铜合金材料对照-成分-性能
- 格式:doc
- 大小:363.00 KB
- 文档页数:14
青铜材料对照-成分-性能铜合金牌号以及对照列表ALLOY TYPE BSSTANDARDENSTANDARDSYMBOLASTM/UNS(NEARESTEQUIV ALENT)OTHER COMPA TABLEALLOYSAluminium Bronze CA104 CW307G CuAl10Ni C63200 / C63000NES833,BSB23(DTD197 A)Aluminium Bronze CA105 -CuAl10Fe3Ni7Mn2C63000-Aluminium Bronze AB1-C CC331G CuAl10Fe2-C C95400SAE68 Aluminium Bronze AB2-C CC333G CuAl10Fe5Ni5-C C95500SAE68B Leaded Bronze LB1-C CC496K CuSn7Pb15-C C93800SAE67Leaded Bronze LB2-C CC495K CuSn10Pb10-C C93700SAE64 / SAE797 / SAE792Leaded Bronze LB4-C CC494K CuSn5Pb9-C C93500SAE66Leaded Bronze LB5-C CC497K CuSn5Pb20-C C94100SAE94, SAE794 & SAE799.Leaded Bronze--CuSn7ZnPb C93200SAE660 Leaded Gunmetal LG2-C CC491K CuSn5Zn5Pb5-C C83600SAE40 Leaded Gunmetal LG4-C CC492K CuSn7Zn2Pb3-C C93400- Leaded phosphorbronzeLPB1-CuSn8Pb4Zn1 C93100-Leaded PhosphorBronzePB4-C CC480K CuSn10-C C92700-Nickel Gunmetal G3-CuSn7Ni5Zn3 B292-56-Phosphor Bronze PB101CW450K CuSn4C50900 C51100-Phosphor Bronze PB102CW451K CuSn5C51000NES838 Phosphor Bronze PB103CW452K CuSn6C51900-Phosphor Bronze PB104CW459K CuSn8C52100BSB24 DTD265A Phosphor Bronze DTD265A---BSB24, PB104 Tin Phosphor Bronze PB1-C CC481K CuSn11P-C B143SAE65 Tin Phosphor Bronze PB2-C CC483K CuSn12-C CC483K SAE65BAKIR ALA?IML ARI UNS BAKIRALA?IMLARID??ERCu(1)Al Sb Fe Pb Ni(2)P(3) Si S Sn Zn MnC86100CuZn25Al5 66,0-68,0 4,5-5,5 -2,0-4,0 .10----.10Rest 2,5-5.0C86200CuZn34Al2 60,0-66,0 3,0-4,9 -2,0-4,0 .20 1.0---.2022,0-28,0 2,5-5,0C86300CuZn25Al5SAE 430B60.0-66.0 5.0-7.5 - 2.0-4.0 - 1.0---.2022.0-28.0 2.5-5.0 C86500CuZn35Al1 55,0-60,0 0,5-1,5 -0,4-2,0 .40 1.0--- 1.036,0-42,0 1,0-1,5 C87800CuZn15Si480.0.15.05.15.15.20.013,8-4,2 -.2512,0-16,0 0,15C90500CuSn10Zn /Rg1086,0-89,0 .005.20.20.301.05.005.059,0-11,01,0-3,0 -C90700CuSn1088.0-90.0 .005.20.15.50.50.30.005.0510.0-12.0 .50-C90800CuSn12Rest .005.20.15.25.50.30.005.0511,0-13,0 .25-C91700 CuSn12Ni84.0-87.0 .005.20.20.25 1.2-2.0 .30.005.0511.3-12.5 .25-C92200CuSn6Zn4Pb2 86.0-90.0 .005.25.25 1.0-2.0 1.0.05.005.05 5.5-6.5 3.0-5.0 -C92500CuSn12Pb85.0-88.0 .005.25.30 1.0-1.5 .8-1.5.30.005.0510.0-12.0 .50-C92600CuSn10Zn86.0-88.5 .005.25.20.8-1.5.7.03.005.059.3-10.5 1.3-2.5 -C92700 CuSn12Pb86.0-89.0 .005.25.20 1.0-2.5 1.0.25.005.059.0-11.0.7-C92710 CuPb5Sn10 Rest 0,020,50,54,0-6,0 1,50,10,029,0-11,0 2.00,2 C9280078.0-82.0 .005.25.20 4.0-6.0 .8.05.005.0515.0-17.0 .8-C9290082.0-86.0 .005.25.20 2.0-3.2 2.8-4.0 .50.005.059.0-11.0.25-C93100CuSn7Pb Rest .005.25.252,0-5,0 1.0.005.056,5-8,5 2.0-C93200CuSn7ZnPb /RG-781.0-85.0 .005.35.20 6.0-8.0 1.0.15.005.08 6.3-7.5 1.0-4.0 -C9340082.0-85.0 .005.50.207.0-9.0 1.0.50.005.087.0-9.0 .8- C93500CuSn5Pb983,0-86,0 .005.30.208,0-10,0 1.0.05.005.084,3-6,0 2.0-C9360079.0-83.0 .005.55.2011.0-13.0 1.0.15.005.08 6.0-8.0 1.0-C93700CuPb10Sn78.0-82.0 .005.50.78.0-11.0.50.10.005.089.0-11.0.8-C93800CuPb15Sn75.0-79.0 .005.8.1513.0-16.0 1.0.05.005.08 6.3-7.5 .8-C93900CuPb15Sn76,5-79,5 .005.50.4014,0-18,0 .801,5.005.085,0-7,0 1,5-C9400072.0-79.0 .005.8.2518.0-22.0 1.0.50.005.08 4.5-6.5 1.0-C94100CuPb20Sn72.0-79.0 .005.8.2518.0-22.0 1.0.50.005.08 4.5-6.5 1.0-C9430067.0-72.0 .005.8.1523.0-27.0 1.0.08.005.08 4.5-6.0 .8-C94400Rest .005.80.159,0-12,0 1.0.05.005.087,0-9,0 .80-C94500Rem..005.8.1516.0-22.0 1.0.05.005.08 6.0-8.0 1,2-C9470085.0-90.0 .005.15.25.10 4.5-6.0 .05.005.05 4.5-6.0 1.0-2.5 .20 C9480084.0-89.0 .005.15.25.30-1.0 4.5-6.0 .05.005.05 4.5-6.0 1.0-2.5 .20 C94900CuAl10Fe79,0-81,0 .005.25.304,0-6,0 4,0-6,0 .05.005.084,0-6,0 4,0-6,0 .10 C95200CuAl10Fe86 8,5-9,5 -2,5-4,0 --------C9530086 9,0-11,0-0,8-1,5 --------C95400CuAl11Fe483.0 min10.0-11.5 - 3.0-5.0 -1,5-----.50 C95500CuAl11Ni78.0 min10.0-11.5 - 3.0-5.0 3.0-5.5 ----3,5 C9560088 6,0-8,0 -.25-1,8-3,2 ---C95700CuMn11Al8Fe3Ni371 7,0-8,5 -2,0-4,0 .031,5-3,0 --.10-11,0-14,0C95800CuAl10Ni79.0 min8.5-9.5 - 3.5-4.5 .03 4.0-5.0 -.10---0,8-1.5 -CuAl10Ni3Fe280,0-86,0 8,5-10,51,0-3,0 0,11,5-4,0 0,20,20,5 2.0-CuAl11Fe6Ni672,0-77,0 10,3-12,0 4,2-7,0 0,044,3-7,5 0,10,20,42,5C95900Rest 12,0-13,5 -3,0-5,0 .50-----1,5C8330092,0-94,0 --1,0-2,0 ----1,0-2,0 2,0-6,0 -C8340088,0-92,0 .005.250,250,50 1.00,03.0050,080,208,0-12,0-C83500CuSn6ZnNi 86,0-88,0 .0050,250,253,5-5,5 0,50-1.0,03.0050,085,5-6,5 1,0-2,5 -C83600CuSn5ZnPb /Rg584,0-86,0 .0050,250,34,0-6,0 1.00,05.0050,084,0-6,0 4,0-6,0 - C8380082,0-83,8 .0050,250,35,0-7,0 1.00,03.0050,083,3-4,2 5,0-8,0 -C8420078,0-82,0 .0050,250,42,0-3,0 0,81,5.0050,084,0-6,0 10,0-16,0 -C8440078,0-82,0 .0050,250,46,0-8,0 1.00,02.0050,082,3-3,57,0-10,0-C8450077,0-79,0 .0050,250,46,0-7,5 1.00,02.0050,082,0-4,0 10,0-14,0 -C8480075,0-77,0 .0050,250,45,5-7,0 1.00,02.0050,082,0-3,0 13,0-17,0 -C8520070,0-74,0 .0050,20,61,5-3,8 1.00,020,050,050,7-2,0 20,0-27,0 -C8540065,0-70,0 0,35-0,81,5-3,8 1.0-0,05-0,5-1,5 24,0-32,0 - C8550059,0-63,0 --0,20,20,2---0,2Rest 0,2 C8570058,0-64,0 0,55-0,70,8-1,5 1.0-0,05-0,5-1,5 32,0-40,0 -C8580057.00,550,050,51,50,50,010,250,051,531,0-41,0 0,25 -CuZn40Fe56,0-62,0 0,10,2-1,2 1.0 2.0.050,1 1.0Rest 2,5 -CuZn35Mn2Al1Fe157,0-65,0 0,5-2,5 0,5-2,0 0,5 3.00,1 1.0Rest 0,5-3,0-CuZn34Mn3Al2Fe155,0-66,0 1,0-3,0 0,050,5-2,5 0,3 3.00,030,10,3Rest 1,0-4,0铸造锡青铜的化学成分(GB/T1176-1987)合金牌号合金名称化学成分(%)锡锌铅磷镍铜ZCuSn3Zn8Pb6Ni13—8—6—1锡青铜 2.0~4.0 6.0~9.0 4.0~7.00.5~1.5其余ZCuSn3Zn11Pb43—11—4锡青铜2.0~4.09.0~13.0 3.0~6.0其余ZCuSn5Pb5Zn53—5—5锡青铜4.0~6.0 4.0~6.0 4.0~6.0其余ZCuSn10Pb1 10—1锡青铜9.0~11.5 0.5~1.0其余ZCuSn10Pb5 10—5锡青铜9.0~11.0 4.0~6.0其余ZCuSn10Zn2 10—2锡青铜9.0~11.0 1.0~3.0其余造锡青铜的力学性能(GB/T1176-1987)合金牌号铸造方法力学性能,不低于σb/MPa(kgf/mm2)σ0.2/MPa(kgf/mm2)δ5(%)硬度HBWZCuSn3Zn8Pb6Ni1S175(17.8)8590 J215(21.9)10685ZCuSn3Zn11Pb4S175(17.8)8590 J215(21.9)10590ZCuSn5Pb5Zn5S、J200(20.4)90(9.2)13590 Li、La250(25.5)100(10.2)13635ZCuSn10Pb1 S220(22.4)130(13.3)3785 J310(31.6)170(17.3)2885 Li 330(33.6)170(17.3)4885 La360(36.7)170(17.3)6885ZCuSn10Pb5 S195(19.9)10685 J245(25.0)10685ZCuSn10Zn2 S240(24.5)120(12.2)12685 J245(25.0)140(14.3)6785 Li、La270(27.5)140(14.3)7785 铸造锡青铜的主要特性和应用举例(GB/T1176-1987)合金牌号主要特性应用举例ZCuSn3Zn8Pb6Ni1耐磨性较好,易加工,铸造性能好,气密性较好、耐腐蚀,可在流动海水下工作在各种液体燃料以及海水、淡水和蒸汽(≤225℃)中工作的零件,压力不大于2.5MPa的阀门和管配件ZCuSn3Zn11Pb4铸造性能好,易加工,耐腐蚀海水、淡水、蒸汽中,压力不大于2.5MPa的管配件ZCuSn5Pb5Zn5耐磨性和耐蚀性好,易加工,铸造性能和气密性较好在较高负荷,中等滑动速度下工作的耐磨耐腐蚀零件,如轴瓦、衬套、缸套、活塞离合器、泵件压盖以及蜗轮等ZCuSn10Pb1 硬度高,耐磨性极好,不易产生咬死现象,有较好的铸造性能和切削加工性能,在大气和淡水中有良好的耐蚀性可用于高负荷(20MPa以下)和高滑动速度(8m/s)下工作的耐磨零件,如连杆、衬套、轴瓦、齿轮、蜗轮等ZCuSn10Pb5 耐腐蚀,特别对稀硫酸、盐酸和脂肪酸结构材料,耐蚀、耐酸的配件以及破碎机衬套、轴瓦ZCuSn10Zn2 耐蚀性、耐磨性和切削加工性能好,铸造性能好,铸件致密性较高,气密性较好在中等及较高负荷和小滑动速度下工作的重要管配件,以及阀、旋塞、泵体、齿轮、叶轮和蜗轮等铸造铝青铜的化学成分(GB/T1176-1987)合金牌号合金名称化学成分(%)镍铝铁锰铜ZCuAl8Mn13Fe38—13—3铝青铜7.0~9.0 2.0~4.012.0~14.5其余ZCuAl8Mn13Fe3Ni28—13—3—2铝青铜 1.8~2.57.0~8.5 2.5~4.011.5~14.0其余ZCuAl9Mn29—2铝青铜8.0~10.0 1.5~2.5其余ZCuAl9Fe4Ni4Mn29—4—4—2铝青铜 4.0~5.08.5~10.0 4.0~5.00.8~2.5其余ZCuAl10Fe310—3铝青铜8.5~11.0 2.0~4.0其余ZCuAl10Fe3Mn210—3—2铝青铜9.0~11.0 2.0~4.0 1.0~2.0其余铸造铝青铜的力学性能(GB/T1176-1987)合金牌号铸造方法力学性能,不低于σb/MPa(kgf/mm2)σ0.2/MPa(kgf/mm2)δ5(%)硬度HBWZCuAl8Mn13Fe3S600(61.2)270(27.5)151570J650(66.3)280(28.6)101665ZCuAl8Mn13Fe3Ni2S645(65.8)280(28.6)201570J670(68.3)310(31.6)181665ZCuAl9Mn2S390(39.8)20835 J440(44.9)20930ZCuAl9Fe4Ni4Mn2S630(64.3)250(25.5)161570ZCuAl10Fe3S490(50.0)180(18.4)13980J540(55.1)200(20.4)151080 Li、La540(55.1)200(20.4)151080 ZCuAl10Fe3Mn2S490(50.0)151080 J540(55.1)201175铸造铝青铜的主要特性和应用举例(GB/T1176-1987)合金牌号主要特性应用举例ZCuAl8Mn13Fe3具有很高的强度和硬度,良好的耐磨性能和铸造性能,合金致密性高,耐蚀好,作为耐磨件工作温度不大于400℃,可以焊接,不易钎焊适用于制造重型机械用轴套,以及要求强度高、耐磨、耐压零件,如法兰、阀体、泵体等ZCuAl8Mn13Fe3Ni2有很高的化学性能,在大气、淡水和海水中均有良好的耐蚀性,腐蚀疲劳强度高,铸造性能好,合金组织致密,气密性好,可以焊接,不易钎焊要求强度高耐腐蚀的重要铸件,如船舶螺旋桨,高压阀体,泵体,以及耐压、耐磨零件,如蜗轮、齿轮、法兰、衬套等ZCuAl9Mn2有高的力学性能,在大气、淡水和海水中耐蚀性好,铸造性能好,组织致密,气密性高,耐磨性好,可以焊接,不易钎焊耐蚀、耐磨零件,形状简单的大型铸件,,如衬套、齿轮、蜗轮,以及在250℃以下工作的管配件和要求气密性高的铸件,如增压器内气封ZCuAl9Fe4Ni4Mn2有很高的力学性能,在大气、淡水和海水中耐磨性好,铸造性能好,组织致密,气密性高,耐磨性好,不易钎焊,铸造性能尚好要求强度高,耐蚀性好的重要铸件,是制造船舶螺旋桨的主要材料之一,也可用做耐磨和400℃以下工作的零件,如轴承、齿轮、蜗轮,螺帽、法兰、阀体,导向套管ZCuAl10Fe3具有高的力学性能,耐磨性和耐蚀性能好,可以焊接,不易钎焊,大型铸件自700℃空冷可以防止变脆要求强度高,、耐磨、耐蚀的重要铸件,,如轴套、螺母、蜗轮以及250℃以下工作的管配件ZCuAl10Fe3Mn2具有高的力学性能和耐磨性,可热处理,高温下耐蚀性和抗氧化性能好,在大气、淡水和海水中耐蚀性好,可以焊接,不易钎焊,大型铸件自700℃空冷可以防止变脆要求强度高,耐磨,耐蚀的零件,如,齿轮,轴承、衬套、管嘴、以及耐热管配件等铅青铜的化学成分(GB/T1176-1987)合金牌号合金名称化学成分(%)基本元素杂质含量,不大于锡锌铅铜铁铝锑硅磷硫砷铋镍锡锌锰总和ZCuPb10Sn1010-10铅青铜9.0~11.0 —8.0~11.0其余0.25 0.01 0.50.01 0.05 0.10 —— 2.0— 2.0 0.2 1.0ZCuPb15Sn8 15-8铅青铜7.0~9.0—13.0~17.00.25 0.01 0.50.01 0.10 0.10 —— 2.0— 2.0 0.2 1.0 ZCuPb17Sn4Z n417-4-4铅青铜 3.5~5.0 2.0~6.014.0~20.00.40 0.05 0.30.02 0.05 ———————0.75ZCuPb20Sn5 20-5铅 4.0~6.0—18.0~23.00.25 0.01 0.75 0.01 0.10 0.10 —— 2.5— 2.0 0.2 1.0青铜ZCuPb3030铅青铜——27.0~33.00.50 0.01 0.20.02 0.08 —0.10 0.005— 1.0—0.3 1.0铸造铅青铜的力学性能(GB/T1176-1987)合金牌号铸造方法力学性能,不低于σb/MPa(kgf/mm2)σ0.2/MPa(kgf/mm2)δ5(%)硬度HBWZCuPb10Sn10S180(18.4)80(8.2)7635J220(22.4)140(14.3)5685 Li、La220(22.4)110(11.2)6685 ZCuPb15Sn8 S170(17.3)80(8.2)5590 J220(20.4)100(10.2)6635 Li、La220(20.4)100(10.2)8635ZCuPb17Sn4Zn4S150(15.3)5540 J175(17.5)7590ZCuPb20Sn5 S150(15.3)60(6.1)5440 J150(15.3)70(7.1)6540 La180(18.4)80(8.1)7540ZCuPb30J———245铸造铅青铜的主要特性和应用举例(GB/T1176-1987)合金牌号主要特性应用举例ZCuPb10Sn10润滑性能、耐磨性能和耐蚀性能好,适合用作双金属铸造材料表面压力高,又存在侧压力的滑动轴承,如轧辗、车辆用轴承、负荷峰值60MPa的受冲击的零件,以及最高峰值达100MPa的内燃机双金属轴瓦,以及活塞销套、摩擦片等ZCuPb15Sn8 在缺乏润滑剂和用水质润滑剂条件下,滑动性和自润滑性能好,易切削,铸造性能差,对稀硫酸耐蚀性能好表面压力高,又有侧压力的轴承,可用来制造冷轧机的铜冷却管,耐冲击负荷达50MPa的零件,内燃机的双金属轴瓦,主要用于最大负荷达70MPa的活塞销套,耐酸配件ZCuPb17Sn4Zn4耐磨性和自润滑性能好,易切削,铸造性能差一般耐磨件,高滑动速度的轴承等ZCuPb20Sn5 在较高的滑动性能,在缺乏润滑介质和以水为介质时有特别好的自润滑性能适用于双金属铸造材料,耐硫酸腐蚀,易切削,铸造性能差高滑动速度的轴承,及破碎机、水泵、冷轧机轴承,负荷达70MPa的活塞销套ZCuPb30有良好的自润滑性,易切削,铸造性能差,易产生比重偏析要求高滑动速度的双金属轴瓦,减磨零件等铸造黄铜的化学成分(GB/T1176-1987)合金牌号合金名称化学成分(%)锡锌铅磷镍铝铁锰硅铜ZCuZn3838黄铜其余60.0~63.0ZCuZn25Al6Fe3Mn325-6-3-3铝黄铜其余 4.5~7.0 2.0~4.0 1.5~4.060.0~66.0ZCuZn26Al4Fe3Mn326-4-3-3铝黄铜其余 2.5~5.0 1.5~4.0 1.5~4.060.0~66.0ZCuZn31Al231-2铝黄铜其余 2.0~3.066.0~68.0 ZCuZn35Al2Mn2Fe135-2-2-1铝黄铜其余0.5~2.5 0.5~2.00.1~3.057.0~65.0ZCuZn38Mn2Pb2 38-2-2锰黄铜其余 1.5~2.5 1.5~2.557.0~60.0 ZCuZn40Mn240-2锰黄铜其余1.0~2.057.0~60.0 ZCuZn40Mn3Fe1 40-3-1锰黄铜其余0.5~1.5 3.0~4.053.0~58.0 ZCuZn33Pb2 33-2铅黄铜其余 1.0~3.063.0~67.0 ZCuZn40Pb2 40-2铅黄铜其余0.5~2.50.2~0.858.0~63.0 ZCuZn16Si416-9硅黄铜其余2.5~4.5 79.0~81.0铸造铅青铜的力学性能(GB/T1176-1987)合金牌号铸造方法力学性能,不低于σb/MPa(kgf/mm2)σ0.2/MPa(kgf/mm2)δ5(%)硬度HBWZCuPb10Sn10S180(18.4)80(8.2)7635J220(22.4)140(14.3)5685 Li、La220(22.4)110(11.2)6685 ZCuPb15Sn8 S170(17.3)80(8.2)5590 J220(20.4)100(10.2)6635 Li、La220(20.4)100(10.2)8635ZCuPb17Sn4Zn4S150(15.3)5540 J175(17.5)7590ZCuPb20Sn5 S150(15.3)60(6.1)5440 J150(15.3)70(7.1)6540 La180(18.4)80(8.1)7540ZCuPb30J———245铸造铅青铜的主要特性和应用举例(GB/T1176-1987)合金牌号主要特性应用举例ZCuPb10Sn10润滑性能、耐磨性能和耐蚀性能好,适合用作双金属铸造材料表面压力高,又存在侧压力的滑动轴承,如轧辗、车辆用轴承、负荷峰值60MPa的受冲击的零件,以及最高峰值达100MPa的内燃机双金属轴瓦,以及活塞销套、摩擦片等ZCuPb15Sn8 在缺乏润滑剂和用水质润滑剂条件下,滑动性和自润滑性能好,易切削,铸造性能差,对稀硫酸耐蚀性能好表面压力高,又有侧压力的轴承,可用来制造冷轧机的铜冷却管,耐冲击负荷达50MPa的零件,内燃机的双金属轴瓦,主要用于最大负荷达70MPa的活塞销套,耐酸配件ZCuPb17Sn4Zn4耐磨性和自润滑性能好,易切削,铸造性能差一般耐磨件,高滑动速度的轴承等ZCuPb20Sn5 在较高的滑动性能,在缺乏润滑介质和以水为介质时有特别好的自润滑性能适用于双金属铸造材料,耐硫酸腐蚀,易切削,铸造性能差高滑动速度的轴承,及破碎机、水泵、冷轧机轴承,负荷达70MPa的活塞销套ZCuPb30有良好的自润滑性,易切削,铸造性能差,易产生比重偏析要求高滑动速度的双金属轴瓦,减磨零件等铸造黄铜的化学成分(GB/T1176-1987)合金牌号合金名称化学成分(%)锡锌铅磷镍铝铁锰硅铜ZCuZn3838黄铜其余60.0~63.0ZCuZn25Al6Fe3Mn325-6-3-3铝黄铜其余 4.5~7.0 2.0~4.0 1.5~4.060.0~66.0ZCuZn26Al4Fe3Mn326-4-3-3铝黄铜其余 2.5~5.0 1.5~4.0 1.5~4.060.0~66.0ZCuZn31Al231-2铝黄铜其余 2.0~3.066.0~68.0 ZCuZn35Al2Mn2Fe135-2-2-1铝黄铜其余0.5~2.5 0.5~2.00.1~3.057.0~65.0ZCuZn38Mn2Pb2 38-2-2锰黄铜其余 1.5~2.5 1.5~2.557.0~60.0 ZCuZn40Mn240-2锰黄铜其余1.0~2.057.0~60.0 ZCuZn40Mn3Fe1 40-3-1锰黄铜其余0.5~1.5 3.0~4.053.0~58.0 ZCuZn33Pb2 33-2铅黄铜其余 1.0~3.063.0~67.0 ZCuZn40Pb2 40-2铅黄铜其余0.5~2.50.2~0.858.0~63.0 ZCuZn16Si416-9硅黄铜其余2.5~4.5 79.0~81.0铸造黄铜的力学性能(GB/T1176-1987)合金牌号铸造方法力学性能,不低于σb/MPa(kgf/mm2)σ0.2/MPa(kgf/mm2)δ5(%)硬度HBWZCuZn38S295(30.0)30590J295(30.0)30685ZCuZn25Al6Fe3Mn3S725(73.9)380(38.7)101570 J740(75.5)400(40.8)71665 Li、La740(75.5)400(40.8)71665 ZCuZn26Al4Fe3Mn3S600(61.2)300(30.6)181175 J600(61.2)300(30.6)181275 Li、La600(61.2)300(30.6)181275ZCuZn31Al2S295(30.0)12785 J390(39.8)15885ZCuZn35Al2Mn2Fe1S450(45.9)170(17.3)20980 J475(48.4)200(20.4)181080 Li、La475(48.4)200(20.4)181080ZCuZn38Mn2Pb2 S245(25.0)10685 J345(35.2)18785ZCuZn40Mn2S345(35.2)20785 J390(39.8)25885ZCuZn40Mn3Fe1 S440(44.9)18980 J490(50.0)151080 ZCuZn33Pb2 S180(18.4)70(7.1)12490ZCuZn40Pb2 S220(22.4)15785 J280(28.6)120(12.2)20885ZCuZn16Si4S345(35.2)15885 J390(39.8)20980铸造黄铜的化学成分(GB/T1176-1987)合金牌号合金名称化学成分(%)锡锌铅磷镍铝铁锰硅铜ZCuZn3838黄铜其余60.0~63.0ZCuZn25Al6Fe3Mn325-6-3-3铝黄铜其余 4.5~7.0 2.0~4.0 1.5~4.060.0~66.0ZCuZn26Al4Fe3Mn326-4-3-3铝黄铜其余 2.5~5.0 1.5~4.0 1.5~4.060.0~66.0ZCuZn31Al231-2铝黄铜其余 2.0~3.066.0~68.0ZCuZn35Al2Mn2Fe135-2-2-1铝黄铜其余0.5~2.5 0.5~2.00.1~3.057.0~65.0ZCuZn38Mn2Pb2 38-2-2锰黄铜其余 1.5~2.5 1.5~2.557.0~60.0 ZCuZn40Mn240-2锰黄铜其余1.0~2.057.0~60.0 ZCuZn40Mn3Fe1 40-3-1锰黄铜其余0.5~1.5 3.0~4.053.0~58.0 ZCuZn33Pb2 33-2铅黄铜其余 1.0~3.063.0~67.0 ZCuZn40Pb2 40-2铅黄铜其余0.5~2.50.2~0.858.0~63.0 ZCuZn16Si416-9硅黄铜其余2.5~4.5 79.0~81.0铸造黄铜的力学性能(GB/T1176-1987)合金牌号铸造方法力学性能,不低于σb/MPa(kgf/mm2)σ0.2/MPa(kgf/mm2)δ5(%)硬度HBWZCuZn38S295(30.0)30590 J295(30.0)30685ZCuZn25Al6Fe3Mn3S725(73.9)380(38.7)101570 J740(75.5)400(40.8)71665 Li、La740(75.5)400(40.8)71665 ZCuZn26Al4Fe3Mn3S600(61.2)300(30.6)181175 J600(61.2)300(30.6)181275 Li、La600(61.2)300(30.6)181275ZCuZn31Al2S295(30.0)12785 J390(39.8)15885ZCuZn35Al2Mn2Fe1S450(45.9)170(17.3)20980 J475(48.4)200(20.4)181080 Li、La475(48.4)200(20.4)181080ZCuZn38Mn2Pb2 S245(25.0)10685 J345(35.2)18785ZCuZn40Mn2S345(35.2)20785 J390(39.8)25885ZCuZn40Mn3Fe1 S440(44.9)18980 J490(50.0)151080 ZCuZn33Pb2 S180(18.4)70(7.1)12490ZCuZn40Pb2 S220(22.4)15785 J280(28.6)120(12.2)20885ZCuZn16Si4S345(35.2)15885 J390(39.8)20980铸造黄铜的主要特性和应用举例(GB/T1176-1987)合金牌号主要特性应用举例ZCuZn38具有优良的铸造性能和较高的力学性能,切削加工性能好,可以焊接,耐蚀性较好,有应力腐蚀开裂倾向一般结构件和耐蚀零件,如法兰,阀座,趾甲、手柄和螺母等ZCuZn25Al6Fe3Mn3有很高的力学性能,铸造性能良好,耐蚀性较好,有应力腐蚀开裂倾向,可以焊接适用高强、耐磨零件,如桥梁支承板、螺母、螺杆、耐磨板、滑块和蜗轮等ZCuZn26Al4Fe3Mn3有很高的力学性能,铸造性能良好,在空气、淡水、和海水中耐蚀性较好,可以焊接要求强度高、耐蚀零件ZCuZn31Al2铸造性能良好,在空气、淡水、和海水中耐蚀性较好,,易切削,可以焊接适用于压力铸造,如电机、仪表等压铸件以及造船和机械制造业的耐蚀零件ZCuZn35Al2Mn2Fe1具有高的力学性能和良好的铸造性能,在大气、淡水、海水中有较好的耐蚀性,切削性能好,可以焊接管路配件和要求不高的耐磨件ZCuZn38Mn2Pb2 有较高的力学性能和耐蚀性、耐磨性较好,切削性能良好一般用途的结构件、船舶、仪表等使用的外型简单铸件,如套筒、衬套、轴瓦、滑块等ZCuZn40Mn2有较高的力学性能和耐蚀性,铸造性能好,受热时组织稳定在空气、淡水、海水、蒸汽(小于300℃)和各种液体燃料中工作的零件和阀体、阀杆、泵、管接头,以及需要浇注巴氏合金和镀锡零件等ZCuZn40Mn3Fe1 有高的力学性能,良好的铸造性能和切削加工性能,在空气、淡水、和海水中耐蚀性较好,有应力腐蚀开裂倾向耐海水腐蚀的零件,以及300℃以下工作的管配件,制造船舶螺旋桨等大型铸件ZCuZn33Pb2 结构材料,给水温度为90℃时抗氧化性能好,电导率约为10~14MS/m煤气和给水设备的壳体、机器制造业、电子技术、精密仪器和光学仪器的部分构件配件ZCuZn40Pb2 有好的铸造性能和耐磨性,切削加工性能好,耐蚀性能好,在海水中有应力腐蚀倾向一般用途的耐磨、耐蚀零件,如轴套、齿轮等ZCuZn16Si4具有较好的力学性能和良好的耐蚀性,铸造性能好,流动性高,铸件组织致密,气密性好接触海水工作的管配件以及水泵、叶轮、旋塞和在空气、淡水、油、燃料,以及工作压力在4.5MPa和在250℃以下蒸汽中工作的铸件。
cusn10pb10铜合金材料参数Cusn10pb10铜合金是一种常用的铜基合金材料。
它由铜、锡和铅组成,具有良好的机械性能和耐蚀性,广泛应用于各个领域。
本文将从材料参数、物理性能、机械性能和应用领域等方面介绍Cusn10pb10铜合金。
一、材料参数Cusn10pb10铜合金的化学成分为10%锡、10%铅和80%铜。
其中,锡的添加可以提高合金的硬度和耐磨性,铅的添加则有助于提高合金的可铸性和润滑性。
此外,合金中的铜具有良好的导电性和导热性,使得Cusn10pb10铜合金在电子和电气行业有着广泛的应用。
二、物理性能Cusn10pb10铜合金具有良好的物理性能。
它的密度约为8.8g/cm³,比铝略高,比钢略低。
合金的熔点约为900℃,热膨胀系数为17×10-6/℃。
此外,Cusn10pb10铜合金具有良好的导电性和导热性,是一种优良的导电材料。
三、机械性能Cusn10pb10铜合金具有良好的机械性能。
在室温下,合金的抗拉强度约为200-250MPa,屈服强度约为120-180MPa。
此外,合金还具有较高的硬度和耐磨性,适用于制作耐磨零件和摩擦副。
四、应用领域Cusn10pb10铜合金由于其优异的性能,在各个领域都有广泛的应用。
首先,在船舶制造中,Cusn10pb10铜合金常用于制作铜合金螺旋桨和轴承等耐蚀零件。
其次,在电子和电气行业,合金常用于制作电子接触件、导线和电缆等导电材料。
此外,Cusn10pb10铜合金还广泛应用于汽车制造、机械制造和化工等领域。
Cusn10pb10铜合金是一种常用的铜基合金材料,具有良好的机械性能和耐蚀性。
它的化学成分为10%锡、10%铅和80%铜,具有良好的物理性能和机械性能。
此外,Cusn10pb10铜合金在船舶制造、电子和电气行业、汽车制造等领域有着广泛的应用。
随着科技的不断发展,Cusn10pb10铜合金的应用前景将更加广阔,为各个领域提供更多的解决方案和创新。
铜合金tm06规格书
铜合金TM06是一种常见的铜合金材料,常用于制造工业零部件和机械配件。
以下是TM06铜合金的规格书:
1. 化学成分:
铜(Cu)含量,约为90-94%。
锡(Sn)含量,约为5-8%。
锌(Zn)含量,约为1-3%。
少量的其他元素如铅(Pb)、镍(Ni)等。
2. 机械性能:
抗拉强度,约为400-600 MPa.
