(完整版)有机化学复习(人卫第八版)
- 格式:doc
- 大小:32.83 KB
- 文档页数:17
有机化学第八版答案简介《有机化学第八版答案》是针对《有机化学》第八版教材的辅助答案,并提供了详细的解题步骤和解释。
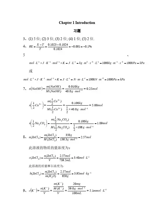
本答案的目的是帮助有机化学学习者更好地理解和掌握课本的知识,并提供参考答案以帮助他们解决习题和案例。
目录1.分子结构与化学键2.烷烃与立体化学3.单键取代反应:化学与构造概念4.单键取代反应:醇、卤代烷和乙烯5.双键取代反应与消除反应6.单键酸碱反应:有机酸碱7.单键酸碱反应:胺和两性物质8.烷基卤化物:亲电取代反应9.芳香化合物:芳香性和芳香族化合物的亲电取代10.碳负离子的核磁共振:1H和13C NMR谱11.乙炔的化学12.合成和反应阻碍:有机化学第一部分的综合问题13.活性化学和有机催化剂:库伦沙酮反应14.极性加合反应:加酸和加氢内容1. 分子结构与化学键本章介绍了有机化学的基础知识,包括化学键的概念、键的能量和长度、电子结构和杂化等内容。
这些知识对于后续章节的学习非常重要,因为它们构成了有机分子的基本组成部分。
2. 烷烃与立体化学本章主要介绍了烷烃的命名和构象,以及立体化学的基本原理。
学习者将学会如何使用化学式和线结构式来命名烷烃,并了解立体化学对有机化学反应的影响。
3. 单键取代反应:化学与构造概念本章介绍了单键取代反应的基本概念和机制。
学习者将学会如何预测和解释单键取代反应的产物,并理解反应速率与反应物浓度之间的关系。
4. 单键取代反应:醇、卤代烷和乙烯本章主要讨论了醇、卤代烷和乙烯的单键取代反应。
学习者将学会如何预测和解释这些化合物的反应,以及它们在实际合成中的应用。
5. 双键取代反应与消除反应本章介绍了双键取代反应和消除反应的基本原理和机制。
学习者将学会如何预测和解释这些反应的产物,并了解双键和消除反应在有机合成中的应用。
6. 单键酸碱反应:有机酸碱本章主要讨论了有机化合物的酸碱性质和相关的反应机制。
学习者将学会如何判断和解释有机化合物的酸碱性,并预测其在酸碱反应中的行为。
人卫第八版生物化学名词解释1.脂肪:是一类重要的生物物质。
主要分布在体内各组织,以肝、肾等含量较多,组成中以甘油三酯和磷脂占有较大比例。
甘油三酯的分子量较小,难溶于水;磷脂则易溶于水。
2.酶:是由氨基酸连接起来的蛋白质,它的种类很多,根据化学性质可将其分为两大类:非水溶性(不溶于水)酶和水溶性酶。
3.胞浆酶:存在于细胞核内,如细菌叶绿素荧光素(gff)蛋白酶、肌红蛋白(myo)等。
4.糖代谢:糖代谢是指葡萄糖的合成与分解过程。
5.脂类代谢:脂类代谢是指脂肪酸的合成与分解过程。
包括脂肪的吸收、运输、氧化、分解和利用。
6.PRL:又称为脑磷脂,存在于神经元的胞浆中。
PRL能提高神经元的活动和记忆,能促进突触的形成。
PRL受体具有膜结合位点,在膜上有特异性的受体结合位点,对不同的神经递质发挥作用。
PRL 具有酪氨酸激酶活性,能催化水解磷酸化酪氨酸形成磷酸酪氨酸,后者再被氧化释放出能量。
9.GLP:又称为花生四烯酸,在机体的许多器官中都有合成。
当身体处于寒冷状态时,需要更多的能量,使得花生四烯酸转变成前列腺素(pg),以便增加体内能量,改善血液循环。
这种需要随着年龄的增长而增加,当血管硬化发生时,脂肪组织的增加就会减少这种需要。
其它脂类也是身体所必需的,因此对于体力劳动者或那些需要做持久耐力工作的人来说,饮食中应该包括足够的脂肪,因为不适宜的饮食或体力活动不仅造成低血脂症,还可引起各种脂类代谢紊乱,导致相应疾病的产生。
10.GAPDH:其结构如下。
5′-GT→GAC →G-I-同时,该过程也伴随着磷酸化。
在某些情况下,转移核糖核酸(tRNA)也能调节表观遗传学。
5′-GT→GC→GAG→C-I-另外,有研究表明甲状腺球蛋白还参与转移RNA和tRNA的转录调节, GAPDH则是转移RNA和tRNA最后的接受者。
在GAPDH转录的第一个反应中,有大量的依赖ATP的反式激活因子。
其中最有名的是Cdc2c、 Cdc42和Cdc16a。
测试题答案1—20 BCDBA ACACB BACDD DCCAC21.链引发,链增长,链终止 22.由下而上、下进上出23.(CH 3)3COH 24.NCH 325.硝基苯,苯,苯酚 26.N-乙基苯胺27.CH 3CH(Cl)CHO 28.CH 3OCH(CH 3)2 29.亚油酸,α-亚麻酸,花生四烯 (也可亚油酸,亚麻酸,花生四烯酸) 30.CH 2=CHCH 2CH 331. Br 2水32.硝化,氧化 33.β-丁酮酸,β-羟基丁酸 34.CH 3CH 2MgBr 35.C 2H 536.CH 3C(Br)2CH 3 37.CH 3CH 2CN38.CH 339.CH 3CH=CHCHO40.+ CH 3IOH41.CH 3CH(Br)CH=CH 242.CH 3COC 2H 5OH43.CH 3CH=CHCH 2OH 44.NHCOCH 345.CH 3CH=CHCOOH46.NNO 247.CH 3NCH 2CH 348.RCH 2NH 2 + CO 249.A CH 3CH 2CH 2Br B CH 3CH=CH 250.A CH 3CH(OH)CH(CH 3)2 B CH 3COCH(CH 3)2 C CH 3CH=C(CH 3)251. ACH 3CHOBCH 3CH(OH)C 2H 5CCH 3CH=CHCH 352.A(CH 3)2CH(OH)CH 3B(CH 3)2C=CHCH 353—72 CBDCD BCBCB ACACB DBDBC73.下、上 左、右 74.