【参考借鉴】天津大学第五版有机化学答案-用于合并.doc
- 格式:doc
- 大小:3.23 MB
- 文档页数:171
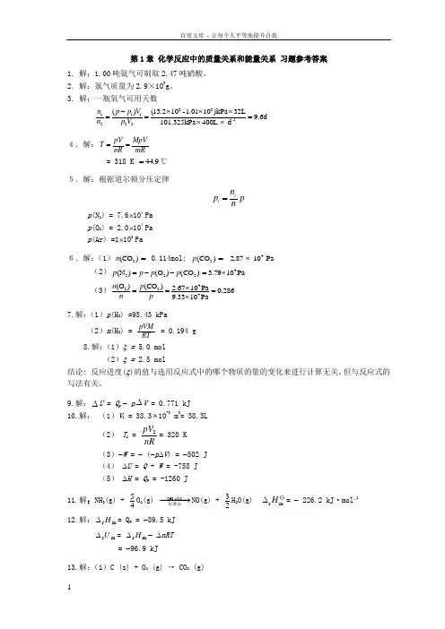
第1章 化学反应中的质量关系和能量关系 习题参考答案1.解:1.00吨氨气可制取2.47吨硝酸。
2.解:氯气质量为2.9×103g 。
3.解:一瓶氧气可用天数33111-1222()(13.210-1.0110)kPa 32L9.6d 101.325kPa 400L d n p p V n p V -⨯⨯⨯===⨯⨯4.解:pV MpVT nR mR== = 318 K 44.9=℃ 5.解:根据道尔顿分压定律ii n p p n=p (N 2) = 7.6⨯104 Pap (O 2) = 2.0⨯104 Pa p (Ar) =1⨯103 Pa6.解:(1)2(CO )n = 0.114mol; 2(CO )p = 42.87 10 Pa ⨯(2)222(N )(O )(CO )p p p p =--43.7910Pa =⨯ (3)4224(O )(CO ) 2.6710Pa0.2869.3310Pan p n p ⨯===⨯ 7.解:(1)p (H 2) =95.43 kPa (2)m (H 2) =pVMRT= 0.194 g 8.解:(1)ξ = 5.0 mol(2)ξ = 2.5 mol结论: 反应进度(ξ)的值与选用反应式中的哪个物质的量的变化来进行计算无关,但与反应式的写法有关。
9.解:∆U = Q p - p ∆V = 0.771 kJ 10.解: (1)V 1 = 38.3⨯10-3m 3= 38.3L(2) T 2 =nRpV 2= 320 K (3)-W = - (-p ∆V ) = -502 J (4) ∆U = Q + W = -758 J (5) ∆H = Q p = -1260 J11.解:NH 3(g) +45O 2(g) 298.15K−−−−→标准态NO(g) + 23H 2O(g) m r H ∆= - 226.2 kJ ·mol -1 12.解:m r H ∆= Q p = -89.5 kJ m r U ∆= m r H ∆- ∆nRT= -96.9 kJ13.解:(1)C (s) + O 2 (g) → CO 2 (g)m r H ∆ = m f H ∆(CO 2, g) = -393.509 kJ ·mol -121CO 2(g) + 21C(s) → CO(g)m r H ∆ = 86.229 kJ ·mol -1CO(g) +31Fe 2O 3(s) → 32Fe(s) + CO 2(g)m r H ∆ = -8.3 kJ ·mol -1各反应 m r H ∆之和m r H ∆= -315.6 kJ ·mol -1。
《有机化学》(第五版,李景宁主编)习题答案 第一章3、指出下列各化合物所含官能团的名称。
(1) CH 3CH=CHCH 3 答:碳碳双键 (2) CH 3CH 2Cl 答:卤素(氯) (3) CH 3CHCH 3OH 答:羟基(4) CH 3CH 2 C=O 答:羰基 (醛基)H(5)CH 3CCH 3O答:羰基 (酮基)(6) CH 3CH 2COOH 答:羧基 (7)NH 2答:氨基(8) CH 3-C ≡C-CH 3 答:碳碳叁键4、根据电负性数据,用和标明下列键或分子中带部分正电荷和负电荷的原子。
答:6、下列各化合物哪个有偶极矩?画出其方向(1)Br 2 (2) CH 2Cl 2 (3)HI (4) CHCl 3 (5)CH 3OH (6)CH 3OCH 3 答:以上化合物中(2)、(3)、(4)、(5)、(6)均有偶极矩(2)H 2C Cl (3)I (4) Cl 3 (5)H3COH(6)H3CCH 37、一种化合物,在燃烧分析中发现含有84%的碳[Ar (C )=12.0]和16的氢[Ar (H )=1.0],这个化合物的分子式可能是(1)CH 4O (2)C 6H 14O 2 (3)C 7H 16 (4)C 6H 10 (5)C 14H 22 答:根据分析结果,化合物中没有氧元素,因而不可能是化合物(1)和(2); 在化合物(3)、(4)、(5)中根据碳、氢的比例计算(计算略)可判断这个化合物的分子式可能是(3)。
第二章习题解答1、用系统命名法命名下列化合物 (1)2,5-二甲基-3-乙基己烷 (3)3,4,4,6-四甲基辛烷 (5)3,3,6,7-四甲基癸烷(6)4-甲基-3,3-二乙基-5-异丙基辛烷2、写出下列化合物的构造式和键线式,并用系统命名法命名之。
(3)仅含有伯氢和仲氢的C 5H 12答:符合条件的构造式为CH 3CH 2CH 2CH 2CH 3;键线式为; 命名:戊烷。
《有机化学》(第五版,李景宁主编)习题答案 第一章3、指出下列各化合物所含官能团的名称。
(1) CH 3CH=CHCH 3 答:碳碳双键 (2) CH 3CH 2Cl 答:卤素(氯) (3) CH 3CHCH 3OH 答:羟基(4) CH 3CH 2 C=O 答:羰基 (醛基)H(5)CH 3CCH 3O答:羰基 (酮基)(6) CH 3CH 2COOH 答:羧基 (7)NH 2答:氨基(8) CH 3-C ≡C-CH 3 答:碳碳叁键4、根据电负性数据,用和标明下列键或分子中带部分正电荷和负电荷的原子。
