一元一次不等式组练习题(含答案)
- 格式:doc
- 大小:148.00 KB
- 文档页数:5
一元一次不等式组 专题练习(含答案解析)一、计算题(本大题共25小题,共150.0分)1. 解不等式组,并在数轴上表示出解集:(1){8x +5>9x +62x −1<7(2){2x−13−5x+12≤15x −1<3(x +1).2. 解不等式组:{x +1>0x ≤x−23+2.3. 解不等式组{3(x +2)≥x +4x−12<1,并求出不等式组的非负整数解.4. 解不等式组:{2x −6≤5x +63x <2x −15. 求不等式组:{x −3(x −2)≤85−12x >2x 的整数解.6. 解下列不等式组并将不等式组的解集在数轴上表示出来.(1){3x <2(x −1)+3x+62−4≥x ; (2){5x +7>3(x +1)1−32x ≥x−83.7. 解不等式组{x −3(x −2)≥42x−15<x+12,并将它的解集在数轴上表示出来.8. 解不等式组 {3(x −2)+4<5x 1−x 4+x ≥2x −1.9. 解不等式组:{−3(x +1)−(x −3)<82x+13−1−x 2≤1,并求它的整数解的和.10. 试确定实数a 的取值范围,使不等式组{x 2+x+13>0x +5a+43>43(x +1)+a 恰有两个整数解.11. 解不等式组{2(x +2)≤x +3x 3<x+14.12. 求不等式组{4(x +1)+3>x①x−42≤x−53②的正整数解.13. {x −3(x −2)≤42x−15>x+12.14. 求不等式组{1−x ≤0x+12<3的解集.15. 解下列不等式组(1){3x −2<82x −1>2(2){5−7x ≥2x −41−34(x −1)<0.5.16. 解不等式组:{2x −1>53x+12−1≥x,并在数轴上表示出不等式组的解集.17. 解不等式组:{x 2−1<xx −(3x −1)≥−5.18. 解不等式组:{2x +9<5x +3x−12−x+23≤019. 解不等式组:{3x +1<2x +3①2x >3x−12②20. 解不等式组:{3x +7≥5(x +1)3x−22>x +1.21. 解不等式组{1−2(x −1)≤53x−22<x +12.22. 解不等式组:{4x >2x −6x−13≤x+19,并把解集在数轴上表示出来.23. 若关于x 的不等式组{x 2+x+13>03x +5a +4>4(x +1)+3a恰有三个整数解,求实数a 的取值范围.24. 求不等式组{4(x +1)+3>x①x−42≤x−53②的正整数解.25. 解不等式组{x−32<−1x 3+2≥−x .答案和解析1.【答案】解:(1), 解不等式①得,x <-1,解不等式②得,x <4,∴不等式组的解集是x <-1,在数轴上表示如下:;(2){2x−13−5x+12≤1①5x −1<3(x +1)②, 解不等式①得,x ≥-1,解不等式②得,x <2,∴不等式组的解集是-1≤x <2,在数轴上表示如下:.【解析】 本题考查了不等式的解法与不等式组的解法,解此类题目常常要结合数轴来判断.要注意x 是否取得到,若取得到则x 在该点是实心的.反之x 在该点是空心的.(1)先求出两个不等式的解集,然后求出两个解集的公共部分即可得解;(2)先求出两个不等式的解集,然后求出两个解集的公共部分即可得解.2.【答案】解:{x +1>0①x ≤x−23+2②, 由①得,x >-1,由②得,x ≤2,所以,原不等式组的解集是-1<x ≤2.【解析】先求出两个不等式的解集,再求其公共解.本题主要考查了一元一次不等式组解集的求法,其简便求法就是用口诀求解.求不等式组解集的口诀:同大取大,同小取小,大小小大中间找,大大小小找不到(无解).3.【答案】解:解不等式(1)得x ≥-1解不等式(2)得x <3∴原不等式组的解是-1≤x <3∴不等式组的非负整数解0,1,2.【解析】先求出不等式组中每个不等式的解集,然后求出其公共解集,最后求其非负整数解即可.本题旨在考查不等式组的解法及整数解的确定.求不等式组的解集,应遵循以下原则:同大取较大,同小取较小,小大大小中间找,大大小小解不了.4.【答案】解:解不等式①,得x ≥-4,解不等式②,得x <-1,所以不等式组的解集为:-4≤x <-1.【解析】先求出各不等式的解集,再求其公共解集即可.解不等式组应遵循的原则:同大取较大,同小取较小,小大大小中间找,大大小小解不了.5.【答案】解:由x -3(x -2)≤8得x ≥-1由5-12x >2x 得x <2∴-1≤x <2∴不等式组的整数解是x =-1,0,1.【解析】先求出每个不等式的解集,再确定其公共解,得到不等式组的解集,然后求其整数解.解答此题要先求出不等式组的解集,求不等式组的解集要遵循以下原则:同大取较大,同小取较小,小大大小中间找,大大小小解不了.6.【答案】解:(1){3x <2(x −1)+3①x+62−4≥x②, 解①得x <1,解②得x ≤-2,所以不等式组的解集为x ≤-2,用数轴表示为:;(2){5x +7>3(x +1)①1−32x ≥x−83②, 解①得x >-2,解②得x ≤2,所以不等式组的解集为-2<x ≤2,用数轴表示为:. 【解析】(1)分别解两个不等式得到x <1和x≤-2,然后根据同小取小确定不等式组的解集,再利用数轴表示解集; (2)分别解两个不等式得到x >-2和x≤2,然后根据大于小的小于大的取中间确定不等式组的解集,再利用数轴表示解集.本题考查了解一元一次不等式组:分别求出不等式组各不等式的解集,然后根据“同大取大,同小取小,大于小的小于大的取中间,大于大的小于小的无解”确定不等式组的解集.7.【答案】解:由①得:-2x≥-2,即x≤1,由②得:4x-2<5x+5,即x>-7,所以-7<x≤1.在数轴上表示为:【解析】先解不等式组中的每一个不等式,再根据大大取较大,小小取较小,大小小大取中间,大大小小无解,把它们的解集用一条数轴表示出来.本题考查不等式组的解法和解集在数轴上的表示法,如果是表示大于或小于号的点要用空心,如果是表示大于等于或小于等于号的点用实心.8.【答案】解:{3(x−2)+4<5x①1−x4+x≥2x−1②,由①得:x>-1;由②得:x≤1;∴不等式组的解集是-1<x≤1.【解析】根据不等式的性质求出不等式的解集,根据找不等式组解集的规律找出即可.本题主要考查对解一元一次不等式(组),不等式的性质等知识点的理解和掌握,能根据不等式的解集找出不等式组的解集是解此题的关键.9.【答案】解:由①得x>-2,由②得x≤1,∴不等式组的解集为-2<x≤1∴不等式组的整数解的和为-1+0+1=0.【解析】分别求出每一个不等式的解集,根据口诀:同大取大、同小取小、大小小大中间找、大大小小无解了确定不等式组的解集.本题考查的是解一元一次不等式组,正确求出每一个不等式解集是基础,熟知“同大取大;同小取小;大小小大中间找;大大小小找不到”的原则是解答此题的关键.10.【答案】解:由x 2+x+13>0,两边同乘以6得3x +2(x +1)>0,解得x >-25, 由x +5a+43>43(x +1)+a ,两边同乘以3得3x +5a +4>4(x +1)+3a ,解得x <2a ,∴原不等式组的解集为-25<x <2a .又∵原不等式组恰有2个整数解,即x =0,1;则2a 的值在1(不含1)到2(含2)之间,∴1<2a ≤2,∴0.5<a ≤1.【解析】先求出不等式组的解集,再根据x 的两个整数解求出a 的取值范围即可.此题考查的是一元一次不等式的解法,得出x 的整数解,再根据x 的取值范围求出a 的值即可. 求不等式组的解集,应遵循以下原则:同大取较大,同小取较小,小大大小中间找,大大小小解不了.11.【答案】解:{2(x +2)≤x +3①x 3<x+14②, ∵由①得:x ≤-1,由②得:x <3,∴不等式组的解集是x ≤-1.【解析】根据不等式的性质求出每个不等式的解集,根据找不等式组解集的规律找出不等式组的解集即可. 本题考查了不等式的性质,解一元一次不等式(组)的应用,关键是根据不等式的解集找出不等式组的解集,题目比较好,难度也适中.12.【答案】解:由①得4x +4+3>x解得x >- 73,由②得3x -12≤2x -10,解得x ≤2,∴不等式组的解集为- 73<x ≤2.∴正整数解是1,2.【解析】 本题主要考查了不等式组的解法,并会根据未知数的范围确定它所满足的特殊条件的值.一般方法是先解不等式组,再根据解集求出特殊值.先解每一个不等式,求出不等式组的解集,再求出正整数解即可.13.【答案】解:{x −3(x −2)≤4①2x−15>x+12②, 由①得:x ≥1,由②得:x <-7,∴不等式组的解集是空集.【解析】根据不等式性质求出不等式的解集,根据找不等式组解集的规律找出即可.本题主要考查对不等式的性质,解一元一次不等式(组)等知识点的理解和掌握,能根据不等式的解集找出不等式组的解集是解此题的关键.14.【答案】解:{1−x ≤0①x+12<3②, 解不等式①,得x ≥1.解不等式②,得x <5.所以,不等式组的解集是1≤x <5.【解析】先求出不等式组中每一个不等式的解集,再求出它们的公共部分即可.本题考查的是一元一次不等式组的解,解此类题目常常要结合数轴来判断.还可以观察不等式的解,若x >较小的数、<较大的数,那么解集为x 介于两数之间.15.【答案】解:(1){3x −2<8①2x −1>2②, 解不等式①,得x <103, 解不等式②,得x >32.∴原不等式组的解集是:32<x <103;(2){5−7x ≥2x −4①1−34(x −1)<0.5②, 解不等式①,得x ≤1,解不等式②,得x >53. ∴原不等式组无解.【解析】 本题考查的是一元一次不等式组的解,解此类题目常常要结合数轴来判断.还可以观察不等式的解,若x 大于较小的数、小于较大的数,那么解集为x 介于两数之间.(1)先分别解答出方程组中的每一个不等式的解集,然后取这两个不等式的解集的交集即为不等式组的解集;(2)先分别解答出方程组中的每一个不等式的解集,然后取这两个不等式的解集的交集即为不等式组的解集;如果两个不等式没有交集,说明原不等式组无解.16.【答案】解:{2x −1>5①3x+12−1≥x②解①得:x >3,解②得:x ≥1,则不等式组的解集是:x >3;在数轴上表示为:【解析】分别解两个不等式得到x >3和x≥1,然后利用同大取大确定不等式组的解集,再利用数轴表示解集. 本题考查了解一元一次不等式组:解一元一次不等式组时,一般先求出其中各不等式的解集,再求出这些解集的公共部分,利用数轴可以直观地表示不等式组的解集.解集的规律:同大取大;同小取小;大小小大中间找;大大小小找不到.17.【答案】解:{x2−1<x①x −(3x −1)≥−5②, 由①得:x >-2,由②得:x ≤3,∴不等式组的解集是:-2<x ≤3.【解析】根据不等式的性质求出不等式的解集,根据找不等式组的解集得规律找出不等式组的解集即可.本题主要考查对不等式的性质,解一元一次不等式,解一元一次不等式组等知识点的理解和掌握,根据不等式的解集能找出不等式组的解集是解此题的关键.18.【答案】解:解不等式2x +9<5x +3,得:x >2,解不等式x−12-x+23≤0,得:x ≤7,则不等式组的解集为2<x ≤7.【解析】首先解每个不等式,两个不等式的解集的公共部分就是不等式组的解集.本题考查的是解一元一次不等式组,熟知“同大取大;同小取小;大小小大中间找;大大小小找不到”的原则是解答此题的关键.19.【答案】解:由①,得3x-2x<3-1.∴x<2.由②,得4x>3x-1.∴x>-1.∴不等式组的解集为-1<x<2.【解析】分别求出不等式①②的解集,同大取大;同小取小;大小小大中间找;大大小小找不到求出不等式组解集.本题考查了解一元一次不等式组的解法,利用同大取大;同小取小;大小小大中间找;大大小小找不到求不等式组解集是本题关键.20.【答案】解:{3x+7≥5(x+1)①3x−22>x+1②,由①得,x≤1,由②得,x>4,所以,不等式组无解.【解析】本题主要考查了一元一次不等式组解集的求法,其简便求法就是用口诀求解.求不等式组解集的口诀:同大取大,同小取小,大小小大中间找,大大小小找不到(无解).先求出两个不等式的解集,再求其公共解.21.【答案】解:由①得:1-2x+2≤5∴2x≥-2即x≥-1由②得:3x-2<2x+1∴x<3.∴原不等式组的解集为:-1≤x<3.【解析】解先求出各不等式的解集,再求其公共解集即可.解不等式组应遵循的原则:同大取较大,同小取较小,小大大小中间找,大大小小解不了.22.【答案】解:{4x>2x−6①x−13≤x+19②,解①得x>-3,解②得x≤2,所以不等式组的解集为-3<≤2,用数轴表示为:【解析】先分别解两个不等式得到x>-3和x≤2,再根据大小小大中间找得到不等式组的解集,然后利用数轴表示解集.本题考查了解一元一次不等式组:解一元一次不等式组时,一般先求出其中各不等式的解集,再求出这些解集的公共部分,利用数轴可以直观地表示不等式组的解集.解集的规律:同大取大;同小取小;大小小大中间找;大大小小找不到.23.【答案】解:{x2+x+13>0①3x+5a+4>4(x+1)+3a②,由①得:x>-25,由②得:x<2a,则不等式组的解集为:-25<x<2a,∵不等式组只有3个整数解为0、1、2,∴2<2a≤3,∴1<a≤32,故答案为:1<a≤32.【解析】首先利用a表示出不等式组的解集,根据解集中的整数恰好有3个,即可确定a的值.本题考查不等式组的解法及整数解的确定.求不等式组的解集,应遵循以下原则:同大取较大,同小取较小,小大大小中间找,大大小小解不了.24.【答案】解:由①得4x+4+3>x解得x>-73,由②得3x-12≤2x-10,解得x≤2,∴不等式组的解集为-73<x≤2.∴正整数解是1、2.【解析】先解每一个不等式,求出不等式组的解集,再求出正整数解即可.此题主要考查了不等式组的解法,并会根据未知数的范围确定它所满足的特殊条件的值.一般方法是先解不等式组,再根据解集求出特殊值.25.【答案】解:{x−32<−1①x3+2≥−x②,解①得x<1,解②得x≥-32,所以不等式组的解集为-32≤x<1.【解析】分别解两个不等式得到x<1和x≥-,然后根据大于小的小于大的取中间确定不等式组的解集.本题考查了解一元一次不等式组:求解出两个不等式的解集,然后按照“同大取大,同小取小,大于小的小于大的取中间,小于小的大于大的无解”确定不等式组的解集.。
一元一次不等式练习题及答案一元一次不等式练习题及答案一元一次不等式是初中数学中的重要内容,也是我们日常生活中经常遇到的问题。
通过解一元一次不等式,我们可以找到满足不等式条件的数值范围,从而解决实际问题。
在这篇文章中,我将为大家提供一些一元一次不等式的练习题及答案,希望能够帮助大家更好地理解和掌握这一知识点。
练习题一:求解不等式2x + 3 > 7。
解答:首先,我们可以将不等式转化为等价的形式,即2x + 3 - 7 > 0。
化简得到2x - 4 > 0。
接下来,我们需要找到x的取值范围使得不等式成立。
将2x - 4 = 0转化为方程得到x = 2。
因此,我们可以得出结论:当x > 2时,不等式2x+ 3 > 7成立。
练习题二:求解不等式3(x - 2) ≤ 5x + 1。
解答:首先,我们可以将不等式化简为等价形式,即3x - 6 ≤ 5x + 1。
接下来,我们将x的项移到一边,常数项移到另一边,得到3x - 5x ≤ 1 + 6。
化简得到-2x ≤ 7。
接下来,我们需要找到x的取值范围使得不等式成立。
将-2x = 7转化为方程得到x = -7/2。
因此,我们可以得出结论:当x ≤ -7/2时,不等式3(x - 2) ≤ 5x + 1成立。
练习题三:求解不等式4x - 3 < 2(x + 1) - 3x。
解答:首先,我们可以将不等式化简为等价形式,即4x - 3 < 2x + 2 - 3x。
接下来,我们将x的项移到一边,常数项移到另一边,得到4x - 2x + 3x < 2 + 3。
化简得到5x < 5。
接下来,我们需要找到x的取值范围使得不等式成立。
将5x= 5转化为方程得到x = 1。
因此,我们可以得出结论:当x < 1时,不等式4x- 3 < 2(x + 1) - 3x成立。
练习题四:求解不等式2x - 5 > 3x + 1 或 4x - 2 < 2x + 6。
