中医内科学(21世纪教材人卫版)方证表解大汇总
- 格式:doc
- 大小:366.00 KB
- 文档页数:11
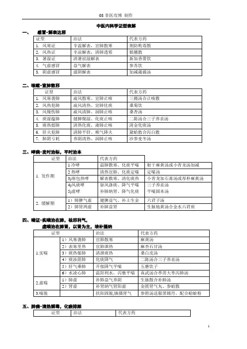
中医内科学证治表格整理一、感冒-解表达邪证型治法代表方药1.风寒证辛温解表,宣肺散寒葱豉汤或荆防败毒散2.风热证辛凉解表,清肺透邪银翘散3.暑湿证清暑祛湿解表新加香薷饮4.气虚感冒益气解表参苏饮5.阴虚感冒滋阴解表加减葳蕤汤二、咳嗽-宣肺散邪证型治法代表方药1.风寒袭肺疏风散寒、宣肺止咳三拗汤合止咳散2.风热犯肺疏风清热、宣肺化痰桑菊饮3.风燥伤肺疏风清肺、润肺止咳桑杏汤4.痰湿蕴肺健脾燥湿、化痰止咳二陈汤合三子养亲汤5.痰热郁肺清热化痰,肃肺止咳清金化痰汤6.肝火犯肺清肺平肝、顺气降火黄芩泻白散合黛蛤散7.肺阴亏耗养阴清热、润肺止咳沙参麦冬汤三、哮病-发时治标,平时治本证型治法代表方药1寒哮温肺散寒、化痰平喘射干麻黄汤1.发作期2热哮清热宣肺、化痰定喘定喘汤3)浊哮化浊除痰、降气平喘二陈汤合三子养亲汤4)风哮疏风宣肺、化痰平喘华盖散1)肺虚证补肺固卫玉屏风散2.缓解期2)脾虚证健脾化痰六君子汤3)肾虚证补肾摄钠金匮肾气丸、七味都气丸四、喘证-实喘治在肺,祛邪利气,虚喘治在肺肾,以肾为主,培补摄纳证型治法代表方药1)风寒袭肺宣肺散寒麻黄汤2)表寒里热宣肺泄热麻杏石甘汤1.实喘3)痰热郁肺清泄痰热桑白皮汤4)痰浊阻肺化痰降气二陈汤合三子养亲汤5)肝气乘肺开郁降气平喘五磨饮子6)水凌心肺温阳利水,泻壅平喘真武汤合葶苈大枣泻肺汤2.虚喘1)肺虚补肺益气养阴生脉散合补肺汤2)肾虚补肾纳气肾阳虚金匮肾气丸、参蛤散3.喘脱扶阳固脱,镇摄肾气参附汤加紫石英,灵磁石,沉香,蛤蚧五、肺痈-清热解毒,化瘀排脓证型治法代表方药1.初期清肺解表银翘散6.成痈期清肺化瘀消痈千金苇茎汤合如金解毒散7.溃脓期解毒排脓加味桔梗汤8.恢复期养阴补肺沙参清肺汤、桔梗杏仁煎六、肺痨-补虚培元,治痨杀虫证型治法代表方药1)肺阴亏损滋阴润肺,清热杀虫月华丸2)阴虚火旺补益肝肾,滋阴降火,百合固金丸合秦艽鳖甲散3)气阴耗伤养阴润肺,益气养阴保真汤4)阴阳两虚滋阴补阳补天大造丸七、肺胀-有侧重地选用扶正与祛邪的不同治则证型治法代表方药1)外寒里饮温肺散寒,涤痰降逆小青龙汤2)痰浊阻肺化痰降逆二陈汤合三子养亲汤3)痰热郁肺清肺化痰,降逆平喘越婢加半夏汤4)痰蒙神窍涤痰、开窍、熄风涤痰汤5)肺肾气虚补肺纳肾、降气平喘平喘固本汤、补肺汤6)阳虚水泛温肾健脾、化饮利水真武汤合五苓散八、痰饮-温阳化饮证型治法代表方药1)饮停于胃和中蠲饮小半夏加茯苓汤8.痰饮2)饮邪化热清热逐饮甘遂半夏汤3)饮留于肠攻逐水饮已椒苈黄丸1)邪停胸肺和解少阳,宣利枢机柴枳半夏汤9.悬饮2)饮停胸胁攻逐水饮十枣汤控涎丹3)气滞络痹理气和络香附旋覆花汤4)阴虚内热滋阴清热泻白散、沙参麦气汤温肺化饮小青龙汤3.支饮小青龙汤4.溢饮解表化饮九、心悸证型治法代表方药1)心虚胆怯镇惊定志、养心安神安神定志丸加琥珀磁石朱砂2)心脾两虚补血养心,益气安神归脾汤3)肝肾阴亏滋补肝肾,养心安神一贯煎合酸枣仁汤加山萸肉4)心阳不振温补心阳桂枝甘草龙骨牡蛎汤5)水气凌心振奋心阳,化气利水苓桂术甘汤6)血瘀气滞活血化瘀、理气通络桃仁红花煎7)痰浊阻滞理气化痰,宁心安神导痰汤8)邪毒犯心清热解毒,益气养阴银翘散或生脉散2十、心痛-祛邪治标,扶正固本“补,通”证型治法代表方药1)心血瘀阻活血化瘀,通脉止痛血府逐瘀汤2)痰浊内阻通阳泄浊,豁痰开结瓜蒌薤白半夏汤3)阴寒凝滞辛温通阳,开痹散寒瓜蒌薤白白酒汤加枳实、桂枝、附子、