屈服强度,约为200-400 MPa.
延伸率,约为10-25%。
硬度,约为80-120 HB.
3. 热处理:
TM06铜合金可以进行热处理,常见的热处理方法包括固溶处理和时效处理。
固溶处理温度,约为700-800°C,保温时间,约为1-2小时。
时效处理温度,约为300-400°C,保温时间,约为2-4小时。
4. 特性和应用:
TM06铜合金具有良好的耐蚀性和抗磨损性能。
由于其高强度和良好的耐磨性,TM06铜合金常用于制造轴承、齿轮、阀门、管件等机械零部件。
TM06铜合金还具有良好的导热性和导电性,因此在电子器件、电气设备等领域也有广泛应用。
总结,TM06铜合金是一种具有高强度、良好耐蚀性和抗磨损性能的铜合金材料。
它的化学成分包括铜、锡和锌,具有一定的机械性能和热处理特性。
由于其优异的性能,TM06铜合金在制造工业零部件和机械配件,以及电子器件和电气设备等领域有广泛应用。
c17300材料标准一、材料标准范围C17300材料标准涵盖了铜合金C17300的化学成分,机械性能,加工性能,热处理和表面处理等要求。
这些要求是根据客户的需求和使用环境等因素制定的。
二、化学成分C17300铜合金的化学成分如下表所示:元素|重量百分比-|-铜(Cu)|余量铍(Be)|1.85-2.10铝(Al)|0.20-0.6铁(Fe)|0.05镍(Ni)|0.05硅(Si)|0.20锰(Mn)|0.05锌(Zn)|0.05铬(Cr)|0.05铟(In)|0.15-0.50铅(Pb)|0.05磷(P)|0.015三、机械性能C17300材料标准规定了铜合金C17300的机械性能要求,包括拉伸强度、屈服强度、延伸率和硬度等指标。
在不同的条件下,这些指标的要求也有所不同。
四、加工性能C17300铜合金有很好的加工性能,可以通过各种加工方法,如冷加工、热加工等,来制造各种零部件和产品。
C17300材料标准中也包含了该材料的加工性能要求,如可锻性、可焊性、可切削性等。
五、热处理C17300铜合金可以通过热处理来改善其力学和物理性能,如增加强度和硬度等。
C17300材料标准也规定了该材料的热处理要求,如退火、时效等处理方法,以及处理过程中的温度、时间等参数。
六、表面处理七、应用领域C17300铜合金具有优异的力学性能和加工性能,在航空航天、汽车、电子、船舶、舞台、音响等领域广泛应用。
例如制造航空零部件、汽车传动轴、电子连接器等。
八、结论九、质量保证C17300材料标准规定了该材料在进行各种加工和应用时,需要符合相应的质量要求,如尺寸精度、表面质量、力学性能等。
生产商应该采用优质原材料,并严格遵循生产工艺流程,以确保产品的质量达到标准要求。
C17300材料标准还规定了产品的检测要求,包括化学成分检测、力学性能检测、表面质量检测等,以确保产品的质量稳定可靠。
生产商应该建立相应的检测体系和检测流程,对产品进行全面的检测和质量控制。
铜及铜合⾦系列C36000铅黄铜C36000延展性好,深冲性能好。
应⽤于钟表零件、汽车、拖拉机及⼀般机器零件。
铅黄铜切削加⼯性能优良,有⾼的减摩性能,⽤于钟表结构件及汽车拖拉机零件。
C36000化学成分:锌(Zn)余量,铅(Pb)2.4~3.0,铝(Al)≤0.5,铁(Fe)≤0.10,锑(Sb)≤0.005,磷(P)≤0.01,铋(Bi)≤0.002,铜(Cu)62.0~65.0,杂质总和%≤0.75ANK20⽆氧红铜产品说明:⽆氧红铜(Oxygen-free copper)型号:ANK-20 Madel:ANK-20标准:JIS-C1020P制造⼯艺:冷拔/冷轧/热轧产品特点:结构致密均匀,⽆⽓孔,砂眼,纯度⾼损耗⼩,导电导热延伸性能均佳,含氧量低于0.002%,性能优越,是精密模具放电加⼯的最佳之选.产品应⽤:适⽤于各种⾼精密模具的放电加⼯材料或⾼压电⽓开关等电器配件相关参数:硬度为HV86-102导电率⼤于等于59ms/m⽐重约8.9g/cm3提供板材、棒材、异型件加⼯ANK570钨铜合⾦钨铜合⾦(Tungsten copper)型号:ANK-5-70(ANK-是型号70表⽰钨含量约为70%) Model:ANK-5-70产品特性:铜钨合⾦综合铜和钨的优点,⾼强度/⾼⽐重/耐⾼温/耐电弧烧蚀/导电电热性能好/加⼯性能好,ANK钨铜采⽤⾼质量钨粉及⽆氧铜粉,应⽤等静压成型(⾼温烧结账-渗铜,保证产品纯度及准确配⽐,组织细密,性能优异.)提供板材、棒材、触点材、焊轮、电⼦封装⽚、异型件产品应⽤:应⽤于⾼硬度材料及溥⽚电极放电加⼯,电加⼯产品表⾯光洁度⾼,精度⾼,损耗低,有效节约材料。
有钨60/钨70/钨85/钨90可供选择。
主要参数:密度G/cm3(13.9)抗拉强度Mpa(≥680 )硬度HV(≥186 )硬度软化温度℃(≥1000)导电率IACS(%)(≥42 )热导率W/mk(247 )库存板、棒材供客户选择CuCrZr铬锆铜铬锆铜(CuCrZr)化学成分(质量分数)%( Cr:0.25-0.65, Zr:0.08-0.20)硬度(HRB78-83)导电率 43ms/m 软化温度550℃特点:具有较⾼的强度和硬度,导电性和导热性,耐磨性和减磨性好,经时效处理后硬度、强度、导电性和导热性均显著提⾼,易于焊接。
hpb58-3铜棒标准导言:HPB58-3铜棒是一种具有良好耐热性能和机械性能的合金材料,广泛应用于机械制造、汽车制造、航空、化工等领域。
本文将详细介绍HPB58-3铜棒的标准,包括化学成分、物理性能、机械性能、加工工艺等方面。
一、化学成分HPB58-3铜棒的化学成分应符合以下要求:铜(Cu):余量铅(Pb):0.9~1.3%锌(Zn):余量锡(Sn):适量杂质(总计):≤0.3%其他:≤0.15%二、物理性能1.密度:HPB58-3铜棒的密度约为8.45g/cm³,为常见材料中的较高值。
2.熔点:HPB58-3铜棒的熔点约为1083℃,属于较低的熔点材料。
3.热导率:HPB58-3铜棒的热导率较高,约为390W/(m·K),具有良好的导热性能。
4.线膨胀系数:HPB58-3铜棒的线膨胀系数约为16.2×10-6/℃,在温度变化时有良好的稳定性。
三、机械性能1.抗拉强度:HPB58-3铜棒的抗拉强度为≥585MPa,在铜合金中属于较高值,具有较好的强度。
2.屈服强度:HPB58-3铜棒的屈服强度为≥285MPa,表明该材料在受力下具有良好的表现。
3.延伸率:HPB58-3铜棒的延伸率为≥30%,表示该材料具有较好的延展性能。
4.断裂韧性:HPB58-3铜棒的断裂韧性较好,不易发生断裂,具有一定的韧性。
四、加工工艺HPB58-3铜棒可以通过多种方法进行加工,如铣削、车削、钻孔、铆接等。
由于其良好的可加工性能,可以满足不同领域的要求。
1.热加工性:HPB58-3铜棒具有较好的热加工性,可以通过热轧、热挤压等方法进行加工,适用于加工成板材、管材等形状。
2.冷加工性:HPB58-3铜棒的冷加工性也较好,可以通过冷拔、冷轧等方法进行加工,适用于加工成线材、棒材等形状。
总结:HPB58-3铜棒是一种具有良好耐热性能和机械性能的合金材料,广泛应用于机械制造、汽车制造、航空、化工等领域。
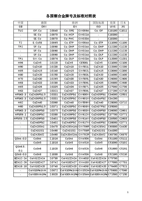
各国铜合金牌号及标准对照表
一、铅黄铜牌号对照表
二、普通黄铜牌号对照表
常用铜合金牌号化学成分--中国牌号一、铅黄铜系列
二、普通黄铜系列
三、紫铜系列
常用铜合金牌号化学成分--日本牌号一、铅黄铜系列
二、普通黄铜系列
三、紫铜系列
常用铜合金牌号化学成分--德国牌号一、铅黄铜系列
二、普通黄铜系列
三、紫铜系列
常用铜合金牌号化学成分--德国牌号一、铅黄铜系列
二、普通黄铜系列
三、紫铜系列
常用铜合金牌号化学成分--美国牌号一、铅黄铜系列
二、普通黄铜系列
三、紫铜系列
常用铜合金牌号化学成分--英国牌号一、铅黄铜系列
二、普通黄铜系列
三、紫铜系列
英国标准化学成分对照表标准号:BSG017-1981
欧标材质标准(EN12164)化学成份。
CuZn35Pb1 (CW600N)铜合金力学性能化学成分介绍-绿兴金属提供牌号:CuZn35Pb1 (CW600N)CuZn35Pb1 (CW600N)化学成分:品牌:绿兴金属规格:板,棒,线,带,管,异形材料,毛细管Cu:62.5-64Al:0.05Fe:0.1Ni:0.3Pb:0.9-1.6Sn:0.1Zn:余量CuZn35Pb1 (CW600N)力学性能用途:相关性能和了解更多加工性能可以百度绿兴金属找到我们。
铜合金(copperalloy)以纯铜为基体加入一种或几种其他元素所构成的合金。
纯铜呈紫红色﹐又称紫铜。
纯铜密度为8.96﹐熔点为1083℃﹐具有优良的导电性﹑导热性﹑延展性和耐蚀性。
深圳市绿兴金属有限公司成立于2008年,位于深圳市龙岗区龙岗大道建材市场,占地面积40多亩,公司注册资金1000万元,是一家集生产与销售一体的公司。
绿兴金属公司目前主要经营进口及国产优质硅青铜,紫铜,锡青铜,无氧铜,铍铜,铍青铜,铝青铜,碲铜,白铜,钨铜,磷铜,铅黄铜,合金铝,纯铝、透气钢,钛合金等金属原材料。
材料规格分为以下几大总类:薄板,中厚板,棒,线,带,箔,管,扁条,六角棒,六角管,方棒,方通。
主要用于制作发电机﹑母线﹑电缆﹑开关装置﹑变压器等电工器材和热交换器﹑管道﹑太阳能加热装置的平板集热器等导热器材。
常用的铜合金分为黄铜﹑青铜﹑白铜3大类。
铜合金种类:1、白铜以镍为主要添加元素的铜合金。
铜镍二元合金称普通白铜﹔加有锰﹑铁﹑锌﹑铝等元素的白铜合金称复杂白铜。
工业用白铜分为结构白铜和电工白铜两大类。
结构白铜的特点是机械性能和耐蚀性好﹐色泽美观。
这种白铜广泛用於制造精密机械﹑眼镜配件、化工机械和船舶构件。
电工白铜一般有良好的热电性能。
锰铜﹑康铜﹑考铜是含锰量不同的锰白铜﹐是制造精密电工仪器﹑变阻器﹑精密电阻﹑应变片﹑热电偶等用的材料。
黄铜是由铜和锌所组成的合金。
如果只是由铜、锌组成的黄铜就叫作普通黄铜。
铸造锡青铜的化学成分(GB/T1176-1987)
铸造锡青铜的力学性能(GB/T1176-1987)
铸造锡青铜的主要特性和应用举例(GB/T1176-1987)
铸造铝青铜的化学成分(GB/T1176-1987)
铸造铝青铜的力学性能(GB/T1176-1987)
铸造铝青铜的主要特性和应用举例(GB/T1176-1987)
铅青铜的化学成分(GB/T1176-1987)
铸造铅青铜的力学性能(GB/T1176-1987)
铸造铅青铜的主要特性和应用举例(GB/T1176-1987)
铸造黄铜的化学成分(GB/T1176-1987)
铸造铅青铜的力学性能(GB/T1176-1987)
铸造铅青铜的主要特性和应用举例(GB/T1176-1987)
铸造黄铜的化学成分(GB/T1176-1987)
铸造黄铜的力学性能(GB/T1176-1987)
铸造黄铜的化学成分(GB/T1176-1987)
铸造黄铜的力学性能(GB/T1176-1987)。
精品文档铜合金牌号以及对照列表BS EN ASTM/UNSOTHER COMPATABLEALLOY TYPE SYMBOL(NEARESTSTANDARD STANDARD ALLOYSEQUIVALENT)Aluminium Bronze CA104CW307G CuAl10Ni C63200 / C63000NES833,BSB23(DTD197A) Aluminium Bronze CA105-CuAl10Fe3Ni7Mn2C63000-Aluminium Bronze AB1-C CC331G CuAl10Fe2-C C95400SAE68 Aluminium Bronze AB2-C CC333G CuAl10Fe5Ni5-C C95500SAE68BLeaded Bronze LB1-C CC496K CuSn7Pb15-C C93800SAE67Leaded Bronze LB2-C CC495K CuSn10Pb10-C C93700SAE64 / SAE797 /SAE792Leaded Bronze LB4-C CC494K CuSn5Pb9-C C93500SAE66Leaded Bronze LB5-C CC497K CuSn5Pb20-C C94100SAE94, SAE794 &SAE799.Leaded Bronze--CuSn7ZnPb C93200SAE660Leaded Gunmetal LG2-C CC491K CuSn5Zn5Pb5-C C83600SAE40Leaded Gunmetal LG4-C CC492K CuSn7Zn2Pb3-C C93400-Leaded phosphorLPB1-CuSn8Pb4Zn1C93100-bronzeLeaded PhosphorPB4-C CC480K CuSn10-C C92700-BronzeNickel Gunmetal G3-CuSn7Ni5Zn3B292-56-Phosphor Bronze PB101CW450K CuSn4C50900 C51100-Phosphor Bronze PB102CW451K CuSn5C51000NES838 Phosphor Bronze PB103CW452K CuSn6C51900-Phosphor Bronze PB104CW459K CuSn8C52100BSB24 DTD265A Phosphor Bronze DTD265A---BSB24, PB104Tin PhosphorPB1-C CC481K CuSn11P-C B143SAE65BronzeTin Phosphor PB2-C CC483K CuSn12-C CC483K SAE65Bronze材料化学成分BAKIR BAKIRALA?IMLARI ALA?IMLARI Cu (1)Al Sb Fe Pb Ni (2)P(3)Si S Sn Zn Mn UNS D??ERC86100CuZn25Al566,0-68,0 4,5-5,5-2,0-4,0.10----.10Rest2,5-5.0 C86200CuZn34Al260,0-66,03,0-4,9-2,0-4,0.20 1.0---.2022,0-28,02,5-5,0CuZn25Al5C8630060.0-66.0 