各国铜材料对照及成分表
- 格式:pdf
- 大小:90.13 KB
- 文档页数:7
各国铜牌号及标准对照表铜合金牌号对照表一、铅黄铜牌号对照表二、普通黄铜牌号对照表三、紫铜牌号对照表常用铜合金牌号化学成分--中国牌号一、铅黄铜系列二、普通黄铜系列三、紫铜系列一、铅黄铜系列二、普通黄铜系列三、紫铜系列二、普通黄铜系列三、紫铜系列二、普通黄铜系列三、紫铜系列二、普通黄铜系列三、紫铜系列一、铅黄铜系列二、普通黄铜系列三、紫铜系列英国标准化学成分对照表标准号:BSG017-1981欧标材质标准(EN12164)化学成份成份牌号Cu铜Al铝Fe铁Ni镍Pb铅Sn锡 Zn锌其他密度(g/㎝3)CuZn21Si3P (CW724R) 76 ≤0.09 其余CuZn40 (CW509L) 60.5 ≤0.2 其余CuZn42 (CW510L) 58 ≤0.2 其余CuZn38As (CW511L) 62.5 ≤0.2 其余CuZn36Pb3 (CW603N) 60-62 <0.05 <0.3 <0.3 2.5-3.5 <0.2 其余0.2 8.5 CuZn38Pb4 (CW609N) 57-59 <0.05 <0.3 <0.3 3.5-4.2 <0.3 其余0.2 8.4 CuZn39Pb3 (CW614N) 57-59 <0.05 <0.3 <0.3 2.5-3.5 <0.3 其余0.2 8.4 CuZn40Pb2 (CW617N) 57-59 <0.05 <0.3 <0.3 1.6-2.5 <0.3 其余0.2 8.4 CuZn37Pb2 (CW606N) 61-62 <0.05 <0.2 <0.3 1.6-2.5 <0.2 其余0.2 8.4 CuZn38Pb2 (CW608N) 60-61 <0.05 <0.2 <0.3 1.6-2.5 <0.2 其余0.2 8.4 CuZn39Pb2 (CW612N) 59-60 <0.05 <0.3 <0.3 1.6-2.5 <0.3 其余0.2 8.4 CuZn35Pb1 (CW600N) 62.5-64 <0.05 <0.1 <0.3 0.9-1.6 <0.1 其余<0.1 8.5 CuZn35Pb2 (CW601N) 62-63.5 <0.05 <0.1 <0.3 1.6-2.5 <0.1 其余<0.1 8.5 CuZn38Pb1 (CW607N) 60-61 <0.05 <0.2 <0.3 0.8-1.8 <0.2 其余<0.2 8.4 CuZn39Pb0.5(CW610N) 59-60.5 <0.05 <0.2 <0.3 0.2-0.8 <0.2 其余<0.2 8.4 CuZn39Pb1 (CW611N) 59-60 <0.05 <0.2 <0.3 0.8-1.6 <0.2 其余<0.2 8.4 CuZn36Pb2As(CW602N) 61-63 <0.05 <0.1 <0.3 1.7-2.8 <0.1 其余<0.2 8.4注:CuZn36Pb2As(CW602N) As砷含量:0.02-0.05;Mn含量<0.1。
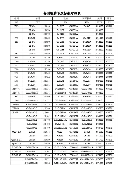
中外铜及铜合金标准对照铜业英才网推荐纯铜: 中国标准GB:T2 美国ASTM标准:C11000 美国CDA标准:110 英国BS标准:C102德国DIN标准:ECu-58 德国数字系统:2.0090 日本JIS标准:C1100中国标准GB:无氧铜TU1 美国ASTM标准:C10200 美国CDA标准:102 英国BS标准:C103德国DIN标准:OF-Cu 德国数字系统:2.0040 日本JIS标准:C1020磷脱氧铜:中国标准GB:TP1 美国ASTM标准:C12000C12100 英国BS标准:C106德国DIN标准:SW-CuSF-Cu 德国数字系统:2.0076 