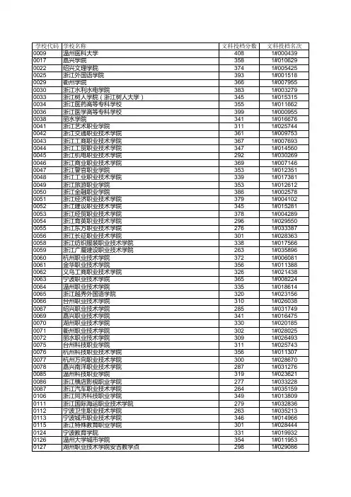
浙江省2015年高考理科第三批各学校录取分数线
- 格式:xls
- 大小:70.50 KB
- 文档页数:10
2015浙江高考录取批次及录取原则2015浙江高考录取批次及录取原则34.录取工作在教育部统一领导下,由省高校招生委员会组织实施。
坚持科学民主决策和“谁主管,谁负责”的原则,录取工作中遇到重大问题须集体研究决定。
35.分类分批划定并公布分数线、分批填报志愿、分批录取。
已被上一批次(包括各批提前录取和单独录取)高校录取的考生,不得再录取。
(一)录取批次36.文理科录取工作分三批进行,分别对应三个考试类别科目组。
第一批为“985”、“211”高校和经批准列入该批的本科高校专业,对应一类考试科目;第二批为其他一般本科高校(包括独立学院、民办高校)的本科专业,对应二类考试科目;第三批为高职(专科)院校专业,对应三类考试科目。
37.提前录取的学校按规定分别安排到各批提前录取。
38.艺术类录取分三批进行。
第一批为31所独立设置的艺术类院校、清华等13所高校的艺术类本科专业,其他专业校考和进入“211工程”建设院校及经批准列入该批录取的艺术类本科专业。
第二批为专业省统考的艺术类本科专业。
第三批为艺术类高职(专科)专业。
体育类录取分本、专科(高职)两批进行。
(二)分数线39.省高校招生委员会根据当年高校在我省的招生计划数和考生成绩,分类分批按一定比例划定并公布最低控制分数线,其中艺术类按美术、广电及其它类分别划定文化最低控制分数线。
40.第一次划定文理科第一批、艺术和体育类本科录取最低控制分数线,并确定其他各批最低控制分数线划线比例;后续其他各批最低控制分数线按照最接近确定比例的分数划定。
(三)志愿设置41.文理科第一至三批均设置平行志愿,各批的提前录取院校为传统志愿。
42.艺术类第一批为传统志愿,艺术类第二、三批和体育类的本、专科批均为平行志愿。
43.根据平行志愿录取情况,对未完成招生计划的高校、专业,进行征求志愿。
44.对平行志愿和征求志愿投档录取后仍未完成招生计划的高校、专业,视情进行降分征求志愿。
45. 各批平行志愿(即平行一志愿,下同)、征求志愿(即平行二志愿,下同)以及降分征求志愿(即平行三志愿,下同)均设置A、B、C 、D、E 5个高校志愿(降分征求志愿另再增设院校服从志愿)。
2015年中国高考各省市区一本录取线完全名单(排名不分先
后)
2015年中国高考各省市区一本录取线完全名单(排名不分先后)
李子迟到了 2015-07-02 00:22
华北(2市2省1区)
北京:文科579、理科548
天津:文科547、理科538
河北:文科548、理科544
山西:文科513、理科462
内蒙古:文科487、理科464
东北(3省)
辽宁:文科530、理科500
吉林:文科543、理科525
黑龙江:文科495、理科483
华东(1市6省)
上海:文科434、理科414
江苏:文科342、理科344
浙江:文科626、理科605
安徽:文科597、理科555
江西:文科528、理科540
福建:文科549、理科525
山东:文科568、理科562
中南(5省1区)
河南:文科513、理科529 湖北:文科521、理科510 湖南:文科535、理科526 广东:文科573、理科577 广西:文科530、理科480 海南:文科662、理科608 西南(1市3省1区)
重庆:文科572、理科573 四川:文科543、理科528 云南:文科540、理科500 贵州:文科543、理科453 西藏:文科440、理科420 西北(3省2区)
陕西:文科510、理科480 甘肃:文科517、理科475 青海:文科466、理科400 宁夏:文科507、理科445 新疆:文科486、理科446 36 107。
2015年全国各省普通高校录取批次分数线因为有的高考试题是由教育部组织命的题,有的是由各省市组织命的题,试题的难易程度就不一样,同时高考考试设置的科目不同,再加上每个省、市、自治区招生的人数也不同,就导致各个科类(文科或理科)各个批次的最低录取分数不一样,省与省之间也不一样。
但是,高中教育是一个地方基础教育的出口,各地教育主管部门十分重视高中教育,学校也十分重视高中教育,家长也十分重视高中教育,学生更是十分重视高中教育。
在一定程度上讲,学生在高考中考得怎么样,自然成为检验一个地方、一所高中学校办学质量如何,这也是一个不争的事实。
四川文科:本科第一批543、本科第二批473。