亲电取代(离子型)、自由基 75.B A C 76.N,N-二甲基丙酰胺 77.(Z )-3-甲基-3-庚烯 78.稀碱性 79.白色80.(CH 3)4N +OH - 81.负 正82.C 2H 5C=CH 2C 2H 583.亚油酸 -亚麻酸 花生四烯酸84.CH2=CHCHO85.CH3C(CH2)4COOHO86.CH3CHBrCH387.CH3CCH2OHOCH3388.CHClCH389.(CH3)2CHCBr(CH3)290.91.NHCOCH392.CH3CH=CHCHO93.CH(OH)C2H594.NNO295.CH3COONa+C2H5OH96.CH3CH=CHCOOH97.NCH398.HCOOHHHHOHOHOHHOCOOH99.A CH3CHOB CH3CH(OH)C2H5CCH3CH=CHCH3100.A (CH3)2CH(OH)CH3B(CH3)2C=CHCH3《爱国影片观后感500字》爱国影片观后感500字(一):《小兵张嘎》观后感我看了《小兵张嘎》这部电影后,我受益匪浅。
测试题1.下列描述正确的就是A自由基反应就是按共价键的异裂进行的B醛酮的加成主要就是亲核加成C 叔丁基溴在NaOH的水溶液主要按S N2机制进行水解D溴甲烷在NaOH的水溶液主要按S N1机制进行水解2.仲丁基的结构为A(CH3)3C B CH3CH2CH2CH2C CH3CHCH2CH3D(CH3)2CH3.在室温下能使Br2的CCl4溶液褪色的就是A 环己烷B 苯C 环戊烷D 环丙烷4.能与FeCl3溶液显色的就是A苯B苯酚C甲苯D硝基苯5.下列卤代烃与硝酸银的醇溶液反应活性最强的就是A CH2ClBClCCH2CH2ClDCl6.下列化合物酸性最强的就是A乙醇 B 丙醇C异丙醇D叔丁醇7.下列化合物中,没有手性碳原子的就是A 1,2-二溴丁烷B 2-溴丁烷C 2-溴-2-甲基丁烷D 1-溴-2-甲基丁烷8.CH2=CHCH2OH与沙瑞特试剂(三氧化铬的吡啶溶液)反应生成A CH2=CHCHOB CH2=CHCOOHC CO2+HOOCCOOHD CH2(OH)CH(OH)CHO9.不能与饱与亚硫酸氢钠反应的化合物就是A乙醛B 2-戊酮C苯乙酮D环己酮10.下列酸性由大到小排列正确的就是A 丙酸> 2-氯丙酸> 3-氯丙酸> 2,2-二氯丙酸B 2,2-二氯丙酸> 2-氯丙酸> 3-氯丙酸> 丙酸C 2,2-二氯丙酸> 3-氯丙酸> 2-氯丙酸> 丙酸D 3-氯丙酸> 2-氯丙酸> 2,2-二氯丙酸> 丙酸11.下列化合物碱性最强的就是A 甲胺B氢氧化四甲铵C二甲胺 D 三甲胺12.下列化合物醇解反应速率由快到慢的顺序就是A乙酰氯> 乙酸酐> 乙酸乙酯> 乙酰胺B乙酸酐> 乙酸乙酯> 乙酰氯> 乙酰胺C乙酰胺> 乙酸酐> 乙酸乙酯> 乙酰氯D乙酸乙酯> 乙酸酐> 乙酰氯> 乙酰胺13.磺酰化反应可以鉴别A伯、仲、叔醇B伯、仲、叔卤代烃 C 伯、仲、叔胺 D 叔醇与叔胺14.鉴别苯甲醛与苯乙醛可用的试剂为A饱与亚硫酸氢钠B2,4-二硝基苯肼 C Tollens试剂 D Fehling试剂15.按次序规则,基团最大的就是A –CH2OHB –COOHC -CHOD -OH16.CH3CH3与HBr反应的主要产物是H3CACH3CHC(CH3)3Br BCH3CH2CH2C(CH3)2BrC BrCH2CH(CH3)CH(CH3)2D Br(CH3)2CHC(CH3)217.CH=CH2H OHCH2CH3的对映体就是A CH=CH2HCH2CH3HOBCH=CH2HCH2CH3HOCOHCH=CH2HCH2CH3DHCH2CH3CH2=CH18.下列化合物没有还原性的就是A葡萄糖B麦芽糖C蔗糖D果糖19.两种物质混合后的熔点比相应纯品的熔点A 低B高 C 两种纯品熔点的算术平均值D无法确定20.不能与Cu(OH)2反应生成深蓝色溶液的就是A 甘油B 1,2-丙二醇C 1,3-丙二醇D 乙二醇21.自由基反应的三个阶段就是 , , 。
测试题1.下列描述正确的是A 自由基反应是按共价键的异裂进行的B 醛酮的加成主要是亲核加成C 叔丁基溴在NaOH的水溶液主要按S N2机制进行水解D 溴甲烷在NaOH的水溶液主要按S N1机制进行水解2.仲丁基的结构为A (CH3)3CB CH3CH2CH2CH2C CH3CHCH2CH3D (CH3)2CH3.在室温下能使Br2的CCl4溶液褪色的是A 环己烷B 苯C 环戊烷D 环丙烷4.能与FeCl3溶液显色的是A 苯B 苯酚C 甲苯D 硝基苯5.下列卤代烃与硝酸银的醇溶液反应活性最强的是A CH2ClBClCCH2CH2ClDCl6.下列化合物酸性最强的是A 乙醇B 丙醇C 异丙醇D 叔丁醇7.下列化合物中,没有手性碳原子的是A 1,2-二溴丁烷B 2-溴丁烷C 2-溴-2-甲基丁烷D 1-溴-2-甲基丁烷8.CH2=CHCH2OH与沙瑞特试剂(三氧化铬的吡啶溶液)反应生成A CH2=CHCHOB CH2=CHCOOHC CO2+HOOCCOOHD CH2(OH)CH(OH)CHO9.不能与饱和亚硫酸氢钠反应的化合物是A 乙醛B 2-戊酮C 苯乙酮D 环己酮10.下列酸性由大到小排列正确的是A 丙酸> 2-氯丙酸> 3-氯丙酸> 2,2-二氯丙酸B 2,2-二氯丙酸> 2-氯丙酸> 3-氯丙酸> 丙酸C 2,2-二氯丙酸> 3-氯丙酸> 2-氯丙酸> 丙酸D 3-氯丙酸> 2-氯丙酸> 2,2-二氯丙酸> 丙酸11.下列化合物碱性最强的是A 甲胺B 氢氧化四甲铵C 二甲胺D 三甲胺12.下列化合物醇解反应速率由快到慢的顺序是A乙酰氯> 乙酸酐> 乙酸乙酯> 乙酰胺B乙酸酐> 乙酸乙酯> 乙酰氯> 乙酰胺C乙酰胺> 乙酸酐> 乙酸乙酯> 乙酰氯D乙酸乙酯> 乙酸酐> 乙酰氯> 乙酰胺13.