2019临川一中高一上学期第一次月考数学试卷
- 格式:docx
- 大小:245.90 KB
- 文档页数:4
2019学年高一数学上学期第一次月考试题一、填空题:本大题共14小题,每小题5分,共70分.请把答案填写在答题卡相应位置上......... 1. 已知集合{}13A x x =≤≤,{}24B x x =≤≤,则A B I = ▲ . 2. 函数()f x =的定义域是 ▲ .3. 若函数()2220x x x f x x ax x ìï-ï=íï-+<ïî,≥0,是奇函数,则实数a 的值为 ▲ . 4. 下列对应为函数的是 ▲ .(填相应序号)①213x x x ??,R ;②x y ®,其中y x =?R ,y ÎR ;③3xx x ,R ;④x y ®,其中y x x =?,N ,y ÎR .5. 已知()110210x x f x x xìï-ïïï=íïï<ïïî,≥,,, 若()2f a ≤,则实数a 的取值范围是 ▲ . 6. 设集合{}M a b =,,则满足条件{}M N a b c d e f =U ,,,,,的集合N 的个数是▲ .7. 已知函数()f x 为一次函数,且()21f =-,若()43f f x x 轾=-臌,则函数()f x 的解析式为 ▲ .8. 已知函数()()2123f x a x x =--+在()4-?,是单调增函数,则实数a 的取值集合是 ▲ .9. 已知函数()f x 满足()()112223f f x x x -++=,则()2f -= ▲ .10.规定记号“V”表示一种运算,即a b a b =+V ,a b Î,R ,若13k =V ,则函数()()32x f x k x =-V 的值域是 ▲ .11. 设函数()()()F x f x f x =+-,x ÎR ,且()F x 在区间[)0+¥,上单调递增,则满足()()211F x F -<的x 取值范围是 ▲ . 12. 下列说法中不正确...的序号为 ▲ . ①若函数()33ax f x x +=+在()3+-?,上单调递减,则实数a 的取值范围是()1-?,;②函数()f x =③已知函数()21y f x =-的定义域为[]33-,,则函数()y f x =的定义域是[]12-,; ④若函数()31f x ax bx =++在()0-?,上有最小值-4,(a ,b b 为非零常数),则函数()y f x =在()0+¥,上有最大值6. 13.如果对于函数f (x )的定义域内任意两个自变量的值1x ,2x ,当12x x <时,都有()1f x ≤ ()2f x 且存在两个不相等的自变量1m ,2m ,使得()()12f m f m =,则称为定义域上的不严格的增函数.已知函数()g x 的定义域、值域分别为A ,B ,{}123A =,,,B A Í且()g x 为定义域A 上的不严格的增函数,那么这样的函数()g x 共有 ▲ 个.14.函数()f x =的最小值为 ▲ .二、解答题:本大题共6小题,共计90分.请在答题卡指定区域.......内作答.解答时应写出文字说明、证明过程或演算步骤. 15. (本小题满分14分)已知全集U =R ,集合{}12A x x x =<->,或 ,{}213U B x x p x p =<->+,或ð. (1)若12p =错误!未找到引用源。
江西省抚州市临川一中2018-2019学年高一上学期第一次月考数学试卷Word版含解析第一篇:江西省抚州市临川一中2018-2019学年高一上学期第一次月考数学试卷Word版含解析江西省抚州市临川一中2018-2019学年高一上学期第一次月考数学试卷一、选择题(共12小题,每题5分,共60分,每题只有一个选项是正确的)1.已知全集U=R,集合A={x|2<x≤3},集合B={x|2≤x≤4},则(∁UA)∩B等于()A.{x|3≤x≤4} B.{x|3<x≤4} C.{x|x=2或3<x≤4}2.已知集合A={x|x2﹣2x﹣3=0},集合B={﹣1,0,1,2,3},且集合M满足A⊆M⊆B,则M的个数为()A.32 B.16 C.8 3.下列四组函数中,f(x)与g(x)是同一函数的一组是()A.f(x)=|x|,g(x)= B.f(x)=x,g(x)=()2 D.7 D.{x|3<x<4} C.f(x)=4.函数f(x)=,g(x)=x+1D.f(x)=1,g(x)=x0 的定义域是()A.[﹣4,2] B.[﹣4,﹣1)∪(﹣1,2] C.(﹣4,2)D.(﹣4,﹣1)∪(﹣1,2)5.在映射f:A→B中,A=B={(x,y)|x,y∈R},且f:(x,y)→(2x﹣y,x+2y),则元素(1,﹣2)在f的作用下的原像为()A.(4,﹣3)B.(﹣,﹣)C.(﹣,)D.(0,﹣1)6.在同一个平面直角坐标系中,一次函数y=ax+b和二次函数y=ax2+bx的可能是()A. B. C. D.7.下列函数中满足在(﹣∞,0)是单调递增的是()A.f(x)= B.f(x)=﹣(x+1)2 C.f(x)=1+2x2 D.f(x)=﹣|x| 8.已知函数f(x)=,其定义域是[﹣8,﹣4),则下列说法正确的是()B.f(x)有最大值,最小值 D.f(x)有最大值2,最小值 A.f (x)有最大值,无最小值 C.f(x)有最大值,无最小值9.已知函数y=f(1﹣x2)的定义域[﹣2,3],则函数g(x)=的定义域是()A.(﹣∞,﹣2)∪(﹣2,3] B.[﹣8,﹣2)∪(﹣2,1] C.[﹣,﹣2)∪(﹣2,0] D.[﹣,﹣2]10.已知A={a,b,c},B={1,2,3},从A到B建立映射f,使f(a)+f(b)+f(c)=4,则满足条件的映射共有()A.1个 B.2个 C.3个 D.4个11.若函数在R上为增函数,则a的取值范围为()A.1<a B.1<a≤3 C.1<a≤ D.a≥312.若函数f(x)=|mx2﹣(2m+1)x+m+3|恰有4个单调区间,则实数m的取值范围为()A.(﹣∞,)B.(﹣∞,0)∪(0,)二、填空题(共4小题,每题5分,共20分)13.已知函数是幂函数,则m=.C.(0,] D.(,1] 14.已知函数f(x)=﹣x2+2bx+c,任意的x1,x2∈(﹣∞,0)且x1≠x2时,都有0,则实数b的取值范围为.15.函数f(x)=2x﹣1+16.已知集合A=三、解答题(本大题共6题,共70分)17.设集合A={x|x+2≤0或x﹣3≥0},B={x|2a﹣1≤x≤a+2},若A∩B=B,求实数a的取值范围.18.已知集合A={x|ax2+2x+1=0}.(1)若A中只有一个元素,求a的值;(2)若A中至多只有一个元素,求a的取值范围.19.(1)已知﹣1,求f(x)的解析式.,则集合A=.的值域为.<(2)已知f(x)是二次函数,且满足f(2)=4,f(﹣3)=4,且f(x)的最小值为2,求f(x)的解析式.20.已知函数f(x)对任意a,b∈R,都有f(a+b)=f(a)+f (b)﹣3,并且当x>0时,f(x)>3.(1)求证:f(x)是R上的增函数.(2)若f(4)=2,解不等式f(3m2﹣m﹣2)>.21.提高过江大桥的车辆通行能力可改善整个城市的交通状况,在一般情况下,大桥上的车流速度v(单位:千米/小时)是车流密度x (单位:辆/千米)的函数,当桥上的车流密度达到200辆/千米时,造成堵塞,此时车流速度为0;当车流密度不超过20辆/千米时,车流速度为60千米/小时,研究表明:当20≤x≤200时,车流速度v是车流密度x的一次函数.(Ⅰ)当0≤x≤200时,求函数v(x)的表达式;(Ⅱ)当车流密度x为多大时,车流量(单位时间内通过桥上某观测点的车辆数,单位:辆/小时)f(x)=x•v(x)可以达到最大,并求出最大值.(精确到1辆/小时).22.已知函数f(x)=﹣x2+2ax+1.(1)若y=f(x)在(1,+∞)上单调递减,求a的取值范围.(2)若a=1时,y=f(x)在区间[m,n]上的值域为[2m,2n],求m,n的值.(3)记h(a)为y=f(x)在区间[﹣4,4]的最小值,求出y=h(a)江西省抚州市临川一中2018-2019学年高一上学期第一次月考数学试卷参考答案与试题解析一、选择题(共12小题,每题5分,共60分,每题只有一个选项是正确的)1.已知全集U=R,集合A={x|2<x≤3},集合B={x|2≤x≤4},则(∁UA)∩B等于()A.{x|3≤x≤4} B.{x|3<x≤4} C.{x|x=2或3<x≤4} 【考点】交、并、补集的混合运算.【专题】集合.【分析】由全集U=R,找出不属于A的部分,确定出A的补集,找出A补集与B的公共部分,即可确定出所求的集合【解答】解:∵全集U=R,集合A={x|2<x≤3},∴∁UA={x|x≤2,或x>3},∵集合B={x|2≤x≤4},∴(∁UA)∩B={x|x=2或3<x≤4},故选:C.【点评】此题考查了交、并、补集的混合运算,熟练掌握交、并、补集的定义是解本题的关键.2.已知集合A={x|x2﹣2x﹣3=0},集合B={﹣1,0,1,2,3},且集合M满足A⊆M⊆B,则M的个数为()A.32 B.16 C.8 【考点】子集与真子集.【专题】集合.【分析】先求出集合A={﹣1,3},根据A⊆M⊆B便知M中一定含有元素﹣1,3,而0,1,2可能为集合M的元素,从而便可得到M 的个数为【解答】解:A={﹣1,3},A⊆M;∴﹣1∈M,3∈M;又M⊆B;∴0,1,2,可能是M的元素;∴M的个数为:.,这样便可得出M的个数. D.7D.{x|3<x<4} 故选:C.【点评】考查一元二次方程的解法,列举法、描述法表示集合,子集的概念,组合数的概念,以及二项式定理.3.下列四组函数中,f(x)与g(x)是同一函数的一组是()A.f(x)=|x|,g(x)= B.f(x)=x,g(x)=()2C.f(x)=,g(x)=x+1D.f(x)=1,g(x)=x0【考点】判断两个函数是否为同一函数.【专题】函数的性质及应用.【分析】根据两个函数的定义域相同,对应关系也相同,判断它们是同一函数即可.【解答】解:对于A,f(x)=|x|(x∈R),与g (x)=∴是同一函数;对于B,f(x)=x(x∈R),与g(x)==x(x≥)的定义域不同,∴不是同一函数;=|x|(x∈R)的定义域相同,对应关系也相同,对于C,f(x)==x+1(x≠1),与g(x)=x+1(x∈R)的定义域不同,∴不是同一函数;对于D,f(x)=1(x∈R),与g(x)=x0=1(x≠0)的定义域不同,∴不是同一函数.故选:A.【点评】本题考查了判断两个函数是否为同一函数的问题,是基础题目.4.函数f(x)=的定义域是()A.[﹣4,2] B.[﹣4,﹣1)∪(﹣1,2] C.(﹣4,2)D.(﹣4,﹣1)∪(﹣1,2)【考点】函数的定义域及其求法.【专题】函数的性质及应用.【分析】由0指数幂的底数不等于0,分母中根式内部的代数式大于0联立不等式组得答案.【解答】解:要使原函数有意义,则,解得﹣4<x<2且x≠﹣1.∴函数f(x)=故选:D.的定义域是(﹣4,﹣1)∪(﹣1,2).【点评】本题考查函数的定义域及其求法,考查了一元二次不等式的解法,是基础题.5.在映射f:A→B中,A=B={(x,y)|x,y∈R},且f:(x,y)→(2x﹣y,x+2y),则元素(1,﹣2)在f的作用下的原像为()A.(4,﹣3)B.(﹣,﹣)C.(﹣,)D.(0,﹣1)【考点】映射.【专题】函数的性质及应用.【分析】设元素(1,﹣2)在f的作用下的原像为:(x,y),则2x﹣y=1,x+2y=﹣2,解得答案.【解答】解:设元素(1,﹣2)在f的作用下的原像为:(x,y),则2x﹣y=1,x+2y=﹣2,解得:x=0,y=﹣1,即元素(1,﹣2)在f的作用下的原像为:(0,﹣1),故选:D.【点评】本题考查的知识点是映射,由原象求象是求代数式的值,由象求原象是解方程(组).6.在同一个平面直角坐标系中,一次函数y=ax+b和二次函数y=ax2+bx的可能是()A. B. C. D.【考点】函数的图象.【专题】函数的性质及应用.【分析】题可先由一次函数y=ax+b图象得到字母系数的正负,再与二次函数y=ax2+bx+c的图象相比较看是否一致【解答】解:A、由抛物线可知,a>0,x=﹣>0,得b<0,由直线可知,a>0,b<0,正确;B、由抛物线可知,a<0,由直线可知,a>0,错误.C、由抛物线可知,a>0,由直线可知,a<0,错误;D、由抛物线可知,a <0,x=﹣故选:A.>0,得b>0,由直线可知,a<0,b>0,错误;【点评】本题考查了函数图象的识别,以及抛物线和直线的性质,属于基础题.7.下列函数中满足在(﹣∞,0)是单调递增的是()A.f(x)= B.f(x)=﹣(x+1)2 C.f(x)=1+2x2 D.f(x)=﹣|x| 【考点】函数单调性的判断与证明.【专题】函数思想;定义法;函数的性质及应用.【分析】根据函数单调性的性质进行判断即可.【解答】解:A.函数的定义域为(﹣∞,﹣2)∪(﹣2,+∞),则在(﹣∞,0)上不是单调函数,不满足条件.B.f(x)=﹣(x+1)2的对称轴是x=﹣1,在(﹣∞,0)上不是单调函数,不满足条件.C.f(x)=1+2x2的对称轴是x=0,在(﹣∞,0)上是单调递减函数,不满足条件. D.当x<0时,f(x)=﹣|x|=x为增函数,满足条件.故选:D 【点评】本题主要考查函数单调性的判断,要求熟练掌握常见函数的单调性的性质.8.已知函数f(x)=,其定义域是[﹣8,﹣4),则下列说法正确的是()B.f(x)有最大值,最小值 D.f(x)有最大值2,最小值 A.f (x)有最大值,无最小值 C.f(x)有最大值,无最小值【考点】函数的最值及其几何意义.【专题】函数的性质及应用.【分析】将f(x)化为2+【解答】解:函数f(x)=,判断在[﹣8,﹣4)的单调性,即可得到最值. =2+即有f(x)在[﹣8,﹣4)递减,则x=﹣8处取得最大值,且为,由x=﹣4取不到,即最小值取不到.故选A.【点评】本题考查函数的最值的求法,注意运用单调性,考查运算能力,属于基础题和易错题.9.已知函数y=f(1﹣x2)的定义域[﹣2,3],则函数g(x)=的定义域是()A.(﹣∞,﹣2)∪(﹣2,3] B.[﹣8,﹣2)∪(﹣2,1] C.[﹣,﹣2)∪(﹣2,0] D.[﹣,﹣2] 【考点】函数的定义域及其求法.【专题】函数的性质及应用.【分析】函数y=f(1﹣x2)的定义域[﹣2,3],可得﹣2≤x≤3,可得﹣8≤1﹣x2≤1.由解出即可.【解答】解:∵函数y=f(1﹣x2)的定义域[﹣2,3],∴﹣2≤x≤3,∴﹣8≤1﹣x2≤1 由解得故选:C.【点评】本题考查了函数的定义域的求法,考查了推理能力与计算能力,属于中档题.10.已知A={a,b,c},B={1,2,3},从A到B建立映射f,使f(a)+f(b)+f(c)=4,则满足条件的映射共有()A.1个 B.2个 C.3个 D.4个【考点】映射.【专题】计算题;函数的性质及应用.