5.0-7.5- 2.0-4.0- 1.0---.2022.0-28.0 2.5-5.0 SAE 430BC86500CuZn35Al155,0-60,0 0,5-1,5-0,4-2,0.40 1.0--- 1.036,0-42,01,0-1,5 C87800CuZn15Si480.0.15.05.15.15.20.01 3,8-4,2-.2512,0-16,00,15C90500CuSn10Zn / Rg1086,0-89,0.005.20.20.301.05.005.059,0-11,01,0-3,0-C90700CuSn1088.0-90.0 .005.20.15.50.50.30.005.0510.0-12.0.50-C90800CuSn12Rest.005.20.15.25.50.30.005.05 11,0-13,0.25-C91700CuSn12Ni84.0-87.0 .005.20.20.25 1.2-2.0.30.005.0511.3-12.5.25-C92200CuSn6Zn4Pb286.0-90.0 .005.25.25 1.0-2.0 1.0.05.005.05 5.5-6.5 3.0-5.0-C92500CuSn12Pb85.0-88.0 .005.25.30 1.0-1.5.8-1.5.30.005.0510.0-12.0.50-C92600CuSn10Zn86.0-88.5 .005.25.20.8-1.5.7.03.005.05 9.3-10.5 1.3-2.5-C92700CuSn12Pb86.0-89.0 .005.25.20 1.0-2.5 1.0.25.005.059.0-11.0.7-C92710CuPb5Sn10Rest0,020,50,54,0-6,01,50,10,029,0-11,0 2.00,2C9280078.0-82.0 .005.25.20 4.0-6.0.8.05.005.05 15.0-17.0.8-C9290082.0-86.0 .005.25.20 2.0-3.2 2.8-4.0.50.005.059.0-11.0.25-C93100CuSn7Pb Rest.005.25.252,0-5,0 1.0.005.05 6,5-8,5 2.0-C93200CuSn7ZnPb / RG-781.0-85.0 .005.35.20 6.0-8.0 1.0.15.005.08 6.3-7.5 1.0-4.0-C9340082.0-85.0 .005.50.207.0-9.0 1.0.50.005.087.0-9.0.8-C93500CuSn5Pb983,0-86,0.005.30.208,0-10,0 1.0.05.005.084,3-6,0 2.0-C9360079.0-83.0 .005.55.2011.0-13.0 1.0.15.005.08 6.0-8.0 1.0-C93700CuPb10Sn78.0-82.0 .005.50.78.0-11.0.50.10.005.08 9.0-11.0.8-C93800CuPb15Sn75.0-79.0 .005.8.1513.0-16.0 1.0.05.005.08 6.3-7.5.8-C93900CuPb15Sn76,5-79,5.005.50.4014,0-18,0.801,5.005.08 5,0-7,01,5-C9400072.0-79.0 .005.8.2518.0-22.0 1.0.50.005.08 4.5-6.5 1.0-C94100CuPb20Sn72.0-79.0.005.8.2518.0-22.0 1.0.50.005.08 4.5-6.5 1.0-C9430067.0-72.0 .005.8.1523.0-27.0 1.0.08.005.08 4.5-6.0.8-C94400Rest.005.80.159,0-12,0 1.0.05.005.087,0-9,0.80-C94500Rem..005.8.1516.0-22.0 1.0.05.005.08 6.0-8.01,2-C9470085.0-90.0 .005.15.25.10 4.5-6.0.05.005.05 4.5-6.0 1.0-2.5.20C9480084.0-89.0 .005.15.25.30-1.0 4.5-6.0.05.005.05 4.5-6.0 1.0-2.5.20C94900CuAl10Fe79,0-81,0.005.25.304,0-6,04,0-6,0.05.005.084,0-6,04,0-6,0.10C95200CuAl10Fe868,5-9,5-2,5-4,0--------C95300869,0-11,0-0,8-1,5--------C95400CuAl11Fe483.0 min10.0-11.5- 3.0-5.0-1,5-----.50C95500CuAl11Ni78.0 min10.0-11.5- 3.0-5.0 3.0-5.5 ----3,5C95600886,0-8,0-.25-1,8-3,2---C95700CuMn11Al8Fe3Ni3717,0-8,5-2,0-4,0.031,5-3,0--.10-11,0-14,0 C95800CuAl10Ni79.0 min8.5-9.5- 3.5-4.5.03 4.0-5.0-.10---0,8-1.5-CuAl10Ni3Fe280,0-86,08,5-10,51,0-3,00,11,5-4,00,20,20,5 2.0-CuAl11Fe6Ni672,0-77,010,3-12,04,2-7,00,044,3-7,50,10,20,42,5C95900Rest12,0-13,5-3,0-5,0.50-----1,5C8330092,0-94,0--1,0-2,0----1,0-2,02,0-6,0-C8340088,0-92,0.005.250,250,50 1.00,03.0050,080,208,0-12,0-C83500CuSn6ZnNi86,0-88,0.0050,250,253,5-5,50,50-1.00,03.0050,085,5-6,51,0-2,5-C83600CuSn5ZnPb / Rg584,0-86,0.0050,250,34,0-6,0 1.00,05.0050,084,0-6,04,0-6,0-C8380082,0-83,8.0050,250,35,0-7,0 1.00,03.0050,083,3-4,25,0-8,0-C8420078,0-82,0.0050,250,42,0-3,00,81,5.0050,084,0-6,010,0-16,0-C8440078,0-82,0.0050,250,46,0-8,0 1.00,02.0050,082,3-3,57,0-10,0-C8450077,0-79,0.0050,250,46,0-7,5 1.00,02.0050,082,0-4,010,0-14,0-C8480075,0-77,0.0050,250,45,5-7,0 1.00,02.0050,082,0-3,013,0-17,0-C8520070,0-74,0.0050,20,61,5-3,8 1.00,020,050,050,7-2,020,0-27,0-C8540065,0-70,00,35-0,81,5-3,8 1.0-0,05-0,5-1,524,0-32,0-C8550059,0-63,0--0,20,20,2---0,2Rest0,2C8570058,0-64,00,55-0,70,8-1,5 1.0-0,05-0,5-1,532,0-40,0-C8580057.00,550,050,51,50,50,010,250,05 1,531,0-41,00,25 -CuZn40Fe56,0-62,00,10,2-1,2 1.0 2.0.050,1 1.0Rest2,5-CuZn35Mn2Al1Fe157,0-65,00,5-2,50,5-2,00,5 3.00,1 1.0Rest0,5-3,0 -CuZn34Mn3Al2Fe155,0-66,01,0-3,00,050,5-2,50,3 3.00,030,10,3Rest1,0-4,0铸造铜的机械性能和应用铸造锡青铜的化学成分(GB/T1176-1987)化学成分( % )合金名称合金牌号锡锌铅磷镍铜ZCuSn3Zn8Pb6Ni13— 8— 6— 1 锡青铜 2.0~4.0 6.0~9.0 4.0~7.00.5~1.5其余ZCuSn3Zn11Pb43— 11—4 锡青铜 2.0~4.09.0~13.0 3.0~6.0其余ZCuSn5Pb5Zn53—5—5 锡青铜 4.0~6.0 4.0~6.0 4.0~6.0其余ZCuSn10Pb110—1锡青铜9.0~11.50.5~1.0其余ZCuSn10Pb510—5锡青铜9.0~11.0 4.0~6.0其余ZCuSn10Zn210—2锡青铜9.0~11.0 1.0~3.0其余铸造锡青铜的力学性能(GB/T1176-1987)力学性能,不低于铸造方法合金牌号σ b/MPa(kgf/mm2)σ 0.2/MPa(kgf/mm2)δ 5(%)硬度 HBWS175(17.8)8590ZCuSn3Zn8Pb6Ni1J215(21.9)10685S175(17.8)8590ZCuSn3Zn11Pb4J215(21.9)10590S 、 J200(20.4)90(9.2)13590 ZCuSn5Pb5Zn5Li 、 La250(25.5)100(10.2)13635 ZCuSn10Pb1S220(22.4)130(13.3)3785J310(31.6)170(17.3)2885Li330(33.6)170(17.3)4885La360(36.7)170(17.3)6885 ZCuSn10Pb5S195(19.9)10685J245(25.0)10685S240(24.5)120(12.2)12685 ZCuSn10Zn2J245(25.0)140(14.3)6785Li 、 La270(27.5)140(14.3)7785铸造锡青铜的主要特性和应用举例(GB/T1176-1987)主要特性应用举例合金牌号耐磨性较好,易加工,铸造性能好,气密性在各种液体燃料以及海水、淡水和蒸汽ZCuSn3Zn8Pb6Ni1(≤225 ℃)中工作的零件,压力不大于 2.5MPa 较好、耐腐蚀,可在流动海水下工作的阀门和管配件ZCuSn3Zn11Pb4海水、淡水、蒸汽中,压力不大于2.5MPa的管配铸造性能好,易加工,耐腐蚀件耐磨性和耐蚀性好,易加工,铸造性能和气在较高负荷,中等滑动速度下工作的耐磨耐腐蚀零ZCuSn5Pb5Zn5密性较好件,如轴瓦、衬套、缸套、活塞离合器、泵件压盖以及蜗轮等硬度高,耐磨性极好,不易产生咬死现象,可用于高负荷( 20MPa 以下)和高滑动速度ZCuSn10Pb1有较好的铸造性能和切削加工性能,在大气( 8m/s )下工作的耐磨零件,如连杆、衬套、轴和淡水中有良好的耐蚀性瓦、齿轮、蜗轮等ZCuSn10Pb5结构材料,耐蚀、耐酸的配件以及破碎机衬套、轴耐腐蚀,特别对稀硫酸、盐酸和脂肪酸瓦耐蚀性、耐磨在中等及较高负荷和小滑动速度下工作的重性和ZCuSn10Zn2要管配件,以及阀、旋塞、泵体、齿轮、叶切削轮和蜗轮等加工性能好,铸造性能好,铸件致密性较高,气密性较好铸造铝青铜的化学成分(GB/T1176-1987)化学成分( % )合金名称合金牌号镍铝铁锰铜ZCuAl8Mn13Fe38—13 — 3 铝青铜7.0~9.0 2.0~4.012.0~14.5其余ZCuAl8Mn13Fe3Ni28—13—3—2 铝青铜 1.8~2.57.0~8.5 2.5~4.011.5~14.0其余ZCuAl9Mn29— 2 铝青铜8.0~10.0 1.5~2.5其余ZCuAl9Fe4Ni4Mn29—4— 4—2 铝青铜 4.0~5.08.5~10.0 4.0~5.00.8~2.5其余ZCuAl10Fe310 —3 铝青铜8.5~11.0 2.0~4.0其余ZCuAl10Fe3Mn210—3—2 铝青铜9.0~11.0 2.0~4.0 1.0~2.0其余铸造铝青铜的力学性能(GB/T1176-1987)力学性能,不低于合金牌号铸造方法σ b/MPa(kgf/mm2)σ 0.2/MPa(kgf/mm2)δ 5(%)硬度 HBWS600(61.2)270(27.5)151570 ZCuAl8Mn13Fe3J650(66.3)280(28.6)101665S645(65.8)280(28.6)201570 ZCuAl8Mn13Fe3Ni2J670(68.3)310(31.6)181665S390(39.8)20835 ZCuAl9Mn2J440(44.9)20930 ZCuAl9Fe4Ni4Mn2S630(64.3)250(25.5)161570S490(50.0)180(18.4)13980 ZCuAl10Fe3J540(55.1)200(20.4)151080Li 、 La540(55.1)200(20.4)151080 ZCuAl10Fe3Mn2S490(50.0)151080J540(55.1)铸造铝青铜的主要特性和应用举例(GB/T1176-1987)主要特性合金牌号具有很高的强度和硬度,良好的耐磨性能和铸造ZCuAl8Mn13Fe3性能,合金致密性高,耐蚀好,作为耐磨件工作温度不大于 400 ℃,可以焊接,不易钎焊有很高的化学性能,在大气、淡水和海水中均有ZCuAl8Mn13Fe3Ni良好的耐蚀性,腐蚀疲劳强度高,铸造性能好,2合金组织致密,气密性好,可以焊接,不易钎焊有高的力学性能,在大气、淡水和海水中耐蚀性ZCuAl9Mn2好,铸造性能好,组织致密,气密性高,耐磨性好,可以焊接,不易钎焊有很高的力学性能,在大气、淡水和海水中耐ZCuAl9Fe4Ni4Mn2 磨性好,铸造性能好,组织致密,气密性高,耐磨性好,不易钎焊,铸造性能尚好具有高的力学性能,耐磨性和耐蚀性能好,可ZCuAl10Fe3以焊接,不易钎焊,大型铸件自700 ℃空冷可以防止变脆具有高的力学性能和耐磨性,可热处理,高温ZCuAl10Fe3Mn2下耐蚀性和抗氧化性能好,在大气、淡水和海水中耐蚀性好,可以焊接,不易钎焊,大型铸件自 700 ℃空冷可以防止变脆201175应用举例适用于制造重型机械用轴套,以及要求强度高、耐磨、耐压零件,如法兰、阀体、泵体等要求强度高耐腐蚀的重要铸件,如船舶螺旋桨,高压阀体,泵体,以及耐压、耐磨零件,如蜗轮、齿轮、法兰、衬套等耐蚀、耐磨零件,形状简单的大型铸件,,如衬套、齿轮、蜗轮,以及在 250 ℃以下工作的管配件和要求气密性高的铸件,如增压器内气封要求强度高,耐蚀性好的重要铸件,是制造船舶螺旋桨的主要材料之一,也可用做耐磨和400℃以下工作的零件,如轴承、齿轮、蜗轮,螺帽、法兰、阀体,导向套管要求强度高,、耐磨、耐蚀的重要铸件,,如轴套、螺母、蜗轮以及 250 ℃以下工作的管配件要求强度高,耐磨,耐蚀的零件,如,齿轮,轴承、衬套、管嘴、以及耐热管配件等铅青铜的化学成分(GB/T1176-1987)化学成分( % )合金基本元素杂质含量,不大于合金牌号名称铜总锡锌铅铁铝锑硅磷硫砷铋镍锡锌锰和10-10 ZCuPb10Sn10铅青铜15-8 ZCuPb15Sn8铅青铜17-ZCuPb17Sn4Z4-4 n4铅青铜20-5 ZCuPb20Sn5铅青铜30 ZCuPb30铅青铜000009.0~18.0~11.0..0 (2201)————1.020 .5001.0.0.2 .051150000007.0~913.0~17..0 (2201)————.0.020 .5011.0.0.2.05110000000其3.5~5 2.0~614.0~20..0 ...