的负指数分布。
(1)画出此排队系统的速率图;(2)导出其平衡方程式;(3)求出加油站中汽车数的稳态概率分布;(4)求那些在加油站的汽车的平均逗留时间。
13.5 某无线电修理商店保证每件送到的电器在一小时内修完取货,如超过一小时则分文不取。
已知该商店每修理一件平均收费10元,其成本平均每件5.50元。
已知送来修理的电器按普阿松分布到达,平均每小时6件,每维修一件的时间平均为7.5分钟,服从负指数分布。
试问:(1)该商店在此条件下能否盈利;(2)当每小时送达的电器为多少件时该商店的经营处于盈亏平衡点。
13.6 某企业有5台车运货,已知每台车每运行100小时平均需维修2次,每次需时20分钟,以上分别服从普阿松及负指数分布。
例1 高速公路入口收费处设有一个收费通道,汽车到达服从Poisson 分布,平均到达速率为100辆/小时,收费时间服从负指数分布,平均收费时间为15秒/辆。
求1、收费处空闲的概率;2、收费处忙的概率;3、系统中分别有1,2,3辆车的概率。
根据题意, λ=100辆/小时,μ1=15秒=2401(小时/辆),即μ=240(辆/小时)。
因此125240100==μλ=ρ 系统空闲的概率为:583.012712511P 0==-=ρ-= 系统忙的概率为:417.0125)1(1P 10==ρ=ρ--=- 系统中有1辆车的概率为:243.014435127125)1(P 1==⨯=ρ-ρ= 系统中有2辆车的概率为:101.01728175127125)1(P 222==⨯⎪⎭⎫⎝⎛=ρ-ρ=系统中有3辆车的概率为:0422.020736875127125)1(P 333==⨯⎪⎭⎫⎝⎛=ρ-ρ=例2 高速公路入口收费处设有一个收费通道,汽车到达服从Poisson 分布,平均到达速率为200辆/小时,收费时间服从负指数分布,平均收费时间为15秒/辆。
求L 、Lq 、W 和Wq 。
根据题意,λ=200辆/小时,μ=240辆/小时,ρ=λ/μ=5/6。
)(7590W W )(90)(025.020024011W 17.45L L 511L 65q 65q 565秒秒小时=⨯=ρ===-=λ-μ==⨯=ρ==-=ρ-ρ=例3.设公用电话通话的持续时间平均为3分钟,一个人等待打电话的平均忍耐时间也是 3分钟。
求一个公用电话可以支持的最大呼叫量。
解:设为M/M/1模型。
平均服务时间:31)(==μts E 分钟 (隐含c ,每个呼叫的平均时间为3分钟)平均服务率:31=μ呼叫/分钟 (隐含c )平均等待时间: 3)()(=-=λμμλw E 分钟故一个公用电话可以支持的最大呼叫量为: 613132=+=μλμ呼叫/分钟 此时:5.0==μλρ例4.分组交换网中所有信道(链路、线路)容量加倍,每个用户的数据量也加倍。
小学数学六年级奥数高频考点常考易错题汇编——计数问题——排队论问题一.选择题1.排队买票,从前往后数小明排第5,小军排第10,小明和小军之间有()人。
A.3B.4C.5D.62.同学们排队参观科技馆。
从前面数,东东是第28个,力力是第36个,东东和力力之间有()个人。
A.7B.8C.93.10个小朋友排成一排,从左往右数,小明在第6个,小明左边有几人?()A.4人B.5人C.6人4.排队时,小雨前面有5人,后面有9人,那么这一队一共有()人。
A.14B.15C.135.小朋友们排成队做操,从前往后数,小红排在第5个,从后往前数,小红还是排在第5个,这一队共有()个小朋友。
A.10B.9C.116.小动物排队做操,和之间有()个小动物。
A.5B.6C.77.小朋友们排成一队做游戏,淘气的前面有9人,后面有5人,这一队小朋友共有()人。
A.15B.16C.188.同学们排队做游戏,从前往后数芳芳排第5,从后往前数芳芳排第8,这一队一共有多少人?()A.13B.14C.129.一群小动物排队,从前面数小马排第7,小马后面有5只小动物,这群小动物一共有几只?()A.10B.11C.1210.人们排队进行核酸检测,从前面数,小明排第30个,他后面还有6个人,此时排队的人共有()个。
A.35B.36C.3711.有13人参加跑步比赛,小强的前面有9人,他的后面有()人。
A.3B.4C.5D.012.笑笑排队买票,她前面有13人,后面有8人,一共有()人排队。
