有机物转化关系方程式教学文稿
- 格式:doc
- 大小:57.50 KB
- 文档页数:2
第3课时 重要有机物之间的相互转化[目标导航] 1.通过回忆、归纳烃及烃的衍生物的重要性质,能够理解重要有机物相互转化的方法。
2.通过阅读和讨论,了解有机物转化与合成路线设计的一般思路,知道有机物转化的实质是官能团的转化。
3.通过分析与讨论,知道在有机合成中常见官能团的引入和消去的一般方法。
常见有机物之间的相互转化1.写出对应的化学方程式(以溴乙烷为例)CH 3CH 2Br +H —OH ――→NaOH △CH 3CH 2OH +HBr ; CH 3CH 2Br +NaOH ――→乙醇△CH 2==CH 2↑+NaBr +H 2O ; CH 2==CH 2+HBr ―→CH 3—CH 2Br ; CH 2==CH 2+H 2O ―→CH 3—CH 2OH ;CH 3—CH 2—OH +HBr ――→△ CH 3CH 2Br +H 2O ; CH 3CH 2OH ――→浓硫酸170 ℃CH 2==CH 2↑+H 2O ; 2CH 3CH 2OH +O 2――→催化剂△2CH 3CHO +2H 2O ;―――――→Ni加热、加压CH 3CH 2OH ;+O 2――→催化剂△2CH 3COOH ; CH 3COOH +CH 3CH 2OH浓硫酸△CH 3COOCH 2CH 3+H 2O ; CH 3COOCH 2CH 3+H 2O ――→稀硫酸△CH 3COOH +CH 3CH 2OH 。
2.官能团的引入或转化方法 (1)引入碳碳双键的方法①卤代烃的消去;②醇的消去;③炔烃的不完全加成。
(2)引入卤素原子的方法①醇(酚)的取代;②烯烃(炔烃)的加成;③烷烃、苯及苯的同系物的取代。
(3)引入羟基的方法①烯(炔)烃与水的加成;②卤代烃的水解;③酯的水解; ④醛的还原。
3.表达方式:合成路线图 A ―――→反应物反应条件B ―――→反应物反应条件C……―→D4.合成方法(1)识别有机物的类别,含何种官能团,它与哪些知识信息有关。
化学初中全部物质转化教案目标:了解物质的基本转化过程,加深对化学反应的理解。
一、引入
1. 讲解物质的基本性质和组成
2. 引导学生思考物质是如何发生变化的
二、认识化学反应
1. 定义化学反应及其特征
2. 介绍化学反应的符号表示法
三、化学反应的类型
1. 氧化反应和还原反应
2. 酸碱反应
3. 沉淀反应
4. 燃烧反应
5. 分解反应和合成反应
四、实验教学
1. 实验一:观察铁和氧气反应
2. 实验二:观察醋和碳酸钠反应
3. 实验三:观察氢氧化钠和盐酸反应
4. 实验四:观察硫酸和氢氧化钠反应
五、化学方程式
1. 学习如何用化学方程式表示化学反应
2. 实践编写化学方程式
六、课程总结
1. 梳理学过的知识点
2. 总结物质转化的基本原理
七、课堂练习
1. 完成化学反应的习题
2. 分组讨论解题思路
八、课后作业
1. 完成化学反应练习题
2. 自主学习相关化学知识
以上是一份化学初中全部物质转化教案范本,希望能帮助到您的教学工作。
祝您教学顺利!。
第3课时 重要有机物之间的相互转化[明确学习目标] 1.熟知烃和烃的衍生物之间的相互转化关系。
2.掌握构建目标分子骨架,官能团引入、转化或消除的方法。
3.学会有机合成的分析方法,知道常见的合成路线。
重要有机物间的相互关系有关化学方程式为:①CH 3CH 3+Br 2――→光□01CH 3CH 2Br +HBr ;②CH 2===CH 2+HBr ――→催化剂△□02CH 3CH 2Br ;③CH 3CH 2Br +NaOH ――→醇△□03CH 2===CH 2↑+NaBr +H 2O ;④CH 2===CH 2+H 2――→Ni △□04CH 3CH 3; ⑤CH 2===CH 2+H 2O ――→催化剂□05CH 3CH 2OH ;⑥CH 3CH 2OH ――→浓硫酸170 ℃□06CH 2===CH 2↑+H 2O ;⑦2CH 3CH 2OH +O 2――→Cu 或Ag△□072CH 3CHO +2H 2O ;⑧CH 3CHO +H 2――→催化剂△□08CH 3CH 2OH ;⑨2CH 3CHO +O 2――→催化剂△□092CH 3COOH ;⑩CH≡CH+H2――→催化剂△□10CH2===CH2;⑪⑭CH3COOCH2CH3+H2O H+△□11CH3COOH+C2H5OH;⑫⑬CH3CH2OH+CH3COOH 浓硫酸△□12CH3COOC2H5+H2O。