【分析】从f(a)+f(b)+f(c)=4分析,可知f(a),f (b),f(c)三个数应为1,1,2的不同排列.【解答】解:∵f(a)+f(b)+f(c)=4,∴①f(a)=1,f(b)=1,f(c)=2;②f(a)=1,f(b)=2,f(c)=1;③f(a)=2,f(b)=1,f(c)=1.,且x≠﹣2.,故选:C.【点评】函数是特殊的映射,函数与映射对于对应关系的要求是一样的,属于基础题目.11.若函数在R上为增函数,则a的取值范围为()A.1<a B.1<a≤3 C.1<a≤ D.a≥3 【考点】函数单调性的性质.【专题】函数的性质及应用.【分析】由题意可得≤0,a﹣1>0,且1≥2a﹣4,由此求得a的范围.【解答】解:根据函数且1≥2a﹣4,求得1<a≤,故选:C.在R上为增函数,可得≤0,a﹣1>0,【点评】本题主要考查函数的单调性的性质,体现了转化的数学思想,属于基础题.12.若函数f(x)=|mx2﹣(2m+1)x+m+3|恰有4个单调区间,则实数m的取值范围为()A.(﹣∞,)B.(﹣∞,0)∪(0,)【考点】函数的单调性及单调区间.【专题】函数的性质及应用.【分析】根据二次函数的单调性的性质进行求解即可.【解答】解:若f(x)=|mx2﹣(2m+1)x+m+3|恰有4个单调区间,则等价为函数y=mx2﹣(2m+1)x+m+3与x轴有两个不同的交点,即m≠0且判别式△=(2m+1)2﹣4m(m+3)>0,即4m2+4m+1﹣4m2﹣12m>0,即﹣8m+1>0,解得m<且m≠0,C.(0,] D.(,1] 即实数m的取值范围为(﹣∞,0)∪(0,),故选:B.【点评】本题主要考查函数单调性的应用,根据一元二次函数的性质转化为判别式△的关系是解决本题的关键.二、填空题(共4小题,每题5分,共20分)13.已知函数是幂函数,则m= 4 .【考点】幂函数的概念、解析式、定义域、值域.【专题】函数的性质及应用.【分析】利用幂函数的定义即可得出.【解答】解:∵函数∴m2﹣m﹣11=1,解得m=4.故答案为:4.【点评】本题考查了幂函数的定义,考查了推理能力与计算能力,属于基础题.14.已知函数f(x)=﹣x2+2bx+c,任意的x1,x2∈(﹣∞,0)且x1≠x2时,都有0,则实数b的取值范围为b≥0 .【考点】二次函数的性质.【专题】转化思想;数学模型法;函数的性质及应用.【分析】若任意的x1,x2∈(﹣∞,0)且x1≠x2时,都有∞,0)上为增函数,结合二次函数的图象和性质,可得实数b的取值范围.【解答】解:∵任意的x1,x2∈(﹣∞,0)且x1≠x2时,都有∴函数f(x)在(﹣∞,0)上为增函数,又∵函数f(x)=﹣x2+2bx+c的图象是开口朝下,且以直线x=b为对称轴的抛物线,<0,<0,则函数f(x)在(﹣<≠0,m+3≠0,是幂函数,故b≥0,故答案为:b≥0【点评】本题考查的知识点是二次函数的图象图象和性质,熟练掌握二次函数的图象和性质,是解答的关键.15.函数f(x)=2x﹣1+【考点】函数的值域.【专题】函数的性质及应用.【分析】可令,t≥0,可解出x=1﹣t2,并设y=f(x),从而可以得到,的值域为(] .这样由t的范围便可得出y的范围,即得出原函数的值域.【解答】解:令∴y=﹣2t2+t+1=∵t≥0;∴;].(t≥0),则x=1﹣t2,设y=f(x);;∴函数f(x)的值域为(故答案为:(].【点评】考查函数值域的概念,换元法求函数的值域,以及配方法求二次函数的值域.16.已知集合A=【考点】集合的表示法.【专题】集合.【分析】通过讨论a的范围,结合二次函数的性质求出关于a的取值即可.【解答】解:集合A={a|=1},=1有唯一实数解.,则集合A= {﹣,﹣1,1} .(1)若a=﹣1,则==1,符合.(2)若a=1,则==1,符合.(3)若a≠±1,=1有唯一实数解,等价于x2﹣x﹣1﹣a=0有唯一实数解,那么△=(﹣1)2﹣4×1×(﹣1﹣a)=0 即a=﹣.故答案为:{﹣,﹣1,1}.【点评】本题考查集合的表示法,解题时要认真审题,仔细解答,注意分类讨论思想的灵活运用.三、解答题(本大题共6题,共70分)17.设集合A={x|x+2≤0或x﹣3≥0},B={x|2a﹣1≤x≤a+2},若A∩B=B,求实数a的取值范围.【考点】集合的包含关系判断及应用.【专题】计算题;集合.【分析】由题意知B⊆A,从而讨论B是否是空集即可.【解答】解:∵A∩B=B,∴B⊆A,当B=∅时,2a﹣1>a+2,∴a>3;当B≠∅时,2a﹣1≤a+2,即a≤3;∴a+2≤﹣2或2a﹣1≥3,解得,a≤﹣4或2≤a≤3,综上所述,a≤﹣4或a≥2.【点评】本题考查了集合的运算及集合的关系应用.18.已知集合A={x|ax2+2x+1=0}.(1)若A中只有一个元素,求a的值;(2)若A中至多只有一个元素,求a的取值范围.【考点】元素与集合关系的判断.【专题】计算题.【分析】(1)A中只有一个元素包含两种情况:一次方程或二次方程只有一个根,二次方程根的个数通过判别式为0.(2)A中至多只有一个元素包含只有一个根或无根,只有一个根的情况在(1)已解决;无根时,判别式小于0,解得.【解答】解:(1)当a=0时,A={x|2x+1=0}=,符合条件;当a≠0时,方程ax2+2x+1=0为一元二次方程,要使A中只有一个元素,则方程ax2+2x+1=0只有一个实数解,所以△=4﹣4a=0⇒a=1.所以,a的值为0或1.(2)若A中至多只有一个元素,则A中只有一个元素,或A=∅.由(1)知:若A中只有一个元素,a的值为0或1;若A=∅,则方程ax2+2x+1=0无实数解,所以△=4﹣4a<0⇒a >1.所以,a≥1或a=0.【点评】本题考查分类讨论的数学方法、考查通过判别式解决二次方程根的个数问题.19.(1)已知﹣1,求f(x)的解析式.(2)已知f(x)是二次函数,且满足f(2)=4,f(﹣3)=4,且f(x)的最小值为2,求f(x)的解析式.【考点】二次函数的性质;函数解析式的求解及常用方法.【专题】转化思想;换元法;函数的性质及应用.【分析】(1)令t=,t≠1,则x=,利用换法法,先求出f(t),进而可得f(x)的解析式.(2)由已知可得f(x)的图象关于直线x=﹣对称,结合f(x)的最小值为2,可设出函数的顶点式方程,求出a值后,可得答案.【解答】解:(1)令t=∵﹣1,t≠1,则x=,∴=t2﹣2t,∴f(x)=x2﹣2x,x≠1,(2)∵f(x)是二次函数,且满足f(2)=4,f(﹣3)=4,故f(x)的图象关于直线x=﹣对称,又∵f(x)的最小值为2,∴设f(x)=a(x+)2+2,(a>0),则f(2)=a(2+)2+2=4,解得:a=∴f(x)=,(x+)2+2=x2+x+【点评】本题考查的知识点是换元法求函数解析式,待定系数法求函数解析式,二次函数的图象图象和性质,熟练掌握二次函数的图象和性质,是解答的关键.20.已知函数f(x)对任意a,b∈R,都有f(a+b)=f(a)+f (b)﹣3,并且当x>0时,f(x)>3.(1)求证:f(x)是R上的增函数.(2)若f(4)=2,解不等式f(3m2﹣m﹣2)>.【考点】抽象函数及其应用.【专题】函数的性质及应用;不等式的解法及应用.【分析】(1)先任取x1<x2,x2﹣x1>0.由当x>0时,f(x)>3.得到f(x2﹣x1)>3,再对f(x2)按照f(a+b)=f(a)+f (b)﹣3变形得到结论;(2)由f(4)=2,再将f(3m2﹣m﹣2)>转化为f(3m2﹣m ﹣2)>f(2),由(1)中的结论,利用单调性求解.【解答】解:(1)证明:任取x1<x2,∴x2﹣x1>0,∴f(x2﹣x1)>3.∴f(x2)=f[x1+(x2﹣x1)]=f(x1)+f(x2﹣x1)﹣3>f (x1),∴f(x)是R上的增函数;(2)∵f(4)=f(2)+f(2)﹣3=2,可得f(2)=,∴f(3m2﹣m﹣2)>=f(2),又由(1)的结论知,f(x)是R上的增函数,∴3m2﹣m﹣2>2,3m2﹣m﹣4>0,∴m<﹣1或m>,即不等式的解集为{m|m<﹣1或m>}.【点评】本题主要考查抽象函数的单调性证明和利用单调性定义解抽象不等式,利用定义法以及转化法是解决本题的关键.属于中档题.21.提高过江大桥的车辆通行能力可改善整个城市的交通状况,在一般情况下,大桥上的车流速度v(单位:千米/小时)是车流密度x (单位:辆/千米)的函数,当桥上的车流密度达到200辆/千米时,造成堵塞,此时车流速度为0;当车流密度不超过20辆/千米时,车流速度为60千米/小时,研究表明:当20≤x≤200时,车流速度v是车流密度x的一次函数.(Ⅰ)当0≤x≤200时,求函数v(x)的表达式;(Ⅱ)当车流密度x为多大时,车流量(单位时间内通过桥上某观测点的车辆数,单位:辆/小时)f(x)=x•v(x)可以达到最大,并求出最大值.(精确到1辆/小时).【考点】函数模型的选择与应用;基本不等式在最值问题中的应用.【专题】应用题.【分析】(Ⅰ)根据题意,函数v(x)表达式为分段函数的形式,关键在于求函数v(x)在20≤x≤200时的表达式,根据一次函数表达式的形式,用待定系数法可求得;(Ⅱ)先在区间(0,20]上,函数f(x)为增函数,得最大值为f (20)=1200,然后在区间[20,200]上用基本不等式求出函数f(x)的最大值,用基本不等式取等号的条件求出相应的x值,两个区间内较大的最大值即为函数在区间(0,200]上的最大值.【解答】解:(Ⅰ)由题意:当0≤x≤20时,v(x)=60;当20<x≤200时,设v(x)=ax+b 再由已知得,解得故函数v(x)的表达式为.(Ⅱ)依题并由(Ⅰ)可得当0≤x<20时,f(x)为增函数,故当x=20时,其最大值为60×20=1200 当20≤x≤200时,当且仅当x=200﹣x,即x=100时,等号成立.所以,当x=100时,f(x)在区间(20,200]上取得最大值综上所述,当x=100时,f(x)在区间[0,200]上取得最大值为.,即当车流密度为100辆/千米时,车流量可以达到最大值,最大值约为3333辆/小时.答:(Ⅰ)函数v(x)的表达式(Ⅱ)当车流密度为100辆/千米时,车流量可以达到最大值,最大值约为3333辆/小时.【点评】本题主要考查函数、最值等基础知识,同时考查运用数学知识解决实际问题的能力,属于中等题.22.已知函数f(x)=﹣x2+2ax+1.(1)若y=f(x)在(1,+∞)上单调递减,求a的取值范围.(2)若a=1时,y=f(x)在区间[m,n]上的值域为[2m,2n],求m,n的值.(3)记h(a)为y=f(x)在区间[﹣4,4]的最小值,求出y=h(a)【考点】二次函数的性质.【专题】函数的性质及应用.【分析】函数f(x)=﹣x2+2ax+1的图象是开口朝下,且以直线x=a为对称轴的抛物线;(1)若y=f(x)在(1,+∞)上单调递减,则a≤1;(2)若a=1时,y=f(x)在区间[m,n]上的值域为[2m,2n],则m,n为方程f(x)=﹣x2+2x+1=2x,即﹣x2+1=0的两根,解得m,n的值.(3)分段讨论,y=f(x)在区间[﹣4,4]的最小值h(a)的表达式,综合讨论结果,可得答案.【解答】解:函数f(x)=﹣x2+2ax+1的图象是开口朝下,且以直线x=a为对称轴的抛物线;(1)若y=f(x)在(1,+∞)上单调递减,则a≤1;(2)若a=1时,y=f(x)在区间[m,n]上的值域为[2m,2n],由函数在x=1时,取最大值2,故2m<2n≤2,即m<n≤1,故函数y=f(x)在区间[m,n]上为增函数,即,即m,n为方程f(x)=﹣x2+2x+1=2x,即﹣x2+1=0的两根,解得:m=﹣1,n=1,(3)当a≤﹣4时,函数y=f(x)在区间[﹣4,4]为减函数,此时h(a)=f(4)=8a﹣15;当﹣4<a<4时,函数y=f(x)在区间[﹣4,a]为增函数,[a,4]为减函数,此时h(a)=f(a)=a2+1;当a≥4时,函数y=f(x)在区间[﹣4,4]为增函数,此时h(a)=f(﹣4)=﹣8a﹣15;综上所述:h(a)=【点评】本题考查的知识点是二次函数的图象和性质,熟练掌握二次函数的图象和性质是解答的关键.第二篇:江西省抚州市临川十中2013-2014学年高一上学期期中考试语文试题高一上学期期中语文试卷第Ⅰ卷(选择题共36分)出卷人:谢艳红本卷12小题,每小题3分,共36分。
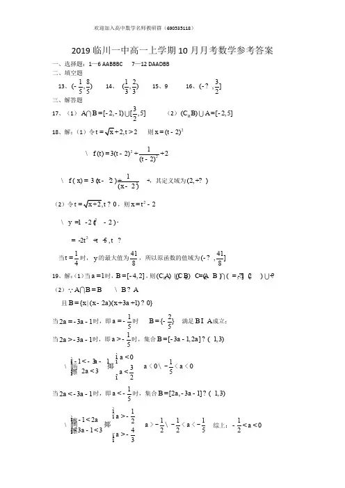
2019临川一中高一上学期10月月考数学参考答案一、选择题:1—6 AABBBC 7—12 DAADBB二、填空题13、18(,)55- 14、 12(,)33 15、9 16、3(,]2-? 三、解答题 17、(1)3[2,1)[,5]2A B =-- (2)()[2,5]R C B A=- 18、解:(1)令2,2t t > 则2(2)x t =-221()3(2)2(2)f t t t \=-++- 221()3(2)2(2)f x x x \=-++-,其定义域为(2,)+? (2)令0t t =?,则22x t =-212(2)y t t \=--+ 225,0tt t =-++? 当14t =时,y 的最大值为418,所以原函数的值域为41(,]8-? 19、解:(1)当1a =时,[4,2]B =-,则()()()(,1](2,)R R RC A C B C A B ==-?+? (2)A B B = B A \?且{|(2)(31)0}B x x a x a =-++?当231a a =--时,即15a =-时 2{}5B =- 满足B A Í成立; 当231a a >--时,即15a >-时,集合[31,2](1,3)B a a =--? 013110032352a a a a a a ì<ì-<--ïï\揶<\-<<眄<<镲îî 当231a a <--时,即15a <-时,集合[2,31](1,3)B a a =--? 112111243132253a a a a a a ì>-ïì-<镲\揶>-\-<<-眄--<镲î>-ïî综上:102a -<<20、解:(1)当12a =时,2()1,[1,1]f x x x x =+-?,其对称轴为12x =- 由于函数()y f x =在1(1,)2--上递减,在1(,1)2-递增 ()f x \的最大值为(1)1f = ()f x 的最小值为15()24f -=- (3)由2()21,f x x ax =+-其对称轴为x a =-当1a -?时,即1a ³时,()y f x =在[1,1]-上是递增的 m i n ()()(1)2f x g a f a \==-=- 当11a -<-<时,即11a -<<时,()y f x =在(1,)a --上递减,在(,1)a -递增2m i n ()()()1f xg a f a a ==-=-- 当1a -?时,即1a ?时,()y f x =在(1,1)-上递减m i n ()()(1)2f x g a f a \===综上:22,1()1,112,1a a g a a a a a ì-?ïï=---<<íï?ïî 21、解:(1)由图(1)可得市场售价与时间的函数关系为300,0200()2300,200300t t f t t t ì-#ï=í-<?ïî由图(2)可得种植成本与时间的函数关系为21()(150)100,0300200g t t t =-+#(2)设t 时刻的纯收益为()h t ,则由题意得()()()h t f t g t =-即2211175,020020022()171025,20030020022t t t h t t t t ì-++#ïï=íï-+-<?ïî 当0200t #时,配方得到21()(50)100200h t t =--+ 所以,当50t =时,()h t 取得区间[0,200]上的最大值为100;当200300t <?时,配方整理得到:21()(350)100200h t t =--+ 所以,当300t =时,()h t 取得区间(200,300]上的最大值为87.5。