磺酰化反应可以鉴别A 伯、仲、叔醇B 伯、仲、叔卤代烃C 伯、仲、叔胺D 叔醇与叔胺14.鉴别苯甲醛与苯乙醛可用的试剂为A 饱和亚硫酸氢钠B 2,4-二硝基苯肼C Tollens试剂D Fehling试剂15.按次序规则,基团最大的是A –CH2OHB –COOHC -CHOD -OH16.CH3CH3与HBr反应的主要产物是H3CACH3CHC(CH3)3BCH3CH2CH2C(CH3)2C BrCH2CH(CH3)CH(CH3)2D Br(CH3)2CHC(CH3)217.CH=CH2H OHCH2CH3的对映体是A CH=CH2HCH2CH3HOBCH=CH2HCH2CH3HOCOHCH=CH2HCH2CH3 DHCH2CH3CH2=CH18.下列化合物没有还原性的是A 葡萄糖B麦芽糖C蔗糖 D 果糖19.两种物质混合后的熔点比相应纯品的熔点A 低B 高C 两种纯品熔点的算术平均值D 无法确定20.不能与Cu(OH)2反应生成深蓝色溶液的是A 甘油B 1,2-丙二醇C 1,3-丙二醇D 乙二醇21.自由基反应的三个阶段是,, 。
人卫第八版病理生理学最新最全总结疾病概论健康与疾病一、健康(health)健康不仅没有疾病和病痛,而且在躯体上、心理上和社会上处于完好状态。
即包括躯体健康、心理健康和良好的适应能力二、疾病(Disease) 疾病是机体在一定的条件下,受病因损害作用后,因自稳调节紊乱而发生的功能、代谢、形态的异常变化,并由此出现临床的症状和体征。
三、亚健康(Subhealth) 指人的机体虽然无明确的疾病,但呈现出活力降低,适应力减退,处于健康与疾病之间的一种生理功能降低的状态,又称次健康状态或“第三状态”病因学(Etiology)一、疾病发生的原因-能引起疾病并赋予该疾病以特征性的因素。
1、生物性致病因素 2.物化因素 4.营养性因素(机体必需物质的缺乏或过多) 5.遗传性因素6、先天性因素7、免疫性因素8、精神、心理、社会因素二.疾病发生的条件能影响病因对机体的作用,促进或阻碍疾病发生的各种体内外因素。
如环境、营养状况、性别、年龄等。
诱因:作用于病因或机体促进疾病发生发展的因素。
发病学(Pathogenesis)疾病发生发展的一般规律(一)损伤与抗损伤(二)因果交替(三)局部与整体疾病转归(一)康复(rehabilitation )(二)死亡(Death)死亡是指机体作为一个整体的功能的永久停止,即脑死亡。
传统的临床死亡标志: 心跳停止、呼吸停止、各种反射消失脑死亡(brain death):全脑功能的永久性停止。
意义:有利于判定死亡时间;确定终止复苏抢救的界线;为器官移植创造条件标准:自主呼吸停止;不可逆性深昏迷;脑干神经反射消失;瞳孔散大或固定;脑电波消失;脑血液循环完全停止水、电解质代谢障碍第一节水、钠代谢一、体液的容量和分布60%包括血浆5%、组织液15%和细胞内液40%,因年龄、性别、胖瘦而不同,二、体液渗透压l晶体渗透压:晶体物质(主要是电解质)引起的渗透压。
数值上接近总渗透压。
2胶体渗透压(colloid osmotic pressure):由蛋白质等大分子产生的渗透压。
有机化学第八版总结1. 引言有机化学是研究有机物质结构、组成、性质、转化和合成的学科。
它是化学学科中的重要分支,对于理解和解释生物、药物、材料等方面具有重要意义。
《有机化学第八版》是有机化学领域的经典教材,本文将对该教材进行总结。
2. 内容概述《有机化学第八版》全书共分为十五个章节,内容包括有机化合物的命名、结构、反应和机理等方面的知识。
具体内容如下:2.1 有机化合物的命名本章介绍了有机化合物的命名方法,包括根据功能团和碳链命名的系统命名法,常用的通用命名法,以及常见的烷烃、烯烃和芳香烃的命名规则。
2.2 碳链的构建本章讲解了有机化合物中碳链的构建方法,包括键合原理、卡宾和碳离子的生成及其反应,配合新的化学转化方法帮助学生理解和掌握碳链的构建过程。
2.3 功能团的化学转化本章介绍了常见的有机化学反应,包括醇和酚的酸碱性反应、醛和酮的还原、卤代烷的亲核取代、酸酐的加水解、酸酐的环化等。
重点讲解了各种功能团的化学转化和反应机理。
2.4 芳香化合物的化学性质本章重点介绍了芳香化合物的化学性质,包括芳香烃的亲电取代、亲核取代和芳香性质的相关知识。
2.5 立体化学本章讲解了有机化合物的立体化学,包括手性分子的定义、对映异构体的描述和分类、立体化学表示法等。
2.6 核磁共振光谱本章介绍了核磁共振光谱的原理和应用,包括1H NMR和13C NMR的解析方法,通过谱图读取有机化合物的结构信息等。
2.7 紫外/可见光谱本章讲解了紫外/可见光谱的原理和应用,包括紫外吸收原理、紫外光谱图的解读方法,以及根据光谱图判断有机化合物的共轭系统等。
2.8 质谱本章介绍了质谱的原理和应用,包括质谱的仪器结构、质谱图的解读方法,以及通过质谱技术对有机化合物进行结构分析等。
2.9 与分子设计相关的交叉学科知识本章涵盖了与分子设计相关的化学知识,包括药物化学、天然有机物的合成、高分子化学等方面的内容。
2.10 有机化学实验技术本章介绍了有机化学实验室中常用的实验技术和仪器设备,包括溶剂的选择、萃取、结晶、干燥和分离等实验操作。
