船舶结构计算
- 格式:doc
- 大小:349.50 KB
- 文档页数:17
散货船结构强度直接计算分析指南下载提示:该文档是本店铺精心编制而成的,希望大家下载后,能够帮助大家解决实际问题。
文档下载后可定制修改,请根据实际需要进行调整和使用,谢谢!本店铺为大家提供各种类型的实用资料,如教育随笔、日记赏析、句子摘抄、古诗大全、经典美文、话题作文、工作总结、词语解析、文案摘录、其他资料等等,想了解不同资料格式和写法,敬请关注!Download tips: This document is carefully compiled by this editor. I hope that after you download it, it can help you solve practical problems. The document can be customized and modified after downloading, please adjust and use it according to actual needs, thank you! In addition, this shop provides you with various types of practical materials, such as educational essays, diary appreciation, sentence excerpts, ancient poems, classic articles, topic composition, work summary, word parsing, copy excerpts, other materials and so on, want to know different data formats and writing methods, please pay attention!散货船结构强度直接计算分析指南引言散货船作为海上运输的主要工具之一,其结构强度直接关系到船舶的安全运行。
轻舟追风——结构自重计算公式在船舶设计中,结构自重是一个非常重要的参数,对于船舶的稳
定性、载重能力以及造价影响极大。
因此,结构自重计算公式至关重要。
下面我们就来深入了解一下。
结构自重计算公式公式如下:
W = Σ (A * t * ρ),
其中W为结构自重,A为结构面积,t为材料厚度,ρ为材料密度。
这个公式是比较简单的,但要注意的是,不同部位的加权系数可能不同,需要根据船舶各部位的特点进行科学合理的设置。
结构面积的计算需要进行三维建模,这就需要借助专业的软件进
行模拟。
当然,对于纯船体结构,可以采用初步设计阶段的模型进行
估算,但在后期建模中要尽量接近真实情况。
材料厚度的计算可以考虑船舶受力情况,采用最小材料厚度进行
估算,但在实际建造中需要根据船级社规定进行调整。
材料密度的计算需要参考各种材料的密度,目前主要使用的材料
包括钢材、铝合金、复合材料等,也可以根据船舶建造要求选择其他
材料。
总之,结构自重计算涉及到很多知识点,需要在设计和建造过程
中综合考虑。
只有真正做到科学合理的计算,才能保证船舶的安全、
稳定和经济性。
(完整版)船舶结构规范计算书船舶结构规范计算书2.1 概述(1)本船为单甲板,双层底全焊接钢质货船;货舱区域设顶边舱和底边舱。
货舱区域主甲板、顶边舱、底边舱及双层底为纵⾻架式结构,其余为横⾻架式结构。
(2)本船结构计算书按CCS《钢质海船⼊级规范》(2006)进⾏计算与校核。