答:6、下列各化合物哪个有偶极矩?画出其方向(1)Br 2 (2) CH 2Cl 2 (3)HI (4) CHCl 3 (5)CH 3OH (6)CH 3OCH 3 答:以上化合物中(2)、(3)、(4)、(5)、(6)均有偶极矩(2)H 2C Cl (3)I (4) Cl 3 (5)H3COH(6)H3CCH 37、一种化合物,在燃烧分析中发现含有84%的碳[Ar (C )=12.0]和16的氢[Ar (H )=1.0],这个化合物的分子式可能是(1)CH 4O (2)C 6H 14O 2 (3)C 7H 16 (4)C 6H 10 (5)C 14H 22 答:根据分析结果,化合物中没有氧元素,因而不可能是化合物(1)和(2); 在化合物(3)、(4)、(5)中根据碳、氢的比例计算(计算略)可判断这个化合物的分子式可能是(3)。
第二章习题解答1、用系统命名法命名下列化合物 (1)2,5-二甲基-3-乙基己烷 (3)3,4,4,6-四甲基辛烷 (5)3,3,6,7-四甲基癸烷(6)4-甲基-3,3-二乙基-5-异丙基辛烷2、写出下列化合物的构造式和键线式,并用系统命名法命名之。
(3)仅含有伯氢和仲氢的C 5H 12答:符合条件的构造式为CH 3CH 2CH 2CH 2CH 3;键线式为; 命名:戊烷。
第1章 化学反应中的质量关系和能量关系 习题参考答案1.解:1.00吨氨气可制取2.47吨硝酸。
2.解:氯气质量为2.9×103g 。
3.解:一瓶氧气可用天数33111-1222()(13.210-1.0110)kPa 32L9.6d 101.325kPa 400L d n p p V n p V -⨯⨯⨯===⨯⨯4.解:pV MpVT nR mR== = 318 K 44.9=℃ 5.解:根据道尔顿分压定律ii n p p n=p (N 2) = 7.6⨯104 Pap (O 2) = 2.0⨯104 Pa p (Ar) =1⨯103 Pa6.解:(1)2(CO )n = 0.114mol; 2(CO )p = 42.87 10 Pa ⨯(2)222(N )(O )(CO )p p p p =--43.7910Pa =⨯ (3)4224(O )(CO ) 2.6710Pa0.2869.3310Pan p n p ⨯===⨯ 7.解:(1)p (H 2) =95.43 kPa (2)m (H 2) =pVMRT= 0.194 g 8.解:(1)ξ = 5.0 mol(2)ξ = 2.5 mol结论: 反应进度(ξ)的值与选用反应式中的哪个物质的量的变化来进行计算无关,但与反应式的写法有关。
9.解:∆U = Q p - p ∆V = 0.771 kJ 10.解: (1)V 1 = 38.3⨯10-3m 3= 38.3L(2) T 2 =nRpV 2= 320 K (3)-W = - (-p ∆V ) = -502 J (4) ∆U = Q + W = -758 J (5) ∆H = Q p = -1260 J11.解:NH 3(g) +45O 2(g) 298.15K−−−−→标准态NO(g) + 23H 2O(g) m r H ∆= - 226.2 kJ ·mol -1 12.解:m r H ∆= Q p = -89.5 kJ m r U ∆= m r H ∆- ∆nRT= -96.9 kJ13.解:(1)C (s) + O 2 (g) → CO 2 (g)m r H ∆ = m f H ∆(CO 2, g) = -393.509 kJ ·mol -121CO 2(g) + 21C(s) → CO(g)m r H ∆ = 86.229 kJ ·mol -1CO(g) +31Fe 2O 3(s) → 32Fe(s) + CO 2(g)m r H ∆ = -8.3 kJ ·mol -1各反应 m r H ∆之和m r H ∆= -315.6 kJ ·mol -1。
《有機化學》(第五版,李景寧主編)習題答案第一章3、指出下列各化合物所含官能團的名稱。
(1) CH3CH=CHCH3答:碳碳雙鍵(2) CH3CH2Cl 答:鹵素(氯)(3) CH3CHCH3OH 答:羥基(4) CH3CH2 C=O 答:羰基 (醛基)H(5) CH3CCH3答:羰基 (酮基)(6) CH3CH2COOH 答:羧基(7) NH2答:氨基(8) CH3-C≡C-CH3答:碳碳叁鍵4、根據電負性數據,用和標明下列鍵或分子中帶部分正電荷和負電荷的原子。
GAGGAGAGGAFFFFAFAF答:6、下列各化合物哪個有偶極矩?畫出其方向(1)Br2(2) CH2Cl2(3)HI (4) CHCl3 (5)CH3OH (6)CH3OCH3答:以上化合物中(2)、(3)、(4)、(5)、(6)均有偶極矩(2)H2C Cl(3)I(4)Cl3(5)H3C OH(6)H3CCH37、一种化合物,在燃烧分析中发现含有84%的碳[Ar(C)=12.0]和16的氢[Ar(H)=1.0],这个化合物的分子式可能是(1)CH4O (2)C6H14O2(3)C7H16(4)C6H10(5)C14H22答:根據分析結果,化合物中沒有氧元素,因而不可能是化合物(1)和(2);在化合物(3)、(4)、(5)中根據碳、氫的比例計算(計算略)可判斷這個化合物的分子式可能是(3)。
