一填空解读
- 格式:doc
- 大小:38.00 KB
- 文档页数:2
量词填空一(条)床单一(顶)蚊帐一(股)水流一(缕)炊烟一(朵)浪花一(片)田野一(波)水浪一(次)潮汛一(张)网一(张)床一(片)平原一(尊)雕塑一(尊)佛像一(缕)光线一(阵)雷声一(江)春水一(道)霞光一(声)闷雷一(弯)月芽一(块)草地一(根)梁一(根)柱子一(个)木箱一(颗)螺丝一(股)暖流一(轮)明月一(棒)玉米一(首)歌曲一(叶)扁舟一(列)火车一(张)嘴一(片)丹心一(顿)晚餐两(张)桌子一(床)被三(则)新闻一(片)深清一(节)车厢一(瓶)药两(艘)军舰一(部)新戏一(缕)胡子一(亩)地一(个)兄弟一(辆)拖拉机三(架)照相机一(片)树叶一(匹)骏马一(挺)机枪一(门)大炮一(块)黑板一(颗)子弹一(间)教室一(支)粉笔一(批)货物一(根)教鞭一(栋)楼房一(盏)电灯三(双)袜子三(口)井一(堆)雪一(阵)风一(副)眼镜一(条)河两(座)桥两(只)鸭子三(台)电视机一(扇)门一(瓶)醋两(块)表一(袋)面粉一(句)话一(场)雨一(盘)棋一(捆)行李一(度)电一(间)屋一(身)毛一(根)头发一(团)线两(面)墙两(颗)珍珠一(块)糖一(把)锁三(块)布六(顶)帽子四(部)电影一(粒)米一(幅)画两(所)学校三(张)报纸一(封)电报一(封)信一(桌)酒席一(块)胶布一(面)旗一(只)小鸟一(个)问题一(个)树坑一(棵)树苗一(棵)小树一(处)风景一(场)球赛一(个)秘密一(双)小手一(幅)画一(位)女孩一(片)天空一(双)鞋子一(个)人一(枚)鸟蛋一(颗)松果一(棵)松树一(片)树林一(条)小路一(辆)小车一(把)扫帚一(丛)花草一(件)东西一(朵)水花一(把)小伞一(棵)水草一(只)蚂蚁一(座)花坛一(条)蛇一(条)尾巴一(头)老牛一(只)燕子一(件)事情一(个)娃娃一(条)谜语一(次)活动一(口)水缸一(块)石头一(头)大象一(面)墙一(根)柱子一(杆)秤一(根)线一(只)海鸥一(片)沙滩一(艘)军舰一(只)帆船一(棵)秧苗一(片)稻田一(亩)鱼塘一(座)果园一(条)小溪一(座)石桥一(只)飞鸟一(面)队旗一(只)铜号一(条)红领巾一(阵)欢笑一(口)井一(块)石碑一(畦)菜地一(匹)骏马一(座)公园一(棵)白菜一(头)狮子一(粒)花种一(束)鲜花一(种)表情一(颗)雨点一(位)叔叔一(场)秋雨一(只)小虫一(个)斑点一(个)桃子一(条)大河一(座)房子一(名)专家一(名)司机一(条)蝌蚪一(只)乌龟一(只)青蛙一(道)闪电一(台)机器一(块)玉米地一(棵)桃树一(只)西瓜一(只)白兔一(个)塑料袋一(根)塑料管一(根/截)绳子一(根)甘蔗一(块)泥巴一(串/把)钥匙一(棵)白菜一(头)猪一(股)臭味一(根/绺)头发七(颗)星星一(所)幼儿园一(枚)棋子两(块)蛋糕一(副/张)牌两(把)菜刀一(根)针一(道)彩虹一(块)手表一(辆)轿车一(辆)自行车一(个/只)玻璃杯一(把)椅子一(个)字一(间)教室一(朵/片)云一(条)鱼一(只)松鼠一(个)书包一(朵)花一(处)风景一(条)路一(对)翅膀一(本)书一(把)伞一(个)小朋友一(个)秘密一(个)娃娃一(首)诗一(棵)麦苗一(抹)朝霞一(棵)小草一(艘)船一(首)歌一(只)狐狸一(座)小丘一(只)松鼠一(桶/瓶)油一(只)眼睛一(撮)毛一(只)蜗牛一(个)小绒球一(只)螃蟹一(处)地方一(根)食指一(位)画家一(支)笔一(棵)松树一(项)绝技一(盘)棋一(件)衣服一(段)树干一(条)尾巴一(把)剪刀一(片)树叶一(个)世界一(个)小时一(出)景色一(座)电视塔一(个)名字一(颗)明珠一(个)巨人一(道)彩虹一(块)毛巾一(个)中国结一(颗)心一(座)秋千一(艘)飞船一(副)围棋一(面)国旗一(声)惊叹声一(声)呼喊一(块)小石子一(个)脚印一(架)飞机一(只)蜻蜓一(波/潭)绿水一(滴)海水一(个)梦想一(根)火柴一(匹)骡子一(口)井一(对)朋友跑了一(圈/阵)念了一(段)敲了一(下)蘸了一(下)跺了一(脚)转了一(圈)挨了一(棍)咬了一(口)哭了一(场)推了一(把)骂了一(句)吓了一(跳)说了一(句)等了一(会儿)走一(趟)唱一(遍)去了三(回/次)大吃了一(顿)大闹了一(场)。
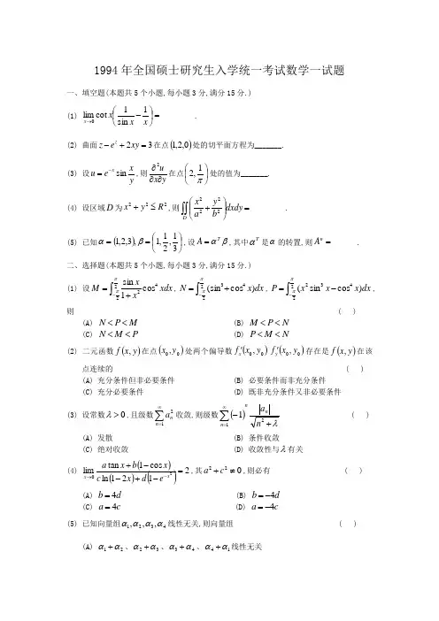
1994年全国硕士研究生入学统一考试数学一试题一、填空题(本题共5个小题,每小题3分,满分15分.) (1) _______1sin 1cot lim 0=⎪⎭⎫⎝⎛-→x x x x . (2) 曲面32=+-xy e z z 在点()0,2,1处的切平面方程为_______.(3) 设y x e u xsin -=,则y x u ∂∂∂2在点⎪⎭⎫⎝⎛π1,2处的值为_______.(4) 设区域D 为222R y x ≤+,则_______2222=⎪⎪⎭⎫⎝⎛+⎰⎰dxdy b y a x D .(5) 已知()⎪⎭⎫⎝⎛==31,21,1,3,2,1βα,设βαTA =,其中T α是α的转置,则_____=n A .二、选择题(本题共5个小题,每小题3分,满分15分.)(1) 设xdx x x M 4222cos 1sin ⎰-+=ππ,dx x N )cos (sin 4223⎰-+=ππ,dx x x x P )cos sin (42232-=⎰-ππ,则 ( )(A) M P N << (B) N P M << (C) P M N << (D) N M P << (2) 二元函数()y x f ,在点()00,y x 处两个偏导数()00,y x f x '()00,y x f y '存在是()y x f ,在该点连续的 ( ) (A) 充分条件但非必要条件 (B) 必要条件而非充分条件(C) 充分必要条件 (D) 既非充分条件又非必要条件 (3) 设常数0>λ,且级数∑∞=12n n a 收敛,则级数()λ+-∑∞=211n a n nn ( )(A) 发散 (B) 条件收敛 (C) 绝对收敛 (D) 收敛性与λ有关 (4) ()()()2121ln cos 1tan lim2=-+--+-→xx e d x c x b x a ,其022≠+c a ,则必有 ( )(A) d b 4= (B) d b 4-= (C) c a 4= (D) c a 4-=(5) 已知向量组4321,,,αααα线性无关,则向量组 ( ) (A) 21αα+、32αα+、43αα+、14αα+线性无关(B) 21αα-、32αα-、43αα-、14αα-线性无关(C) 21αα+、32αα+、43αα+、14αα-线性无关 (D) 21αα+、32αα+、43αα-、14αα-线性无关三、(本题共3小题, 每小题5分,满分15分.)(1) 设 ()()⎪⎩⎪⎨⎧-==⎰2122,cos 21cos cos t udu u t t y t x 求dx dy 、22dx y d 在2π=t 的值. (2) 将函数()x x x x x f -+-+=arctan 2111ln 41展开成x 的幂级数. (3) 求⎰+x x dxsin 22sin .四、(本题满分6分)计算曲面积分⎰⎰+++S z y x dxdyz xdydz 2222,其中S 是由曲面222R y x =+及两平面R z =, ()0>-=R R z 所围成立体表面的外侧.五、(本题满分9分)设()x f 具有二阶连续导数,()()10,00='=f f ,且()()[]()[]02=+'+-+dy y x x f dx y x f y x xy 为一全微分方程,求及此全微分方程()x f 的通解.六、(本题满分8分)设()x f 在点0=x 的某一领域内具有二阶连续导数,且()0lim=→xx f x ,证明级数 ∑∞=⎪⎭⎫⎝⎛11n n f 绝对收敛.七、(本题满分6分)已知点A 与B 的直角坐标分别为()0,0,1与()1,1,0.线段AB 绕z 轴旋转一周所围成的旋转曲面为S .求由S 及两平面1,0==z z 所围成的立体体积.八、(本题满分8分)设四元线性齐次方程组()I 为⎩⎨⎧=-=+,0,04221x x x x 又已知某线性齐次方程组()II 的通解为()()1,2,2,10,1,1,021-+k k .(1) 求线性方程组()I 的基础解系;(2) 问线性方程组()I 和()II 是否有非零公共解?若有,则求出所有的非零公共解.若没有,则说明理由.九、(本题满分6分)设A 为n 阶非零方阵,*A 是A 的伴随矩阵,TA 是A 的转置矩阵,当TA A =*时,证明0≠A .