有机合成中引入多种官能团时,为什么要考虑引入官能团的先后顺序?提示:因为在引入不同的官能团时,要采用不同的反应条件,若不考虑引入的先后顺序,前面已引入的官能团在引入后面的官能团时可能会受到破坏。
例如,由制备有两条途径:一是先将醛基催化氧化为羧基,然后再进行醇羟基的消去反应;二是先进行醇羟基的消去反应,后进行醛基的催化氧化反应。
如果先进行醛基的氧化反应,生成,再进行醇羟基的消去反应,在浓硫酸加热条件下,可能发生酯化反应等副反应,因此途径一不合适;途径二中先得到碳碳双键,此时应注意不能用酸性高锰酸钾溶液等强氧化剂氧化醛基,以防碳碳双键也被氧化,应选择银氨溶液、新制氢氧化铜等弱氧化剂来氧化醛基。
第3课时 重要有机物之间的相互转化目标与素养:1.复习归纳烃及烃的衍生物的重要性质,理解有机物相互转化的方法。
(宏观辨识与微观探析)2.掌握有机物转化与合成路线设计的一般思路,知道有机物转化的实质是官能团的转化。
(宏观辨识与微观探析)一、常见有机物之间的转化以溴乙烷为例写出上述有机物转化的化学方程式 ①CH 3CH 2Br +NaOH ――→水△CH 3CH 2OH +NaBr ;②CH 3CH 2Br +NaOH ――→乙醇△CH 2===CH 2↑+NaBr +H 2O ;③CH 2===CH 2+HBr ―→CH 3—CH 2Br ; ④CH 2===CH 2+H 2O ―→CH 3—CH 2OH ; ⑤CH 3—CH 2—OH +HBr ――→△CH 3CH 2Br +H 2O ; ⑥CH 3CH 2OH ――→浓硫酸170 ℃CH 2===CH 2↑+H 2O ;⑦2CH 3CH 2OH +O 2――→催化剂△2CH 3CHO +2H 2O ;⑧; ⑨;⑩CH 3COOH +CH 3CH 2OH ――→浓硫酸△CH 3COOCH 2CH 3+H 2O ;⑪CH 3COOCH 2CH 3+H 2O ――→稀硫酸△CH 3COOH +CH 3CH 2OH 。
二、有机合成1.官能团的引入或转化方法(1)引入碳碳双键的方法①________________;②________________; ③________________。
(2)引入卤素原子的方法①________________;②________________; ③________________。
(3)引入羟基的方法①________________;②________________; ③________________;④________________。
[答案] (1)①卤代烃的消去 ②醇的消去 ③炔烃的不完全加成 (2)①醇(酚)的取代 ②烯烃(炔烃)的加成 ③烷烃、苯及苯的同系物的取代(3)①烯烃与水的加成 ②卤代烃的水解 ③酯的水解 ④醛的还原 2.表达方式:合成路线图 A ――→反应物反应条件B ――→反应物反应条件C……―→D。
河北蒙中高二化学选修4 NO : 使用时间:2013年 月 日 主备人:主备人: 审核人:审核人:课题课题 重要有机物之间的相互转化(第三课时)重要有机物之间的相互转化(第三课时)学习目标学习目标 掌握各类有机物的相互转化掌握各类有机物的相互转化初步学会应用合成分析法设计合理的有机合成路线。
初步学会应用合成分析法设计合理的有机合成路线。
使用说明使用说明 注意各种官能团的引入及消去方法。
注意各种官能团的引入及消去方法。
重点难点重点难点官能团的引入与消去官能团的引入与消去导 学 过 程备 注 一、自主学习一、自主学习先填空,后写出每一步转化的方程式,注明反应条件、反应类型。
