北航空气动力学试题陈泽民
- 格式:doc
- 大小:39.00 KB
- 文档页数:3
北航空气动力学期末考试题及答案一、选择题(每题3分,共30分)1. 根据流体力学的连续性方程,当流速增加时,流体的密度将如何变化?A. 增加B. 减少C. 保持不变D. 不确定答案:B2. 伯努利方程适用于以下哪种流体?A. 理想流体B. 粘性流体C. 可压缩流体D. 不可压缩流体答案:A3. 在亚音速流动中,马赫数是多少?A. 小于1B. 等于1C. 大于1D. 无法确定答案:A4. 以下哪种力是作用在飞机机翼上的升力?A. 重力B. 阻力C. 升力D. 推力答案:C5. 根据牛顿第二定律,作用在物体上的力与其加速度的关系是什么?A. 力等于加速度的两倍B. 力等于加速度乘以质量C. 力等于质量除以加速度D. 力等于质量加上加速度答案:B6. 在流体力学中,雷诺数是用来描述什么的无量纲数?A. 流体的密度B. 流体的粘度C. 流体的流动状态D. 流体的压力答案:C7. 飞机在起飞时,为了增加升力,机翼的攻角应该:A. 增加B. 减少C. 保持不变D. 先增加后减少答案:A8. 以下哪种情况会导致飞机的失速?A. 增加攻角B. 减少攻角C. 增加速度D. 减少速度答案:A9. 根据能量守恒定律,飞机在水平飞行时,其动能和势能的总和是:A. 增加B. 减少C. 保持不变D. 先增加后减少答案:C10. 在飞机设计中,为了减少阻力,通常采用哪种翼型?A. 圆形翼型B. 矩形翼型C. 椭圆形翼型D. 流线型翼型答案:D二、填空题(每空2分,共20分)1. 流体的粘性系数用符号______表示。
答案:μ2. 马赫数是速度与______的比值。
答案:声速3. 飞机的升力系数与攻角的关系可以用______定律来描述。
答案:库塔-茹科夫斯基4. 在流体力学中,当雷诺数小于2000时,流体的流动状态通常被认为是______。
答案:层流5. 飞机的阻力主要由______阻力和______阻力组成。
答案:摩擦;压差三、简答题(每题10分,共40分)1. 简述流体的可压缩性和不可压缩性的区别。
北航空气动力学期末考试题及答案一、单项选择题(每题2分,共20分)1. 以下哪种流体是不可压缩的?A. 水B. 空气C. 油D. 气体答案:A2. 根据伯努利方程,流体的动能和势能之和是:A. 恒定的B. 变化的C. 与流速无关D. 与压力无关答案:A3. 在流体力学中,雷诺数是用来描述流体流动的哪种特性?A. 密度B. 粘度C. 惯性力与粘性力的比值D. 压力答案:C4. 马赫数是用来描述流体流动的哪种特性?A. 速度B. 压力C. 温度D. 密度答案:A5. 以下哪种翼型设计用于提高升力?A. 平直翼型B. 驼峰翼型C. 后掠翼型D. 前掠翼型答案:B6. 在亚声速流动中,激波波前的角度是:A. 90度B. 0度C. 钝角D. 锐角答案:D7. 根据普朗特-迈耶尔流动理论,当气流绕过一个凸角时,流动会:A. 减速并膨胀B. 加速并膨胀C. 减速并压缩D. 加速并压缩答案:B8. 在超音速流动中,激波波前的角度是:A. 90度B. 0度C. 钝角D. 锐角答案:C9. 以下哪种现象与流体流动的边界层分离有关?A. 升力B. 阻力C. 马赫锥D. 激波答案:B10. 在流体力学中,柯西-黎曼条件是用于描述哪种流体现象的?A. 势流B. 涡流C. 粘性流D. 压缩流答案:A二、填空题(每题2分,共20分)1. 流体的连续性方程表明,在没有质量源或汇的情况下,流体的______是恒定的。
答案:质量流量2. 根据牛顿第二定律,作用在流体上的力等于流体的______乘以其加速度。
答案:质量3. 在流体力学中,压力是单位面积上的______。
答案:力4. 马赫锥是超音速流动中的一种现象,它与物体相对于流体的______有关。
答案:速度5. 激波是一种流体动力学现象,它发生在流体速度超过______时。
6. 流体的粘性是由其内部分子的______引起的。
答案:摩擦7. 在流体力学中,雷诺数是无量纲数,它描述了流体流动中的______效应。
北京航空航天大学《空气动力学》空气动力学试题2006年-1a标准答案北京航空航天大学2005,2006 学年第二学期(标准答案)考试统一用答题册考试课程空气动力学,?,,A卷,班级成绩姓名学号2006年7月日一、选择题,在所选括号内打?可多选,每小题4分,共16分, 1(静止流体中压强的各向同性指a. 各点压强相等 ( )b. 各点各方向的压强相等 ( )c. 同一点处各个方向的压强相等( ? )d. 以上答案均不是 ( )2. 流体的粘滞性是指a(抵抗流体平动的能力 ( )b(抵抗流体转动的能力 ( )c(抵抗流体变形运动的能力( ? )d(以上答案均不是 ( )3(以下说法正确的是a. 流体微团的基本运动形式为平动、转动与变形运动 ( ? )b. 直匀流时流体微团的基本运动形式为平动 ( ? )c. 在有势流(位流)中流体微团的基本运动形式不包括转动 ( ? )d. 在边界层流动中流体微团的基本运动形式为平动、转动和变形 ( ? )4(在绝热、无外功加入条件下,以下说法正确的是:a. 流体质点总是从高处流向低处 ( )b. 流体质点总是从高压流向低压 ( )c. 流体质点总是从高温流向低温 ( )d. 流体质点总是从机械能高处流向机械能低处( ? )二、填空题,在括号内填写适当内容,每小题4分,共16分, 1(N-S方程与Euler运动方程的主要区别是( 在N-S方程中,多了粘性项 ), ,,,,u,dr2(沿空间封闭曲线L的速度环量定义为( ),如果有涡量不为零的涡线,穿过该空间曲线所围的空间,则上述速度环量等于,,,,,,,,,,,( )。
udr2d,,,3(一维定常理想不可压流伯努利方程(欧拉方程沿流线的积分)写为p12( );一维定常绝热流能量方程写为,V,Const.,2,p12( )。
,V,Const.,,,124(如图,当亚声速流过收缩管道或超声速流过收缩管道时,流动参数的变化趋势为:M > 1 M < 1亚音速超音速面积A 减小减小速度V (增大) ( 减小 )压力P (减小) (增加 )密度ρ (减小) ( 增加 )温度T (减小 ) ( 增加 )减小 ) 马赫数M (增大 ) (三、简答题,每小题5分共20分,1(证明在理想不可压缩平面势流中,等势线和等流函数线正交。
2号1、下列说法不正确的是:CA、气体的动力粘性系数随温度的升高而升高。
B、液的动力粘性系数随温度的升高而降低。
C、有黏静止流体的压强为三个互相垂直方向的法向应力的平均值。
D、有黏运动流体的压强为三个互相垂直方向的法向应力的平均值。
2、下列说法不正确的是:DA、欧拉法认为引起流体质点速度变化的原因有流场的不均匀性和非定常性。
B、迁移加速度中的任何一项都是速度分量与同一方向的导数的乘积。
C、随体导数可用于P,T,V。
D、流体质点的迹线表示同一质点不同时刻的轨迹线,流线在同一时刻由不同流体质点组成,两者一定不重合。
3、下列说法正确的是:AA、对于密度不变的不可压流,速度的散度必为0。
B、对于密度不变的不可压流,速度的旋度必为0。
C、对于密度不变的不可压流,一定有位函数。
D、对于无旋流,速度的散度必为0。
4、下列说法正确的是:BA、连续方程只适用于理想流体。
B、伯努利方程只适用于理想流体的定常流动。
C、欧拉运动微分方程只适用于无旋流体。
D、雷诺运输方程只适用于理想流体的定常流动。
5、下列说法不正确的是:CA、流体的粘性是指流体抵抗剪切变形的能力。
B、流体的粘性剪应力是指由流体质点相对运动而产生的应力。
C、粘性静止流体具有抵抗剪切变形的能力。
D、粘性运动流体具有抵抗剪切变形的能力。