2019-2020 年高一数学上学期第一次月考试卷1.假如会合Px | x1,那么()A.0 PB.0 PC.P D.0P2.已知全集 U= {0,1,2,3,4} , M ={0,1,2} , N= {2,3} ,则 (?UM) ∩ N= ()A. {2,3,4}B.{2}C.{3} D. {0,1,2,3,4}3.关于会合 A= {x|0≤ x≤,2}B= {y|0≤ y≤,3}则由以下图形给出的对应 f 中,能组成从 A 到 B 的函数的是 ()4.以下 4 组式子中表示同一函数的是()B. y x2;A. f ( x)x,(t)t2x , yx C. f ( x) 1 x 1 x , y 1 x2;2D. f ( x) (3-x), y x 3 ;5.已知会合xmx22x 1 0有且只有一个元素,则m的值是 ()A. 0B. 1或 1 D. 0 或-16.以下函数在( 0,)上是增函数的是()y1B .y xC .yx2x D. y2x 1 A .1,y (a1)x21与 y a7. 若在上,函数x 均单一递减,则 a 的取值范围是 ()A.a0B. a1C. 0a1D. 0a18.若一系列函数的分析式同样,值域同样,但定义域不一样,则称这些函数为么函数分析式为y=2x2- 1,值域为 {1,7}的“孪生函数”共有 ()“孪生函数”,那A.10 个B.9 个C.8 个D.4个9、若函数 y=x2﹣ 3x﹣4 的定义域为[0,m] ,值域为,则 m 的取值范围是()A. (0, 4]B.C.D.f (x)11( x0)a,b(a b) ,使 y f ( x) 的定义域为 (a, b) 10、已知函数x,若存在实数时 ,值域为(ma, mb),则实数m的取值范围是 ()m 11m1m1m4 且m0A.4B.4C.D.4二、填空题: (每题 4 分,共 20 分)y x 112x11、函数的定义域是 _________.f (x)x5( x1)x2( x1),则 f ( f ( 2))12. 已知______ .13.已知函数f ( x)的定义域为 [-2,2], 且f ( x)在区间 [-2,2] 上是增函数, f (1 m) f (m) ,求实数 m 的取值范围 ______________.14.若定义运算 a⊙ b=b, a≥b,函数 f(x)= x⊙ (2- x)的值域为 ________.a, a<b,15 学校运动会上,某班全部同学都参加了篮球或排球竞赛。
2019—2020届临川一中上学期第一次联合考试数学(文科)试卷第Ⅰ卷(选择题 共60分)一、选择题:本大题共12小题,每小题5分,共60分.在每小题给出的四个选项中,只有一项是符合题目要求的,在答题卷相应题目的答题区域内作答.1.设集合{}26A x x =-<<,{}24B x x =>,则A B =I ( )A. {}26x x <<B. {}26x x -<<C. {}22x x -<<D. {}6x x >2.设,a b R ∈,则“()20a b a ->”是“a b >”的( )A.充分不必要条件B.必要不充分条件C.充要条件D. 既不充分也不必要条件3.若2312a ⎛⎫= ⎪⎝⎭,2315b ⎛⎫= ⎪⎝⎭,1312c ⎛⎫= ⎪⎝⎭,则,,a b c 的大小关系为( ) A. a b c <<B. c a b <<C. b c a <<D. b a c << 4.若复数z 满足342z i +-=,则z z ⋅的最大值为( )A.9B. 81C.7D.495.已知等差数列{}n a 的首项为4,公差为2,前n 项和为n S ,若()544k k S a k N *+-=∈,则k 的值为( )A. 6B. 7C. 8D. 7或8 6.已知实数x y 、满足121y y x x y m ≥⎧⎪≤-⎨⎪+≤⎩,如果目标函数z x y =-的最小值为-1,则实数m =( )A. 6B. 5C. 4D. 37.某创业公司共有36名职工,为了了解该公司职工的年龄构成情况,随机采访了9位代表,得到的数据分别为36、36、37、37、40、43、43、44、44,若用样本估计总体,年龄在(),x s x s -+内的人数占公司人数的百分比是(其中x 是平均数,s 为标准差,结果精确到1%)A. 14%B. 25%C. 56%D. 67%8.在平行四边形ABCD 中,点P 在对角线AC 上(包含端点),且2AC =,则PB PD PA →→→⎛⎫+⋅ ⎪⎝⎭有( )A. 最大值为12,没有最小值 B. 最小值为12-,没有最大值 C. 最小值为12-,最大值为4 D. 最小值为4-,最大值为129.已知函数21()ln f x x x x ⎛⎫=- ⎪⎝⎭,则曲线()f x 在1x =-处切线方程为( ) A. 230x y -+= B. 210x y +-= C. 210x y -+= D. 20x y ++=10.如图所示是一几何体的三视图,正视图是一等腰直角三角形,且斜边BD 长为2,侧视图是一直角三角形,俯视图为一直角梯形,且1AB BC ==,则异面直线PB 与CD 所成角的正切值是( )A.1B.2C.22D.1211.关于函数()cos cos 2f x x x =+,有下列三个结论:①π是()f x 的一个周期;②()f x 在35,44ππ⎡⎤⎢⎥⎣⎦上单调递增;③()f x 的值域为[]2,2-.则上述结论中,正确的个数为( )A. 0B. 1C. 2D. 312.已知点P 是椭圆221168x y +=上非顶点的动点,12,F F 分别是椭圆的左、右焦点,O 为 坐标原点,若M 为12F PF ∠的平分线上一点,且10F M MP ⋅=u u u u r u u u r ,则OM u u u u r 的取值范围为( )A. (]0,3B. (0,22⎤⎦C. ()0,3D. ()0,22 第Ⅱ卷(非选择题 共90分)二、填空题:本大题共4小题,每小题5分,共20分.在答题卷相应题目的答题区域内作答.13.函数()()()23ln 2x f x x =-⋅-的零点个数为_______. 14.若1tan 4tan x x+=,则66sin cos x x +=_______. 15.当(],1x ∈-∞-时,不等式()2420x x m m -⋅-<恒成立,则实数m 的取值范围为 _______.16.在三棱锥P ABC -中,3,4,3,5PA PB AB BC AC =====,若平面PAB ⊥平面ABC ,则三棱锥P ABC -外接球的表面积为_______.三、解答题:本大题共6小题,共70分.解答应写出文字说明,证明过程或演算步骤.在答题卷相应题目的答题区域内作答.17.(本小题满分12分)已知数列{}n a 满足112n n a a +=,且112a =.(1)求数列{}n a 的通项公式;(2)求数列1n n a ⎧⎫+⎨⎬⎩⎭的前n 项和为n S .18.如图,四面体ABCD 中,ABC ∆是边长为1的正三角形,ACD ∆是直角三角形,ABD CBD ∠=∠,AB BD =. (1)证明:平面ACD ⊥平面ABC ;(2)若点E 为BD 的中点,求点B 到平面ACE 的距离.19.若存在过点()0,0O 的直线l 与曲线3232y x x x =-+和2y x a =+都相切,求a 的值. .20.抚州市某中学利用周末组织教职员工进行了一次秋季登军峰山健身的活动,有N 人参加,现将所有参加人员按年龄情况分为[20,25),[25,30),)35,30[,)40,35[,)45,40[,)50,45[,)55,50[等七组,其频率分布直方图如下图所示.已知)40,35[之间的参加者有4人.(1)求N 和)35,30[之间的参加者人数1N ;(2)组织者从[)40,55之间的参加者(其中共有4名女教师包括甲女,其余全为男教师)中随机选取3名担任后勤保障工作,求在甲女必须入选的条件下,选出的女教师的人数为2人的概率.(3)已知)35,30[和)40,35[之间各有2名数学教师,现从这两个组中各选取2人担任接待工作,设两组的选择互不影响,求两组选出的人中都至少有1名数学教师的概率?21.已知椭圆22:194x y C +=,若不与坐标轴垂直的直线l 与椭圆C 交于,M N 两点. A D B C E(1)若线段MN 的中点坐标为()1,1,求直线l 的方程;(2)若直线l 过点()6,0,点()0,0P x 满足0PM PN k k +=(,PM PN k k 分别是直线,PM PN 的斜率),求0x 的值.请考生在第22,23题中任选一题作答,若两题都做,按第一题给分,作答时一定要用2B 铅笔在答题卡上把所选题目对应的题号涂黑(都没涂黑的视为选做第22题)22. (本小题满分10分)在直角坐标系xOy 中,曲线C 的参数方程为1313x m m y m m ⎧=+⎪⎪⎨⎪=-⎪⎩(m 为参数),以坐标原点为极点,x 轴的正半轴为极轴建立极坐标系,直线l 的极坐标方程为cos 13πρθ⎛⎫+= ⎪⎝⎭. (1)求曲线C 的普通方程以及直线l 的直角坐标方程;(2)已知点()2,0M ,若直线l 与曲线C 交于,P Q 两点,求11MP MQ+的值.23. (本小题满分10分)已知函数2()4f x x =-,()2g x a x =-.(1)若关于x 的方程()()f x g x =只有一个实数解,求实数a 的取值范围;(2)若当x R ∈时,不等式()()f x g x ≥恒成立,求实数a 的取值范围.。
临川一中2019—2020学年度上学期月考高一年级数学试卷本试卷分第I 卷(选择题)和第Ⅱ卷(非选择题)两部分.满分150分,考试时间120分钟.第Ⅰ卷一、选择题:本大题共12小题,每小题5分,共60分.在每小题给出的四个选项中,只有一项是符合题目要求的.1.已知集合{}2230A x x x =-->,(){}lg 11B x x =+≤,则()R C A B =( )A .{}13x x -≤<B .{}19x x -≤≤C .{}13x x -<≤D .{}19x x -<< 2.已知0.22019a =,20190.2b =,2019c=log 0.2,则( ) A .c a b <<B .b a c <<C .c b a <<D .a c b <<3.已知函数()f x 在(1,2)内有1个零点,用二分法求零点的近似值时,若精度为0.01,则至少计算中点函数值( ) A .5次B .6次C .7次D .8次4.下列不等式正确的是( ) A .3sin130sin 40log 4>> B .tan 226ln 0.4tan 48<<C .()cos 20sin 65lg11-<< D .5tan 410sin 80log 2>>5.函数()y f x =的图象与函数()xg x e =的图象关于直线y x =对称,则函数()243y f x x=+-的单调递减区间为( )A .3,2⎛⎤-∞ ⎥⎝⎦ B .3,2⎡⎫+∞⎪⎢⎣⎭ C .31,2⎛⎤- ⎥⎝⎦ D .3,42⎡⎫⎪⎢⎣⎭6.已知函数()cos (0)6f x x πωω⎛⎫=+> ⎪⎝⎭的最小正周期为π,则该函数图像( ) A .关于点,06π⎛⎫⎪⎝⎭对称B .关于直线6x π=对称C .关于点,03π⎛⎫⎪⎝⎭对称 D .关于直线3x π=对称7.已知函数)53(212log )(+-=ax x x f 在),1(+∞-上是减函数,则实数a 的取值范围是( ))6,8.(--A ]6,.(--∞B ]6,8.[--C ]6,8.(--D8.函数3cos 1()x f x x+=的部分图象大致是( ) A .B .C . D .9.已知函数()()()sin 0,0,0f x A x A ωϕωϕπ=+>><<为偶函数,将()f x 图象上所有点的横坐标伸长到原来的2倍(纵坐标不变),所得的图象对应的函数为()g x ,若()g x 最小正周期为2π,且24g π⎛⎫= ⎪⎝⎭38f π⎛⎫= ⎪⎝⎭( ) A .-2B .2C .2-D 210.将函数()3sin y x x x R =+∈的图象向左平移()0m m >个长度单位后,所得到的图象关于原点对称,则m 的最小值是( ) A .12πB .6π C .3π D .23π 11.已知定义在R 上的函数()f x 满足()()()6,3f x f x y f x +==+为偶函数,若()f x 在(0,3)内单调递减.则下面结论正确的是( )A .()()1210ln 2f f e f ⎛⎫<< ⎪⎝⎭B .()()12ln 210f e f f ⎛⎫<< ⎪⎝⎭C .()()12ln 210f f f e ⎛⎫<< ⎪⎝⎭D .()()12ln 210f f e f ⎛⎫<< ⎪⎝⎭12.设奇函数()f x 在[]1,1-上是增函数,且()11f -=-,若对所有的[]1,1x ∈-及任意的[]1,1a ∈-都满足()221f x t at ≤-+,则t 的取值范围是( )]2,2.[-A ]21,21.[-B ),2[}0{]2,.(+∞--∞ C ),21[}0{]21,.(+∞--∞ D第II 卷二、填空题:本大题共4小题,每小题5分,共20分.13.已知角θ的终边经过点P (4,y ),且3sin 5θ=-,则()tan πθ-=__________14.若1cos 1sin 2αα+=,则cos 2sin αα+=_________15.函数()2lg1y axax =++的值域是R ,则a 的取值范围是_________ _16.定义在R 上的函数()f x 满足()()2=-+f x f x ,()()2f x f x =-,且当[]0,1x ∈时,()2f x x =,则方程()12f x x =-在[]8,10-上所有根的和为三、本大题共6小题,共70分.解答应写出文字说明、证明过程或演算步骤.17.