丹参、檀香4)气阴两虚益气养阴,活血通络生脉散和人参养营汤5)心肾阴虚滋阴益肾,养心安神左归饮6)心肾阳虚益气壮阳,温络止痛参附汤和右归饮十一、不寐-补虚泻实,调整阴阳证型治法代表方药1)心脾两虚补养心脾、以生气血归脾汤2)阴虚火旺滋阴降火、养心安神黄莲阿胶汤、朱砂安神丸3)心胆气虚益气镇惊、安神定志安神定志丸4)痰热内扰化痰清热、和中安神温胆汤5)肝郁化火疏肝泻热、佐以安神龙胆泻肝汤十二、汗证-虚者补之,脱者固之,实者泄之,热者清之,寒者热之证型治法代表方药1)营卫不和调和营卫桂枝汤自汗2)肺气虚衰益气固表玉屏风散3)心肾亏虚益气温阳保元汤或芪附汤4)热郁于内清泄里热竹叶石膏汤盗汗1)心血不足补血养心归脾汤3)阴虚火旺滋阴降火当归六黄汤脱汗益气回阳固脱参附汤加味黄汗清热利湿茵陈五苓散十三、血症证型治法代表方药1)热邪犯肺清肺泄热,凉血止血桑菊饮鼻衄2)肝火上炎清肝泻火,凉血止血栀子清肝汤3)胃热炽盛清胃泻火,凉血止血玉女煎4)气血亏虚益气摄血归脾汤齿衄1)胃火内炽清胃泻火,凉血止血加味清胃散2)阴虚火旺滋阴降火,凉血止血知柏地黄丸合茜根散9.咳血1)燥热犯肺清热润肺、宁络止血桑杏汤2)肝火犯肺清肝泻肺、凉血止血黛蛤散合泻白散3)阴虚肺热滋阴润肺、降火止血百合固金丸10.吐血1)胃中积热清胃泻火、化瘀止血泻心汤合十灰散2)肝火犯胃清肝泻火、凉血止血龙胆泻肝汤3)气虚血溢益气摄血归脾汤11.便血1)肠道湿热清热利湿,凉血止血地榆散2)脾胃虚寒温阳健脾,养血止血黄土汤12.尿血1)下焦热盛清热泻火、凉血止血小蓟饮子2)阴虚火旺滋阴降火,凉血止血知柏地黄丸3)脾不统血补脾益气生血归脾汤4)肾气不固补益肾气,固摄止血无比山药丸13.紫癜1)热盛迫血清热解毒,凉血止血清营汤2)阴虚火旺滋阴降火,宁络止血茜根散3)气不摄血补脾益气摄血归脾汤十四、痴呆证型治法代表方药1)髓海不足补肾益髓,填精养神七福饮2)气血亏虚益气养血,安神宁志归脾汤3)痰浊蒙窍健脾化浊,豁痰开窍洗心汤4)瘀血内阻活血化瘀,通络开窍通窍活血汤5)心肝火旺清热泻火,安神定志黄连解毒汤十五、厥证证型治法代表方药10.气厥1)实证顺气开郁五磨饮子2)虚证补气回阳四味回阳饮11.血厥1)实证活血顺气通瘀煎2)虚证补养气血独参汤,继用人参养营汤3)痰厥行气豁痰导痰汤4)食厥消食和中盐汤探吐,神术散合保和丸5)暑厥开窍醒神,清暑益气牛黄清心丸,紫雪丹,继用白虎加人参汤,清暑益气汤十六、痫病证型治法代表方药发作期3.阳痫急以开窍醒神,继以泄热涤痰熄风黄连解毒汤合定痫丸2.阴痫温阳除痫,顺气定痫五生饮合二陈汤4.脾虚痰盛健脾化痰六君子汤休止期5.肝火痰热清肝泻火,化痰宁心龙胆泻肝汤合涤痰汤6.肝肾阴虚滋养肝肾大补元煎十七、癫狂(略)十八、胃痛证型治法代表方药1)胃气壅滞理气和胃止痛香苏散2)肝胃气滞疏肝理气、和胃止痛柴胡疏肝散3)胃中蕴热清胃泻热、和中止痛泻心汤合金铃子散4)肝胃蕴热清肝泻热、和胃止痛化肝煎5)瘀血阻滞理气活血、化瘀止痛失笑散合丹参饮6)胃阴不足益胃生津止痛益胃汤合芍药甘草汤7)脾胃虚寒温中健脾、黄芪建中汤十九、痞满-苦辛开降,理气消痞证型治法代表方药1)邪热内陷泻热消痞,和胃开结大黄黄连泻心汤加味2)饮食积滞消食导滞,行气除痞保和丸3)痰湿内阻除湿化痰,理气宽中平胃散和二陈汤4)肝郁气滞疏肝解郁,理气消痞四逆散合越鞠丸5)脾胃虚弱补气健脾,升清降浊补中益气汤二十、呕吐证型治法代表方药实证1)外邪犯胃疏邪解表、芳香化浊藿香正气散2)饮食停滞消食化滞、和胃降逆保和丸3)痰饮内阻温化痰饮、和胃降逆小半夏汤合苓桂术甘汤4)肝气犯胃疏肝和胃、降逆止呕半夏厚朴