3号1、流体的易流动性是指 cA、在任何情况下流体不能承受剪力B、在直匀流中流体不能承受剪力C、在静止状态下流体不能承受剪力D、在运动状态下流体不能承受剪力2、下列关于流体压强的各向同性描述不正确的是 dA、静止状态下的粘性流体内压强是各向同性的B、静止状态下的理想流体内压强是各向同性的C、运动状态下的理想流体内压强是各向同性的D、运动状态系的粘性流体内压强是各向同性的3、下列关于流向的描述不正确的是 dA、流线上某点的切线与该点的微团速度指向一致B、在定常流动中,流体质点的迹线与流线重合C、在定常流动中,流线是流体不可跨越的曲线D、在同一时刻,一点处不可能通过两条流线4、下列关于不可压流体的表述正确的是 cA、不可压流体的密度一定处处相等B、密度在空间上处处均匀一定是不可压流体C、ρ=c 的流体必然是不可压流体D、如果流线是一系列平行线,一定是不可压流体5、下列表述正确的是 dA、理想流体的流动是无旋流动B、理想不可压缩流体的流动是无旋流动C、流体质点的变形速率为零的运动是无旋流动D、理想不可压缩流体无旋流动的势函数满足拉普拉斯方程4号1.下列选项中说法正确的是( D )A.流体质点是微观上组成流体的最小单元(应该是宏观上组成流体的最小单元)B.连续介质的适用条件是研究对象的宏观尺寸和物质结构的微观尺寸量级相当的情况(研究对象的宏观尺寸和物质结构的微观尺寸量级相当这种情况连续介质模型将不适用,因为这种情况分子运动的微观行为对宏观运动有着直接的影响)C.空气动力学关注的是个别分子的微观特征而不是宏观特征(关注的是宏观特征而不是个别分子的微观特征)D.流体的弹性模量E都较大,通常可视为不可压缩流体;但是气体的弹性模量E都较小,且与热力学过程有关,故气体具有压缩性2.下列选项中说法错误的是( A )A.流体无论在静止状态还是运动状态都可以承受剪切力(在静止状态下流体不能承受剪力,但是在运动状态下,流体可以承受剪力)B.在均匀的速度场中,两层相邻流体的分子由于热运动而相互交换位置,不会产生动量的运输C.对于流体的粘性,层间的抵抗力一般为摩擦力或剪切力D.牛顿粘性应力公式表明,粘性剪切应力与速度梯度有关,与物性有关3.下列选项中说法错误的是( B )A.空间点法是着眼于个别空间位置,观测不同时刻不同流体质点所通过时的流体质点运动行为B.欧拉法研究流程时,仅仅只有离散的数据点是不能描绘出流场的(错在即使没有解析表达式,只要有离散的数据点就可以描绘出流场)C.欧拉法描述流体加速度时,全加速度包括局部加速度和迁移加速度D.欧拉法表示的流场速度和加速度实质是指瞬时恰好通过该点的流体质点所具有的速度和加速度4.下列选项中说法正确的是( C )A.流线是同一流体质点走过的轨迹(流线是某瞬时,空间曲线的切线和该点的微团速度指向一致的线)B.迹线是对横向的间隔空间点按等时间间隔进行染色形成的染色线(迹线是同一流体质点走过的轨迹)C.染色线是对同一空间点连续染色后形成的染色线D.流动会穿越过流面(流面是流动不会穿越的一个面)5.下列选项中说法错误的是( A )A.位函数是无论无旋流还是有旋流都有的(无旋才有位(势)函数)B.相对体积膨胀率是指单位体积在单位时间内的增长量C.不可压缩流体的密度并不一定处处都是常数D.在系统的边界上没有质量的交换,在控制面上可以发生质量交换5号1. 下列说法中正确的是()A.流体在无限小的剪切力作用下将不会发生变形B.只有不可压缩流体在任意小的剪切力作用下发生连续变形C.剪切力消失,流体变形不会立刻停止D.流体的角变形量与剪切力τ的大小和持续时间有关2. 下列说法中正确的是()A. 密度一定时,气体的弹性与声速成正比B. 流体在运动状态下不可以承受剪力C. 流体中的外法向应力为压强pD. 理想流体的内部应力只有压强3. 下列说法中正确的是()A.迹线等同于流线B.速度的随体导数等于当地加速度+迁移加速度C.在非定常流动中,迹线与流线重合D.定常流动中,流线可穿越4. 下列说法中正确的是()A.平面微团的旋转角速度等于2倍rotVB.流体速度分解定理对整个刚体都成立C.不可压表示流体各质点密度相同D.只有密度同时满足不可压与均值才能等于常数5. 下列说法中正确的是()A.在彻体力有势的条件下,单位体积的流体微团沿特定曲线的势能、压能及动能之和为常数B.v=ψ/xC.只有理想无旋的流体才有流函数D.Cp=(p∞-p)/ρV∞26号下面有“流体的粘性”说法正确的是:(多选)AC河里的流水,靠岸处的水流速度小于河中心的水流速度,是因为水的粘性。
(1~6)一、概念1、理想流体:忽略粘性的流体。
2、粘性:当流体各流层间发生相对滑移时,流体内部表现出阻碍这种相对滑移的性质。
3、完全气体:忽略气体分子的体积,忽略分子间引力和斥力,忽略碰撞完全弹性。
4、等温压缩系数:在可逆定温过程中,压力每升高一个单位体积的缩小率。
5、绝热压缩系数:在可逆绝热过程中,压力每升高一个单位体积的缩小率。
6、热胀系数:在准平衡等压过程中,温度每升高一个单位体积的膨胀率。
7、功率系数:风(空气)实际绕流风机后,所产生的功率与理论最大值P max=1/2ρV02A之比。
8、贝兹极限:功率系数的最大值,其数值为0.593。
9、弦长:前、后缘点所连接直线段的长度。
10、骨架线(中轴线):风力机叶片截面上内切圆圆心的连线。
11、弯度、最大弯度:中轴线与几何弦长的垂直距离称为弯度;中轴线上各点弯度不同,其中最大值为最大弯度。
12、拱度、最大拱度:截面上弦的垂线与轮廓线有两个交点,这两个交点之间的距离称为拱度;截面上弦的垂线上的拱度不同,其中最大值为最大拱度。
13、NACA4412:“NACA”,美国航空总局标志;第一个“4”,表示最大弯度出现在弦上距前缘点4/10弦长处;第二个“4”,表示最大弯度为弦长的4%;“12”表示最大拱度为弦长的12%。
14、简述绕流翼型产生升力的原因。
无穷远处均匀来流,绕流如图所示翼型,在尾部锐缘点处产生一个逆时针的漩涡,均匀来流无涡,因此在翼型表面形成一个与尾涡大小相当,方向相反,顺时针漩涡,使上表面流速加快,下表面流速减慢,由伯努利方程,上表面流速减慢,压力增大,上下表面压差产生升力。
15、写出理想流体的伯努利方程(不计重力),并说明其物理意义。
P+1/2ρV2=常数(P/ρ+1/2=常数)物理意义:流体压力势能与动能之间相互转化,二者之和守恒。
16、简述风能本身及当前风力发电产业链的优缺点。
风能本身优点:清洁、可再生、无污染、分布广缺点:过于分散、难于收集、稳定性差风力发电产业链优点:可再生、分布广缺点:过于分散、难于集中与控制、稳定性差、使用寿命短、成本高17、风力机叶轮转速是多少?20~50r/min励磁电机转速是多少?1000r/min、1500r/min、3000r/min如何实现变速?通过变速齿轮箱来实现二、图表分析与简答。
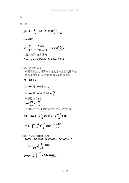
钱第一章 1.1解:)(k s m 84.259m k R 22328315•===-RT p ρ=36m kg 63.5063032.5984105RT P =⨯⨯==ρ 气瓶中氧气的重量为354.938.915.0506.63G =⨯⨯==vg ρ1.2解:建立坐标系根据两圆盘之间的液体速度分布量呈线性分布 则离圆盘中心r ,距底面为h 处的速度为0u kn u +=当n=0时 u=0推出0u 0= 当n=h 时 u=wr 推出hwr k =则摩擦应力τ为hwr u dn du u ==τ上圆盘半径为r 处的微元对中心的转矩为θθτdrd hwr u r rdrd h wr u r dA d 3=⋅=⋅=T则⎰⎰==T 2D 0332032D u drd hr uωπθωπ1.4解:在高为10000米处T=288.15-0.0065⨯10000=288.15-65=223.15压强为⎪⎭⎫ ⎝⎛=T a T Pa P 5.2588MKN43.26Ta T pa p 2588.5=⎪⎭⎫ ⎝⎛=密度为2588.5T a T a ⎪⎭⎫⎝⎛=ρρmkg4127.0Ta T a 2588.5=⎪⎭⎫⎝⎛=∴ρρ1-7解:2M KG 24.464RTPRT p ==∴=ρρ空气的质量为kg 98.662v m ==ρ第二章2-2解流线的微分方程为yx v dyv dx =将v x 和v y 的表达式代入得ydy xdx yx 2dyxy 2dx 22==, 将上式积分得y 2-x 2=c ,将(1,7)点代入得c=7 因此过点(1,7)的流线方程为y 2-x 2=482-3解:将y 2+2xy=常数两边微分 2ydy+2xdx+2ydx=0整理得ydx+(x+y )dy=0 (1) 将曲线的微分方程yx V dy V dy =代入上式得 yVx+(x+y )V y =0 由22y 2xy 