一元一次不等式组练习题(附答案)1.已知4x2n-5+5=0是关于x的一元一次方程,则n=_______.2.若x=-1是方程2x-3a=7的解,则a=_______.3.当x=______时,代数式 x-1和的值互为相反数.4.已知x的与x的3倍的和比x的2倍少6,列出方程为________.5.在方程4x+3y=1中,用x的代数式表示y,则y=________.6.某商品的进价为300元,按标价的六折销售时,利润率为5%,则商品的标价为____元.7.已知三个连续的偶数的和为60,则这三个数是________.8.一件工作,甲单独做需6天完成,乙单独做需12天完成,若甲、乙一起做,•则需________天完成.二、选择题.(每小题3分,共30分)9.方程2m+x=1和3x-1=2x+1有相同的解,则m的值为().A.0 B.1 C.-2 D.-10.方程│3x│=18的解的情况是().A.有一个解是6 B.有两个解,是±6C.无解 D.有无数个解11.若方程2ax-3=5x+b无解,则a,b应满足().A.a≠,b≠3 B.a= ,b=-3C.a≠,b=-3 D.a= ,b≠-312.把方程的分母化为整数后的方程是().13.在800米跑道上有两人练中长跑,甲每分钟跑300米,乙每分钟跑260米,•两人同地、同时、同向起跑,t分钟后第一次相遇,t等于().A.10分 B.15分 C.20分 D.30分14.某商场在统计今年第一季度的销售额时发现,二月份比一月份增加了10%,三月份比二月份减少了10%,则三月份的销售额比一月份的销售额().A.增加10% B.减少10% C.不增也不减 D.减少1%15.在梯形面积公式S= (a+b)h中,已知h=6厘米,a=3厘米,S=24平方厘米,则b=( •)厘米.A.1 B.5 C.3 D.416.已知甲组有28人,乙组有20人,则下列调配方法中,能使一组人数为另一组人数的一半的是(). A.从甲组调12人去乙组 B.从乙组调4人去甲组C.从乙组调12人去甲组D.从甲组调12人去乙组,或从乙组调4人去甲组17.足球比赛的规则为胜一场得3分,平一场得1分,负一场是0分,•一个队打了14场比赛,负了5场,共得19分,那么这个队胜了()场.A.3 B.4 C.5 D.618.如图所示,在甲图中的左盘上将2个物品取下一个,则在乙图中右盘上取下几个砝码才能使天平仍然平衡?()A.3个 B.4个 C.5个 D.6个三、解答题.(19,20题每题6分,21,22题每题7分,23,24题每题10分,共46分)19.解方程: -9.5.20.解方程:(x-1)- (3x+2)= - (x-1).21.如图所示,在一块展示牌上整齐地贴着许多资料卡片,•这些卡片的大小相同,卡片之间露出了三块正方形的空白,在图中用斜线标明.•已知卡片的短边长度为10厘米,想要配三张图片来填补空白,需要配多大尺寸的图片.22.一个三位数,百位上的数字比十位上的数大1,个位上的数字比十位上数字的3倍少2.若将三个数字顺序颠倒后,所得的三位数与原三位数的和是1171,求这个三位数.23.据了解,火车票价按“”的方法来确定.已知A站至H站总里程数为1500千米,全程参考价为180元.下表是沿途各站至H站的里程数:车站名 A B C D E F G H各站至H站里程数(米) 1500 1130 910 622 402 219 72 0例如:要确定从B站至E站火车票价,其票价为 =87.36≈87(元).(1)求A站至F站的火车票价(结果精确到1元).(2)旅客王大妈乘火车去女儿家,上车过两站后拿着车票问乘务员:•“我快到站了吗?”乘务员看到王大妈手中的票价是66元,马上说下一站就到了.请问王大妈是在哪一站下的车(要求写出解答过程).24.某公园的门票价格规定如下表:购票人数 1~50人 51~100人 100人以上票价 5元 4.5元 4元某校初一甲、乙两班共103人(其中甲班人数多于乙班人数)去游该公园,如果两班都以班为单位分别购票,则一共需付486元.(1)如果两班联合起来,作为一个团体购票,则可以节约多少钱?(2)两班各有多少名学生?(提示:本题应分情况讨论)答案:一、1.32.-3 (点拨:将x=-1代入方程2x-3a=7,得-2-3a=7,得a=-3)3.(点拨:解方程 x-1=- ,得x= )4. x+3x=2x-6 5.y= - x6.525 (点拨:设标价为x元,则 =5%,解得x=525元)7.18,20,228.4 [点拨:设需x天完成,则x( + )=1,解得x=4]二、9.D10.B (点拨:用分类讨论法:当x≥0时,3x=18,∴x=6当x<0时,-3=18,∴x=-6故本题应选B)11.D (点拨:由2ax-3=5x+b,得(2a-5)x=b+3,欲使方程无解,必须使2a-5=0,a= ,b+3≠0,b≠-3,故本题应选D.)12.B (点拨;在变形的过程中,利用分式的性质将分式的分子、•分母同时扩大或缩小相同的倍数,将小数方程变为整数方程)13.C (点拨:当甲、乙两人再次相遇时,甲比乙多跑了800•米,•列方程得260t+800=300t,解得t=20)14.D15.B (点拨:由公式S= (a+b)h,得b= -3=5厘米)16.D 17.C18.A (点拨:根据等式的性质2)三、19.解:原方程变形为200(2-3y)-4.5= -9.5∴400-600y-4.5=1-100y-9.5500y=404∴y=20.解:去分母,得15(x-1)-8(3x+2)=2-30(x-1)∴21x=63∴x=321.解:设卡片的长度为x厘米,根据图意和题意,得5x=3(x+10),解得x=15所以需配正方形图片的边长为15-10=5(厘米)答:需要配边长为5厘米的正方形图片.22.解:设十位上的数字为x,则个位上的数字为3x-2,百位上的数字为x+1,故100(x+1)+10x+(3x-2)+100(3x-2)+10x+(x+1)=1171解得x=3答:原三位数是437.23.解:(1)由已知可得 =0.12A站至H站的实际里程数为1500-219=1281(千米)所以A站至F站的火车票价为0.12×1281=153.72≈154(元)(2)设王大妈实际乘车里程数为x千米,根据题意,得 =66解得x=550,对照表格可知,D站与G站距离为550千米,所以王大妈是在D站或G•站下的车.24.解:(1)∵103>100∴每张门票按4元收费的总票额为103×4=412(元)可节省486-412=74(元)(2)∵甲、乙两班共103人,甲班人数>乙班人数∴甲班多于50人,乙班有两种情形:①若乙班少于或等于50人,设乙班有x人,则甲班有(103-x)人,依题意,得5x+4.5(103-x)=486解得x=45,∴103-45=58(人)即甲班有58人,乙班有45人.②若乙班超过50人,设乙班x人,则甲班有(103-x)人,根据题意,得4.5x+4.5(103-x)=486∵此等式不成立,∴这种情况不存在.故甲班为58人,乙班为45人.。
解不等式不等式组100题1.3(2x +5)<2(4x +6)2.10-4(x -3)≤2(x -2)3.3x -2(9-x )>3(7+2x )-(11-6x )4.2(3x -1)-3(4x +5)≤x -4(x -7)5.2(x -1)-x >3(x -1)-3x +56.3[y -2(y -7)]≤4y7.15-(7+5x )≤2x +(5-3x )8.2(x -4)-3<1-3(x -2)9.2+≤2-3(y +1)8y -3410.0.5x +3(1+0.2x )>0.4x -0.611.2[x -]≤x 43(x -2312)3412.-≥0.04x +0.090.050.3+0.2x 0.3x -5213.7(4-x )-2(4-3x )<-4x14.2+<3+3(y +1)8y -1415.+<1x 3x -1216.3[x -2(x -2)]>x -3(x -3)17.x ++<1+x 2x +13x +8618.x -4<3243(1+x )(x -216)19.5-≥-x 3122x +1420.+1<+3y +137y -352(y -2)1521.-1<x +523x +2222.{2x -5<3x>x -22x 323.{->-1x 2x 32-3>-6(x -3)(x -2)24.{+4≤1x2x -8>2(x +2)25.{x -3<4(x -2)≥x -12x +1326.{2≤10-4(x -3)(x +8)-<1x -124x +1627.{->x3x -322x +13<112[x -2(x +3)]28.{x -3>1-x x -5>5-x 2x -4>x 229.4≤<73x -2-230.2x -1≤x -5≤4-x 3231.y -≤+13y -832(10-y )732.>(1-)(+1)(1+y 3)(+1y 2)y -22y 233.{3x -2<82x -1>234.{5-7x ≥2x -41-<0.534(x -1)35.2x <1-x ≤x +536.{3<2(x +9)(1-x)-≤-14x -30.5x +40.237.{-3x ≤04x +7>038.{x -1<x122x -4>3x +339.{2x -5<3x >x -22x 340.{->-1x 2x 32-3>-6(x -3)(x -2)41.{+4≤1x 2x -8>2(x +2)42.{5x -3≥2x <43x -1243.{2x +7>3x -1≥0x -2544.{>x -11+2x34<3x -4(x -1)45.-1<<1-2-3x446.{2-1≥3(x +1)4+x <747.{2x -1≥3(x -2)-2x <448.{3x +1>x +32x -1<x +149.{x +3>42x <650.{2x -5≥3(x -1)-<1x 3x -1251.{x<2x +13x -2≤4(x -1)52.{x +3>02+3≥3x(x -1)53.{3x +1<2(x +2)-x ≤x +2135354.{>0x +132≥6(x -1)(x +5)55.{5x -9<3(x -1)1-x ≤x -1321256.{2≤5x +5(x -3)4x <3x +157.{2x +3≤x +6>x +22x +3358.{-3≤4-x(x -2)>x -11+2x359.{4x -3<5x +≤x-42x +261360.{<212(x +4)x -3>5(x -1)61.{x ->-31+3x 25x -12≤2(4x -3)62.{1-2(x -1)≤5<x +3x -221263.{+3>x +1x -321-3≤8-x(x -1)解不等式不等式组100题64.{5x +2>3(x -1)7-x ≥x -1321265.{2<x +4(x +2)≥x 3x +1466.{2x +5≤3(x +2)x -1<x2367.{3≥x +4(x +2)<1x -1268.{2-x >0+1≥5x +122x -1369.{-3x ≤5616(x +5)2-9x >5[x -2(x -3)](x +19)70.{3x -2≤x +6+1>x 5x -2271.{2x +2≥3x +3-<-2x-13x +4272.{5x +3(x -2)≤10>x -11+3x273.{+2≥xx -241-3<9-x (x -2)74.{5x -2>3(x +1)x -1≤7-x 123275.{4x -10<05x +2>3x11-2x ≥1+3x 76.{-≤12x -135x +125x -1<3(x +1)77.{2x -3<1+2≥-x x -1278.{3+4<5x (x -2)-x ≥3x +1x -1279.{x -3(x -2)≥4<2x -15x +1280.{>2+x 22x -135-2≤x -1(x -3)81.{5x -2<3x +4>-x x +8382.{10-4(x -3)≥2(x -1)x -1>1-2x383.{5x -2<3(x +1)≤x -222x +3384.{3>2(x +9)(1-x)-≤-14x -30.5x +40.285.{2-x >0+1≥5x +122x -1386.{-3-<8(x +1)(x -3)-≤12x +131-x287.{5x -2≤3(x +1)x -1≤7+x 123288.{1-≤x +2x +12x >x (x +3)(x +1)89.{-≤12x -135x +125x -1<3(x +1)90.{5x +4<3(x +1)≥x -122x -1591.{2x +7>3x -1≥0x -2592.{1-2(x -1)≤5<x +3x -221293.{2≤3x +3(x +2)<x 3x +1494.{3x -1<2(x +1)≥1x +3295.{3x -2>x +2x -1≤7-x 123296.{3x -1<2x +11-2≤3+5(x -1)(x +1)97.{x -(2x -1)≤432>2x -11+3x298.{+3<x -1x -231-3≥6-x(x +1)99.{2x -1≥03x +1>03x -2<0100.≤5|-2x +13|解不等式不等式组100题答案12345678910x >32x ≥133x <-4x ≥-15x >4y ≥6x ≥34x <185y ≤35x >-36711121314151617181920x ≥35x ≤9x <-203y <3x <95x <3x <65x >152x ≥-572y >33821222324252627282930x >12x >6-6<x <6x <-121<x ≤4-10<x ≤1无解x >8-4<x ≤-2x ≤-431323334353637383940y ≤256y >65<x <32103无解-2≤x <13x >-3x ≥0无解x >6-6<x <641424344454647484950x <-121≤x <32≤x <8x <0-2<x <231≤x <3-2<x ≤51<x <21<x <3-3<x ≤-251525354555657585960-1<x ≤2-3<x ≤1-1≤x <3-1<x ≤41≤x <3-<x <11130<x ≤31≤x <4-3<x ≤3X <-161626364656667686970-2≤x <5-1≤x <3-2≤x <1-<x ≤452无解-1≤x <31≤x <3-1≤x <20≤x <40<x ≤471727374757677787980-2<x ≤-1-3<x ≤8-<x ≤212<x ≤452-1<x ≤2-1≤x <2-1≤x <2-1<x ≤-37-7<x ≤14≤x <881828384858687888990-2<x <3<x ≤445-12≤x <52-4≤x <-3-1≤x <2-2<x ≤1-8≤x ≤52-1≤x <0-1≤x <2无解9192939495969798991002≤x <8-1≤x <31≤x <3-1≤x <32<x ≤4﹣1≤x <2﹣≤x <354无解≤x <1223-7≤x ≤8。
一元一次不等式和一元一次不等式组一、选择题(每小题3分,共30分)1.下列是一元一次不等式的有()x>0,<-1,2x<-2+x,x+y>-3,x=-1,x2>3,≥0.A. 1个B. 2个C. 3个D. 4个【答案】B2.不等式3(x-2)≤x+4的非负整数解有()个.A. 4B. 5C. 6D. 无数【答案】C3.已知a<3,则不等式(a﹣3)x<a﹣3的解集是()A. x>1B. x<1C. x>﹣1D. x<﹣1【答案】B4.下列说法正确的是()A. 不等式组的解集是5<x<3B. 的解集是-3<x<-2C. 的解集是x=2D. 的解集是x≠3【答案】C5.下列变形中不正确的是( )A. 由得B. 由得C. 若a>b,则ac2>bc2(c为有理数)D. 由得【答案】C6.x与3的和的一半是负数,用不等式表示为( )A. x+3>0B. x+3<0C. (x+3)<0D. (x+3)>0【答案】C7.不等式x<-2的解集在数轴上表示为( )A. B.C. D.【答案】D8.贵阳市今年5月份的最高气温为27℃,最低气温为18℃,已知某一天的气温为t℃,则下面表示气温之间的不等关系正确的是()A. 18<t<27B. 18≤t<27C. 18<t≤27D. 18≤t≤27【答案】D9.如果点P(3-m,1)在第二象限,那么关于x的不等式(2-m)x+2>m的解集是( )A. x>-1B. x<-1C. x>1D. x<1【答案】B10.已知关于x的不等式x>表示在数轴上如图所示,则a的值为( )A. 1B. 2C. -1D. -2【答案】A二、填空题(每小题3分,共30分)11.若m<n,则不等式组的解集是__.【答案】x<m.12.某饮料瓶上有这样的字样:Eatable Date 18 months.如果用x(单位:月)表示Eatable Date(保质期),那么该饮料的保质期可以用不等式表示为__.【答案】0<x≤18.13.不等式组-2≤x+1<1的解集是__________________.【答案】-3≤x<014..x的与6的差不小于-4的相反数,那么x的最小整数解是______________.【答案】1515.下列结论正确的有__________(填序号).①如果,;那么②如果;那么③如果,那么;④如果,那么.【答案】①④16.三角形三边长分别为4,a,7,则a的取值范围是______________【答案】3<a<1117.不等式组的解集是____________【答案】18.在方程组中,若未知数x、y满足x+y>0,则m的取值范围是_______.【答案】m<319.对一个实数x按如图所示的程序进行操作,规定:程序运行从“输入一个实数x”到:“判断结果是否大于190?”为一次操作.如果操作只进行一次就停止,则x的取值范围是.【答案】x>64.20.若干名学生分宿舍,每间4人余20人,每间8人,其中一间不空也不满,则宿舍有_____间。