(3)航区:近海(4)结构折减系数:0.952.2 船体主要资料L 96.235m 总长oaL 92.780m ⽔线间长W1L 89.880m 两柱间长bp型宽 B 14.60m型深 D 7.000m设计吃⽔ D 5.600m计算船长L 不⼩于0.96Lwl=73.344m,不⼤于0.97Lwl = 89.997m取计算船长L = 89.900m 肋距 s 艉~ Fr8, Fr127 ~ 艏 0.60mFr8 ~ Fr1270.650m 纵⾻间距甲板及双层底下 0.60~0.70m顶边舱及底边舱0.60~0.80ms=0.0016+0.5 0.644m 标准⾻材间距bC(对应结构吃⽔) 0.820 ⽅型系数b系数C = 0..412L+4 7.704b f =b F =1.00 d f =d F =1.00主尺度⽐ L/B=6.158 > 5B/C=2.09 <2.5货舱⼝尺度⽐No.1货舱 b 1=10.60 m L H1=25.35 m L BH1=32.20mb 1 /B=0.726 >0.6 L H1 / L BH1=0.726 > 0.7No.2货舱 b 2=12.60 m L H2=25.60 m L BH2=33.60mb 2 /B=0.863 >0.6 L H2 / L BH2=0.750 > 0.7 本船货舱开⼝为⼤开⼝.主机功率 1544kW2.3 外板计算 2.3.1 船底板(2.3.1)(1)船舯部0.4L 区域船底板厚t 应不⼩于下两式计算值: (2.3.1.3)b F L s t )230(043.01+== 8.86mm b F h d s t )(6.512+== 9.35mm式中:s ——纵⾻间距,取0.644mL ——船长,取89.90mF b ——折减系数,取1 d ——吃⽔,取5.60mh 1——C h 26.01==2.003 且1h ≤d 2.0=1.120m, 取 1h = 1.120实取 t = 10 mm(2)艏、艉部船底板 (2.3.1.4)在离船端0.075L 区域船底板厚t 应不⼩于下式之值:mm s sL t b19.9)6035.0(=+= 式中: L ——船长,取89.90m s ——纵⾻间距,取0.650m b s ——纵⾻的标准间距,取0.644m 实取 t=10mm 2.3.2 平板龙⾻ (2.3.2)平板龙⾻宽度b 应不⼩于下式之值:=+=L b 5.39001214.65 mm (2.3.2.1) 2t t =+=底11.35 mm (2.3.2.2) 式中: L ——船长,取89.90m实取平板龙⾻ b=1800mm t =12mm2.3.3 舭列板 (2.3.3.1)舭列板处为横⾻架式,其厚度应不⼩于船底板厚度 (2.3.1.2)b F L Est )170(1072.01+== 11.58 mm b F h d s t )(0.712+== 11.79 mm式中:E = 1+(s/S)2 = 1.0050, 其中, S 为船底桁材间距, 取2.900ms ——纵⾻间距,取0.650mL ——船长,取89.90mh 1——C h 26.01==2.003 且1h ≤d 2.0=1.120m, 取 1h = 1.120 F b ——折减系数,取1 实取 t =12 mm2.3.4 舷侧外板(1) 3D/4 以上及顶边舱与底边舱间横⾻架式舷侧外板厚度应不⼩于按下列三式计算所得之值: (2.3.4.3、 8.3.2.1)d F L Est )110(1073.01+== 9.49 mm =+=)(2.422h d s t 7.53mm ==L t 3 9.48mm 式中: E = 1 s ——肋⾻间距,取0.644mL ——船长,取89.90m d ——结构吃⽔,取5.60m F d ——折减系数,取1 2h ——C 5.0h 2==3.852且d h 36.02≤=2.016, 取2h = 2.016实取 t=14mm(2) 