有机化学复习(人卫第八版)第一章绪论第二章立体化学1、费歇尔投影式书写原则1、构象异构(锯架式和纽曼投影式的书写)2、化学性质①稳定性②卤代反应(自由基的反应)链引发——链增长——链终止二、环烷烃1、化学性质取代、开环加成(一般为三元环或四元环)原则(连氢最多和连氢最少的两个碳原子之间)2、构象环己烷的构象:椅式和船式(书写椅式的顺式和反式以及取代反应的稳定性即优势构象)第五章烯烃和炔烃一、烯烃1、顺反异构及其命名2、化学性质①亲电加成反应(1)与卤素加成(在四氯化碳中进行):反应机制烯烃与氯或溴的加成反应通常生成反式加成产物(2)与卤化氢的加成反应的活性顺序:HI>HBr>HCl>HF不对称加成(马氏规则)正碳离子的稳定性诱导效应(3)与硫酸加成_______________________________________________________________生成烷基硫酸氢酯在水中加热可以水解生成醇稀硫酸下即可反应,硫酸越浓越不易加成不对称加成也遵循马氏规则(4)与水加成在酸催化下(如磷酸或硫酸)与水加成生成醇②催化加氢常用Pt、Pd、Ni等金属作催化剂主要生成顺式加成产物取代基增多空间位阻增大越不利于加成③自由基加成反应(1)过氧化物存在下加溴化氢只有溴化氢反马氏规则(2)烯烃的自由基聚合反应④氧化反应(1)高锰酸钾氧化酸性条件下、稀冷条件下(顺式、褐色MnO2沉淀)(2)臭氧氧化最终生成醛或酮以及过氧化氢(3)环氧化反应烯烃与过氧酸作用氧化为环氧化合物二、共轭烯烃1、共轭效应2、性质何时1,2加成、何时1,4加成三、炔烃1、化学性质①酸性与硝酸银或氯化亚铜的氨溶液反应②加成反应(1)催化加氢(若催化剂为LindlarPd,反应产物为顺式烯烃)(2)与卤素加成(3)与卤化氢加成(马氏规则)(4)与水加成(在汞盐如硫酸汞催化下,稀硫酸溶液中能反应)注:双键与三键同时存在时,若发生亲电加成则先与双键反应;否则先与三键反应③氧化反应与高锰酸钾反应第六章芳香烃1、化学性质①亲电取代反应(1)苯的亲电反应取代机制(2)卤代反应(在三卤化铁或铁粉等催化剂作用下)(3)硝化反应(混酸)(4)磺化反应(发烟硫酸/与浓硫酸共热)磺化反应引进磺酸基可增强水溶性(5)烷基化和酰基化反应(博-克反应)在无水氯化铝等Lewi酸催化剂下,苯与卤代烷反应生成烷基苯,与酰卤反应生成酰基苯在烷基化反应中,卤代烷在三氯化铝的作用下产生亲电试剂烷基正离子。
测试题1.下列描述正确的是A自由基反应是按共价键的异裂进行的B醛酮的加成主要是亲核加成C 叔丁基溴在NaOH的水溶液主要按S N2机制进行水解D溴甲烷在NaOH的水溶液主要按S N1机制进行水解2.仲丁基的结构为A(CH3)3C B CH3CH2CH2CH2C CH3CHCH2CH3D(CH3)2CH3.在室温下能使Br2的CCl4溶液褪色的是A 环己烷B 苯C 环戊烷D 环丙烷4.能与FeCl3溶液显色的是A苯B苯酚C甲苯D硝基苯5.下列卤代烃与硝酸银的醇溶液反应活性最强的是A CH2ClBClCCH2CH2ClDCl6.下列化合物酸性最强的是A乙醇 B 丙醇C异丙醇D叔丁醇7.下列化合物中,没有手性碳原子的是A 1,2-二溴丁烷B 2-溴丁烷C 2-溴-2-甲基丁烷D 1-溴-2-甲基丁烷8.CH2=CHCH2OH与沙瑞特试剂(三氧化铬的吡啶溶液)反应生成A CH2=CHCHOB CH2=CHCOOHC CO2+HOOCCOOHD CH2(OH)CH(OH)CHO9.不能与饱和亚硫酸氢钠反应的化合物是A乙醛B 2-戊酮C苯乙酮D环己酮10.下列酸性由大到小排列正确的是A 丙酸> 2-氯丙酸> 3-氯丙酸> 2,2-二氯丙酸B 2,2-二氯丙酸> 2-氯丙酸> 3-氯丙酸> 丙酸C 2,2-二氯丙酸> 3-氯丙酸> 2-氯丙酸> 丙酸D 3-氯丙酸> 2-氯丙酸> 2,2-二氯丙酸> 丙酸11.下列化合物碱性最强的是A 甲胺B氢氧化四甲铵C二甲胺 D 三甲胺12.下列化合物醇解反应速率由快到慢的顺序是A乙酰氯> 乙酸酐> 乙酸乙酯> 乙酰胺B乙酸酐> 乙酸乙酯> 乙酰氯> 乙酰胺C乙酰胺> 乙酸酐> 乙酸乙酯> 乙酰氯D乙酸乙酯> 乙酸酐> 乙酰氯> 乙酰胺13.磺酰化反应可以鉴别A伯、仲、叔醇B伯、仲、叔卤代烃 C 伯、仲、叔胺 D 叔醇与叔胺14.鉴别苯甲醛与苯乙醛可用的试剂为A饱和亚硫酸氢钠B2,4-二硝基苯肼 C Tollens试剂 D Fehling试剂15.按次序规则,基团最大的是A –CH2OHB –COOHC -CHOD -OH16.CH3CH3与HBr反应的主要产物是H3CACH3CHC(CH3)3Br BCH3CH2CH2C(CH3)2BrC BrCH2CH(CH3)CH(CH3)2D Br(CH3)2CHC(CH3)217.CH=CH2H OHCH2CH3的对映体是A CH=CH2HCH2CH3HOBCH=CH2HCH2CH3HOCOHCH=CH2HCH2CH3DHCH2CH3CH2=CH18.下列化合物没有还原性的是A葡萄糖B麦芽糖C蔗糖D果糖19.两种物质混合后的熔点比相应纯品的熔点A 低B高 C 两种纯品熔点的算术平均值D无法确定20.不能与Cu(OH)2反应生成深蓝色溶液的是A 甘油B 1,2-丙二醇C 1,3-丙二醇D 乙二醇21.自由基反应的三个阶段是, , 。