初中数学分式方程一元一次不等式组练习题一、单选题1.已知关于x 的分式方程211x kx x-=--的解为正数,则k 的取值范围为( ) A .20k -<< B .2k >-且1k ≠- C .2k >-D .2k <且1k ≠2.若分式293x x --的值为0,则x 的值等于( )A.0B.3±C.3D.3-3.方程2131x x =+-的解是( ) A.53x =B.5x =C.4x =D.5x =-4.已知: 3x =是分式方程2121kx k x x--=-的解,那么实数是k 的值为( ) A. 1- B.0 C.1 D.25.已知3x =是分式方程2121kx k x x--=-的解,那么实数k 的值为( ) A.1-B.0C.1D.26.关于x 的方程32211x mx x -=+++无解,则m 的值为( ) A.5- B.8- C.2- D.57.已知关于x 的分式方程213x m x -=-的解是非正数,则m 的取值范围是( )A .3m ≤B .3m <C .3m >-D .3m ≥-8.解分式方程1101x +=-,正确的结果是( ) A.0x =B.1x =C.2x =D.无解9.对于非零的两个实数a ,b ,规定11a b b a=-,若2(21)1x -=,则x 的值为( )A.56 B.54C.32 D.16- 10.若关于x 的方程2230x x +-=与213x x a=+-有一个解相同,则a 的值为( ) A.1 B.1或3- C.1- D.1-或311.不等式32xx ->的解为( ) A.1x < B.1x <- C.1x > D.1x >- 12.不等式()215x -<的正整数解的个数为( ) A.2 B.3 C. 4 D. 5 13.不等式组2(2)22323x x x x -≤-⎧⎪++⎨>⎪⎩的解集是( )A.02x <≤B.06x <≤C.0x >D.2x ≤14.不等式组123122x x -<⎧⎪⎨+≤⎪⎩的正整数解的个数是( )A.5B.4C.3D.215.若数a 使关于x 的分式方程2311a x x x --=--有正数解,且使关于y 的不等式组21142y a y y a ->-⎧⎪⎨+⎪⎩有解,则所有符合条件的整数a 的个数为( ) A .1B .2C .3D .416.不等式293(2)x x +≥+的解集是( ) A .3x ≤ B .3x ≤-C .3x ≥D .3x ≥-17.不等式932122x x --+<的负整数解有( ) A.1个 B.2个 C.3个 D.4个18.下列各数轴上表示的x 的取值范围可以是不等式组2(21)60x aa x +>⎧⎨--<⎩的解集的是( )A .B .C .D .19.不等式组12,92x x x +⎧⎨-<⎩的解集在数轴上表示正确的是( )A. B. C.D.20.如果关于x 的分式方程1311a x x x --=++有负分数解,且关于x 的不等式组()24,3412a x x x x -≥--⎧⎪⎨+<+⎪⎩的解集为2x <-,那么符合条件的所有整数a 的积是( ) A 、3-B 、0C 、3D 、9二、解答题 21.解方程: (1)21133x x x x =+++; (2)241111x x x -+=-+. 22.对于实数m n ,,定义一种新运算”©”为:21m n m n ©=-,这里等式右边是实数运算.求方程2(2)14x x ©-=--的解. 23.如果230x x +-=,求321121x x x x x x -⎛⎫-÷ ⎪--+⎝⎭的值. 24.解下列方程: (1)125210x x x x --=--; (2)214111x x x ++=--. 25.解不等式组:2(1)7122x x x x +>⎧⎪⎨+-≥⎪⎩并在数轴上表示它的解集.26.解不等式组131722324334x x x x x ⎧+<-⎪⎪⎨--⎪≥+⎪⎩并写出它的所有整数解.27.解不等式组205121123x x x ->⎧⎪+-⎨+≥⎪⎩,并把解集在数轴上表示出来.28.如果一元一次方程的解是一元一次不等式组的解,那么称该一元一次方程为该不等式组的关联方程.(1)若不等式组122136x x x ⎧-<⎪⎨⎪+>-+⎩,的一个关联方程的解是整数,则这个关联方程可以 是 (写出一个即可);(2)若方程1322(2)3x x x x -=+=+,都是关于的不等式组22x x m x m <-⎧⎨-≤⎩,的关联方程,试求的取值范围. 三、填空题 29.若关于x 的方程2222x mx x++=--有增根,则m 的值是__________ 30.分式方程2332x x =--的解是_____. 31.若关于x 的分式方程1322m xx x-=---有增根,则实数m 的值是 . 32.方程3122x x x =++的解是__________. 33.分式方程11233x x x-=---的解为 .34.若3311m m m m m --⋅=--,则m = . 35.不等式组30412x x -<⎧⎪⎨+≥⎪⎩的解为___________.36.不等式组23182x x x >-⎧⎨-≤-⎩的最小整数解是 .37.不等式组302321xx -⎧≤⎪⎨⎪+≥⎩的解集是________________。
完整版)一元一次不等式组练习题及答案(经典)1、选择题1、选B。
解集为2<x<3的不等式组是x<3且x>2.2、选B。
根据题意可列出不等式组:a<1+a,1+a<-a,-a<a,解得a<0.3、选D。
将不等式组化简可得x≤1或x>2,所以解集在数轴上表示为(-∞,1]∪(2,+∞)。
4、选C。
将不等式组化简可得2<x<5/3,所以整数解的个数是3个。
5、选C。
根据题意可列出不等式组:2x-6>0,x-5<0,解得-5<x<3.6、选D。
将每个不等式化简,得到①x>1,②x>4,③x <2,④x<3,所以选项D符合条件。
7、选B。
根据题意可得2-b<a<2-a,即b-2<x<a-2.8、选A。
将方程组化简可得x=(3m-2)/7,y=(8x-m)/3,代入x>y中得到4m<25,即m>9/4,所以m的取值范围是m>xxxxxxx。
二、填空题9、解得y<1或y>3,所以取值范围为y<1或y>3.10、将不等式组化简可得x<2或x≥3,所以解集是(-∞,2)∪[3,+∞)。
11、将不等式组化简可得x≤-0.25或x≥0.8333,所以解集是(-∞,-0.25]∪[0.8333,+∞)。
12、将不等式组化简可得m≤0.5或m≥1.5,所以取值范围是m≤0.5或m≥1.5.13、解得x≥2,所以解集为[2,+∞)∩(-∞,5)=[2,5)。
14、将不等式组化简可得x>a且x>2,所以解得a<2.15、将不等式组化简可得x<2b-1且x>(x+3)/2,所以解得b>3/2且a<1/2,所以(a+1)(b-1)=ab+a-b+1=(3/2)a+1/2.16、将不等式组化简可得x<4a-1且x>x-2b-3,所以解得a<(x+1)/4且b<(x-3)/2,所以(a+1)(b-1)<(x+1)/4·(x-3)/2=(x²-2x-3)/8.1)解不等式组begin{cases}3x-2<8\\2x-1>2end{cases}化简得begin{cases}x<10/3\\x>3/2end{cases}因此解集为$(3/2,10/3)$。
初中数学一元一次不等式练习题一、单选题1.已知a ,b 是有理数,若a 在数轴上的对应点的位置如图所示, 0a b +<,有以下结论:① 0b <;② 0b a ->;③ a b ->-;④ 1b a<-,则所有正确的结论是( ) A.① ④ B.① ③ C.② ③ D.② ④2.某校七年级405名师生外出旅游,租用45座和40座的两种客车,如果45座的客车租用了2辆,那么需租用40座的客车( )A .最少8辆B .最多8辆C .最少7辆D .最多7辆二、解答题3.先化简,再求值:2262369x x x x ⎛⎫-÷ ⎪+++⎝⎭,其中x 是不等式组20,218x x ->⎧⎨+<⎩的整数解. 4.解不等式组131722324334x x x x x ⎧+<-⎪⎪⎨--⎪≥+⎪⎩并写出它的所有整数解. 5.某商店购进A B 、两种商品,购买1个A 商品比购买1个B 商品多花10元,并且花费300元购买A 商品和花费100元购买B 商品的数量相等.(1)求购买一个A 商品和一个B 商品各需要多少元;(2)商店准备购买A B 、两种商品共80个,若A 商品的数量不少于B 商品数量的4倍,并且购买A B 、商品的总费用不低于1000元且不高于1050元,那么商店有哪几种购买方案?6.化简求值已知222111x x x A x x ++=--- (1)化简A ;(2)当x 满足不等式组1030x x -≥⎧⎨-<⎩,且x 为整数时,求A . 7.为庆祝中华人民共和国七十周年华诞,某校举行书画大赛,准备购买甲、乙两种文具,奖励在活动中表现优秀的师生.已知购买2个甲种文具、1个乙种文具共需花费35元;购买1个甲种文具、3个乙种文具共需花费30元.(1)求购买一个甲种文具、一个乙种文具各需多少元?(2)若学校计划购买这两种文具共120个,投入资金不少于955元又不多于1000元,设购买甲种文具x 个,求有多少种购买方案?(3)设学校投入资金W 元,在2的条件下,哪种购买方案需要的资金最少?最少资金是多少元?8.解不等式组4(1)713843x x x x +≤+⎧⎪-⎨-<⎪⎩并求它的所有整数解的和.9.某段公路施工,甲工程队单独施工完成的天数是乙工程队单独施工完天数的2倍,由甲、乙两工程队合作20天可完成.(1)求甲、乙两工程队单独完成此项工程各需要多少天?(2)若此项过程由甲工程队单独施工,再由甲、乙两工程队合作施工完成剩下的工程,已知甲工程队每天需付施工费1万元,乙工程队施工每天需付施工费2.5万元,要使施工费用不超过64万元,则甲工程队至少要单独施工多少天?10.某农贸公司销售一批玉米种子,若一次购买不超过5千克,则种子价格为20元/千克,若一次购买超过5千克,则超过5千克部分的种子价格打8折.设一次购买量为x千克,付款金额为y 元.(1)求y关于x的函数解析式;(2)某农户一次购买玉米种子30千克,需付款多少元?11.某商场计划购进A B,两种型号的手机,已知每部A型号手机的进价比每部B型号手机进价多500元,每部A型号手机的售价是2500元,每部B型号手机的售价是2100元.(1)若商场用50000元共购进A型号手机10部,B型号手机20部,求A B,两种型号的手机每部进价各是多少元?(2)为了满足市场需求,商场决定用不超过7.5万元采购A B,两种型号的手机共40部,且A型号手机的数量不少于B型号手机数量的2倍.①该商场有哪几种进货方式?②该商场选择哪种进货方式,获得的利润最大?12.受地震的影响,某超市鸡蛋供应紧张,需每天从外地调运鸡蛋1200斤.超市决定从甲、乙两大型养殖场调运鸡蛋,已知甲养殖场每天最多可调出800斤,乙养殖场每天最多可调出900斤,从两养殖场调运鸡蛋到超市的路程和运费如表:(2)设从甲养殖场调运鸡蛋x斤,总运费为W元,试写出W与x的函数关系式,怎样安排调运方案才能使每天的总运费最省?三、计算题13.解不等式组22(4)113x xxx-≤+⎧⎪-⎨<+⎪⎩,并写出该不等式组的最大整数解.四、填空题14.若关于x 的一元一次不等式组0,213x m x ->⎧⎨+>⎩的解集为1x >,则m 的取值范围是__________. 参考答案1.答案:A解析:本题主要考查在数轴上比较数的大小、绝对值的概念以及不等式的基本性质。
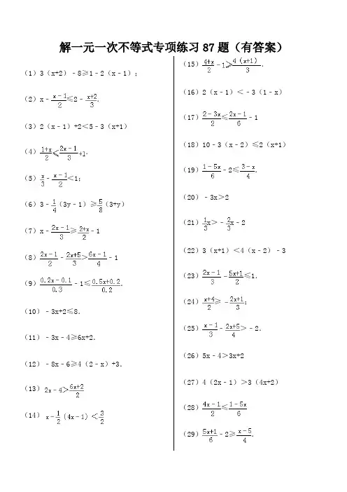
解一元一次不等式专项练习87题(有答案)(1)3(x+2)﹣8≥1﹣2(x﹣1);(2)x ﹣≤2﹣.(3)2(x﹣1)+2<5﹣3(x+1)(4).(5)﹣<1;(6)3﹣(3y﹣1)≥(3+y)(7)x ﹣≥﹣1(8)﹣>﹣1(9)﹣1≤.(10)﹣3x+2≤8.(11)﹣3x﹣4≥6x+2.(12)﹣8x﹣6≥4(2﹣x)+3.(13)(14)(15).(16)2(x﹣1)<﹣3(1﹣x)(17)≤﹣1(18)10﹣3(x﹣2)≤2(x+1)(19)﹣2≤.(20)﹣3x>2(21)x >﹣x﹣2(22)3(x+1)<4(x﹣2)﹣3 (23)≤1.(24)≥;(25)﹣>﹣2.(26)5x﹣4>3x+2(27)4(2x﹣1)>3(4x+2)(28)≤(29)﹣2≥.(30)4(x﹣1)+3≥3x;(31)2x﹣3<;(32)≤1.(33)3[x﹣2(x﹣2)]>6+3(34)(35)(36).(37)3(x+2)﹣8≥1﹣2(x﹣1);(38)>;(39)≤;(40)<.(41)3(2x﹣3)≥2(x﹣4)(42)≥0(43)7(1﹣2x)>10﹣5(4x﹣3)(44).(45)﹣<0;(46)1﹣≤﹣x.(47)5x﹣12≤2(4x﹣3);(48)≥x﹣2.(49)4x﹣2(3+x)<0(50)﹣≥0.(51)3x﹣2<﹣4(x﹣5);(52)﹣1<<2.(53);(54).(55)5x+15>4x﹣13(56)≤.(57)7(4﹣x)﹣2(4﹣3x)<4x;(58)10﹣4(x﹣3)≥2(x﹣1);(59)3[x﹣2(x﹣2)]>x﹣3(x﹣3);(60)(2x﹣1)+x﹣1+(1﹣2x)≤0;(61)﹣y ﹣;(62).(63)x(x+1)>(x﹣2)2;(64).(65)3(y﹣3)<7y﹣4(66)﹣21<6﹣3x≤9.(67);(68);(69)0.5x+3(1﹣0.2x)≥0.4x﹣0.6;(70)x ﹣<1﹣;(71)2[x﹣(x﹣1)+2]<1﹣x;(72).(73)3x﹣7<5x﹣3;(74).(75)(76)(77)≤.(78)3x﹣9≤0;(79)2x﹣5<5x﹣2;(80)2(﹣3+x)>3(x+2);(81)﹣1<.(82)3(2x+2)≥4(x﹣1)+7.(83).(84)(85).(86)8(1﹣x)≥5(4﹣x)+3;(87)<﹣1.解不等式87题参考答案:(1)3(x+2)﹣8≥1﹣2(x﹣1), 3x+6﹣8≥1﹣2x+2,3x+2x≥1+2﹣6+8, 5x≥5,x≥1;(2)x ﹣≤2﹣,6x﹣3(x﹣1)≤12﹣2(x+2),6x﹣3x+3≤12﹣2x﹣4,3x+2x≤8﹣3,5x≤5,x≤1(3)2(x﹣1)+2<5﹣3(x+1)2x﹣2+2<5﹣3x﹣3,2x+3x<5﹣3+2﹣2,5x<2,x,(4),3(1+x)≤2(2x﹣1)+6,3+3x≤4x﹣2+6,3x﹣4x≤﹣2+6﹣3,﹣x≤1,x≥﹣1(5)去分母得,2x﹣3(x﹣1)<6,去括号得,2x﹣3x+3<6,移项、合并同类项得,﹣x<3,把x的系数化为1得,x>﹣3.