距基线D 41以下舷侧外板厚度t 不⼩于下式: (2.3.4.2)d F L Es t )110(1072.01+== 8.80mm=+=b F h d s t )(3.61210.62mm 式中: E = 1s —— 肋⾻间距,取0.644mL ——船长,取89.90m d ——结构吃⽔,取5.60m F b ——折减系数,取1h 1——1h =0.26c=2.003, 且d h 2.01≤=1.120, 取h 1=1.120 实取 t =12mm2.3.5舷顶列板 (2.3.6.1)宽度 b = 800+5L = 1249.5d F L s t )110(06.01+==7.72 mm)75(9.02+=L s t = 7.44mm 式中:S=0.644 m d F =1 实取: t=14mm2.3.6 局部加强(1)与尾柱连接的外板、轴包处的包板: (2.3.6.1)外t t 5.1== 14.025mm中t t == 9.35mm 实取t=16mm(2)锚链管处外板应予加强: (2.3.6.2)2+=外t t = 11.35mm 实取t=14mm2.4 甲板计算2.4.1 强⼒甲板(1)船中0.4L 区域纵⾻架式甲板,不⼩于下式之值: (2.4.2.1)d F L s t )110(06.011+== 8.40 mm759.02+=L s t = 8.09 mm式中: s ——纵⾻间距,取0.70mL ——船长,取89.90m1L =L , 取89.90m d F ——折减系数,取1实取 t =14 mm(2)开⼝线以内及离船端0.075L 区域内强⼒甲板t 不⼩于下式之值 (2.4.2.2)759.02+=L s t = 7.51 mm式中: s ——横梁间距,取0.65 mL——船长,取89.90m实取t=10 mm2.4.2 甲板边板 (2.4.3.1) 船中部4.0L区域,甲板边板宽度,=b1111.32 mm8.6L≥500+厚度t不⼩于强⼒甲板厚度实取甲板边板 t x b = 14?20002.4.3 平台甲板厚度t应不⼩于下式之值: (2.4.5.2) t = 10s = 6.50 mm式中: s——⾻材间距,取0.650m实取 t = 8mm2.4.4甲板开⼝(2.4.4.2) 货舱及机舱开⼝的⾓隅采⽤抛物线,货舱⾓隅板实取 t=14mm 机舱⾓隅板实取 t=10mm2.4.5开孔平台(2.15.1.11) 艏尖舱设开孔平台开孔平台甲板开孔⾯积 a = 0.1A = 0.07m2式中: A = 0.700 m2实取: a = 10.8 m2开孔平台甲板厚度 t= 0.023L + 5 = 7.07 mm实取: t = 8mm开孔平台甲板横梁的不连带板的剖⾯积(隔档设)A = 0.13L + 4 = 15.69 cm2实取: L100x63x8 (每档设) A= 25.20 cm22.4.6 顶边舱斜板 (8.6.2.1)斜板厚度t 应不⼩于按下列两式计算所得之值,且应不⼩于8mm:h s t 41= + 2.5 = 8.93 mms t 122= = 9.34 mm式中: h = h 1cos θ+ b 1sin θ= 2.8 x cos30°+ 3.7x sin30°= 4.275s = 0.778 m实取: t = 10mm2.5 双层底结构 2.5.1中桁材(2.6.2.1~2.6.2.3)中桁材⾼度 30042250++=d B h = 900.2 mm 中桁材厚度 t =0.00770h +3 =9.93 mm式中:B=14.6m d=5.6m 0h =900.2mm ≥700mm 实取 0h =1050 mm t=12mm2.5.2 旁桁材(2.6.10.2, 2.6.4.1)t =0.00770h +1 =6.93mm 实取: t = 10mm 加强筋两端削斜其厚度与肋板相同,宽度为肋板⾼度的1/10B = 0.10h = 90.02 mm 实取: t=10mm b=100mm2.5.3 实肋板 (2.6.11.2, 2.6.5.1)(1)在机舱区域,⾄少每个肋位上应设置实肋板,货舱区每四肋位设置实肋板。