余———————.0.0.040.3007052550000004.0~618.0~23 (2201)————.0.0207011.5.0.2 .05151000000027.0~33..0 ...0.0101—————.050.200105.0.3.001280铸造铅青铜的力学性能(GB/T1176-1987)铸造方法力学性能,不低于σ b/MPa(kgf/mm2)σ 0.2/MPa(kgf/mm2)δ 5(%)硬度 HBW 合金牌号S180(18.4)80(8.2)7635 ZCuPb10Sn10J220(22.4)140(14.3)5685Li 、 La220(22.4)110(11.2)6685S170(17.3)80(8.2)5590 ZCuPb15Sn8J220(20.4)100(10.2)6635Li 、 La220(20.4)100(10.2)8635 ZCuPb17Sn4Zn4S150(15.3)5540J175(17.5)7590S150(15.3)60(6.1)5440 ZCuPb20Sn5J150(15.3)70(7.1)6540La180(18.4)80(8.1)7540 ZCuPb30J———245铸造铅青铜的主要特性和应用举例(GB/T1176-1987)主要特性应用举例合金牌号表面压力高,又存在侧压力的滑动轴承,如轧辗、车辆ZCuPb10Sn10 ZCuPb15Sn8 ZCuPb17Sn4Zn4 ZCuPb20Sn5 ZCuPb30润滑性能、耐磨性能和耐蚀性能好,适合用轴承、负荷峰值 60MPa的受冲击的零件,以及最高用作双金属铸造材料峰值达 100MPa 的内燃机双金属轴瓦,以及活塞销套、摩擦片等表面压力高,又有侧压力的轴承,可用来制造冷轧机的在缺乏润滑剂和用水质润滑剂条件下,滑50MPa动性和自润滑性能好,易切削,铸造性能铜冷却管,耐冲击负荷达的零件,内燃机的双金属轴瓦,主要用于最大负荷达70MPa 的活塞销套,差,对稀硫酸耐蚀性能好耐酸配件耐磨性和自润滑性能好,易切削,铸造性一般耐磨件,高滑动速度的轴承等能差在较高的滑动性能,在缺乏润滑介质和以水为介质时有特别好的自润滑性能适用于高滑动速度的轴承,及破碎机、水泵、冷轧机轴承,负双金属铸造材料,耐硫酸腐蚀,易切削,荷达 70MPa 的活塞销套铸造性能差有良好的自润滑性,易切削,铸造性能要求高滑动速度的双金属轴瓦,减磨零件等差,易产生比重偏析铸造黄铜的化学成分(GB/T1176-1987)化学成分( % )合金名称合金牌号锡锌铅磷镍铝铁锰硅铜ZCuZn3838黄铜其余60.0~63.0ZCuZn25Al6Fe3Mn325-6-3-3铝黄其余 4.5~7.0 2.0~4.0 1.5~4.060.0~66.0铜ZCuZn26Al4Fe3Mn326-4-3-3铝黄其余 2.5~5.0 1.5~4.0 1.5~4.060.0~66.0铜ZCuZn31Al231-2铝黄铜其余 2.0~3.066.0~68.0ZCuZn35Al2Mn2Fe135-2-2-1铝黄其余0.5~2.50.5~2.00.1~3.057.0~65.0铜ZCuZn38Mn2Pb238-2-2 锰黄铜其余 1.5~2.5 1.5~2.557.0~60.0 ZCuZn40Mn240-2锰黄铜其余 1.0~2.057.0~60.0 ZCuZn40Mn3Fe140-3-1 锰黄铜其余0.5~1.5 3.0~4.053.0~58.0 ZCuZn33Pb233-2铅黄铜其余 1.0~3.063.0~67.0 ZCuZn40Pb240-2铅黄铜其余0.5~2.50.2~0.858.0~63.0 ZCuZn16Si416-9硅黄铜其余 2.5~4.579.0~81.0铸造铅青铜的力学性能(GB/T1176-1987)力学性能,不低于铸造方法合金牌号σ b/MPa(kgf/mm2)σ 0.2/MPa(kgf/mm2)δ 5(%)硬度 HBWS180(18.4)80(8.2)7635ZCuPb10Sn10J220(22.4)140(14.3)5685Li 、 La220(22.4)110(11.2)6685S170(17.3)80(8.2)5590ZCuPb15Sn8J220(20.4)100(10.2)6635Li 、 La220(20.4)100(10.2)8635ZCuPb17Sn4Zn4S150(15.3)5540J175(17.5)7590S150(15.3)60(6.1)5440 ZCuPb20Sn5J150(15.3)70(7.1)6540La180(18.4)80(8.1)7540 ZCuPb30J———245铸造铅青铜的主要特性和应用举例(GB/T1176-1987)主要特性应用举例合金牌号表面压力高,又存在侧压力的滑动轴承,如轧辗、车辆ZCuPb10Sn10 ZCuPb15Sn8 ZCuPb17Sn4Zn4 ZCuPb20Sn5 ZCuPb30润滑性能、耐磨性能和耐蚀性能好,适合用轴承、负荷峰值 60MPa的受冲击的零件,以及最高用作双金属铸造材料峰值达 100MPa 的内燃机双金属轴瓦,以及活塞销套、摩擦片等表面压力高,又有侧压力的轴承,可用来制造冷轧机的在缺乏润滑剂和用水质润滑剂条件下,滑铜冷却管,耐冲击负荷达50MPa的零件,内燃机的双动性和自润滑性能好,易切削,铸造性能70MPa 的活塞销套,差,对稀硫酸耐蚀性能好金属轴瓦,主要用于最大负荷达耐酸配件耐磨性和自润滑性能好,易切削,铸造性一般耐磨件,高滑动速度的轴承等能差在较高的滑动性能,在缺乏润滑介质和以水为介质时有特别好的自润滑性能适用于高滑动速度的轴承,及破碎机、水泵、冷轧机轴承,负双金属铸造材料,耐硫酸腐蚀,易切削,荷达 70MPa 的活塞销套铸造性能差有良好的自润滑性,易切削,铸造性能要求高滑动速度的双金属轴瓦,减磨零件等差,易产生比重偏析铸造黄铜的化学成分(GB/T1176-1987)化学成分( % )合金牌号合金名称锡锌铅磷镍铝铁锰硅铜ZCuZn3838 黄铜其余60.0~63.0精品文档ZCuZn25Al6Fe3Mn325-6-3-3铝黄其余 4.5~7.0 2.0~4.0 1.5~4.060.0~66.0铜ZCuZn26Al4Fe3Mn326-4-3-3铝黄其余 2.5~5.0 1.5~4.0 1.5~4.060.0~66.0铜ZCuZn31Al231-2 铝黄铜其余 2.0~3.066.0~68.0ZCuZn35Al2Mn2Fe135-2-2-1铝黄其余0.5~2.50.5~2.00.1~3.057.0~65.0铜ZCuZn38Mn2Pb238-2-2 锰黄铜其余 1.5~2.5 1.5~2.557.0~60.0 ZCuZn40Mn240-2 锰黄铜其余 1.0~2.057.0~60.0 ZCuZn40Mn3Fe140-3-1 锰黄铜其余0.5~1.5 3.0~4.053.0~58.0 ZCuZn33Pb233-2 铅黄铜其余 1.0~3.063.0~67.0 ZCuZn40Pb240-2 铅黄铜其余0.5~2.50.2~0.858.0~63.0 ZCuZn16Si416-9 硅黄铜其余 2.5~4.579.0~81.0铸造黄铜的力学性能(GB/T1176-1987)力学性能,不低于合金牌号铸造方法σ b/MPa(kgf/mm2)σ 0.2/MPa(kgf/mm2)δ 5(%)硬度 HBWZCuZn38S295 ( 30.0 )30590J295( 30.0 )30685S725 ( 73.9 )380 ( 38.7 )101570 ZCuZn25Al6Fe3Mn3J740 ( 75.5 )400 ( 40.8 )71665Li 、 La740( 75.5 )400 ( 40.8 )71665S600 ( 61.2 )300 ( 30.6 )181175 ZCuZn26Al4Fe3Mn3J600 ( 61.2 )300 ( 30.6 )181275Li 、 La600( 61.2 )300 ( 30.6 )181275 ZCuZn31Al2S295 ( 30.0 )12785J390( 39.8 )15885S450 ( 45.9 )170 ( 17.3 )20980 ZCuZn35Al2Mn2Fe1J475 ( 48.4 )200 ( 20.4 )181080Li 、 La475( 48.4 )200 ( 20.4 )181080 ZCuZn38Mn2Pb2S245 ( 25.0 )10685J345( 35.2 )18785ZCuZn40Mn2J390( 39.8 )25885ZCuZn40Mn3Fe1S440 ( 44.9 )18980J490 ( 50.0 )151080ZCuZn33Pb2S180 ( 18.4 )70 (7.1)12490ZCuZn40Pb2S220 ( 22.4 )15785J280( 28.6 )120 ( 12.2 )20885ZCuZn16Si4S345 ( 35.2 )15885J390( 39.8 )20980铸造黄铜的化学成分(GB/T1176-1987)合金名称化学成分( % )合金牌号锡锌铅磷镍铝铁锰硅铜ZCuZn3838黄铜其余60.0~63.0ZCuZn25Al6Fe3Mn325-6-3-3铝黄其余 4.5~7.0 2.0~4.0 1.5~4.060.0~66.0铜ZCuZn26Al4Fe3Mn326-4-3-3铝黄其余 2.5~5.0 1.5~4.0 1.5~4.060.0~66.0铜ZCuZn31Al231-2铝黄铜其余 2.0~3.066.0~68.0ZCuZn35Al2Mn2Fe135-2-2-1铝黄其余0.5~2.50.5~2.00.1~3.057.0~65.0铜ZCuZn38Mn2Pb238-2-2 锰黄铜其余 1.5~2.5 1.5~2.557.0~60.0 ZCuZn40Mn240-2锰黄铜其余 1.0~2.057.0~60.0 ZCuZn40Mn3Fe140-3-1 锰黄铜其余0.5~1.5 3.0~4.053.0~58.0 ZCuZn33Pb233-2铅黄铜其余 1.0~3.063.0~67.0 ZCuZn40Pb240-2铅黄铜其余0.5~2.50.2~0.858.0~63.0 ZCuZn16Si416-9硅黄铜其余 2.5~4.579.0~81.0铸造黄铜的力学性能(GB/T1176-1987)力学性能,不低于铸造方法合金牌号σ b/MPa(kgf/mm2)σ 0.2/MPa(kgf/mm2)δ 5(%)硬度HBWZCuZn38J295( 30.0 )30685S725 ( 73.9 )380( 38.7 )101570 ZCuZn25Al6Fe3Mn3J740 ( 75.5 )400( 40.8 )71665Li 、 La740( 75.5 )400( 40.8 )71665S600 ( 61.2 )300( 30.6 )181175 ZCuZn26Al4Fe3Mn3J600 ( 61.2 )300( 30.6 )181275Li 、 La600( 61.2 )300( 30.6 )181275S295 ( 30.0 )12785 ZCuZn31Al2J390( 39.8 )15885S450 ( 45.9 )170( 17.3 )20980 ZCuZn35Al2Mn2Fe1J475 ( 48.4 )200( 20.4 )181080Li 、 La475( 48.4 )200( 20.4 )181080S245 ( 25.0 )10685 ZCuZn38Mn2Pb2J345( 35.2 )18785S345 ( 35.2 )20785 ZCuZn40Mn2J390( 39.8 )25885S440 ( 44.9 )18980 ZCuZn40Mn3Fe1J490 ( 50.0 )151080 ZCuZn33Pb2S180 ( 18.4 )70(7.1)12490S220 ( 22.4 )15785 ZCuZn40Pb2J280( 28.6 )120( 12.2 )20885S345 ( 35.2 )15885 ZCuZn16Si4J390( 39.8 )20980铸造黄铜的主要特性和应用举例(GB/T1176-1987)主要特性应用举例合金牌号具有优良的铸造性能和较高的力学性能,切一般结构件和耐蚀零件,如法兰,阀座,趾甲、ZCuZn38削加工性能好,可以焊接,耐蚀性较好,有手柄和螺母等应力腐蚀开裂倾向ZCuZn25Al6Fe3Mn3有很高的力学性能,铸造性能良好,耐蚀性适用高强、耐磨零件,如桥梁支承板、螺母、螺精品文档较好,有应力腐蚀开裂倾向,可以焊接杆、耐磨板、滑块和蜗轮等ZCuZn26Al4Fe3Mn3有很高的力学性能,铸造性能良好,在空要求强度高、耐蚀零件气、淡水、和海水中耐蚀性较好,可以焊接ZCuZn31Al2铸造性能良好,在空气、淡水、和海水中耐适用于压力铸造,如电机、仪表等压铸件以及造蚀性较好,,易切削,可以焊接船和机械制造业的耐蚀零件具有高的力学性能和良好的铸造性能,在大ZCuZn35Al2Mn2Fe1气、淡水、海水中有较好的耐蚀性,切削性管路配件和要求不高的耐磨件能好,可以焊接ZCuZn38Mn2Pb2有较高的力学性能和耐蚀性、耐磨性较好,一般用途的结构件、船舶、仪表等使用的外型简切削性能良好单铸件,如套筒、衬套、轴瓦、滑块等有较高的力学性能和耐蚀性,铸造性能好,在空气、淡水、海水、蒸汽(小于300 ℃)和各ZCuZn40Mn2种液体燃料中工作的零件和阀体、阀杆、泵、管受热时组织稳定接头,以及需要浇注巴氏合金和镀锡零件等有高的力学性能,良好的铸造性能和切削加耐海水腐蚀的零件,以及 300 ℃以下工作的管配ZCuZn40Mn3Fe1工性能,在空气、淡水、和海水中耐蚀性较ZCuZn33Pb2 ZCuZn40Pb2 ZCuZn16Si4好,有应力腐蚀开裂倾向件,制造船舶螺旋桨等大型铸件结构材料,给水温度为90 ℃时抗氧化性能煤气和给水设备的壳体、机器制造业、电子技好,电导率约为 10~14MS/m术、精密仪器和光学仪器的部分构件配件有好的铸造性能和耐磨性,切削加工性能一般用途的耐磨、耐蚀零件,如轴套、齿轮等好,耐蚀性能好,在海水中有应力腐蚀倾向具有较好的力学性能和良好的耐蚀性,铸造接触海水工作的管配件以及水泵、叶轮、旋塞和性能好,流动性高,铸件组织致密,气密性在空气、淡水、油、燃料,以及工作压力在好 4.5MPa 和在 250 ℃以下蒸汽中工作的铸件。