十、填空题(本题共2小题, 每小题3分,满分6分.)(1) 已知A 、B 两个事件满足条件()()B A P AB P =,且()p A P =,则()_____=B P . (2) 设相互独立的两个随机变量X 、Y 具有同一分布律,且X 的分布律为则随机变量{}Y X Z ,max =的分布律为_______.十一、(本题满分6分)已知随机变量()Y X ,服从二维正态分布,且X 和Y 分别服从正态分布()23,1N 和()24,0N ,X 与Y 的相关系数21-=XY ρ,设23YX Z +=, (1) 求Z 的数学期望()Z E 和方差()Z D ; (2) 求X 与Z 的相关系数XY ρ; (3) 问X 与Z 是否相互独立?为什么?1994年全国硕士研究生入学统一考试数学一试题解析一、填空题(本题共5个小题,每小题3分,满分15分.) (1)【答案】16【解析】原式变形后为“0”型的极限未定式,又分子分母在点0处导数都存在,所以连续应用两次洛必达法则,有原式20cos (sin )limsin x x x x x x →-=300sin lim cos lim x x x xx x→→-=⋅ 2001cos sin 1lim lim 366x x x x x x →→-===. (由重要极限0sin lim 1x x x→=) (2)【答案】240x y +-=【解析】所求平面的法向量n 为平行于所给曲面在点(1,2,0)处法线方向的方向向量l ,取n l =,又平面过已知点(1,2,0)M .已知平面的法向量(,,)A B C 和过已知点000(,,)x y z 可唯一确定这个平面:000()()()0A x x B y y C z z -+-+-=.因点(1,2,0)在曲面(,,)0F x y z =上.曲面方程(,,)23z F x y z z e xy =-+-. 曲面在该点的法向量{}{}{}(1,2,0)(1,2,0),,2,2,14,2,022,1,0z F F F n y x e x y z ⎧⎫∂∂∂ ==-==⎨⎬∂∂∂⎩⎭, 故切平面方程为 2(1)(2)0x y -+-=, 即 240x y +-=.(3)【答案】22eπ【解析】由于混合偏导数在连续条件下与求导次序无关,为了简化运算,所以本题可以先求u y ∂∂,再求u x y ⎛⎫∂∂ ⎪∂∂⎝⎭. 2cos x u x xe y y y-∂=-∂, ()2221112(2,)(2,)2cos xy x x u u uxe x x y y x x y x ππππ-===⎛⎫∂∂∂∂∂===-⎪ ⎪∂∂∂∂∂∂∂⎝⎭2222((1)cos )0xx e x x e πππ-==--+=.(可边代值边计算,这样可以简化运算量.)【相关知识点】多元复合函数求导法则:如果函数(,),(,)u x y v x y ϕψ==都在点(,)x y 具有对x 及对y 的偏导数,函数(,)z f u v =在对应点(,)u v 具有连续偏导数,则复合函数((,),(,))z f x y x y ϕψ=在点(,)x y 的两个偏导数存在,且有12z z u z v u v f f x u x v x x x∂∂∂∂∂∂∂''=+=+∂∂∂∂∂∂∂; 12z z u z v u v f f y u y v y y y∂∂∂∂∂∂∂''=+=+∂∂∂∂∂∂∂. (4)【答案】42211()4R a bπ+ 【解析】很显然,根据此题的特征用极坐标变换来计算: 原式2222222322220000cos sin cos sin RR d r rdr d r dr ab a b ππθθθθθθ⎛⎫⎛⎫=+=+⋅ ⎪ ⎪⎝⎭⎝⎭⎰⎰⎰⎰. 注意:22220cos sin d d ππθθθθπ==⎰⎰,则 原式4422221111144R R a b a b ππ⎛⎫⎛⎫=+⋅=+⎪ ⎪⎝⎭⎝⎭. (5)【答案】111123232133312n -⎡⎤⎢⎥⎢⎥⎢⎥⎢⎥⎢⎥⎢⎥⎢⎥⎣⎦【解析】由矩阵乘法有结合律,注意 1111,,23233Tβα⎡⎤⎛⎫⎢⎥== ⎪⎢⎥⎝⎭⎢⎥⎣⎦是一个数,而 11123111221,,2123333312TA αβ⎡⎤⎢⎥⎡⎤⎢⎥⎛⎫⎢⎥⎢⎥=== ⎪⎢⎥⎢⎥⎝⎭⎢⎥⎢⎥⎣⎦⎢⎥⎢⎥⎣⎦,(是一个三阶矩阵)于是,()()()()()()()n T T T T T T T TA αβαβαβαβαβαβαβαβ==11111232332133312n T n αβ--⎡⎤⎢⎥⎢⎥⎢⎥==⎢⎥⎢⎥⎢⎥⎢⎥⎣⎦.二、选择题(本题共5个小题,每小题3分,满分15分.)(1)【答案】(D)【解析】对于关于原点对称的区间上的积分,应该关注被积函数的奇偶性.由对称区间上奇偶函数积分的性质,被积函数是奇函数,积分区间关于原点对称,则积分为0,故0M =,且由定积分的性质,如果在区间[],a b 上,被积函数()0f x ≥,则()0 ()baf x dx a b ≥<⎰.所以 4202cos 0N xdx π=>⎰, 4202cos 0P xdx N π=-=-<⎰.因而 P M N <<,应选(D). (2)【答案】(D)【解析】(,)f x y 在点00(,)x y 连续不能保证(,)f x y 在点00(,)x y 存在偏导数00(,),x f x y '00(,)y f x y '.反之,(,)f x y 在点00(,)x y 存在这两个偏导数00(,),x f x y '00(,)y f x y '也不能保证(,)f x y 在点00(,)x y 连续,因此应选(D).二元函数(,)f x y 在点00(,)x y 处两个偏导数存在和在点00(,)x y 处连续并没有相关性. (3)【答案】(C)【解析】考查取绝对值后的级数.因2222111112222n n a a n n λ≤+<++, (第一个不等式是由2210,0,()2a b ab a b ≥≥≤+得到的.) 又21nn a ∞=∑收敛,2112n n ∞= ∑收敛,(此为p 级数:11p n n∞=∑当1p >时收敛;当1p ≤时发散.)所以2211122n n a n ∞=+∑收敛,由比较判别法,得1n ∞=收敛.故原级数绝对收敛,因此选(C). (4)【答案】(D)【解析】因为 22211cos (),1()2x xx o x e x o x --=-=,故 tan (1cos )(0)a x b x ax a +-≠,2ln(12)(1)2 (0)x c x d e cx c --+--≠,因此,原式左边0lim222x ax acx c→====--原式右边,4a c ⇒=-.当0,0a c =≠时,极限为0;当0,0a c ≠=时,极限为∞,均与题设矛盾,应选(D). 【相关知识点】1.无穷小的比较:设在同一个极限过程中,(),()x x αβ为无穷小且存在极限 ()lim.()x l x αβ= (1) 若0,l ≠称(),()x x αβ在该极限过程中为同阶无穷小; (2) 若1,l =称(),()x x αβ在该极限过程中为等价无穷小,记为()()x x αβ;(3) 若0,l =称在该极限过程中()x α是()x β的高阶无穷小,记为()()()x o x αβ=.若()lim()x x αβ不存在(不为∞),称(),()x x αβ不可比较. 2. 无穷小量的性质:当0x x →时,(),()x x αβ为无穷小,则()()()()(())x x x x o x αβαββ⇔=+.(5)【答案】(C)【解析】这一类题目应当用观察法.若不易用观察法时可转为计算行列式. (A):由于()()()()122334410αααααααα+-+++-+=,所以(A)线性相关. (B):由于()()()()122334410αααααααα-+-+-+-=,所以(B)线性相关.对于(C),实验几组数据不能得到0时,应立即计算由α的系数构成的行列式,即100111002001100011-=≠,由行列式不为0,知道(C)线性无关.故应选(C). 当然,在处理(C)有困难时,也可来看(D),由12233441()()()()0αααααααα+-++-+-=,知(D)线性相关,于是用排除法可确定选(C). 【相关知识点】12,,,s ααα线性相关的充分必要条件是存在某(1,2,,)i i s α=可以由111,,,,i i s αααα-+线性表出.12,,,s ααα线性无关的充分必要条件是任意一个(1,2,,)i i s α=均不能由111,,,,i i s αααα-+线性表出.