船体强度与结构设计船体强度与结构设计1. 船体梁抵抗总纵弯曲的能⼒,成为总纵强度(简称纵强度)。
2. 重量的分类:(1)按变动情况来分○1不变重量,即空船重量,包括:船体结构、舾装设备、机电设备等各项固定重量。
○2变动重量,即装载重量,包括:货物、燃油、淡⽔、粮⾷、旅客、压载等各项可变重量。
(2)按分布情况分○1总体性重量,即沿船体梁全场分布的重量,通常包括:主体结构、油漆、索具等各项重量,对于内河⼤型客船,还包括:纵通的上层建筑及旅客等各项重量。
○2局部性重量:即沿船长某⼀区段分布的重量,通常包括:货物、燃油、淡⽔、粮⾷、机电设备、舾装设备等各项重量。
3.重量分布原则:对于各项重量按近似的和理想化的分布规律处理时,必须遵循静⼒等效原则1)保持重量的⼤⼩不变,这就是说要使近似分布曲线所围的⾯积等于该项实际重量2)保持重量重⼼的纵坐标不变,即要使近似分布曲线所围的⾯积⾏⼼纵坐标与该项重量的重⼼纵坐标相等3)近似分布的曲线的范围与该项重量的实际分布范围相同或⼤体相同3.描述浮⼒沿船长分布状况的曲线称为浮⼒曲线。
4.计算状态:通常是指,在总纵强度计算中为确定最⼤弯矩所选取的船舶典型装载状态,⼀般包括满载、压装、空载等和按装载⽅案可能出现的最不利以及其它正常营运时可能出现的更为不利的装载状态。
4.静波浪弯矩与船型、波浪要素以及船舶与波浪的相对位置有关,波浪要素包括波形、波长和波⾼,⽬前得到最⼴泛应⽤的坦⾕波理论,根据这⼀理论,⼆维波的剖⾯是坦⾕曲线形状。
坦⾕波曲线形状的特点是:波峰陡峭,波⾕平坦,波浪轴线上下的剖⾯积不相等,故谓坦⾕波。
4.传统的标准计算⽅法:(1)将船舶置于波浪上,即假想船舶以波速在波浪的船舶⽅向上航⾏,船舶与波浪处于相对静⽌状态。
(2)以⼆维坦⾕波作为标准波形,计算波长等于船长(内河船舶斜置于⼀个波长上),计算波⾼按有关规范或强度标准选取。
(3)取波峰位于船中及波⾕位于船中两种状态分别进⾏计算。
结构设计1结构设计概述本船按CCS 《钢质海船入级规范》(2006)对无限航区有关散货船的要求进行设计。
2 基本结构计算书.2.1 外板 2.1.1船底板2.3.1.3:船底为纵骨架式时,船中部0.4L 区域内的船底板厚度t 应不小于按下列两式计算所得之值:b F L s t )230(043.01+= b F h d s t )(6.512+= 式中:s ——纵骨间距,m ,计算时取值应不小于纵骨的标准间距,本船为0.82m , d ——吃水,m ,本船为14.8m ;L ——船长,m ,本船为225m ,计算时取不必大于190m 。
b F ——折减系数,由2.2. 7对于外板和甲板,折减系数和d b F F 应不小于0.7;对于骨材,折减系数和d b F F 应不小于0.8,在此取为0.8;==C h 26.01,计算时取不大于=d 0.2,C ——系数,根据2.2.3.1,当90300L m≤≤时,10.01)100182300(75.102/3=--=C计算得: 2.3.1.4 :离船端0.075L 区域内的船底板厚度t 应不小于按下式计算所得之值:bs sL t )6035.0(+= 式中:s ——肋骨或纵骨间距,m ,计算时取值应不小于b s ;b s ——肋骨或纵骨的标准间距,m 。
肋骨、横梁或纵骨(船底、舷侧、甲板)的标准间距应按下式计算:=+=5.00016.0L s b m ,且不大于0.7m 。