(本小题满分10分)已知全集U =R ,集合{}56A x x =<≤,139x aB x -⎧⎫=<⎨⎬⎩⎭,其中a 为实数 (1)当152a =时,求A B ;(2)若()R C B A φ≠,求a 的取值范围18. (本小题满分12分) (1)已知51sin π123α⎛⎫+=⎪⎝⎭,求πsin 12α⎛⎫- ⎪⎝⎭的值. (2)已知角α的终边过点()43P ,-,β为第三象限角,且4tan 3β=,求()cos αβ-的值.19.(本小题满分12分)若函数()2sin()0,02f x x πωϕωϕ⎛⎫=+><< ⎪⎝⎭的图象经过点,且相邻的两个零点差的绝对值为6. (1)求函数()f x 的解析式;(2)若将函数()f x 的图象向右平移3个单位后得到函数()g x 的图象,当[1,5]x ∈-时,求()g x 的值域.20.(本小题满分12分)2019年,随着中国第一款5G 手机投入市场,5G 技术已经进入高速发展阶段.已知某5G 手机生产厂家通过数据分析,得到如下规律:每生产手机()010x x ≤≤万台,其总成本为()G x ,其中固定成本为800万元,并且每生产1万台的生产成本为1000万元(总成本=固定成本+生产成本),销售收入()R x 万元满足()24004200,05,20003800,510.x x x R x x x ⎧-+≤≤=⎨-<≤⎩ (1)将利润()f x 表示为产量x 万台的函数;(2)当产量x 为何值时,公司所获利润最大?最大利润为多少万元?21.(本小题满分12分)下图为函数()()sin 0,0,02f x A x A πωϕωϕ⎛⎫=+>><<⎪⎝⎭的部分图象,M 、N 是它与x 轴的两个交点,D 、C 分别为它的最高点和最低点,()0,1E 是线段MD 的中点,且OME∆为等腰直角三角形.(1)求()f x 的解析式;(2)将函数()f x 图象上的每个点的横坐标缩短为原来的一半,再向左平移12个单位长度得到()g x 的图象,求()g x 的解析式及单调增区间,对称中心.22.(本小题满分12分)已知函数()2lg ,2xf x m m R ⎛⎫=+∈ ⎪⎝⎭. (1)当1m =-时,求函数()f x 的定义域;(2)若函数()()2lg2g x f x x =+有且仅有一个零点,求实数m 的取值范围;(3)任取[]12,,2x x t t ∈+,若不等式()()121f x f x -≤对任意[]1,2t ∈恒成立,求实数m 的取值范围.参考答案CCCDD ACBCD AC13. 34 14. 1 15. 4≥a 16. 1617.(1)当152a =时,151522213339x x B x x ---⎧⎫⎧⎫⎪⎪⎪⎪=<=<=⎨⎬⎨⎬⎪⎪⎪⎪⎩⎭⎩⎭15112,22x x ⎧⎫⎛⎫-<-=-∞⎨⎬ ⎪⎝⎭⎩⎭,因为集合{}56A x x =<≤,所以(],6A B =-∞;(2)因为{}213339x ax a R C B x x ---⎧⎫=≥=≥⎨⎬⎩⎭[)2,a =-+∞, 又因为()R C B A φ≠,所以26a -≤,即8a ≤, 所以a 的取值范围是(],8-∞. 18.解:(1)由5πππ1sin πsin cos 12212123ααα⎡⎤⎛⎫⎛⎫⎛⎫+=--=-=⎪ ⎪ ⎪⎢⎥⎝⎭⎝⎭⎝⎭⎣⎦,得πsin 123α⎛⎫-===±⎪⎝⎭. (2)因为角α的终边过点()43P ,-,所以3sin 5α=,4cos 5α=-, 因为β为第三象限角,且4tan 3β=,所以4sin 5β=-,3cos 5β=- 所以()4334cos cos cos sin sin 05555αβαβαβ⎛⎫⎛⎫-=+=-⨯-+⨯-= ⎪ ⎪⎝⎭⎝⎭. 19.(1)∵()f x 相邻的两个零点差的绝对值为6, 记()2sin()0,02f x x πωϕωϕ⎛⎫=+><< ⎪⎝⎭的周期为T ,则62T=, 又2T πω=,∴6π=ω. ∴()2sin 062f x x ππϕϕ⎛⎫⎛⎫=+<<⎪⎪⎝⎭⎝⎭;∵()f x的图像经过点,∴(0)2sin 02f πϕϕ⎫==<<⎪⎭,∴3πϕ=,∴函数()f x 的解析式为()2sin 63f x x ππ⎛⎫=+⎪⎝⎭.(2)∵将函数()f x 的图像向右平移3个单位后得到函数()g x 的图像, 由(1)得,()2sin 63f x x ππ⎛⎫=+⎪⎝⎭,∴函数()g x 的解析式为()2sin (3)2sin 6366g x x x ππππ⎡⎤⎛⎫=-+=- ⎪⎢⎥⎣⎦⎝⎭;当[1,5]x ∈-时,2,6633x ππππ⎡⎤-∈-⎢⎥⎣⎦,则2sin [66x ππ⎛⎫-∈ ⎪⎝⎭.综上,当[1,5]x ∈-时,()g x 的值域为[2]. 20.(1)由题意得()8001000G x x =+.因为()24004200,05,20003800,510.x x x R x x x ⎧-+≤≤=⎨-<≤⎩所以()()()24003200800,05,10004600,510.x x x f x R x G x x x ⎧-+-≤≤=-=⎨-<≤⎩ (2)由(1)可得,当05x ≤≤时,()()240045600f x x =--+. 所以当4x =时,()max 5600f x =(万元)当510x <≤时,()10004600f x x =-,()f x 单调递增, 所以()()105400f x f ≤=(万元). 综上,当4x =时,()max 5600f x =(万元).所以当产量为4万台时,公司所获利润最大,最大利润为5600万元.21.(1)由已知点()0,1E 为线段MD 的中点,则2A =, 又OME ∆为等腰直角三角形,且2MOE π∠=,OM OE ∴=,则点()1,0M -,则()1,2D ,()12112π∴⋅=--=,解得πω=,()2sin f x x ϕπ⎛⎫∴=+ ⎪.将点D 的坐标代入函数()y f x =的解析式得2sin 24πϕ⎛⎫+=⎪⎝⎭,sin 14πϕ⎛⎫∴+= ⎪⎝⎭.02πϕ<<,3444πππϕ∴<+<,42ππϕ∴+=,解得4πϕ=, 因此,()2sin 44f x x ππ⎛⎫=+⎪⎝⎭;(2)将函数()y f x =图象上的每个点的横坐标缩短为原来的一半,得出函数2sin 24x y ππ⎛⎫=+⎪⎝⎭的图象,再向左平移12个单位长度,得到函数()12sin 2cos 2242x g x x πππ⎡⎤⎛⎫=++= ⎪⎢⎥⎝⎭⎣⎦,由()222xk k k Z ππππ-≤≤∈,得()424k x k k Z -≤≤∈.令()22xk k Z πππ=+∈,解得()21x k k Z =+∈.因此,函数()y g x =的单调增区间为[]()42,4k k k Z -∈,对称中心为()()21,0k k Z +∈.22.(1)当1m =-时,()212xf x lg ⎛⎫=-+ ⎪⎝⎭, 要使函数()f x 有意义,则需2102x -+>,即22x <,从而1x < 故函数()f x 的定义域为{}|1x x <(2)若函数()()2lg2g x f x x =+有且仅有一个零点, 则22202xlg m xlg ⎛⎫++= ⎪⎝⎭有且仅有一个根,即22(2)02x x lg m ⎡⎤⎛⎫+= ⎪⎢⎥⎝⎭⎣⎦,即22(2)12x x m ⎛⎫+= ⎪⎝⎭, 即()222210xx m +⋅-=有且仅有一个根令20x t =>,则2210mt t +-=有且仅有一个正根, 当0m =时,210t -=,则12t =,即1x =-,成立; 当0m ≠时,若()2241440m m ∆=-⋅-=+=即1m =-时,1t =,此时0x =成立; 若()2241440m m ∆=-⋅-=+>,需10m-<,即0m >, 综上,m 的取值范围为[){}0,1+∞-(3)若任取[]12,,2x x t t ∈+,不等式()()121f x f x -≤对任意[]1,2t ∈恒成立, 即()()max min 1f x f x -≤对任意[]1,2t ∈恒成立, 因为()22xf x lg m ⎛⎫=+⎪⎝⎭在定义域上是单调减函数, 所以2()2max tf x lg m ⎛⎫=+⎪⎝⎭,22()2min t f x lg m +⎛⎫=+ ⎪⎝⎭, 即222()()122max min tt f x f x lg m lg m +⎛⎫⎛⎫-=+-+≤ ⎪ ⎪⎝⎭⎝⎭, 即2221022tt m m +⎛⎫⎛⎫+≤+ ⎪ ⎪⎝⎭⎝⎭,则392tm ≥-, 所以339()24max t m ≥-=-,即112m ≥-, 又()22xf x lg m ⎛⎫=+ ⎪⎝⎭有意义,需202x m +>,即22xm ->, 所以222t m +->,[]1,2t ∈,18m -> 所以m 的取值范围为),121[+∞-。
2019-2020届临川一中上学期第一次联合考试高三数学试题(理)命题人:曾冬平 唐梦静 审题人:张文军一、选择题:本大题共12小题,每小题5分,共60分.在每小题给出的四个选项中,只有一项是符合题目要求的.1.若21i z i-=+,则=⋅z z ( ) A.-2 B. 2 C. 52 D. -522.设集合{}{}2|2|3A x x a B x x a =>=<-,,若B A ⋂为空集,则实数a 的取值范围为( ) A. (12), B.(2)(1∞⋃+-∞,,) C. [12], D. (1][2∞⋃+-∞,,) 3. 设a ,b ∈R ,则“(a -b )a 2>0”是“a >b ”的( )A .充分不必要条件B .必要不充分条件C .充要条件D .既不充分也不必要条件 4.若函数x ax x f ln )(-=的图象上存在与直线042=-+y x 垂直的切线,则实数a 的取值范围是( )A.(),2-+∞B.),21(+∞ C.(),21-+∞ D.),2(+∞5.若00x y ><,,则下列不等式一定成立的是( )A. 222x y x ->B. 1222(1)x y log x ->+C. x y x +>-122D. x y x ->-122 6. 17世纪德国著名的天文学家开普勒曾经这样说过:“几何学里有两件宝,一个是勾股定理,另一个是黄金分割.如果把勾股定理比作黄金矿的话,那么可以把黄金分割比作钻石矿.” 黄金三角形有两种,其中底与腰之比为黄金分割比的黄金三角形被认为是最美的三角形,它是一个顶角为36°的等腰三角形(另一种是顶角为108°的等腰三角形). 例如,五角星由五个黄金三角形与一个正五边形组成,如图所示,在其中一个黄金△ABC中,BC AC 根据这些信息,可得= 216cos ( )A. 48+-B. 14-C. 38+-D.14- 7.若函数⎩⎨⎧>-≤+=1),1(log 1,22)(2x x x x f x ,在(]a -∞,上的最大值为4,则a 的取值范围为( )A. (]17,1B. (]9,1C.[]17,1D. []9,18.将编号为1,2,3,4,5,6的六个小球放入编号为1,2,3,4,5,6的六个盒子中,每个盒子放一个小球,若有且只有三个盒子的编号与放入的小球编号相同,则不同的放法总数是( )A.40B.60C.80D.1009.执行如图所示的程序框图,若输出的结果是7,则判断框内m 的取值范围是( )A .(30,42]B .(30,42)C .(42,56]D .(42,56)10.已知F 1,F 2为椭圆x 2a 2+y 2b 2=1(a >b >0)的两个焦点,B 为椭圆短轴的一个端点, BF 1―→·BF 2―→≥14F 1F 2―→2,则椭圆的离心率的取值范围为( ) A.⎝⎛⎦⎤0,12 B.⎝⎛⎭⎫0,22 C.⎝⎛⎦⎤0,33 D.⎝⎛⎭⎫12,111.设曲线y =cos x 与x 轴、y 轴、直线x =π6围成的封闭图形的面积为b ,若g (x )=2ln x -2bx 2-kx 在[1,+∞]上的单调递减,则实数k 的取值范围是( )A .[0,+∞)B .(0,+∞)C .[1,+∞)D . (1,+∞)12.设数列{}n a 的前n 项和为n S ,且满足221=+a a ,321+=+n n S a ,用][x 表示不超过x 的最大整数,设][n n a b =,数列{}n b 的前n 2项和为n T 2,则使20192>n T 成立的最小正整数n 是( )A.5B.6C.7D.8二、填空题:本大题共4小题,每小题5分,共20分.把答案填在答题卡中的横线上. 13.921⎪⎭⎫ ⎝⎛-x x 展开式中的常数项为 14.设n S 是公差不为0的等差数列{}n a 的前n 项和,且172a a -=,则=+7911a S S . 15.如图所示是一几何体的三视图,正视图是一等腰直角三角形,且斜边BD 长为2,侧视图是一直角三角形,俯视图为一直角梯形,且1AB BC ==,则异面直线PB 与CD 所成角的正切值是16.已知双曲线)0,0(12222>>=-b a by a x 的左、右焦点分别为21F F ,,点A 是双曲线左支上的一点,若直线1AF 与直线x ab y =平行且21F AF △的周长为a 9,则双曲线的离心率为 .三、解答题:共70分.解答应写出文字说明、证明过程或演算步骤.第17-21题为必考题,每道试题考生都必须作答.第22、23题为选考题,考生根据要求作答.(一)必考题:共60分.17.△ABC 的内角A 、B 、C 所对的边长分别为a 、b 、c ,已知a cos B =(4c -b )cos A .(1)求cos A 的值;(2)若b =4,点M 在线段BC 上,AB →+AC →=2AM →,|AM →|=10,求△ABC 的面积.18.如图,在三棱锥P -ABC 中,平面PAB ⊥平面ABC ,AB =6,BC =23,AC =26,D ,E 分别为线段AB ,BC 上的点,且AD =2DB ,CE =2EB ,PD ⊥AC .(1)求证:PD ⊥平面ABC ;(2)若直线PA 与平面ABC 所成的角为45°,求平面PAC 与平面PDE 所成的锐二面角大小.19.已知椭圆)0(12222>>=+b a by a x 的离心率23,一个长轴顶点在直线2+=x y 上,若直线l 与椭圆交于Q P ,两点,O为坐标原点,直线OP的斜率为1k,直线OQ的斜率为2k.(1)求该椭圆的方程.(2)若k1·k2=-14,试问OPQ△的面积是否为定值?若是,求出这个定值;若不是,请理说明由.20.抚州不仅有着深厚的历史积淀与丰富的民俗文化,更有着许多旅游景点.每年来抚州参观旅游的人数不胜数.其中,名人园与梦岛被称为抚州的两张名片,为合理配置旅游资源,现对已游览名人园景点的游客进行随机问卷调查.若不去梦岛记1分,若继续去梦岛记2分.每位游客去梦岛的概率均为23,且游客之间的选择意愿相互独立.(1)从游客中随机抽取3人,记总得分为随机变量X,求X的分布列与数学期望;(2)若从游客中随机抽取m人,记总分恰为m分的概率为A m,求数列{A m}的前6项和;(3)在对所有游客进行随机问卷调查的过程中,记已调查过的累计得分恰为n分的概率为B n,探讨B n与B n-1之间的关系,并求数列{B n}的通项公式.21. 已知函数2211()21)((2)42f x x lnx ax lnx x =----. (1)讨论f (x )的单调性.(2)试问是否存在(]a e ∈-∞,,使得1()3sin 44a f x π>+,对1)[x ∈+∞,恒成立?若存在,求a 的取值范围;若不存在,请说明理由.(二)选考题:共10分.请考生在第22、23题中任选一题作答,如果多做,则按所做的第一题计分.22.[选修4—4:坐标系与参数方程] (10分) 在直角坐标系xOy 中,曲线C 的参数方程为⎩⎨⎧==ααsin cos y x ([0,2),απα∈为参数),在同一平面直角坐标系中,经过伸缩变换'2'x x y y=⎧⎨=⎩,得到曲线1C ,以坐标原点O 为极点,x 轴的正半轴为极轴建立极坐标系(ρ为极径,θ为极角).(Ⅰ)求曲线C 的直角坐标方程和曲线C 1的极坐标方程;(Ⅱ)若射线():0OA θβρ=>与曲线C 1交于点A ,射线():02OB πθβρ=+>与曲线C 1交于点B ,求2211OAOB +的值.23.[选修4—5:不等式选讲] (10分) 已知函数21()|||1|(0)a f x x x a a+=-+->,g()4|1|x x =-+.(Ⅰ)当1a =时,求不等式5)(≥x f 的解集; (Ⅱ)若关于x 的不等式()()f x g x ≤的解集包含[]1,2,求a 的取值集合.。