第二章GAGGAGAGGAFFFFAFAF習題解答1、用系統命名法命名下列化合物(1)2,5-二甲基-3-乙基己烷(3)3,4,4,6-四甲基辛烷(5)3,3,6,7-四甲基癸烷(6)4-甲基-3,3-二乙基-5-異丙基辛烷2、寫出下列化合物的構造式和鍵線式,并用系統命名法命名之。
(3)僅含有伯氫和仲氫的C5H12答:符合條件的構造式為CH3CH2CH2CH2CH3;鍵線式為;命名:戊烷。
3、寫出下令化合物的構造簡式(2)由一个丁基和一个异丙基组成的烷烃(4) 相对分子质量为100,同时含有伯、叔、季碳原子的烷烃答:該烷烴的分子式為C7H16。
第一章 气体的pVT 关系1-1物质的体膨胀系数V α与等温压缩系数T κ的定义如下:1 1TT p V p V V T V V ⎪⎪⎭⎫⎝⎛∂∂-=⎪⎭⎫ ⎝⎛∂∂=κα 试导出理想气体的V α、T κ与压力、温度的关系?解:对于理想气体,pV=nRT111 )/(11-=⋅=⋅=⎪⎭⎫⎝⎛∂∂=⎪⎭⎫ ⎝⎛∂∂=T TVV p nR V T p nRT V T V V p p V α 1211 )/(11-=⋅=⋅=⎪⎪⎭⎫ ⎝⎛∂∂-=⎪⎪⎭⎫ ⎝⎛∂∂-=p p V V pnRT V p p nRT V p V V T T T κ 1-2 气柜内有121.6kPa 、27℃的氯乙烯(C 2H 3Cl )气体300m 3,若以每小时90kg 的流量输往使用车间,试问贮存的气体能用多少小时?解:设氯乙烯为理想气体,气柜内氯乙烯的物质的量为mol RT pV n 623.1461815.300314.8300106.1213=⨯⨯⨯==每小时90kg 的流量折合p 摩尔数为 133153.144145.621090109032-⋅=⨯=⨯=h mol M v Cl H Cn/v=(14618.623÷1441.153)=10.144小时1-3 0℃、101.325kPa 的条件常称为气体的标准状况。
试求甲烷在标准状况下的密度。
解:33714.015.273314.81016101325444--⋅=⨯⨯⨯=⋅=⋅=m kg M RT p M V n CH CH CH ρ1-4 一抽成真空的球形容器,质量为25.0000g 。
充以4℃水之后,总质量为125.0000g 。
若改用充以25℃、13.33kPa 的某碳氢化合物气体,则总质量为25.0163g 。
试估算该气体的摩尔质量。
解:先求容器的容积33)(0000.10010000.100000.250000.1252cm cm V l O H ==-=ρn=m/M=pV/RTmol g pV RTm M ⋅=⨯-⨯⨯==-31.301013330)0000.250163.25(15.298314.841-5 两个体积均为V 的玻璃球泡之间用细管连接,泡内密封着标准状况条件下的空气。
第五章教学要点和复习一.重要反应纵横+C2H5C2H5 C2H5C2H53烷基化试剂卤代烃、烯烃、醇容易重排二.重要概念和原理1. 多功能团有机物的命名教材列出了主要官能团的优先次序,其作用是:当有机物分子中含有两个或两个以上官能团时,优先次序在前的优先为母体,其余的则作为取代基处理。
有机物命名基本原则:(1)按优先的官能团,确定有机物类别。
(2)主官能团位次需最低。
(3)按次序规则确定取代基排列前后次序。
(4)按照最低系列原则为取代基进行编号。
注意:(1)有机物命名有多种原则,但每一种原则都有其适用的范围,不能互相混淆和乱用。
(2)本章介绍的命名基本原则,同样适用于其他有机物命名,后续章节中会进一步涉及。
2. 亲电取代反应及其机理机理:亲电离子产生——亲电试剂进攻——苯环共轭体系恢复中间体:σ络合物:HE +理解:(1)环状碳正离子,但很难说E+从某一个碳原子上得到π电子。
(2)可看作亲电加成产物产物,但不会停留于此:σ络合物失去质子可以恢复为稳定的苯环结构。
3. 苯取代定位规律及其解释本章重点和难点,教材以共振论结合电子效应解释。
教学中主要以电子效应进行解释。
理解:(1)苯环上的取代基,改变了苯环上电子云密度分布。
(2)供电子取代基,苯环上电子云密度分布提高,且邻对位上提高更多;吸电子取代基,苯环上电子云密度分布降低,但间位上降低较少。
(3)诱导和共轭效应均有供和吸电子两类,效应不一样的主要是卤素(吸电子诱导和供电子共轭)4. 芳香性及其判断原则:体系平面(碳杂化为SP 2),π电子符合:4n+2注意:π电子计算:碳碳双键每一个碳1个,碳正离子0个,碳负离子2个三.重要考点示范1. 下列亲电取代反应速率由快到慢的顺序为 。
(A) NO 2 (B) CH 3 (C) OCH 3 (D)答案: (C) (B) (D) (A)注意:亲电取代反应的速率主要与苯环上电子云密度有关,第一类定位基,且定位效应越强,则亲电取代反应速率越快。
有机化学第五版习题答案讲述《有机化学》(第五版,李景宁主编)习题答案第⼀章3、指出下列各化合物所含官能团的名称。
(1) CH 3CH=CHCH 3 答:碳碳双键 (2) CH 3CH 2Cl 答:卤素(氯) (3) CH 3CHCH 3OH 答:羟基(4) CH 3CH 2 C=O 答:羰基 (醛基)H(5)CH 3CCH 3 答:羰基 (酮基)(6) CH 3CH 2COOH 答:羧基 (7)NH 2答:氨基(8) CH 3-C ≡C-CH 3 答:碳碳叁键4、根据电负性数据,⽤和标明下列键或分⼦中带部分正电荷和负电荷的原⼦。