三、(本题共3小题, 每小题5分,满分15分.)(1)【解析】dy dy dt dy dx dtdt dx dt dx =⋅=222221cos 2sin cos 22(0),2sin t t t t t t t y t t t x t t--⋅'===>'- 同理 2()12sin x txx t y y x t t''''=='-, 代入参数值t =则xt y '=, xxt y ''=【相关知识点】1.复合函数求导法则:如果()u g x =在点x 可导,而()y f x =在点()u g x =可导,则复合函数[]()y f g x =在点x 可导,且其导数为()()dy f u g x dx ''=⋅ 或 dy dy du dx du dx=⋅. 2.对积分上限的函数的求导公式:若()()()()t t F t f x dx βα=⎰,()t α,()t β均一阶可导,则[][]()()()()()F t t f t t f t ββαα'''=⋅-⋅.(2)【解析】111()ln(1)ln(1)arctan 442f x x x x x =+--+-. 先求()f x '的展开式.将()f x 微分后,可得简单的展开式,再积分即得原函数的幂级数展开.所以由2(1)(1)(1)(1)1,2!!nn x x x x n ααααααα---++=+++++(11)x -<<该级数在端点1x =±处的收敛性,视α而定.特别地,当1α=-时,有2311(1),1n n x x x x x =-+-++-++ (11)x -<< 2311,1n x x x x x =++++++- (11)x -<< 得 2221111111111()114141212121f x x x x x x '=++-=+-+-+-+ 44401111(||1)1n n n n x x x x ∞∞===-=-=<-∑∑, 积分,由牛顿-莱布尼茨公式得4140011()(0)() (||1)41n xx nn n x f x f f x dx t dt x n +∞∞=='=+==<+∑∑⎰⎰.(3)【解析】方法1:利用三角函数的二倍角公式sin 22sin cos ααα=⋅,并利用换元积分,结合拆项法求积分,得sin 22sin 2sin (cos 1)dx dxx x x x =++⎰⎰22sin 11cos 2sin (cos 1)2(1)(1)xdx x u du x x u u ==-+-+⎰⎰ (22sin 1cos x x =-)221(1)(1)1112()4(1)(1)811(1)u u du du u u u u u ++-=-=-++-+-++⎰⎰12ln |1|ln |1|8(1)u u C u ⎡⎤=--+++⎢⎥+⎣⎦()()12ln 1cos ln 1cos 81cos x x C x ⎡⎤=--+++⎢⎥+⎣⎦, 其中C 为任意常数.方法2:换元cos x u =后,有原式22sin 12sin (cos 1)2sin (cos 1)2(1)(1)dx xdx dux x x x u u ===-++-+⎰⎰⎰.用待定系数法将被积函数分解:221(1)(1)11(1)A B Du u u u u =++-+-++ 22()(2)()(1)(1)A B u A D u A B D u u -+-+++=-+, 01120,421A B A D A B D A B D -=⎧⎪⇒-=⇒===⎨⎪++=⎩.于是,2111212()ln 1ln 1811(1)81du u u C u u u u ⎡⎤-++=--+++⎢⎥-+++⎣⎦⎰原式= ()()12ln 1cos ln 1cos 81cos x x C x ⎡⎤=--+++⎢⎥+⎣⎦.四、(本题满分6分)【解析】求第二类曲面积分的基本方法:套公式将第二类曲面积分化为第一类曲面积分,再化为二重积分,或用高斯公式转化为求相应的三重积分或简单的曲面积分.这里曲面块的个数不多,积分项也不多,某些积分取零值,如若∑垂直yOz 平面,则0Pdydz ∑=⎰⎰.化为二重积分时要选择投影平面,注意利用对称性与奇偶性.先把积分化简后利用高斯公式也很方便的.方法1:注意 22220Sz dxdy x y z =++⎰⎰,(因为S 关于xy 平面对称,被积函数关于z 轴对称) 所以 222SxdydzI x y z =++⎰⎰. S 由上下底圆及圆柱面组成.分别记为123,,S S S . 12,S S 与平面yOz 垂直⇒122222220s s xdydz xdydzx y z x y z ==++++⎰⎰⎰⎰. 在3S 上将222x y R +=代入被积表达式⇒322s xdydzI R z =+⎰⎰. 3S 在yz 平面上投影区域为:,yz D R y R R z R -≤≤-≤≤,在3S 上,x =,3S 关于yz 平面对称,被积函数对x 为奇函数,可以推出22002222yzR D dz I R z==⨯⨯ +⎰⎰ 2201arctan 42Rz R R R R ππ1=8⋅⋅=.方法2:S 是封闭曲面,它围成的区域记为Ω,记 22SxdydzI R z =+⎰⎰. 再用高斯公式得 222222()1R R D z x dxdyI dV dV dz x R z R z R z -ΩΩ∂⎛⎫=== ⎪∂+++⎝⎭⎰⎰⎰⎰⎰⎰⎰⎰⎰ 222201122RRdz R R z ππ==+⎰(先一后二的求三重积分方法)其中()D z 是圆域:222x y R +≤.【相关知识点】高斯公式:设空间闭区域Ω是由分片光滑的闭曲面∑所围成,函数(,,)P x y z 、(,,)Q x y z 、(,,)R x y z 在Ω上具有一阶连续偏导数,则有,P Q R dv Pdydz Qdzdx Rdxdy x y z Ω∑⎛⎫∂∂∂++=++ ⎪∂∂∂⎝⎭⎰⎰⎰⎰⎰或()cos cos cos ,P Q R dv P Q R dS x y z αβγΩ∑⎛⎫∂∂∂++=++ ⎪∂∂∂⎝⎭⎰⎰⎰⎰⎰这里∑是Ω的整个边界曲面的外侧,cos α、cos β、cos γ是∑在点(,,)x y z 处的法向量的方向余弦.上述两个公式叫做高斯公式.五、(本题满分9分)【解析】由全微分方程的条件,有2[()()][()]xy x y f x y f x x y y x∂∂'+-=+∂∂, 即 22()()2x xy f x f x xy ''+-=+,亦即 2()()f x f x x ''+=.因而是初值问题 200,0,1,x x y y x y y ==''⎧+=⎪⎨'==⎪⎩ 的解,此方程为常系数二阶线性非齐次方程,对应的齐次方程的特征方程为210r +=的根为1,2r i =±,原方程右端202x x e x =⋅中的0λ=,不同于两个特征根,所以方程有特解形如 2Y Ax Bx C =++. 代入方程可求得 1,0,2A B C ===,则特解为22x -.由题给(0)0,(0)1f f '==,解得 2()2cos sin 2f x x x x =++-.()f x 的解析式代入原方程,则有22[2(2cos sin )][22sin cos ]0xy y x x y dx x y x x x dy +-+++-+=.先用凑微分法求左端微分式的原函数:222211()2()(2sin cos )(2sin cos )022y dx x dy ydx xdy yd x x x x dy +++----=, 221(2(cos 2sin ))02d x y xy y x x ++-=. 其通解为 2212(cos 2sin )2x y xy y x x C ++-= 其中C 为任意常数.【相关知识点】1.二阶线性非齐次方程解的结构:设*()y x 是二阶线性非齐次方程()()()y P x y Q x y f x '''++=的一个特解.()Y x 是与之对应的齐次方程 ()()0y P x y Q x y '''++=的通解,则*()()y Y x y x =+是非齐次方程的通解.2. 二阶常系数线性齐次方程通解的求解方法:对于求解二阶常系数线性齐次方程的通解()Y x ,可用特征方程法求解:即()()0y P x y Q x y '''++=中的()P x 、()Q x 均是常数,方程变为0y py qy '''++=.