理科:本科第一批528、本科第二批445。
重庆文科:本科第一批572、本科第二批532、本科第三批482、高职专一段24 0、高职专二段140。
理科:本科第一批573、本科第二批427、本科第三批485、高职专一段22 4、高职专二段150。
广西文科:本科第一批530、本科第二批380、高职专科180。
理科:本科第一批480、本科第二批320、高职专科180。
吉林文科:本科第一批543、本科第二批433、本科第三批300。
理科:本科第一批525、本科第二批405、本科第三批305。
甘肃文科:本科第一批517、本科第二批465。
理科:本科第一批475、本科第二批417。
河北文科:本科第一批548、本科第二批496、本科第三批404、专科参考线20 0。
理科:本科第一批544、本科第二批474、本科第三批335、专科参考线200。
浙江文科:本科第一批626、本科第二批472。
理科:本科第一批605、本科第二批428。
贵州文科:本科第一批543、本科第二批472、本科第三批438、高职专科220。
理科:本科第一批453、本科第二批372、本科第三批345、高职专科2 00。
宁夏文科:本科第一批507、本科第二批478、本科第三批378。
浙江工商大学杭州商学院2015年录取分数线浙江工商大学杭州商学院2015年录取分数线生源地:贵州第三批本科文史计划数10 ,录取志愿:平行最高分: 474 分,最低分:452 分。
生源地:贵州第三批本科理工计划数10 ,录取志愿:平行最高分: 368 分,最低分:345 分。
生源地:陕西院校代号4244 本科三批理工实际计划数5 实投档人数5 ,最低分:418 分,最低位次:99324 名;生源地:陕西院校代号4244 本科三批文史实际计划数5 实投档人数5 ,最低分:444 分,最低位次:35717 名;生源地:东本科二批理科一志愿计划数14 投档比例100 投出数14 ,最高分: 572 分,最低分:512.108215113076 分,控线490 线差22 ;生源地:山东本科二批文科一志愿计划数8 投档比例100 投出数8 ,最高分: 556 分,最低分:529.101210113105 分,控线510 线差19 ;生源地:甘肃院校代号0732 录取批次本科三批理工最低分: 397.079176092 控线355 线差42生源地:安徽院校代号3288 本科第三批理科投档人数26 投档最低分511 投档最低分排名115872 ;生源地:安徽院校代号3288 本科第三批文科投档人数24 投档最低分557 投档最低分排名35291 ;生源地:江苏院校代号8205 本科第三批理科选测等级CC 投档最低分310 辅助排序分235生源地:江苏院校代号8205 本科第三批文科选测等级CC 投档最低分300 辅助排序分233生源地:江苏院校代号8205 本科第三批征求文科选测等级CC 投档最低分302 辅助排序分227生源地:广东院校代码13290 第二批本科B类第一次投档文科计划数17 投档人数17 投档分515 最低排位61454 生源地:广东院校代码13290 第二批本科B类第一次投档理科计划数18 投档人数18 投档分500 最低排位145428 生源地:江西院校代号3365 本科第三批理工投档线484 最低排名61660生源地:江西院校代号3365 本科第三批文史投档线484 最低排名20450生源地:福建院校代号6689 本科二批理科常规志愿投档最低分463 控线410 线差53生源地:福建院校代号6689 本科二批文科常规志愿投档最低分502 控线462 线差40生源地:浙江代码0096 艺术类第二批首轮平行志愿美术统考文投档分数综合分:522 投档名次B2-04249生源地:浙江学校代码0096 艺术类第二批首轮平行志愿美术统考理投档分数综合分:512 投档名次N2-00936生源地:浙江学校代码0096 第二批文科投档分数537 投档名次1*011464生源地:浙江学校代码0096 第二批理科投档分数497 投档名次5*037055浙江工商大学杭州商学院2015年录取分数线。
温州大学瓯江学院2015年录取分数线温州大学瓯江学院2015年录取分数线生源地:重庆院校代号3343 本科第三批理工类录取人数:12 1志愿录取最高分506.1980801 ,录取最低分488.1981071 ;生源地:贵州第三批本科文史计划数7 ,录取志愿:平行最高分: 446 分,最低分:439 分。