答:6、下列各化合物哪个有偶极矩?画出其⽅向(1)Br 2 (2) CH 2Cl 2 (3)HI (4) CHCl 3 (5)CH 3OH (6)CH 3OCH 3 答:以上化合物中(2)、(3)、(4)、(5)、(6)均有偶极矩(2)H 2C Cl (3)I (4) Cl 3 (5)H 3COH(6)H3CCH 37、⼀种化合物,在燃烧分析中发现含有84%的碳[Ar (C )=12.0]和16的氢[Ar (H )=1.0],这个化合物的分⼦式可能是(1)CH 4O (2)C 6H 14O 2 (3)C 7H 16 (4)C 6H 10 (5)C 14H 22 答:根据分析结果,化合物中没有氧元素,因⽽不可能是化合物(1)和(2);在化合物(3)、(4)、(5)中根据碳、氢的⽐例计算(计算略)可判断这个化合物的分⼦式可能是(3)。
第⼆章习题解答1、⽤系统命名法命名下列化合物(1)2,5-⼆甲基-3-⼄基⼰烷(3)3,4,4,6-四甲基⾟烷(5)3,3,6,7-四甲基癸烷(6)4-甲基-3,3-⼆⼄基-5-异丙基⾟烷2、写出下列化合物的构造式和键线式,并⽤系统命名法命名之。
(3)仅含有伯氢和仲氢的C 5H 12答:符合条件的构造式为CH 3CH 2CH 2CH 2CH 3;键线式为;命名:戊烷。
《有机化学》(第五版,李景宁主编)习题答案 第一章3、指出下列各化合物所含官能团的名称。
(1) CH 3CH=CHCH 3 答:碳碳双键 (2) CH 3CH 2Cl 答:卤素(氯) (3) CH 3CHCH 3OH 答:羟基(4) CH 3CH 2 C=O 答:羰基 (醛基)H(5)CH 3CCH 3 答:羰基 (酮基)(6) CH 3CH 2COOH 答:羧基 (7)NH 2答:氨基(8) CH 3-C ≡C-CH 3 答:碳碳叁键4、根据电负性数据,用和标明下列键或分子中带部分正电荷和负电荷的原子。
答:6、下列各化合物哪个有偶极矩?画出其方向(1)Br 2 (2) CH 2Cl 2 (3)HI (4) CHCl 3 (5)CH 3OH (6)CH 3OCH 3 答:以上化合物中(2)、(3)、(4)、(5)、(6)均有偶极矩(2)H 2C Cl (3)I (4) Cl 3 (5)H3COH(6)H 3CCH 37、一种化合物,在燃烧分析中发现含有84%的碳[Ar (C )=12.0]和16的氢[Ar (H )=1.0],这个化合物的分子式可能是(1)CH 4O (2)C 6H 14O 2 (3)C 7H 16 (4)C 6H 10 (5)C 14H 22答:根据分析结果,化合物中没有氧元素,因而不可能是化合物(1)和(2); 在化合物(3)、(4)、(5)中根据碳、氢的比例计算(计算略)可判断这个化合物的分子式可能是(3)。
第二章习题解答1、用系统命名法命名下列化合物 (1)2,5-二甲基-3-乙基己烷 (3)3,4,4,6-四甲基辛烷 (5)3,3,6,7-四甲基癸烷(6)4-甲基-3,3-二乙基-5-异丙基辛烷2、写出下列化合物的构造式和键线式,并用系统命名法命名之。
(3)仅含有伯氢和仲氢的C 5H 12 答:符合条件的构造式为CH 3CH 2CH 2CH 2CH 3;键线式为; 命名:戊烷。
大学有机化学答案第五版【篇一:有机化学-第五版-华北师范大学等-李景宁-全册-课后习题答案(完整版)】3、指出下列各化合物所含官能团的名称。
(1) ch3ch=chch3答:碳碳双键 (2) ch3ch2cl 答:卤素(氯) (3) ch3chch3答:羟基(4) ch3ch2 c=o 答:羰基 (醛基)ch3cch3(5)答:羰基 (酮基)(6) ch3ch2cooh 答:羧基 (7)2答:氨基(8) ch3-c≡c-ch3 答:碳碳叁键4、根据电负性数据,用和标明下列键或分子中带部分正电荷和负电荷的原子。
答:6、下列各化合物哪个有偶极矩?画出其方向(1)br2 (2) ch2cl2 (3)hi(4) chcl3(5)ch3oh (6)ch3och3 答:以上化合物中(2)、(3)、(4)、(5)、(6)均有偶极矩(2) h2c(6)h3ccl (3)i(4)cl3 (5)h3cohch37、一种化合物,在燃烧分析中发现含有84%的碳[ar(c)=12.0]和16的氢[ar(h)=1.0],这个化合物的分子式可能是(1)ch4o(2)c6h14o2 (3)c7h16(4)c6h10 (5)c14h22 答:根据分析结果,化合物中没有氧元素,因而不可能是化合物(1)和(2);在化合物(3)、(4)、(5)中根据碳、氢的比例计算(计算略)可判断这个化合物的分子式可能是(3)。
第二章习题解答1、用系统命名法命名下列化合物(1)2,5-二甲基-3-乙基己烷(3)3,4,4,6-四甲基辛烷(5)3,3,6,7-四甲基癸烷(6)4-甲基-3,3-二乙基-5-异丙基辛烷2、写出下列化合物的构造式和键线式,并用系统命名法命名之。
(3)仅含有伯氢和仲氢的c5h12答:符合条件的构造式为ch3ch2ch2ch2ch3;键线式为;命名:戊烷。
3、写出下令化合物的构造简式(2)由一个丁基和一个异丙基组成的烷烃(4) 相对分子质量为100,同时含有伯、叔、季碳原子的烷烃答:该烷烃的分子式为c7h16。
《有机化学》(第五版,李景宁主编)习题答案 第一章3、指出下列各化合物所含官能团的名称。