CuZn42 (CW510L)铜合金力学性能化学成分介绍-绿兴金属提供牌号:CuZn42 (CW510L)CuZn42 (CW510L)化学成分:品牌:绿兴金属规格:板,棒,线,带,管,异形材料,毛细管Cu:58Pb:0.2Zn:余量CuZn42 (CW510L)力学性能用途:相关性能和了解更多加工性能可以百度绿兴金属找到我们。
铜合金应用:一、电气工业1、电力输送力输送中需要大量消耗高导电性的铜,主要用于动力电线电缆、汇流排、变压器、开关、接插元件和联接器等。
在电线电缆的输电过程中,由于电阻发热而白白浪费电能。
从节能和经济的角度考虑,目前世界上正在推广""最佳电缆截面""标准。
深圳市绿兴金属有限公司成立于2008年,位于深圳市龙岗区龙岗大道建材市场,占地面积40多亩,公司注册资金1000万元,是一家集生产与销售一体的公司。
绿兴金属公司目前主要经营进口及国产优质硅青铜,紫铜,锡青铜,无氧铜,铍铜,铍青铜,铝青铜,碲铜,白铜,钨铜,磷铜,铅黄铜,合金铝,纯铝、透气钢,钛合金等金属原材料。
材料规格分为以下几大总类:薄板,中厚板,棒,线,带,箔,管,扁条,六角棒,六角管,方棒,方通。
过去流行的标准,单纯地从降低一次安装投资的角度出发,为了尽量减小电缆截面,以在设计要求的额定电流下,不至出现危险过热,来确定电缆的最低允许尺寸。
按这种标准铺设的电缆,虽然安装费低了;但是在长期使用过程中,电阻能耗却比较大。
""最佳电缆截面""标准,则兼顾一次安装费用和电能消耗这两个因素,适当放大电缆尺寸,以达到节能和最佳综合经济效益的目的。
按照新的标准,电缆截面往往要比老标准加大一倍以上,可以获得50%左右的节能效果。
我国在过去一段时间内,由于钢供不应求,考虑到铝的比重只有铜的30%,在希望减轻重量的架空高压输电线路中曾采取以铝代铜的措施。
地下电缆。
CuZn40Pb2 (CW617N)铜合金力学性能化学成分介绍-绿兴金属提供牌号:CuZn40Pb2 (CW617N)CuZn40Pb2 (CW617N)化学成分:品牌:绿兴金属规格:板,棒,线,带,管,异形材料,毛细管Cu:57-59Al:0.05Fe:0.3Ni:0.3Pb:1.6-2.5Sn:0.3Zn:余量CuZn40Pb2 (CW617N)力学性能用途:相关性能和了解更多加工性能可以百度绿兴金属找到我们。
铜合金(copper alloy )以纯铜为基体加入一种或几种其他元素所构成的合金。
纯铜呈紫红色﹐又称紫铜。
纯铜密度为8.96﹐熔点为1083℃﹐具有优良的导电性﹑导热性﹑延展性和耐蚀性。
主要用于制作发电机﹑母线﹑电缆﹑开关装置﹑变压器等电工器材和热交换器﹑管道﹑太阳能加热装置的平板集热器等导热器材。
深圳市绿兴金属有限公司成立于2008年,位于深圳市龙岗区龙岗大道建材市场,占地面积40多亩,公司注册资金1000万元,是一家集生产与销售一体的公司。
绿兴金属公司目前主要经营进口及国产优质硅青铜,紫铜,锡青铜,无氧铜,铍铜,铍青铜,铝青铜,碲铜,白铜,钨铜,磷铜,铅黄铜,合金铝,纯铝、透气钢,钛合金等金属原材料。
材料规格分为以下几大总类:薄板,中厚板,棒,线,带,箔,管,扁条,六角棒,六角管,方棒,方通。
常用的铜合金分为黄铜﹑青铜﹑白铜3大类。
简介黄铜以锌作主要添加元素的铜合金﹐具有美观的黄色﹐统称黄铜。
铜锌二元合金称普通黄铜或称简单黄铜。
三元以上的黄铜称特殊黄铜或称复杂黄铜。
含锌低於36%的黄铜合金由固溶体组成﹐具有良好的冷加工性能﹐如含锌30%的黄铜常用来制作弹壳﹐俗称弹壳黄铜或七三黄铜。
含锌在36~42%之间的黄铜合金由和固溶体组成﹐其中最常用的是含锌40%的六四黄铜。
为了改善普通黄铜的性能﹐常添加其他元素﹐如铝﹑镍﹑锰﹑锡﹑硅﹑铅等。
铝能提高黄铜的强度﹑硬度和耐蚀性﹐但使塑性降低﹐适合作海轮冷凝管及其他耐蚀零件。
CuZn38As (CW511L)铜合金力学性能化学成分介绍-绿兴金属提供牌号:CuZn38As (CW511L)CuZn38As (CW511L)化学成分:品牌:绿兴金属规格:板,棒,线,带,管,异形材料,毛细管Cu:62.5Pb:0.2Zn:余量CuZn38As (CW511L)力学性能用途:相关性能和了解更多加工性能可以百度绿兴金属找到我们。
铜合金(copperalloy)以纯铜为基体加入一种或几种其他元素所构成的合金。
纯铜呈紫红色﹐又称紫铜。
纯铜密度为8.96﹐熔点为1083℃﹐具有优良的导电性﹑导热性﹑延展性和耐蚀性。
主要用于制作发电机﹑母线﹑电缆﹑开关装置﹑变压器等电工器材和热交换器﹑深圳市绿兴金属有限公司成立于2008年,位于深圳市龙岗区龙岗大道建材市场,占地面积40多亩,公司注册资金1000万元,是一家集生产与销售一体的公司。
绿兴金属公司目前主要经营进口及国产优质硅青铜,紫铜,锡青铜,无氧铜,铍铜,铍青铜,铝青铜,碲铜,白铜,钨铜,磷铜,铅黄铜,合金铝,纯铝、透气钢,钛合金等金属原材料。
材料规格分为以下几大总类:薄板,中厚板,棒,线,带,箔,管,扁条,六角棒,六角管,方棒,方通。
管道﹑太阳能加热装置的平板集热器等导热器材。
常用的铜合金分为黄铜﹑青铜﹑白铜3大类。
铜合金种类:1、白铜以镍为主要添加元素的铜合金。
铜镍二元合金称普通白铜﹔加有锰﹑铁﹑锌﹑铝等元素的白铜合金称复杂白铜。
工业用白铜分为结构白铜和电工白铜两大类。
结构白铜的特点是机械性能和耐蚀性好﹐色泽美观。
这种白铜广泛用於制造精密机械﹑眼镜配件、化工机械和船舶构件。
电工白铜一般有良好的热电性能。
锰铜﹑康铜﹑考铜是含锰量不同的锰白铜﹐是制造精密电工仪器﹑变阻器﹑精密电阻﹑应变片﹑热电偶等用的材料。
2、黄铜黄铜是由铜和锌所组成的合金。
如果只是由铜、锌组成的黄铜就叫作普通黄铜。
黄铜常被用于制造阀门、水管、空调内外机连接管和散热器等。
铜及铜合金的分类和性能一、分类铜及铜合金可以根据其成分、性质和用途进行分类。
1. 根据成分分类根据成分的不同,铜及铜合金可以分为以下几类:- 纯铜:成分纯度达到99.9%以上,没有其他元素的杂质;- 铜基合金:除含有铜外,还含有其他元素,如锌、镍、锡等;- 铜镍合金:由铜和镍组成,成分比例可以根据需要进行调整;- 铜铝合金:由铜和铝组成,具有较高的强度和耐腐蚀性能;- 铜锌合金:也称为黄铜,主要由铜和锌组成,具有良好的加工性能和耐腐蚀性能。
2. 根据性质分类根据性质的不同,铜及铜合金可以分为以下几类:- 软铜:具有良好的塑性和延展性,适合冷加工和热加工;- 硬铜:具有较高的强度和硬度,适合制作耐磨件和机械零件;- 弹性铜:具有优异的弹性和回弹性能,适用于制造弹簧和弹簧元件。
二、性能铜及铜合金具有以下一些性能特点:1. 导电性:铜是良好的导电材料之一,具有优异的电导率,广泛用于电器、电子和通信行业;2. 导热性:铜具有很高的导热性,可以快速将热量传递出去,适用于散热器和导热元件;3. 抗腐蚀性:铜具有较好的耐腐蚀性,特别是黄铜,适用于制作阀门和管道等耐腐蚀设备;4. 加工性:铜具有良好的塑性和可加工性,可以通过铸造、锻造、压延等方法制作成各种形状的零件;5. 可焊性:铜易于焊接,可以与其他材料进行良好的连接。
以上是对铜及铜合金的分类和性能的简要介绍。
铜及其合金因其多种优良特性,广泛应用于工业和日常生活中。
参考文献:- 李旭东. 材料科学基础(修订版). 清华大学出版社, 2011.- 高建明, 王然, 徐立康. 金属材料科学与工程. 机械工业出版社, 2019.。
铸造锡青铜的化学成分(GB/T1176-1987)
铸造锡青铜的力学性能(GB/T1176-1987)
铸造锡青铜的主要特性和应用举例(GB/T1176-1987)
铸造铝青铜的化学成分(GB/T1176-1987)
铸造铝青铜的力学性能(GB/T1176-1987)
铸造铝青铜的主要特性和应用举例(GB/T1176-1987)
铅青铜的化学成分(GB/T1176-1987)
铸造铅青铜的力学性能(GB/T1176-1987)
铸造铅青铜的主要特性和应用举例(GB/T1176-1987)
铸造黄铜的化学成分(GB/T1176-1987)
铸造铅青铜的力学性能(GB/T1176-1987)
铸造铅青铜的主要特性和应用举例(GB/T1176-1987)
铸造黄铜的化学成分(GB/T1176-1987)
铸造黄铜的力学性能(GB/T1176-1987)
铸造黄铜的化学成分(GB/T1176-1987)
铸造黄铜的力学性能(GB/T1176-1987)
铸造黄铜的主要特性和应用举例(GB/T1176-1987)。
铜合金牌号以及对照列表ALLOY TYPEBS STANDARD EN STANDARDSYMBOLASTM/UNS(NEAREST EQUIVALENT)OTHER COMPATABLE ALLOYSAluminium Bronze CA104 CW307G CuAl10NiC63200 / C63000NES833,BSB23(DTD197A)Aluminium Bronze CA105 - CuAl10Fe3Ni7Mn2 C63000 - Aluminium Bronze AB1-C CC331G CuAl10Fe2-C C95400 SAE68 Aluminium Bronze AB2-C CC333G CuAl10Fe5Ni5-C C95500 SAE68B Leaded Bronze LB1-C CC496K CuSn7Pb15-C C93800 SAE67Leaded Bronze LB2-C CC495K CuSn10Pb10-C C93700 SAE64 / SAE797 / SAE792 Leaded Bronze LB4-C CC494K CuSn5Pb9-C C93500 SAE66Leaded Bronze LB5-C CC497K CuSn5Pb20-C C94100 SAE94, SAE794 & SAE799. Leaded Bronze - - CuSn7ZnPb C93200 SAE660 Leaded Gunmetal LG2-C CC491K CuSn5Zn5Pb5-C C83600 SAE40 Leaded Gunmetal LG4-C CC492K CuSn7Zn2Pb3-C C93400 - Leaded phosphor bronze LPB1-CuSn8Pb4Zn1C93100-Leaded Phosphor Bronze PB4-C CC480K CuSn10-C C92700 - Nickel Gunmetal G3 - CuSn7Ni5Zn3 B292-56-Phosphor Bronze PB101 CW450K CuSn4 C50900 C51100 - Phosphor Bronze PB102 CW451K CuSn5 C51000 NES838 Phosphor Bronze PB103 CW452K CuSn6 C51900 -Phosphor Bronze PB104 CW459K CuSn8 C52100 BSB24 DTD265A Phosphor Bronze DTD265A - -- BSB24, PB104 Tin Phosphor Bronze PB1-CCC481KCuSn11P-CB143SAE65Tin Phosphor BronzePB2-C CC483K CuSn12-C CC483K SAE65材料化学成分BAKIRALAŞIMLA RIUNS BAKIRALAŞIMLARIDİĞERCu(1)Al Sb Fe Pb Ni(2)P(3)Si S Sn Zn MnC86100CuZn25Al566,0-68,04,5-5,5-2,0-4,0.10----.10Rest2,5-5.0 C86200CuZn34Al260,0-66,03,0-4,9-2,0-4,0.20 1.0---.2022,0-28,02,5-5,0 C86300CuZn25Al5SAE 430B60.0-66.0 5.0-7.5- 2.0-4.0- 1.0---.2022.0-28.0 2.5-5.0 C86500CuZn35Al155,0-60,00,5-1,5-0,4-2,0.40 1.0--- 1.036,0-42,01,0-1,5 C87800CuZn15Si480.0.15.05.15.15.20.013,8-4,2-.2512,0-16,00,15C90500CuSn10Zn / Rg1086,0-89,0.005.20.20.301.05.005.059,0-11,01,0-3,0-C90700CuSn1088.0-90.0.005.20.15.50.50.30.005.0510.0-12.0.50-C90800CuSn12Rest.005.20.15.25.50.30.005.0511,0-13,0.25-C91700 