(6)去分母得,24﹣2(3y﹣1)≥5(3+y),去括号得,24﹣6y+2≥15+5y,移项、合并同类项,﹣11y≥﹣11,把x的系数化为1得,y≤1(7)去分母得,6x﹣2(2x﹣1)≥3(2+x)﹣6去括号得,6x﹣4x+2≥6+3x﹣6,移项得,6x﹣4x﹣3x≥6﹣6﹣2,合并同类项得,﹣x≥﹣2,把x的系数化为1得,x≤2,(8)去分母得,6(2x﹣1)﹣4(2x+5)>3(6x﹣1),去括号得,12x﹣6﹣8x﹣20>18x﹣3,移项得,12x﹣8x﹣18x>﹣3+6+20,合并同类项得,﹣14x>23,把x的系数化为1得,x <﹣,(9)分子与分母同时乘以10得,﹣1≤,去分母得,2(2x﹣1)﹣6≤3(5x+2),去括号得,4x﹣2﹣6≤15x+6,移项得,4x﹣15x≤6+2+6,合并同类项得,﹣11x≤14,把x的系数化为1得,x ≥﹣(10)移项合并得:﹣3x≤6,解得:x≥﹣2,(11)移项合并得:9x≤﹣6,解得:x ≤﹣,(12)去括号得:﹣8x﹣6≥8﹣4x+3,移项合并得:﹣4x≥17,解得:x ≤﹣(13)去分母得:4x﹣8>6x+2,移项合并得:﹣2x>10,解得:x<﹣5;(14)去分母得:2x﹣4x+1<3,移项合并得:﹣2x<2,解得:x>﹣1;(15)去分母得:12+3x﹣6≥8x+8,移项合并得:5x≥﹣2,解得:x ≤﹣(16)去括号得,2x﹣2≤﹣3+3x,移项得,2x﹣3x≤﹣3+2,合并同类项得,﹣x≤﹣1把x的系数化为1得,x≥1,(17)去分母得,3(2﹣3x)≤2x﹣1﹣6,去括号得,6﹣9x≤3x﹣7,移项得,﹣9x﹣3x≤﹣7﹣6,合并同类项得,﹣12x≤13,x的系数化为1得,x ≥﹣,(18)去括号得,10﹣3x+6≤2x+2,移项得,﹣3x﹣2x≤2﹣10﹣6,合并同类项得,﹣5x≤﹣24把x的系数化为1得,x ≥﹣,(19)去分母得,2(1﹣5x)﹣24≤3(3﹣x)去括号得,2﹣10x﹣24≤9﹣3x,移项得,﹣10x+3x≤9﹣2+24,合并同类项得,﹣7x≤31,x的系数化为1得,x ≥﹣(20)﹣3x>2,解得:x <﹣;(21)去分母得:x>﹣2x﹣6,解得:x>﹣2;(22)去括号得:3x+3<4x﹣8﹣3,解得:x>14;(23)去分母得:2(2x﹣1)﹣3(5x+1)≤6,去括号得: 4x﹣2﹣15x﹣3≤6,解得: x≥﹣1(24)去分母得,3(x+4)≥﹣2(2x+1),去括号得,3x+12≥﹣4x﹣2,移项、合并同类项得,7x≥﹣14,把x的系数化为1得,x ≥﹣.(25)去分母得,4(x﹣1)﹣3(2x+5)>﹣24,去括号得,4x﹣4﹣6x﹣15>﹣24,移项、合并同类项得,﹣2x>﹣5,把x的系数化为1得,x <(26)移项得,5x﹣3x>2+4,合并同类项得,2x>6,把x的系数化为1得,x>3.(27)去括号得,8x﹣4>12x+6,移项得,8x﹣12x>6+4,合并同类项得,﹣4x>10,把x的系数化为1得,x <﹣.(28)去分母得,3(4x﹣1)≤1﹣5x,去括号得,12x﹣3≤1﹣5x,移项得,12x+5x≤1+3,合并同类项得,17x≤4,把x的系数化为1得,x ≤.(29)去分母得,2(5x+1)﹣24≥3(x﹣5),去括号得,10x+2﹣24≥3x﹣15,移项得,10x﹣3x≥﹣15﹣2+24,合并同类项得,7x≥7,把x的系数化为1得,x≥1(30)去括号得,4x﹣4+3≥3x,移项得,4x﹣3x≥4﹣3,合并同类项得,x≥1,(31)去分母得,3(2x﹣3)<x+1,去括号得,6x﹣9<x+1,移项得,6x﹣x<1+9,合并同类项得,5x<10,x的系数化为1得,x<2,(32)去分母得,2(2x﹣1)﹣(9x+2)≤6,去括号得,4x﹣2﹣9x﹣2≤6,移项得,4x﹣9x≤6+2+2,合并同类项得,﹣5x≤10,x的系数化为1得,x≥﹣2(33)3[x﹣2(x﹣2)]>6+3x解:去小括号,3[x﹣3x+4]>6+3x合并,3[﹣x+4]>6+3x去中括号,﹣3x+12>6+3x移项,合并,﹣6x>﹣6化系数为1,x<1.(34)解:去分母,2(2x﹣5)≤3(3x+1)﹣8x 去括号,4x﹣10≤9x+3﹣8x移项合并,3x≤13化系数为1,x ≤.(35)解:去分母,3(2﹣x)﹣3(x﹣5)>2(﹣4x+1)+8去括号,6﹣9x﹣3x+15>﹣8x+2+8移项合并,﹣4x>﹣11化系数为1,x <.(36)解:利用分数基本性质化小数分母为整数去括号,4x﹣1﹣10x+7>2﹣4x移项合并,﹣2x>﹣4化系数为1,x<2(37)去括号,得:3x+6﹣8≥1﹣2x+2,移项、合并同类项,得:5x≥5,系数化成1得:x≥1;(38)去分母,得:3(x﹣3)﹣6>2(x﹣5),去括号,得:3x﹣9﹣6>2x﹣10,移项、合并同类项得:x>5;(39)去分母,得:6x﹣3(x﹣1)≤12﹣2(x+2),去括号,得:6x﹣3x+3≤12﹣2x﹣4,移项、合并同类项得:5x≤5系数化成1得:x≤1;(40)去分母,得:6x﹣3x<6+x+8﹣2(x+1),去括号,得:6x﹣3x<6+x+8﹣2x﹣2,移项得:6x﹣3x﹣x+2x<6﹣2+8合并同类项得:4x<12系数化成1得:x<3(41)去括号,得6x﹣9≥2x﹣8,移项,得6x﹣2x≥﹣8+9,合并同类项,得4x≥1,两边同除以4,得x ≥,(42)去分母,得4﹣8x≥0,移项得﹣8x≥﹣4,两边同除以﹣8,得x ≤,(43)去括号,得7﹣14x>10﹣20x+15,移项,得﹣14x+20x>10+15﹣7,合并同类项得6x>18,两边同除以6得x>3,(44)去分母,得2x+6<﹣6x﹣3(x+10),去括号,得2x+6<﹣6x﹣3x﹣30,移项,得2x+6x+3x<﹣30﹣6,合并同类项,得11x<﹣36,两边同除以11得x <﹣(45)去分母得:2(2x+1)﹣(5﹣2x)<0,去括号得:4x+2﹣5+2x<0,移项合并得:6x<3,解得:x <,表示在数轴上,如图所示:;(46)去分母得:6﹣2(x﹣1)≤3(2x+3)﹣6x,去括号得:6﹣2x+2≤6x+9﹣6x,移项合并得:﹣2x≤1,解得:x ≥﹣(47)去括号得,5x﹣12≤8x﹣6,移项得,5x﹣8x≤﹣6+12,合并同类项得,﹣3x≤6,x的系数化为1得,x≥﹣2;(48)去分母得,x﹣3≥2(x﹣2),去括号得,x﹣3≥2x﹣4,移项得,x﹣2x≥﹣4+3,合并同类项得,﹣x≥﹣1,x的系数化为1得,x≤1(49)去括号得4x﹣6﹣2x<0,移项、合并同类项得2x<6,系数化为1得x<3;这个不等式的解集在数轴上表示如图1:(50)去分母得3(2x﹣3)﹣4(x﹣2)≥0,去括号得6x﹣9﹣4x+8≥0,移项、合并同类项得2x≥1,系数化为1得x≥0.5(51)3x﹣2<﹣4(x﹣5);去括号得3x﹣2<﹣4x+20,移项得3x+4x<20+2合并同类项得7x<22未知项的系数化为1得x <,(52)﹣1<<2,去分母得﹣3<2﹣x<6,移项得﹣3﹣2<﹣x<6﹣2,合并同类项得﹣5<﹣x<4未知项的系数化为1得﹣4<x<5(53)去分母得,2(x﹣1)﹣3(x+4)>﹣12,去括号得,2x﹣2﹣3x﹣12>﹣12,移项、合并同类项得﹣x<2,化系数为1得x<﹣2.(54)去分母得,(x﹣2)﹣3(x﹣1)<3,去括号得,x﹣2﹣3x+3<3,移项、合并同类项得﹣2x<2,化系数为1得x>﹣120.解:(55)移项,得:5x﹣4x>﹣13﹣15,合并同类项,得:x>﹣28;(56)去分母,得:2(2x﹣1)≤3x﹣4,去括号,得:4x﹣2≤3x﹣4,移项,得:4x﹣3x≤﹣4+2,合并同类项,得:x≤﹣2(57)去括号得,28﹣7x﹣8+6x<4x,移项得,﹣7x+6x﹣4x<8﹣28,合并同类项得,﹣5x<﹣20,系数化为1得,x>4.(58)去括号得,10﹣4x+12≥2x﹣2,移项得,﹣4x﹣2x≥﹣2﹣10﹣12,合并同类项得,﹣6x≥﹣24,系数化为1得,x≤4.(59)去括号得,3x﹣6x+12>x﹣3x+9,移项得,3x﹣6x﹣x+3x>9﹣12,合并同类项得,﹣x>﹣3,系数化为1得,x<3.(60)去分母得,(2x﹣1)+3x﹣3+(1﹣2x)≤0,去括号得,2x﹣1+3x﹣3+1﹣2x≤0,移项得,2x+3x﹣2x≤3+1﹣1,合并同类项得,3x≤3,系数化为1得,x≤1.(61)去分母得,﹣10y﹣5(y﹣1)≥20﹣2(y+2),去括号得,﹣10y﹣5y+5≥20﹣2y﹣4,移项得,﹣10y﹣5y+2y≥20﹣4﹣5,合并同类项得,﹣13y≥11,系数化为1得,y ≤﹣.(62)去分母得,2(3x+2)﹣(7x﹣3)>16,去括号得,6x+4﹣7x+3>16,移项得,6x﹣7x>16﹣4﹣3,合并同类项得,﹣x>9,系数化为1得,x<﹣9(63)由原不等式,得x2+x>x2﹣4x+4,移项、合并同类项,得5x>4,不等式两边同时除以5,得x >,即原不等式的解集是x >;(64)由原不等式,得﹣17x+1<12﹣10x,移项、合并同类项,得﹣7x<11,不等式两边同时除以﹣7(不等号的方向发生改变),得x >﹣,即原不等式的解集是x >﹣(65)去括号,得:3y﹣9<7y﹣4,移项,得:3y﹣7y<9﹣4,即﹣4y<5,;(66)﹣21<6﹣3x≤9两边同时减去6再除以﹣3,不等号的方向改变,得:﹣1≤x<9(67)去分母得,2(1﹣2x)≥4﹣3x,去括号得,2﹣4x≥4﹣3x,移项得,﹣4x+3x≥4﹣2,合并同类项得,﹣x≥2,化系数为1得,x≤﹣2;(68)去分母得,2(x+4)﹣3(3x﹣1)<6,去括号得,2x+8﹣9x+3<6,移项得,2x﹣9x<6﹣8﹣3,合并同类项得,﹣7x<﹣5,化系数为1得,x >;(69)去括号得,0.5x+3﹣0.6x≥0.4x﹣0.6,移项得,0.5x﹣0.6x﹣0.4x≥﹣0.6﹣3,合并同类项得,﹣0.5x≥﹣3.6,化系数为1得,x≤7.2.(70)去分母得,6x﹣3x﹣(x+8)<6﹣2(x+1),去括号得,6x﹣3x﹣x﹣8<6﹣2x﹣2,移项得,6x﹣3x﹣x+2x<6﹣2+8,合并同类项得,4x<12,化系数为1得,x<3;(71)去括号得,2x﹣2x+2+4<1﹣x,移项得,2x﹣2x+x<1﹣2﹣4,合并同类项得,x<﹣5;(72)去分母得,2(2x﹣1)﹣3(5x+1)≤6,去括号得,4x﹣2﹣15x﹣3≤6,移项得,4x﹣15x≤6+2+3,合并同类项得,﹣11x≤11,化系数为1得,x≥﹣1(73)移项合并得:﹣2x<4,解得:x>﹣2;(74)去分母得:3(x+5)﹣2(2x+3)≥12,去括号得:3x+15﹣4x﹣6≥12,移项合并得:﹣x≥3,解得:x≤﹣3(75)原不等式的两边同时乘以6,得2x+6>21﹣3x,移项,合并同类项,得5x>15,不等式的两边同时除以5,得x>3,∴原不等式的解集是x>3.(76)原不等式的两边同时乘以6,得 8x+2≤14﹣x,移项,合并同类项,得9x≤12,不等式的两边同时除以9,得x≤34所以,原不等式的解集是x≤;(77)原不等式的两边同时乘以6,得 8﹣2x≤9,移项,合并同类项,得﹣2x≤1,不等式的两边同时除以﹣2,得x ≥﹣,所以,原不等式的解集是x≥﹣(78)移项得,3x≤9,x的系数化为1得,x≤3.(79)移项得,2x﹣5x<﹣2+5,合并同类项得,﹣3x<3,把x的系数化为1得,x>﹣1.(80)去括号得,﹣6+2x>3x+6,移项得,2x﹣3x>6+6,合并同类项得,﹣x>12,把x的系数化为1得,x<﹣12,(81)去分母得,x+7﹣2<3x+2,移项得,x﹣3x<2+2﹣7,合并同类项得,﹣2x<﹣3,把x的系数化为1得,x >.(82)去括号,得:6x+6≥4x﹣4+7,移项,得:6x﹣4x≥﹣4+7﹣6,合并同类项,得:2x≥﹣3,系数化为1得:x ≥﹣,(83)去分母,得:2(x﹣1)﹣3(x+4)>﹣12,去括号,得:2x﹣2﹣3x﹣12>﹣12,移项、合并同类项,得:﹣x>2,系数化为1得:x<﹣2(84)去分母得:x﹣2﹣2(x﹣1)<2,去括号得:x﹣2﹣2x+2<2,移项合并得:﹣x<2,解得:x>﹣2,(85)去分母得:x+5﹣2<3x+2,移项合并得:﹣2x<﹣1,解得:x >(86)去括号得,8﹣8x≥20﹣5x+3,移项得,﹣8x+5x≥20+3﹣8,合并同类项得,﹣3x≥15,x的系数化为1得,x≤﹣5,(87)去分母得,3(3y﹣1)<10y+5﹣6,去括号得,9y﹣3<10y+5﹣6,移项得,9y﹣10y<5﹣6+3,合并同类项得,﹣y<2,x的系数化为1得,y>﹣2。
一元一次不等式(组)培优40题(含解析)一.选择题:(共10题)1.从−7,−5,−1,0,4,3这六个数中,随机抽一个数,记为m ,若数m 使关于x 的不等式组{x−m2>0x −4<3(x −2)的解集为x >1,且关于x 的分式方程1−x 2−x +m x−2=3有非负整数解,则符合条件的m 的值的个数是( ) A .1个B .2个C .3个D .4个2.若方程组{3x +2y =2k 2y −x =3的解满足x <1,且y >1,则整数k 的个数是( )A .4B .3C .2D .13.若关于x 的不等式组{x <2(x −a)x −1≤23x恰有3个整数解,则a 的取值范围是( ) A .0≤a <12B .0≤a <1C .−12<a ≤0 D .−1≤a <04.正五边形广场 ABCDE 的边长为 80 米,甲、乙两个同学做游戏,分别从 A 、 C 两点处同时出发,沿 A −B −C −D −E −A 的方向绕广场行走,甲的速度为 50米/分,乙的速度为 46米/分,则两人第一次刚走到同一条边上时 ( )A .甲在顶点 A 处B .甲在顶点 B 处C .甲在顶点C 处D .甲在顶点D 处 5.若不等式组{x −2<3x −6x <m无解,则m 的取值范围是( )A .m >2B .m <2C .m ≥2D .m ≤26.若不等式组{1<x ≤2x >k无解,则k 的取值范围是( )A .k ≤2B .k >2C .k ≥2D .1≤k <27.如图,直线y=kx+b 与y=mx+n 分别交x 轴于点A (﹣0.5,0)、B (2,0),则不等式(kx+b )(mx+n )<0的解集为( )A .x >2B .﹣0.5<x <2C .0<x <2D .x <﹣0.5或x >28.若关于x 的不等式3x-2m ≥0的负整数解为-1,-2,则m 的取值范围是( ) A .−6≤m <−92 B .−6<m ≤−92 C .−92≤m <−3 D .−92<m ≤−3 9.如图,经过点B (1,0)的直线y=kx+b 与直线y=4x+4相交于点A (m ,83),则0<kx+b<4x+4的解集为( )A .x <-13B .-13<x <1 C .x <1 D .-1<x <110.若数a 使关于x 的不等式组{13x −1≤12(x −1)2x −a ≤3(1−x),有且仅有三个整数解,且使关于y 的分式方程3yy−2+a+122−y=1有整数解,则满足条件的所有a 的值之和是( )A .﹣10B .﹣12C .﹣16D .﹣18 二.填空题:(共10题)11.若数a 使关于x 的不等式组{x−12<1+x 35x −2≥x +a有且只有四个整数解,且使关于y 的方程y+a y−1+2a 1−y=2的解为非负数,则符合条件的正整数a 的值为______.12.如果不等式mx+13>1+x+33的解集为x>5,则m 的值为_______.13.若关于x ,y 的方程组{3x +2y =k −12x −3y =2 的解使4x +7y >2成立,则k 的取值范围是________.14.冬至节快到了,李老师和杨老师都准备给班级同学买饺子吃.到了超市两人均买了两款饺子,A 款单价为33元/袋,B 款41元/袋.其中李老师购买A 款数量少于B 款数量,合计花了500多元.杨老师购买的A ,B 两款的数量刚好与李老师互换,也花了500多元,巧合的是所花费用的十位数字与个位数字刚好也和李老师所花费用的十位数字与个位数字互换.则李老师购买A ,B 两款饺子共计____袋.15.若不等式组{x −a ≻0x −a ≺1-的解集中的任何一个x 的值均不在2≤x ≤5的范围内,则a 的取值范围为________.16.如果不等式组{3x −a ≥02x −b <0 的整数解仅为 2,且 a 、b 均为整数,则代数式 2a 2+b 的最大值=________.17.使得关于x 的分式方程x+kx+1−kx−1=1的解为负整数,且使得关于x 的不等式组{3x +2≥2x −14x −4≤k有5个整数解的所有k 的和为_____.18.关于x 的不等式组{4a +3x >03a −4x ≥0恰好只有三个整数解,则a 的取值范围是_____________.19.若关于x 的一元一次不等式组{x −a >02x −3<1有2个负整数解,则a 的取值范围是_____.20.