(1) CH 3CH=CHCH 3 答:碳碳双键 (2) CH 3CH 2Cl 答:卤素(氯) (3) CH 3CHCH 3OH 答:羟基(4) CH 3CH 2 C=O 答:羰基 (醛基)H(5)CH 3CCH 3O答:羰基 (酮基)(6) CH 3CH 2COOH 答:羧基 (7)NH 2答:氨基(8) CH 3-C ≡C-CH 3 答:碳碳叁键4、根据电负性数据,用和标明下列键或分子中带部分正电荷和负电荷的原子。
答:6、下列各化合物哪个有偶极矩画出其方向(1)Br 2 (2) CH 2Cl 2 (3)HI (4) CHCl 3 (5)CH 3OH (6)CH 3OCH 3 答:以上化合物中(2)、(3)、(4)、(5)、(6)均有偶极矩(2)H 2C Cl (3)I (4) Cl 3 (5)H3COH(6)H 3CCH 37、一种化合物,在燃烧分析中发现含有84%的碳[Ar (C )=]和16的氢[Ar (H )=],这个化合物的分子式可能是(1)CH 4O (2)C 6H 14O 2 (3)C 7H 16 (4)C 6H 10 (5)C 14H 22答:根据分析结果,化合物中没有氧元素,因而不可能是化合物(1)和(2); 在化合物(3)、(4)、(5)中根据碳、氢的比例计算(计算略)可判断这个化合物的分子式可能是(3)。
第二章习题解答1、用系统命名法命名下列化合物 (1)2,5-二甲基-3-乙基己烷 (3)3,4,4,6-四甲基辛烷 (5)3,3,6,7-四甲基癸烷(6)4-甲基-3,3-二乙基-5-异丙基辛烷2、写出下列化合物的构造式和键线式,并用系统命名法命名之。
(3)仅含有伯氢和仲氢的C 5H 12 答:符合条件的构造式为CH 3CH 2CH 2CH 2CH 3;键线式为; 命名:戊烷。
3、写出下令化合物的构造简式 (2)由一个丁基和一个异丙基组成的烷烃(4) 相对分子质量为100,同时含有伯、叔、季碳原子的烷烃答:该烷烃的分子式为C 7H 16。
第1章 化学反应中的质量关系和能量关系 习题参考答案1.解:1.00吨氨气可制取2.47吨硝酸。
2.解:氯气质量为2.9×103g 。
3.解:一瓶氧气可用天数 4.解:pV MpVT nR mR== = 318 K 44.9=℃ 5.解:根据道尔顿分压定律p (N 2) = 7.6⨯104 Pa p (O 2) = 2.0⨯104 Pa p (Ar) =1⨯103 Pa6.解:(1)2(CO )n = 0.114mol; 2(CO )p = 42.87 10 Pa ⨯(2)222(N )(O )(CO )p p p p =--43.7910Pa =⨯ (3)4224(O )(CO ) 2.6710Pa0.2869.3310Pan p n p ⨯===⨯7.解:(1)p (H 2) =95.43 kPa (2)m (H 2) =pVMRT= 0.194 g 8.解:(1)ξ = 5.0 mol(2)ξ = 2.5 mol结论: 反应进度(ξ)的值与选用反应式中的哪个物质的量的变化来进行计算无关,但与反应式的写法有关。
9.解:∆U = Q p - p ∆V = 0.771 kJ 10.解: (1)V 1 = 38.3⨯10-3m 3= 38.3L(2) T 2 =nRpV 2= 320 K (3)-W = - (-p ∆V ) = -502 J (4) ∆U = Q + W = -758 J (5) ∆H = Q p = -1260 J11.解:NH 3(g) +45O 2(g) 298.15K−−−−→标准态NO(g) + 23H 2O(g) m r H ∆= - 226.2 kJ ·mol -1 12.解:m r H ∆= Q p = -89.5 kJ m r U ∆= m r H ∆- ∆nRT= -96.9 kJ13.解:(1)C (s) + O 2 (g) → CO 2 (g)m r H ∆ =m f H ∆(CO 2, g) = -393.509 kJ ·mol -121CO 2(g) + 21C(s) → CO(g)m r H ∆ = 86.229 kJ ·mol -1CO(g) +31Fe 2O 3(s) → 32Fe(s) + CO 2(g)m r H ∆ = -8.3 kJ ·mol -1各反应 m r H ∆之和m r H ∆= -315.6 kJ ·mol -1。
第1章 化学反应中的质量关系和能量关系 习题参考答案1.解:1.00吨氨气可制取2.47吨硝酸。
2.解:氯气质量为2.9×103g 。
3.解:一瓶氧气可用天数33111-1222()(13.210-1.0110)kPa 32L9.6d 101.325kPa 400L d n p p V n p V -⨯⨯⨯===⨯⨯4.解:pV MpVT nR mR== = 318 K 44.9=℃ 5.解:根据道尔顿分压定律ii n p p n=p (N 2) = 7.6⨯104 Pap (O 2) = 2.0⨯104 Pa p (Ar) =1⨯103 Pa6.解:(1)2(CO )n = 0.114mol; 2(CO )p = 42.87 10 Pa ⨯(2)222(N )(O )(CO )p p p p =--43.7910Pa =⨯ (3)4224(O )(CO ) 2.6710Pa0.2869.3310Pan p n p ⨯===⨯ 7.解:(1)p (H 2) =95.43 kPa (2)m (H 2) =pVMRT= 0.194 g 8.解:(1)ξ = 5.0 mol(2)ξ = 2.5 mol结论: 反应进度(ξ)的值与选用反应式中的哪个物质的量的变化来进行计算无关,但与反应式的写法有关。