CuSn12Ni84.0-87.0.005.20.20.25 1.2-2.0.30.005.0511.3-12.5.25-C92200CuSn6Zn4Pb286.0-90.0.005.25.25 1.0-2.0 1.0.05.005.05 5.5-6.5 3.0-5.0-C92500CuSn12Pb85.0-88.0.005.25.30 1.0-1.5.8-1.5.30.005.0510.0-12.0.50-C92600CuSn10Zn86.0-88.5.005.25.20.8-1.5.7.03.005.059.3-10.5 1.3-2.5-C92700 CuSn12Pb86.0-89.0.005.25.20 1.0-2.5 1.0.25.005.059.0-11.0.7-C92710 CuPb5Sn10Rest0,020,50,54,0-6,01,50,10,029,0-11,0 2.00,2C9280078.0-82.0.005.25.20 4.0-6.0.8.05.005.0515.0-17.0.8-C9290082.0-86.0.005.25.20 2.0-3.2 2.8-4.0.50.005.059.0-11.0.25-C93100CuSn7Pb Rest.005.25.252,0-5,0 1.0.005.056,5-8,5 2.0-C93200CuSn7ZnPb / RG-781.0-85.0.005.35.20 6.0-8.0 1.0.15.005.08 6.3-7.5 1.0-4.0-C9340082.0-85.0.005.50.207.0-9.0 1.0.50.005.087.0-9.0.8-C93500CuSn5Pb983,0-86,0.005.30.208,0-10,0 1.0.05.005.084,3-6,0 2.0-C9360079.0-83.0.005.55.2011.0-13.0 1.0.15.005.08 6.0-8.0 1.0-C93700CuPb10Sn78.0-82.0.005.50.78.0-11.0.50.10.005.089.0-11.0.8-C93800CuPb15Sn75.0-79.0.005.8.1513.0-16.0 1.0.05.005.08 6.3-7.5.8-C93900CuPb15Sn76,5-79,5.005.50.4014,0-18,0.801,5.005.085,0-7,01,5-C9400072.0-79.0.005.8.2518.0-22.0 1.0.50.005.08 4.5-6.5 1.0-C94100CuPb20Sn72.0-79.0.005.8.2518.0-22.0 1.0.50.005.08 4.5-6.5 1.0-C9430067.0-72.0.005.8.1523.0-27.0 1.0.08.005.08 4.5-6.0.8-C94400Rest.005.80.159,0-12,0 1.0.05.005.087,0-9,0.80-C94500Rem..005.8.1516.0-22.0 1.0.05.005.08 6.0-8.01,2-C9470085.0-90.0.005.15.25.10 4.5-6.0.05.005.05 4.5-6.0 1.0-2.5.20C9480084.0-89.0.005.15.25.30-1.0 4.5-6.0.05.005.05 4.5-6.0 1.0-2.5.20C94900CuAl10Fe79,0-81,0.005.25.304,0-6,04,0-6,0.05.005.084,0-6,04,0-6,0.10C95200CuAl10Fe868,5-9,5-2,5-4,0--------C95300869,0-11,0-0,8-1,5--------C95400CuAl11Fe483.0 min10.0-11.5- 3.0-5.0-1,5-----.50C95500CuAl11Ni78.0 min10.0-11.5- 3.0-5.0 3.0-5.5----3,5C95600886,0-8,0-.25-1,8-3,2---C95700CuMn11Al8Fe3Ni3717,0-8,5-2,0-4,0.031,5-3,0--.10-11,0-14,0 C95800CuAl10Ni79.0 min8.5-9.5- 3.5-4.5.03 4.0-5.0-.10---0,8-1.5-CuAl10Ni3Fe280,0-86,08,5-10,51,0-3,00,11,5-4,00,20,20,5 2.0-CuAl11Fe6Ni672,0-77,010,3-12,04,2-7,00,044,3-7,50,10,20,42,5C95900Rest12,0-13,5-3,0-5,0.50-----1,5C8330092,0-94,0--1,0-2,0----1,0-2,02,0-6,0-C8340088,0-92,0.005.250,250,50 1.00,03.0050,080,208,0-12,0-C83500CuSn6ZnNi86,0-88,0.0050,250,253,5-5,50,50-1.00,03.0050,085,5-6,51,0-2,5-C83600CuSn5ZnPb / Rg584,0-86,0.0050,250,34,0-6,0 1.00,05.0050,084,0-6,04,0-6,0-C8380082,0-83,8.0050,250,35,0-7,0 1.00,03.0050,083,3-4,25,0-8,0-C8420078,0-82,0.0050,250,42,0-3,00,81,5.0050,084,0-6,010,0-16,0-C8440078,0-82,0.0050,250,46,0-8,0 1.00,02.0050,082,3-3,57,0-10,0-C8450077,0-79,0.0050,250,46,0-7,5 1.00,02.0050,082,0-4,010,0-14,0-C8480075,0-77,0.0050,250,45,5-7,0 1.00,02.0050,082,0-3,013,0-17,0-C8520070,0-74,0.0050,20,61,5-3,8 1.00,020,050,050,7-2,020,0-27,0-C8540065,0-70,00,35-0,81,5-3,8 1.0-0,05-0,5-1,524,0-32,0-C8550059,0-63,0--0,20,20,2---0,2Rest0,2C8570058,0-64,00,55-0,70,8-1,5 1.0-0,05-0,5-1,532,0-40,0-C8580057.00,550,050,51,50,50,010,250,051,531,0-41,00,25铸造铜的机械性能和应用铸造锡青铜的化学成分(GB/T1176-1987)合金牌号 合金名称化学成分(%)锡锌 铅 磷 镍铜ZCuSn3Zn8Pb6Ni1 3—8—6—1锡青铜 2.0~4.0 6.0~9.04.0~7.0 0.5~1.5 其余 ZCuSn3Zn11Pb4 3—11—4锡青铜 2.0~4.0 9.0~13.0 3.0~6.0 其余 ZCuSn5Pb5Zn5 3—5—5锡青铜 4.0~6.0 4.0~6.0 4.0~6.0 其余 ZCuSn10Pb1 10—1锡青铜 9.0~11.5 0.5~1.0 其余 ZCuSn10Pb5 10—5锡青铜 9.0~11.0 4.0~6.0 其余 ZCuSn10Zn2 10—2锡青铜9.0~11.01.0~3.0其余铸造锡青铜的力学性能(GB/T1176-1987)合金牌号 铸造方法力学性能,不低于σb/MPa(kgf/mm2) σ0.2/MPa(kgf/mm2) δ5(%) 硬度HBW ZCuSn3Zn8Pb6Ni1S175(17.8) 8 590 J 215(21.9) 10 685 ZCuSn3Zn11Pb4S175(17.8)8590J215(21.9)10 590 ZCuSn5Pb5Zn5S 、J 200(20.4) 90(9.2) 13 590 Li 、La 250(25.5) 100(10.2) 13 635 ZCuSn10Pb1S 220(22.4) 130(13.3) 3 785 J310(31.6) 170(17.3) 2 885 Li 330(33.6) 170(17.3) 4 885 La360(36.7) 170(17.3) 6 885 ZCuSn10Pb5S195(19.9)10685- CuZn40Fe56,0-62,00,10,2-1,2 1.0 2.0 .050,11.0 Rest 2,5- CuZn35Mn2Al1Fe1 57,0-65,0 0,5-2,50,5-2,00,5 3.00,11.0 Rest 0,5-3,0 -CuZn34Mn3Al2Fe1 55,0-66,01,0-3,00,05 0,5-2,5 0,33.00,030,10,3Rest1,0-4,0J 245(25.0)10 685 ZCuSn10Zn2S240(24.5) 120(12.2) 12 685 J 245(25.0) 140(14.3) 6 785 Li 、La270(27.5)140(14.3)7785铸造锡青铜的主要特性和应用举例(GB/T1176-1987)合金牌号主要特性 应用举例ZCuSn3Zn8Pb6Ni1 耐磨性较好,易加工,铸造性能好,气密性较好、耐腐蚀,可在流动海水下工作在各种液体燃料以及海水、淡水和蒸汽(≤225℃)中工作的零件,压力不大于2.5MPa的阀门和管配件ZCuSn3Zn11Pb4 铸造性能好,易加工,耐腐蚀海水、淡水、蒸汽中,压力不大于2.5MPa 的管配件ZCuSn5Pb5Zn5耐磨性和耐蚀性好,易加工,铸造性能和气密性较好在较高负荷,中等滑动速度下工作的耐磨耐腐蚀零件,如轴瓦、衬套、缸套、活塞离合器、泵件压盖以及蜗轮等ZCuSn10Pb1硬度高,耐磨性极好,不易产生咬死现象,有较好的铸造性能和切削加工性能,在大气和淡水中有良好的耐蚀性可用于高负荷(20MPa 以下)和高滑动速度(8m/s )下工作的耐磨零件,如连杆、衬套、轴瓦、齿轮、蜗轮等ZCuSn10Pb5耐腐蚀,特别对稀硫酸、盐酸和脂肪酸结构材料,耐蚀、耐酸的配件以及破碎机衬套、轴瓦ZCuSn10Zn2耐蚀性、耐磨性和切削加工性能好,铸造性能好,铸件致密性较在中等及较高负荷和小滑动速度下工作的重要管配件,以及阀、旋塞、泵体、齿轮、叶轮和蜗轮等高,气密性较好铸造铝青铜的化学成分(GB/T1176-1987)合金牌号合金名称化学成分(%)镍铝铁锰铜ZCuAl8Mn13Fe38—13—3铝青铜7.0~9.0 2.0~4.012.0~14.5其余ZCuAl8Mn13Fe3Ni28—13—3—2铝青铜 1.8~2.57.0~8.5 2.5~4.011.5~14.0其余ZCuAl9Mn29—2铝青铜8.0~10.0 1.5~2.5其余ZCuAl9Fe4Ni4Mn29—4—4—2铝青铜 4.0~5.08.5~10.0 4.0~5.00.8~2.5其余ZCuAl10Fe310—3铝青铜8.5~11.0 2.0~4.0其余ZCuAl10Fe3Mn210—3—2铝青铜9.0~11.0 2.0~4.0 1.0~2.0其余铸造铝青铜的力学性能(GB/T1176-1987)合金牌号铸造方法力学性能,不低于σb/MPa(kgf/mm2)σ0.2/MPa(kgf/mm2)δ5(%)硬度HBWZCuAl8Mn13Fe3S600(61.2)270(27.5)151570 J650(66.3)280(28.6)101665ZCuAl8Mn13Fe3Ni2S645(65.8)280(28.6)201570 J670(68.3)310(31.6)181665ZCuAl9Mn2S390(39.8)20835 J440(44.9)20930ZCuAl9Fe4Ni4Mn2S630(64.3)250(25.5)161570ZCuAl10Fe3S490(50.0)180(18.4)13980 J540(55.1)200(20.4)151080 Li、La540(55.1)200(20.4)151080ZCuAl10Fe3Mn2S490(50.0)151080 J540(55.1)201175铸造铝青铜的主要特性和应用举例(GB/T1176-1987)合金牌号主要特性应用举例ZCuAl8Mn13Fe3具有很高的强度和硬度,良好的耐磨性能和铸造性能,合金致密性高,耐蚀好,作为耐磨件工作温度不大于400℃,可以焊接,不易钎焊适用于制造重型机械用轴套,以及要求强度高、耐磨、耐压零件,如法兰、阀体、泵体等ZCuAl8Mn13Fe3Ni 2有很高的化学性能,在大气、淡水和海水中均有良好的耐蚀性,腐蚀疲劳强度高,铸造性能好,合金组织致密,气密性好,可以焊接,不易钎焊要求强度高耐腐蚀的重要铸件,如船舶螺旋桨,高压阀体,泵体,以及耐压、耐磨零件,如蜗轮、齿轮、法兰、衬套等ZCuAl9Mn2有高的力学性能,在大气、淡水和海水中耐蚀性好,铸造性能好,组织致密,气密性高,耐磨性好,可以焊接,不易钎焊耐蚀、耐磨零件,形状简单的大型铸件,,如衬套、齿轮、蜗轮,以及在250℃以下工作的管配件和要求气密性高的铸件,如增压器内气封ZCuAl9Fe4Ni4Mn2有很高的力学性能,在大气、淡水和海水中耐磨性好,铸造性能好,组织致密,气密性高,耐磨性好,不易钎焊,铸造性能尚好要求强度高,耐蚀性好的重要铸件,是制造船舶螺旋桨的主要材料之一,也可用做耐磨和400℃以下工作的零件,如轴承、齿轮、蜗轮,螺帽、法兰、阀体,导向套管ZCuAl10Fe3具有高的力学性能,耐磨性和耐蚀性能好,可以焊接,不易钎焊,大型铸件自700℃空冷可以防止变脆要求强度高,、耐磨、耐蚀的重要铸件,,如轴套、螺母、蜗轮以及250℃以下工作的管配件ZCuAl10Fe3Mn2具有高的力学性能和耐磨性,可热处理,高温下耐蚀性和抗氧化性能好,在大气、淡水和海水中耐蚀性好,可以焊接,不易钎焊,大型铸件自700℃空冷可以防止变脆要求强度高,耐磨,耐蚀的零件,如,齿轮,轴承、衬套、管嘴、以及耐热管配件等铅青铜的化学成分(GB/T1176-1987)合金牌号合金名称化学成分(%)基本元素杂质含量,不大于锡锌铅铜铁铝锑硅磷硫砷铋镍锡锌锰总和ZCuPb10Sn1010-10铅青9.0~11.0—8.0~11.0其余0.250.10.50.10.50.1——2.