汤合左金丸虚证5)脾胃虚寒温中健脾、和胃降逆理中丸6)胃阴不足滋养胃阴,降逆止呕麦门冬汤二十一、呃逆证型治法代表方药1)胃中寒冷温中散寒、降逆止呕丁香散2)胃火上逆清热和胃、降逆止呕竹叶石膏汤3)气滞痰阻顺气降逆旋复代赭石汤4)脾胃阳虚温补脾胃、和中降逆理中汤加丁香,白豆蔻5)胃阴不足益气养阴、和胃止呃益胃汤二十二、噎嗝证型治法代表方药1)痰气交阻开郁、化痰、润燥启膈散2)津亏热结滋养津液、泻热散结五汁安中饮3)瘀血内阻破结行瘀、滋阴养血通幽汤4)气虚阳微温补脾肾,益气回阳补气运脾汤,右归丸二十三、腹痛证型治法代表方药1)寒邪内阻温里散寒、理气止痛良附丸合正气天香散2)湿热壅滞通腑泄热大承气汤3)中虚脏寒温中补虚、缓急止痛小建中汤4)气滞血瘀疏肝理气、活血化瘀柴胡疏肝散、少腹逐瘀汤二十四、泄泻证型治法代表方药1)寒湿泄泻芳香化湿,疏表散寒藿香正气散2)湿热泄泻清热利湿葛根黄芩黄连汤3)暑湿泄泻清暑化湿黄连香薷饮4)食滞胃肠消食导滞保和丸5)肝气乘脾抑肝扶脾痛泻要方6)脾胃虚弱健脾益胃参苓白术散7)肾阳虚衰温肾健脾、固涩止泻四神丸二十五、痢疾-初痢宜通,久痢宜涩,赤重者用血药,白重者重用气药。
中医内科学(人卫版)分证论治总结
第一章肺系病证
第一节感冒
第二节咳嗽
第三节哮病
第四节喘证
第五节肺痈
第六节肺痨
第七节肺胀
第二章心系病证第一节心悸
第二节胸痹心痛
第三节心衰
第四节不寐
第三章脑系病证第一节头痛
第二节眩晕
第四节痴呆
第五节癫狂
第四章脾胃系病证
胃痛
第一节
第四节噎膈
第五节呃逆
第六节腹痛
第七节泄泻
第八节痢疾
第九节便秘
第五章肝胆系病证第一节胁痛
第二节黄疸
第三节积聚
第四节鼓胀
第五节瘿病
第六节疟疾
第六章肾系病症第一节水肿
第二节淋证
第三节癃闭
第五节遗精
第七章气血津液病证第一节郁证
第三节痰饮
第四节消渴
第五节自汗盗汗
第六节内伤发热
第七节厥证
第八节虚劳
第九节肥胖
第十节癌病
第八章肢体经络病证第一节痹症
第二节痉证
第三节痿证
第四节颤证
第五节腰痛。
★中医内科学核心笔记支一、感詈:【感冒分为①普通感冒②时行感冒。
普通感冒分虚实。
虚证分为气虚、阴虚。
实证分风寒、风热、暑湿】普通感冒:1)实证2)虚证实证:1.风寒证:辛温解表一荆防败毒散【恶寒重,发热轻,无汗身痛,流清涕,苔薄白脉浮紧】2.风热证:辛凉解表一银翘散.葱豉桔梗汤【身热明显,微恶风寒,汗出咽痛,流浊涕,苔薄黄脉浮数】3.暑湿证:清暑祛湿解表一新加香蕾饮【夏季发病,身热,肢体酸重,头昏重胀,心烦泛呕,苔薄白而腻脉濡数】虚证:4.气虚感冒:益气解表一参苏饮【素体虚弱,恶寒重,发热轻,咳痰无力,倦怠,舌淡胖苔薄白脉虚】5.阴虚感冒:滋阴解表一加减蕨蕤汤【身热少汗,心烦干呕,舌红少苔】时行感冒:6.时行感冒:清热解毒一清瘟败毒饮【流行发病,起病骤急恶寒高热,头身剧痛,乏力,呼吸道症状轻而全身症状重】二、咳嗽:【咳嗽分①外感②内伤。
外感分风寒束肺、风热犯肺、燥热伤肺。
内伤咳嗽分虚实。
虚证分肺气虚、肺阴虚。
实证分痰湿阻肺、痰热壅肺、肝火犯肺。
】外感:1.风寒袭肺:疏风散寒.宣肺止咳一杏苏散、止咳散【咳痰稀白,伴见风寒表证】2.风热犯肺:疏风清热.宣肺化痰一桑菊饮【咳嗽气粗,痰黄咽痛,身热汗出,脉浮数等风热表证】3.风燥伤肺:疏风清肺.润肺止咳一桑杏汤【干咳咽痒,痰少而粘,难以咳出或带血丝】内伤:1)实证2)虚证实证:4.痰湿阻肺:健脾燥湿.化痰止咳一二陈汤、三子养亲汤【咳声重浊,痰多脱闷,呕恶纳呆,苔白腻】5.痰热壅肺:清热化痰肃肺一清金化痰汤【咳喘息粗,胸满痰黄,身热面赤,舌红苔黄,脉滑数】6.肝火犯肺:清肺平肝、顺气降火一泻白散合黛蛤散【气逆咳嗽随情志变化而增减,咳时痛引胸胁,脉弦数】虚证:7.肺阴亏耗:滋阴润肺、止咳化痰一沙参麦冬汤【干咳咽干,咳血或痰中带血,潮热盗汗,舌红苔少】8.肺气亏虚:补肺益气、止咳定喘一补肺汤【咳喘气短,动则加剧,肢冷自汗。