在一次智力测验中有20道选择题,评分标准为:对l 题给5分,错1题扣2分,不答题不给分也不扣分,张强有1道题末答,如果总分才不会低于70分,则他至少答对____道题.三.解答题:(共20题)21.某工厂计划生产A 、B 两种产品共50件,需购买甲、乙两种材料.生产一件A 产品需甲种材料30千克、乙种材料10千克;生产一件B 产品需甲、乙两种材料各20千克.经测算,购买甲、乙两种材料各1千克共需资金40元,购买甲种材料2千克和乙种材料3千克共需资金105元.(1)甲乙两种材料每千克分别是多少元?(2)现工厂用于购买甲、乙两种材料的资金不超过38000元,且生产B 产品不少于28件,问符合条件的生产方案有哪几种?(3)在(2)的条件下,若生产一件A 产品需加工费200元,生产一件B 产品需加工费300元,应选择哪种生产方案,使生产这50件产品的成本最低?(成本=材料费+加工费) 22.目前节能灯在城市已基本普及,今年山东省面向县级及农村地区推广,为响应号召,某商场计划购进甲,乙两种节能灯共1200只,这两种节能灯的进价、售价如下表:(1)如何进货,进货款恰好为46000元?(2)设商场购进甲种节能灯x 只,求出商场销售完节能灯时总利润w 与购进甲种节能灯x 之间的函数关系式;(3)如何进货,商场销售完节能灯时获利最多且不超过进货价的30%,此时利润为多少元? 23.某汽车租赁公司要购买轿车和面包车共10辆,其中轿车至少要购买3辆,轿车每辆7万元,面包车每辆4万元,公司可投入的购车款不超过55万元.(1)符合公司要求的购买方案有几种?请说明理由;(2)如果每辆轿车的日租金为200元,每辆面包车的日租金为110元,假设新购买的这10辆车每日都可租出,要使这10辆车的日租金不低于1500元,那么应选择以上哪种购买方案?24.在平面直角坐标系中,已知直线l1:y=2x+1(1)若将直线l1平移,使之经过点(1,-5),求平移后直线的解析式;(2)若直线l2:y=x+m与直线l1的交点在第二象限,求m的取值范围;(3)如图,直线y=x+b与直线y=nx+2n(n≠0)的交点的横坐标为-5,求关于x的不等式组0<nx+2n<x+b的解集.25.为了争创全国文明卫生城市,优化城市环境,某市公交公司决定购买一批共10台全新的混合动力公交车,现有A、B两种型号,其中每台的价格,年省油量如下表:经调查,购买一台A型车比购买一台B型车多20万元,购买2台A型车比购买3台B型车少60万元.(1)请求出a和b;(2)若购买这批混合动力公交车(两种车型都要有)每年能节省的汽油量不低于22.4万升,请问有哪几种购车方案?(3)求(2)中最省钱的购买方案所需的购车款.26.某商场销售每个进价为150元和120元的A、B两种型号的足球,如表是近两周的销售情况:(进价、售价均保持不变,利润=销售收入−进货成本)(1)求A、B两种型号的足球的销售单价;(2)若商场准备用不多于8400元的金额再购进这两种型号的足球共60个,求A种型号的足球最多能采购多少个?(3)在(2)的条件下,商场销售完这60个足球能否实现利润超过2550元,若能,请给出相应的采购方案;若不能请说明理由.27.(题文)小雨的外婆送来一篮鸡蛋.这篮鸡蛋最多只能装55只左右.小雨3只一数,结果剩下1只,但忘了数多少次,只好重数.他5只一数,结果剩下2只,可又忘了数多少次.他准备再数时,妈妈笑着说:“不用数了,共有52只.”小雨惊讶地问妈妈怎么知道的.妈妈笑而不答.同学们,你们知道这是为什么吗?28.夏季即将来临,某电器超市销售每台进价分别为200元、170元的A,B两种型号的电风扇,下表是近两周的销售情况:(进价、售价均保持不变,利润=销售收入-进货成本)(1)分别求出A ,B 两种型号电风扇的销售单价;(2)若超市准备用不超过5400元的金额再采购这两种型号的电风扇共30台,求A 种型号的电风扇最多能采购多少台?(3)在(2)的条件下,超市销售完这30台电风扇能否实现利润为1400元的目标?若能,请给出相应的采购方案;若不能,请说明理由.29.某人共收集邮票若干张,其中14是2000年以前的国内外发行的邮票,18是2001年国内发行的,119是2002年国内发行的,此外尚有不足100张的国外邮票.求该人共有多少张邮票.30.为落实优秀传统文化进校园,某校计划购进“四书”、“五经”两套图书供学生借阅,已知这两套图书单价和为660元,一套“四书”比一套“五经”的2倍少60元. (1)分别求出这两套图书的单价;(2)该校购买这两套图书不超过30600元,且购进“四书”至少33套,“五经”的套数是“四书”套数的2倍,该校共有哪几种购买方案?31.某经销商销售一批电话手表,第一个月以550元/块的价格售出60块,第二个月起降价,以500元/块的价格将这批电话手表全部售出,销售总额超过了5.5万元.这批电话手表至少有多少块?32.国庆期间,为了满足百姓的消费需求,某商店计划用170000元购进一批家电,这批家电的进价和售价如表:类别 彩电 冰箱 洗衣机 进价(元/台) 2000 1600 1000 售价(元/台) 2300 1800 1100若在现有资金允许的范围内,购买表中三类家电共100台,其中彩电台数是冰箱台数的2倍,设该商店购买冰箱x 台. (1)商店至多可以购买冰箱多少台?(2)购买冰箱多少台时,能使商店销售完这批家电后获得的利润最大?最大利润为多少元? 33.一幢学生宿舍楼有一些空房间,现要安排一批学生入住.若每间住4人,则有20人无法入住;若每间住8人,则有1间房间还剩余一些空床位. (1)求空房间的间数和这批学生的人数;(2)这批学生入住后,男生房间的间数恰好是女生房间间数的2倍,每间房间都有8个床位,每间女生房间都空出数量相同的床位,问:男女学生各多少人?34.(2016黑龙江省牡丹江市)某绿色食品有限公司准备购进A和B两种蔬菜,B种蔬菜每吨的进价比A中蔬菜每吨的进价多0.5万元,经计算用4.5万元购进的A种蔬菜的吨数与用6万元购进的B种蔬菜的吨数相同,请解答下列问题:(1)求A,B两种蔬菜每吨的进价;(2)该公司计划用14万元同时购进A,B两种蔬菜,若A种蔬菜以每吨2万元的价格出售,B种蔬菜以每吨3万元的价格出售,且全部售出,请求出所获利润W(万元)与购买A种蔬菜的资金a(万元)之间的函数关系式;(3)在(2)的条件下,要求A种蔬菜的吨数不低于B种蔬菜的吨数,若公司欲将(2)中的最大利润全部用于购买甲、乙两种型号的电脑赠给某中学,甲种电脑每台2100元,乙种电脑每台2700元,请直接写出有几种购买电脑的方案.35.自从湖南与欧洲的“湘欧快线”开通后,我省与欧洲各国经贸往来日益频繁,某欧洲客商准备在湖南采购一批特色商品,经调查,用16 000元采购A型商品的件数是用7 500元采购B型商品的件数的2倍,一件A型商品的进价比一件B型商品的进价多10元.(1)求一件A,B型商品的进价分别为多少元?(2)若该欧洲客商购进A,B型商品共250件进行试销,其中A型商品的件数不大于B型的件数,且不小于80件,已知A型商品的售价为240元/件,B型商品的售价为220元/件,且全部售出.设购进A型商品m件,求该客商销售这批商品的利润v与m之间的函数解析式,并写出m的取值范围;(3)在(2)的条件下,欧洲客商决定在试销活动中每售出一件A型商品,就从一件A型商品的利润中捐献慈善资金a元,求该客商售完所有商品并捐献慈善资金后获得的最大收益.36.某蓝莓种植生产基地产销两旺,采摘的蓝莓部分加工销售,部分直接销售,且当天都能销售完,直接销售是40元/斤,加工销售是130元/斤(不计损耗).已知基地雇佣20名工人,每名工人只能参与采摘和加工中的一项工作,每人每天可以采摘70斤或加工35斤.设安排x名工人采摘蓝莓,剩下的工人加工蓝莓.(1)若基地一天的总销售收入为y元,求y与x的函数关系式;(2)试求如何分配工人,才能使一天的销售收入最大?并求出最大值.37.某商场用36万元购进A、B两种商品,销售完后共获利6万元,其进价和售价如表.(1)该商场购进A、B两种商品各多少件?(2)商场第二次以原进价购进A、B两种商品.购进B种商品的件数不变,而购进A种商品的件数是第一次的2倍,A种商品按原售价出售,而B种商品打折销售.若两种商品销售完毕,要使第二次经营活动获利不少于81600元,B种商品最低售价为每件多少元?38.某农产品生产基地收获红薯192吨,准备运给甲、乙两地的承包商进行包销.该基地用大、小两种货车共18辆恰好能一次性运完这批红薯,已知这两种货车的载重量分别为14吨/吨和8吨/辆,运往甲、乙两地的运费如下表:(1)求这两种货车各用多少辆;(2)如果安排10辆货车前往甲地,其余货车前往乙地,其中前往甲地的大货车为a辆,总运费为w元,求w关于a的函数关系式;(3)在(2)的条件下,若甲地的承包商包销的红薯不少于96吨,请你设计出使总运费最低的货车调配方案,并求出最低总运费.39.每年的3月15日是“国际消费者权益日”,许多家居商城都会利用这个契机进行打折促销活动.甲卖家的某款沙发每套成本为5000元,在标价8000元的基础上打9折销售.(1)现在甲卖家欲继续降价吸引买主,问最多降价多少元,才能使利润率不低于20%?(2)据媒体爆料,有一些卖家先提高商品价格后再降价促销,存在欺诈行为.乙卖家也销售相同的沙发,其成本、标价与甲卖家一致,以前每周可售出5套,现乙卖家先将标价提高m%,再大幅降价40m元,使得这款沙发在3月15日那一天卖出的数量就比原来一周卖出的m%,这样一天的利润达到了31250元,求m.数量增加了1240.某校九年级6个班举行毕业文艺汇演,每班3个节目,有歌唱与舞蹈两类节目,年级统计后发现歌唱类节目数比舞蹈类节目数的2倍少6个.设舞蹈类节目有x个.(1)用含x的代数式表示:歌唱类节目有______________个;(2)求九年级表演的歌唱类与舞蹈类节目数各有多少个?(3)该校七、八年级有小品节目参与汇演,在歌唱、舞蹈、小品三类节目中,每个节目的演出平均用时分别是5分钟、6分钟、8分钟,预计全场节目交接所用的时间总共16分钟.若从19:00开始,21:30之前演出结束,问参与的小品类节目最多能有多少个?答案与解析1.解{x−m2>0①x−4<3(x−2)②,解不等式①得:x>m,解不等式②得:x>1,∵该不等式组的解集为:x>1,∴m≤1,即m取−7,−5,−1,0;1−x 2−x +mx−2=3,方程两边同时乘以(x−2)得:x−1+m=3(x−2),去括号得:x−1+m=3x−6,移项得:x−3x=1−6−m,合并同类项得:−2x=−5−m,系数化为1得:x=m+52,∵该方程有非负整数解,∴即m+52≥0,m+52≠2,且m+52为整数,∴m取−5,3,综上:m取−5,即符合条件的m的值的个数是1个,故选A.2.解{3x +2y =2k ①2y −x =3②,①﹣②,得:4x=2k ﹣3,∴x =2k−34.∵x <1,∴2k−34<1,解得:k <72.将x =2k−34代入②,得:2y −2k−34=3,∴y =2k+98.∵y >1,∴2k+98>1,解得:k >−12,∴−12<k <72.∵k 为整数,∴k 可取0,1,2,3,∴k 的个数为4个. 故选A . 3.A解:解不等式x <2(x ﹣a ),得:x >2a ,解不等式x ﹣1≤23x ,得:x ≤3. ∵不等式组恰有3个整数解,∴0≤2a <1,解得:0≤a <12.故选A .4.解:两人如果在同一条边上,说明两人的距离小于等于80米,∵甲、乙两个同学做游戏,分别从 A 、 C 两点处同时出发,两人相差160米,甲要追回80米需要的时间是80÷(50-46)=20分钟,20分钟甲走了1000米,正好走到CD 的中点设为F;20分钟乙走920米走到DE 距D 点40米处设为G.甲从F 走到D 是40比50等于0.8分钟;乙用0.8分从G 点走出0.8乘46等于36.8米距E 点80-36.8-40=3.2米由此得知甲走到D 点时乙走在DE 线上距E3.2米处. ∴D 选项是正确的 5.解{x −2<3x −6①x <m ②.∵解不等式①得:x >2,不等式②的解集是x <m . 又∵不等式组{x −2<3x −6x <m无解,∴m ≤2.故选D .6.解:由题意可知不等式组{1<x ≤2x >k无解所以k ≥4.故选:C.7.解∵(kx+b )(mx+n )<0,∴{kx +b >0mx +n <0 ①或{kx +b <0mx +n >0②.∵直线y=kx+b 与直线y=mx+n 分别交x 轴于点A (﹣0.5,0)、B (2,0),∴①的解集为:x <﹣0.5,②的解集为:x >2,∴不等式(kx+b )(mx+n )<0的解集为x <﹣0.5或x >2.故选D .8.解:3x −2m ≥0,得x ≥23m ,根据题意得,-3<23m ≤-2,解得−92<m ≤−3,故选D. 点睛:本题主要考查了一元一次不等式的解法,先用含m 的式子表示出不等式的解集,再根据不等式的负整数解得到含m 的式子的范围,即关于m 的不等式组,解这个不等式组即可求解.9.解∵经过点B (1,0)的直线y=kx+b 与直线y=4x+4相交于点A (m ,83),∴4m+4=83,∴m=−13,∴直线y=kx+b 与直线y=4x+4的交点A 的坐标为(−13,83),直线y=kx+b 与x 轴的交点坐标为B (1,0),又∵当x <1时,kx+b >0,当x >−13时,kx+b <4x+4,∴0<kx+b <4x+4的解集为−13<x <1.故选B .10.解{13x −1≤12(x −1)①2x −a ≤3(1−x)②, 解①得x ≥-3,解②得x ≤3+a 5,不等式组的解集是-3≤x ≤3+a 5. ∵仅有三个整数解,∴-1≤3+a 5<0∴-8≤a <-3,3y y−2+a+122−y =1,3y-a-12=y-2.∴y=a+102,∵y ≠-2,∴a ≠-6,又y=a+102有整数解,∴a=-8或-4,所有满足条件的整数a 的值之和是-8-4=-12,故选B .11.解:{x−12<1+x 3①5x −2≥x +a ② ,解不等式①得:x <5,解不等式②得:x ≥a+24,∵该不等式组有且只有四个整数解,∴该不等式组的解集为:a+24≤x <5,且0<a+24≤1, 解得:−2<a ≤2,又∵y+a y−1+2a 1−y =2,方程两边同时乘以(y −1)得:y +a −2a =2(y −1),去括号得:y −a =2y −2,移项得:y =2−a ,∵该方程的解为非负数,∴2−a ≥0且2−a ≠1,解得:a ≤2且a ≠1,综上可知:符合条件的正整数a 的值为2,故答案为:2.12.解:由不等式mx+13>1+x+33可得(1-m )•x <-5,∵不等式的解集为x >5,∴1-m <0,∴(1-m )•5=-5,∴m=2.故答案为:2.13.解{3x +2y =k −1①2x −3y =2②由①×2﹣②得:4x+7y=2k-2-2,∴2k-2-2>2,∴2k >6,解得:k >3.故答案为:k >3.14.解:依题意设李老师买了A 款饺子x 袋,B 款饺子y 袋,购买的金额十位上的数字为a ,各位上的数字为b ,则可列出方程组:{33x +41y =500+10a +b ①33y +41y =500+10b +a ②①+②得x+y=1000+11a+11b 74③,∵500<33x +41y <600,500<41x +33y <600∴1000<74(x+y )<1200,即13.5<x+y <16.2x+y 可能为14、15、16当x+y=14时,代入③得11a+11b=36,不符题意,当x+y=15时,代入③得11a+11b=110,a+b=10符题意,当x+y=16时,代入③得11a+11b=184,不符题意,故x+y=15,填15.15.解:不等式组{x −a >0x −a <1的解集为:a <x <a+1, ∵任何一个x 的值均不在2≤x ≤5范围内,∴x <2或x >5,∴a+1≤2或a ≥5,解得,a ≤1或a ≥5,∴a 的取值范围是:a ≤1或a ≥5,故答案为:a ≤1或a ≥5.16.解:解不等式3x-a ≥0,得:x ≥a 3,解不等式2x-b <0,得:x <b 2,∵整数解仅为2,∴{1<a 3≤22<b 2≤3, 解得:3<a ≤6,4<b ≤6,∵a 、b 均为整数,∴当a=6、b=6时,2a 2+b 取得最大值,最大值为2×62+6=78,故答案为:78.17.解:解分式方程x+k x+1−k x−1=1,可得x=1-2k ,∵分式方程x+k x+1−k x−1=1的解为负整数,∴1-2k <0,∴k >12,又∵x ≠-1,∴1-2k ≠-1,∴k ≠1,解不等式组{3x +2≥2x −14x −4≤k ,可得{x ≥−3x ≤k +44, ∵不等式组{3x +2≥2x −14x −4≤k有5个整数解, ∴1≤k+44<2,解得0≤k <4,∴12<k <4且k ≠1,∴k 的值为1.5或2或2.5或3或3.5,∴符合题意的所有k 的和为12.5,故答案为:12.5.18.