先填空,后写出每一步转化的方程式,注明反应条件、反应类型。
二合作探究二合作探究(一)对照上图,小组讨论,有机物转化过程中官能团是如何引入的?(一)对照上图,小组讨论,有机物转化过程中官能团是如何引入的? 1、引入碳碳双键(烯烃)的方法:、引入碳碳双键(烯烃)的方法:2、引入卤素原子(卤代烃)的方法:、引入卤素原子(卤代烃)的方法:3、引入羟基(醇)的方法:、引入羟基(醇)的方法:班级:班级: 姓名:姓名: 小组:小组: 组内编号:组内编号: 教师评价:教师评价:4、引入醛基(醛)的方法:、引入醛基(醛)的方法:5、引入羧基(酸)的方法:、引入羧基(酸)的方法:(二)官能团之间的转化(二)官能团之间的转化练习:用乙烯制取乙酸乙酯练习:用乙烯制取乙酸乙酯(三)官能团数量的变化官能团数量的变化练习:溴乙烷制取1,2—二溴乙烷—二溴乙烷(四)分子骨架的构造(四)分子骨架的构造方法指导:逆向分析法:方法指导:逆向分析法: 目标产物目标产物 中间物质中间物质 中间物质中间物质 原始材料原始材料 练习:用2-丁烯、乙烯为原料设计合成路线丁烯、乙烯为原料设计合成路线小结:小结:。
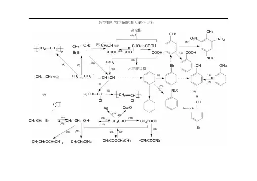
(31)各类有机物之间的相互转化关系CH 3CH 2OCH 2CHCH 3CH 2ONaCH 3COOCH 2CH 3 ^CH s COONa(14)COOHCOOH(39)CaC 2(35)(6)BrOHONa六元环状酯(10)(ii)(16) CH 「CH(17)(8)NO 2(18)Cl OHAgBr(30)(28)(29)高聚酯(40)人CH 2CH 3Cu 2O NO 2NO 2CH 2—CHBr Br(12)(佝 .(9)(20) CH 2—CH —(21)(19)2—CHCH 3 CH 2—Br CH 3—CH 2—OH(22) /CH 3CH 2(34)CH 2OH (36)Br^^\^ BrCHO (37) COOHCH 2OH (38) CHO CH 2二 CH 2「(25)(26)(23) (24)A CH 3CHOCH 3COOH(27)I—nCl(1)/汀/CH 3—CH 3 N ⑵(22) CH 3CH 2OH+HBrCH 3CH 2Br+H 2O光昭 CH 3CH 3+Br 2 光昭.CH 3CH 2Br+HBr CH 2 = CH 2+H 2 催化剂 △ -CH 3CH 3 CH 2 = CH 2+Br 2 ” CH 2BrCH 2Br CH 2 = CH 2+HBr ・CH 3CH 2BrCH 2 =CH 2+H 2O 浓H2S °4 - CH 3CH 2OH 催化剂‘ n CH 2= CH 2 -^CH 2—CH 2十 催化剂 CH 三 CH+H 2 催化-CH 2 = CH 2 CH 三 CH+HCl 催化剂■ CH 2 = CHCl n CH 2=CHCl CH 3(14)(15)+ 3HO —NO 2O 2N浓 H 2SO 4■ △CH 3COOHI 酸性 KMnO 4 II I 或酸性K2C2O7 |2-OH +2Na - 2(16) oH+NaOH OH+Na 2CO 3—ONa +HCl°Na +NaHCO 3 °Na+H 2O—ONa +H 2f催化剂-一CH 2—CH_n Cl ONa +CO 2+H 2OCaC 2+2H 2O » CH 三CH f +Ca(OH )2 + Br 2 催化剂》Br + HBr (18)〉+ HO - NO 2 浓严4.