脉沉细弱】三、肺痈1.初期:清肺解表一银翘散2.成痈期:清肺化瘀消痈一千金苇茎汤、如金解毒散3.溃脓期:解毒排脓一加味桔梗汤4.恢亚期:养阴补肺一沙参清肺汤、桔梗杏仁煎四、哮证:呼吸急促困难,喉间痰鸣有声【哮证分①发作期②缓解期。
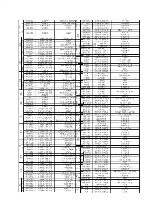
中医内科学证型表解一、感冒-解表达邪四、喘证-实喘治在肺,祛邪利气,八、肺萎-补肺生津九(2)胸痹-先治其标、后治其本胸痹:胸痹淤血浊括夏,寒枳滞柴气生脉,1)心血瘀阻:活血化瘀、通络止痛-血府逐瘀汤2)气滞心胸:疏肝理气、活血通络—柴胡疏肝散3)痰浊壅塞:通阳泻浊、豁痰开结-瓜萎薤白半夏汤4)寒凝心脉:辛温通阳、开痹散寒-枳实薤白桂枝汤5)心肾阴虚:滋阴益肾、养心安神-天王补心丹6)气阴两虚:益气养阴、活血通络-生脉散合人参养营汤7)阳气虚哀:益气温阳、活血通络-参附汤合右归饮十、真心痛1)气虚血瘀:益气活血,通脉止痛——保元汤合血府逐瘀汤2)寒凝心脉:温补心阳、散寒通脉——当归四逆汤3)正虚阳脱:回阳救逆、益气固脱——四逆加人参汤十二、汗证-虚者补之,脱者固之,实者泄之,热者清之,寒者热之十三、血症十四、痴呆十五、厥证十六、痫病十七、癫狂1.癫证1)痰气郁结:理气解郁、化痰开窍-逍遥散合顺气导痰汤2)心脾两虚:健脾养心、益气安神-养心汤2.狂证1)痰火上扰:镇心涤痰、泻肝清火-生铁落饮2)痰热郁结:豁狂化痰、调畅气血—癫狂梦醒汤3)火盛伤阴:滋阴降火、安神定志-二阴煎十七(2)、痫证:风定痰涤淤通窍,心脾六归肾左天。
1)风痰闭阻:涤痰熄风、开窍定痫-定痫丸2)痰火内盛:清汗泻火、化痰开窍-龙胆泻肝汤合涤痰汤3) 淤阻脑络:活血化瘀、息风通络—通窍活血汤4) 心脾两虚:补益气血、健脾宁心—六君子汤5)心肾亏虚:补益心肾、健脾化痰—左归丸+天王补心丹十八、胃痛十九、痞满-苦辛开降,理气消痞二十、呕吐二十一、呃逆二十四、泄泻二十六、便秘–通下二十八、黄疸二十九、积聚(略)三十、鼓胀三十一、头痛三十二、眩晕三十六、痉证(略)三十七、颤振(略)三十八、水肿-“去菀陈垄”、“开鬼门”、“洁净府”三十九、淋证-实则清利,虚则补益实证治宜清湿热,散瘀结,利气机而通利水道;虚证治宜补脾肾,助气化,使气化得行,小便自通。
中医内科学病证分型+方名总结中医内科学第一章、肺系病证第一、感冒1)风寒束表-辛温解表——荆防达表汤/荆防败毒散2)风热犯表-辛凉解表——银翘散3)暑湿伤表-清暑祛湿解表——新加香薷饮4)气虚感冒-益气解表——参苏饮5)阴虚感冒-滋阴解表——加减葳汤第二、咳嗽外感咳嗽1)风寒袭肺-疏风散寒、宣肺止咳——三拗汤合止咳散2)风热犯肺-疏风清热、宣肺止咳——桑菊饮附:夏令夹暑——加六一散、鲜荷叶3)风燥伤肺-疏风清肺、润燥止咳——桑杏汤附:凉燥(干咳少痰,或无痰,咽干鼻燥,兼有恶寒发热,头痛无汗,舌苔薄白而干)——杏苏散内伤咳嗽4)痰湿蕴肺-燥湿化痰、理气止咳——二陈平胃散合三子养亲汤附:病情稳定——六君子丸5)痰热郁肺-清热肃肺、化痰止咳——清金化痰汤6)肝火犯肺-清肺泻肝、顺气降火——黛蛤散合泻白散7)肺阴亏耗-滋阴润肺、化痰止咳——沙参麦冬汤第三、哮证发作期1)冷哮-宣肺散寒、化痰平喘——射干麻黄汤/小青龙汤2)热哮-清热宣