解:解不等式4a+3x>0得:x>-43a ,解不等式3a-4x ≥0得:x ≤34a , ∴不等式的解集为:-43a<x ≤34a ,∵方程组只有三个整数解,∴方程组的解包括0,∴方程组的整数解为:0、1、2或-1、0、1或-2、-1、0,当整数解为0、1、2时:{−1≤−43a ≤02≤34a <3 ,方程组无解,当整数解为-1、0、1时:{−2≤−43a ≤−11≤34a <2,解得:43≤a ≤32, 当整数解为-2、-1、0时:{−3≤−43a ≤−20≤34a <1方程组无解, ∴a 的取值范围为:43≤a ≤32, 故答案为:43≤a ≤3219.解:2x -3<1,得x <2,进而得负整数解为-1,-2,解得-3≤a <-2.20.解:设小明至少答对的题数是x 道,5x-2(20-1-x )≥70,x ≥1537故至少答对16题,总分才不会低于70分.故答案为:16.21.解(1)设甲钟材料每千克x 元,乙种材料每千克y 元,根据题意列方程组得: {x +y =402x +3y =105解之{x =15y =25甲钟材料每千克15元,乙种材料每千克25元.(2)设生产A 产品m 件,生产B 产品(50-m )件,则生产这50件产品的材料费为15×30m+25×10m+15×20(50-m )+25×20(50-m )=-100m+40000,由题意:-100m+40000≤38000,解得m ≥20,又∵50-m ≥28,解得m ≤22,∴20≤m ≤22,∵m 为正整数∴m 的值为20,21,22,共有三种方案,如下表:(3)设总生产成本为W元,加工费为:200m+300(50-m),则W=-100m+40000+200m+300(50-m)=-200m+55000,∵W 随m的增大而减小,而m=20,21,22,∴当m=22时,总成本最低,此时W=-200×22+55000=50600元,∴选择第三种方案. 22.解(1)设商场应购进甲型节能灯x只,则乙型节能灯为(1200﹣x)只.根据题意得:25x+45(1200﹣x)=46000解得:x=400.当x=400时,1200-x=800.答:购进甲型节能灯400只,乙型节能灯800只时,进货款恰好为46000元.(2)设商场应购进甲型节能灯x只,商场销售完这批节能灯可获利w元.根据题意得:w=(30﹣25)x+(60﹣45)(1200﹣x)=5x+18000﹣15x=﹣10x+18000所以w=﹣10x+18000;(3)设商场购进甲型节能灯x只,则购进乙型节能灯(1200﹣x)只,利润为w元,根据题意得:﹣10x+18000≤[25x+45(1200﹣x)]×30%解得:x≥450.∵w=﹣10x+18000,∴k=﹣10<0,∴w随x的增大而减小,∴x=450时,w最大=13500元.答:商场购进甲型节能灯450只,购进乙型节能灯750只时的最大利润为13500元.23.解(1)设购买轿车x辆,那么购买面包车(10-x)辆.由题意,得7x+4(10-x)≤55,解得x≤5.又因为x≥3,所以x的值为3,4,5,所以有三种购买方案:方案一:购买3辆轿车,7辆面包车;方案二:购买4辆轿车,6辆面包车;方案三:购买5辆轿车,5辆面包车.(2)方案一的日租金为3×200+7×110=1370(元)<1500元;方案二的日租金为4×200+6×110=1460(元)<1500元;方案三的日租金为5×200+5×110=1550(元)>1500元.所以为保证日租金不低于1500元,应选择方案三,即购买5辆轿车,5辆面包车.24.解(1)设平移后的直线解析式为y=2x+t ,把(1,-5)代入得2+t=-5,解得t=-7,所以平移后直线的解析式y=2x-7;(2)解方程组{y =x +m y=2x+1 得{y =2m −1x=m−1 ,所以y=x+m 与直线l 1的交点坐标为(m-1,2m-1)因为{2m −1>0m−1<0所以12<m <1; (3)当y=0时,nx+2n=0,解得x=-2,直线y=nx+2n 与x 轴的交点坐标为(-2,0), 所以不等式组0<nx+2n <x+b 的解集为-5<x <-2.25.解(1)由题意可得:{a =b +202a =3b −60,解得:{a =120b =100 . 答:a 的值是120,b 的值是100.(2)设购买A 型公交车x 辆,则购买B 型公交车(10﹣x )辆,根据题意得:2.4x+2(10﹣x )≥22.4,解得:x ≥6.∵两种车型都要有,∴x <10,∴6≤x <10.∵x 为整数,∴x=6、7、8、9,∴有四种购车方案.方案一:购买A 型公交车6辆,购买B 型公交车4辆;方案二:购买A 型公交车7辆,购买B 型公交车3辆;方案三:购买A 型公交车8辆,购买B 型公交车2辆;方案四:购买A 型公交车9辆,购买B 型公交车1辆.(3)设购车款为w 元,购买A 型车x 辆,根据题意得:w=120x+100(10﹣x )=20x+1000∴当x=6时,w 取得最小值,此时w=1120.答:(1)解:设A 、B 两种型号的足球销售单价分别是x 元和 y 元,列出方程组:{5x +3y =14503x+4y=1200解得{y =150x=200A 型号足球单价是200元,B 型号足球单价是150元.(2)解:设A 型号足球购进a 个,B 型号足球购进(60−a)个,根据题意得:150a +120(60−a)≤8400解得a ≤40,所以A 型号足球最多能采购40个.(3)解:若利润超过2550元,须 50a +30(60−a)>2550a >37.5,因为a 为整数,所以38<a ≤40能实现利润超过2550元,有3种采购方案.方案一:A 型号38个,B 型号22个;方案二:A 型号39个,B 型号21个;方案三:A 型号40个,B 型号20个.27.解:设小明第一次数了x 次,第二次数了y 次,由题意,得3x+1=5y+2,3x=5y+1,x=5y+13,3x+1≤55,5y+2≤55,∴x ≤18,y ≤10.6,∵x >0,y >0,且x 、y 为整数,且5y+1是3的倍数,∴5y+1=6,9,12,15,18…,y=1,4,7,10,13…,∴y 最大=10,∵篮子是装满的,并且最多只能装55只,∴(5y+2)中,y 的值只能取y=10,∴篮子的鸡蛋数量为:5×10+2=52(只).28.解(1)设A ,B 两种型号电风扇的销售单价分别为x 元、y 元.......1分根据题意,得{2x +3y =1130,5x +6y =2510.解这个方程组,得{x =250,y =210.答:A ,B 两种型号电风扇的销售单价分别为250元、210.(2)设采购A 种型号电风扇a 台,则采购B 种型号电风扇(30﹣a )台,根据题意,得 200a+170(30﹣a )≤5400,解这个不等式,得a ≤10.答:A 种型号的电风扇最多能采购10台(3)根据题意,得(250﹣200)a+(210﹣170)(30﹣a )=1400,解这个方程,得a=20,由(2)可知,a ≤10,∴在(2)的条件下超市不能实现利润1400元的目标.29.解:该人共有x 张邮票,根据题意列方程得:14x+18x+119x >x-100,解得:x <167391.∵其中14是2000年以前的国内外发行的邮票,18是2001年国内发行的,119是2002年国内发行的,∴x 一定是4,8,19的倍数,这三个数的最小公倍数是:152.故该人共有邮票约152张.30.解(1)设五经的单价为x 元,则四书的单价为(2x −60)元,依题意得x +2x −60=660,解得x =240,∴2x −60=420,∴五经的单价为240元,则四书的单价为420元;(2)设购买四书a 套,五经b 套,依题意得{420a +240b ≤30600a ≥33b =2a, 解得33≤a ≤34,∵a 为正整数,∴a =33或34,∴当a =33时,b =66;当a =34时,b =68;∴该校共有2种购买方案:①四书33套,五经66套;②四书34套,五经68套.31.解:设这批手表有x 块,550×60+(x ﹣60)×500>55000解得,x >104答:这批电话手表至少有105块.32.解:(1)根据题意,得:2000⋅2x+1600x+1000(100−3x)⩽170000,解得:x ≤261213, ∵x 为正整数,∴x 最多为26,答:商店至多可以购买冰箱26台.(2)设商店销售完这批家电后获得的利润为y 元,则y=(2300−2000)2x+(1800−1600)x+(1100−1000)(100−3x)=500x+10000,∵k=500>0,∴y 随x 的增大而增大,∵ x ≤261213且x 为正整数, ∴当x=26时,y 有最大值,最大值为:500×26+10000=23000,答:购买冰箱26台时,能使商店销售完这批家电后获得的利润最大,最大利润为23000元.33.解:(1)设空房间有x 间,根据题意,得:8(x-1)<4x+20<8x ,解得:5<x <7,∵x 为整数,∴x=6,这批学生人数为4×6+20=44(人)答:空房间的间数为6间,这批学生的人数为44人.(2)设女生房间为m 间,则男生房间为2m 间,由m+2m=6,得:m=2,2m=4,又设每间女生房间都空出a 个床位,其中a >0则44-(8×2-2a)≤8×4,解得:a ≤2,∴0<a ≤2,且a 为整数,则a 为1或2,∴当a=1时,女生人数为16-2=14(人),男生人数为44-14=30(人);当a=2时,女生人数为16-4=12(人),男生人数为44-12=32(人).34.解:(1)设每吨A 种蔬菜的进价为x 万元,则每吨B 种蔬菜的进价为(x+0.5)万元,依题意得:4.5x =6x+0.5,解得x=1.5,经检验:x=1.5是原方程的解,∴x+0.5=2. 答:每吨A 种蔬菜的进价为1.5万元,每吨B 种蔬菜的进价为2万元;(2)根据题意得,W=(2﹣1.5)×a 1.5+(3﹣2)×14−a 2=−16a +7,∴所获利润W (万元)与购买A 种蔬菜的资金a (万元)之间的函数关系式为:W=−16a +7; (3)当a 1.5≥14−a 2时,a ≥6,∵在一次函数W=−16a +7中,W 随着a 的增大而减小,∴当a=6时,W 有最大值,W 的最大值为﹣1+7=6(万元).设购买甲种电脑a 台,购买乙种电脑b 台,则2100a+2700b=60000,∵a 和b 均为整数,∴{a =8b =16 或{a =17b =9 或{a =26b =2,∴有三种购买方案. 35.解:(1)设一件B 型商品的进价为x 元,则一件A 型商品的进价为(x+10)元. 由题意:16000x+10=7500x ×2,解得x=150,经检验x=150是分式方程的解.答:一件B 型商品的进价为150元,一件A 型商品的进价为160元.(2)因为客商购进A 型商品m 件,所以客商购进B 型商品(250﹣m )件.由题意:v=80m+70(250﹣m )=10m+17500,∵80≤m ≤250﹣m ,∴80≤m ≤125,∴v=10m+17500(80≤m ≤125);(3)设利润为w 元.则w=(80﹣a )m+70(250﹣m )=(10﹣a )m+17500:①当10﹣a >0时,w 随m 的增大而增大,所以m=125时,最大利润为(18750﹣125a )元. ②当10﹣a=0时,最大利润为17500元.③当10﹣a <0时,w 随m 的增大而减小,所以m=80时,最大利润为(18300﹣80a )元,∴当a <10时,最大利润为(18750﹣125a )元;当a=10时,最大利润为17500元;当a >10时,最大利润为(18300﹣80a )元.36.解:(1)根据题意得:.(2)因为,解得,又因为为正整数,且. 所以,且为正整数. 因为,所以的值随着的值增大而减小, 所以当时,取最大值,最大值为. 答:安排7名工人进行采摘,13名工人进行加工,才能使一天的收入最大,最大收入为60550元.37.解:(1)设购进A 种商品x 件,B 种商品y 件,根据题意得,{1200x +1000y =360000(1380−1200)x +(1200−1000)y =60000解得{x=200y=120.答:该商场购进A.B两种商品分别为200件和120件.(2)由于A商品购进400件,获利为(1380-1200)×400=72000(元),从而B商品售完获利应不少于81600-72000=9600(元).设B商品每件售价为z元,则120(z-1000)≥9600,解之得z≥1080.所以B种商品最低售价为每件1080元.38.解:(1)设大货车用x辆,则小货车用(18﹣x)辆,根据题意得:14x+8(18﹣x)=192,解得:x=8,18﹣x=18﹣8=10.答:大货车用8辆,小货车用10辆.(2)设运往甲地的大货车是a,那么运往乙地的大货车就应该是(8﹣a),运往甲地的小货车是(10﹣a),运往乙地的小货车是10﹣(10﹣a),w=720a+800(8﹣a)+500(10﹣a)+650[10﹣(10﹣a)]=70a+11400(0≤a≤8且为整数);(3)14a+8(10﹣a)≥96,解得:a≥83.又∵0≤a≤8,∴3≤a≤8 且为整数.∵w=70a+11400,k=70>0,w随a的增大而增大,∴当a=3时,W最小,最小值为:W=70×3+11400=11610(元).答:使总运费最少的调配方案是:3辆大货车、7辆小货车前往甲地;5辆大货车、3辆小货车前往乙地.最少运费为11610元.39.解:(1)设降价x元,列不等式:8000×0.9-x≥5000(1+20%),解得:x≤1800.答:最多降价1800元,才能使得利润不低于20%.设m%=a,根据题意得:[8000(1+a)-4000a-5000]×5(1+12a)=31250,整理得,8a2+22a-13=0,解得a=12或a=-2(舍).所以m%=1,则m=50.2答:m的值为50.40.解:(1)(2x−6).(2)根据题意得:x+(2x−6)=6×3,解得:x=8.经检验,符合题意.当x=8时,2x−6=10.答:表演的歌唱类节目10个,舞蹈类节目8个.(3)设参与的小品类节目有a个,根据题意得:5×10+6×8+8a+16<150,解得:a<4.5.∵a为整数,∴a最多为4.答:参与的小品类节目最多能有4个.。
解一元一次不等式专项练习50题(有答案)-不等式去分母的题1.解:去分母得 3(x+1)。
2x+6,去括号得 3x+3.2x+6,移项合并同类项得 x。
3,因此不等式的解集为 x。
3.2.解:去分母得 x+1-2(x-1) ≤ 2,化简得 -x ≤ -1,两边同乘-1得x ≥ 1,因此不等式的解集为x ≥ 1.3.解:去分母得 2(x+4)-6.3(3x-1),化简得 2x+8-6.9x-3,移项合并同类项得 -7x。
-5,化系数为1得 x < 5/7.4.解:去分母得 3x+6.-1,因此不等式的解集为 x。
-1.5.解:去分母得6x+2(x+1) ≤ 6-(x-14),化简得8x+8 ≤ 20-x,移项合并同类项得9x ≤ 12,因此不等式的解集为x ≤ 4/3.6.解:去分母得 2(2x-3)。
3(3x-2),化简得 4x-6.9x-6,移项合并同类项得 -5x。
0,化系数为1得 x < 0.7.解:去分母得 3(3x-4)+30 ≥ 2(x+2),化简得 9x-12+30 ≥2x+4,移项合并同类项得7x ≥ -14,化系数为1得x ≥ -2.8.解:将原不等式化简得:x-3<24-2(3-4x)。
x-3<24-6+8x。
x<21。
x>-3.9.解:将原不等式化简得:6(3x-1)<(10x+5)-6。
8x>=-16。
x>=-2.10.解:将原不等式化简得:3(x+1)-8>4(x-5)-8x。
3x+3-8>4x-20-8x。
7x>-15。
x>-15/7.11.解:将原不等式化简得:x+5-2<3x+2。
x-3x<2+2-5。
2x<-1。
x>1/2.12.解:将原不等式化简得:3(x+1)>=2(2x+1)+6。
3x+3>=4x+2+6。
x>=5。
x<=-5.13.解:将原不等式化简得:2(2x-1)-24>-3(x+4)。