1.2.2平板龙骨2.3.2.1 :平板龙骨的宽度b 应不小于按下式计算所得之值:3.5L 900b += mm ,且不必大于1800mm ,在整个船长内保持不变。
计算得=+= 3.5L 900b mm ,在此取。
实取平板龙骨尺寸为:。
2.3.2.2 :平板龙骨的厚度不应小于上述所要求的船底板厚度加2mm ,且均应不小于相邻船底板的厚度。
固在船中部0.4L 区域内取mm ,离船端0.075L 区域内。
船舶船体结构设计强度计算结构优化和轻量化技术船舶船体结构设计强度计算、结构优化和轻量化技术船舶船体结构的设计强度计算、结构优化和轻量化技术是船舶设计和建造中重要的环节,其目的是确保船体结构的安全可靠性以及提高船舶的性能和效率。
本文将介绍船舶船体结构设计强度计算的基本原理和方法,并以此为基础,阐述船舶结构优化和轻量化技术的应用。
一、船舶船体结构设计强度计算船舶船体结构设计强度计算是指通过力学分析和计算方法来评估船舶结构在各种载荷下的强度和稳定性。
其基本原理是根据船舶的使用条件和载荷特点,结合材料力学和结构力学的理论,采用经验公式和数值计算方法,对船体结构进行应力和变形分析。
在船舶结构设计中,常用的计算方法包括有限元法、有限差分法和边界元法等。
这些方法能够较为准确地计算出船体结构在不同载荷作用下的应力和变形情况,帮助设计师确定结构强度和刚度的合理值。
二、船舶船体结构优化技术船舶船体结构优化技术是指在已有的设计方案基础上,通过改变结构参数、材料选型和布局方式等手段,以达到最优结构设计的目的。
其核心原理是在保证船体强度和稳定性的前提下,尽量减少结构重量和降低建造成本。
常见的结构优化方法包括拓扑优化、形状优化和尺寸优化等。
拓扑优化主要是通过改变结构的布局方式和增减支撑件的数量来优化结构刚度和轻量化程度;形状优化则是通过改变结构的外形和截面形状来调整结构受力分布,提高其承载能力;尺寸优化是指通过调整结构的截面尺寸和材料厚度等参数,实现结构的最优设计。
结构优化技术的应用能够大幅度提高船体的结构强度和工作效率,并且减少材料的使用量和建造成本,对于船舶设计行业具有重要意义。
三、船舶船体轻量化技术船舶船体轻量化技术是指通过减少船体结构重量,提高船舶的载货能力和燃油效率,以及降低航行阻力和波浪影响等方法,实现船舶轻量化的目的。
船体轻量化技术的应用可以有效提高船舶的性能和经济效益。
在轻量化设计中,可以采用多种措施来降低船体结构重量。
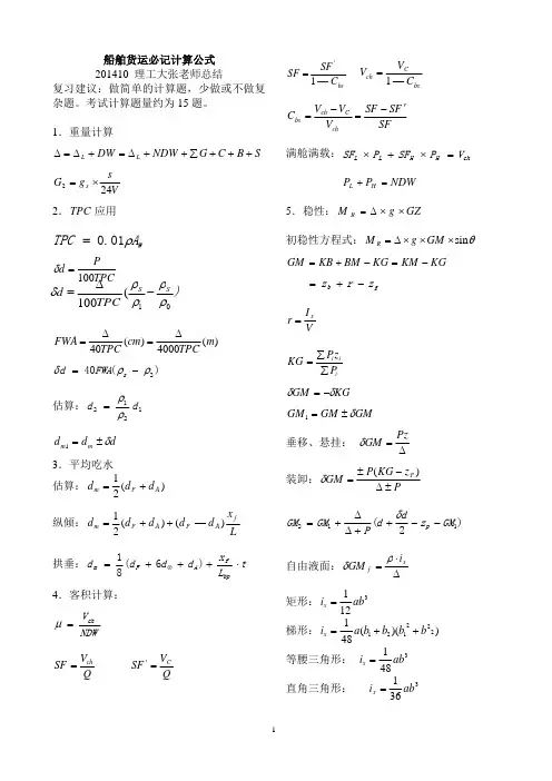
船舶货运必记计算公式201410理工大张老师总结复习建议:做简单的计算题,少做或不做复杂题。
考试计算题量约为15题。
1.重量计算SB C G NDW DW L L +++∑++Δ=+Δ=ΔVsg G s 242×=2.应用TPC WA TPC ρ01.0=TPCP d 100=δ)(4000)(40m TPCcm TPC FWA Δ=Δ=)(402ρρδ−=s FWA d 估算:1212d d ρρ=dd d m m δ±=13.平均吃水估算:)(21A F m d d d +=纵倾:L x d d d d d f A F A F m )—()(21++=拱垂:t L x d d d d bpf A F m ⋅+++=⊗)6(814.客积计算:NDWV ch=μQV SF ch =QV SF C ='bsC SF SF —1'=bsC ch C V V —1=SFF S SF V V V C ch C ch bs ′−=−=满舱满载:chH H L L V P SF P SF =×+×NDWP P H L =+5.