肺、化痰定喘——定喘汤/越婢加半夏汤3)寒包热哮-解表散寒、请化痰热——小青龙加石膏汤/厚朴麻黄汤4)风痰哮证-祛风涤痰、降气平喘——三子养亲汤5)虚哮证-补肺纳肾、降气化痰——平喘固本汤喘脱危证—补肺纳肾,扶正固脱——回阳救急汤合生脉饮缓解期6)肺脾气虚—健脾益气、补土生金-六君子汤加减7)肺肾两虚—补肺益肾——生脉地黄汤合金水六君煎第四、喘证实喘1)风寒壅肺-宣肺散寒——麻黄汤合华盖散2)表寒肺热-解表清里、化痰平喘——麻杏石甘汤3)痰热郁肺-清热化痰、宣肺平喘——桑白皮汤4)痰浊阻肺-祛痰降逆、宣肺平喘——二陈汤合三子养亲汤5)肺气郁痹-开郁降气平喘——五磨饮子虚喘6)肺气虚耗-补肺益气养阴——生脉散合补肺汤7)肾虚不纳—补肾纳气——肾阳虚-金匮肾气丸合参蛤散;肾阴虚-七味都气丸合生脉散8)正虚喘脱-扶阳固脱,镇摄肾气——参附汤送服黑锡丹第五、肺痈1)初期-清肺解表——银翘散2)成痈期-清肺化瘀消痈——千金苇茎汤合/或如金解毒散3)溃脓期-排脓解毒——加味桔梗汤4)恢复期-养阴补肺——沙参清肺汤或桔梗杏仁煎第六、肺痨1)肺阴亏损-滋阴润肺——月华丸,可另服琼玉膏2)阴虚火旺-滋阴降火——百合固金丸合秦艽鳖甲散3)气阴耗伤-益气养阴——保真汤或参苓白术散加减4)阴阳两虚-滋阴补阳——补天大造丸第七、肺胀1)痰浊壅肺-化痰降气、健脾益肺——苏子降气合三子养亲汤2)痰热郁肺-清肺化痰、降逆平喘——越婢加半夏汤或桑白皮汤3)痰蒙神窍-涤痰、开窍、熄风——涤痰汤4)阳虚水泛-温肾健脾、化饮利水——真武汤合五苓散5)肺肾气虚-补肺纳肾、降气平喘——平喘固本汤合补肺汤第二章、心系病证第一、心悸1)心虚胆怯-镇惊定志、养心安神——安神定志丸2)心血不足-补血养心、益气安神——归脾汤3)阴虚火旺-滋阴清火、养心安神——天王补心丹合朱砂安神丸4)心阳不振-温补心阳、安神定悸——桂枝甘草龙骨牡蛎汤合参附汤5)水饮凌心-振奋心阳、化气行水、宁心安神——苓桂术甘汤6)心血瘀阻-活血化瘀、理气通络——桃仁红花煎合桂枝甘草龙骨牡蛎汤7)痰火扰心-清热化痰、宁心安神——黄连温胆汤第二、胸痹1)心血瘀阻-活血化瘀、通脉止痛——血府逐瘀汤2)气滞心胸-疏肝理气、活血化瘀——柴胡疏肝散3)痰浊闭阻-通阳泄浊、豁痰宣痹——瓜萎薤白半夏汤合涤痰汤4)寒凝心脉-辛温散寒、宣通心阳——枳实薤白桂枝汤合当归四逆汤5)气阴两虚-益气养阴、活血通脉——生脉散合人参养荣汤6)心肾阴虚-滋阴清火、养心和络——天王补心丹合炙甘草汤7)心肾阳虚-温补阳气、振奋心阳——参附汤合右归饮附真心痛1)气虚血瘀-益气活血、通脉止痛——保元汤合血府逐瘀汤2)寒凝心脉-温补心阳、散寒通脉——当归四逆散3)正虚阳脱-回阳救逆、益气固脱——四逆加人参汤第三、不寐1)肝火扰心-疏肝泻火、镇心安神——龙胆泻肝汤2)痰热扰心-清化痰热、和中安神——黄连温胆汤3)心脾两虚-补益心脾、养血安神——归脾汤4)心肾不交-滋阴降火、交通心肾——六味地黄丸合交泰丸5)心胆气虚-益气镇惊、安神定志——安神定志丸合酸枣仁汤第四、癫狂癫证1)痰气郁结-理气解郁、化痰醒神——逍遥散合顺气导痰汤2)心脾两虚-健脾益气、养心安神——养心汤送服越鞠丸狂证1)痰火扰神-清心泻火、涤痰醒神——生铁落饮2)痰热瘀结-豁痰化瘀、调畅气血——癫狂梦醒汤3)火盛阴伤-育阴潜阳、交通心肾—二阴煎合琥珀养心丹第五、痫证1)风痰闭阻-涤痰熄风、开窍定痫——定痫丸2)痰火扰神-清肝泻火、化痰开窍——龙胆泻肝汤合涤痰汤3)瘀阴脑络—活血化瘀、熄风通络——通窍活血汤4)心脾两虚-补益气血、健脾宁心——六君子汤合归脾汤5)心肾亏虚-补益