A.20B.21C.2213.队列表演中,明明前面有7人,后面有12人,这一列一共有()人。
A.18B.19C.2014.红红的前面有6人,红红的后面有4人,这一队一共有多少人?()A.9人B.10人C.11人15.小朋友们排队,从前面数小华排在第8个,从后面数小华排在第6个,这个队伍一共有()个人。
A.13B.14C.15二.填空题16.一共有个小朋友在玩“老鹰捉小鸡”的游戏,小明的前面有个小朋友,从后数,小明排在第个。
《运筹学》第六章排队论习题1. 思考题(1)排队论主要研究的问题是什么;(2)试述排队模型的种类及各部分的特征;(3)Kendall 符号C B A Z Y X /////中各字母的分别代表什么意义;(4)理解平均到达率、平均服务率、平均服务时间和顾客到达间隔时间等概念; (5)分别写出普阿松分布、负指数分布、爱尔朗分布的密度函数,说明这些分布的主要性质;(6)试述队长和排队长;等待时间和逗留时间;忙期和闲期等概念及他们之间的联系与区别。
2.判断下列说法是否正确(1)若到达排队系统的顾客为普阿松流,则依次到达的两名顾客之间的间隔时间服从负指数分布;(2)假如到达排队系统的顾客来自两个方面,分别服从普阿松分布,则这两部分顾客合起来的顾客流仍为普阿松分布;(3)若两两顾客依次到达的间隔时间服从负指数分布,又将顾客按到达先后排序,则第1、3、5、7,┉名顾客到达的间隔时间也服从负指数分布; (4)对1//M M 或C M M //的排队系统,服务完毕离开系统的顾客流也为普阿松流; (5)在排队系统中,一般假定对顾客服务时间的分布为负指数分布,这是因为通过对大量实际系统的统计研究,这样的假定比较合理;(6)一个排队系统中,不管顾客到达和服务时间的情况如何,只要运行足够长的时间后,系统将进入稳定状态;(7)排队系统中,顾客等待时间的分布不受排队服务规则的影响;(8)在顾客到达及机构服务时间的分布相同的情况下,对容量有限的排队系统,顾客的平均等待时间少于允许队长无限的系统;(9)在顾客到达分布相同的情况下,顾客的平均等待时间同服务时间分布的方差大小有关,当服务时间分布的方差越大时,顾客的平均等待时间就越长; (10)在机器发生故障的概率及工人修复一台机器的时间分布不变的条件下,由1名工人看管5台机器,或由3名工人联合看管15台机器时,机器因故障等待工人维修的平均时间不变。
3.某店有一个修理工人,顾客到达过程为Poisson 流,平均每小时3人,修理时间服从负指数分布,平均需19分钟,求: (1)店内空闲的时间; (2)有4个顾客的概率; (3)至少有一个顾客的概率; (4)店内顾客的平均数; (5)等待服务的顾客数; (6)平均等待修理的时间;(7)一个顾客在店内逗留时间超过15分钟的概率。
4.设有一个医院门诊,只有一个值班医生。
病人的到达过程为Poisson 流,平均到达时间间隔为20分钟,诊断时间服从负指数分布,平均需12分钟,求: (1)病人到来不用等待的概率; (2)门诊部内顾客的平均数;(3)病人在门诊部的平均逗留时间;(4)若病人在门诊部内的平均逗留时间超过1小时,则医院方将考虑增加值班医生。
问病人平均到达率为多少时,医院才会增加医生?5.某排队系统只有1名服务员,平均每小时有4名顾客到达,到达过程为Poisson 流,,服务时间服从负指数分布,平均需6分钟,由于场地限制,系统内最多不超过3名顾客,求: (1)系统内没有顾客的概率;(2)系统内顾客的平均数; (3)排队等待服务的顾客数;(4)顾客在系统中的平均花费时间; (5)顾客平均排队时间。
6.某街区医院门诊部只有一个医生值班,此门诊部备有6张椅子供患者等候应诊。
当椅子坐满时,后来的患者就自动离去,不在进来。
已知每小时有4名患者按Poisson 分布到达,每名患者的诊断时间服从负指数分布,平均12分钟,求: (1)患者无须等待的概率; (2)门诊部内患者平均数; (3)需要等待的患者平均数; (4)有效到达率;(5)患者在门诊部逗留时间的平均值; (6)患者等待就诊的平均时间; (7)有多少患者因坐满而自动离去?7.某加油站有四台加油机,来加油的汽车按Poisson 分布到达,平均每小时到达20辆。
四台加油机的加油时间服从负指数分布,每台加油机平均每小时可给10辆汽车加油。