稳性:GZg MR××Δ=初稳性方程式:θsin ×××Δ=GM g M R KGKM KG BM KB GM −=−+=gb z r z −+=VI r x =iii P z P KG ∑∑=KGGM δδ−=GMGM GM δ±=1垂移、悬挂:Δ=Pz GM δ装卸:Pz KG P GM P ±Δ−±=)(δ)2(112GM z d d P GM GM p −−++ΔΔ+=δ自由液面:Δ⋅=xf i GM ρδ矩形:3121ab i x =梯形:))((481222121b b b b a i x ++=等腰三角形:3481abi x =直角三角形:3361ab i x =)TPC d S S 01(100ρρρρδ−Δ=圆形:441r i x ⋅=π椭圆:341ab i x π=设纵舱壁:)n i n i xoxn 等分(12=互换:⎪⎭⎪⎬⎫⎪⎩⎪⎨⎧⋅=⋅Δ⋅−=L L H H L H SF P SF P z )P (P GM δ横移:GM pytg ⋅Δ=θ装卸:11GM y p tg p ⋅Δ⋅=θ装卸(重大件):11GM y p py tg b b ⋅Δ⋅+=θ大倾角稳性:θSin KG KN KH KN GZ ⋅−=−=Wh W h l l M M K minmin ==Ww w W Z A P M ⋅⋅=gM l W W ⋅Δ=横摇周期:GMKG B fT 22458.0×+=θ或GMB f T ⋅=θ剩余稳性力臂MS :θSin GM GZ MS ⋅−=6.抗沉性渗透率:体积V Vv 1=μ面积aa a 0=μ许可舱长:F l l F P ⋅=破舱稳性:g b GM GM ⋅ΔΔ=1进水重量:LBDP v ⋅⋅⋅=δμρ进水速率:hH F Q −=μ43.47.强度:每货舱货物重量计算:调整值±Σ⋅Σ=Q V V P chichii 拱垂值:m m d d −=⊗δ局部强度:允许值上甲板:SFgH r H g P C cC ⋅⋅=α或 1.5t /m 2,14.7kP a货舱:cC d r H g P ⋅⋅=或:)(72.0αkP H g P d d ⋅⋅=实际:'dd P P ≤)(2min m P PA d=7.吃水差:MTCM t L 100=δMTCx x g t b g 100)(−⋅Δ=δtt t δ+=1装卸:MTCx x g P t f P 100)(−⋅⋅=δ移动:MTCxPg t 100⋅=δ装卸后:tLx TPC p d d d d d fF Fm F F δδδ⋅−+±=++=)21(1001tLx TPC p d d d d d fA Am A A δδδ⋅+−±=++=)21(1001IMO 要求:⎩⎨⎧+≥≥≤202.0025.0150min min L d L d mL m F (m)⎩⎨⎧+≥+≥>202.02012.0150min min L d L d mL m F (m )吃水差比尺:100'Pd d F F ±⋅=δδ100'Pd d A A ±⋅=δδ8.系固道数:MSLPN y =9.谷物稳性计算:GMg M tg u⋅⋅Δ='θ∑⋅=ivivi u SF M C M '⎪⎩⎪⎨⎧=12.106.100.1vi C g M uO ⋅Δ='λ0408.0λλ×=404040λ−=′GZ Z G 10.固体散货:最大吃水:a W d D H D D −+=max 最小吃水:潮高安全距离机船W H h h H D ′++−=21min 排水量的水密度修正1025.1Δ=Δρ装卸量计算:装:)()(F F A A G G Q −Δ−−Δ=卸:)()(A A F F G G Q −Δ−−Δ=11.油量计算:膨胀余量:tf t f VV δδδ⋅+⋅=1最大装油体积:VV V t a t δ−=.换算:⎪⎩⎪⎨⎧+=−=)44.4(00096.160/60.54/15.20020γραρF G S C G S )20(20−−=t t γρρ空档修正:横向θtg AC AB ⋅=纵向Lt AC AB ⋅=空档高度=测量值AB±油轮要求:⎩⎨⎧<+>⊗Lt m L d m015.011)(202.0油温测量:53dm u t t t t ++=油量计算:2020)0011.0(V m ⋅−=ρ2020V F m ⋅⋅=ρ以第2式为准。