2x V ++=得 V x 2+V y 2=x 2+2xy+y 2 ((2)由(1)(2)得()y v y x v y x =+±=,2-5解:直角坐标系与柱坐标系的转换关系如图所示 速度之间的转换关系为{θθθθθθcos v sin v v sin v cos v v r y r x +=-=由θθθθθθcos r1y v sin yrsin r 1xvcos x rrsin y rcos x =∂∂=∂∂⎪⎩⎪⎨⎧-=∂∂=∂∂⇒⎭⎬⎫==()()⎪⎭⎫⎝⎛--∂∂+-∂∂=∂∂∂∂+∂∂⋅∂∂=∂∂θθθθθθθθθsin r 1sin V cos V cos sin V cos V r x v v x r r v x v r r x x xθθθθθθθθθθθθθsin cos V sin V sin V cos V r 1cos sin r V cos r V r r r ⎪⎭⎫ ⎝⎛-∂∂--∂∂-⎪⎭⎫ ⎝⎛∂∂-∂∂=θθθθθθθθθθθθθθcos sin V r1sin V r 1sin V r 1cos sin V r 1cos sin r V cos r V 22r r 2r +∂∂++∂∂-∂∂-∂∂=()()θθθθθθθθθcos r1cos V sin V sin cos V sin V r y v v V y r V V V V r r y x y xy +∂∂++∂∂=∂∂⋅∂∂+∂∂⋅∂∂=∂∂θθθθθθθθθθθθθcos r1sin V cos V cos V sin V sin cos r V sin r V r r r ⎪⎭⎫ ⎝⎛-∂∂++∂∂+⎪⎭⎫ ⎝⎛∂∂+∂∂=θθθθθθθθθθθθθcos sin V r1cos V r 1cos V r 1cos sin v V r 1cos sin r V sin r V 22r r 2r -∂∂++∂∂+∂∂+∂∂=zV V V r 1r V z V y V x V div z r r z y x ∂∂+⎪⎭⎫ ⎝⎛∂∂++∂∂=∂∂+∂∂+∂∂=∴θυθ2-6解:(1)siny x 3x V 2x -=∂∂ siny x 3y V 2y =∂∂ 0yV x V yx =∂∂+∂∂ ∴此流动满足质量守恒定律(2)siny x 3x V 2x =∂∂ siny x 3y V 2y =∂∂ 0siny x 6y V x V 2y x ≠=∂∂+∂∂ ∴此流动不满足质量守恒定律(3)V x =2rsin rxy2=θ V y =-2rsin 2ry 22-=θ33ry 2x Vx =∂∂332yr 2y y x 4y V +-=∂∂0ryx 4y V x V 32y x ≠-=∂∂+∂∂ ∴此流动不满足质量守恒方程(4)对方程x 2+y 2=常数取微分,得xdy dy dx -= 由流线方程yx v dy v dx =(1) 由)(得2r k v v r k v 422y 2x =+=由(1)(2)得方程3x r ky v ±= 3yr kxv = 25x r kxy3x V =∂∂∴25y rkxy 3yV ±∂∂0yV x V yx =∂∂+∂∂ ∴此流动满足质量守恒方程2—7解:0xVz V 0r yz 23r yz 23z V y V z x 2727y z =∂∂-∂∂=⋅+⋅-=∂∂-∂∂同样 0y V x V x y =∂∂-∂∂ ∴该流场无旋()()()2322222223222z y x z y x z y x d 21zy xzdzydy xdx dz v dy v dx v d ++++⋅=++++=++=Φ c zy x 1222+++-=Φ∴2—8解:(1)a x V x x =∂∂=θ a yV y y =∂∂=θ a z Vz z -=∂∂=θ 021v ;021v ;021v z y x =⎪⎪⎭⎫ ⎝⎛∂∂+∂∂==⎪⎭⎫ ⎝⎛∂∂+∂∂==⎪⎪⎭⎫ ⎝⎛∂∂+∂∂=y V x V x V z V z V x V x x z x y z (2)0y V x V 210x V z V 210z V y V 21x y z z x y y z x =⎪⎪⎭⎫⎝⎛∂∂-∂∂==⎪⎭⎫ ⎝⎛∂∂-∂∂==⎪⎪⎭⎫ ⎝⎛∂∂-∂∂=ωωω;; 位该流线无旋,存在速度∴ (3)azdz 2aydy axdx dz v dy v dx v d z y x -+=++=ϕc az ay 21ax 21222+-+=∴ϕ2—9解:曲线x 2y=-4,()04y x y x f 2=+=, 切向单位向量22422422y2x 2y2x yx 4x xy 2i yx 4x x j f f fx i f f fy t +-+=+-+=t t v v v t ⋅∇=⋅=∇=ϕϕ切向速度分量 把x=2,y=-1代入得()()j x 2x i y x 2x j yi x v 2+-+--=∂∂+∂∂=∇=ϕϕϕj 21i 21j y x 4x 2xy i y x 4x x t 2242242+=⎪⎪⎭⎫ ⎝⎛+-+= 23t v v t -=⋅= j 23i 23j 21i 2123t v v t t --=⎪⎭⎫⎝⎛+-==2—14解:v=180h km =50s m根据伯努利方程22V 21V 21p ρρρ+=+∞∞ pa p =∞ 驻点处v=0,表示为1531.25pa 501.22521V 21pa p 22=⨯⨯==-∞ρ相对流速为60s m 处得表 示为75.63760225.12125.1531V 21V 21pa p 222-=⨯⨯-=-=-∞ρρ第三章3—1解:根据叠加原理,流动的流函数为()xy arctg 2Q y V y x πϕ+=∞, 速度分量是22y 22x yx y2Q x V y x x 2Q V y V +⋅=∂∂-=+⋅+=∂∂=∞πϕπϕ; 驻点A 的位置由V AX =0 V Ay =0求得 0y V 2Qx A A =-=∞;π 过驻点的流线方程为2x y arctg 2y x y arctg 2y y Q V Q V A A A =+=+∞πθπ θθππθππsin 2r x y arctg 2y -⋅=⎪⎭⎫ ⎝⎛-=∞∞V V Q 或即 在半无限体上,垂直方向的速度为θπθθππ-sin v r sin 2y x y 2v 222y ∞==+=Q Q 线面求极值()0-sin v -cos sin v 2d dv 22y=+=∞∞θπθθπθθθ 当0sin =θ 0v v min y y == 2-tg -=θπθmaxyy v v =用迭代法求解2-tg -=θπθ得 取最小值时,y 1v 2183.1139760315.1==θ取最大值时,y 2v 7817.2463071538.4==θ由θπθθππ-sin v r sin 2y x y 2v 222y ∞==+=Q Q θπθθθππ-cos sin v r cos 2v y x x 2v v 22x +=+=++=∞∞∞Q Q 可计算出当∞∞===v 6891574.0v v 724611.0v x y 1,时,θθ 6891514.0v v 724611.0v x y 2=-==∞,时,θθ 合速度∞=+=v v v 2y 2x V3—3解:设点源强度为Q ,根据叠加原理,流动的函数为 xa3-y arctg2a x y arctg 2a x y arctg 2πθπθπθϕ+++-=两个速度分量为()()()⎥⎥⎦⎤⎢⎢⎣⎡+++++++--=222222a 3-y x xy a x a x y a x a x 2x πθ()()()⎥⎥⎦⎤⎢⎢⎣⎡++++++-=222222y a 3-y x a3-y y a x y y a x y 2v πθ 对于驻点,0v v y x ==,解得a 33y 0x ==A A ,3—4解:设点源的强度为Q ,点涡的强度为T ,根据叠加原理得合成流动的位函数为Q ππθϕ2lnr 2Γ+= πθϕπθϕθ2r 1r 12r 1r r Γ=∂∂==∂∂=V V ; 速度与极半径的夹角为Qarctg arctg r Γ==V V θθ3—5根据叠加原理得合成流动的流函数为⎪⎪⎭⎫ ⎝⎛+--+=∞y a