2019-2020学年江西省抚州市临川第一中学度高一上学期第一次月考数学试题一、单选题1.已知全集{1,2,3,4,5,6},U =集合{1,3,4}A =,集合{1,3,5}B =,则()U C A B =( ) A .{5} B .{1,3}C .{1,3,4,5}D .∅【答案】A【解析】先求集合A 的补集,再与B 求交集即可. 【详解】因为{1,2,3,4,5,6},U ={1,3,4}A =,{2,5,6}U C A ∴=,(){5}U C A B ∴⋂=,故选A . 【点睛】本题考查了集合的补集和交集运算,属基础题.2.已知函数222,1(),22,1x x f x x x x ⎧-≤=⎨+->⎩则1()(2)f f 的值为( ) A .7136B .6C .74D .119【答案】A【解析】先求(2)f 16=,再求1()6f 即可.【详解】2(2)22226f =+⨯-=,21171()2()6636f ∴=-=,故选A . 【点睛】满足分段函数的哪一段的范围,就用哪一段的解析式求值. 3.设集合15{|,},{|,}266k A x x k Z B x x k k Z ==+∈==-∈,则集合A 和集合B 的关系为( )A .AB = B .B A ⊆C .A B ⊆D .A B Ø【答案】B【解析】通过对集合A 和集合B 中的元素的公共属性变形,找出相同和不同点即可得到. 【详解】131266k k x +=+=,31{|,}6k A x x k Z +∴==∈,5653(22)1666k k x k --+=-==3(22)1{|,}6k B x x k Z -+∴==∈,B A ⊆.故选B. 【点睛】解题关键是对两个集合中元素的公共属性进行变形. 4.已知函数()f x 满足112()()f x xf x x=+,则(3)f =( ) A .3 B .299 C .239D .13【答案】B【解析】在已知恒等式中分别3x =和13x =得到两个方程,再联立方程组消元可解得. 【详解】在112()()f x xf xx =+中, 分别令3x =和13x =得:112(3)3()33f f =+ ①,112()(3)333f f =+ ②,联立①②消去1()3f , 解得:29(3)9f =. 故选B . 【点睛】通过对已知恒等式中的变量赋值,是解题的关键. 5.已知集合{}12{|},3,42A a N NB a =∈∈=-,集合C 满足B C A ⊆⊆,则所有满足条件的集合C 的个数为( ) A .8 B .16C .15D .32【答案】B【解析】先求出集合A ,再根据集合C 满足B C A ⊆⊆,可知集合C 中一定含有元素3和4,可能含有5,6,8,14,因此所有满足条件的集合C 的个数为4216=. 【详解】12,2a N N a ∈∈-, 21a ∴-= 或22a -=或23a -=或24a -=或26a -=或212a -=,即3a =或4a =或5a =或6a =或8a =或14a =,{3,4,5,6,8,14}A ∴=,又因为{3,4}B =且集合C 满足B C A ⊆⊆,所以集合C 中一定含有元素3和4,可能含有5,6,8,14, 因此所有满足条件的集合C 的个数为4216=. 故选B . 【点睛】本题考查了集合的包含关系.属基础题.6.已知函数()f x 的定义域为[2,3]-,则函数2()g x = )A .(,1)(2,)-∞-+∞ B .[6,1)(2,3]--⋃C .[1)-⋃D .[2,1)(2,3]--⋃【答案】C【解析】利用复合函数的定义域和偶次根式和分母有意义的条件列不等式组可解得. 【详解】因为函数()f x 的定义域为[2,3]-,所以要使2()g x =,只需2223320x x x ⎧-≤-≤⎨-->⎩,解得:1x ≤<-或2x <≤所以函数()g x 的定义域为[1)-⋃. 故选C. 【点睛】本题考查了复合函数的定义域的求法.属中档题.7.已知函数()f x =,则(2)f x -的单调递增区间为( )A .1(,)2+∞B .1(,2)2C .1(1,)2-D .3(,3)2【答案】D【解析】由()y f x =的解析式求出(2)y f x =-的解析式,再通过解析式求定义域,然后在定义域范围内求出分母中二次函数的单调递减区间即可. 【详解】 因为()f x =,所以(2)f x -=由230x x -+>得03x <<,所以(2)y f x =-的定义域为(0,3).又22393()24y x x x =-+=--+在3(0,)2上递增,在3(,3)2上递减, 所以(2)y f x =-的单调递增区间为3(,3)2.故选D . 【点睛】本题容易忽视函数的定义域,只能在定义域范围内求函数的单调区间. 8.已知函数()f x 与()g x 分别是定义域上的奇函数与偶函数,且21()()21f xg x x x +=--+,则(2)f =( ) A .23-B .73C .-3D .113【答案】A【解析】利用两个函数的奇偶性和已知恒等式构造另一个等式,再联立消元,解得()f x 即可解得(2)f . 【详解】因为21()()21f xg x x x +=--+ ①, 用x - 替换恒等式中的x 得:2211()()()2211f xg x x x x x -+-=---=---+-+ 又因为函数()f x 与()g x 分别是定义域上的奇函数与偶函数, 所以()()f x f x -=- ,()()g x g x -= , 所以21()()21f xg x x x -+=---+ ②,联立①②消去,()g x ,解得11()2222f x x x =-++-+ , 所以11(2)222222f =-+⨯+-⨯+ =23-. 故选A . 【点睛】本题考查了利用函数的奇偶性构造等式求函数解析式. 9.已知函数22+3()(21)mm f x n x -+=-,其中m N ∈,若函数()f x 为幂函数且其在(0,)+∞上是单调递增的,并且在其定义域上是偶函数,则m n +=( )A .2B .3C .4D .5【答案】A【解析】根据幂函数的概念和性质列式可解得. 【详解】因为函数()f x 为幂函数,所以211n -=,所以1n =,又因为函数()f x 在(0,)+∞上是单调递增函数,所以2230m m -++>, 所以13m -<<,因为m N ∈,所以0,1,2m =.当0,2m = 时,函数()f x 为奇函数,不合题意,舍去.当1m = 时.4()f x x =为偶函数,符合题意.所以112m n +=+=. 故选A . 【点睛】本题考查了幂函数的概念和性质.属基础题.10.已知关于x 的方程22(28)160x m x m --+-=的两个实根为12,x x 满足123,2x x <<则实数m 的取值范围为( ) A .4m < B .142m -<< C .742m <<D .1722m -<< 【答案】D【解析】利用二次方程实根分布列式可解得. 【详解】设22()(28)16f x x m x m =--+-,根据二次方程实根分布可列式:3()02f <,即2233()(28)16022m m --⨯+-<, 即241270m m --<,解得:1722m -<<. 故选D. 【点睛】本题考查了二次方程实根的分布.属基础题.11.已知函数25(2),1(),2(72)1,1a x x f x x a x x ⎧-+≥⎪=⎨⎪-+-+<⎩对任意12,x x R ∈且12x x ≠时,有1212()()0f x f x x x ->-,则实数a 的取值范围为( )A .522a <≤ B .13562a ≤≤ C .2a < D .136a < 【答案】B【解析】先根据对任意12,x x R ∈且12x x ≠时,有1212()()0f x f x x x ->-得到函数()f x 单调递增,再根据分段函数的两段都递增且1x <时的最大值小于等于1x ≥时的最小值列不等式组解得即可. 【详解】因为对任意12,x x R ∈且12x x ≠时,有1212()()0f x f x x x ->-,所以()f x 为R 上的单调递增函数,所以2072125172122a a a a ⎧⎪->⎪-⎪-≥⎨-⎪⎪-+-+≤-+⎪⎩,解得:13562a ≤≤. 故选B . 【点睛】分段函数的单调性除了要各段都单调外,还要考虑各段的最值关系. 12.设函数2()(),[,](),1xf x x R M a b a b x=-∈=<+集合{|(),},N y y f x x M ==∈则使得M N =成立的实数对(,)a b 有( ) A .0个B .1个C .2个D .无数多个【答案】A【解析】先得到函数()f x 为R 上为奇函数,在R 上为递减函数,再根据定义域和值域都是[,]()a b a b <,列方程组无解可得.【详解】2()1||xf x x =-+,22()()1||1||x xf x f x x x -∴-=-==-+-+,()f x ∴是R 上的奇函数.当0x ≥时,22(1)2()11x x f x x x +-=-=-++221x=-++是单调递减函数, 所以()f x 是R 上的单调递减函数,[,]x a b ∈ ,∴ 值域是[(),()]f a f b ,即(),()a f b b f a == ,21b a b ∴=-+ ,21a b a=-+ , 解得:a b = ,这与已知a b < 相矛盾. 即使得M N =成立的实数对(,)a b 不存在. 故选A . 【点睛】解题关键是利用奇偶性,单调性求函数值域,再与已知值域相等,从而可列方程组来解.二、填空题13.已知映射:(,)(2,2)f x y x y x y →+-,则在映射f 的作用下元素(3,2)-的原像为_______.【答案】18(,)55-【解析】本题是已知像,求原像.而(,)x y 是原像,(2,2)x y x y +-是像, 所以由(2,2)(3,2)x y x y +-=- ,列方程组解得,x y 的值可得原像. 【详解】依题意:由2322x y x y +=⎧⎨-=-⎩ ,解得:1585x y ⎧=-⎪⎪⎨⎪=⎪⎩, 即在映射f 的作用下元素(3,2)-的原像为18(,)55-. 故答案为:18(,)55-. 【点睛】本题考查了映射的概念,属基础题..14.已知函数()f x 是定义域为R ,且函数(1)f x +的图像关于1x =-对称且在(,1)-∞-上是单调递增的,则不等式1(21)()3f x f ->的解集为_________. 【答案】12(,)33【解析】根据已知条件和平移变换可得函数()f x 的奇偶性和单调性,再根据奇偶性和单调性解函数不等式可得. 【详解】因为(1)f x +的图像关于1x =-对称且在(,1)-∞-上是单调递增的,所以()f x 的图象关于0x =(即y 轴)对称, 且在(,0)-∞上是单调递增的,所以()f x 为R 上的偶函数,在(0,)+∞上是单调递减的.所以(21)(|21|)f x f x -=-,所以原不等式等价于1(|21|)()3f x f ->,所以1|21|3x -<,解得:1233x <<. 故答案为:12(,)33.【点睛】本题考查了平移变换,函数的奇偶性和单调性.属中档题.15.已知函数2()410f x x x =-+([,]x m n ∈)的值域为[3,3]m n ,则2____.m n +=【答案】9【解析】根据函数()f x 在R 上的最小值为6,可得36m ≥ ,从而可得函数()f x 在[,]m n 上的单调性,再利用单调性求得函数()f x 在[,]m n 上的值域.从而可解得,m n 的值. 【详解】22()410(2)6f x x x x =-+=-+6≥,36m ≥,2m ∴≥ ,又函数()f x 的对称轴为2x =, 所以函数()f x 在[,]m n 上单调递增. 所以()3,()3f m m f n n ==,即24103m m m -+= ,24103n n n -+= , 解得:2m = 或5m = ;2n = 或5n = , 又m n < ,所以2,5m n == , 所以2459m n +=+= , 故答案为:9. 【点睛】关键是利用函数()f x 在[,]m n 上的值域是函数()f x 在R 上的值域的子集可得m 的范围,这样避免了对m 进行分类讨论.16.设函数222,(),20x x f x xx ⎧≥=⎨-<⎩不等式(3)3)f x f x -≥的解集为_________. 【答案】3(,]2-∞【解析】按照①03x ≤≤ ;②3x > ;③0x < 分三种情况讨论,代入解析式可解得. 【详解】当03x ≤≤时,不等式(3)3)f x f x -≥可化为:222(3)3)x x -≥⨯ , 即69x ≤,解得:302x ≤≤.当3x >时,(3)0f x -<,3)0f x >,原不等式无解;当0x <时,(3)0,3()03f x f x -><,原不等式恒成立; 故原不等式的解集为:3(,]2-∞ . 【点睛】解题关键是讨论3x - 和x 的符号.三、解答题17.已知集合2{|3100}A x x x =-++≥,集合23{|0}1x B x x -=≥+,则 (1)求AB(2)求()R C B A【答案】(1)3[2,1)[,5]2A B ⋂=--⋃;(2)()[2,5]R C B A ⋃=- 【解析】化简集合,A B 后,利用集合的交并补进行运算可得. 【详解】(1)2{|3100}A x x x =-++≥{|25}x x =-≤≤;{|1B x x =<-或3}2x ≥,3[2,1)[,5]2A B ⋂=--⋃.(2)3{|1}2R C B x x =-≤<,所以()[2,5]R C B A ⋃=- . 【点睛】本题考查了集合的交并补运算,属基础题.18.已知函数12)32f x x=++,函数()12g x x =-(1)求函数()f x 的解析式,并写出其定义域. (2)求函数()g x 的值域. 【答案】(1) 221()3(2)2(2)f x x x =-++-,其定义域为(2,)+∞;(2) 41(,]8-∞【解析】(1)换元,2,2t t =>;(2)换元0t t =≥,化为关于t 的二次函数求值域. 【详解】解:(1)令2,2t t =>,则2(2)x t =-221()3(2)2(2)f t t t ∴=-++-221()3(2)2(2)f x x x ∴=-++-,其定义域为(2,)+∞(2)令0t t =≥,则22x t =-212(2)y t t ∴=--+225,0t t t =-++≥ 当14t =时,y 的最大值为418,所以原函数的值域为41(,]8-∞ 【点睛】利用换元法时,一定要注意新元的取值范围.19.已知集合{|13}A x x =-<<,集合22{|(1)620,}B x x a x a a a R =++--≤∈,则(1)若1a =时,求()()R R C A C B ⋃(2)若,A B B ⋂=求实数a 的取值范围。