9.解:∆U = Q p - p ∆V = 0.771 kJ 10.解: (1)V 1 = 38.3⨯10-3m 3= 38.3L(2) T 2 =nRpV 2= 320 K (3)-W = - (-p ∆V ) = -502 J (4) ∆U = Q + W = -758 J (5) ∆H = Q p = -1260 J11.解:NH 3(g) +45O 2(g) 298.15K−−−−→标准态NO(g) + 23H 2O(g) m r H ∆= - 226.2 kJ ·mol -1 12.解:m r H ∆= Q p = -89.5 kJ m r U ∆= m r H ∆- ∆nRT= -96.9 kJ13.解:(1)C (s) + O 2 (g) → CO 2 (g)m r H ∆ = m f H ∆(CO 2, g) = -393.518 kJ ·mol -121CO 2(g) + 21C(s) → CO(g)m r H ∆ = 86.229 kJ ·mol -1CO(g) +31Fe 2O 3(s) → 32Fe(s) + CO 2(g)m r H ∆ = -8.3 kJ ·mol -1各反应 m r H ∆之和m r H ∆= -315.6 kJ ·mol -1。
《有机化学》(第五版,李景宁主编)习题答案 第一章3、指出下列各化合物所含官能团的名称。
(1) CH 3CH=CHCH 3 答:碳碳双键 (2) CH 3CH 2Cl 答:卤素(氯) (3) CH 3CHCH 3OH 答:羟基(4) CH 3CH 2 C=O 答:羰基 (醛基)H(5)CH 3CCH 3 答:羰基 (酮基)(6) CH 3CH 2COOH 答:羧基 (7)NH 2答:氨基(8) CH 3-C ≡C-CH 3 答:碳碳叁键4、根据电负性数据,用和标明下列键或分子中带部分正电荷和负电荷的原子。
答:CH=CH-CH=CH 26、下列各化合物哪个有偶极矩?画出其方向(1)Br 2 (2) CH 2Cl 2 (3)HI (4) CHCl 3 (5)CH 3OH (6)CH 3OCH 3 答:以上化合物中(2)、(3)、(4)、(5)、(6)均有偶极矩(2) H2C Cl (3)I (4)Cl 3 (5)H3COH(6)H3CCH 37、一种化合物,在燃烧分析中发现含有84%的碳[Ar (C )=12.0]和16的氢[Ar (H )=1.0],这个化合物的分子式可能是(1)CH 4O (2)C 6H 14O 2 (3)C 7H 16 (4)C 6H 10 (5)C 14H 22 答:根据分析结果,化合物中没有氧元素,因而不可能是化合物(1)和(2); 在化合物(3)、(4)、(5)中根据碳、氢的比例计算(计算略)可判断这个化合物的分子式可能是(3)。
第二章习题解答1、用系统命名法命名下列化合物 (1)2,5-二甲基-3-乙基己烷 (3)3,4,4,6-四甲基辛烷 (5)3,3,6,7-四甲基癸烷(6)4-甲基-3,3-二乙基-5-异丙基辛烷2、写出下列化合物的构造式和键线式,并用系统命名法命名之。
(3)仅含有伯氢和仲氢的C 5H 12答:符合条件的构造式为CH 3CH 2CH 2CH 2CH 3;键线式为; 命名:戊烷。
第一章 习题(一) 用简单的文字解释下列术语:(1) 有机化合物:碳氢化合物及其衍生物。
(2) 键能:形成共价键时体系所放出的能量。
(3) 极性键:成键原子的电负性相差为0.5~1.6时所形成的共价键。
(4) 官能团:决定有机化合物的主要性质的原子或原子团。
(5) 实验式:能够反映有机化合物元素组成的相对比例的化学式。
(6) 构造式:能够反映有机化合物中原子或原子团相互连接顺序的化学式。
(7)均裂:共价键断裂时,两个成键电子均匀地分配给两个成键原子或原子团,形成两个自由基。
(8) 异裂:共价键断裂时,两个成键电子完成被某一个成键原子或原子团占有,形成正、负离子。
(9) sp 2杂化:由1 个s 轨道和2个p 轨道进行线性组合,形成的3个能量介于s 轨道和p 轨道之间的、能量完全相同的新的原子轨道。
sp 2杂化轨道的形状也不同于s 轨道或p 轨道,而是“一头大,一头小”的形状,这种形状更有利于形成σ键。
(10) 诱导效应:由于成键原子的电负性不同而引起的电子云的转移。
诱导效应只能通过σ键传递,并且随着碳链增长,诱导效应迅速减弱。
(11) 氢键:由氢原子在两个电负性很强的原子之间形成“桥梁”而导致的类似化学键的分子间或分子内作用力。
氢键具有饱和性和方向性,但作用力比化学键小得多,一般为20~30kJ/mol 。
(12) Lewis 酸:能够接受的电子的分子或离子。
(二) 下列化合物的化学键如果都为共价键,而且外层价电子都达到稳定的电子层结构,同时原子之间可以共用一对以上的电子,试写出化合物可能的Lewis 结构式。