生源地:贵州第三批本科理工计划数13 ,录取志愿:平行最高分: 348 分,最低分:348 分。
生源地:贵州第三批本科理工计划数,录取志愿:补报最高分: 355 分,最低分:345 分。
生源地:贵州第三批本科理工计划数,录取志愿:二次补报最高分: 358 分,最低分:346 分。
生源地:西院校代码3119 本科第二批C类文史统招投档最低分: 405.090079156 ;生源地:山西院校代码3119 本科第二批C类理工统招投档最低分: 310.000000000 ;生源地:河南院校代号6965 本三批一志愿文科统招计划人数10 投档人数9 投档比例120 投档最低分397 控线397生源地:河南院校代号6965 本三批一志愿理科统招计划人数20 投档人数6 投档比例120 投档最低分383 控线383 生源地:安徽院校代号3235 本科第三批理科投档人数30 投档最低分491 投档最低分排名141228 ;生源地:安徽院校代号3235 本科第三批文科投档人数26 投档最低分535 投档最低分排名47968 ;生源地:江苏院校代号8237 本科第三批理科选测等级CC 投档最低分278 辅助排序分生源地:江苏院校代号8237 本科第三批文科选测等级CC 投档最低分288 辅助排序分生源地:江苏院校代号8237 本科第三批征求理科选测等级CC 投档最低分278 辅助排序分205生源地:江苏院校代号8237 本科第三批征求文科选测等级CC 投档最低分294 辅助排序分216生源地:广东院校代码13289 第二批本科B类第一次投档文科计划数12 投档人数14 投档分482 最低排位94392 生源地:广东院校代码13289 第二批本科B类第一次投档理科计划数8 投档人数5 投档分483 最低排位-生源地:江西院校代号3364 本科第三批理工投档线460 最低排名79110生源地:江西院校代号3364 本科第三批文史投档线465 最低排名28372生源地:江西院校代号3364 三本征集文史投档线477 最低排名23350生源地:江西院校代号3364 三本征集理工投档线453 最低排名82979生源地:福建院校代号6585 本科二批理科常规志愿投档最低分410 控线410 线差0生源地:福建院校代号6585 本科二批文科常规志愿投档最低分466 控线462 线差4生源地:浙江代码0123 艺术类第二批首轮平行志愿美术统考文投档分数综合分:501 投档名次B2-06899生源地:浙江学校代码0123 艺术类第二批首轮平行志愿美术统考理投档分数综合分:486 投档名次N2-01625生源地:浙江学校代码0123 第二批文科投档分数506 投档名次1*021401生源地:浙江学校代码0123 第二批理科投档分数456 投档名次5*060043生源地:湖北院校代号6549 录取批次: 第三批本科平行志愿投档类别普通类理科投档分数线374.109051082生源地:湖北院校代号6549 录取批次: 第三批本科征集志愿投档类别普通类理科投档分数线391.105053070生源地:湖北院校代号6549 录取批次: 第三批本科平行志愿投档类别普通类文科投档分数线415.113074110生源地:湖南院校代号3372 本科三批平行一志愿理工类投档线427 语文83 数学406 外语21 104 67温州大学瓯江学院2015年录取分数线。
2015高考录取分数线
2015年高考录取分数线
在2015年的高考录取中,各省份的分数线多有波动,但整体上还是保持了往年的稳定。
下面分别以文科和理科为例,介绍了部分省份的录取分数线情况。
文科分数线:
北京:理科513分,文科558分。
上海:理科535分,文科587分。
广东:理科536分,文科591分。
理科分数线:
北京:理科513分,文科558分。
上海:理科535分,文科587分。
广东:理科536分,文科591分。
各省份的录取分数线具体以当年公布的为准,以上仅为部分省份的例子。
学生在填报志愿时,可以根据自己的实际情况参考各省份的分数线来进行选择。
当然,分数线只是一个参考,还需要综合考虑自己的兴趣、能力等因素进行合理的选择。
当然,根据往年的经验来看,每年的录取分数线都会有一定的波动,因此学生和家长在填报志愿时要多关注当年的最新分数线信息,并及时调整自己的志愿顺序。
最后,无论录取分数线如何,最重要的还是要保持良好的心态,努力实现自己的目标。
高考只是人生中的一次考试,不论结果如何,都不代表一个人的全部价值。
希望每位学生都能够坚持努力,成就自己的未来。