y yaarctg a y y aarctg V ϕ 两个速度分量为()()()()⎥⎦⎤⎢⎣⎡++---+++=∂∂=∞1y v 2222x y a x a x a y a x a x a V ϕ()()⎥⎦⎤⎢⎣⎡+--++=∂∂-=∞2222y y v y a x yy a x y a V ϕ 由驻点()0a 30,得驻点位置为±==y x v v零流线方程为0ay yaarctg a y y xaarctg y =--++∞∞V V对上式进行改变,得⎪⎭⎫ ⎝⎛-=-+a y tan ay2a y x 222当0x =时,数值求解得a 03065.1y ±=3—9解:根据叠加原理,得合成流动的流函数为a y y arctg 2a y y arctg 2y v -++-=∞ππϕQ Q速度分量为()()2222x ya x ax 2y a x a x 2y v v +-+++++-=∞ππQ Q ()()2222y y a x ax 2y a x a x 2v +-+++++-=ππQ Q 由0v v y x ==得驻点位置为⎪⎪⎭⎫ ⎝⎛+±∞0v a a 2,πQ 过驻点的流线方程为ay yarctg 2a y y arctg 2y v =-++--∞ππQ Q 上面的流线方程可改写为ay yarctg a y y arctg y v 2--+=∞Q π 222a y x ay2a y y arctg a y y arctg tan y v 2tan -+=⎪⎪⎭⎫ ⎝⎛--+=⎪⎪⎭⎫ ⎝⎛∴∞Qπ 容易看出y=0满足上面方程当0y ≠时,包含驻点的流线方程可写为⎪⎭⎫ ⎝⎛-=-+∞Q y v 2tan ay2a y x 222π当12v a ===∞πQ 时,包含驻点的流线方程为tanyy21y x 22--=-+3—10解:偶极子位于原点,正指向和负x 轴夹角为α,其流函数为 22yx xsin ycos 2+--=ααπϕM 当45=α时 22yx xy 222+--=πϕM3—11解:圆柱表面上的速度为a2sin v 2v πθΓ--=∞ 222222a4a 2sin v 4v ππθΓ+Γ=∞ 222222v a 4av 2sin 4sin 4v v ∞∞∞Γ+Γ+=⎪⎪⎭⎫ ⎝⎛ππθθ压强分布函数为222p v asin 41sin 41v v 1⎪⎪⎭⎫ ⎝⎛Γ+-=⎪⎪⎭⎫ ⎝⎛-=∞∞θπθC第四章4—1解:查表得标准大气的粘性系数为nkg 1078.1u 5-⨯=65el 1023876.11078.16.030225.1u ⨯=⨯⨯⨯==-∞L V R ρ 平板上下两面所受的总得摩擦阻力为N S V L R F 789.021e 664.0222=⨯⨯=∞ρ 4—2解:沿边阶层的外边界,伯努利方程成立代表逆压梯度代表顺压梯度,时;当时当0m 0m 00m 00m m v v v 21p 12201002〈〉∴〉∂∂〈〈∂∂〉-=-=∂∂-=∂∂=+--xpx p x v x v x v xx p c m m m ρρρρδδδ4—4解:(a )将2x y 21y 23v v ⎪⎭⎫ ⎝⎛-⎪⎭⎫ ⎝⎛=δδδ带入(4—90)中的第二式得δδδδδ28039dy vv 1v v 0x x =⎪⎪⎭⎫ ⎝⎛-=⎰**由牛顿粘性定律δτδu u 23y v u 0y x w =⎪⎪⎭⎫ ⎝⎛∂∂==下面求动量积分关系式,因为是平板附面层0dx dv =∴δ积分关系式可表示为dxd v 2w **=δρτδ 将上述关系式代入积分关系式,得δρδδv dxud 14013=边界条件为x=0时,0=δ 积分上式,得平板边界层的厚度沿板长的变化规律()64.428039646.0x x x64.4ll ⨯==∴=**R R δδ(b )()74.164.483x x 83dy v v 1lx =⨯=∴=⎪⎪⎭⎫ ⎝⎛-=*∞*⎰R δδδδ(c )由(a )知()64.4x x l =R δ(d )646.0x x646.0v 21324xx 64.4u23l f l 2wf l w =∴====R C R C R δρτδδδτ)得—由(; (e )单面平板的摩擦阻力为()292.1x x 292.1s v 21b bdx v 21l f l 2f l02f=∴===⎰R C R X C C X F F δδρρ摩阻系数为假设版宽为4—6解:全部为层流时的附面层流厚度由式(4—92)得()01918.048.5L e ==LR Lδ 全部为湍流时的附面层流厚度由式(4—10)得()0817.037.0L 51e ==-LLR δ第五章5-1 一架低速飞机的平直机翼采用NACA2415翼型,问此翼型的f ,f x 和c 各是多少?解:此翼型的最大弯度f =2% 最大弯度位置f x =40% 最大厚度c =15%5-2 有一个小α下的平板翼型,作为近似,将其上的涡集中在41弦点上,见图。
北航空气动力学期末考试题及答案一、选择题(每题2分,共10分)1. 以下哪项不是流体的基本属性?A. 质量B. 温度C. 密度D. 粘性答案:A2. 流体静压与流体的哪个物理量无关?A. 密度B. 重力加速度C. 速度D. 高度答案:C3. 流体流动中,流线与等速线的关系是什么?A. 流线与等速线重合B. 流线与等速线垂直C. 流线与等速线平行D. 流线与等速线相交答案:B4. 根据伯努利方程,流体流速增加时,其压力如何变化?A. 增加B. 减少C. 保持不变D. 先增加后减少答案:B5. 马赫数是如何定义的?A. 速度与声速的比值B. 速度与光速的比值C. 速度与重力加速度的比值D. 速度与流体密度的比值答案:A二、填空题(每题2分,共10分)1. 流体的连续性方程表明,在不可压缩流体中,流速与截面积成________关系。
答案:反比2. 当流体的雷诺数小于2300时,流体流动处于________状态。
答案:层流3. 在流体力学中,马赫锥是用于描述________现象的几何图形。
答案:激波4. 根据牛顿第二定律,作用在流体上的力等于流体质量与________的乘积。
答案:加速度5. 流体的粘性系数μ与流体的________成正比。
答案:温度三、简答题(每题10分,共20分)1. 简述流体的粘性对流动的影响。
答案:流体的粘性对流动的影响主要体现在边界层的形成和流动的阻力上。
粘性较大的流体在流动时会在固体表面附近形成边界层,边界层内流体速度梯度较大,导致能量损失和阻力增加。
同时,粘性还会影响流体的层流和湍流状态,粘性较大的流体更容易维持层流状态,而粘性较小的流体则容易形成湍流。
2. 描述伯努利方程的物理意义及其在航空中的应用。
答案:伯努利方程描述了流体在流动过程中能量守恒的物理现象,即流体的总能量(包括动能、势能和压力能)在流动过程中保持不变。
在航空中,伯努利方程被用于解释和计算飞机机翼的升力。
根据伯努利方程,机翼上方的流速快于下方,导致上方压力低于下方,从而产生升力。
x y z np p p p ===θd 北京航空航天大学2007~2008第二学期空气动力学期末考试真题(附答案)(问答题与计算题部分)一、问答题1、请结合图描述理想流体微团与粘性流体微团在运动与静止状态下的受力差别。
答:(1)静止状态:理想流体与粘性流体均不能承受切向应力,法向应力即为压强在各个方向上相等。
(2)运动状态:理想流体不能承受切向应力,流体微团受力情况与静止状态下相同。
粘性流体由于存在粘性,可以承受切向应力,而且剪应力与压强无关,与角变形率成正比。
d dudt dyθτμμ==x y z ucxvcy w zθθθ∂==∂∂==-∂∂==∂2、请分别写出流体微团平动速度、旋转角速度、线变形速率与角变形速率的表达式。
答:平动速度: u,v,w旋转角速度: 线变形速率: 角变形速率: 3、试分析产生压差阻力的原因。
答:粘性力阻滞流体质点运动,使流体质点减速失去动能,在一定的逆压梯度下,来流与边界层发生分离,在分离点后出现低压区,大大增加了绕流物体的阻力,这就就是压差阻力。
4、请说明微弱扰动在亚声速流场与超声速流场中传播时的差别。
答:亚声速流场中微小扰动可遍及全流场,气流没有达到扰源之前已经感受到它的扰动,逐渐改变流向与气流参数以适应扰源要求;而在超声速流场中,小扰动不会传到扰源上游。