日本JIS标准:C1201C1220中国标准GB:TP2 美国ASTM标准:C12200 美国CDA标准:122德国数字系统:2.00762.0090 日本JIS标准:C1220含银纯铜:中国标准GB:TAg0.08TAg0.1 美国ASTM标准:C13000C12900 美国CDA标准:130 英国BS标准:C101德国DIN标准: CuAg0.1 日本JIS标准: C1271普通黄铜:中国标准GB:H96 美国ASTM标准: C21000 美国CDA标准:210 英国BS标准: CZ125德国DIN标准:CuZn5 德国数字系统:2.0220 日本JIS标准:C2100中国标准GB:H90 美国ASTM标准: C22000 美国CDA标准:220 英国BS标准:CZ101德国DIN标准: CuZn10 德国数字系统: 2.0230 日本JIS标准:C2200中国标准GB:H85 美国ASTM标准:C23000 美国CDA标准:230 英国BS标准:CZ102德国DIN标准:CuZn15 德国数字系统:2.0240 日本JIS标准:C2300中国标准GB:H80 美国ASTM标准:C24000 美国CDA标准:240 英国BS标准:CZ103 德国DIN标准: CuZn20 德国数字系统: 2.0250 日本JIS标准: C2400中国标准GB:H70 美国ASTM标准:C26000 美国CDA标准: 260 英国BS标准:CZ106德国DIN标准: CuZn30 德国数字系统: 2.0265 日本JIS标准: C2600中国标准GB:H68 美国ASTM标准:C26200德国DIN标准:uZn33 德国数字系统: 2.0280 日本JIS标准: C2680中国标准GB: H65 美国ASTM标准:C26800 美国CDA标准:268 英国BS标准:CZ107德国DIN标准: CuZn36 德国数字系统: 2.0335 日本JIS标准: C2700中国标准GB:H63 美国ASTM标准: C27000 美国CDA标准:270CZ108德国DIN标准: CuZn37 德国数字系统: 2.0321 日本JIS标准: C2720中国标准GB: H60 美国ASTM标准: C27200C28000 美国CDA标准:280 英国BS标准: CZ109德国DIN标准:CuZn40 德国数字系统:2.0360 日本JIS标准: C2800C2801铅黄铜:中国标准GB: HPb63-3 美国ASTM标准: C34500C34700 美国CDA标准: 315347 英国BS标准: CZ119 CZ124德国DIN标准: CuZn36Pb1.5CuZn36Pb3 德国数字系统: 2.0331 日本JIS标准:C3560中国标准GB: HPb63-0.1 美国ASTM标准: C34900德国DIN标准:CuZn37Pb0.5德国数字系统: 2.0332中国标准GB:HPb60-2 美国ASTM标准: C36000 英国BS标准: CZ120日本JIS标准: C3713 C3604中国标准GB:HPb59-2 美国ASTM标准: C35300德国DIN标准:CuZn39Pb2 英国BS标准: C3771中国标准GB: HPb59-1 美国ASTM标准: C37800 英国BS标准: CZ122德国DIN标准:CuZn39Pb3 德国数字系统: 2.0380 日本JIS标准: C3710中国标准GB: HPb58-2.5 美国ASTM标准: C38000 英国BS标准: CZ121德国数字系统:2.0401 日本JIS标准: C3603铝黄铜:中国标准GB: HAl77-2 美国ASTM标准: C68700 美国CDA标准:687 英国BS 标准: CZ110德国DIN标准: CuZn22Al德国数字系统: 2.0460 日本JIS标准: C6870中国标准GB:HAi66-6-3-2美国CDA标准: 670 日本JIS标准: C6872中国标准GB: HAi60-1-1 美国ASTM标准:C67000 美国CDA标准: 678德国DIN标准:CuZn37Al 德国数字系统: 2.0510 日本JIS标准: C6782中国标准GB: HAl59-3-2 美国ASTM标准:C67800德国DIN标准: CuZn35Ni 德国数字系统: 2.0540硅黄铜:中国标准GB:HSi80-3 美国ASTM标准: C69400锰黄铜:中国标准GB: HMn58-2 美国ASTM标准: C67400德国DIN标准: CuZn40Mn 德国数字系统: 2.0572中国标准GB: HMn57-3-1德国DIN标准: CuZn35Ni 德国数字系统: 2.0540铁黄铜:中国标准GB:HFE59-1-1 美国ASTM标准: C67820德国DIN标准:CuZn39Sn 德国数字系统:2.0530 日本JIS标准: C6782锡青铜中国标准GB: QSn4-4-4 美国ASTM标准: C54400 美国CDA标准:544日本JIS标准: C5441中国标准GB:QSn6.5-0.1美国CDA标准: 519 英国BS标准: PB100中国标准GB: QSn7-0.2 美国ASTM标准: C52100 美国CDA标准: 521 英国BS标准:PB104德国DIN标准: CuSn8 德国数字系统: 2.1030 日本JIS标准: C5212标准: PB101德国DIN标准: CuSn2 德国数字系统:2.1010 日本JIS标准:C5212C5101铝青铜:中国标准GB:QAl5 美国ASTM标准:C60600 英国BS标准: CA101德国DIN标准: CuAl5 德国数字系统: 2.0916中国标准GB: QAl7 美国ASTM标准: C60800 英国BS标准: CA102德国DIN标准:CuAl8 德国数字系统: 2.0920中国标准GB: QAl9-2 美国ASTM标准:C61000德国DIN标准: CuAl9Mn 德国数字系统: 2.0960中国标准GB: QAl9-4 英国BS标准: CA103德国DIN标准: CuAl8Fe 德国数字系统: 2.0930中国标准GB:QAl10-3-1.5美国ASTM标准: C61900 英国BS标准: CA106德国DIN标准: CuAl10Fe德国数字系统: 2.0936 日本JIS标准:C6161中国标准GB:QAl10-4-4 美国ASTM标准: C63000C63200 美国CDA标准: 630 英国BS标准: CA104 CA105德国DIN标准:CuAl10Ni 德国数字系统: 2.0966 日本JIS标准: C6301硅青铜:中国标准GB: QSi1-3 美国ASTM标准:C64700 英国BS标准: DTD 498德国DIN标准: CuNi2SiCuNi3Si 德国数字系统:2.0855 2.0857中国标准GB:QSi3-1 美国ASTM标准: C65500 C65800 英国BS标准: CS101德国DIN标准: CuSi3Mn 德国数字系统: 2.1525铬青铜:中国标准GB:QCr0.5 美国ASTM标准: C18100C18200C18400 美国CDA标准: 185 英国BS标准: CC101德国DIN标准: CuCr 德国数字系统: 2.1291铬锆铜中国标准GB:QCr0.5-0.1美国ASTM标准: C18150白铜.中国标准GB:BFe10-1-1.美国ASTM标准: C70600.中国标准GB:BFe30-1-1.美国ASTM标准:C71500.。