测试题1.下列描述正确的是A自由基反应是按共价键的异裂进行的B醛酮的加成主要是亲核加成C 叔丁基溴在NaOH的水溶液主要按S N2机制进行水解D溴甲烷在NaOH的水溶液主要按S N1机制进行水解2.仲丁基的结构为A(CH3)3C B CH3CH2CH2CH2C CH3CHCH2CH3D(CH3)2CH3.在室温下能使Br2的CCl4溶液褪色的是A 环己烷B 苯C 环戊烷D 环丙烷4.能与FeCl3溶液显色的是A苯B苯酚C甲苯D硝基苯5.下列卤代烃与硝酸银的醇溶液反应活性最强的是A CH2ClBClCCH2CH2ClDCl6.下列化合物酸性最强的是A乙醇 B 丙醇C异丙醇D叔丁醇7.下列化合物中,没有手性碳原子的是A 1,2-二溴丁烷B 2-溴丁烷C 2-溴-2-甲基丁烷D 1-溴-2-甲基丁烷8.CH2=CHCH2OH与沙瑞特试剂(三氧化铬的吡啶溶液)反应生成A CH2=CHCHOB CH2=CHCOOHC CO2+HOOCCOOHD CH2(OH)CH(OH)CHO9.不能与饱和亚硫酸氢钠反应的化合物是A乙醛B 2-戊酮C苯乙酮D环己酮10.下列酸性由大到小排列正确的是A 丙酸> 2-氯丙酸> 3-氯丙酸> 2,2-二氯丙酸B 2,2-二氯丙酸> 2-氯丙酸> 3-氯丙酸> 丙酸C 2,2-二氯丙酸> 3-氯丙酸> 2-氯丙酸> 丙酸D 3-氯丙酸> 2-氯丙酸> 2,2-二氯丙酸> 丙酸11.下列化合物碱性最强的是A 甲胺B氢氧化四甲铵C二甲胺 D 三甲胺12.下列化合物醇解反应速率由快到慢的顺序是A乙酰氯> 乙酸酐> 乙酸乙酯> 乙酰胺B乙酸酐> 乙酸乙酯> 乙酰氯> 乙酰胺C乙酰胺> 乙酸酐> 乙酸乙酯> 乙酰氯D乙酸乙酯> 乙酸酐> 乙酰氯> 乙酰胺13.磺酰化反应可以鉴别A伯、仲、叔醇B伯、仲、叔卤代烃 C 伯、仲、叔胺 D 叔醇与叔胺14.鉴别苯甲醛与苯乙醛可用的试剂为A饱和亚硫酸氢钠B2,4-二硝基苯肼 C Tollens试剂 D Fehling试剂15.按次序规则,基团最大的是A –CH2OHB –COOHC -CHOD -OH16.CH3CH3与HBr反应的主要产物是H3CACH3CHC(CH3)3Br BCH3CH2CH2C(CH3)2BrC BrCH2CH(CH3)CH(CH3)2D(CH3)2CHC(CH3)217.CH=CH2H OHCH2CH3的对映体是A CH=CH2HCH2CH3HOBCH=CH2HCH2CH3HOCOHCH=CH2HCH2CH3DHCH2CH3CH2=CH18.下列化合物没有还原性的是A葡萄糖B麦芽糖C蔗糖D果糖19.两种物质混合后的熔点比相应纯品的熔点A 低B高 C 两种纯品熔点的算术平均值D无法确定20.不能与Cu(OH)2反应生成深蓝色溶液的是A 甘油B 1,2-丙二醇C 1,3-丙二醇D 乙二醇21.自由基反应的三个阶段是, , 。
1.物质的量浓度:c B=n B/V2.质量浓度:ρB=m B/V3.摩尔分数:x B=n B/Σn4.质量分数:ΩB=m B/Σm5.质量摩尔浓度:b B=n B/m A6.把研究对象作为系统,一种或数种物质分散在另一种物质中所形成的系统称为分散系。
被分散的物质称为分散相,容纳分散相的连续介质称为分散介质。
7.分散相可分为均相分散相和非均相分散相两大类。
相指系统中物理和化学性质相同的组成部分。
8.热力学根据研究的需要和方便,把一部分物体与其余部分划分开来作为研究对象。
被划为研究对象的一部分称为系统。
系统以外与系统密切相关的部分是该系统的环境。
9.根据系统和环境之间交换物质和能量的不同情形可以分为:开放系统:系统与环境之间既有物质的交换,又有能量的传递。
封闭系统:系统与环境之间只有能量的交换而无物质的交换。
隔离系统:系统与环境之间既无物质的交换也无能量的交换。
10.可逆过程体积功最大We max=-nRTln(V终/V初)11.等温等压(理气)We=-p外△V=-△nRT12.热力学能又称内能,它是系统内部一切形式的能量总和,用符号U表示。
△U=Q+WQ:系统从环境里吸收的热量W:环境对系统做功13.等容热效应:△U=Q V等压热效应:△H=Q P△H=Q P = Q V +△nRT=△U+△nRT反应前后气体的物质的量没有变化(△n=0)的反应或者是反应物与产物都在溶液或者固体中发生的反应,系统的体积变化极小,△V≈0,可以认为:△U≈△H14.定义热力学的标准态:气体:压力为100kPa及标准压力下的纯理想气体。
若为混合气体则是指各气体的分压为标准压力且均为理想气体的性质。
纯液体(或纯固体):标准压力下的纯溶液(或纯固体)溶液:溶液由溶质和溶剂构成,溶质的标准态是指在标准压力溶质浓度(严格应为活度)为1mol/L 或质量摩尔浓度为1mol/kg 且具有理想溶液性质的溶质;溶剂的标准态则是指标准压力下的纯溶剂。
人卫有机化学复习题1(总9页) -CAL-FENGHAI.-(YICAI)-Company One1-CAL-本页仅作为文档封面,使用请直接删除复习题1一、选择题1、根据反应历程,生成的中间体不是正碳离子的反应是()A、丙烯与HCl的加成反应B、甲苯的硝化反应C、溴甲烷与NaOH水溶液反应D、叔丁基溴的碱性水解反应答案:C2、下列化合物酸性最强的是()。
A、对甲基苯酚B、对-硝基苯酚C、对-氯苯酚D、对-溴苯酚答案:B3、下列醇最容易脱水的是()。
RCH OHA、2R COHB、3CH OHC、3R CHOHD、2答案:B4、用普通命名法,的名称是()。
A.环氧丙烷 B.1-甲基环氧乙烷C.氧化丙烯 D.氧化乙烯答案: C5、HOCH2CH2OC2H5的名称是()。
A.2-甲氧基乙醇 B.2-乙氧基乙醚C.2-乙氧基乙醇 D.羟乙基乙醚答案:C6、不能发生醇醛缩合反应的是()。
A.CH3CH2CHO B.CH3CH CHCHOC.CH3C(CH3)2CHO D.C6H5CH2CHO答案:B7、下列化合物,在室温下水溶性最大的是()。
A.HOCH2CH2OH B.CH3(CH2)5OHC.CH3CH2Cl D.C6H5OH答案:A8、乙酸、甲酸、苯甲酸、戊酸的酸性由强到弱的顺序是()。
A、甲酸>苯甲酸>乙酸>戊酸B、苯甲酸>甲酸>乙酸>戊酸C、戊酸>乙酸>苯甲酸>甲酸D、乙酸>甲酸>苯甲酸>戊酸答案:A9、胆固醇是人体必需的生物活性物质,分子式为C27H46O。
一种胆固醇酯是液晶材料,分子式为C34H50O。
则生成胆固醇的酸是()。