其特征方程写为20r pr q ++=,在复数域内解出两个特征根12,r r ;分三种情况:(1) 两个不相等的实数根12,r r ,则通解为1212;rx r x y C eC e =+(2) 两个相等的实数根12r r =,则通解为()112;rxy C C x e =+(3) 一对共轭复根1,2r i αβ=±,则通解为()12cos sin .xy e C x C x αββ=+其中12,C C 为常数.3.对于求解二阶线性非齐次方程()()()y P x y Q x y f x '''++=的一个特解*()y x ,可用待定系数法,有结论如下:如果()(),xm f x P x e λ=则二阶常系数线性非齐次方程具有形如*()()kxm y x x Q x e λ= 的特解,其中()m Q x 是与()m P x 相同次数的多项式,而k 按λ不是特征方程的根、是特征方程的单根或是特征方程的重根依次取0、1或2.如果()[()cos ()sin ]x l n f x e P x x P x x λωω=+,则二阶常系数非齐次线性微分方程()()()y p x y q x y f x '''++=的特解可设为*(1)(2)[()cos ()sin ]k x m m y x e R x x R x x λωω=+,其中(1)()m R x 与(2)()m R x 是m 次多项式,{}max ,m l n =,而k 按i λω+(或i λω-)不是特征方程的根、或是特征方程的单根依次取为0或1.六、(本题满分8分) 【解析】0()lim0x f x x→=表明0x →时()f x 是比x 高阶的无穷小,若能进一步确定()f x 是x 的p 阶或高于p 阶的无穷小,1,p >从而1()f n 也是1n的p 阶或高于p 阶的无穷小,这就证明了级数11()n f n∞=∑绝对收敛. 方法一:由0()lim0x f x x→=及()f x 的连续性得知(0)0,(0)0f f '==,再由()f x 在点0x =的某一领域内具有二阶连续导数以及洛必达法则,20()lim x f x x →为“00”型的极限未定式,又分子分母在点0处导数都存在,连续运用两次洛必达法则,有2000()()()1lim lim lim (0)222x x x f x f x f x f x x →→→'''''=== 2()1lim(0)2x f x f x →''⇒=. 由函数极限与数列极限的关系 21()1lim (0)12n f nf n →+∞''⇒=.因211n n ∞=∑收敛11()n f n ∞=⇒∑收敛,即 11()n f n ∞=∑绝对收敛.方法二:由0()lim0x f x x→=得知(0)0,(0)0f f '==,可用泰勒公式来实现估计.()f x 在点0x =有泰勒公式:2211()(0)(0)()()(01,[,])22f x f f x f x x f x x x θθθδδ'''''= ++=<<∈- 因()f x 在点0x =的某一领域内具有二阶连续导数,0,()f x δ''⇒∃>在[,]x δδ∈-有界,即0M ∃>,有|()|,[,]f x M x δδ''≤∈- 2211()(),[,]22f x f x x Mx x θδδ''⇒=≤∈-. 对此0δ>,,N n N ∃>时,211110()2f M n n nδ<<⇒≤. 又211n n ∞=∑收敛11()n f n ∞=⇒∑收敛,即 11()n f n ∞=∑绝对收敛.【相关知识点】正项级数的比较判别法:设1n n u ∞=∑和1n n v ∞=∑都是正项级数,且lim,nn nv A u →∞=则⑴ 当0A <<+∞时,1nn u∞=∑和1nn v∞=∑同时收敛或同时发散;⑵ 当0A =时,若1nn u∞=∑收敛,则1nn v∞=∑收敛;若1nn v∞=∑发散,则1nn u∞=∑发散;⑶ 当A =+∞时,若1nn v∞=∑收敛,则1nn u∞=∑收敛;若1nn u∞=∑发散,则1nn v∞=∑发散.七、(本题满分6分)【解析】方法1:用定积分.设高度为z 处的截面z D 的面积为()S z ,则所求体积1()V S z dz =⎰.,A B 所在的直线的方向向量为()()01,10,101,1,1---=-,且过A 点,所以,A B 所在的直线方程为1111x y z-== - 或 1x z y z =-⎧⎨=⎩. 截面z D 是个圆形,其半径的平方 22222(1)R x y z z =+=-+,则面积222()[(1)]S z R z z ππ==-+,由此 1220[(1)]V z z dz π=-+⎰()120122z z dz π=-+⎰123023z z z π⎛⎫=-+ ⎪⎝⎭23π=. 方法2:用三重积分.2123V dV d dz ππθΩ===⎰⎰⎰⎰⎰,或者 1122[(1)]zD V dV dz d z z dz σπΩ===-+⎰⎰⎰⎰⎰⎰⎰ ()120122z z dz π=-+⎰123023z z z π⎛⎫=-+ ⎪⎝⎭23π=.八、(本题满分8分)【解析】(1)由已知,()I 的系数矩阵,11000101A ⎡⎤=⎢⎥-⎣⎦.由于()2,n r A -=所以解空间的维数是2.取34,x x 为自由变量,分别令()()()34,1,0,0,1x x =,求出0Ax =的解. 故()I 的基础解系可取为 (0,0,1,0),(1,1,0,1)-. (2)方程组()I 和()II 有非零公共解.将()II 的通解 1221231242,2,2,x k x k k x k k x k =-=+=+=代入方程组()I ,则有212121222020k k k k k k k k -++=⎧⇒=-⎨+-=⎩. 那么当120k k =-≠时,向量121(0,1,1,0)(1,2,2,1)(1,1,1,1)k k k +-=---是()I 与()II 的非零公共解.九、(本题满分6分)【解析】证法一:由于 *TA A =,根据*A 的定义有(,1,2,,)ij ij A a i j n =∀=L ,其中ij A 是行列式||A 中ij a 的代数余子式.由于0A ≠,不妨设0ij a ≠,那么2222112212||0ij i i i i in in i i in A a A a A a A a a a a =+++=+++≥>L L ,故 ||0A ≠.证法二:(反证法)若||0A =,则*TAA AA ==||0A E =.设A 的行向量为(1,2,,)i i n α=L ,则 222120T i i i i in a a a αα=+++=L (1,2,,)i n =L .于是 12(,,,)0i i i in a a a α==L (1,2,,)i n =L . 进而有0A =,这与A 是非零矩阵相矛盾.故||0A ≠.十、填空题(本题共2小题, 每小题3分,满分6分.)(1)【解析】利用随机事件的概率运算性质进行化简.由概率的基本公式(广义加法公式),有()()1()P AB P A B P A B ==-U U1[()()()]P A P B P AB =-+- 1()()()P A P B P AB =--+.因题目已知 ()()P AB P AB =,故有()()1P A P B +=,()1()1P B P A p =-=-.(2)【解析】由于X 、Y 相互独立且同分布,只能取0、1两个数值,易见随机变量{}max ,Z X Y =只取0与1两个可能的值,且{}{}{}0max ,0P Z P X Y ==={}{}{}10,0004P X Y P X P Y =====⋅==, {}{}31104P Z P Z ==-==. 所以随机变量{}max ,Z X Y =的分布律为:十一、(本题满分6分)【解析】此题的第一小问是求数学期望()E Z 和方差()D Z ,是个常规问题;(2)求相关系数XZ ρ,关键是计算X 与Z 的协方差;(3)考查相关系数为零与相互独立是否等价.(1) 由2(1,3)XN ,2(0,4)Y N ,知()1,()9,()0,()16E X D X E Y D Y ====.由数学期望和方差的性质:()()()E aX bY c aE X bE Y c ++=++,22()()()2Cov(,)D aX bY c a D X b D Y ab X Y ++=++,其中,,a b c 为常数.得 111,323EZ EX EY =+= 111Cov(,)943DZ DX DY X Y =++111916943XY ρ=⨯+⨯+115()34 3.32=+⨯-⨯⨯=(2) 因为11Cov(,)Cov(,)32X Z X X Y =+11Cov(,)Cov(,)32X X X Y =+2113(6)032=⋅+-= 所以 0XZ ρ==.(3) 由于(,)X Y 服从二维正态分布,则其线性组合构成的随机变量也服从二维正态分布,而32X YZ =+,0X X Y =+,故X 和Z 都是其线性组合,则(,)X Z 服从二维正态分布,根据 0XZ ρ==,所以X 与Z 是相互独立的.。