心肾、潜阳安神——左归丸合天王补心丹第六、痴呆1)髓海不足-补肾益髓、填精养神——七福饮2)脾肾两虚证-补肾健脾、益气生精——还少丹3)痰浊蒙窍—豁痰开窍、健脾化浊——涤痰汤4)瘀血内阻-活血化瘀、开窍醒脑——通窍活血汤第七、厥证气厥1)实证-开窍、顺气、解郁——通关散合五磨饮子2)虚证-补气、回阳、醒神——四味回阳饮、生脉注射液、参附注射液血厥1)实证-平肝潜阳、理气通瘀—羚角钩藤汤合通瘀煎2)虚证-补气养血——独参汤继服人参养营汤痰厥-行气豁痰——导痰汤第三章、脾胃系病证第一、胃痛1)寒邪客胃-温胃散寒、行气止痛——香苏散合良附丸2)饮食伤胃-消食导滞、和胃止痛——保和丸3)肝气犯胃-疏肝解郁、理气止痛——柴胡疏肝散4)湿热中阻-清热化湿、理气和胃——清中汤5)瘀血停胃-化瘀通络、理气和胃——实证:失笑散合丹参饮6)胃阴亏耗-养阴益胃、和中止痛——一贯煎合芍药甘草汤7)脾胃虚寒-温中健脾、和胃止痛——黄芪建中汤附:痞满实痞1)食滞内停-消食和胃、行气消痞——保和丸2)痰湿中阻-除湿化痰、理气和中——二陈平胃汤3)湿热中阻-清热化湿、和胃消痞——泻心汤合连朴饮4)肝胃不和-疏肝解郁、和胃消痞——越鞠丸合枳术丸虚痞5)脾胃虚弱-补气健脾、升清降浊——补中益气汤6)胃阴不足-益阴养胃、调中消痞——益胃汤第二、呕吐实证1)外邪犯胃-疏邪解表、化浊和中——藿香正气散2)饮食停滞-消食化滞、和胃降逆——保和丸3)痰饮内阻-温中化饮、和胃降逆——小半夏汤合苓桂术甘汤4)肝气犯胃-疏肝理气、和胃降逆——四七汤虚证5)脾胃虚寒-健脾益气、和胃降逆——香砂六君子汤6)脾胃阳虚-温中健脾、和胃降逆——理中汤7)胃阴不足-滋阴养胃、降逆止呕——麦门冬汤第三、噎膈1)痰气交阻-开郁化痰、润燥降气——启膈散2)津亏热结-滋养津液、润燥生津——沙参麦冬汤3)瘀血内阻-滋阴养血、破结行瘀——通幽汤4)气虚阳微-温补脾肾——补气运脾汤第四、呃逆实证1)胃中寒冷-温中散寒、降逆止呃——丁香散2)胃火上逆-清胃泄热、降逆止呃——竹叶石膏汤3)气机郁滞-顺气解郁、和胃降逆——五磨饮子虚证4)脾胃阳虚-温补脾胃止呃——理中丸5)胃阴不足-养胃生津、降逆止呃——益胃汤合橘皮竹茹汤第五.腹痛1)寒邪内阻-散寒温里、理气止痛——良附丸合正气天香散2)湿热壅滞-泄热通腑、行气导滞——大承气汤3)饮食停滞-消食导滞、理气止痛——枳实导滞丸4)肝气郁滞-疏肝解郁、理气止痛——柴胡疏肝散5)瘀血内停-活血化瘀。
中医内科学证型表解第一单元肺系病证-祛邪利肺,扶上逆。
病因:外感六淫、内邪干肺。
病位:肺,与肝脾有关,久肾。
病理:痰、火。
辨证:外感内伤,证候虚实。
三、哮病-发时治病因病机:外邪侵袭,触动伏痰。
病因:外邪侵袭、饮食、体虚病后。
病位:肺,与脾肾密切。
病理:痰为主。
发作时病理:痰气相搏,气道被阻。
病机:肺气上逆,宣降失职;或气无所主,肾失摄纳。
病因:外邪侵袭、饮食不当、情志所伤、劳欲久病。
病位:肺、肾,涉及肝脾。
辩证:辨虚实;实喘再辨外感内伤;虚喘当辨病变脏器。
病因:感受风热、痰热素盛。
成痈化脓的病理基础:血瘀。
病理:邪盛的实热证候。
脓疡溃后见阴伤气耗。
溃脓期是病情顺逆的转折点。
病位:肺六、肺痨-补虚培元,正气虚弱肺与脾肾密切,后及心-有侧重地选用祛邪病因:久病肺虚、感受外邪。
病机:久病肺虚,六淫侵袭,以致痰饮淤血结于肺间,肺气胀满,不能敛降。
病变:首肺,继脾肾,后及心。
病理:痰浊、水饮、血瘀。
辩证:标本虚实病情轻重病位:肺脾肾心病因:久病损肺、误治津伤。
基本病机:肺虚,津气大伤,失于濡养,肺叶枯萎。