(1)C H 3N H 2 (2) C H 3O C H 3 (3)CH 3C OH O(4) C H 3C H =C H 2 (5) C H 3C C H (6) CH 2O 解:分别以“○”表示氢原子核外电子,以“●”表示碳原子核外电子,以“★”表示氧原子核外电子,以“△”表示氮原子核外电子,题给各化合物的Lewis 结构式如下:(1) CH HH H H。
第一章 习题(一)用简单的文字解释下列术语:(1)有机化合物:碳氢化合物及其衍生物。
(2) 键能:形成共价鍵时体系所放出的能量。
(3) 极性键:成鍵原子的电负性相差为0.5~1.6时所形成的共价鍵。
(4) 官能团:决定有机化合物的主要性质的原子或原子团。
(5) 实验式:能够反映有机化合物元素组成的相对比例的化学式。
(6) 构造式:能够反映有机化合物中原子或原子团相互连接顺序的化学式。
(7)均裂:共价鍵断裂时,两个成鍵电子均匀地分配给两个成鍵原子或原子团,形成两个自由基。
(8) 异裂:共价鍵断裂时,两个成鍵电子完成被某一个成鍵原子或原子团占有,形成正、负离子。
(9) sp 2杂化:由1个s 轨道和2个p 轨道进行线性组合,形成的3个能量介于s 轨道和p 轨道之间的、能量完全相同的新的原子轨道。
sp 2杂化轨道的形状也不同于s 轨道或p 轨道,而是“一头大,一头小”的形状,这种形状更有利于形成σ键。
(10) 诱导效应:由于成键原子的电负性不同而引起的电子云的转移。
诱导效应只能通过σ键传递,并且随着碳链增长,诱导效应迅速减弱。
(11) 氢键:由氢原子在两个电负性很强的原子之间形成“桥梁”而导致的类似化学键的分子间或分子内作用力。
氢键具有饱和性和方向性,但作用力比化学键小得多,一般为20~30kJ/mol 。
(12) Lewis 酸:能够接受的电子的分子或离子。
(二)下列化合物的化学键如果都为共价键,而且外层价电子都达到稳定的电子层结构,同时原子之间可以共用一对以上的电子,试写出化合物可能的Lewis 结构式。
(1)C H 3N H 2(2)C H 3O C H 3(3)CH 3C OHO(4)C H 3C H =C H 2(5)C H 3C C H (6)CH 2O 解:分别以“○”表示氢原子核外电子,以“●”表示碳原子核外电子,以“★”表示氧原子核外电子,以“△”表示氮原子核外电子,题给各化合物的Lewis 结构式如下:(1)H H H H。
N 。
(2)H H。
H H 。
(3)H H H 。
(4)C H H H H 。
C 。
(5)C H H H 。
C (6)HH 。
(三)试判断下列化合物是否为极性分子。
(1)HBr 是 (2)I 2否(3)CCl 4否 (4)CH 2Cl 2是(5)CH 3OH 是(6)CH 3OCH 是(四)根据键能数据,乙烷分子(C H 3C H 3)在受热裂解时,哪种键首先断裂?为什么?这个过程是吸热还是放热?解:乙烷分子受热裂解时,首先断C C 鍵;因为鍵能:C H (414k J /m o l )>C (347k J /m o l )C 。
这个过程是一个吸热过程。
(五)H 2O 的键角为105°,试问水分子的氧原子用什么类型的原子轨道与氢原子形成等价的单键?解:105°与109.5°比较接近,说明水分子中的氧原子采取不等性sp 3杂化。
所以氧采用sp 3杂化轨道与氢原子成键。
(六)正丁醇(CH 3CH 2CH 2CH 2OH)的沸点(117℃)比它的同分异构体乙醚(CH 3CH 2OCH 2CH 3)的沸点(34.5℃)高得多,但两者在水中的溶解度均为8g/100g 水,试解释之。
解:正丁醇分子之间可以形成分子间氢键,而乙醚分子之间不能形成氢键,所以正丁醇的的沸点远高于乙醚。
但二者均可水分子形成氢键,所以它们在水中都有一定的溶解度(8g/100g 水)。
(七)矿物油(相对分子质量较大的烃的混合物)能溶于正己烷,但不溶于乙酸或水。
试解释之。
解:矿物油是非极性分子,而水和乙醇都是极性分子。
根据“相似相溶”的原则,非极性的矿物油在极性溶剂中不可能有好的溶解度。
(八)下列各反应均可看成是酸碱的反应,试注明哪些化合物是酸?哪些化合物是碱?(1)C H 3C O O H + 2H 3O + + C H 3C O O -酸碱酸碱(2)C H 3C O O - + H C H 3C O O H + C l -酸碱酸碱(3)H2O + C H 3N C H 3N H 3 + O H -酸碱酸碱(4)H2O + C H 3N C H 3N H 3 + O H -酸碱酸碱(九)按照不同的碳架和官能团,分别指出下列化合物是属于哪一族、哪一类化合物。
(1)CH 3CC Cl CH 3CH 3CH 3CH 3(2)C H 3CCC C H 3C H 3C H 3C H 3O H O(3)CH 2CH 2CH 2CH 2C O脂肪族卤代烷烃脂肪族羧酸、开链羧酸脂环(族)酮(4)HC HC CH C CH CH OCH 3(5)HC HC CHC CHCH CHO (6)C HC H H C H C NH芳香(族)醚芳香(族)醛杂环类化合物(吡咯) (7)CH 3C NH 2CH 3CH 3(8)CH 3C C HCH 3CH (9)C H 2C H 2C H C H 2O H 脂肪族伯胺脂肪族炔烃、开链炔烃脂环(族)醇(十)根据官能团区分下列化合物,哪些属于同一类化合物?称为什么化合物?如按碳架分,哪些同属一族?属于什么族?(1)C H 2O H(2)C O O H(3)O H(4)O H(5)C O O H(6)COOH(7)NC O O H(8)O H (9)C O O H解:按官能团分:⑴、⑶、⑷、⑻属于醇类化合物;⑵、⑸、⑹、⑺、⑼属于羧酸类化合物。