1A、C6H50OB、C6H5COOHC、C7H15COOHD、C6H5CH2COOH答案:B10、1995年3月20日在日本东京地铁发生震惊世界的“沙林毒气袭击事件”,造成11人死亡,5500多人中毒。
恐怖分子使用的“沙林”是剧毒的神经毒剂,它的化学名称为甲氟磷酸异丙酯。
第一章绪论第二章立体化学1、费歇尔投影式书写原则连接原子或原子团的水平线代表伸向纸面前方的化学键,垂直线代表纸面后方。
2、外消旋体、非对映异构体、内消旋化合物概念(区别和联系)3、R/S构型标记法第四章烷烃和环烷烃一、烷烃1、构象异构(锯架式和纽曼投影式的书写)2、化学性质①稳定性②卤代反应(自由基的反应)链引发——链增长——链终止二、环烷烃1、化学性质取代、开环加成(一般为三元环或四元环)原则(连氢最多和连氢最少的两个碳原子之间)2、构象环己烷的构象:椅式和船式(书写<两种>椅式的顺式和反式以及取代反应的稳定性即优势构象)第五章烯烃和炔烃一、烯烃1、顺反异构及其命名2、化学性质①亲电加成反应(1)与卤素加成(在四氯化碳中进行):反应机制烯烃与氯或溴的加成反应通常生成反式加成产物(2)与卤化氢的加成反应的活性顺序:HI>HBr>HCl>HF 不对称加成(马氏规则)正碳离子的稳定性诱导效应(3)与硫酸加成_______________________________________________________________生成烷基硫酸氢酯在水中加热可以水解生成醇稀硫酸下即可反应,硫酸越浓越不易加成不对称加成也遵循马氏规则(4)与水加成在酸催化下(如磷酸或硫酸)与水加成生成醇②催化加氢常用Pt、Pd、Ni等金属作催化剂主要生成顺式加成产物取代基增多空间位阻增大越不利于加成③自由基加成反应(1)过氧化物存在下加溴化氢只有溴化氢反马氏规则(2)烯烃的自由基聚合反应④氧化反应(1)高锰酸钾氧化酸性条件下、稀冷条件下(顺式、褐色MnO2沉淀)(2)臭氧氧化最终生成醛或酮以及过氧化氢二、共轭烯烃1、共轭效应2、性质何时1,2加成、何时1,4加成三、炔烃1、化学性质①酸性与硝酸银或氯化亚铜的氨溶液反应②加成反应(1)催化加氢(若催化剂为Lindlar Pd,反应产物为顺式烯烃)(2)与卤素加成(3)与卤化氢加成(马氏规则)(4)与水加成(在汞盐如硫酸汞催化下,稀硫酸溶液中能反应)注:双键与三键同时存在时,若发生亲电加成则先与双键反应;否则先与三键反应③氧化反应与高锰酸钾反应第六章芳香烃1、化学性质①亲电取代反应(1)苯的亲电反应取代机制(2)卤代反应(在三卤化铁或铁粉等催化剂作用下)(3)硝化反应(混酸)(4)磺化反应(发烟硫酸/与浓硫酸共热)磺化反应引进磺酸基可增强水溶性(5)烷基化和酰基化反应(博-克反应)在无水氯化铝等Lewis酸催化剂下,苯与卤代烷反应生成烷基苯,与酰卤反应生成酰基苯在烷基化反应中,卤代烷在三氯化铝的作用下产生亲电试剂烷基正离子。
3个碳以上的直链烷基形成的伯正碳离子易重排成仲或叔正碳离子,因此发生碳链异构化作用。
酰基化常用来制备芳香酮注:Ⅰ、酰基碳正离子(不发生重排)酰化反应不发生烷基异构化Ⅱ、硝基苯不能进行酰基化和烷基化反应②烷基苯侧链的反应(1)烷基苯的侧链氧化反应烷基不论长短最终产物均为苯甲酸;若与苯环直接相连的α-碳原子上无氢原子是侧链不被氧化(2)烷基苯的侧链卤代反应(自由基反应)光照或加热条件下,卤素原子主要取代α-氢原子2、苯环亲电取代的定位效应①第一类定位基(邻对位定位基)②第二类定位基(间位定位基)③二取代苯亲电取代的定位规律(1)两种定位基定位作用一致(2)两种定位基定位作用不一致时,邻对位定位基的作用超过间位定位基,强致活集团的作用超过弱致活基团的作用;新取代基进入苯环的位置主要决定于定位作用较强者3、稠环芳香烃如何编号;萘分子中α位上的电子云密度较高,亲电取代反应多发生于此;萘比苯易发生加成反应4、芳香性判断休克尔规则:成环的化合物具有平面的共轭体系,且π电子数为4n+2(n从0开始)第七章卤代烃1、化学性质①卤代烷的亲核取代反应(以S N表示)(1)S N1机制水解反应速率仅取决于卤代烷的浓度,即决定反应速率的反应是单分子反应反应的活性中间体为正碳离子能量曲线(2)S N2机制不仅取决于卤代烷的反应浓度,还与碱的浓度有关,决定反应速率的反应是双分子反应亲核试剂从背面进攻,所以背面障碍越小越易反应能量曲线(3)影响亲核取代反应机制的因素❶反应速率:SN1机制:苄基>烯丙基>叔卤代烷>仲卤代烷>伯卤代烷>卤甲烷>乙烯基SN2机制:苄基>烯丙基>卤甲烷>伯卤代烷>仲卤代烷>叔卤代烷>乙烯基❷从亲核试剂的结构和性质:亲核试剂的亲核性对SN1影响不大,但对SN2来说,亲核性越强,反应速率越快❸从离去基团的性质考虑:RI亲核取代的速率最快❹极性溶剂有利于SN1机制进行,反之对SN2机制有利②卤代烷的消除反应(简称E,又称β-消除反应)Saytzeff规则(1)E1机制:反应速率仅与卤代烷的浓度有关反应活性中间体为正碳离子(2)E2机制:与卤代烷和碱浓度有关反应速率:叔>仲>伯(两种机制相同)注:多数情况下,卤代烷的消除反应和亲核取代反应同时发生,且相互竞争提高温度有利于消除反应极性溶剂对SN1和E1机制反应均有利,而对SN2和E2机制反应都不利试剂碱性强有利于E2机制反应试剂亲核性强有利于SN2机制反应[碘化钠(钾)的丙酮溶液一定是SN2机制硝酸银的醇溶液一定为SN1机制】③不饱和卤代烃的取代反应乙烯基卤代烃不易发生取代反应,与硝酸银醇溶液共热也无卤化银沉淀产生烯丙基卤代烃在室温下能与硝酸银醇溶液发生反应孤立型不饱和卤代烃中的卤素活泼性与卤代烷中卤原子的活泼性相似注:取代反应的活性次序为烯丙基卤代烃>孤立型不饱和卤代烃(叔>仲>伯)>乙烯基卤代烃【鉴别】④卤代烃与金属反应卤代烃可与锂、钠、钾、镁、铝、镉等金属反应,生成具有不同极性C---M(M代表金属原子)键的