病位:肺,与脾胃肾相关。
病理:肺燥津伤(虚热)、肺气虚冷(虚寒)。
第二单元心系病证病Array因:体虚劳倦、七情、感受外邪、药食不当。
病机:气血阴阳亏虚,心失所养或邪扰心神,心神不宁。
病位:心,肝脾肾肺关。
病理:虚实气滞、血瘀、痰浊、水饮。
十、胸痹-祛邪治标,扶正固本“补,通”标实尤重活血通脉、补虚尤重补益心饮食失劳(无药食心,涉肝脾血瘀、心,其本在-补虚首辨外病因:Array感受外邪、情志失调、先天不足或房劳过度饮食劳倦及体虚久病跌仆损伤或久病入络病机:不通则痛、不荣则痛。
病位:清窍、外感手足三阳内伤肝脾肾。
病理:痰湿、风火、血瘀。
(无外感)饮食、情志伤、气虚邪中。
病机:阴阳失调,气血逆乱,上犯于脑,风(肝风、外风)、火(肝火、心火)、痰(风痰、湿痰)、气(气逆、气滞)、血(血瘀)、虚(血虚、阴虚)病位:心脑,与肝脾肾相关。
第一节感冒1风寒束表证——荆防败毒散就是人参败毒散去人参加荆荆防达表汤荆防达表苏芷苓,姜葱神曲橘杏仁,辛温疏表宣肺卫,风寒感冒服康宁。
2风热犯表证——银翘散银翘散主上焦疴,竹叶荆蒡豉薄荷;甘桔芦根凉解法,清疏风热煮无过。
葱豉桔梗汤葱豉桔梗薄荷翘,山栀竹叶加甘草,热邪束肺嗽咽痛,风温初起此方疗。
葱豉桔梗汤连翘,竹叶栀子薄荷草,疏风解表清肺热,咽痛咳嗽服之效。
3暑湿伤表证——新加香薷饮(辛温辛凉并用)表里双解汤大黄黄芩用酒炒,薄桑银荆加石膏,赤芍再请牡丹皮,表里双解功劳高。
4气虚感冒证——参苏饮方歌二参苏饮内用陈皮,枳壳前胡半夏齐;干葛木香甘桔茯,气虚感寒最相宜。
5阴虚感冒——加减葳蕤汤方歌一玉竹姐为何早操吃葱(玉竹、桔梗、白薇、薄荷、大枣、甘草、豆豉、葱白)方歌二加减葳蕤用白薇,豆豉葱白桔梗随,草枣薄荷成八味,阴虚感冒用毋违。
加减葳蕤用白薇,豆豉生姜桔梗随,草枣薄荷共八味,滋阴发汗功可谓。
第二节咳嗽(一)外感咳嗽1风寒袭肺证——三拗汤三拗汤用麻杏草,宣肺平喘效不低。
止嗽散方歌一止嗽散用百部菀,白前桔草荆陈研。
宣肺疏风止咳痰,姜汤调服不必煎。
方歌二止嗽散用荆桔前,紫菀百部陈草研,每服三钱姜汤调,止咳化痰解表兼。
方歌三止嗽散内用桔梗,紫菀荆芥百部陈;白前甘芷共为末,姜汤调服止嗽频。
2风热犯肺证——桑菊饮桑菊饮中桔杏翘,芦根甘草薄荷饶;清疏肺卫轻宣剂,风温咳嗽服之消。
3风燥伤肺证——桑杏汤(温燥)方歌一桑杏汤中浙贝宜,沙参栀豉与梨皮;干咳鼻涸又身热,清宣凉润燥能祛。
方歌二桑杏杀身,智斗贝利(桑杏沙参,栀子、豆豉、浙贝母、梨皮)杏苏散(凉燥)方歌一杏苏散内夏陈前,枳桔苓草姜枣研;轻宣温润治凉燥,咳止痰化病自痊。
方歌二杏苏二陈三,更值钱(二陈:二陈汤;三:姜、草、枣;桔梗、枳实、前胡)(二)内伤咳嗽4痰湿蕴肺证——二陈汤平胃散合三子养亲汤二陈平胃散=二陈+平胃散二陈汤用半夏陈,苓草梅姜一并存;利气祛痰兼燥湿;湿痰为患此方珍。
中医内科学考试必背一、感冒感冒分虚实,寒热燥暑湿;阴阳各有虚,正虚邪易实。
风寒束表证:——荆防达表汤或荆防败毒散加减。
治法:辛温解表。
风热犯表证:——银翘散或葱豉桔梗汤加减。
治法:辛凉解表。
感冒暑湿伤表证:——新加香薷饮加减。
治法:清暑祛湿解表。
气虚感冒:——参苏饮加减。
治法:益气解表。
阴虚感冒:——加减葳蕤汤化裁。
治法:滋阴解表。
二、咳嗽咳嗽外感与内伤,风寒风热风燥伤;湿热肝火肺阴虚,临床轻重要牢记。
风寒袭肺证:——三拗汤合止嗽散加减。
治法:疏风散寒,宣肺止咳。
外感咳嗽风热犯肺证:——桑菊饮加减。
治法:疏风清热,宣肺止咳。
风燥伤肺证:——桑杏汤加减。
治法:疏风清肺,润燥止咳。