一元一次不等式练习学校:___________姓名:___________班级:___________考号:___________一、单选题1.如图,下列结论正确的是( )A .c >a >bB .11b c >C .|a |<|b |D .abc >0【答案】B 【分析】根据数轴可得:101a b c <-<<<<再依次对选项进行判断. 【详解】解:根据数轴上的有理数大小的比较大小的规律,从左至右逐渐变大, 即可得:101a b c <-<<<<,A 、由101a b c <-<<<<,得c b a >>,故选项错误,不符合题意;B 、01b c <<<,根据不等式的性质可得:11b c >,故选项正确,符合题意; C 、1,01a b <-<<,可得||||a b >,故选项错误,不符合题意; D 、0,0,0a b c <<<,故0abc <,故选项错误,不符合题意; 故选:B . 【点睛】本题考查了利用数轴比较大小,不等式的性质、绝对值,解题的关键是得出101a b c <-<<<<.2.若不等式组4101x m x x m-+<+⎧⎨+>⎩解集是4x >,则( )A .92m ≤B .5m ≤C .92m =D .5m =【答案】C 【分析】首先解出不等式组的解集,然后与x >4比较,即可求出实数m 的取值范围. 【详解】解:由①得2x >4m -10,即x >2m -5; 由②得x >m -1;∵不等式组4101x m xx m-+<+⎧⎨+>⎩的解集是x>4,若2m-5=4,则m=92,此时,两个不等式解集为x>4,x>72,不等式组解集为x>4,符合题意;若m-1=4,则m=5,此时,两个不等式解集为x>5,x>4,不等式组解集为x>5,不符合题意,舍去;故选:C.【点睛】本题是已知不等式组的解集,求不等式中另一未知数的问题.可以先将另一未知数当作已知数处理,将求出的解集与已知解集比较,进而求得另一个未知数.求不等式组的公共解,要遵循以下原则:同大取较大,同小取较小,大小小大中间找,大大小小解不了.3.下列不等式组,无解的是()A.1030xx->⎧⎨->⎩B.1030xx-<⎧⎨-<⎩C.1030xx->⎧⎨-<⎩D.1030xx-<⎧⎨->⎩【答案】D【分析】根据不等式组的解集的求解方法进行求解即可.【详解】解:A、1030xx->⎧⎨->⎩,解得13xx>⎧⎨>⎩,解集为:3x>,故不符合题意;B、1030xx-<⎧⎨-<⎩,解得13xx<⎧⎨<⎩,解集为:1x<,故不符合题意;C、1030xx->⎧⎨-<⎩,解得13xx>⎧⎨<⎩,解集为:13x<<,故不符合题意;D、1030xx-<⎧⎨->⎩,解得13xx<⎧⎨>⎩,无解,符合题意;故选:D.【点睛】本题考查了求不等式组的解集,熟知“同大取大,同小取小,大小小大中间找,大大小小找不到”取不等式组的解集是关键.4.海曙区禁毒知识竞赛共有20道题,每一题答对得5分,答错或不答都扣2分,小明得分要超过80分,他至少要答对多少道题?如果设小明答对x道题,则他答错或不答的题数为20﹣x,根据题意得()A.5x﹣2(20﹣x)≥80B.5x﹣2(20﹣x)≤80C.5x﹣2(20﹣x)>80 D.5x﹣2(20﹣x)<80【答案】C【分析】设小明答对x道题,则答错或不答(20﹣x)道题,根据小明的得分=5×答对的题目数﹣2×答错或不答的题目数结合小明得分要超过80分,即可得出关于x的一元一次不等式.【详解】解:设小明答对x道题,则他答错或不答的题数为20﹣x,依题意,得:5x﹣2(20﹣x)>80.故选:C.【点睛】此题主要考查了一元一次不等式的应用,根据实际问题中的条件列不等式时,要注意抓住题目中的一些关键性词语,找出不等关系,列出不等式式是解题关键.5.不等式组31xx<⎧⎨≥⎩的解集在数轴上表示正确的是()A.B.C.D.【答案】C【分析】根据不等式组的解集的表示方法即可求解. 【详解】解:∵不等式组的解集为31x x <⎧⎨≥⎩ 故表示如下:故选:C . 【点睛】本题考查的是一元一次不等式组的解集的表示方法,熟知“同大取大;同小取小;大小小大中间找;大大小小找不到”的原则是解答此题的关键. 6.如果0b a <<,则下列哪个不等式是正确的( ) A .2b ab < B .2a ab >C .22b a ->-D .22b a >【答案】C 【分析】运用不等式的基本性质逐一判断即可. 【详解】 ∵0b a <<, ∴2b ab > , ∴A 不符合题意; ∵0b a <<, ∴2ab a > , ∴B 不符合题意; ∵0b a <<, ∴22b a ->- , ∴C 符合题意; ∵0b a <<, ∴22b a < , ∴D 不符合题意; 故选C .【点睛】本题考查了不等式的性质,熟练运用基本性质是解题的关键.7.如图,数轴上表示的解集是()A.﹣3<x≤2B.﹣3≤x<2 C.x>﹣3 D.x≤2【答案】A【分析】根据求不等式组的解集的表示方法,可得答案.【详解】解:由图可得,x>﹣3且x≤2∴在数轴上表示的解集是﹣3<x≤2,故选A.【点睛】本题考查了在数轴上表示不等式组的解集,不等式组的解集在数轴上的表示方法是:大大取大,小小取小,大小小大中间找,小小大大无解.8.能说明“若x>y,则ax>ay”是假命题的a的值是()A.3 B.2 C.1 D.1-【答案】D【分析】根据不等式的性质,等式两边同时乘以或者除以一个负数,不等式的符号改变,判断即可.【详解】解:“若x>y,则ax>ay”是假命题,则0a<,故选:D.【点睛】本题考查了不等式的基本性质,熟知不等式的三个基本性质是解本题的关键.二、填空题912x-x的取值范围为_______________.【答案】12x ≤且1x ≠- 【分析】根据二次根式和分式有意义的条件:被开方数大于等于0,分母不等于0,列不等式求解. 【详解】解:由题意得:120x -≥,且10x +≠ 解得:12x ≤且1x ≠- 故答案为:12x ≤且1x ≠- 【点睛】本题考查了分式有意义的条件和二次根式有意义的条件,掌握:分式有意义,分母不为0;二次根式的被开方数是非负数是解题的关键. 10.若m 与3的和是正数,则可列出不等式:___. 【答案】30m +> 【分析】根据题意列出不等式即可 【详解】若m 与3的和是正数,则可列出不等式30m +> 故答案为:30m +> 【点睛】本题考查了一元一次不等式的应用,理解题意是解题的关键.11.不等式组21054x x -≤⎧⎨+≥⎩的整数解是__________.【答案】-1、0 【分析】分别求出各不等式的解集,再求出其公共解集即可得出答案. 【详解】解:解不等式210x -≤, 得:12x ≤, 解不等式54x +≥, 得:1x ≥-,则不等式组的解集为112x ≤≤-, ∴不等式组的整数解为-1、0, 故答案为:-1、0. 【点睛】本题考查的是解一元一次不等式组,熟知“同大取大;同小取小;大小小大中间找;大大小小找不到”的法则是解题的关键.12.a 、b 、c 表示的数在数轴上如图所示,试填入适当的>”“<”或“=”.(1)3a +______3b +;(2)-a b ________0; (3)35a __________35b ;(4)2a -________2b -;(5)14a -________14b -;(6)a c ⋅_______b c ⋅; (7)a c -________b c -;(8)ab _______2b .【答案】> > > < < > > > 【分析】本题主要是根据不等式的性质:(1)不等式的两边同时加上或减去同一个数或式子,不等式的方向不改变; (2)不等式的两边同时乘或除以一个大于零的数或式子,不等号的方向不变; (3)不等式的两边同时乘或除以一个小于零的数或式子,不等号的方向改变. 据此可以对不等号的方向进行判断. 【详解】解:由数轴的定义得:a>0,b>0,c <0,a >b >c ,(1)不等式a >b 的两边同加上3,不改变不等号的方向,则3a +>3b +; (2)不等式a >b 的两边同减去b ,不改变不等号的方向,则a -b >b -b ,即a -b >0; (3)不等式a >b 的两边同乘以35,不改变不等号的方向,则35a >35b ;(4)不等式a >b 的两边同乘以-2,改变不等号的方向,则2a -<2b -;(5)不等式a >b 的两边同乘以-4,改变不等号的方向,则-4a <-4b ;不等式-4a <-4b 的两边同加上1,不改变不等号的方向,则14a -<14b -;(6)不等式a >b 的两边同乘以正数c ,不改变不等号的方向,则a c ⋅ > b c ⋅; (7)不等式a >b 的两边同减去c ,不改变不等号的方向,则a c ->b c -; (8)不等式a >b 的两边同乘以正数b ,不改变不等号的方向,则ab >2b .【点睛】本题主要是考查不等式的基本性质,熟练掌握不等式的三个性质的应用是解本题的关键,同时不等式的性质(3)是类似题型中考查的重点及易错点.13.不等式组53xx m<⎧⎨>+⎩有解,m的取值范围是______.【答案】m<2【分析】根据不等式组得到m+3<x<5,【详解】解:解不等式组53xx m<⎧⎨>+⎩,可得,m+3<x<5,∵原不等式组有解∴m+3<5,解得:m<2,故答案为:m<2.【点睛】本题主要考查了不等式组的计算,准确计算是解题的关键.14.如果a>b,那么﹣2﹣a___﹣2﹣b.(填“>”、“<”或“=”)【答案】<【分析】根据不等式的基本性质:不等式的两边乘(或除以)同一个负数,不等号的方向改变;不等式两边加上同一个数,不等式的方向不变.【详解】解:∵a>b,∴﹣a<﹣b,∴﹣2﹣a<﹣2﹣b,故答案为:<.【点睛】本题考查不等式的性质,熟练掌握不等式的基本性质是解题的关键.三、解答题15.解下列不等式:(1)5132x x -+>-;(2)1515x x -+≤-;(3)112135x x -<-;(4)(31)2x x x --≤+.【答案】(1)3x <;(2)152x ≥;(3)458x <;(4)13x ≥-. 【分析】根据解一元一次不等式的步骤以及不等式的基本性质,解一元一次不等式即可. 【详解】 (1)5132x x -+>- 去分母,5226x x -+>- 移项,合并同类项,3x ->- 化系数为1,3x <; (2)1515x x-+≤- 去分母,315x x -+≤- 移项,合并同类项,215x -≤- 化系数为1, 152x ≥; (3)112135x x -<-去分母,530153x x -<- 移项,合并同类项,845x < 化系数为1,458x <; (4)(31)2x x x --≤+ 去括号,312x x x -+≤+ 移项,合并同类项,31x -≤ 化系数为1,13x ≥-.【点睛】本题考查了解一元一次不等式,正确的计算是解题的关键. 16.解下列不等式组: (1)2151132513(1)x x x x -+⎧-≤⎪⎨⎪-<+⎩ (2)273(1)423133x x x x -<-⎧⎪⎨+≥-⎪⎩【答案】(1)12x -≤<;(2)1x ≥-.【分析】(1)(2)分别先根据一元一次不等式的解法分别求出每个不等式的解集,并将两个不等式的解集表示在同一数轴上,再利用不等式组的解集的确定方法:“同大取大;同小取小;大小小大中间找;大大小小无解”求解即可. 【详解】解:(1)()21511325131x x x x -+⎧-≤⎪⎨⎪-<+⎩①②,解不等式①,得1x ≥-. 解不等式②,得2x <.将不等式的解集在数轴上表示如图:所以,原不等式组的解集为12x -≤<.(2)()2731423133x x x x ⎧-<-⎪⎨+≥-⎪⎩①② 解不等式①,得4x ->. 解不等式②,得1x ≥-.将不等式的解集在数轴上表示如图:所以,原不等式组的解集为1x ≥-. 【点睛】本题考查的是解一元一次不等式组,正确求出每一个不等式解集是基础,熟知“同大取大;同小取小;大小小大中间找;大大小小无解了”的原则是解答此题的关键. 17.已知-x <-y ,用“<”或“>”填空: (1)7-x ________7-y . (2)-2x ________-2y . (3)2x ________2y . (4)23x _______23y .【答案】(1)<(2)<(3)>(4)>【分析】根据不等式的性质求解即可.(1)解:∵x y-<-,∴不等号两边都加7,依据不等式的性质1,得7-x<7-y.(2)解:∵x y-<-,∴不等号两边都乘以2,依据不等式的性质2,得-2x<-2y.(3)解:∵x y-<-,∴不等号两边都乘以-2;依据不等式的性质3,得2x>2y.(4)解:∵x y-<-,∴不等号两边都乘以23-,依据不等式的性质3,得23x>23y.故答案为:(1)<(2)<(3)>(4)>【点睛】本题考查了不等式的性质:1、把不等式的两边都加(或减去)同一个数或式子,不等号的方向不变;2、不等式两边都乘(或除以)同一个正数,不等号的方向不变;3、不等式两边都乘(或除以)同一个负数,不等号的方向改变.18.下列式子中,是一元一次不等式的有哪些?(1)3x+5=0;(2)2x+3>5;(3)384x<;(4)1x≥2;(5)2x+y≤8【答案】(2)、(3)是一元一次不等式【分析】一元一次不等式的定义主要由三部分组成:①不等式的左右两边分母不含未知数;②不等式中只含一个未知数;③未知数的最高次数是1,三个条件缺一不可,根据定义逐一判断即可.【详解】解:(1)是等式;(4)不等式的左边不是整式;(5)含有两个未知数,所以不是一元一次不等式,所以一元一次不等式有:(2)、(3)【点睛】本题考查的是一元一次不等式的识别,掌握一元一次不等式的定义是解本题的关键. 19.解不等式(组)(1)2151132x x -+-> (2)321125123x x x x -≥+⎧⎪+⎨-<-⎪⎩ 【答案】(1)1x -<;(2)不等式组的解集为83x ≤-. 【分析】(1)先去分母,再去括号,移项合并,系数化1即可;(2)分别解每个不等式,再取它们的公共解集即可.【详解】解:(1)2151132x x -+->, 去分母得()()2213516x x --+> ,去括号得421536x x --->,移项合并得 1111x ->,解得1x -<;(2)321125123x x x x -≥+⎧⎪⎨+-<-⎪⎩①②, 解不等式①得83x ≤-, 解不等式②得45x <, ∴不等式组的解集为83x ≤-. 【点睛】本题考查不等式的解法,不等式组的解法,掌握不等式的解法与步骤,不等式组的解法,特别是不等式组的解集取法,同大取大,同小取小,大小小大取中间,大大小小无解是解题关键.20.解不等式:(1)2(x ﹣1)﹣3(3x +2)>x +5.(2)221235x x +->-. 【答案】(1)138x <-(2)43x < 【分析】(1)去括号,移项合并同类项,求解不等式即可;(2)去分母,去括号,移项合并同类项,求解不等式即可.【详解】解:(1)去括号,得:2x ﹣2﹣9x ﹣6>x +5,移项,得:2x ﹣9x ﹣x >5+2+6,合并,得:﹣8x >13,系数化为1,得:138x <-; (2)去分母,得:5(2+x )>3(2x ﹣1)﹣30,去括号,得:10+5x >6x ﹣3﹣30,移项,得:5x ﹣6x >﹣3﹣30﹣10,合并同类项,得:﹣x >﹣43,系数化为1,得:x <43.【点睛】此题考查了一元一次不等式的求解,解题的关键是掌握一元一次不等式的求解步骤. 21.计算:解下列不等式(组),并把解集在数轴上表示出来.(1)6341213x x x x +≤+⎧⎪+⎨>-⎪⎩ (2)()31511242x x x x ⎧-<+⎪⎨-≥-⎪⎩ 【答案】(1)14x ≤<,数轴见解析;(2)723x -<≤,数轴见解析 【分析】分别求出每一个不等式的解集,根据口诀:同大取大、同小取小、大小小大中间找、大大小小找不到确定不等式组的解集,再将解集表示在数轴上即可.【详解】(1)634 1213x xxx+≤+⎧⎪⎨+>-⎪⎩①②解不等式①,得x≥1.解不等式②,得x<4.因此,原不等式组的解集为1≤x<4.在数轴上表示其解集如下:(2)()31511242x xxx⎧-<+⎪⎨-≥-⎪⎩①②.由①,得x>﹣2.由②,得x≤73.故此不等式组的解集为723x-<≤.在数轴上表示为,【点睛】本题考查了解一元一次不等式组,正确掌握一元一次不等式解集确定方法是解题的关键.22.列一元一次方程解应用题:某校七年级将进行广播操比赛,七年级(1)班准备在网上找商家将班徽制作成胸牌,下列图表是负责这项事务的同学了解到的信息及他们的对话:材料费(元/个)总设计费(元)甲商家10150乙商家12160(1)当制作多少个胸牌时,在甲、乙两个商家购买费用相同?