某双体铝合金艇结构强度规范计算
1. 引言
双体铝合金艇是一种具有良好稳性、舒适性和低噪音的船舶,被广泛应用于海洋工程、旅游娱乐和公共安全等领域。
为确保双体铝合金艇结构的强度满足设计要求,本文基于相
关规范对其进行强度计算。
2. 强度计算方法
2.1 双体铝合金艇结构分类
根据《双体船船体结构规范》(GB 17910-2016)的规定,双体铝合金艇结构可以分为主体结构和次要结构。
主体结构包括外壳、内壳、龙骨、甲板和舵等;次要结构包括扶手、推杆、合页、门、窗等。
在进行强度计算时,需要对主体结构和次要结构进行分别计算。
根据《船舶结构设计规范》(GB 785-1988)和《铝合金船舶设计规范》(GB/T 19968-2005)的规定,双体铝合金艇的结构强度计算需要考虑以下因素:
(1)载荷:包括静荷、动荷和海浪荷载等。
其中,静荷包括船艏、船尾和水线处的静水压力;动荷包括船速、艏浪、船尾浪等;海浪荷载包括横荷载、垂荷载和扭转荷载。
(2)材料:双体铝合金艇的主要材料为铝合金。
根据材料特性计算艇的屈服、弹性模量、泊松比等参数。
(3)结构形式:双体铝合金艇的结构形式为平板和曲面板。
根据标准的要求进行计算和验算。
(4)安全保证:根据规范的要求,进行一定的安全余量计算。
3. 结论
本文介绍了双体铝合金艇结构强度计算的基本方法和计算要点。
在进行具体强度计算时,需要根据规范的要求,对载荷、材料、结构形式和安全保证等因素进行综合考虑,得
出满足设计要求的强度方案。
船舶结构计算范文1.强度计算:计算船舶主体结构在静力和动力载荷下的强度。
静力载荷包括船舶自重、配载物的重量、海水压力等,动力载荷包括船舶在运行中受到的波浪和风力等作用。
强度计算可以通过有限元分析、传统计算方法和经验公式等进行。
2.稳定性计算:确定船舶的稳定性参数,包括初始浮力、动态稳定性、倾覆角等。
稳定性计算需要考虑船舶在不同载荷条件和船体变形下的稳定性能,通过稳定性曲线和重心位置来评估船舶的稳定性。
3.疲劳寿命计算:根据船舶的使用条件和载荷频率,计算船舶结构在一定寿命范围内的疲劳寿命。
疲劳寿命计算需要考虑船舶的工作循环、结构应力和材料疲劳性能等因素。
4.刚度计算:计算船体的刚度和振动特性,包括弯曲刚度、扭转刚度、纵向刚度和横向刚度等。
刚度计算可以通过有限元分析、试验和简化计算等方法进行。
1.收集设计要求和使用条件:收集船舶的设计要求、使用条件和技术规范等相关信息。
这些信息包括船舶的荷载要求、使用环境、船舶的尺寸和型号等。
2.确定载荷和载荷分布:根据船舶的使用条件,确定船舶在静力和动力载荷下的荷载大小和分布。
静力载荷包括船舶的自重和配载物的重量,动力载荷包括波浪和风力等载荷。
3.进行强度计算:根据船舶的结构形式和载荷条件,进行强度计算。
强度计算可以通过有限元分析软件进行,也可以使用传统计算方法和经验公式进行。
4.进行稳定性计算:根据船舶的使用条件和结构形式,进行稳定性计算。
稳定性计算可以通过数值模拟和计算软件进行,也可以通过实验进行验证。
5.进行疲劳寿命计算:根据船舶的使用条件和结构形式,进行疲劳寿命计算。
疲劳寿命计算可以通过疲劳分析软件进行,也可以使用经验公式进行。
6.进行刚度计算:根据船舶的使用条件和结构形式,进行刚度计算。