按碳架分:⑴、⑵属于芳香族;⑷、⑸属于脂环族;⑶、⑹、⑻、⑼属于脂肪族;⑺属于杂环类化合物。
(十一)一种醇经元素定量分析,得知C=70.4%,H=13.9%,试计算并写出实验式。
解:碳和氢的含量加起来只有84.3%,说明该化合物含氧,即O=15.7%。
687.5124.70≈==C n 1419.13≈=H n 1167.15≈=On ∴该化合物的实验式为C 6H 14O 。
(十二)某碳氢化合物元素定量分析的数据为:C=92.1%,H=7.9%;经测定相对分子质量为78。
试写出该化合物的分子式。
解:687.5127892.0≈=⨯=Cn 616.617879.0≈=⨯=Hn ∴该化合物的分子式为C 6H 6。
第二章饱和烃习题(一)用系统命名法命名下列各化合物,并指出这些化合物中的伯、仲、叔、季碳原子。
(1)1234567 (2)123453-甲基-3-乙基庚烷 2,3-二甲基-3-乙基戊烷(3)123456(4)101234567892,5-二甲基-3,4-二乙基己烷 1,1-二甲基-4-异丙基环癸烷(5)(6)1234乙基环丙烷2-环丙基丁烷(7)12345678910(8)123456789CH 31,7-二甲基-4-异丙基双环[4.4.0]癸烷 2-甲基螺[3.5]壬烷(9)1234567(10)(C H 3)3C C H 25-异丁基螺[2.4]庚烷新戊基(11)H 3C(12)C H 3C H 2C H 2C H 2C H C H 32-甲基环丙基2-己基or(1-甲基)戊基(二)写出相当于下列名称的各化合物的构造式,如其名称与系统命名原则不符,予以改正。
(1)2,3-二甲基-2-乙基丁烷(2)1,5,5-三甲基-3-乙基己烷(3)2-叔丁基-4,5-二甲基己烷CH 3CCHCH 3CH 3CH 3CH 2CH 3C H 2C H 2C H C H 2C C H 3C H 3C H 3C H 3C 2H 5C H 3C C H 2C H C (C H 3)3C H 3C H C H 3C H 32,3,3-三甲基戊烷 2,2-二甲基-4-乙基庚烷2,2,3,5,6-五甲基庚烷(4)甲基乙基异丙基甲烷(5)丁基环丙烷(6)1-丁基-3-甲基环己烷C H C H 3C H 2C H 3C H C H 3C H 3C H 2C H 2C H 2C H 3CH 2CH 2CH 2CH 3CH 32,3-二甲基戊烷1-环丙基丁烷1-甲基-3-丁基环己烷(三)以C 2与C 3的σ键为旋转轴,试分别画出2,3-二甲基丁烷和2,2,3,3-四甲基丁烷的典型构象式,并指出哪一个为其最稳定的构象式。
解:2,3-二甲基丁烷的典型构象式共有四种:( I )( I I )( I I I )C 3H 3C 3H 33C 3H 3C (最稳定构象)( I V )(最不稳定构象)( I I I )( I I )C 3H 3C 3H3H C 3HC2,2,3,3-四甲基丁烷的典型构象式共有两种:H 3H 33H 3H 3H 3C 3H 33(最稳定构象)( I )( I I )(四)将下列的投影式改为透视式,透视式改为投影式。
(1)C l3lC l C H 3H H 3C C lH(2)lC H HC lC H 3H 3H Cl(3)lC H l C H C l C l 3CHHH 3C(4)B rB rC H 3HHC H 3B rrH(5)B r HC H3H B rC H 3B r 3r(五)用透视式可以画出三种CH 3-CFCl 2的交叉式构象:H HH F C lC lH H H C l FC lH HH C l C lF它们是不是CH 3-CFCl 2的三种不同的构象式?用Newman 投影式表示并验证所得结论是否正确。
解:它们是CH 3-CFCl 2的同一种构象——交叉式构象!从下列Newman 投影式可以看出:lFl(I )(I I )(I I )将(I)整体按顺时针方向旋转60º可得到(II),旋转120º可得到(III)。
同理,将(II)整体旋转也可得到(I)、(III),将(III)整体旋转也可得到(I)、(II)。
(六)试指出下列化合物中,哪些所代表的是相同的化合物而只是构象表示式之不同,哪些是不同的化合物。
(1)C H 3C C l C H 3C H C H 3C H 3(2)C lC H H 3)2H(3)H 3C H lC H(4)CH3HCH3 H3CClCH3(5)HHHHCCl(CH3)2CH3(6)H3C H3C解:⑴、⑵、⑶、⑷、⑸是同一化合物:2,3-二甲基-2-氯丁烷;⑹是另一种化合物:2,2-二甲基-3-氯丁烷。
(七)如果将船型和椅型均考虑在环己烷的构象中,试问甲基环己烷有几个构象异构体?其中哪一个最稳定?哪一个最不稳定?为什么?解:按照题意,甲基环己烷共有6个构象异构体:C H3CH3CH3H H(A) (B) (C)H C H3CH3H CH3H(D) (E) (F)其中最稳定的是(A)。
因为(A)为椅式构象,且甲基在e键取代,使所有原子或原子团都处于交叉式构象;最不稳定的是(C)。
除了船底碳之间具有重叠式构象外,两个船头碳上的甲基与氢也具有较大的非键张力。