各国铜牌号及标准对照表铜合金牌号对照表一、铅黄铜牌号对照表二、普通黄铜牌号对照表三、紫铜牌号对照表常用铜合金牌号化学成分--中国牌号一、铅黄铜系列二、普通黄铜系列三、紫铜系列常用铜合金牌号化学成分--日本牌号一、铅黄铜系列二、普通黄铜系列三、紫铜系列常用铜合金牌号化学成分--德国牌号一、铅黄铜系列二、普通黄铜系列三、紫铜系列常用铜合金牌号化学成分--德国牌号一、铅黄铜系列二、普通黄铜系列三、紫铜系列常用铜合金牌号化学成分--美国牌号一、铅黄铜系列二、普通黄铜系列三、紫铜系列常用铜合金牌号化学成分--英国牌号一、铅黄铜系列二、普通黄铜系列三、紫铜系列英国标准化学成分对照表标准号:BSG017-1981欧标材质标准(EN12164)化学成份(CW612N)CuZn35Pb1<<<其余<(CW600N)CuZn35Pb2<<<其余<(CW601N)CuZn38Pb160-61<<<其余<(CW607N)(CW610N)<<<其余<CuZn39Pb159-60<<<其余<(CW611N)CuZn36Pb2As(CW6061-63<<<其余<2N)注:CuZn36Pb2As(CW602N) As砷含量:;Mn含量<。
铜合金管棒型材常见缺陷分析1、过热、过烧:定义:金属在加热或加工过程,由于温度高、时间长岛之组织及晶粒出大现象称为过热,严重过热时晶间决不低熔点组元熔化或晶界弱化现象称为过烧。
产生原因:a、加热温度高、时间长或局部长时间处于高温源处;b、热挤压终了温度过高或者在高温区停留时间长;c、合金中存在低熔点组元或低熔点杂质较多。
2、裂纹或开裂:定义:管棒型材表面出现连续或间断不规则裂纹,轻微的称为裂纹,严重的称为开裂。
产生原因:a、铸造锭中存在裂纹、夹杂、缩孔、疏松、冷隔或其他有害杂质或结晶组织、化学成分严重不均匀;b、铸锭中存在较大应力或加工工艺不当产生较大应力;c、挤压速度过快,加工率过大;d、热处理工艺不当,加工或热处理处于材料的脆性温度区。
中国铜牌号及标准与国外对照表铜合金牌号对照表一、铅黄铜牌号对照表二、普通黄铜牌号对照表三、紫铜牌号对照表常用铜合金牌号化学成分--中国牌号一、铅黄铜系列二、普通黄铜系列三、紫铜系列一、铅黄铜系列二、普通黄铜系列三、紫铜系列二、普通黄铜系列三、紫铜系列二、普通黄铜系列三、紫铜系列二、普通黄铜系列三、紫铜系列一、铅黄铜系列二、普通黄铜系列三、紫铜系列英国标准化学成分对照表标准号:BSG017-1981欧标材质标准(EN12164)化学成份注:CuZn36Pb2As(CW602N) As砷含量:0.02-0.05;Mn含量<0.1。
铜合金管棒型材常见缺陷分析1、过热、过烧:定义:金属在加热或加工过程,由于温度高、时间长岛之组织及晶粒出大现象称为过热,严重过热时晶间决不低熔点组元熔化或晶界弱化现象称为过烧。
产生原因:a、加热温度高、时间长或局部长时间处于高温源处;b、热挤压终了温度过高或者在高温区停留时间长;c、合金中存在低熔点组元或低熔点杂质较多。
2、裂纹或开裂:定义:管棒型材表面出现连续或间断不规则裂纹,轻微的称为裂纹,严重的称为开裂。
产生原因:a、铸造锭中存在裂纹、夹杂、缩孔、疏松、冷隔或其他有害杂质或结晶组织、化学成分严重不均匀;b、铸锭中存在较大应力或加工工艺不当产生较大应力;c、挤压速度过快,加工率过大;d、热处理工艺不当,加工或热处理处于材料的脆性温度区。
3、缩尾:定义:缩尾是挤制品尾部的一种特殊缺陷。
在挤压末期,由于金属紊流,铸锭表面的氧化皮,润滑剂等污物往往流入其中,而导致金属之间的分层。
产生原因:a、挤压尾部金属流动紊乱;b、铸锭表面、次表面有缺陷,挤压筒有润滑剂等污染物。
4、鼓泡定义:经挤制、拉制、退货后的产品表面沿着加工方向拉长的条状鼓起,解剖开后为一空腔,这种鼓起称为鼓泡。
鼓泡多呈长条形,表面光滑,剖开内部有金属光泽,个别伴生氧化物或其他夹杂。
产生原因:a、铸锭中有气孔、缩孔、夹杂等缺陷,经挤压、拉伸、冷轧后沿加工方向形成分层;b、挤压筒润滑剂过量;c、挤制品缩尾未切除干净,经进一步拉伸后形成分层。