一、填空题1、运输的最基本效用和功能是改变运输对象的空间位置。
2、航线是指经过批准开辟的连接两个或几个地点的航空交通线。
3、航线分为国内航线和国际航线。
4、国际民航组织英文简称是ICAO。
5678915、座位可利用情况代号的含义S是限制销售,L是只允许侯补。
16、提取PNR记录的指令是 RT 。
17、运输业的产品是旅客和货物的空间位移。
18、订座情况RQ是已申请或候补,NS是指不占座 SA是指等候空余座位。
19、特殊餐食代码AVML是指亚洲素食,BBML是指婴儿餐食。
20、外交信袋占用每个座位的重量限额不得超过 75 。
21、分离旅客姓名的指令格式是 SP 。
22、包机分为普通包机专机急救包机、支农包机、外贸进出口货物包机.23、TK:TL/1200/12JUL/TYN001中1200是代表出票时间。
34、国际航空运输协会简称是 IATA 。
35、《中华人民共和国民用航空法》是1996年 3月1日起施行的。
36、PNR的基本组成有姓名组、航段组、联系组出票组、责任组。
37、行动代码UU是指列入候补 XX是指取消已证实。
38、UM是指年龄五周岁以上至十二周岁以下的无成人陪伴、单独乘机的儿童。
39、航段是指在航线上各经停点之间的航程。
40、国内运输是指根据旅客运输合同,其出发地、经停地和目的地均在中华人民共和国境内的航空运输。
41、旅客应在客票有效期内提出退票,过期不予办理。
、作废当日的票号指令VT 。
52、将当日作废客票恢复为有效记录的格式为VT:打票机号/航空公司结算代码—起始票号—结束票号/记录编号/R,起始票号为10 位,结束票号为5位。
53、在VT之前要做XO ,否则系统将显示错误提示。
54、日常销售报告指令是TSL。
55、指令TSL:C是指完整数据显示,不仅显示每一张客票的有关数据,还显示根据全部客票得出的统计数据。
56、指令TSL:T 是指仅显示统计小结数据,不显示具体客票信息。
57、指令TSL:V 是指当日作废数据显示。
填空题库及参考答案第1章绪论1-1、测量工作的基准线是铅垂线。
1-2、测量工作的基准面是水准面。
1-3、测量计算的基准面是参考椭球面。
1-4、水准面是处处与铅垂线垂直的连续封闭曲面。
1-5、通过平均海水面的水准面称为大地水准面。
1-6、地球的平均曲率半径为6371km。
1-7、在高斯平面直角坐标系中,中央子午线的投影为坐标x轴。
1-8、地面某点的经度为131°58′,该点所在统一6°带的中央子午线经度是129°。
1-9、为了使高斯平面直角坐标系的y坐标恒大于零,将x轴自中央子午线西移500km。
1-10、天文经纬度的基准是大地水准面,大地经纬度的基准是参考椭球面。
1-11、我国境内某点的高斯横坐标Y=22365759.13m,则该点坐标为高斯投影统一6°带坐标,带号为22 ,中央子午线经度为129°,横坐标的实际值为-134240.87m,该点位于其投影带的中央子午线以西。
1-12、地面点至大地水准面的垂直距离为该点的绝对高程,而至某假定水准面的垂直距离为它的相对高程。
第2章水准测量2-1、高程测量按采用的仪器和方法分为水准测量、三角高程测量和气压高程测量三种。
2-2、水准仪主要由基座、水准器、望远镜组成。
2-3、水准仪的圆水准器轴应与竖轴平行。
2-4、水准仪的操作步骤为粗平、照准标尺、精平、读数。
2-5、水准仪上圆水准器的作用是使竖轴铅垂,管水准器的作用是使望远镜视准轴水平。
2-6、望远镜产生视差的原因是物像没有准确成在十字丝分划板上。
2-7、水准测量中,转点TP的作用是传递高程。
2-8、某站水准测量时,由A点向B点进行测量,测得AB两点之间的高差为0.506m,且B点水准尺的读数为2.376m,则A点水准尺的读数为2.882 m。
2-9、三等水准测量采用“后—前—前—后”的观测顺序可以削弱仪器下沉的影响。
2-10、水准测量测站检核可以采用变动仪器高或双面尺法测量两次高差。
一、填空题(共30分)1. 归结法中,可以通过---------的方法得到问题的解答。
2.化成子句形式为:。
3.从已知事实出发,通过规则库求得结论的产生式系统的推理方式是4.AI是是的英文缩写5.人工智能的基本技术包括、、、——、——。
6.目前所用的知识表示形式有、、等。
7.产生式系统有三部分组成,和推理机。
其中推理可分为和。
8.在谓词公式中,紧接于量词之后被量词作用的谓词公式称为该量词的,而在一个量词的辖域中与该量词的指导变元相同的变元称为,其他变元称为9、1997年5月,著名的“人机大战”,最终名为“”的计算机以3.5比2.5的总比分将世界国际象棋棋王卡斯帕罗夫击败。
10、人工智能的远期目标是,近期目标是。
11、谓词逻辑中,重言式(tautlogy)的值是。
12、利用归结原理证明定理时,若得到的归结式为,则结论成立。
13、若C1=┐P∨Q,C2=P∨┐Q,则C1和C2的归结式R(C1,C2)= 。
14、若C1=P(x) ∨Q(x),C2=┐P(a) ∨R(y),则C1和C2的归结式R(C1,C2)= 。
15、在归结原理中,几种常见的归结策略并且具有完备性的是,,。
16、在启发式搜索当中,通常用来表示启发性信息。
17、假言推理(A→B)∧A⇒,假言三段论(A→B)∧(B→C)⇒.二、选择题(15小题,共15分1.人工智能是一门A)数学和生理学B)心理学和生理学C)语言学D)综合性的交叉学科和边缘学科2、下列哪个不是人工智能的研究领域()A.机器证明B.模式识别C. 人工生命D. 编译原理3.神经网络研究属于下列()学派A. 符号主义B. 连接主义C. 行为主义D. 都不是4.已知初始问题的描述,通过一系列变换把此问题最终变为一个子问题集合;这些子问题的解可以直接得到,从而解决了初始问题。
这是知识表示法叫()A. 状态空间法B. 问题归约法C. 谓词逻辑法D. 语义网络法5.在公式中∀y∃xp(x,y)),存在量词是在全称量词的辖域内,我们允许所存在的x可能依赖于y值。
1、找规律填空:1、3、7、13、23、 、85……2、两个自然数最大公因数是8,最小公倍数是120,这两个数的差最小是 ,最大是 。
3、一块长方形地长18米,如果把它的长增加到22米,宽减少 3米,面积的大小正好不变,这块长方形地的面积是 平方米。
4、设六位数n = l abcde , 六位数m = abcde l ,若m =3n ,则a +b +c +d +e = 。
5、已知:2*3=2×3+3=9,3*4=3×4+4=16。
①写出a *b = ;②如果a *b = 49,则a = 。
6、把162分成三个数,使这三个数分别能被2、5、11整除,而且所得的商相同,那么这三个数分别是 、 、 。
7、如图:在长方形ABCD 中,AB = 16cm ,AD = 24 cm ,一个动点P 从顶点A 出发,逆时针方向沿长方形的边以每秒2厘米的速度运动回目的地A 。
问①P 点从顶点A 出发,经过 秒时,△ABP 的面积最大?②△ABP 面积最大共持续 秒。
8、粉刷一间教室用涂料10千克,粉刷长、宽、高都是它2倍的教室,需涂料 千克。
9、若买苹果1千克,梨0.5千克,桃2千克需5元;买苹果2千克,梨1千克,桃1千克需4元;则买苹果2千克,梨1千克,桃2.5千克需 元。
10、已知:3!= 3×2×1,5!= 5×4×3×2×1,那么13!与3!的差的个位数字是 。
11、在一个圆形跑道上,小明与小华分别从一条直径的两端同时出发,相向而行,第一次相遇时,小华走了80米。
相遇后,两人继续向前行走,在小明走一圈差55米时,与小华再次相遇,这个圆形跑道的周长是 米。
12、1瓶水倒满7个大杯和6个小杯后,还余30克的水;或倒满9个大杯和4个小杯后,还余10克的水,这瓶水可以倒满 个大杯和 个小杯后,没有剩余。
13、某校组织了绘画、书法、体操、合唱四个活动小组,共129人(每人限参加一项),已知绘画组人数是书法组人数的5/7,书法组人数是体操组人数的3/4,求绘画组和合唱组最多共多少人?14、小咏星期日上午8∶00从家骑车到姥姥家,走的线路如图。