刚度计算可以通过有限元分析软件进行,也可以使用简化计算方法进行。
7.评估计算结果:根据计算结果,评估船舶结构的强度、稳定性、疲劳寿命和刚度等性能。
如果计算结果不符合要求,需要进行结构优化设计。
第三章船体局部强度校核计算方法船体各部分结构抵抗局部载荷直接作用而不产生破坏和超过允许限度的变形的能力称为船体结构局部强度。
船体结构主要组成部分为船底结构、甲板结构、舷侧结构和舱壁结构。
在局部强度校核计算中,首先要将船体空间立体结构简化为板、梁、板架和框架来进行计算,在确定局部结构受到最大载荷(设计载荷)后,建立数学模型计算局部结构的内力与变形。
最后要确定局部结构的强度校核衡准。
§3.1 局部强度计算的力学模型*局部强度概念:船体在外力作用下除发生总纵弯曲变形外,各局部结构,如船底、甲板、船侧和舱壁板架以及横向肋骨框架也会因局部载作用而发生变形、失稳或破坏。
研究它们的强度问题称为局部强度。
*局部强度的主要研究内容:板架、框架、各种骨材以及壳板的强度计算。
*局部强度研究方法:(1)传统的局部强度计算方法:即把船体结构划分成各种板架、刚架、连续梁和板等进行计算;(2)有限元法:可以扩展成各种结构的整体计算,如立体舱段计算等。
一、建立计算模型的原则结构模型化是计算的前提和结构分析成败的关键,影响计算模型的主要因素有下列几点:(1)结构的重要性:对重要结构应采用比较精确的计算模型;(2)设计阶段:在初步设计阶段可用较粗糙的模型,在详细设计阶段则需要较精确的计算模型;(3)计算问题的性质:对于结构静力分析,一般可用较复杂的计算模型,对于结构动力和稳定性分析,由于问题比较复杂,可用较简单的计算模型。
二、构件几何尺寸的简化1、板架计算时:其长度、宽度取相应的支持构件间距离。
例如,船底板架和甲板板架的长度取横舱壁之间的距离,宽度取组成肋骨框架梁中和轴的跨距,或简单地取为船宽。
2、肋骨刚架计算时:其长度、宽度取组成肋骨框架梁的中和轴线交点间距离,用中和轴线代替实际构件。
3、构件剖面要素计算时应包括带板(附连翼板)三、骨架支承条件简化1、骨架支座形式:(1)自由支持在刚性支座上;(2)刚性固定;(3)弹性支座和弹性固定。
船舶结构与货运计算公式总结首先,船舶结构的设计对于货运能力至关重要。
一个合理的船舶结构设计可以提高船舶的强度和稳定性,从而增强其承载能力和抗风浪能力。
船舶的结构设计需要考虑到船体的材料、结构形式和结构件的尺寸等因素,以确保船舶在承受重载和恶劣环境条件下依然能保持稳定和牢固。
其次,货运能力直接影响船舶的经济效益和运输效率。
船舶的货运能力主要考虑到船舱容积和载重能力。
船舱容积是指船舶内部可用于装载货物的空间,而载重能力则是指船舶所能携带的货物重量。
合理设计船舶的货运能力可以最大程度地提高船舶的装载率和货物运输效率,从而减少货物运输的成本。
在船舶结构与货运中存在一些常用的计算公式,用于评估船舶的结构强度和货物运输能力。
下面列举几个常见的例子:1.船舶结构强度计算中常用的公式包括:结构应力分析公式、材料强度公式和安全裕度计算公式。
这些公式用于评估船舶结构在不同载荷和环境条件下的受力情况,以确定结构的安全性和可靠性。
2.船舶的载货能力计算中常用的公式包括:船舱容积计算公式、载重能力计算公式和装载率计算公式。
这些公式用于确定船舶可以承载的货物数量、重量和装载比例,以最大程度地利用船舶的运输潜力。
综上所述,船舶结构与货运是船舶工程中非常重要的因素。
合理的船舶结构设计可以提高船舶的强度和稳定性,增强其承载能力;而货运能力的合理设计可以提高船舶的载货能力和运输效率。
在船舶结构与货运中,计算公式则是评估船舶结构和货物运输能力的重要工具。
通过适当的结构设计和货运能力计算,可以提高船舶的经济效益和运输效率。