二、计算题1、有不可压流体做定常运动,其速度场为:,,u cx v cy w cxy ==-= 求:(1)线变形率、角变形率; (2)流场就是否有旋;(3)就是否有速度位函数存在,如果有请写出表达式。
解:(1)线变形率:11221122102x y z w v cxy z u w cy z x v u x y ⎛⎫∂∂=+= ⎪∂∂⎝⎭∂∂⎛⎫=+= ⎪∂∂⎝⎭⎛⎫∂∂=+ ⎪∂∂⎝⎭γγγ1A 1P 2A 2P角变形率:(2)由于 因此,流场有旋。
(3)不存在速度位函数。
2、一维定常不可压缩流体流动,密度不变为ρ,如图所示,管道两端截面积分别为1A 、2A ,压强分别为1P 、2P ,求该管道的体积流量 Q 。
5-1 一架低速飞机的平直机翼采用NACA2415翼型,问此翼型的f ,f x 和c 各是多少?解:此翼型的最大弯度f =2% 最大弯度位置f x =40% 最大厚度c =15%5-2 有一个小α下的平板翼型,作为近似,将其上的涡集中在41弦点上,见图。
试证明若取43弦点处满足边界条件,则αl C =2π 1-rad解:点涡在41处,在43处满足边界条件,即bv v 42''43απω⋅Γ-==代入边界条件表达式 α∞∞-=v dxdy v v f '中,απ∞-=Γ-v b∴απ∞=Γbv ∴升力Γ=Y ∞v ραπρ∞∞⋅=bv vαπρb v ⋅=∞2παρ2212=⋅Y =∞b v C yπαα2==∴d dC C y y 1-rad5-3 小迎角下平板翼型的绕流问题,试证明)(θγ可以有以下两种形式的解:1)αθθθγ∞⋅=v 2sin cos )( 2) αθθθγ∞⋅+=v 2sin cos 1)( 而解1)满足边界条件,解2)不满足边界条件。
解:迎角弯度问题的涡强方程为)()(210αξξγπ-=-∞⎰dxdyv x d b(*)置换变量后,上面方程化为⎰-=--∞παθθπθθθγ01)()cos (cos 2sin )(dxdy v d f对1) αθθθγ∞⋅=v 2sin cos )( 带入方程(*)左⎰-⋅-=∞πθθπθθαθθ1)cos (cos 2sin 2sin cos d v⎰--=∞πθθπθθα01)c o s (c o s 2c o s 2d v⎰--⋅=∞πθθθθπα1c o s c o s c o sd vπαθθπ∞⋅-=v 11s i n s i nα∞-=v右αα∞∞-=-=v v )( 故方程满足对于2), αθθθγ∞⋅+=v 2sin cos 1)( 代入方程(*)左⎰-⋅+-=∞πθθπθθαθθ01)cos (cos 2sin 2sin cos 1d v⎰-+-=∞πθθπθθα01)c o s (c o s 2)c o s 1(2d v⎰-+-=πθθθθ01c o s c o s )c o s 1(dπαθθθθθθθππ∞⎰⎰----=v d d )c o s c o s c o s c o s c o s (0011παθθπθπ∞--=v )s i n s i n s i n 0(111=-=∞αv 右 故方程满足后缘条件: ①αθθθγ∞⋅=v 2sin cos )( 当πθ=后缘处 02s i n c o s≠-∞=⋅=∞αππγv 故不满足后缘处0=γ的条件 ② αθθθγ∞⋅+=v 2sin cos 1)(πθ=后缘处,ααππγ∞∞=⋅+=v v 202sin cos 1 当πθ→时取极限θθsin cos 1lim+θθcos sin 0lim -=ππcos sin 0-=01=-= 故πθγ==0 满足后缘条件5-4 NACA2412翼型中弧线方程是 ]80.0[812x x y f -=前4.00≤≤x ]80.020.0[0555.02x x y f -+=后 0.14.0≤≤x 见图。
空气动力学及飞行原理试题研究飞机运动时选用的机体坐标,哪种说法正确?以飞机中心为原点,纵轴和横轴确定的平面为对称面以全机焦点为原点,纵轴和立轴确定的平面为对称面以压力中心原点,纵轴和横轴确定的平面为对称面以飞机重心为原点,纵轴和立轴确定的平面为对称面(正确答案)交叉力矩是指哪两种力矩?由滚转运动引起的偏航力矩(正确答案)由滚转运动引起的横滚力矩由偏航运动引起的偏航力矩由偏航运动引起的横滚力矩(正确答案)下列关于操纵面配重的说法正确的是?与分散式配重相比,集中式配重增加的阻力较小分散式配重比集中式配重的防颤振作用好(正确答案)在操纵面的前缘安装配重的目的是为了防止飞机操纵面发生颤振(正确答案)在操纵面的前缘安装配重的目的是增加飞机的升力大型高速运输机如何防止的荷兰滚运动发生?在方向舵操纵系统中安装偏航阻尼器(正确答案)采用上反角采用后掠角采用差动副翼确定飞机在空中运动特性的基本方法是把飞机看作一个刚体,用飞机()的运动轨迹代替整架飞机的运动轨迹中心重心(正确答案)机头机身中点对于大部分民航客机来说,以下哪种方法可以增加飞机的纵向静稳定性? 增大机翼增大垂尾增大水平尾翼(正确答案)B+C飞机绕横轴的稳定性称为?纵向稳定性(正确答案)方向稳定性侧向稳定性偏航稳定性飞机在空中运动的自由度共有几个3456(正确答案)作用在飞机上的外载荷达到平衡状态应满足几个平衡方程?3456(正确答案)相对来流气流与飞机对称面之间的夹角称为()?俯仰角偏航角滚转角侧滑角(正确答案)安定面自动配平功能提高飞机()方向上的稳定性俯仰(正确答案)横滚偏航俯仰、倾斜和偏航描述飞机在空中态的姿态角有哪些?俯仰角(正确答案)偏航角(正确答案)滚转角(正确答案)侧滑角飞机等速爬升时,所需的升力与飞机力的关系以及所需的推力与飞行阻力的关系分别是什么?所需的升力小于飞机重力;所需的推力大于飞行阻力(正确答案)所需的升力大于飞机重力;所需的推力大于飞行阻力所需的升力小于飞机重力;所需的推力小于飞行阻力.所需的升力大于飞机重力;所需的推力小于飞行阻力在零推力状态下,下滑角和下滑距离与机重的关系是什么?下滑角和下滑距离与飞机重量无关(正确答案)下滑角和下滑距离随着飞机重量的增大而增大下滑角和下滑距离随着飞机重量的减小而减小下滑角随着飞机重量的增大而增大;下滑距离随着飞机重量的减小而减小各种襟翼都可以显著地提高机翼的升力系数,一般来说哪一种襟翼的增升效果更好? 开缝式襟翼简单襟翼分裂式襟翼后退开缝式襟翼(正确答案)混合副翼中的内侧副翼与外侧副说法正确的是?内侧副翼也称为低速副翼,外侧副翼也称为全速副翼内侧副翼也称为全速副翼,外侧副翼也称为低速副翼(正确答案)高速飞行时只使用外侧副翼对飞机进行侧向操作内侧副翼一般安装在飞机大翼的前缘克鲁格襟翼在使用中如何加大翼型弯度?前缘部分下表面向前张开一个角度(正确答案)前缘部分向下偏转前缘部分与机翼分离向前伸出前缘部分下表面向内凹入属于增升装置的辅助操纵面是()?扰流板副翼前缘襟翼(正确答案)减速扳偏航阻尼功能控制()舵面升降舵副翼方向舵(正确答案)安定面现代民用运输机使用安装角可变的水平安定面的功用是什么?升降舵偏转时,水平安定面可以随之自动偏转,减轻飞行员操纵飞机的劳动强度增加飞机的纵向稳定性达到飞机纵向力矩配平(正确答案)配合襟翼系统增加飞机升力飞行员操纵飞机使飞机的升力发生变化产生的过载称为什么升力过载突风过载机动过载(正确答案)正过载飞机水平转弯时,升力与飞机重的关系是什么?升力总是大于飞机的重量(正确答案)升力总是小于飞机的重量升力总是等于飞机的重量升力与重量的关系与飞机水平转弯角度大小有关在飞机升降舵上采用气动补偿的目的是()实现飞机的纵向配平保证飞机的纵向稳定性减小升降舵的铰链力矩(正确答案)驱动升降舵偏转飞机的纵向操纵性是指()飞机按照操纵指令,绕横轴转动,增大或减少迎角,改变原飞行姿态的能力(正确答案)飞机按照操纵指令,绕纵轴滚转,改变原飞行姿态的能力飞机按照操纵指令,绕立轴转动,向左或向右偏转,改变原飞行姿态的能力受到的扰动消失后,飞机能自动恢复到原飞行状态的能力空气作用在与之有相对运动物体上的力称为()?阻力升力空气动力(正确答案)合力根据飞行员的生理习惯,当飞行员蹬左舵时,方向舵如何偏转?向左偏转(正确答案)向右偏转机低速时向左偏转;高速时向右偏转飞机低速时向右偏转;高速时向左偏转具有后掠角的飞机有侧滑角时,会产生什么滚转力矩(正确答案)偏航力矩(正确答案)俯仰力矩不产生任何力矩差动副翼是指对应驾驶杆同样的位移时,副如何运动?副翼向下偏转的角度比向上偏转的角度大副翼向上偏转的角度比向下偏转的角度大(正确答案)副翼向上偏转运动滞后于向下偏转运动副翼向下偏转运动滞后于向上偏转运动对飞机的侧向静稳定性有影响的是()机翼上反角(正确答案)后掠翼(正确答案)垂直尾翼(正确答案)机翼和机身的相对位置(正确答案)气动补偿中利用轴式补偿方法减小铰链力矩的原理是什么?将舵面转轴向后移,减小了转轴到舵面气动力的距离(正确答案)将舵面转轴向后移,增大了转轴到舵面气动力的距离将舵面转轴向前移.减小了转轴到舵面气动力的距离将舵面转轴向前移,增大了转轴到舵面气动力的距离为使飞机进行不带侧滑的正常水平转弯,不但需要配合发动机的油门操纵,以保持合适的推力,而且还需要对哪些舵面进行协调操纵?仅需对方向舵与副翼进行协调操纵仅需对方向舵与升降舵进行协调操纵仅需对升降舵与副翼进行协调操纵需对方向舵、副翼和升降舵进行协调操纵(正确答案)当飞机受到扰动滚转时,会产生侧滑,由此产生了沿机体横轴的气流分。