有机金属化合物【格式试剂】卤代烃与镁在无水乙醚中反应生成的烃基卤化镁称为格式试剂格式试剂:强亲核试剂,与二氧化碳反应制备羧酸;与醛酮的反应可制备各种醇;若遇水、醇等立即分解生成烷烃第八章醇硫醇酚一、①与金属钠的反应醇钠遇水立即分解生成氢氧化钠和原来的醇不同烃基结构的醇钠碱性顺序:叔醇钠>仲醇钠>伯醇钠【邻二醇类化合物在碱性溶液中可与铜离子反应生成绛蓝色的配合物】Lucas试剂可鉴别伯、仲、叔醇【叔醇立即出现油状物、放热;仲醇五分钟反应且放热不明显;伯醇至少一小时后才反应】②与无机含氧酸的酯化反应(1)与硝酸反应(2)与硫酸反应(3)与磷酸反应③脱水反应醇在浓硫酸或磷酸催化下加热,分子内脱水生成烯烃【难易顺序:由正碳离子的稳定性决定(叔碳>仲碳>伯碳)】④氧化反应常用氧化剂有K2CrO7的酸性水溶液,高锰酸钾溶液二、硫醇①弱酸性硫氢键易被极化,异裂放出质子。
其酸性强于水和醇;硫醇难溶于水易溶于氢氧化钠②与重金属作用可与汞、银、铝等重金属盐或氧化物作用生成不溶于水的硫醇盐③氧化反应硫醇易被氧化在稀过氧化氢或碘甚至在空气中氧的作用下,硫醇可被氧化为二硫化物在高锰酸钾、硝酸等强氧化剂的作用下,甲硫醇可被氧化为甲磺酸【硫醚也易被氧化】三、酚①酚的酸性与成盐弱酸性,比碳酸弱【取代酚类化合物的酸性强弱与苯环上取代基的种类、数目等有关】②亲电取代反应(1)卤代反应苯酚与溴水可立即作用生成2,4,6-三溴苯酚的白色沉淀【若使用非极性溶剂(如二硫化碳)并在低温下苯酚与溴反应生成一溴取代物——对溴苯酚。
当苯酚对位有取代基时,如选择低极性溶剂,低温下可制得邻位取代物(2)硝化反应苯酚与稀硝酸反应可生邻硝基苯酚和对硝基苯酚(通过水蒸气蒸馏可分离)【若选择低极性溶剂低温下主要生成对硝基苯酚】(3)磺化反应苯酚与硫酸反应在较低温度时主要生成邻羟基苯磺酸,在较高温度时主要生成对羟基苯磺酸;【若采用发烟硫酸则生成苯酚-2,4,6三磺酸③与三氯化铁的显色反应具有烯醇结构的化合物都可与三氯化铁发生呈色反应④氧化反应用重铬酸钾和硫酸做氧化剂,苯酚可被氧化为对苯醌第九章醚一、醚①醚的质子化:羊盐的形成醚接受质子的能力很强必须与浓硫酸才能生成羊盐,因此醚能溶于浓硫酸和浓盐酸等强酸中。
羊盐不稳定,遇水立即分解,恢复成原来的醚【利用此特性可以区别醚与烷烃或卤代烃】②醚键的断裂(亲核取代反应):加热可使醚和氢碘酸所生成的羊盐发生C--O键的断裂,生成卤代烃和醇,生成的醇还能进一步与过量的氢碘酸反应生成碘代烃【高温下浓氢溴酸和盐酸也可发生上述反应】注:烷基的结构决定了反应机制,通常伯烷基醚易按SN2机制进行,叔烷基醚易按SN1机制进行;【混合醚发生此反应时,一般是较小烃基先生成卤代烷;芳基烷基醚与氢碘酸反应时总是生成酚和碘代烷;氢卤酸不能使二芳基醚的醚键断裂】③过氧化物的生成一般的氧化剂,如高锰酸钾、重铬酸钾不能氧化醚,但含有α-氢原子的醚在空气中久置或光照,则缓慢发生氧化反应,生成不易挥发的过氧化物二、环醚开环反应①酸催化开环反应倾向于按SN1机制进行。
因此对于非对称取代的环氧化合物,在酸催化下发生开环反应时,亲核试剂优先进攻取代基较多的环氧碳原子②碱性条件下的开环反应SN2反应;亲核试剂进攻位阻较小的环氧碳原子,因此对于非对称取代的环氧化合物,亲核试剂主要进攻取代基较少的环氧碳原子第十章醛和酮①亲核加成反应(1)与氢氰酸加成【通常需碱催化】【与醛、脂肪族甲基酮和8个碳原子以下的环酮作用】生成氰醇也称α-羟基腈HCN与芳香酮反应困难;CN-浓度是决定反应速率的重要因素(2)与醇及水加成【在无水酸(通常是干燥氯化氢)存在下】生成半缩醛,半缩醛还可以与另一分子醇反应脱水生成缩醛与醛相比,酮与醇反应生成缩醛的反应较困难;但酮易与乙二醇作用生成具有五元环状结构的缩酮【缩醛与缩酮均对碱、氧化剂、还原剂稳定,对酸敏感,遇稀酸则分解成原来的醛(或酮)和醇————保护醛基】(3)与格式试剂加成【不可逆】所得的加成物经水解生成醇【与甲醛反应制伯醇;与其他醛反应制仲醇;与酮反应制叔醇】(4)与氨衍生物【羟胺、肼、苯肼、2,4-二硝基苯肼等】加成先加成后脱水,发生缩合反应生成含有>C=N--结构的N---取代亚胺【经酸水解得到原来的醛或酮】通式:【鉴别羰基化合物】②α碳及α氢的反应(1)醇醛缩合【含α-氢的醛】的α碳可以与另一醛的羰基碳加成形成新的碳碳键,生成β-羟基醛【七个碳以上的醛进行醇醛反应只能得到失水产物——α,β-不饱和醛(2)酮式和烯醇式的互变异构理论上,具有结构的化合物都可能存在酮式和烯醇式的两种互变异构体(3)卤代反应在碱催化下,卤素与含有α-氢的醛或酮迅速发生卤代反应,生成α碳完全卤代的卤代物【卤仿反应】:α碳含有3个活泼氢的醛或酮与卤素的氢氧化钠溶液(常用次卤酸钠的碱溶液)作用,首先生成α-三卤代物,后者在碱性溶液中立即分解成三卤甲烷和羧酸盐【碘仿反应——鉴别乙醛和甲基酮】③氧化反应和还原反应(1)氧化反应Tollens试剂能氧化醛而不能氧化酮——鉴别醛和酮Fehling试剂不与芳香醛反应——鉴别脂肪醛和芳香醛(2)还原反应❶在金属催化剂铂、镍等存在下,以氢气为还原剂使醛和酮还原成相应的伯醇和仲醇❷用氢化铝锂(LiAlH4)、氢化硼钠(NaBH4)等金属氢化物将醛和酮的羰基还原为伯醇和仲醇❸金属氢化物M+H-❹醛和酮与锌汞齐和浓盐酸回流,羰基将被还原成亚甲基❺醛或酮在高沸点溶剂(如缩二乙二醇)中与肼和氢氧化钾一起加热反应,羰基还原为亚甲基第十一章羧酸和取代羧酸一、羧酸①酸性与成盐反应(1)脂肪酸吸电子诱导效应有利于羧酸电离平衡向右进行,使酸性增强斥电子诱导效应使酸性减弱含不同卤原子的一卤代乙酸的酸性强弱与卤原子的电负性顺序一致;含卤原子数目不同的卤代乙酸的酸性随卤原子数目的增加而增强;含相同卤原子和碳链的卤代