2019学年度第一学期高一第一次大考数 学 试 卷第Ⅰ卷一、选择题(本大题共12小题,每小题5分,共60分,在每小题给出的四个选项中,有且只有一项是符合题目要求的 )1.把集合{}2450x x x --=用列举法...表示为( ) A .{1x =-,5x =} B .{x |1x =-或5x =} C .{2450x x --=}D .{1,5-}2.下列对应关系:①{1,4,9}A =,{3,2,1,1,2,3}B =---,:f x x →的平方根; ②,A R B R ==,:f x x →的倒数; ③,A R B R ==,2:2f x x →-;④{1,0,1}A =-,{1,0,1}B =-,2:f x x →. 其中f 是A 到B 的映射的是( ) A. ①③ B.②④C. ②③D. ③④3.已知5,(6)()(2),(6)x x f x f x x -≥⎧=⎨+<⎩,则(3)f =( )A .2B .3 C.4D .54. 已知集合{|3,}nS x x n N *==∈,集合{|3,}T x x n n N *==∈,则S 与T 的关系是( )A. S T =∅IB. T S ⊆C. S T ⊆D. S ⊆T 且T ⊆S5.已知集合{}{}13, 2 2,P x x Q x x x =∈≤≤=∈≥≤-R R 或 则()P Q =R U ð( )A .[2,3]B .(2,3]-C .[1,2)D .(,2][1,)-∞-+∞U6.下列函数中,在[)1,+∞上为增函数的是( ) A.()22y x =- B.1y x =- C.11y x =+ D.()21y x =-+ 7.如图的曲线是幂函数n y x =在第一象限内的图象,已知n 分别取112±,,2四个值,相应曲线1C 、2C 、3C 、4C 的n 依次为( )A .11122-,,,B .12112-,,, C .111222-,,, D .112122-,,,8.已知(31)4,(1)(),(1)a x a x f x ax x -+<⎧=⎨-≥⎩是定义在(,)-∞+∞上是减函数,则a 的取值范围是( )A .11[,)83B .1[0,]3C. 1(0,)3D .1(,]3-∞9.已知函数c bx x y ++=2,且)()1(x f x f -=+,则下列不等式中成立的是( )A .)2()0()2(f f f <<-B .)2()2()0(f f f <-<C .)2()2()0(-<<f f fD .)2()0()2(-<<f f f10.函数()f x 在(,)-∞+∞单调递减,且为奇函数.若(11)f =-,则满足21()1x f --≤≤的x 的取值范围是( ) A .[2,2]-B .[1,1]-C .[0,4]D .[1,3]11.若α、β是关于x 的方程()053222=+++--k k x k x (R k ∈)的两个实根,则22βα+ 的最大值等于( )A .6B .950C .18D .19 12.若函数()()()222f x x x xax b =+-++是偶函数,则()f x 的最小值为( )A.94 B.114 C.94- D.114- 第Ⅱ卷二、填空题(本大题共4小题,每小题5分,共20分。
2019 年临川一中高三数学(文科)月考试卷第Ⅰ卷(选择题 共 60分)一、选择题:本大题共12 小题,每题 5 分,共 60 分.在每题给出的四个选项中,只有 一项为哪一项吻合题目要求的,在答题卷相应题目的答题地域内作答. 1.设 A { x | y1 x}, B { y | yln(1 x)} ,则 AB( )A . { x | x 1}B . { x | x 1}C . { x | 1 x 1}D .2.已知函数 yf ( x 1) 定义域是 [ 2, 3] ,则 yf (2x1) 的定义域()A .[ 3,7]B .[ 1,4]C . [ 5,5]D . [0, 5]23.命题 “存在 x R , 使 x 2ax 4a0 ,为假命题 ”是命题 “ 16 a 0 ”的()A .充要条件B .必要不充分条件C .充分不用要条件D .既不充分也不用要条件4.若幂函数 f ( x)mx a 的图像经过点 A( 1 , 1 ) ,则它在点 A 处的 切线方程是()4 2A . 2 x y 0B . 2 x y 0C . 4 x 4 y 1 0D . 4x 4 y 1 0[本源 学 科 网]5.将函数 ysin(4 x) 图象上各点的横坐标伸长到原的 2 倍,再向左平移个单位,64纵坐标不变,所得函数图象的一条对称轴的方程是()A xB. x6C x3Dx12126.函数 ycos 4x的图象大体是()2xyyyyOxOxOx O xABCD7.已知定义在 R 上的偶函数, f x 在 x 0 时, f ( x) e xln( x 1) ,若 f a f a 1 ,则 a 的取值范围是()A .,1B . (, 1)28.以下四个命题:○ 1 x < (1 x ; x ∈ (0, +∞ ), ())23○ 1 x > log x ∈ (0,+∞),()1 x ;322C .(1,1)D . 1,2○x ∈ (0, 1), logx > log 1 x ;2123○ 11 x< logx ∈ (0, ), ()1x.4233其中真命题是()A .○1○3B .○2○3C .○2○4D . ○3○4第Ⅱ卷(非选择题 共 90分)二、填空题: 本大题共 4 小题,每题 5 分,共 20 分.在答题卷相应题目的答题地域内作答.13. 若函数 f xk 2 x 在其定义域上为奇函数,则实数k.1 k 2x14.定义在 R 上的奇函数f (x) 满足 f ( x)f (x3), f (2014)2, 则 f ( 1) =.215. 已知命题 p :2x 1 ,命题 q : x 2 2 x 1 m 0( m 0) ,若非 p 是非 q 的必要不充2x 1分条件,那么实数 m 的取值范围是 .sin x,x 0,216.关于函数 f (x)1f ( x 2), x (2,),有以下 4 个命题:2①任取 x 1、x 2 0,,都有f ( x 1) f (x 2 ) 2 恒成立;② f ( x) 2kf (x 2k ) ( k N * ) ,关于所有 x0,恒成立;③函数 y f ( x) ln( x 1) 有 3 个零点;④对任意 x0,不等式 f ( x)2恒成立.x则其中所有真命题的序号是.三、解答题:本大题共 6 小题,共 70 分.解答应写出文字说明,证明过程或演算步骤.在答题卷相应题目的答题地域内作答.17.(本小题满分10 分)已知会集A{ x | 33x27}, B{ x | log 2x1}.( 1)分别求A B ,C R B A ;( 2)已知会集C x1x a,若C A,求实数 a 的取值会集.y 18.(本小题满分12 分)如图,在平面直角坐标系xOy 中,点A(x1,y1)B A在单位圆 O 上,xOA,且,. D O C x62( 1)若cos()11x1的值;,求313( 2)若B(x2,y2)也是单位圆O上的点,且AOB.过点A、B分别做x轴的垂线,垂3足为 C、D ,记AOC 的面积为 S1, BOD 的面积为 S2.设 f S1 S2,求函数 f 的最大值.19.(本小题满分 12 分)已知函数f x x a( a 、b为常数).x b ( 1)若b1,解不等式 f ( x1)0;( 2)若a 1 ,当x1,2时,f ( x)1恒成立,求 b 的取值范围.( x b) 220.(本小题满分12分)如图甲,⊙O的直径AB2,圆上两点 C , D在直径AB的两侧,使CAB,DAB.沿直径AB折起,使两个半圆所在的平面互相垂43直(如图乙), F 为BC的中点, E为AO的中点. P为AC上的动点,依照图乙解答以下各题:( 1)求点 D 到平面 ABC 的距离;( 2)在 BD 弧上可否存在一点 G ,使得 FG ∥平面 ACD ?若存在,试确定点 G 的地址;若不存在,请说明原由.21.(本题满分 12 分)如图, O 为坐标原点,点 F 为抛物线 C 1: x 22 py ( p 0) 的焦点,且抛物线 C 1 上点 P 处的切线与圆C 2: x 2y 2 1 相切于点 Q .y(Ⅰ)当直线 PQ 的方程为 x y20 时,求抛物线 C 1 的方程;FP(Ⅱ)当正数 p 变化时,记 S 1 ,S 2 分别为 △ FPQ ,△ FOQ 的面积,求S 1的最小值.OxS 2Q22.(本小题满分12 分)设 f (x)是定义在[1,1]上的奇函数, 函数g ( x)与f (x) 的图象关于 y 轴对称,且当x(0,1] 时,g ( x)ln x ax 2 .( 1)求函数 f ( x) 的剖析式;( 2)若关于区间 0,1 上任意的 x ,都有 | f ( x) | 1 成立,求实数 a 的取值范围.高三数学(文科)月考试卷参照答案一、 选择题(每题 5 分,共 60 分)题号 12 345678910 11 12答案BDACAABCBDAB二、 填空题(每题 5 分,共 20 分)13.114. 215.m 416. ○1○3 ○4三、解答题(共 70 分)17.(1) 3 3x27即31 3x 33 , 1 x3 , Ax1 x 3 ,log 2 x 1 ,即 log 2 x log 2 2 , x 2Bx x2 ,A Bx |2 x 3;C R B x x 2,C R B A x | x 3( 2)由( 1)知 A x1 x 3 ,当 C A当 C 为空集时, a 1当 C 为非空会集时,可得1 a3综上所述 a318. ( )由三角函数的定义有 x cos ,∵ cos() 11 ,( , ) ,111336 2∴ sin(3) 4 3, ∴ x 1coscos (3) 313cos(3)cos sin()sin311 14 3 3 1 .3 313 213 2 26( 2)由 y 1sin ,得 S 11x 1 y 11cos sin1sin 2 .224由定义得 x 2cos(3 ) , y 2 sin(),又由( , ),得 3 ( ,5) ,于是,3 6 2 2 6S 21x 2 y 2 1 cos( )sin( ) 1 sin(2 2 ) 2 23 34 3f ( )S 1 S 21 12 ) 1 sin 2 1cos 2 cos2 sin 2 ∴sin 2 sin(23 = (sin 2 3 )4 4 4 4 3= 3sin 23cos2 = 3 ( 3 sin 2 1 cos2 ) = 3sin(2 6) , 88 4 2 2 4由(, ),可得 2 6( ,5) ,于是当 2 6,即时, f ( )max 3 .6 26 623419. ( 1)∵ f xxa, b 1,∴ f xxa,∴ f (x 1)x 1 a x 1 a ,x1 1x bx 1x∵ f ( x1)0 ,∴x1 a 0 ,等价于 x x1a0 ,x① 1 a0 ,即 a1 ,不等式的解集 : (0,1 a) ,②当1a 0 ,即 a1 ,不等式的解集 :,③当 1 a0,即 a 1,不等式的解集 :(1 a,0) ,( 2)∵ a1 , f ( x)( x 1 , ∴ x1( x 1( x b)( x1)1 (※)b) 2 x bb)2然 x b ,易知当 x 1 ,不等式(※) 然成立;由 x1,2 不等式恒成立,当1x2 , b1 x1 ( 1x 1) ,x 1x 1∵ x 1 0 ,∴1x 1 2 1 x 1 2 ,1 1xx故 b1b1. 上所述, .20. ( 1)ADO 中, AODO ,且OAD3,∴ AODOAD .又E 是AO 的中点,∴DEAO .又∵面ABC 面A , 且面A B C 面A= ODDE 面AOA ,O∴ DE面 ABC .∴ DE 即 点 D 到 面 ABC 的距离.又 DE3 AO 31AB 3 .∴点 D 到 面 ABC 的距离 3 .22 222( 2)BD 弧上存在一点 G , 足 DGGB ,使得 FG ∥ 面ACD .8原由以下:OF , FG,OG , ABC 中, F,O BC, AB 的中点.∴ FO ∥ AC .又∵ FO面ACD , AC 面ACD ,∴ FO ∥面ACD∵BAD,且 G BD 弧的中点,∴ BOG.∴ AD ∥ OG .33又 OG 面ACD , AD 面ACD ,∴ OG ∥ 面ACD .且 FOOG O , FO,OG面FOG .∴ 面 FOG ∥ 面ACD .又FG面FOG∴FG∥面ACD.21. (Ⅰ) 点 P(x 0 ,x 02,由 x 22 py ( p 0) 得, yx 2 x ),求 y ', ⋯⋯2分2 p2 pp因为直线 PQ的斜率为1,所以x01且 x0x0220 ,解得 p 2 2,p 2 p所以抛物线 C1的方程为 x 24 2 y .(Ⅱ)因为点P 处的切线方程为:y x02x0( x x0 ) ,即 2x0 x 2 py x020,2 p p依照切线又与圆相切,得d r ,即x021 ,化简得 x044x02 4 p 2,24 p24x0由 4 p 2x044x020,得 x022x x 2 py x2 0 4 x2,由方程组0y210,解得 Q(2,0 ) ,x2x0 2 p所以PQ 1 k2x P x Qx022p2x02x02 2 | x0 |22) ,1 2 x0x0p x0=( x0 p 2 pp222点 F (0, p) 到切线 PQ的距离是d x01x02p2x0,4x02 4 p2224所以 S11PQ d| x3|( x022),S21OF x Q p ,216 p2 2 x0所以S1x04 ( x022)x04 ( x022)x02 ( x022) x0244322 3 ,S28p22(x04 4 x02 )2( x024)2x024当且仅当x0244时取“=”号,即242 2 ,此时, p222 ,2x02x04所以S1的最小值为 32 2 .S222.( 1)∵ g ( x) 的图象与f ( x)的图象关于 y 轴对称,∴ f (x) 的图象上任意一点P( x, y) 关于y轴对称的对称点Q( x, y) 在 g (x) 的图象上.当 x [1,0)时,x(0,1],则 f ( x)g(x)ln( x)ax2∵ f (x) 为[1,1]上的奇函数,则 f (0)0 .当 x (0,1] 时,x [1,0) , f ( x) f (x)ln x2 axln(x)ax2( 1 ≤ x0),∴f (x)0( x0),ln x2ax (0 x ≤ 1).( 1)由已知, f ( x)12ax.x①若 f ( x) ≤ 0 在0,1 恒成立,则 12ax ≤ 0a ≤1.x2x 2此时, a ≤ 1, f (x) 在 (0,1] 上单调递减, f ( x)minf (1) a ,2∴ f (x) 的值域为 [ a, ) 与 | f (x) | 1 矛盾.②当 a1时,令 f ( x)1 2ax 0x1 (0,1] ,x2a2∴ 当 x1) 时, f ( x) 0 , f (x) 单调递减,(0,2a当 x(10 , f (x) 单调递加,,1] 时, f ( x)2a∴ f (x) min f (1 )ln(1 ) a( 1 ) 21ln(2 a) 1 .2a2 a 2a 22 由 | f ( x) |≥ 1 ,得 1ln(2 a)1≥ 1 a ≥ e.2 22综上所述,实数a 的取值范围为 a ≥e2。