厂:-NO 2 +H 2O催化剂△CH 31 N6Il +3H 2OOH +NaCl"—OH +NaHCO 3—BrJ +3HBr(19) 2CH 3CH 2OH+2Na- 2CH 3CH 2ONa+H 2 f浓H 2SO 4人(20) CH 3CH 2OH 而C »CH 2 = CH 2 f +H 2O浓 H 2SO 4(21) C 2H 5— OH+HO — C 2H 5 荷c" C 2H 5— O — C 2H 5+H 2O (1) (2) (3) (4) (5) (6) (7) (8) (9)(10) (11) (⑵ (13)(30) 2CH 3COOH+2Na ■ 2CH 3COONa+H 2 f2CH 3COOH+Na 2O片 2CH 3COONa+H 2OCH 3COOH+NaOH ■ CH 3COONa+H 2O2CH 3COOH+Na 2CO 3 尸 2CH 3COONa+H 2O+CO 2 fCH 3COOH+NaHCO 3- CH 3COONa+H 2O+CO 2 f(31) CH 3COOC 2H 5+NaOH △» CH s COONa+C z H s OH水(32) CH 3CH 2Br+NaOH —水—CH 3CH 2OH+NaBr 乙醇(33) CH 3CH 2Br+NaOH 醇 CH 2= CH 2 f +NaBr+H 2O(23) 2CH 3CH 2OH+O 2—] 2CH 3CHO+2H 2O CH 3CH 2OH+CUO 仁 CH 3CHO+CU+H 2O (24) 2CH 3CHO+O 2 催化剂》2CH 3COOH(25) CH 3CHO+2Ag(NH 3)2OH 人 CH 3COONH 4+2Ag J(34)(35) (36) +3NH 3+H 2O (37)(26)△CH 3CHO+2CUQH) 2 CH 3COOH+CU 2O J +2H 2O(27)CH 3CHO+H 2 催化剂「CH 3CH 2OH (39)(28)浓 H 2SO 4CH 3COOH+HOC 2H 5 r A J CH 3COOC 2H 5+H 2O(40)(29)稀 H 2SO 4CH 3COOC 2H 5+H 2O ■=△匚 CH 3COOH+C 2H 5OHCH 2Br水CH 2Br + 2N aOH-水CH 2BrCH 2Br+2NaOH CH 2OHCH 2OH +°2CH 2OHCH 2OH +2NaBr催化剂” CHO△CHO +O 2催化剂.COOH +CH2OHCOOH - 一COOH nCOOH 乙醇△ - CH 三 CH f +2NaBr+2H 2OCHO +2H 2。
2021年高中化学有机物的相互转化苏教版选修5【教学目标】1 .掌握常见官能团的引入、消除和衍变及碳骨架增减的方法。
2.掌握有机合成路线的选择和有机合成的常规方法。
3.能根据有机物的化学反应及衍变关系合成指定结构的产物。
【教学重点】在掌握各类有机物的性质、反应类型、相互转化的基础上,初步学习设计合理的有机合成路线。
【教学难点】逆向合成法的思维方法【教具】(3)5、在碳链上引入羧基(-COOH)的方法(1) (2)(3) (4) 。
6、在碳链上引入酯基(-COO-)的方法二合作探究探究1:官能团的消除与转化是有机合成的重要环节,请完成下列学习任务。
(1)官能团的消除①通过消除不饱和键。
②通过_________反应或_________反应消除卤原子③通过________反应、_______反应或_____反应消除羟基④通过_________反应或_________反应消除醛基(—CHO)。
(2)官能团的衍变①通过消去(H2O)、加成(X2)、水解,将一元醇(RCH2CH2—OH)变为二元醇R-OH|CH-OH|CH2②通过消去(HX)、加成(HX),将卤代烃的卤原子在碳链上位置移动。
CH3CH2CH2Cl–HCl——→ CH3CH=CH2+HCl——→ CH3-CH|Cl-CH3探究2:有机合成题解题思路:①从反应条件入手,推断有机物含何种官能团②正推法、逆推法③碳原子的守恒、碳链的保持探究3:逆推法合成有机物[例析]以合成(草酸二乙酯)为例,说明逆推法在有机合成中的应用。
(1)分析草酸二乙酯,官能团有(2)反推,酯是由酸和醇合成的,则反应物为和(3)反推,酸是由醇氧化成醛再氧化酸来的,则可推出醇为(4)反推,此醇A 与乙醇的不同之处在于 。
此醇羟基的引入可用B(5)反推,乙醇的引入可用 ,或(6)由乙烯可用 制得B 。
探究4:用绿色化学的角度出发,有机合成的设计有哪些注意事项?原理正确、原料廉价、线路简捷、便于操作。