人教版语文一年级下册按课文填空第一单元1、(春回大地),(万)物复苏,柳(绿花红),莺歌燕舞,冰(雪)融化,泉(水丁冬),(百花齐放),(百鸟)争鸣。
2. 春天到了,春雷(跟)柳树(说话)了,柳树醒了;(春雨给柳树洗澡了,柳枝软了;( 春风给柳树梳头了,柳梢(绿)了,春燕(跟)柳树捉迷藏了,柳絮(飞)了,柳树跟(孩子们玩耍了,(玩着玩着),(小朋友们)(长高了。
3. 春雨落到(草地上),草就(绿了)。
春雨洒到(桃树)上,桃花(红了)。
春雨落在油菜地里,油菜花(黄了)。
小燕子说春雨是(绿色的,麻雀说春雨是(红色的,小黄莺说春雨是( 黄色的。
4、(今天),邓小平(爷爷)(亲手)栽种的柏树(已经)(长大了),“小平树”(成了)天坛(公园)(一处)美丽的风景。
我知道植树节是(3)月(12)日。
5、(春)眠(不)觉晓,(处处)闻啼(鸟)。
夜(来风雨声),(花)落(知多少)。
(草长)莺(飞二月天),拂堤杨柳醉(春)烟。
(儿童)散(学)归(来早),(忙)趁(东风放)纸鸢。
《春晓》和《村居》是两首描写(春天)的古诗,描写(夏天)的两首古诗是《所见》和《小池》。
第二单元1、(小朋友),(正年少),尊(长)辈,懂礼貌。
(父母)教,(认真听),(做)错事,即改(正)。
长辈错,(要)提醒,态度(好),(心意)诚。
家务事,愿承担,(洗)碗筷,(扫)庭院。
(家爱我),(我爱家),(好孩子),(人人)夸。
2、(我)和(爸爸)是(足球)迷,(奶奶)是京剧迷。
3、兰兰的小手替(爸爸)拿过拖鞋,给(妈妈)(洗过)手绢,帮(姥姥)挠过痒痒。
兰兰(明白)了(全家人)(为什么)都喜欢这张画。
兰兰(高兴)地说:“等我(长大了),小手(变成了)大手,它会帮(你们)做(更多)的事情!”4、(妈妈)为(奶奶)晒棉被,小峰为(奶奶)晒棉鞋。
5、(我回家),(把)鞋脱下,(爸爸妈妈回家),把鞋脱下,(爷爷奶奶回家),(也都)把鞋脱下。
(大大小小)的鞋,(像是一家人),依偎(在一起),(说着)(一天)的见闻。
一、填空:(每小题1分,共10分)1.1915年9月,陈独秀主编的《》创刊,是新文化运行开始的标志。
2.1917年1月,胡适在《新青年》上发表《》一文,这是倡导文学改革,提出系统理论主张的第一篇文章。
3.1921年1月成立于北京的《》,是文学革命后出现的第一个文学社团。
4.郭沫若是中国新诗的奠基者,他的诗集《》充分反映了“五四”狂飚突进的时代精神,冲破了诗格律的束缚,开了一代诗风。
5.在文学研究会作家中《》的散文成高最高影响最大。
6.1930年3月《》在上海成立,这是中国现代文学史上的一大事,它标志着中国新文学的发展,已进入到无产阶级领导的“革命文学”的崭新的历史阶段。
7.在国统区、在反侵略的旗帜下,涌现了一个新的诗歌流派诗派。
8.80年代中期,诗坛出现了所谓“”倡导者是更年轻的一代,被称为“新生代”诗人群。
9.小说的出现,显示了新时期小说现实主义精神的进一步发展。
10.刘索拉的以零乱的组合展示了音乐学院作曲系一群复杂乱无章的生活表现了当代一部分青年人的复杂心态被视为第一篇“真正有了现代派小说的味”的作品。
11.小诗集《繁星》和《春水》的出版使《》,成为当时小诗派的代表人物。
12.与“湖畔”诗人写作题材相近的诗人是,曾被鲁迅誉为“中国最为杰出的抒情诗人”。
13.《》派可说是在鲁迅影响下形成的一个小说流派,代表作家有王鲁彦、许钦文、王任叔、许杰、彭家煌等。
14.胡适的《》是我国现代诗歌史上第一部新诗集。
15.《》一诗是殷夫的红色鼓动诗的代表作,是为纪念五四运动四周年而写的。
16.以施蛰存、穆时英、刘呐鸥为代表的《》这是中国第一个现代主义小说流派。
17.在国统区,在反侵略的旗帜下涌现了一个新的诗歌流派《》诗派。
18.闻捷的《》是较多地反映各族青年男女的爱情生活,闻捷因此而被誉为“写爱情诗的能手”。
19.新时期散文领域最突出的成就当属《》的勃兴。
20.《》在台湾也称为“回忆文学”,从50年代至今,在台湾当代文学中流传时间最长。
量词填空一(条)床单一(顶)蚊帐一(股)水流一(缕)炊烟一(朵)浪花一(片)田野一(波)水浪一(次)潮汛一(张)网一(张)床一(片)平原一(尊)雕塑一(尊)佛像一(缕)光线一(阵)雷声一(江)春水一(道)霞光一(声)闷雷一(弯)月芽一(块)草地一(根)梁一(根)柱子一(个)木箱一(颗)螺丝一(股)暖流一(轮)明月一(棒)玉米一(首)歌曲一(叶)扁舟一(列)火车一(张)嘴一(片)丹心一(顿)晚餐两(张)桌子一(床)被三(则)新闻一(片)深清一(节)车厢一(瓶)药两(艘)军舰一(部)新戏一(缕)胡子一(亩)地一(个)兄弟一(辆)拖拉机三(架)照相机一(片)树叶一(匹)骏马一(挺)机枪一(门)大炮一(块)黑板一(颗)子弹一(间)教室一(支)粉笔一(批)货物一(根)教鞭一(栋)楼房一(盏)电灯三(双)袜子三(口)井一(堆)雪一(阵)风一(副)眼镜一(条)河两(座)桥两(只)鸭子三(台)电视机一(扇)门一(瓶)醋两(块)表一(袋)面粉一(句)话一(场)雨一(盘)棋一(捆)行李一(度)电一(间)屋一(身)毛一(根)头发一(团)线两(面)墙两(颗)珍珠一(块)糖一(把)锁三(块)布六(顶)帽子四(部)电影一(粒)米一(幅)画两(所)学校三(张)报纸一(封)电报一(封)信一(桌)酒席一(块)胶布一(面)旗一(只)小鸟一(个)问题一(个)树坑一(棵)树苗一(棵)小树一(处)风景一(场)球赛一(个)秘密一(双)小手一(幅)画一(位)女孩一(片)天空一(双)鞋子一(个)人一(枚)鸟蛋一(颗)松果一(棵)松树一(片)树林一(条)小路一(辆)小车一(把)扫帚一(丛)花草一(件)东西一(朵)水花一(把)小伞一(棵)水草一(只)蚂蚁一(座)花坛一(条)蛇一(条)尾巴一(头)老牛一(只)燕子一(件)事情一(个)娃娃一(条)谜语一(次)活动一(口)水缸一(块)石头一(头)大象一(面)墙一(根)柱子一(杆)秤一(根)线一(只)海鸥一(片)沙滩一(艘)军舰一(只)帆船一(棵)秧苗一(片)稻田一(亩)鱼塘一(座)果园一(条)小溪一(座)石桥一(只)飞鸟一(面)队旗一(只)铜号一(条)红领巾一(阵)欢笑一(口)井一(块)石碑一(畦)菜地一(匹)骏马一(座)公园一(棵)白菜一(头)狮子一(粒)花种一(束)鲜花一(种)表情一(颗)雨点一(位)叔叔一(场)秋雨一(只)小虫一(个)斑点一(个)桃子一(条)大河一(座)房子一(名)专家一(名)司机一(条)蝌蚪一(只)乌龟一(只)青蛙一(道)闪电一(台)机器一(块)玉米地一(棵)桃树一(只)西瓜一(只)白兔一(个)塑料袋一(根)塑料管一(根/截)绳子一(根)甘蔗一(块)泥巴一(串/把)钥匙一(棵)白菜一(头)猪一(股)臭味一(根/绺)头发七(颗)星星一(所)幼儿园一(枚)棋子两(块)蛋糕一(副/张)牌两(把)菜刀一(根)针一(道)彩虹一(块)手表一(辆)轿车一(辆)自行车一(个/只)玻璃杯一(把)椅子一(个)字一(间)教室一(朵/片)云一(条)鱼一(只)松鼠一(个)书包一(朵)花一(处)风景一(条)路一(对)翅膀一(本)书一(把)伞一(个)小朋友一(个)秘密一(个)娃娃一(首)诗一(棵)麦苗一(抹)朝霞一(棵)小草一(艘)船一(首)歌一(只)狐狸一(座)小丘一(只)松鼠一(桶/瓶)油一(只)眼睛一(撮)毛一(只)蜗牛一(个)小绒球一(只)螃蟹一(处)地方一(根)食指一(位)画家一(支)笔一(棵)松树一(项)绝技一(盘)棋一(件)衣服一(段)树干一(条)尾巴一(把)剪刀一(片)树叶一(个)世界一(个)小时一(出)景色一(座)电视塔一(个)名字一(颗)明珠一(个)巨人一(道)彩虹一(块)毛巾一(个)中国结一(颗)心一(座)秋千一(艘)飞船一(副)围棋一(面)国旗一(声)惊叹声一(声)呼喊一(块)小石子一(个)脚印一(架)飞机一(只)蜻蜓一(波/潭)绿水一(滴)海水一(个)梦想一(根)火柴一(匹)骡子一(口)井一(对)朋友跑了一(圈/阵)念了一(段)敲了一(下)蘸了一(下)跺了一(脚)转了一(圈)挨了一(棍)咬了一(口)哭了一(场)推了一(把)骂了一(句)吓了一(跳)说了一(句)等了一(会儿)走一(趟)唱一(遍)去了三(回/次)大吃了一(顿)大闹了一(场)。
2021年高考英语真题深度解读(新高考全国卷I)2021年普通高等学校招生全国统一考试(I卷)试题整体难度与往年大体相同,围绕人与自然、人与社会、人与自我三大主题全面考查英语综合运用能力。
从选取的文本体裁上看,记叙文占主导地位。