钱第一章 1.1解:)(k s m 84.259m k R 22328315•===-RT p ρ=36m kg 63.5063032.5984105RT P =⨯⨯==ρ 气瓶中氧气的重量为354.938.915.0506.63G =⨯⨯==vg ρ1.2解:建立坐标系根据两圆盘之间的液体速度分布量呈线性分布 则离圆盘中心r ,距底面为h 处的速度为0u kn u +=当n=0时 u=0推出0u 0= 当n=h 时 u=wr 推出hwr k =则摩擦应力τ为hwr u dn du u ==τ上圆盘半径为r 处的微元对中心的转矩为θθτdrd hwr u r rdrd h wr u r dA d 3=⋅=⋅=T则⎰⎰==T 2D 0332032D u drd hr uωπθωπ1.4解:在高为10000米处T=288.15-0.0065⨯10000=288.15-65=223.15压强为⎪⎭⎫ ⎝⎛=T a T Pa P 5.2588MKN43.26Ta T pa p 2588.5=⎪⎭⎫ ⎝⎛=密度为2588.5T a T a ⎪⎭⎫⎝⎛=ρρmkg4127.0Ta T a 2588.5=⎪⎭⎫⎝⎛=∴ρρ1-7解:2M KG 24.464RTPRT p ==∴=ρρ空气的质量为kg 98.662v m ==ρ第二章2-2解流线的微分方程为yx v dyv dx =将v x 和v y 的表达式代入得ydy xdx yx 2dyxy 2dx 22==, 将上式积分得y 2-x 2=c ,将(1,7)点代入得c=7 因此过点(1,7)的流线方程为y 2-x 2=482-3解:将y 2+2xy=常数两边微分 2ydy+2xdx+2ydx=0整理得ydx+(x+y )dy=0 (1) 将曲线的微分方程yx V dy V dy =代入上式得 yVx+(x+y )V y =0 由22y 2xy 2x V ++=得 V x 2+V y 2=x 2+2xy+y 2 ((2)由(1)(2)得()y v y x v y x =+±=,2-5解:直角坐标系与柱坐标系的转换关系如图所示 速度之间的转换关系为{θθθθθθcos v sin v v sin v cos v v r y r x +=-=由θθθθθθcos r1y v sin yrsin r 1xvcos x rrsin y rcos x =∂∂=∂∂⎪⎩⎪⎨⎧-=∂∂=∂∂⇒⎭⎬⎫==()()⎪⎭⎫⎝⎛--∂∂+-∂∂=∂∂∂∂+∂∂⋅∂∂=∂∂θθθθθθθθθsin r 1sin V cos V cos sin V cos V r x v v x r r v x v r r x x xθθθθθθθθθθθθθsin cos V sin V sin V cos V r 1cos sin r V cos r V r r r ⎪⎭⎫ ⎝⎛-∂∂--∂∂-⎪⎭⎫ ⎝⎛∂∂-∂∂=θθθθθθθθθθθθθθcos sin V r1sin V r 1sin V r 1cos sin V r 1cos sin r V cos r V 22r r 2r +∂∂++∂∂-∂∂-∂∂=()()θθθθθθθθθcos r1cos V sin V sin cos V sin V r y v v V y r V V V V r r y x y xy +∂∂++∂∂=∂∂⋅∂∂+∂∂⋅∂∂=∂∂θθθθθθθθθθθθθcos r1sin V cos V cos V sin V sin cos r V sin r V r r r ⎪⎭⎫ ⎝⎛-∂∂++∂∂+⎪⎭⎫ ⎝⎛∂∂+∂∂=θθθθθθθθθθθθθcos sin V r1cos V r 1cos V r 1cos sin v V r 1cos sin r V sin r V 22r r 2r -∂∂++∂∂+∂∂+∂∂=zV V V r 1r V z V y V x V div z r r z y x ∂∂+⎪⎭⎫ ⎝⎛∂∂++∂∂=∂∂+∂∂+∂∂=∴θυθ2-6解:(1)siny x 3x V 2x -=∂∂ siny x 3y V 2y =∂∂ 0yV x V yx =∂∂+∂∂ ∴此流动满足质量守恒定律(2)siny x 3x V 2x =∂∂ siny x 3y V 2y =∂∂ 0siny x 6y V x V 2y x ≠=∂∂+∂∂ ∴此流动不满足质量守恒定律(3)V x =2rsin rxy2=θ V y =-2rsin 2ry 22-=θ33ry 2x Vx =∂∂332yr 2y y x 4y V +-=∂∂0ryx 4y V x V 32y x ≠-=∂∂+∂∂ ∴此流动不满足质量守恒方程(4)对方程x 2+y 2=常数取微分,得xdy dy dx -= 由流线方程yx v dy v dx =(1) 由)(得2r k v v r k v 422y 2x =+=由(1)(2)得方程3x r ky v ±= 3yr kxv = 25x r kxy3x V =∂∂∴25y rkxy 3yV ±∂∂0yV x V yx =∂∂+∂∂ ∴此流动满足质量守恒方程2—7解:0xVz V 0r yz 23r yz 23z V y V z x 2727y z =∂∂-∂∂=⋅+⋅-=∂∂-∂∂同样 0y V x V x y =∂∂-∂∂ ∴该流场无旋()()()2322222223222z y x z y x z y x d 21zy xzdzydy xdx dz v dy v dx v d ++++⋅=++++=++=Φ c zy x 1222+++-=Φ∴2—8解:(1)a x V x x =∂∂=θ a yV y y =∂∂=θ a z Vz z -=∂∂=θ 021v ;021v ;021v z y x =⎪⎪⎭⎫ ⎝⎛∂∂+∂∂==⎪⎭⎫ ⎝⎛∂∂+∂∂==⎪⎪⎭⎫ ⎝⎛∂∂+∂∂=y V x V x V z V z V x V x x z x y z (2)0y V x V 210x V z V 210z V y V 21x y z z x y y z x =⎪⎪⎭⎫⎝⎛∂∂-∂∂==⎪⎭⎫ ⎝⎛∂∂-∂∂==⎪⎪⎭⎫ ⎝⎛∂∂-∂∂=ωωω;; 位该流线无旋,存在速度∴ (3)azdz 2aydy axdx dz v dy v dx v d z y x -+=++=ϕc az ay 21ax 21222+-+=∴ϕ2—9解:曲线x 2y=-4,()04y x y x f 2=+=, 切向单位向量22422422y2x 2y2x yx 4x xy 2i yx 4x x j f f fx i f f fy t +-+=+-+=t t v v v t ⋅∇=⋅=∇=ϕϕ切向速度分量 把x=2,y=-1代入得()()j x 2x i y x 2x j yi x v 2+-+--=∂∂+∂∂=∇=ϕϕϕj 21i 21j y x 4x 2xy i y x 4x x t 2242242+=⎪⎪⎭⎫ ⎝⎛+-+= 23t v v t -=⋅= j 23i 23j 21i 2123t v v t t --=⎪⎭⎫⎝⎛+-==2—14解:v=180h km =50s m根据伯努利方程22V 21V 21p ρρρ+=+∞∞ pa p =∞ 驻点处v=0,表示为1531.25pa 501.22521V 21pa p 22=⨯⨯==-∞ρ相对流速为60s m 处得表 示为75.63760225.12125.1531V 21V 21pa p 222-=⨯⨯-=-=-∞ρρ第三章3—1解:根据叠加原理,流动的流函数为()xy arctg 2Q y V y x πϕ+=∞, 速度分量是22y 22x yx y2Q x V y x x 2Q V y V +⋅=∂∂-=+⋅+=∂∂=∞πϕπϕ; 驻点A 的位置由V AX =0 V Ay =0求得 0y V 2Qx A A =-=∞;π 过驻点的流线方程为2x y arctg 2y x y arctg 2y y Q V Q V A A A =+=+∞πθπ θθππθππsin 2r x y arctg 2y -⋅=⎪⎭⎫ ⎝⎛-=∞∞V V Q 或即 在半无限体上,垂直方向的速度为θπθθππ-sin v r sin 2y x y 2v 222y ∞==+=Q Q 线面求极值()0-sin v -cos sin v 2d dv 22y=+=∞∞θπθθπθθθ 当0sin =θ 0v v min y y == 2-tg -=θπθmaxyy v v =用迭代法求解2-tg -=θπθ得 取最小值时,y 1v 2183.1139760315.1==θ取最大值时,y 2v 7817.2463071538.4==θ由θπθθππ-sin v r sin 2y x y 2v 222y ∞==+=Q Q θπθθθππ-cos sin v r cos 2v y x x 2v v 22x +=+=++=∞∞∞Q Q 可计算出当∞∞===v 6891574.0v v 724611.0v x y 1,时,θθ 6891514.0v v 724611.0v x y 2=-==∞,时,θθ 合速度∞=+=v v v 2y 2x V3—3解:设点源强度为Q ,根据叠加原理,流动的函数为 xa3-y arctg2a x y arctg 2a x y arctg 2πθπθπθϕ+++-=两个速度分量为()()()⎥⎥⎦⎤⎢⎢⎣⎡+++++++--=222222a 3-y x xy a x a x y a x a x 2x πθ()()()⎥⎥⎦⎤⎢⎢⎣⎡++++++-=222222y a 3-y x a3-y y a x y y a x y 2v πθ 对于驻点,0v v y x ==,解得a 33y 0x ==A A ,3—4解:设点源的强度为Q ,点涡的强度为T ,根据叠加原理得合成流动的位函数为Q ππθϕ2lnr 2Γ+= πθϕπθϕθ2r 1r 12r 1r r Γ=∂∂==∂∂=V V ; 速度与极半径的夹角为Qarctg arctg r Γ==V V θθ3—5根据叠加原理得合成流动的流函数为⎪⎪⎭⎫ ⎝⎛+--+=∞y a y yaarctg a y y aarctg V ϕ 两个速度分量为()()()()⎥⎦⎤⎢⎣⎡++---+++=∂∂=∞1y v 2222x y a x a x a y a x a x a V ϕ()()⎥⎦⎤⎢⎣⎡+--++=∂∂-=∞2222y y v y a x yy a x y a V ϕ 由驻点()0a 30,得驻点位置为±==y x v v零流线方程为0ay yaarctg a y y xaarctg y =--++∞∞V V对上式进行改变,得⎪⎭⎫ ⎝⎛-=-+a y tan ay2a y x 222当0x =时,数值求解得a 03065.1y ±=3—9解:根据叠加原理,得合成流动的流函数为a y y arctg 2a y y arctg 2y v -++-=∞ππϕQ Q速度分量为()()2222x ya x ax 2y a x a x 2y v v +-+++++-=∞ππQ Q ()()2222y y a x ax 2y a x a x 2v +-+++++-=ππQ Q 由0v v y x ==得驻点位置为⎪⎪⎭⎫ ⎝⎛+±∞0v a a 2,πQ 过驻点的流线方程为ay yarctg 2a y y arctg 2y v =-++--∞ππQ Q 上面的流线方程可改写为ay yarctg a y y arctg y v 2--+=∞Q π 222a y x ay2a y y arctg a y y arctg tan y v 2tan -+=⎪⎪⎭⎫ ⎝⎛--+=⎪⎪⎭⎫ ⎝⎛∴∞Qπ 容易看出y=0满足上面方程当0y ≠时,包含驻点的流线方程可写为⎪⎭⎫ ⎝⎛-=-+∞Q y v 2tan ay2a y x 222π当12v a ===∞πQ 时,包含驻点的流线方程为tanyy21y x 22--=-+3—10解:偶极子位于原点,正指向和负x 轴夹角为α,其流函数为 22yx xsin ycos 2+--=ααπϕM 当45=α时 22yx xy 222+--=πϕM3—11解:圆柱表面上的速度为a2sin v 2v πθΓ--=∞ 222222a4a 2sin v 4v ππθΓ+Γ=∞ 222222v a 4av 2sin 4sin 4v v ∞∞∞Γ+Γ+=⎪⎪⎭⎫ ⎝⎛ππθθ压强分布函数为222p v asin 41sin 41v v 1⎪⎪⎭⎫ ⎝⎛Γ+-=⎪⎪⎭⎫ ⎝⎛-=∞∞θπθC第四章4—1解:查表得标准大气的粘性系数为nkg 1078.1u 5-⨯=65el 1023876.11078.16.030225.1u ⨯=⨯⨯⨯==-∞L V R ρ 平板上下两面所受的总得摩擦阻力为N S V L R F 789.021e 664.0222=⨯⨯=∞ρ 4—2解:沿边阶层的外边界,伯努利方程成立代表逆压梯度代表顺压梯度,时;当时当0m 0m 00m 00m m v v v 21p 12201002〈〉∴〉∂∂〈〈∂∂〉-=-=∂∂-=∂∂=+--xpx p x v x v x v xx p c m m m ρρρρδδδ4—4解:(a )将2x y 21y 23v v ⎪⎭⎫ ⎝⎛-⎪⎭⎫ ⎝⎛=δδδ带入(4—90)中的第二式得δδδδδ28039dy vv 1v v 0x x =⎪⎪⎭⎫ ⎝⎛-=⎰**由牛顿粘性定律δτδu u 23y v u 0y x w =⎪⎪⎭⎫ ⎝⎛∂∂==下面求动量积分关系式,因为是平板附面层0dx dv =∴δ积分关系式可表示为dxd v 2w **=δρτδ 将上述关系式代入积分关系式,得δρδδv dxud 14013=边界条件为x=0时,0=δ 积分上式,得平板边界层的厚度沿板长的变化规律()64.428039646.0x x x64.4ll ⨯==∴=**R R δδ(b )()74.164.483x x 83dy v v 1lx =⨯=∴=⎪⎪⎭⎫ ⎝⎛-=*∞*⎰R δδδδ(c )由(a )知()64.4x x l =R δ(d )646.0x x646.0v 21324xx 64.4u23l f l 2wf l w =∴====R C R C R δρτδδδτ)得—由(; (e )单面平板的摩擦阻力为()292.1x x 292.1s v 21b bdx v 21l f l 2f l02f=∴===⎰R C R X C C X F F δδρρ摩阻系数为假设版宽为4—6解:全部为层流时的附面层流厚度由式(4—92)得()01918.048.5L e ==LR Lδ 全部为湍流时的附面层流厚度由式(4—10)得()0817.037.0L 51e ==-LLR δ第五章5-1 一架低速飞机的平直机翼采用NACA2415翼型,问此翼型的f ,f x 和c 各是多少?解:此翼型的最大弯度f =2% 最大弯度位置f x =40% 最大厚度c =15%5-2 有一个小α下的平板翼型,作为近似,将其上的涡集中在41弦点上,见图。
x y z np p p p ===θd 北京航空航天大学2007~2008第二学期空气动力学期末考试真题(附答案)(问答题与计算题部分)一、问答题1.请结合图描述理想流体微团与粘性流体微团在运动和静止状态下的受力差别。