咳嗽痰湿蕴肺证:——二陈平胃散合三子养亲汤加减。
治法:燥湿化痰,理气止咳。
痰热郁肺证:——清金化痰汤加减。
治法:清热肃肺,豁痰止咳。
内伤咳嗽肝火犯肺证:——黛蛤散合加减泻白散加减。
治法:清肺泻肝,顺气降火。
肺阴亏耗证:——沙参麦冬汤加减。
治法:滋阴润肺,化痰止咳。
三、哮病哮病发作缓解期,冷哮热哮寒风虚;肺脾肾虚缓解季,喘脱危证也要去。
冷哮证:——射干麻黄汤或小青龙汤加减。
治法:宣肺散寒,化痰平喘。
热哮证:——定喘汤或越婢加半夏汤加减。
治法:清热宣肺,化痰定喘。
发作期寒包热哮证:——小青龙加石膏汤或厚朴麻黄汤加减。
治法:解表散寒,清化痰热。
风痰哮证:——三子养亲汤加味。
治法:祛风涤痰,降气平喘。
哮病虚哮证:——平喘固本汤加减。
治法:补肺纳肾,降气化痰。
喘脱危证:——回阳救逆汤合生脉饮加减治法:补肺纳肾,扶正固脱。
缓解期肺脾气虚证:——六君子汤加减。
治法:健脾益气,补土生金。
肺肾两虚证:——生脉地黄汤合金水六君煎加减。
治法:补肺益肾。
四、喘证喘为重症分两类,实喘虚喘两边退;寒热肺郁二痰肺,肺肾正虚要记对。
风寒壅肺证:——麻黄汤合华盖散加减。
治法:宣肺散寒。
表寒肺热证:——麻杏石甘汤加减。
治法:解表清里,化痰平喘。
实喘痰热郁肺证:——桑白皮汤加减。
中医内科学证型表解一、感冒-解表达邪
四、喘证-实喘治在肺,祛邪利气,
八、肺萎-补肺生津
九(2)胸痹-先治其标、后治其本
胸痹:胸痹淤血浊括夏,寒枳滞柴气生脉,
1)心血瘀阻:活血化瘀、通络止痛-血府逐瘀汤
2)气滞心胸:疏肝理气、活血通络—柴胡疏肝散
3)痰浊壅塞:通阳泻浊、豁痰开结-瓜萎薤白半夏汤
4)寒凝心脉:辛温通阳、开痹散寒-枳实薤白桂枝汤
5)心肾阴虚:滋阴益肾、养心安神-天王补心丹
6)气阴两虚:益气养阴、活血通络-生脉散合人参养营汤7)阳气虚哀:益气温阳、活血通络-参附汤合右归饮
十、真心痛
1)气虚血瘀:益气活血,通脉止痛——保元汤合血府逐瘀汤2)寒凝心脉:温补心阳、散寒通脉——当归四逆汤
3)正虚阳脱:回阳救逆、益气固脱——四逆加人参汤
十二、汗证-虚者补之,脱者固之,实者泄之,热者清之,寒者热之
十三、血症
十四、痴呆
十五、厥证
十六、痫病
十七、癫狂1.癫证
1)痰气郁结:理气解郁、化痰开窍-逍遥散合顺气导痰汤2)心脾两虚:健脾养心、益气安神-养心汤
2.狂证
1)痰火上扰:镇心涤痰、泻肝清火-生铁落饮
2)痰热郁结:豁狂化痰、调畅气血—癫狂梦醒汤
3)火盛伤阴:滋阴降火、安神定志-二阴煎
十七(2)、痫证:风定痰涤淤通窍,心脾六归肾左天。
1)风痰闭阻:涤痰熄风、开窍定痫-定痫丸
2)痰火内盛:清汗泻火、化痰开窍-龙胆泻肝汤合涤痰汤
3) 淤阻脑络:活血化瘀、息风通络—通窍活血汤
4) 心脾两虚:补益气血、健脾宁心—六君子汤
5)心肾亏虚:补益心肾、健脾化痰—左归丸+天王补心丹十八、胃痛
十九、痞满-苦辛开降,理气消痞
二十、呕吐
二十一、呃逆
二十四、泄泻
二十六、便秘–通下
二十八、黄疸
二十九、积聚(略)三十、鼓胀
三十一、头痛
三十二、眩晕
三十六、痉证(略)三十七、颤振(略)
三十八、水肿-“去菀陈垄”、“开鬼门”、“洁净府”
三十九、淋证-实则清利,虚则补益
实证治宜清湿热,散瘀结,利气机而通利水道;
虚证治宜补脾肾,助气化,使气化得行,小便自通。
四十二、腰痛-虚者以补肾壮腰为主,兼调养气血;
四十三、关格(略)
四十五、虚劳-补益
08非医攻博制作
四十六、内伤发热(略)四十七、疟疾(略)
四十九、痿病-调理脾胃,补益肝肾,育阴清热,不妄用风药为基本原则
五十、癌症(略)
11。