铜牌号及标准与国外对照表Prepared on 24 November 2020中国铜牌号及标准与国外对照表铜合金牌号对照表一、铅黄铜牌号对照表二、普通黄铜牌号对照表三、紫铜牌号对照表常用铜合金牌号化学成分--中国牌号一、铅黄铜系列二、普通黄铜系列三、紫铜系列常用铜合金牌号化学成分--日本牌号一、铅黄铜系列二、普通黄铜系列三、紫铜系列常用铜合金牌号化学成分--德国牌号一、铅黄铜系列二、普通黄铜系列三、紫铜系列常用铜合金牌号化学成分--德国牌号一、铅黄铜系列二、普通黄铜系列三、紫铜系列常用铜合金牌号化学成分--美国牌号一、铅黄铜系列二、普通黄铜系列三、紫铜系列常用铜合金牌号化学成分--英国牌号一、铅黄铜系列二、普通黄铜系列三、紫铜系列英国标准化学成分对照表标准号:BSG017-1981欧标材质标准(EN12164)化学成份注:CuZn36Pb2As(CW602N) As砷含量:;Mn含量<。
铜合金管棒型材常见缺陷分析1、过热、过烧:定义:金属在加热或加工过程,由于温度高、时间长岛之组织及晶粒出大现象称为过热,严重过热时晶间决不低熔点组元熔化或晶界弱化现象称为过烧。
产生原因:a、加热温度高、时间长或局部长时间处于高温源处;b、热挤压终了温度过高或者在高温区停留时间长;c、合金中存在低熔点组元或低熔点杂质较多。
2、裂纹或开裂:定义:管棒型材表面出现连续或间断不规则裂纹,轻微的称为裂纹,严重的称为开裂。
产生原因:a、铸造锭中存在裂纹、夹杂、缩孔、疏松、冷隔或其他有害杂质或结晶组织、化学成分严重不均匀;b、铸锭中存在较大应力或加工工艺不当产生较大应力;c、挤压速度过快,加工率过大;d、热处理工艺不当,加工或热处理处于材料的脆性温度区。
3、缩尾:定义:缩尾是挤制品尾部的一种特殊缺陷。
在挤压末期,由于金属紊流,铸锭表面的氧化皮,润滑剂等污物往往流入其中,而导致金属之间的分层。
产生原因:a、挤压尾部金属流动紊乱;b、铸锭表面、次表面有缺陷,挤压筒有润滑剂等污染物。
中国铜牌号及标准与国外对照表铜合金牌号对照表一、铅黄铜牌号对照表二、普通黄铜牌号对照表三、紫铜牌号对照表常用铜合金牌号化学成分--中国牌号一、铅黄铜系列二、普通黄铜系列三、紫铜系列一、铅黄铜系列二、普通黄铜系列三、紫铜系列二、普通黄铜系列三、紫铜系列二、普通黄铜系列三、紫铜系列二、普通黄铜系列三、紫铜系列一、铅黄铜系列二、普通黄铜系列三、紫铜系列英国标准化学成分对照表标准号:BSG017-1981欧标材质标准(EN12164)化学成份注:CuZn36Pb2As(CW602N) As砷含量:0.02-0.05;Mn含量<0.1。
铜合金管棒型材常见缺陷分析1、过热、过烧:定义:金属在加热或加工过程,由于温度高、时间长岛之组织及晶粒出大现象称为过热,严重过热时晶间决不低熔点组元熔化或晶界弱化现象称为过烧。
产生原因:a、加热温度高、时间长或局部长时间处于高温源处;b、热挤压终了温度过高或者在高温区停留时间长;c、合金中存在低熔点组元或低熔点杂质较多。
2、裂纹或开裂:定义:管棒型材表面出现连续或间断不规则裂纹,轻微的称为裂纹,严重的称为开裂。
产生原因:a、铸造锭中存在裂纹、夹杂、缩孔、疏松、冷隔或其他有害杂质或结晶组织、化学成分严重不均匀;b、铸锭中存在较大应力或加工工艺不当产生较大应力;c、挤压速度过快,加工率过大;d、热处理工艺不当,加工或热处理处于材料的脆性温度区。
3、缩尾:定义:缩尾是挤制品尾部的一种特殊缺陷。
在挤压末期,由于金属紊流,铸锭表面的氧化皮,润滑剂等污物往往流入其中,而导致金属之间的分层。
产生原因:a、挤压尾部金属流动紊乱;b、铸锭表面、次表面有缺陷,挤压筒有润滑剂等污染物。
4、鼓泡定义:经挤制、拉制、退货后的产品表面沿着加工方向拉长的条状鼓起,解剖开后为一空腔,这种鼓起称为鼓泡。