酸随卤原子与羧基之间的碳链增长,卤代酸的酸性递减(2)芳香酸苯甲酸的酸性比甲酸弱,但比其他一元脂肪羧酸酸性强取代苯甲酸中取代基对其酸性强弱的影响与脂肪羧酸相似立体效应:通常邻取代苯甲酸的酸性强于苯甲酸及其对应的对、间位取代物(3)二元酸酸性强于含相同碳原子数的一元羧酸二元羧酸分子中两个羧基相距越近,酸性增强程度越大(4)成盐②羧酸衍生物的生成(1)酰卤的生成酰卤是羧基中的羟基被卤素取代的产物酰氯是由羧酸与PCl3、PCl5或SOCl2(氯化亚砜)等试剂反应制得❶SOCl2:制备酰氯较纯净❷PCl3:适合用于制备低沸点的酰氯❸PCl5:适合制备较高沸点的酰氯(2)酸酐的生成羧酸(除甲酸外)在脱水剂(如P2O5)作用下加热,分子间失去一分子水生成酸酐五元环酸酐和六元环酸酐可由相应的二元酸加热,分子内失水而制得(3)酯的生成一般,伯醇、仲醇与羧酸的酯化反应为酸脱羟基醇脱氢;叔醇则相反(4)酰胺的生成羧酸与氨(或胺)反应首先形成铵盐然后加热脱水得到酰胺;酰卤、酸酐等的氨解反应产物为酰胺③二元羧酸的热解反应(1)脱羧反应羧酸失去羧基放出二氧化碳乙二酸、丙二酸受热发生脱羧反应,生成少一个碳原子的一元羧酸(2)脱水反应丁二酸、戊二酸受热发生脱水反应,生成环状酸酐(3)脱羧脱水反应己二酸、庚二酸在氢氧化钡存在下加热,发生分子内脱水和脱羧反应,生成少一个碳原子的环酮含8个以上碳原子的脂肪二元羧酸受热时,不能生成环酮而是发生分子间脱水,生成高分链状的缩合酸酐二、取代羧酸①羟基酸(1)羟基酸的酸性❶一般醇酸比相应的羧酸酸性强,但其羟基对羧基酸性的影响不如卤代酸中卤素的影响大;醇酸的羟基越靠近羧基,对羧基酸性增强的影响就越强,反之越弱酚酸的酸性随羟基与羧基的相对位置不同而表现出明显的差异(2)醇酸的氧化反应醇酸比醇分子中的羟基更容易被氧化Tollens试剂通常不与醇反应,却能将α-羟基酸氧化成α-酮酸(3)醇酸的脱水反应α醇酸:两个醇酸分子间的羟基和羧基交叉脱水,生成较稳定的六元环交酯β醇酸:α氢原子受β-羟基和羧基的共同影响很活泼受热时容易与β-羟基脱水生成α,β-不饱和羧酸γ醇酸分子中的羟基和羧基在常温下即可脱水生成五元环内酯δ醇酸能发生分子内的脱水反应,生成六元环内酯(4)酚酸的脱羧反应羟基的邻位或对位连有羟基②酮酸(1)酸性比相应的醇酸强,更强于相应的羧酸,且α-酮酸的酸性比β-酮酸强(2)脱羧反应α酮酸在稀硫酸作用下受热发生脱羧反应,生成少一个碳原子的醛β酮酸比α酮酸更易脱羧,通常β-酮酸只能在低温下保存酮式分解:酸式分解:β-酮酸与浓碱共热,分解为两分子羧酸盐第十二章羧酸衍生物【酰卤、酸酐、酯、酰胺】一、①亲核取代反应(1)水解反应❶酰卤:无需催化剂就能进行❷酸酐:反应速率取决于相应酸酐在水中的溶解度【乙酸酐易溶于水,所以非常容易与水反应】❸酯:需要在碱或无机酸存在下加热进行碱性条件下:反应速率主要取决于四面体中间体的稳定性,在酯羰基附近连有吸电子取待基能分散负电荷,可使中间体稳定酸性条件下:反应速率取决于形成四面体结构中间体的稳定性,R、OR’集团供电子能力增强,中间体越稳定❹酰胺:不仅需要强酸或强碱的催化,还需要长时间的加热回流(2)醇解反应❶酰卤:生成酯;反应速率受醇羟基的空间位阻的影响较大,伯醇比仲醇和叔醇更容易与酰卤反应❷酸酐:生成酯和羧酸(3)氨解反应❶酰卤:生成酰胺❷酸酐:生成酰胺和羧酸盐❸酯:生成酰胺和醇(4)酯缩合反应【Claisen(克莱森)缩合反应】酯分子的α-氢具有弱酸性,在醇钠作用下能形成烯醇负离子,该负离子与另一分子酯发生亲核反应,生成β-酮酸酯【不具有α-H的酯可以与具有α-H的酯发生交叉Claisen缩合反应】二、碳酸衍生物①尿素【脲】具有弱碱性,但不能使石蕊试纸变色;易溶于乙醇和水,难溶于乙醚(1)在脲酶、酸、碱催化下发生水解反应(2)缩二脲反应【分子中含有两个或两个以上酰胺键结构的化合物都能发生缩二脲反应②丙二酰脲(1)可以由尿素与丙二酰氯发生氨解反应制得(2)酮式-烯醇式互变异构第十三章胺和生物碱一、胺①碱性与成盐反应★胺的碱性强弱与氮上电子云密度有关,氮上电子云密度越大,接受质子的能力越强,碱性就越强(1)仅考虑电子效应的影响脂肪叔胺>脂肪仲胺>脂肪伯胺>NH3>芳香胺(2)仅考虑溶剂化效应的影响伯胺>仲胺>叔胺(3)综合各类因素,在水溶液中脂肪仲胺>脂肪伯胺、叔胺>芳香伯胺>芳香仲胺>芳香叔胺(4)季铵碱为强碱(5)胺类一般为弱碱,可与酸成盐,但遇强碱又重新游离析出(6)利用胺的盐分离提纯胺;增加其水溶性和稳定性②酰化反应【实际上就是羧酸衍生物的氨解反应】【保护氨基以避免芳胺在进行某些反应时氨基被氧化破坏伯胺、仲胺能与酰卤、酸酐作用生成酰胺,叔胺氮上无氢不能反应③磺酰化反应伯胺、仲胺可与苯磺酰氯或对甲苯磺酰氯反应生成相应的磺酰胺(1)由伯胺生成的磺酰胺氮上的氢受磺酰基影响呈弱酸性,可与碱成盐溶于水(2)仲胺形成的磺酰胺氮上无氢,不与碱成盐而在水溶液中呈固体析出(3)叔胺不被磺酰化,故在酸水溶液中成盐溶解【鉴别三类胺——兴斯堡实验】④与亚硝酸的反应【鉴别伯、仲、叔胺】(1)脂肪族伯胺与亚硝酸反应,生成极不稳定的脂肪族重氮盐,低温下也会立即自动分解,定量的放出氮气,反应产物为醇、稀及卤代烃等混合物(2)芳香伯胺与亚硝酸在低温(一般小于5度)及强酸水溶液中反应生成芳香重氮盐——重氮化反应(3)脂肪仲胺和芳香仲胺与亚硝酸反应,都是在氮上进行亚硝化,生成N-亚硝基化合物(中性黄色油状物或固体,绝大多数不溶于水,而溶于有机溶剂(4)脂肪叔胺与亚硝酸作用生成不稳定易水解的盐,若以强碱处理则重新游离析出叔胺(5)芳香叔胺因为氨基的强活化作用,使芳环易于发生亲电取代,与亚硝酸作用生成对-亚硝基胺,如对位被占据则取代在邻位⑤芳香胺的亲电取代反应二、生物碱。