—2.0.21.铜ZCuPb15Sn8 15-8铅青铜7.0~9.—13.0~17.0.250.10.50.10.10.1——2.—2.0.21.ZCuPb17Sn4Z n417-4-4铅青铜3.5~5.2.0~6.14.0~20.0.40.50.30.20.5———————0.75ZCuPb20Sn5 20-5铅青铜4.0~6.—18.0~23.0.250.10.750.10.10.1——2.5—2.0.21.ZCuPb3030铅青铜——27.0~33.0.50.10.20.20.8—0.10.005—1.—0.31.铸造铅青铜的力学性能(GB/T1176-1987)合金牌号铸造方法力学性能,不低于σb/MPa(kgf/mm2)σ0.2/MPa(kgf/mm2)δ5(%)硬度HBWZCuPb10Sn10S180(18.4)80(8.2)7635 J220(22.4)140(14.3)5685 Li、La220(22.4)110(11.2)6685ZCuPb15Sn8 S170(17.3)80(8.2)5590 J220(20.4)100(10.2)6635 Li、La220(20.4)100(10.2)8635ZCuPb17Sn4Zn4S150(15.3)5540 J175(17.5)7590ZCuPb20Sn5 S150(15.3)60(6.1)5440 J150(15.3)70(7.1)6540 La180(18.4)80(8.1)7540ZCuPb30J———245铸造铅青铜的主要特性和应用举例(GB/T1176-1987)合金牌号主要特性应用举例ZCuPb10Sn10润滑性能、耐磨性能和耐蚀性能好,适合用作双金属铸造材料表面压力高,又存在侧压力的滑动轴承,如轧辗、车辆用轴承、负荷峰值60MPa的受冲击的零件,以及最高峰值达100MPa的内燃机双金属轴瓦,以及活塞销套、摩擦片等ZCuPb15Sn8 在缺乏润滑剂和用水质润滑剂条件下,滑动性和自润滑性能好,易切削,铸造性能差,对稀硫酸耐蚀性能好表面压力高,又有侧压力的轴承,可用来制造冷轧机的铜冷却管,耐冲击负荷达50MPa的零件,内燃机的双金属轴瓦,主要用于最大负荷达70MPa的活塞销套,耐酸配件ZCuPb17Sn4Zn4耐磨性和自润滑性能好,易切削,铸造性能差一般耐磨件,高滑动速度的轴承等ZCuPb20Sn5 在较高的滑动性能,在缺乏润滑介质和以水为介质时有特别好的自润滑性能适用于双金属铸造材料,耐硫酸腐蚀,易切削,铸造性能差高滑动速度的轴承,及破碎机、水泵、冷轧机轴承,负荷达70MPa的活塞销套ZCuPb30有良好的自润滑性,易切削,铸造性能差,易产生比重偏析要求高滑动速度的双金属轴瓦,减磨零件等铸造黄铜的化学成分(GB/T1176-1987)合金牌号合金名称化学成分(%)锡锌铅磷镍铝铁锰硅铜ZCuZn3838黄铜其余60.0~63.0ZCuZn25Al6Fe3Mn325-6-3-3铝黄铜其余 4.5~7.0 2.0~4.0 1.5~4.060.0~66.0ZCuZn26Al4Fe3Mn326-4-3-3铝黄铜其余 2.5~5.0 1.5~4.0 1.5~4.060.0~66.0ZCuZn31Al231-2铝黄铜其余 2.0~3.066.0~68.0ZCuZn35Al2Mn2Fe135-2-2-1铝黄铜其余0.5~2.50.5~2.00.1~3.057.0~65.0ZCuZn38Mn2Pb2 38-2-2锰黄铜其余 1.5~2.5 1.5~2.557.0~60.0ZCuZn40Mn240-2锰黄铜其余 1.0~2.057.0~60.0 ZCuZn40Mn3Fe1 40-3-1锰黄铜其余0.5~1.5 3.0~4.053.0~58.0 ZCuZn33Pb2 33-2铅黄铜其余 1.0~3.063.0~67.0 ZCuZn40Pb2 40-2铅黄铜其余0.5~2.50.2~0.858.0~63.0 ZCuZn16Si416-9硅黄铜其余 2.5~4.5 79.0~81.0铸造铅青铜的力学性能(GB/T1176-1987)合金牌号铸造方法力学性能,不低于σb/MPa(kgf/mm2)σ0.2/MPa(kgf/mm2)δ5(%)硬度HBWZCuPb10Sn10S180(18.4)80(8.2)7635 J220(22.4)140(14.3)5685 Li、La220(22.4)110(11.2)6685ZCuPb15Sn8 S170(17.3)80(8.2)5590 J220(20.4)100(10.2)6635 Li、La220(20.4)100(10.2)8635ZCuPb17Sn4Zn4S150(15.3)5540J175(17.5)7590ZCuPb20Sn5 S150(15.3)60(6.1)5440 J150(15.3)70(7.1)6540 La180(18.4)80(8.1)7540ZCuPb30J———245铸造铅青铜的主要特性和应用举例(GB/T1176-1987)合金牌号主要特性应用举例ZCuPb10Sn10润滑性能、耐磨性能和耐蚀性能好,适合用作双金属铸造材料表面压力高,又存在侧压力的滑动轴承,如轧辗、车辆用轴承、负荷峰值60MPa的受冲击的零件,以及最高峰值达100MPa的内燃机双金属轴瓦,以及活塞销套、摩擦片等ZCuPb15Sn8 在缺乏润滑剂和用水质润滑剂条件下,滑动性和自润滑性能好,易切削,铸造性能表面压力高,又有侧压力的轴承,可用来制造冷轧机的铜冷却管,耐冲击负荷达50MPa的零件,内燃机的双差,对稀硫酸耐蚀性能好金属轴瓦,主要用于最大负荷达70MPa的活塞销套,耐酸配件ZCuPb17Sn4Zn4耐磨性和自润滑性能好,易切削,铸造性能差一般耐磨件,高滑动速度的轴承等ZCuPb20Sn5 在较高的滑动性能,在缺乏润滑介质和以水为介质时有特别好的自润滑性能适用于双金属铸造材料,耐硫酸腐蚀,易切削,铸造性能差高滑动速度的轴承,及破碎机、水泵、冷轧机轴承,负荷达70MPa的活塞销套ZCuPb30有良好的自润滑性,易切削,铸造性能差,易产生比重偏析要求高滑动速度的双金属轴瓦,减磨零件等铸造黄铜的化学成分(GB/T1176-1987)合金牌号合金名称化学成分(%)锡锌铅磷镍铝铁锰硅铜ZCuZn3838黄铜其余60.0~63.0ZCuZn25Al6Fe3Mn325-6-3-3铝黄铜其余 4.5~7.0 2.0~4.0 1.5~4.060.0~66.0ZCuZn26Al4Fe3Mn326-4-3-3铝黄铜其余 2.5~5.0 1.5~4.0 1.5~4.060.0~66.0ZCuZn31Al231-2铝黄铜其余 2.0~3.066.0~68.0ZCuZn35Al2Mn2Fe135-2-2-1铝黄铜其余0.5~2.50.5~2.00.1~3.057.0~65.0ZCuZn38Mn2Pb2 38-2-2锰黄铜其余 1.5~2.5 1.5~2.557.0~60.0 ZCuZn40Mn240-2锰黄铜其余 1.0~2.057.0~60.0 ZCuZn40Mn3Fe1 40-3-1锰黄铜其余0.5~1.5 3.0~4.053.0~58.0 ZCuZn33Pb2 33-2铅黄铜其余 1.0~3.063.0~67.0 ZCuZn40Pb2 40-2铅黄铜其余0.5~2.50.2~0.858.0~63.0 ZCuZn16Si416-9硅黄铜其余 2.5~4.5 79.0~81.0铸造黄铜的力学性能(GB/T1176-1987)合金牌号铸造方法力学性能,不低于σb/MPa(kgf/mm2)σ0.2/MPa(kgf/mm2)δ5(%)硬度HBWZCuZn38S295(30.0)30590J295(30.0)30685ZCuZn25Al6Fe3Mn3S725(73.9)380(38.7)101570 J740(75.5)400(40.8)71665 Li、La740(75.5)400(40.8)71665ZCuZn26Al4Fe3Mn3S600(61.2)300(30.6)181175 J600(61.2)300(30.6)181275 Li、La600(61.2)300(30.6)181275ZCuZn31Al2S295(30.0)12785 J390(39.8)15885ZCuZn35Al2Mn2Fe1S450(45.9)170(17.3)20980 J475(48.4)200(20.4)181080 Li、La475(48.4)200(20.4)181080ZCuZn38Mn2Pb2S245(25.0)10685J345(35.2)18785 ZCuZn40Mn2S345(35.2)20785J390(39.8)25885 ZCuZn40Mn3Fe1S440(44.9)18980J490(50.0)151080 ZCuZn33Pb2 S180(18.4)70(7.1)12490ZCuZn40Pb2 S220(22.4)15785 J280(28.6)120(12.2)20885ZCuZn16Si4S345(35.2)15885 J390(39.8)20980铸造黄铜的化学成分(GB/T1176-1987)合金牌号合金名称化学成分(%)锡锌铅磷镍铝铁锰硅铜ZCuZn3838黄铜其余60.0~63.0ZCuZn25Al6Fe3Mn325-6-3-3铝黄铜其余 4.5~7.0 2.0~4.0 1.5~4.060.0~66.0ZCuZn26Al4Fe3Mn326-4-3-3铝黄铜其余 2.5~5.0 1.5~4.0 1.5~4.060.0~66.0ZCuZn31Al231-2铝黄铜其余 2.0~3.066.0~68.0 ZCuZn35Al2Mn2Fe1 35-2-2-1铝黄其余0.5~2.50.5~2.00.1~3.057.0~65.0铜ZCuZn38Mn2Pb2 38-2-2锰黄铜其余 1.5~2.5 1.5~2.557.0~60.0 ZCuZn40Mn240-2锰黄铜其余 1.0~2.057.0~60.0 ZCuZn40Mn3Fe1 40-3-1锰黄铜其余0.5~1.5 3.0~4.053.0~58.0 ZCuZn33Pb2 33-2铅黄铜其余 1.0~3.063.0~67.0 ZCuZn40Pb2 40-2铅黄铜其余0.5~2.50.2~0.858.0~63.0 ZCuZn16Si416-9硅黄铜其余 2.5~4.5 79.0~81.0铸造黄铜的力学性能(GB/T1176-1987)合金牌号铸造方法力学性能,不低于σb/MPa(kgf/mm2)σ0.2/MPa(kgf/mm2)δ5(%)硬度HBWZCuZn38S295(30.0)30590J295(30.0)30685ZCuZn25Al6Fe3Mn3S725(73.9)380(38.7)101570 J740(75.5)400(40.8)71665 Li、La740(75.5)400(40.8)71665ZCuZn26Al4Fe3Mn3S600(61.2)300(30.6)181175 J600(61.2)300(30.6)181275 Li、La600(61.2)300(30.6)181275ZCuZn31Al2S295(30.0)12785J390(39.8)15885ZCuZn35Al2Mn2Fe1S450(45.9)170(17.3)20980 J475(48.4)200(20.4)181080 Li、La475(48.4)200(20.4)181080ZCuZn38Mn2Pb2S245(25.0)10685J345(35.2)18785 ZCuZn40Mn2S345(35.2)20785J390(39.8)25885 ZCuZn40Mn3Fe1S440(44.9)18980J490(50.0)151080 ZCuZn33Pb2 S180(18.4)70(7.1)12490 ZCuZn40Pb2S220(22.4)15785J280(28.6)120(12.2)20885 ZCuZn16Si4S345(35.2)15885J390(39.8)20980铸造黄铜的主要特性和应用举例(GB/T1176-1987)合金牌号主要特性应用举例ZCuZn38具有优良的铸造性能和较高的力学性能,切削加工性能好,可以焊接,耐蚀性较好,有应力腐蚀开裂倾向一般结构件和耐蚀零件,如法兰,阀座,趾甲、手柄和螺母等ZCuZn25Al6Fe3Mn3有很高的力学性能,铸造性能良好,耐蚀性较好,有应力腐蚀开裂倾向,可以焊接适用高强、耐磨零件,如桥梁支承板、螺母、螺杆、耐磨板、滑块和蜗轮等ZCuZn26Al4Fe3Mn3有很高的力学性能,铸造性能良好,在空气、淡水、和海水中耐蚀性较好,可以焊接要求强度高、耐蚀零件ZCuZn31Al2铸造性能良好,在空气、淡水、和海水中耐蚀性较好,,易切削,可以焊接适用于压力铸造,如电机、仪表等压铸件以及造船和机械制造业的耐蚀零件ZCuZn35Al2Mn2Fe1具有高的力学性能和良好的铸造性能,在大气、淡水、海水中有较好的耐蚀性,切削性能好,可以焊接管路配件和要求不高的耐磨件ZCuZn38Mn2Pb2 有较高的力学性能和耐蚀性、耐磨性较好,切削性能良好一般用途的结构件、船舶、仪表等使用的外型简单铸件,如套筒、衬套、轴瓦、滑块等ZCuZn40Mn2有较高的力学性能和耐蚀性,铸造性能好,受热时组织稳定在空气、淡水、海水、蒸汽(小于300℃)和各种液体燃料中工作的零件和阀体、阀杆、泵、管接头,以及需要浇注巴氏合金和镀锡零件等ZCuZn40Mn3Fe1 有高的力学性能,良好的铸造性能和切削加工性能,在空气、淡水、和海水中耐蚀性较好,有应力腐蚀开裂倾向耐海水腐蚀的零件,以及300℃以下工作的管配件,制造船舶螺旋桨等大型铸件ZCuZn33Pb2 结构材料,给水温度为90℃时抗氧化性能好,电导率约为10~14MS/m煤气和给水设备的壳体、机器制造业、电子技术、精密仪器和光学仪器的部分构件配件ZCuZn40Pb2 有好的铸造性能和耐磨性,切削加工性能好,耐蚀性能好,在海水中有应力腐蚀倾向一般用途的耐磨、耐蚀零件,如轴套、齿轮等ZCuZn16Si4具有较好的力学性能和良好的耐蚀性,铸造性能好,流动性高,铸件组织致密,气密性好接触海水工作的管配件以及水泵、叶轮、旋塞和在空气、淡水、油、燃料,以及工作压力在4.5MPa和在250℃以下蒸汽中工作的铸件。