如阅读理解七选五和语法填空,都改变了以往的说明文为主要体裁的规律,今年都采用了记叙文的体裁。
听力选取了有关谈论足球运动和户外散步的材料,落实五育并举、深化体美劳教育。
阅读部分通过选择主题相关的语篇引导学生养成和谐友爱的人际关系和乐观自信、积极向上的人生态度,比如环保问题。
此外,还设置了一定比例的试题强化对批判性思维能力的考查,如考查作者观点态度和篇章标题的试题,需要考生根据语篇内容进行逻辑推理并通过归纳和概括才能正确作答。
完形填空语篇介绍第一次暑期打工的经历,这个主题体现了人与自我,侧重劳动教育。
符合教改精神。
动词考察居多,文中涉及到词性活用的表达。
语法填空语篇介绍游览黄山美景的经历,引导学生加强对中国历史文化和社会主义核心价值观的认同。
侧重于非谓语动词的考察,并列连词并未考察到,考到了冠词。
应用文写作中要求考生在英文报庆祝创刊十周年之际写一篇短文投稿,强调对应用性和创造性能力的考查。
读后续写题选取的是两个孩子在母亲节当天为母亲制作早餐的语篇,考查考生的英语综合运用能力。
考察情感(亲情)相关话题,侧重于解决问题型续写。
无论从题目的难度,还是题型的设置上,基本都延续了往年的出题模式,重视对学生基础知识的考查,题型稳定,同时继续突出考查考生用英语分析问题和解决问题的能力。
试题将文化自信、国际视野、人文情怀融入到考查中,体现了高考立德树人、培养考生良好品德、发展素质教育的目标。
语篇导读听力考点分布图新高考全国卷今年第二次考,和往年听力相比有以下的特点:1.题目分布出现明显的变化,如第七段材料在2020年山东卷是2题,而2021年新高考全国卷是三题;第十段材料2020年高考全国卷Ⅰ或者2020年山东卷是4题,而2021年新高考全国卷Ⅰ是3题,最后一段材料减少到三题不仅跟以往的山东卷相比,就是跟以往的全国卷相比也是一大变化,需引起重视。
题型专项突破—Unit1完形填空(友谊篇)一、完形填空阅读下面短文,从短文后所给各题的四个选项(A、B、C和D)中,选出可以填入空白处的最佳选项,并写在答题卡上。
There are many kinds of friends。
Some are always 1________ you,but don't understand you。
Some say only a few words to you,but understand you。
Many people will step in your life,but only 2 ________ friends leave footprints.I shall always recall the autumn and the girl with the 3________。
She will always bring back the friendship between us. I know she will always be my best friend。
It was the golden season。
I could see the yellow leaves 4 ________ in the cool wind。
In such a 5________ ,I liked walking alone in the leaves, 6 ________ to the sound of them。
Autumn is a harvest season and 7 ________ is uninteresting. The free days always get me 8________。
But one day,the sound of a violin 9________ into my ears like a stream flowing in the mountains。
在考生们的殷切期盼中,《2014全国硕士研究生入学统一考试英语(一)考试大纲》终于露面。
之前网上疯传的一些关于考研英语大纲将新增700新词,增加听力题型及阅读难度将提高等的传言全都被事实拍打回去。
不管之前谣传再怎么将2014考研英语大纲“妖魔化”,摆在我们面前的2014考研英语大纲却是着实让考生们松了一口气。
大纲题型解析篇总的来说,2014年的考研英语大纲还是很“善解人意”的。
总体变化不大,并没有像大学英语四六级考试一样发生了巨大的变化,比如说删除了完形填空,增加了英译中的翻译。
这些的保留说明出题组仍然对同学们基本功的考察还是十分看重的。
跨考教育英语教研室张老师现根据2014年考纲的内容,对2014年考研英语(一)各个具体题型的总体要求进行全面分析。
1.完形填空完形填空主要测试考生结合上下文的综合理解能力和语言运用能力,即在阅读理解的基础上对篇章结构、语法和词汇知识的运用能力的考查,这是对完形填空的定位。
透过大纲可以看出对完形填空考核的重点:语法、固定搭配、近义词辨析和逻辑关系。
考生可从历年真题中按照这几大重点去准备和复习有关考研完形填空方面的知识点,这样可以做到事半功倍的效果。
同时考虑到完形填空在历年考研中得分较低,考生解答完形填空题时,要多从上下文的角度来考虑,并运用逻辑推理,大到对文章整体,小到对句子之间和句子内部综合把握。
此外,要多从惯用法和搭配的角度来考虑问题,平时考试就要对惯用法和搭配多多积累。
2.阅读理解就阅读理解(Part A)而言,由于这是一个大家非常熟悉的题型,也连着考了十几年,命题专家都有丰富的经验来应对它,因此每次考试最稳定的就是四选一的阅读理解题。
就文章题材来说,近几年越来越重视对人文科学的考查,平时要多注重阅读一些英美经济文化科技方面的报刊书籍,例如The Economist(经济学家),Newsweek(新闻周刊),Time(时代周刊)以及The Times(泰晤士报)上面的文章。
第一部分知识运用第一节语法填空专题一语法填空探考情悟真题【考情探究】卷名体裁主题语境考点2019北京卷记叙文人与自我动词的时态和语态非谓语动词名词代词冠词介词形容词和副词主从复合句说明文人与自然说明文人与社会统计22110112分析解读 1.2019年北京高考试卷将过去以句子为核心的单项选择变成以语篇为核心的语法填空。
这种命题形式体现了新课改由语法知识到语法技能的语法教学观念的转变,体现了当今高考英语改革的趋势——突出语篇,强调在语篇中测试学生的英语语言知识和技能。
2.2019年的语法填空由三篇短文组成,通过不同体裁和主题语境内容的文章来突出语篇的多样性。
三篇文章一共包含10道试题,覆盖动词的时态和语态、非谓语动词、主从复合句、词性转换等主要语法项目,注重考查学生的语法基础知识和基本技能,无偏难怪题。
【真题探秘】真题再现阅读点拨阅读下列短文,根据短文内容填空。
在未给提示词的空白处仅填写1个适当的单词,在给出提示词的空白处用括号内所给词的正确形式填空。
On the first day of my first grade, I stood by the door with butterflies in my stomach.I 1(voice) my biggest concern to my mother, “How will I make friends?” She handed me advice, “Be yourself.” For the past 20 years, I have lived by these words. Soon I will graduate and become part of the real world. Nervously 2(face) challenges, I know I will whisper to 3 (I) the two simple words “Be yourself”. 记叙文中主旨句可以通过人物的语言体现,因此短文中反复出现的“Be yourself.”就是主旨。