江西省抚州市临川区第一中学2019-2020学年高一数学上学期入学考试试题第I 卷(选择题)一、选择题(本大题共6小题,每小题3分,共18分) 1.3的相反数是( )A . 3-B . +3C . 13-D .132.2018年我国大学生毕业人数预计将达到8210000人,这个数据用科学记数法表示为( ) A .8.21×107B .82.1×106C . 8.21×106D . 0.821×1073. 若一组数据2、3、4、x 、5的众数是2,则这组数据的中位数是( ) A.2 B.3 C. 4 D.54. 当R x ∈时,一元二次不等式012>+-kx kx 恒成立,则k 的取值范围是( ) A.04k << B. 4k < C. 04k ≤< D.04k k <>或5. 在四边形ABCD 中,对角线,AC BD 相交于点O ,则添加下列条件组合中,①AC BD ⊥②AB BC =③AC BD =④,OA OC OB OD ==一定能判定四边形ABCD 为菱形的是( )A.①②B.①③C.②③D.①④ 6. 对于二次函数2(1)(1)2y m x m x m =-++-下列说法错误的是( ) A. 当m=3时,函数图象的顶点坐标是(﹣1,﹣8) B. 当m >1时,函数图象截x 轴所得的线段长度大于3 C. 当m <0时,函数在14x >时,y 随x 的增大而减小 D. 不论m 取何值,函数图象经过两个定点二.填空题(本大题共6小题,每小题3分,共18分) 7.如图,把等边△AOB 绕点O 逆时针旋转到△COD 的位置,若旋转角是40°,则∠AOD 的度数为____________.8.如图,在平面直角坐标系中,函数2y x =-与y kx b =+的图象交于点,2)P m (则不等式2kx b x +>-的解为__________________________.9.《九章算术》有一题,”今有户高多于广六尺八寸,两隅相去适一丈,问户高、广各 几何?” 大意是说:已知长方形门的高比宽多6尺8寸,门的对角线长为1丈,那么门的高和宽是多少?(提示:1丈=10尺=100寸)设门宽为x 尺,列方程为__________________________.10. 已知一元二次方程2210x x --=的两根分别为12,x x 则2111224(1)(1)=x x x x -+++__________.11.已知关于x 的不等式组的整数解共有3个,则b 的取值范围是_______________.12.在四边形ABCD 中,//,90,3,11,6AB DC B AB BC DC ︒∠====.点P 在BC 上,连接,AP DP .若ABP ∆与PCD ∆相似,则BP 的长是___________. 三、(本大题共5小题,每小题6分,共30分) 13.(1)解方程:125332x x +--= (2)解不等式:2615641x x x --+>-14.如图,ABCD 中,点E 在BC 边上,点F 在AD 边的延长线上,且:1:4DF AD =EF 与CD 的交于点G .(1)若:1:3BE EC =,求证:BD EF =; (2)若2,63DG BE GC ==求AD 的长.15.解关于x 的不等式:2(1)(21)20a x a x -+-+>16.布袋中放有x 个白球、y 个黄球、2个红球,它们除颜色外其它都相同,如果从布袋中随机摸出一个球,恰好是红球的概率是13.(1)请问摸到黑球是________事件;摸到红球是________事件.(填“不可能”、“必然”或“随机”)(2)当x =2时,随机地摸出2个球,试用画树状图或列表的方法表示摸球的所有结果,并求出摸到一个黄球一个白球的概率.17.如图1,是一种折叠椅,忽略其支架等的宽度,得到它的侧面简化结构图(图2),支架与坐板均用线段表示.若坐板CD 平行于地面,前支撑架AB 与后支撑架OF 分别与CD 交于点E ,D ,ED=25cm ,OD=20cm ,DF=40cm ,∠ODC=60°,∠AED=50°. (1)求两支架着地点B ,F 之间的距离;(2)若A 、D 两点所在的直线正好与地面垂直,求椅子的高度.(参数数据:sin60°=0.87,cos60°=0.5,tan60°=1.73,sin50°=0.77,cos50°=0.64,tan50°=1.19)四、(本大题共3小题,每小题8分,共24分)18. 2018年12月4日是我国第五个国家宪法日.12月3日,由省委宣传部、省司法厅和省普法办共同举办的江西省首个“宪法宣传周”活动在南昌市法治广场正式启动。
卜人入州八九几市潮王学校邻水实验二零二零—二零二壹高一数学上学期第一次月考试题本套试卷分第一卷〔选择题〕和第二卷〔非选择题〕两局部.第一卷〔选择题一共60分〕一、选择题(本大题一一共12小题,每一小题5分,一共60分,在每一小题给出的四个选项里面,只有一项为哪一项哪一项符合题目要求的)1.假设P={x|x<1},Q={x|x>-1},那么()(A)P ⊆Q (B)Q ⊆P (C)P C U ⊆Q (D)Q ⊆P C U2.集合A={-1,0,1},A 的子集中含有元素0的子集一共有()(A)2个 (B)4个 (C)6个 (D)8个3.以下各组函数表示相等函数的是()(A)2x 9y x 3-=-与y=x+3(B)y 1=与y=x-1 (C)y=x 0(x ≠0)与y=1(x ≠0)(D)y=2x+1(x ∈Z)与y=2x-1(x ∈Z) 4.设f(x)=()x 2 (x 0),1 x 0,+≥⎧⎪⎨<⎪⎩那么f(f(-1))=() (A)3 (B)1 (C)0 (D)-15.给出以下四个对应,其中构成映射的是()(A)(1)(2)(B)(2)(4) (C)(3)(4) (D)(4) 6.假设函数()f x 的定义域为[]2,2-,那么函数(1)(12)f x f x ++-的定义域为()A .1,12⎡⎤-⎢⎥⎣⎦B .1,22⎡⎤-⎢⎥⎣⎦C .[]2,2-D .33,2⎡⎤-⎢⎥⎣⎦ 7.函数f (x )=假设f (a )+f (1)=0,那么实数a 的值等于()A .-3B .-1C .1D .38.集合M ,N ,P 为全集U 的子集,且满足M ⊆P ⊆N ,那么以下结论不正确的选项是()A .∁U N ⊆∁U PB .∁N P ⊆∁N MC .(∁U P )∩M =∅D .(∁U M )∩N =∅9.函数f(x)=4x 2-kx-8在[5,20]上具有单调性,那么实数k 的取值范围是()(A)[20,80](B)[40,160] (C)(-∞,20)∪(80,+∞) (D)(-∞,40]∪[160,+∞)()2x ,x 1,0f x 1,x (0,1x⎧∈-⎪=⎨∈⎪⎩[]]的最值情况为() (A)最小值0,最大值1(B)最小值0,无最大值 (C)最小值0,最大值5 (D)最小值1,最大值511.直角梯形OABC ,被直线x=t 截得的左边图形的面积S=f(t)的大致图象是() 12.1x f()x 1x-=+,那么f(x)的表达式为() (A)1x 1x +- (B)1x x 1+- (C)1x 1x -+ (D)2x x 1+ 第二卷〔非选择题一共90分〕本卷须知:用钢笔或者圆珠笔直接答在答题卡上.二、填空题:本大题一一共4小题,每一小题5分,一共20分,把答案填在题中横线上.13.设集合A={-1,1,3},B={a+2,a 2+4},A ∩B={3},那么实数a 的值是_________. 14.f(2x+1)=x 2+x,那么f(x)=___________. 2x y x 1=-的值域为________. 16.函数f (x )=ax 2+4(a +1)x -3在[2,+∞〕上递减,那么a 的取值范围是__.三.解答题:本大题一一共6小题,一共70分,解容许写出文字说明,证明过程或者演算步骤.17.(10分)设全集U={2,4,-(a-3)2},集合A={2,a 2-a+2},假设U C A={-1},务实数a 的值. 18.〔12分〕二次函数2()f x ax bx =+〔a ,b 是常数,且0a ≠〕,(2)0f =,且方程()f x x =有两个相等的实数根. (1) 求()f x 的解析式;(2)求函数的最值。
2019-2020江西临川一中上学期第一次联合考试文科数学试题数学(文科)试卷 第Ⅰ卷(选择题 共60分)一、选择题:本大题共12小题,每小题5分,共60分.在每小题给出的四个选项中,只有一项是符合题目要求的,在答题卷相应题目的答题区域内作答. 1.设集合{}26A x x =-<<,{}24B x x =>,则AB =( )A. {}26x x <<B. {}26x x -<<C. {}22x x -<<D. {}6x x > 2.设,a b R ∈,则“()20a b a ->”是“a b >”的( )A.充分不必要条件B.必要不充分条件C.充要条件D. 既不充分也不必要条件 3.若2312a ⎛⎫=⎪⎝⎭,2315b ⎛⎫= ⎪⎝⎭,1312c ⎛⎫= ⎪⎝⎭,则,,a b c 的大小关系为( )A. a b c <<B. c a b <<C. b c a <<D. b a c <<4.若复数z 满足342z i +-=,则z z ⋅的最大值为( )A.9B. 81C.7D.495.已知等差数列{}n a 的首项为4,公差为2,前n 项和为n S ,若()544k k S a k N *+-=∈,则k 的值为( )A. 6B. 7C. 8D. 7或86.已知实数满足,如果目标函数的最小值为-1,则实数( )A. 6B. 5C. 4D. 37.某创业公司共有36名职工,为了了解该公司职工的年龄构成情况,随机采访了9位代表,得到的数据分别为36、36、37、37、40、43、43、44、44,若用样本估计总体,年龄在(),x s x s -+内的人数占公司人数的百分比是(其中x 是平均数,s 为标准差,结果精确到1%) A. 14% B. 25% C. 56% D. 67%8.在平行四边形ABCD 中,点P 在对角线AC 上(包含端点),且2AC =,则PB PD PA→→→⎛⎫+⋅ ⎪⎝⎭有( )A. 最大值为12,没有最小值 B. 最小值为12-,没有最大值 C. 最小值为12-,最大值为4 D. 最小值为4-,最大值为12x y 、121y y x x y m ≥⎧⎪≤-⎨⎪+≤⎩z x y =-m =9.已知函数21()ln f x x x x ⎛⎫=- ⎪⎝⎭,则曲线()f x 在1x =-处切线方程为( ) A. 230x y -+=B. 210x y +-=C. 210x y -+=D. 20x y ++=10.如图所示是一几何体的三视图,正视图是一等腰直角三角形,且斜边BD 长为2,侧视图是一直角三角形,俯视图为一直角梯形,且1AB BC ==,则异面直线PB 与CD 所成角的正切值是( )A.1 C.2D.1211.关于函数()cos cos 2f x x x =+,有下列三个结论:①π是()f x 的一个周期;②()f x 在35,44ππ⎡⎤⎢⎥⎣⎦上单调递增;③()f x 的值域为[]2,2-.则上述结论中,正确的个数为( )A. 0B. 1C. 2D. 312.已知点P 是椭圆221168x y +=上非顶点的动点,12,F F 分别是椭圆的左、右焦点,O 为 坐标原点,若M 为12F PF ∠的平分线上一点,且10F M MP ⋅=,则OM 的取值范围为( )A. (]0,3B. (C. ()0,3D. (0,第Ⅱ卷(非选择题 共90分)二、填空题:本大题共4小题,每小题5分,共20分.在答题卷相应题目的答题区域内作答. 13.函数()()()23ln 2x f x x =-⋅-的零点个数为_______. 14.若1tan 4tan x x+=,则66sin cos x x +=_______. 15.当(],1x ∈-∞-时,不等式()2420x x m m -⋅-<恒成立,则实数m 的取值范围为 _______. 16.在三棱锥P ABC -中,3,4,3,5PA PB AB BC AC =====,若平面PAB ⊥平面ABC ,则三棱锥P ABC -外接球的表面积为_______.三、解答题:本大题共6小题,共70分.解答应写出文字说明,证明过程或演算步骤.在答题卷相应题目的答题区域内作答.17.(本小题满分12分)已知数列{}n a 满足112n n a a +=,且112a =.(1)求数列{}n a 的通项公式;(2)求数列1n n a ⎧⎫+⎨⎬⎩⎭的前n 项和为n S .18.如图,四面体ABCD 中,ABC ∆是边长为1的正三角形,ACD ∆是直角三角形,ABD CBD ∠=∠,AB BD =.(1)证明:平面ACD ⊥平面ABC ;(2)若点E 为BD 的中点,求点B 到平面ACE 的距离.19.