答:(1)静止状态:理想流体与粘性流体均不能承受切向应力,法向应力即为压强在各个方向上相等。
(2)运动状态:理想流体不能承受切向应力,流体微团受力情况与静止状态下相同。
粘性流体由于存在粘性,可以承受切向应力,而且剪应力与压强无关,与角变形率成正比。
d du dtdyθτμμ==2.请分别写出流体微团平动速度、旋转角速度、线变形速率和角变形速率的表达式。
答:平动速度: u,v,w旋转角速度: 线变形速率: 角变形速率:3.试分析产生压差阻力的原因。
答:粘性力阻滞流体质点运动,使流体质点减速失去动能,在一定的逆压梯度下,来流与边界层发生分离,在分离点后出现低压区,大大增加了绕流物体的阻力,这就是压差阻力。
4.请说明微弱扰动在亚声速流场和超声速流场中传播时的差别。
答:亚声速流场中微小扰动可遍及全流场,气流没有达到扰源之前已经感受到它的扰动,逐渐改变流向和气流参数以适应扰源要求;而在超声速流场中,小扰动不会传到扰源上游。
二、计算题1.有不可压流体做定常运动,其速度场为:,,u cx v cy w cxy==-=求:(1)线变形率、角变形率; (2)流场是否有旋;(3)是否有速度位函数存在,如果有请写出表达式。
x y z u c x v c y w zθθθ∂==∂∂==-∂∂==∂11221122102xyzw v cxy z u w cyz x v u x y ⎛⎫∂∂=+= ⎪∂∂⎝⎭∂∂⎛⎫=+= ⎪∂∂⎝⎭⎛⎫∂∂=+= ⎪∂∂⎝⎭γγγ1A 1P 2A 2P 解:(1)线变形率:角变形率:(2)由于因此,流场有旋。
(3)不存在速度位函数。
2.一维定常不可压缩流体流动,密度不变为ρ,如图所示,管道两端截面积分别为1A 、2A ,压强分别为1P 、2P ,求该管道的体积流量 Q 。
空气动力学考试试题及答案第一节:选择题1. 下面哪个选项正确地描述了空气动力学?A. 空气动力学是研究飞行器在空气中受力和运动的科学。
B. 空气动力学是研究空气污染对环境的影响的科学。
C. 空气动力学是研究飞机内部空气流动的科学。
D. 空气动力学是研究空气质量和大气层的科学。
答案:A2. 飞行器在空气中运动时,会受到哪些力的影响?A. 重力和推力B. 重力和浮力C. 电磁力和重力D. 电磁力和浮力答案:B3. 以下哪个参数最直接地影响了飞机的升力产生?A. 气压差B. 空气密度C. 飞机速度D. 飞机重量答案:A4. 当飞机在高速飞行时,气流在翼上的流动情况如何?A. 在翼上表面形成高气压区,翼下表面形成低气压区。
B. 在翼下表面形成高气压区,翼上表面形成低气压区。
C. 在翼上和翼下表面都形成高气压区。
D. 在翼上和翼下表面都形成低气压区。
答案:A第二节:填空题1. 飞机在静止状态时,其升力和重力相等,这种状态被称为________。
答案:平衡状态2. 以下哪个公式可以用来计算升力?答案:升力 = 0.5 * 空气密度 * 风速^2 * 翼展 * 升力系数3. 当飞机速度增加时,其升力会________。
答案:增加4. 空气动力学中,________是指飞机受到的阻力。
答案:阻力第三节:解答题1. 简述气动中心的概念,并描述其在飞行器设计中的重要性。
答案:气动中心是指在飞行器翼面上产生的升力、阻力和力矩的合力所通过的一个点。
在飞行器设计中,定位气动中心十分重要。
通过精确计算气动中心的位置,可以确保飞行器的稳定性和操纵性。
在飞行器的设计过程中,需要根据飞行器的结构和参数,确定气动中心的位置,并将重心与气动中心进行合理的配位,从而实现飞行器的平衡和稳定。
2. 解释升力系数的概念,并说明其与飞机翼型和攻角之间的关系。
答案:升力系数是一个无量纲的指标,用来描述飞机产生的升力与飞机自身特性的关系。
升力系数与飞机翼型和攻角之间有密切的关系。
1. 水由喷口水平射出,冲击在固定的垂直光滑平板上(如图所示), 喷口直径d = 0.1m ,喷射流量Q = 0.4 m 3/s ,空气对射流的阻力及射流与平 板间的摩擦阻力不计,求射流对平板的冲击力。
2. 有一个矩形蓄水池,长100cm ,水高80cm ,当蓄水池以等加速度
2/5s m a =向右运动时,求角落A 点的表压。
3. 一架飞机在高度5000米以马赫数0.6飞行,试求迎风皮托管测出的总压P 0值。
以此P 0值按不可压流伯努利方程计算出的速度V 与真实V 的差ΔV 是多少?已知5000米高度的大气压为54019.9帕,气温为255.65o K ,空气密度 为0.736kg/m 3。
4. 二维位流流场为 ,求曲线 上点(1,-2)处的切向速度分量。
简答题
1、液体与气体粘性随着温度的变化呈现什么规律?解释一下变化原因。
2、什么是连续介质模型?为何要做这样的假定?什么情况下连续介质的假定不成立?
3、欧拉法中有哪两种加速度?它与速度场的定常与否及均匀与否有什么关系?
4.欧拉静平衡方程的物理意义是什么?
5.什么是雷诺数?其物理意义是什么?
6.液体和气体的粘性系数随温度如何变化?说明其原因。
7.超声速气流流过外折角时,其气流参数如何变化?
223
3y xy x x +--=φ22-=y x
8.什么是库塔-儒可夫斯基升力定理?
9.超声速气流在激波前后气流参数如何变化?。
1.有一个矩形蓄水池,长100cm ,水高
80cm ,当蓄水池以等加速度 向右运动时,求角落A 点的表压。
2.已知),(),(2211b a b a 和分别点源Q 和点涡Г,
求壁面上的速度分布。
3.空气在管道中等熵流动。
在截面A 马赫数为0.3,面积为0.001m 2,绝对压强及绝对温度分别为650kPa 及335.15K 。
在截面B 的马赫数为0.8,求B 截面处的截面积、压强、温度、密度及总压。
4. 二维流动x方向速度分量为by bx ax u +-=2。
若该流动为定常的不可压位流,求y方向的速度分量大小。
2
/5s m a =
判断题,在正确的后面画“√”,在错误的后面画“×”
1.①只有在有势力作用下流体才能平衡。
()②在非有势力作用下流体也可以平衡。
()③在有势力作用下流体一定平衡。
()④以上均不正确。
()
2.经过激波后,①总压保持不变。
()②总温保持不变。
()③熵保持不变。
()④总密度保持不变。
()
经过膨胀波后,①总压保持不变。
()②总温保持不变。
()③熵保持不变。
()④总密度保持不变。
()
3.临界声速①大小取决于当地温度()②大小取决于总温度()③是流动中实际存在的声速()④与管道的形状有关()
4.激波是由无数微小的压缩扰动被叠加而成的强压缩波。
①为了在一维管道内让后面的压缩波赶上前面的压缩波,活塞必须以超声速推进。
()②活塞的推进速度大于激波的推进速度()③在二维或三维流场中物体必须以超声速运动才能产生激波()④在定常的二维或三维流场中物体的前进速度和激波的推进速度相等()
5.一维流动中,“截面积大处速度小,截面积小处速度大”成立的条件为①理想流体()②粘性流体()③可压缩流体()④不可压缩流体()
6. ①马赫数越大,表示单位质量气体的动能和内能之比越大()
②方向决定的斜激波可以出现强波,也可以出现弱波()③超声速气流内折同一角度时,分两次折转比折转一次的总压损失要大()④斜激波后的气流速度一定是亚声速的()
7.①若从某一初态经可逆与不可逆两条途径到达同一终态,则不可逆途径的熵增必大于可逆途径的熵增。
()②在圆柱体的有环量绕流中,圆柱体的表面一定存在驻点()③二维理想不可压缩流体的绕流中,阻力一定为零()④点涡所诱导的流场是有旋流场()。
填空题
1.在超声速流动中,经过膨胀波后压强 ,速度 ,密度 ,温度 ;经过激波后压强 ,速度 ,密度 ,温度 。
(增大/减小)
2.微弱扰动的传播速度与扰动的大小 ,与扰动的方式 ,与介质的弹性 ,与介质的密度 。
(有关/无关)
简答题 1.给定拉格朗日型的运动规律:k t ae
x 2-=,k t be y =,k t ce z =,式中k(k≠0)为常数,请判断:(1)是否是定常流场;(2)是否是不可压流场; (3)是否是有旋流场。
2. 已知速度场xy w y v xy u =-==,31,32,试确定(1) 是否是不可压缩流动;(2) 是否是有旋流场; (3)点(1,2,3)处的加速度。