一、填空题(每小题2分,共20分)1.盒中装有1到10号10个球,现从中任取3个球,则最小号码是5的概率为 .2.有一批零件其次品率为0.1,现从中随机抽取5件,则其中恰有2件次品的概率为 . 3.设随机变量X 的分布律为 {}00.25P X==,{0.52P Xπ==,{}0.25P Xπ==,则X 的分布函数为 . 4. 若随机变量X 服从参数为1的指数分布,则()()12E X X --=⎡⎤⎣⎦ .5.设二维随机变量(),X Y 的联合分布律为则X 的概率分布律为 , Y 的概率分布律为 . 6.设随机变量X Y 与相互独立且均服从()0,1N ,则2X Y-服从 分布(写出参数).7.设()12,,,nX X X是来自参数为λ的泊松分布总体的一个样本,2211()nni i S X X n==-∑,则()2n E S = .8.设总体X 服从参数为2的指数分布,12,,,nX X X是其样本,则当n→∞时,211nnii Y Xn==∑依概率收敛于 .9.若ˆθ满足 时,ˆθ是θ的一个相合估计量. 10.总体X 服从2(,)N μσ,μ ,2σ均未知.12,,,nX X X是X 的样本,要检验00:H σσ=,则采用的检验统计量是 .二、判断题(每小题2分,共20分.正确的在题前括号内打“√”,否则打“×”) ( )1. 若事件A 的概率为零,则A 一定为不可能事件.( )2.如果事件A 与B 互不相容,且()0P A >,()0P B >, 则()()()P A B P A P B =.( )3.设随机变量X 服从(),b n p ,则()()2141D Xn p p -=-.( )4.设二维随机变量(),X Y 服从()1,0,1,4,0N ,则X Y 与不一定相互独立. ( )5.样本二阶中心矩是总体方差的无偏估计.( )6.二维正态分布的边缘分布仍是正态分布. ( )7.设()12,,,n X X X是来自总体()0,1N 的一个样本,则2321ii XX=∑服从()3t 分布.( )8.在给定的置信水平α-1下,被估参数的置信区间是唯一的. ( )9.若()()()E X Y EX E Y =,则X Y 与一定不相关,但是不一定相互独立.( )10.若1ˆμ,2ˆμ均是μ的估计量,且()()12ˆˆD D μμ<,则1ˆμ较2ˆμ更有效. 三、计算题(每小题7分,共28分)1.据以往资料表明,某一3口之家,患某种传染病的概率有以下规律:{}0.6P =孩子得病,{}0.5P =母亲得病孩子得病,{}0.4P =父亲得病母亲及孩子得病 .求:(1)孩子和母亲都得病的概率; (2)孩子和母亲得病但父亲未得病的概率.2.设随机变量X Y 与相互独立且均服从参数为λ的泊松分布,令2U X Y=+,2VX Y=-.求U V 与的相关系数ρ.3.设二维随机变量(),X Y 服从区域D 上的均匀分布,D 是由5x=,1y =,y x =围成的区域.试求:(1) (),X Y 的联合概率密度及边缘概率密度函数; (2) 判断X Y 与是否独立.4.设随机变量X 的概率密度为1,10()1,010,x x f x x x +-≤<⎧⎪=-≤<⎨⎪⎩其它. 求:(1)X的数学期望; (2)X的分布函数.四、应用题(6分)已知一批零件的长度X (单位:cm)服从正态分布()2,N μσ,从中随机地抽取16件,得到长度的平均值为40cm ,其标准差为0.05cm ,试根据下列两种情况求μ的置信水平为0.95的置信区间:(1)0.6σ=;(2)σ未知. ()( 1.960.975Φ=,()0.0515 1.7531t =,())0.02515 2.1315t =五、综合题(每小题10分,共20分)1.设随机变量(,)XY 的概率密度函数为,0(,)0,yx e x y f x y -⎧<<<+∞=⎨⎩其它.求:(1)ZX Y=+的概率密度; (2)()m in ,UX Y=的分布函数.2.设总体X 的概率分布律为其中θ102θ⎛⎫<< ⎪⎝⎭是未知参数,已知取得的样本值为 3,1,3,0,3,1,2,3.求参数θ的矩估计值和最大似然估计值.六、证明题(6分)若随机变量X Y 与相互独立,证明 ()D X Y =()()()()()()22DX D Y EX D Y EY D X ++.。
人教版一年级语文期末中的篇章填空题解析与答题技巧语文学科对于学生的语言表达和理解能力有着重要的培养意义,因此,在一年级语文期末考试中,篇章填空题占据了重要的位置。
本文将针对人教版一年级语文期末中的篇章填空题进行解析,并提供一些答题技巧,帮助学生更好地应对这一题型。
篇章填空题是一种综合性的题型,要求学生通过阅读一篇短文,根据上下文的逻辑关系推断出合适的词语来填空。
正确的填空不仅需要对每个空格位置的语义理解准确,还需要了解整篇文章的整体意思,进行逻辑推理。
针对篇章填空题,我们可以采取以下解题策略:一、通读全文在回答篇章填空题之前,首先要通读全文,了解文章的大意和主题内容,这有助于我们对整篇文章的理解。
二、分析上下文阅读短文时,要仔细研读前后文,分析上下文的语境,推测空格应填入的适当词语。
有时上文会提供线索,帮助我们理解下文;有时下文会提供线索,帮助我们理解上文。
三、注意逻辑关系正确填空需要考虑文章的逻辑关系,如因果关系、时间关系、转折关系等。
当我们遇到一个空格时,可以先思考前后文的逻辑关系,根据逻辑性选择合适的词语。
四、整体把握在填空过程中,要对整篇文章进行整体把握,确保填入的词语与文章的主题或中心思想相符。
这样可以帮助我们理解文章的意图,也有助于推断适当的词语。
五、注意词性和语义填空时要注意所填词语的词性和语义,确保填入的词语在句子中能够贴切地表达出正确的意思。
下面是一道人教版一年级语文期末中的篇章填空题,我们通过解析来巩固上述解题技巧:==================================篇章填空题示例远远看去,______(空格一)长长的旗杆上迎风猎猎地飘扬着五星红旗。
这是我们班级的国旗,同学们都爱护它。
今天是学校举办运动会的日子,我们排着整齐的______(空格二),穿着统一的体操服,______(空格三)花瓣一样的操旗手紧握着国旗,在旗手的带领______(空格四)我们整齐地走向操场。
化学反应工程(D卷)
一、名词解释(每小题2分,共10分)
1、反应速率常数
2、空速
3、收率
4、化学膨胀因子
5、孔隙率
二、判断对错(对者打“√”,错者打“×”,每小题1分,共10分)
1、化学吸附可以是单分子层吸附,也可以是多分子层吸附。
2、全混流模型是一种返混量为无穷大的理想流动模型。
3、当孔径远大于分子运动的平均自由程时,气体分子在微孔中的扩散属于分子扩散。
4、化学反应工程学的研究对象是实验室规模的化学反应过程和反应器。
5、为提高全混流反应器反应过程的推动力,有效的解决办法是多级全混流反应器并联。
6、对间歇反应器,反应物达到一定转化率所需的反应时间随反应器体积的增大而增大。
7、有一复合反应,已测得其总选择率为0.8,收率为0.72,则该反应的转化率为90%。
8、基元反应的速率可以由质量作用定律直接写出。
9、化学动力学是在完全消除传递等物理过程对化学反应的影响后进行的动力学研究。
10、大多数固体催化剂是多孔物质,每克有几十甚至几百平方米的内表面积。
三、简答(共30分)
1. (本小题8分) 化学反应过程优化的实质包括哪几个方面?
2.(本小题8分) 反应器设计的基本方程有哪些?
3. (本小题7分) 某反应的反应速率式为(-r A) = k C C A n , 假定反应速率(-r A)单位以
mol/(m3.h )表示, 浓度的单位为mol/m3,试写出反应级数n为0,1,2 时k c的单位。
4. (本小题7分) 某一级不可逆气固相催化反应的宏观速率式为
试回答:(1)过程的推动力是什么?
(2)在什么条件下,过程处于表面化学反应控制?
四、推导(下面2题,每小题15分,共30分)
1.在Ni催化剂上的混合异辛烯加氢生成异辛烷反应
设反应的机理由下列三个步骤组成
试推导过程为表面化学反应(B) 为控制步骤时的均匀表面吸附动力学方程。
2.乙炔加氢反应
C2H2+ H2→C2H4
(A) (B) (R)
物料的初始浓度为C AO=1mol/L; C BO=3mol/L; C RO=0; C IO=1mol/L(I为甲烷),该反应在恒温恒压下进行,试推演各组分(包括甲烷)浓度与关键组分转化率的关系。
五、计算题(共20分)
在间歇反应器(BR)中,用己二酸与己二醇缩聚制醇酸树脂。
反应在硫酸催化下进行,其反应动力学由实验测得,
r A=kC A C B
式中r A: 己二酸消耗速率[kmol/L.min]
k: 反应速率常数[L/kmol. min]
C A、C B: 分别为己二酸、己二醇的浓度[kmol/L]
实验条件:反应温度70℃,k = 1.97。
己二酸与己二醇的初始浓度,C A0 = C B0 = 0.004。
若每天处理2400kg己二酸,己二酸转化率为80%时出料,操作的辅助时间t0 = lh。
物料填装系数f = 0.75,己二酸的分子量为146。
求单釜生产时,所需反应器体积。