(2)七年级(1)班应该如何根据本班定制胸牌数量选择不同的商家才更省钱?【答案】(1)当制作23个胸牌时,甲乙两个商家购买费用相同;(2)当七年级(1)班人数定制胸牌少于23个时,选择乙商家更省钱;当七年级(1)班人数定制胸牌多于23个时,选择甲商家更省钱;当制作23个胸牌时,甲乙两个商家购买费用相同.【分析】(1)根据题意设当制作x 个胸牌时,甲乙两个商家购买费用相同,依据所花费用相同列出方程,求解即可;(2)设根据七年级(1)班人数定制胸牌y 个,则选择甲方案花费为:100.915015y ⨯++乙方案花费为:121600.6y +⨯,根据题意分三种情况讨论即可.【详解】解:(1)设当制作x 个胸牌时,甲乙两个商家购买费用相同,根据题意可得:100.915015121600.6x x ⨯++=+⨯,解得:23x =,当制作23个胸牌时,甲乙两个商家购买费用相同;(2)设根据七年级(1)班人数定制胸牌y 个,则选择甲方案花费为:100.915015y ⨯++乙方案花费为:121600.6y +⨯,当100.915015121600.6y y ⨯++>+⨯,解得:23y <,当七年级(1)班人数定制胸牌少于23个时,选择乙商家更省钱;当100.915015121600.6y y ⨯++<+⨯,解得:23y >,当七年级(1)班人数定制胸牌多于23个时,选择甲商家更省钱;当100.915015121600.6y y ⨯++=+⨯,解得:23y =,当制作23个胸牌时,甲乙两个商家购买费用相同.【点睛】题目主要考查一元一次方程及一元一次不等式的应用,理解题意,列出相应方程是解题关键.23.现用甲、乙两种运输车将46吨救灾物资运往灾区,甲种车每辆载重5吨,乙种车每辆载重4吨,安排车辆不超过10辆,在每辆车都满载的情况下,甲种运输车至少需要安排多少辆.【答案】甲种运输车至少需要安排6辆【分析】设甲种运输车运输x 吨,则乙种运输车运输(46-x )吨,根据两种运输汽车不超过10辆建立不等式求出其解,就可以求出甲种车运输的吨数,从而求出结论.【详解】解:设甲种运输车运输x 吨,则乙种运输车运输(46-x )吨, 根据题意,得:4654x x -+≤10, 去分母得:4x +230-5x ≤200,-x ≤-30,x ≥30,则5x ≥6. 答:甲种运输车至少需要安排6辆.【点睛】本题考查了一元一次不等式的应用,关键是以运输车的总数不超过10辆作为不等量关系列方程求解.24.(1)解不等式:3x ﹣2≤5x ,并把解集在数轴上表示出来.(2)解不等式组2(2)313123x x x x -≤-⎧⎪+-⎨>+⎪⎩,并写出它的最大整数解. 【答案】(1)x ≥﹣1,数轴见解析;(2)733x -<≤,2 【分析】 (1)根据解一元一次不等式基本步骤:移项、合并同类项、系数化为1可得;(2)分别求出每一个不等式的解集,根据口诀:同大取大、同小取小、大小小大中间找、大大小小找不到确定不等式组的解集,进而即可求解.【详解】解:(1)移项,得:3x ﹣5x ≤2,合并同类项,得:﹣2x ≤2,系数化为1,得:x ≥﹣1,将不等式的解集表示在数轴上如下:(2)解不等式2(x﹣2)≤3﹣x,得:x≤73,解不等式13123+->+x x,得:x>﹣3,则不等式组的解集为﹣3<x≤73,∴其最大整数解为2.【点睛】本题主要考查解一元一次不等式以及不等式组,熟练掌握解不等式(组)的基本步骤是解题的关键.。
一元一次不等式(组)测试题(总分:150分 时间60分钟) 姓名 分数 一、选择题(每题4分,共40分)1.已知实数a b 、满足11a b +>+,则下列选项可能错误....的是( ) A .a b > B .22a b +>+ C .a b -<- D .23a b >2.下列不等式组中,解集是2<x <3的不等式组是( )A 、⎩⎨⎧>>23x xB 、⎩⎨⎧<>23x xC 、⎩⎨⎧><23x xD 、⎩⎨⎧<<23x x 3.如图,数轴上表示某不等式组的解集,则这个不等式组可能是( )A 、B 、C 、D 、 4.不等式组31025x x +>⎧⎨<⎩的整数解的个数是( ) A 、1个 B 、2个 C 、3个 D 、4个5.若6556x x -=-,则x 的取值范围是( )A.56x > B.56x < C.56x ≤ D.56x ≥ 6.在数轴上从左至右的三个数为a ,1+a ,-a ,则a 的取值范围是( ) A 、a <12 B 、a <0 C 、a >0 D 、a <-127. 方程|4x -8|+2(x-y-m )=0,当y >0时,m 的取值范围是( ) A .O <m <1 B .m≥2 C .m <2 D .m≤28.已知不等式:①1x >,②4x >,③2x <,④21x ->-,从这四个不等式中取两个,构成正整数解是2的不等式组是( )A 、①与②B 、②与③C 、③与④D 、①与④ 9.如果不等式组x a x b ≥⎧⎨≤⎩无解,那么不等式组⎩⎨⎧-<->b x a x 22的解集是( ) A.2-b <x <2-a B.b -2<x <a -2 C.2-a <x <2-b D.无解 10.关于x 的方程211x a x +=-的解是正数,则以的取值范围是( )A .a >-1B .a >-1且a≠0C .a <-1D .a <-1且a≠-2二、填空题(每题4分,共32分)11.不等式1732x ->的正整数解是 .12.已知“x 的3倍大于5,且x 的一半与1的差不大于2”,则x 的取值范围是 .13.不等式组20.53 2.52x x x -⎧⎨---⎩≥≥的解集是 . 14.不等式组15x x x >-⎧⎪⎨⎪<⎩≥2的解集是_________________15.已知不等式03≤-a x 的正整数解恰好是1、2、3,则a 的取值范围是___________。
(1)2X-4秋+2 与X為解集为3秋詬(2)2X-1 > 1与4-2X切解集为无解(3)3X+2 >5 与5-2 羽解集为 1 VX<2(4)X - 1 V 2 与2X+3 >2+X 解集为-1 V X V 3(5)X+3 > 1 与X + 2 (X-1 ) < 解集为-2 V X<(6)2X+1 <3 与X>-3 解集为1>-3(7)2X+5 > 1 与3X+7X <0 解集为 1 冰>2(8)2X-1 >X+1 与X+8 V4X-1 解集为X>3(9)1-2 (X-1) <5与2/ (3X-2) V X+1/2 解集为-1 V 3(10)2X<4+X 与X+2 V4X-1 解集为 1 V X<1(11)2-X > 0 与2/ (5X+1 ) +1 冯/ (2X-1 ) 解集为-1 «V 2(12)1-X V0 与2/ (X-2) V 1 解集为 1 V X V4(13)2-X V3与2-X为解集为2冰> 1(14)2X+10 >-5 与6X-7 羽0 解集为X> 17/6(15)6X+6 >8 与3X+10 V 5 解集为-(3/5) > X>-3(16)6X+6X24 与10X+ (1/2) X V -42 解集为无解(17)24X-20X >4 与8X+4X <24解集为 2 冰> 1(18)9X-5X V 8 与15X+5X >80 解集为无解(19)X+X < 与2X+ (1/2) X > 100 解集为无解(20)2011X-2012X W1 与2013X-2012X 羽解集为 1 秋(21)4X-X > 6 与10X+5X V 15 解集为无解(22)-5X-6X <22 与5X-9X ^24 解集为无解 (23) (1/5)X+ (1/5 ) X > 2/5 与X+10X > 22 解集为X > 2(24)55X+55X V 220 与66X+10X V 38 解集为X V 1/2(25)70X+1 <71 与53X-13X <40 解集为X <1(26)X+1 V 7与X-1 > 10解集为无解(27)5X+5 > 5 与2X+3X > 9 解集为X > 9/5 (28) 85X-5X V 8 与50X+30X V 5 解集为X V 1/16 (29) 2X <14 与6X V 6解集为X V 1(30)15X+15 ^30与6X-8X纽解集为-2冰羽(31)2X 羽60 与4X 冯16 解集为X%0 (32) 35X-27X > 136 与20X+20X V 800 解集为20 > X > 17(33)55X <165 与56X > 112 解集为 2 V X <5(34)20X+18X身6 与2X场解集为X缎(35)59X+X > 600 与55X+35X V 1350 解集为10 V X V 15(36)60X V 120 与5X+5X V 10 解集为X V 1(37)100X V 20X+1200 与2X V 30X+10 解集为X V 5/14 ((38)50X羽00与50X为0 解集为X羽(39)25X > 250 与26X > 26解集为X > 10 (40) 2X > 2与3X V -5解集为无解。
一元一次不等式组A卷:基础题一、选择题1.下列不等式组中,是一元一次不等式组的是()A.2,3 xx>⎧⎨<-⎩B.10,20xy+>⎧⎨-<⎩C.320,(2)(3)0xx x->⎧⎨-+>⎩D.320,11xxx->⎧⎪⎨+>⎪⎩2.下列说法正确的是()A.不等式组3,5xx>⎧⎨>⎩的解集是5〈x〈3 B.2,3xx>-⎧⎨<-⎩的解集是-3<x<-2C.2,2xx≥⎧⎨≤⎩的解集是x=2 D.3,3xx<-⎧⎨>-⎩的解集是x≠33.不等式组2,3482xx x⎧>-⎪⎨⎪-≤-⎩的最小整数解为( )A.-1 B.0 C.1 D.44.在平面直角坐标系中,点P(2x-6,x-5)在第四象限,则x的取值范围是()A.3〈x〈5 B.-3<x〈5 C.-5<x<3 D.-5〈x<-35.不等式组20,30xx->⎧⎨-<⎩的解集是()A.x〉2 B.x〈3 C.2〈x<3 D.无解二、填空题6.若不等式组2,xx m<⎧⎨>⎩有解,则m的取值范围是______.7.已知三角形三边的长分别为2,3和a,则a的取值范围是_____.8.将一筐橘子分给若干个儿童,如果每人分4个橘子,则剩下9个橘子;•如果每人分6个橘子,则最后一个儿童分得的橘子数将少于3个,由以上可推出,共有_____个儿童,分_____个橘子.9.若不等式组2,20x ab x->⎧⎨->⎩的解集是-1〈x<1,则(a+b)2006=______.三、解答题10.解不等式组2(2)4,(1) 10(2) 32x xx x-≤-⎧⎪+⎨-<⎪⎩11.若不等式组1,21x mx m<+⎧⎨>-⎩无解,求m的取值范围.12.为节约用电,某学校于本学期初制定了详细的用电计划.•如果实际每天比计划多用2度电,那么本学期用电量将会超过2530度;如果实际每天比计划节约了2度电,那么本学期用电量将会不超过2200度.若本学期的在校时间按110天计算,那么学校每天计划用电量在什么范围内?B卷:提高题一、七彩题1.(一题多变题)如果关于x的不等式(a-1)x〈a+5和2x<4的解集相同,则a•的值为______.(1)一变:如果(1)5,24a x ax-<+⎧⎨<⎩的解集是x〈2,则a的取值范围是_____;(2)二变:如果24,1,51xxaxa⎧⎪<⎪≥⎨⎪+⎪<-⎩的解集是1≤x〈2,则a的取值范围是____二、知识交叉题2.(科内交叉题)在关于x1,x2,x3的方程组121232133,,x x ax x ax x a+=⎧⎪+=⎨⎪+=⎩中,已知a1>a2>a3,请将x1,x2,x3按从大到小的顺序排列起来.3.(科外交叉题)设“○”、“□”、“△"分别表示三种不同的物体,用天平比较它们质量的大小,两次情况如图1-6-1所示,那么每个“○”、“□”、 “△”这样的物体,按质量从小到大的顺序排列为()A.○□△B.○△□ C.□○△D.△□○三、实际应用题4.某宾馆底层客房比二楼少5间,某旅游团有48人,若全安排在底层,每间4人,则房间不够;若每间5人,则有房间没有住满5人;若全安排在二楼,每间住3人,房间不够;每间住4人,则有房间没有住满4人,求该宾馆底层有客房多少间?四、经典中考题5.(2007,厦门,3分)小宝和爸爸,妈妈三人在操场上玩跷跷板,爸爸体重为69•千克,坐在跷跷板的一端,体重只有妈妈一半的小宝和妈妈一同坐在跷跷板的另一端,•这时爸爸的一端仍然着地.后来小宝借来一副质量为6千克的哑铃,•加在他和妈妈坐的一端,结果爸爸被跷起,那么小宝的体重可能是( )A.23。
一元一次不等式组
(总分:100分 时间45分钟) 姓名 分数
一、选择题(每题4分,共32分)
1、下列不等式组中,解集是2<x <3的不等式组是( )
A 、⎩⎨⎧>>23x x
B 、⎩⎨⎧<>23x x
C 、⎩⎨⎧><23x x
D 、⎩
⎨⎧<<23x x 2、在数轴上从左至右的三个数为a ,1+a ,-a ,则a 的取值范围是( )
A 、a <12
B 、a <0
C 、a >0
D 、a <-12
3、(2007年湘潭市)不等式组10235x x +⎧⎨+<⎩
≤,的解集在数轴上表示为( ) 4、不等式组31025x x +>⎧⎨<⎩
的整数解的个数是( ) A 、1个 B 、2个 C 、3个 D 、4个
5、在平面直角坐标系内,P (2x -6,x -5)在第四象限,则x 的取值范围为( )
A 、3<x <5
B 、-3<x <5
C 、-5<x <3
D 、-5<x <-3
6、(2007年南昌市)已知不等式:①1x >,②4x >,③2x <,④21x ->-,从这四个不等式中取两个,构成正整数解是2的不等式组是( )
A 、①与②
B 、②与③
C 、③与④
D 、①与④
7、如果不等式组x a x b >⎧⎨<⎩
无解,那么不等式组的解集是( ) A.2-b <x <2-a B.b -2<x <a -2 C.2-a <x <2-b D.无解
A B C D
8、方程组43283x m x y m
+=⎧⎨-=⎩的解x 、y 满足x >y ,则m 的取值范围是( ) A.910m > B. 109m > C. 1910m > D. 1019
m > 二、填空题(每题4分,共32分)
9、若y 同时满足y +1>0与y -2<0,则y 的取值范围是______________.
10、(2007年遵义市)不等式组3010
x x -<⎧⎨+⎩≥的解集是 .
11、不等式组20.53 2.52x x x -⎧⎨---⎩
≥≥的解集是 . 12、若不等式组⎩⎨⎧->+<1
21m x m x 无解,则m 的取值范围是 .
13、不等式组15x x x >-⎧⎪⎨⎪<⎩
≥2的解集是_________________
14、不等式组2x x a
>⎧⎨>⎩的解集为x >2,则a 的取值范围是_____________.
15、若不等式组2123x a x b -<⎧⎨->⎩
的解集为-1<x <1,那么(a +1)(b -1)的值等于________. 16、若不等式组4050
a x x a ->⎧⎨
+->⎩无解,则a 的取值范围是_______________.
三、解答题(每题9分,共36分)
17、解下列不等式组
(1)
328
212
x
x
-<
⎧
⎨
->
⎩
(2)
5724
3
1(1)0.5
4
x x
x
-≥-
⎧
⎪
⎨
--<
⎪⎩
(3)2x<1-x≤x+5 (4)
3(1)2(9)
34
14 0.50.2
x x
x x
-<+
⎧
⎪
-+
⎨
-≤-⎪⎩
18、(2007年滨州)解不等式组
3
(21)4
2
13
2 1.
2
x x
x
x
⎧
--
⎪⎪
⎨
+
⎪>-
⎪⎩
≤,
把解集表示在数轴上,并求出不等式
组的整数解.
19、求同时满足不等式6x-2≥3x-4和2112
1
32
x x
+-
-<的整数x的值.
20、若关于x、y的二元一次方程组
5
33
x y m
x y m
-=-
⎧
⎨
+=+
⎩
中,x的值为负数,y的值为正数,求
m的取值范围.
参考答案
1、C
2、D
3、C
4、B
5、A
6、D
7、A
8、D
9、1<y<2 10、-1≤x<3
11、-1
4
≤x≤4 12、m>2 13、2≤x<5 14、a<2 15、-6 16、a≤1
17、(1)310
23
x
<<(2)无解(3)-2<x<
1
3
(4)x>-3 18、2,1,0,-1
19、不等式组的解集是
27
310
x
≤<
-,所以整数x为0
20、-2<m<0.5。