求: (1)前来加油的汽车平均等待的时间;(2)汽车来加油时,4台油泵都在工作,这时汽车平均等待的时间. 8.某售票处有3个售票口,顾客的到达服从Poisson 分布,平均每分钟到达9.0=λ(人),3个窗口售票的时间都服从负指数分布,平均每分钟卖给4.0=μ(人),设可以归纳为M/M/3 模型,试求:(1)整个售票处空闲的概率; (2)平均对长; (3)平均逗留时间; (4)平均等待时间;(5)顾客到达后的等待概率。
9.一个美容院有3张服务台,顾客平均到达率为每小时5人,美容时间平均30分钟,求: (1)美容院中没有顾客的概率; (2)只有一个服务台被占用的概率。
10.某系统有3名服务员,每小时平均到达240名顾客,且到达服从Poisson 分布,服务时间服从负指数分布,平均需0.5分钟,求: (1)整个系统内空闲的概率; (2) 顾客等待服务的概率;(3)系统内等待服务的平均顾客数; (4)平均等待服务时间; (5)系统平均利用率;(6)若每小时顾客到达的顾客增至480名,服务员增至6名,分别计算上面的(1)——(5)的值。
11.某服务系统有两个服务员,顾客到达服从Poisson 分布,平均每小时到达两个。
服务时间服从负指数分布,平均服务时间为30分钟,又知系统内最多只能有3名顾客等待服务,当顾客到达时,若系统已满,则自动离开,不再进入系统。
求: (1)系统空闲时间; (2)顾客损失率;(3)服务系统内等待服务的平均顾客数; (4)在服务系统内的平均顾客数; (5)顾客在系统内的平均逗留时间; (6)顾客在系统内的平均等待时间; (7)被占用的服务员的平均数。
12.某车站售票口,已知顾客到达率为每小时200人,售票员的服务率为每小时40人,求: (1)工时利用率平均不能低于60%;(2)若要顾客等待平均时间不超过2分钟,设几个窗口合适?13.某律师事物所咨询中心,前来咨询的顾客服从Poisson 分布,平均天到达50个。
各位被咨询律师回答顾客问题的时间是随机变量,服从负指数分布,每天平均接待10人。
每位律师工作1天需支付100元,而每回答一名顾客的问题的咨询费为20元,试为该咨询中心确定每天工作的律师人数,以保证纯收入最多。
14.某厂的原料仓库,平均每天有20车原料入库,原料车到达服从Poisson 分布,卸货率服从负指数分布,平均每人每天卸货5车,每个装卸工每天总费用50元,由于人手不够而影响当天装卸货物,导致每车的平均损失为每天200元,试问,工厂应安排几名装卸工,最节省开支?15.某公司医务室为职工检查身体,职工的到达服从Poisson 分布,每小时平均到达50人,若职工不能按时体检,造成的损失为每小时每人平均60元。
体检所花时间服从负指数分布,平均每小时服务率为μ,每人的体检费用为30元,试确定使公司总支出最少的参数μ。
《运筹学》第六章排队论习题解答2.(1)√ (2)√ (3)X (4)√(5)X (6)X (7)X (8)√(9)√(10)X 3.解:单位时间为小时,5.03,6,3=====μλρμλ(1)店内空闲的时间: 5.021110=-=-=ρp ;(2)有4个顾客的概率:03125.02121121)1(5444==⎪⎭⎫ ⎝⎛-⎪⎭⎫ ⎝⎛=-=ρρρ;(3)至少有一个顾客的概率:{}5.0110=-=≥p N P ;(4)店内顾客的平均数:11=-=ρρL ;(5)等待服务的顾客的平均数:5.0=-=ρL Lq(6)平均等待修理的时间:1667.035.0===λqL W ;(7)一个顾客在店内逗留时间超过15分钟的概率。
{}607.01521)201101(15)(====>-----e e e T P tλμ 4.解: 单位时间为小时,6.0,51260,3=====μλρμλ(1)病人到来不用等待的概率:4.06.0110=-=-=ρp(2)门诊部内顾客的平均数:5.16.016.01=-=-=ρρL (人)(3)病人在门诊部的平均逗留时间;5.01=-=λμW (小时)(4)若病人在门诊部内的平均逗留时间超过1小时,则有:4,5111=∴-=-=λλλμ即当病人平均到达时间间隔小于等于15分钟时,医院将增加值班医生。