若存在过点()0,0O 的直线l 与曲线3232y x x x =-+和2y x a =+都相切,求a 的值. .20.抚州市某中学利用周末组织教职员工进行了一次秋季登军峰山健身的活动,有N 人参加,现将所有参加人员按年龄情况分为[20,25),[25,30),,)40,35[,)45,40[,)50,45[,)55,50[等七组,其频率分布直方图如下图所示.已知)40,35[之间的参加者有4人.(1)求N 和之间的参加者人数1N ;(2)组织者从[)40,55之间的参加者(其中共有4名女教师包括甲女,其余全为男教师)中随机选取3名担任后勤保障工作,求在甲女必须入选的条件下,选出的女教师的人数为2人的概率. (3)已知和)40,35[之间各有2名数学教师,现从这两个组中各选取2人担任接待工作,设两组的选择互不影响,求两组选出的人中都至少有1名数学教师的概率?21.已知椭圆22:194x y C +=,若不与坐标轴垂直的直线l 与椭圆C 交于,M N 两点. )35,30[)35,30[)35,30[A(1)若线段MN 的中点坐标为()1,1,求直线l 的方程;(2)若直线l 过点()6,0,点()0,0P x 满足0PM PN k k +=(,PM PN k k 分别是直线,PM PN 的斜率),求0x 的值.请考生在第22,23题中任选一题作答,若两题都做,按第一题给分,作答时一定要用2B 铅笔在答题卡上把所选题目对应的题号涂黑(都没涂黑的视为选做第22题)22. (本小题满分10分)在直角坐标系xOy 中,曲线C 的参数方程为1313x m my m m ⎧=+⎪⎪⎨⎪=-⎪⎩(m 为参数),以坐标原点为极点,x 轴的正半轴为极轴建立极坐标系,直线l 的极坐标方程为cos 13πρθ⎛⎫+= ⎪⎝⎭. (1)求曲线C 的普通方程以及直线l 的直角坐标方程; (2)已知点()2,0M ,若直线l 与曲线C 交于,P Q 两点,求11MP MQ+的值.23. (本小题满分10分)已知函数2()4f x x =-,()2g x a x =-. (1)若关于x 的方程()()f x g x =只有一个实数解,求实数a 的取值范围; (2)若当x R ∈时,不等式()()f x g x ≥恒成立,求实数a 的取值范围.2019—2020届临川一中上学期第一次联合考试数学(文科)试卷参考答案一、选择题(本大题共12小题,每小题5分,共60分,在每小题给出的四个选项中,只有一项是符合题目要求的)二、填空题(本大题共4小题,每小题5分,共20分,请将正确答案填在答题卷相应位置) 13、1 14、1316 15、()1,2- 16、1265π 三、解答题(本大题共6个小题,共70分,解答应写出文字说明、证明过程或演算步骤)17. (1)由112n n a a +=,则112n n a a +=,故数列{}n a 为等比数列,首项为12,公比为12所以12nn a ⎛⎫= ⎪⎝⎭.......6分(2)由12n nn n a +=+,则 ()()()()223121212222123221222n nn n n n n n S n +-++=+++++++++=+=-+-.......12分18.(1)取AC 的中点O ,连接,DO BO ,由ABD CBD ∠=∠,AB BC =,BD BD =故ABDBCD AD CD ∆≅∆⇒=,又ACD ∆为Rt ∆,故AD CD ⊥,而1AC =,即2AD CD ==,12DO =,又ABC ∆是边长为1的正三角形,则,BO AC BO ⊥=,222BODO BD BO DO +=⇒⊥,而BO ACBO BO DO⊥⎧⇒⊥⎨⊥⎩面ACD ,故平面ACD ⊥平面ABC .......6分(2)由1114ADB +-∠==,则2111122422422AE AE =+-⨯⨯=⇒=故2CE =,则112224ACE S ∆=⨯=,由E ABC B ACE V V --=故1144B B h h ⨯=⇒= .......12分 19.由题可知()0,0O 在曲线3232y x x x =-+上,所以有以下两种情况:01当()0,0O 为切点时,由2362y x x '=-+,得02x y ='=,即直线l 的斜率为2,故直线l 的方程为2y x =,由22y xy x a=⎧⎨=+⎩,得220x x a -+=,依题意,4401a a ∆=-=⇒=.......4分 02当()0,0O 不是切点时,设直线l 与曲线3232y x x x =-+相切于点()00,P x y则032200000032362x x y x x x k y x x ='=-+==-+①又2000032y k x x x ==-+②,则联立①②得032x =,所以14k =-,故直线l 的方程为14y x =-,由214y x y x a⎧=-⎪⎨⎪=+⎩,得2104x x a ++=,依题意得,14016a ∆=-=,得164a =, 综上,1a =或164a =.......12分 20. (1)由题可知,[)35,400.0450.2P =⨯=,故4200.2N ==, 而[)30,3510.050.150.20.150.10.050.3P =------=,则1200.36N =⨯= ......4分 (2)由题可知[)40,55200.36N =⨯=,则有4名女教师和2名男教师,设女教师为甲,乙,丙,丁,男教师为A ,B ,从中随机选取3名担任后勤保障工作,由于甲女一定入选,所以只需从剩下的5名老师中选取2名,基本事件有如下10种情况,(乙丙)(乙丁)(乙A )(乙B )(丙丁)(丙A )(丙B )(丁A )(丁B )(AB ),其中恰有2女教师的有(乙A )(乙B )(丙A )(丙B )(丁A )(丁B )共6种情况,故63105P ==......8分(3)由题可知,[)30,356N =,[)35,404N =,所以[)11224230,352693155C C C P C ⨯+=== [)11222235,402456C C C P C ⨯+==,而两组的选择互不影响,所以互为独立事件,故351562P =⨯=......12分 21. (1)设()11,M x y ,()22,N x y ,由点,M N 都在椭圆22:194x y C +=上,故22112222194194x y x y ⎧+=⎪⎪⎨⎪+=⎪⎩ 22222121094x x y y --⇒+=,则()()212121214499x x y y k x x y y +-==-=--+ 故直线l 的方程为()411491309y x x y -=--⇒+-= ......5分 (2)由题可知,直线l 的斜率必存在,设直线l 的方程为()6y k x =-,()0,0P x , 则()()()()1212021010200660PM PN y y k k k x x x k x x x x x x x +=+=⇒--+--=--即()()12012026120x x x x x x -+++=①联立()()222222149108936360946x y k x k x k y k x ⎧+=⎪⇒+-+⨯-=⎨⎪=-⎩,则21222122108499363649k x x k k x x k ⎧+=⎪⎪+⎨⨯-⎪=⎪+⎩将其代入①得()()2220003546964902k kx x k x --+++=⇒=故0x 的值为32.......12分 22. (1)由2222139x m m =++,2222139y m m=-+,故22224331344x y x y -=⇒-= 又直线l:11cos 1122x y ϕθθ⎛⎫=⇒=⎪ ⎪⎝⎭,故20x -=......5分 (2)由1tan cos 2k θθθ==⇒==, 故直线l 的标准参数方程为212x y t ⎧=⎪⎪⎨⎪=⎪⎩(t 为参数),将其代入曲线C 中,得1221218016233t t t t t ⎧+=-⎪++=⇒⎨=⎪⎩,故12121211114t t MP MQ t t t t ++=+==......10分 23. (1)由()2()42220f x g x x a x x x a =⇒-=-⇒-⎡+-⎤=⎣⎦,则2x =必是该方程的根,所以20x a +-=在()(),22,-∞+∞上无解,即y a =与2y x =+在()(),22,-∞+∞上无交点,而20x +≥,故(),0a ∈-∞......5分(2) 由()()f x g x ≥对x R ∀∈恒成立,而min ()4f x =-,故0a <,则在[)2,+∞上()()f x g x ≥恒成立,故只需在(),2-∞上面()()f x g x ≥对x R∀∈恒成立即可,又()()()()()()()2220220f x g x x x a x x x a ≥⇒+-+-≥⇒-++≥,则只需20x a ++≤对(),2x ∀∈-∞恒成立,则()24a x a ≤-+⇒≤-,故(],4a ∈-∞-.....10分。
2019临川一中高一上学期第一次月考
数学试卷
第I 卷 选择题(共60分)
一、选择题.(每一题只有一个答案符合,每小题5分,共12小题,共60分) 1、已知全集{1,2,3,4,5,6},U =集合{1,3,4}A =,集合{1,3,5}B =,则()U C A B =( )
.{5}A .{1,3}B .{1,3,4,5C .D Æ
2、已知函数22
2,
1(),22,1
x x f x x x x ì-?ï=í+->ïî则1()(2)f f 的值为( ) 71.
36A .6B 7.4C 11
.9
D 3、设集合15
{|,},{|,}266k A x x k Z B x x k k Z ==+?=-?,则集合A 和集合B 的关系
为( )
.A A B = .B B A
Í .C A B Í .D A B Ú 4、已知函数()f x 满足11
2()()f x xf x x
=+
,则(3)f =( ) .3A 29.9B 23.9C 1
.3
D
5、已知集合12
{|
},{3,4}2
A a N N
B a =挝=-,集合
C 满足B C A 屯,则所有满足条件
的集合C 的个数为( )
.8A .16B .15
C .32
D 6、已知函数()f x 的定义域为[2,3]-
,则函数2()g x 的定义域为( )
.(,1)(2,)A -?+? .[6,1)(2,3]B --
.[,1)
(2,5]C -- .[2,1)(2,
D -
- 7、已知函数()f x =
,则(2)f x -的单调递增区间为( )
1.(,)2A +? 1.(,2)2B 1.(1,)2C - 3
.(,3)2
D
8、已知函数()f x 与()g x 分别是定义域上的奇函数与偶函数,且
21
()()21
f x
g x x x +=--+,则(2)f =( ) 2.3A - 7.3B .3C - 11.3D
9、已知函数2
2+3
()(21)m
m f x n x -+=-,其中m N Î,若函数()f x 为幂函数且其在(0,)
+?上是单调递增的,并且在其定义域上是偶函数,则m n +=( ) .2A .3B .4C .5D
10、已知关于x 的方程22(28)160x m x m --+-=的两个实根为12,x x 满足123
,2
x x <<则实数m 的取值范围为( )
.4Am < 1.42B m -
<< 7.42C m << 17
.22
D m -<< 11、已知函数2
5
(2),
1(),2
(72)1,1a x x f x x a x x ì-+?ï=íï-+-+<î对任意12,x x R Î且12x x ¹时,有1212
()()
0f x f x x x ->-,则实数a 的取值范围为( )
5.22A a <?
13
5.62B a #
.2C a < 13
.6
D a < 12、设函数2()(),[,](),1||
x
f x x R M a b a b x =-
?<+集合{|(),},N y y f x x M ==?则
使得M N =成立的实数对(,)a b 有( )
.0A 个 .1B 个 .2C 个 .D 无数多个
第II 卷 非选择题(共90分)
二、填空题.(每小题5分,共4小题,共20分)
13、已知映射:(,)(2,2)f x y x y x y ?-,则在映射f 的作用下元素(3,2)-的原像为_________.
14、已知函数()f x 是定义域为R ,且函数(1)f x +的图像关于1x =-对称且在(,1)-?上是单调递增的,则不等式1
(21)()3
f x f ->的解集为___________.
15、已知函数2()410f x x x =-+([,]x m n Î)的值域为[3,3]m n ,则2____.m n +=
16、设函数22
2,0
(),20x x f x x
x ì³ï=í-<ïî
不等式(3)3)f x f x -?的解集为_____________. 三、解答题(第17题10分,18—22题每题12分,共70分)
17、(满分10分)已知集合2
{|3100}A x x x =-++?,集合23
{|
0}1
x B x x -=?+,则 (1)求A B (2)求()
R C B A
18、(满分12分)已知函数1
2)32f x x
=+
+,函数()12g x x =-(1)求函数()f x 的解析式,并写出其定义域. (2)求函数()g x 的值域.
19、(满分12)已知集合{|13}A x x =-<<,集合
22{|(1)620,}B x x a x a a a
R =++--N,则
(1)若1a =时,求()()R R C A C B
(2)若,A B B =求实数a 的取值范围。
20、(满分12分)已知函数2
()21,[1,1]f x x ax x =+-?
(1)若1
2
a =
时,求函数()f x 的最值。
(2)若,a R Î记函数()f x 的最小值为()g a ,求()g a 关于a 的解析式。
21、(满分12分)某蔬菜基地种植西红柿,由历年市场行情得知,从二月一日起的300天
内,西红柿市场销售价与上市时间的关系用图(1)的一条折线表示;西红柿的种植成本与上市时间的关系用图(2)的抛物线段表示.
(1)写出图(1)表示的市场售价与时间的函数关系式();
P f t
=
写出图(2)表示的种植成本与时间的函数关系式().
Q g t
=
(2)认定市场售价减去种植成本为纯收益,问何时上市的西红柿收益最大?(注:市场售
价和种植成本的单位:元/2
10kg,时间单位:天.)
(1)(2)
22、(满分12分)已知函数()
f x对任意的实数,a b都有()()(),
f a b f a f b
+=+且当0
x>时有()0.
f x>
(1)求证:()
f x在(,)
-??上为增函数;
(2)求证:()
f x是R上的奇函数
(3)若(1)1,
f=解不等式2
()(2)4
f x f x
-+>。