鼓泡多呈长条形,表面光滑,剖开内部有金属光泽,个别伴生氧化物或其他夹杂。
产生原因:a、铸锭中有气孔、缩孔、夹杂等缺陷,经挤压、拉伸、冷轧后沿加工方向形成分层;b、挤压筒润滑剂过量;c、挤制品缩尾未切除干净,经进一步拉伸后形成分层。
各国铜牌号及标准对照表铜合金牌号对照表一、铅黄铜牌号对照表二、普通黄铜牌号对照表三、紫铜牌号对照表常用铜合金牌号化学成分--中国牌号一、铅黄铜系列二、普通黄铜系列三、紫铜系列常用铜合金牌号化学成分--日本牌号一、铅黄铜系列二、普通黄铜系列三、紫铜系列常用铜合金牌号化学成分--德国牌号一、铅黄铜系列二、普通黄铜系列三、紫铜系列常用铜合金牌号化学成分--德国牌号一、铅黄铜系列二、普通黄铜系列三、紫铜系列常用铜合金牌号化学成分--美国牌号一、铅黄铜系列二、普通黄铜系列三、紫铜系列常用铜合金牌号化学成分--英国牌号一、铅黄铜系列二、普通黄铜系列三、紫铜系列英国标准化学成分对照表标准号:BSG017-1981欧标材质标准(EN12164)化学成份CuZn35Pb162.5-64 <0.05 <0.1 <0.3 0.9-1.6 <0.1 其余<0.1 8.5(CW600N)CuZn35Pb262-63.5 <0.05 <0.1 <0.3 1.6-2.5 <0.1 其余<0.1 8.5 (CW601N)CuZn38Pb160-61 <0.05 <0.2 <0.3 0.8-1.8 <0.2 其余<0.2 8.4 (CW607N)CuZn39Pb0.5(CW61059-60.5 <0.05 <0.2 <0.3 0.2-0.8 <0.2 其余<0.2 8.4 N)CuZn39Pb159-60 <0.05 <0.2 <0.3 0.8-1.6 <0.2 其余<0.2 8.4 (CW611N)CuZn36Pb2As(CW60261-63 <0.05 <0.1 <0.3 1.7-2.8 <0.1 其余<0.2 8.4 N)注:CuZn36Pb2As(CW602N) As砷含量:0.02-0.05;Mn含量<0.1。
各国铜牌号及标准对照表铜合金牌号对照表一、铅黄铜牌号对照表二、普通黄铜牌号对照表三、紫铜牌号对照表常用铜合金牌号化学成分--中国牌号一、铅黄铜系列二、普通黄铜系列三、紫铜系列常用铜合金牌号化学成分--日本牌号一、铅黄铜系列二、普通黄铜系列三、紫铜系列常用铜合金牌号化学成分--德国牌号一、铅黄铜系列二、普通黄铜系列三、紫铜系列常用铜合金牌号化学成分--德国牌号一、铅黄铜系列二、普通黄铜系列三、紫铜系列常用铜合金牌号化学成分--美国牌号一、铅黄铜系列二、普通黄铜系列三、紫铜系列常用铜合金牌号化学成分--英国牌号一、铅黄铜系列二、普通黄铜系列三、紫铜系列英国标准化学成分对照表标准号:BSG017-1981欧标材质标准(EN12164)化学成份CuZn35Pb162.5-64 <0.05 <0.1 <0.3 0.9-1.6 <0.1 其余<0.1 8.5(CW600N)CuZn35Pb262-63.5 <0.05 <0.1 <0.3 1.6-2.5 <0.1 其余<0.1 8.5 (CW601N)CuZn38Pb160-61 <0.05 <0.2 <0.3 0.8-1.8 <0.2 其余<0.2 8.4 (CW607N)CuZn39Pb0.5(CW61059-60.5 <0.05 <0.2 <0.3 0.2-0.8 <0.2 其余<0.2 8.4 N)CuZn39Pb159-60 <0.05 <0.2 <0.3 0.8-1.6 <0.2 其余<0.2 8.4 (CW611N)CuZn36Pb2As(CW60261-63 <0.05 <0.1 <0.3 1.7-2.8 <0.1 其余<0.2 8.4 N)注:CuZn36Pb2As(CW602N) As砷含量:0.02-0.05;Mn含量<0.1。