5.解:单位时间为小时,3,4.0,10,4=====K μλρμλ;(1)系统内没有顾客的概率:616.04.014.0111440=--=--=ρρp ;(2)系统内顾客的平均数:562.04.014.044.014.01)1(14411=-⨯--=-+--=++K K K L ρρρρ(人);(3)排队等待服务的顾客数:178.0384.0562.0)1(0=-=--=p L L q(人);(4)顾客在系统中的平均花费时间:8.8146.0842.3562.0)1(03===-=p LW ρλ(分钟)(5)顾客平均排队时间:8.2046.01.0146.01==-=-=μW W q(分钟)。
6.解:此问题可归结为M/M/1/7的模型,单位时间为小时,7,8.0,5,4=====K μλρμλ(1)患者无须等待的概率:2403.08.018.0180=--=p ;(2)门诊部内患者平均数:387.28.018.088.018.088=-⨯--=L (人) (3)需要等待的患者平均数:627.1)1(387.20=--=p L q (人)(4)有效到达率:8.3)8.08.018.011(4)1(787=⨯---⨯=-=P λλε;(5)患者在门诊部逗留时间的平均值:628.08.3387.2===ελLW (小时)=37.7(分钟)(6)患者等待就诊的平均时间:7.25127.37=-=q W (分钟)(7)有%03.50503.011787==--=ρρρP 的患者因坐满而自动离去.7.解:此为一个M/M/4系统,,2,10,20====μλρμλ系统服务强度5.042==*ρ,所以13.02111!42!21300=⎪⎪⎭⎫ ⎝⎛-+=-=∑k kkk p(1)前来加油的汽车平均等待的时间即为qW :因为1012011-=-=-=L LW W q μλμ而 17.22)5.01(!413.05.02)1(!2420=+-⨯⨯⨯=+-=**ρρρρc p L c故:qW =0.0085(小时)=0.51(分钟)(2)汽车来加油时,4台油泵都在工作,设汽车平均等待的时间为*W .则∑∞=*=c k k qP W W ,因为26.001==p p ρ,26.02022==p p ρ18.0!3033==p p ρ,4=c ,17.01304=-=∑∑=∞=k k k k p p所以 :317.051.017.0===*qW W (分钟)。
8.解:此为一个M/M/3系统,,25.2,4.0,9.0====μλρμλ系统服务强度:75.03==*ρρ(1)0743.075.011!3)25.2(!)25.2(13030=⎪⎪⎭⎫⎝⎛-⨯+=-=∑k k k p(2)因为:95.325.20743.0)75.01(!375.0)25.2(23=+⨯-⨯⨯=L (人) 所以:70.125.295.3=-=-=ρL L q (人) (3)平均逗留时间:39.49.095.3===λLW (分钟) (4)平均等待时间:89.14.0139.41=-=-=μW W q (分钟)(5)设顾客到达后的等待概率为*P ,则57.00743.075.011!3)25.2(11!30=⨯-⨯=-==*∞=*∑P c P P cc k k ρρ9.解:此为系统为M / M / n (n=3)损失制无限源服务模型,5.2,2060,,5=====μλρμλ,(1)()108.0604.2125.35.21!)5.2(11300=+++=⎪⎪⎭⎫⎝⎛=--=∑k kk p (2)27.0108.05.201=⨯==p p ρ10.此为系统为M / M / n (n=3)服务模型,3,2,)/(25.01,/(460240=======n μλρμλ分钟人分钟)人,(1)整个系统内空闲的概率:111.0)4221(!3!112030=+++=⎥⎦⎤⎢⎣⎡⎪⎪⎭⎫ ⎝⎛-+=--=∑k k n n k p ρρρ;(2)顾客等待服务的概率:{}444.094!3003==⎪⎪⎭⎫ ⎝⎛-=>p n n W p ρρ;(3)系统内等待服务的平均顾客数:888.098)(!)1(021==--=+p n n L n q ρρ(人);(4)平均等待服务时间:222.0924198==⨯==λqq L W ;(5)系统平均利用率;667.02===*n ρρ; (6)若每小时顾客到达的顾客增至480名,服务员增至6名,分别计算上面的(1)——(5)的值。