一道典型极限的例题
- 格式:pdf
- 大小:120.65 KB
- 文档页数:1
数列的极限例题及详解
极限是数学分析中的一个重要概念,它描述了某种函数在某点附近的行为趋势,同时提供了有效的技术来解决数列的极限问题。
我们本文将讨论数列的极限问题,包括定义和几个例子。
一.定义
极限是一个抽象的概念,它指的是一个数列中的每一项都趋近一定的值,这个值称为数列的极限。
另外,数列的极限也称为极限点或极限值。
当然,数学家们对极限的定义更加严格,但这些都不重要,我们只需要理解数列的极限概念即可。
二.例题
1.设a_n=(-1)^n/n,求a_n的极限。
解:
首先,由于(-1)^n为一个交替变化的算子,它的值在n变大时无论n的奇偶性如何,(-1)^n的值都保持不变,因此极限就是
(-1)^n/n的值。
考虑n变大时,(-1)^n/n的值接近于0,所以a_n
的极限就是0.
2.设a_n=(1+1/n)^n,求a_n的极限。
解:
这个例题比较特殊,因为算子(1+1/n)^n这里n和指数相关,考虑当n变大时,(1+1/n)^n的值就接近于e,所以a_n的极限就是e.
3.设a_n=1/n,求a_n的极限。
解:
由于1/n的值是从1开始逐渐减小,当n变大时,1/n的值就逐渐接近于0,所以a_n的极限就是0.
三.总结
本文讨论了数列的极限问题,先介绍了数列极限的定义,然后举例说明了3种数列的极限问题,这其中包含了数列算子计算中比较常见的概念,如交替系数,和指数极限等。
希望本文对读者有所帮助。
高数求极限的例题及详解
求极限的例题及详解
高数的极限是指在函数中求取某一极限值的方法,也是高数中分离变量的基本概念,在学习求取极限过程中,例题的了解也非常重要。
下面就来讨论一道求极限的例题。
例题题目:求极限
lim\left(x\right) = \frac{\sqrt{x+8}-\sqrt{x+7}+6\sqrt{x+1}-2}{2-3x}
解析:该题要求求出极限,首先将分数中的分母变为0,则有:2-3x=0,解得x=2/3。
由于在求取函数极值时,该函数至少需要二阶可导,所以要先求出其二阶导。
导函数结果:y''= \frac{12}{\left(\sqrt{x+8}+\sqrt{x+7}\right)^3}
故其二阶导数为正,由于函数y= \frac{\sqrt{x+8}-
\sqrt{x+7}+6\sqrt{x+1}-2}{2-3x}在x=2/3时,分子和分母同时趋向于无穷大,所以此时函数极限值为正无穷,因此,解得该题极限为:lim\left(x\right) = +\infty。
结论:最终我们解出该题极限值为+∞,由此可见,求极限的基本方法是:求出函数的导数并判断其开口方向;在求取极限的例题中,要先求出表示极限的分子和分母的表达式,然后求出函数的二阶导数,最后由分母或分子在极限点趋向于无穷大或无穷小,两者成比例来确定函数的极限值。
高数数列极限经典例题高数数列是数学中重要的概念,它定义了一个数列中每一项的表达式,以及每一项和前面项之间的关系。
极限是描述数列无限接近某个值的重要概念,也是高数中最重要的内容之一,比较经典的例题是必须要掌握的。
首先,让我们来看一个经典的极限例题:求函数y=x3-3x2+3的极限,当x趋近于1的时候。
这道题的步骤是,先求x接近1时,函数值的上限和下限,然后利用极限的定义求解极限。
根据函数定义,当x取值接近1时,函数值的上限是x3-3x2+3+Δx,下限是x3-3x2+3-Δx,Δx表示x变化量,这里可以看出上下限的差值为2Δx。
接下来,我们可以利用极限的定义,得出结论:当x变化量趋于0时,上下限的差值也是趋于0,也就是说,当x趋于1时,函数值的极限就是x3-3x2+3。
通过这个例题,我们不仅学会了求函数极限的方法,还学会了求解其他类似例题的步骤。
再来看一道比较典型的极限例题:求函数y=2x2-2x+1的极限,当x趋近于0的时候。
这道题的步骤也是先求函数值的上限和下限,然后利用极限的定义求解极限。
根据函数定义,当x取值接近0时,函数值的上限是2x2-2x+1+Δx,下限是2x2-2x+1-Δx,Δx表示x变化量,这里可以看出上下限的差值为2Δx。
再利用极限的定义,得出结论:当x变化量趋于0时,上下限的差值也是趋于0,也就是说,当x趋于0时,函数值的极限就是2x2-2x+1。
可以看出,这两道极限例题,在步骤上有些类似,只是数值上的差别。
解决时只要注意函数的表达式,分析x趋于某个值时,函数值的上下限,从而利用极限定义求解极限。
当然,极限例题远不止上面两道,在解决这类例题的时候要更加熟悉解决的技巧,多练习解出一些类似的经典例题,以便应对考试中可能出现的问题。
以上就是关于高数数列极限经典例题的几个介绍,以帮助大家更好地理解极限和掌握求解极限的技巧。
当然,要想真正掌握极限知识,不能只依靠死记硬背,而要形成自己独立思考和解决问题的能力。
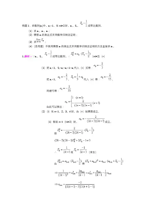
例题1.在数列{a n}中,a1=1,当n≥2时,a n,S n,成等比数列。
(1)求a2,a3,a4;(2)猜想a n的表达式并用数学归纳法证明;(3)求;(4)(思考题)不使用猜想a n的表达式并用数学归纳法证明的方法直接求a n。
1..解析:∵a n,S n,成等比数列,∴(n≥2)(*)(1)把a1=1,S2=a1+a2=1+a2代入(*)式得:把a1=1,,代入(*)得:。
同理可得:由此可以推出:(2)(i)当n=1,2,3,4时,由(*)知猜想成立。
(ii)假设n=k(k≥2)时,成立。
故∴或(舍去)由得即n=k+1时,命题也成立。
由(i)(ii)可知,对一切n∈N成立。
(3)由(2)得数列前n项的和,所有项和(4)对于{a n}的通项还可以这样来求:∵,∴,故是以为首项,为公差的等差数列故,注:对于含有a n,S n的关系式中,常将a n用S n-S n-1(n≥2)代(或S n+1-S n用a n+1代),化成S n,S n+1(或a n,a n+1)的递归关系式。
例1.数列{a n}满足下列条件,求其通项公式a n。
(1)a1=1,(2)a1=2,(3)a1=2,{a n}的前n项和S n满足解:(1)……将以上各式叠加,得∴又n=1时,(2)……将以上各式叠乘,得∴a n=n(n+1)(n≥2)当n=1时,1×(1+1)=2 = a1∴a n=n(n+1)(n∈N*)(3)∴2S n-1S n=S n-1-S n(n≥2)在上式两边同除以S n S n-1,得∴数列为首项,公差为2的等差数列。
例2、在等差数列{a n}中(1)若a p=q,a q=p(p、q∈N*且q≠p),求a p+q;(2){a n}共有n项,其前四项之和为124,其最后四项之和为156,其所有项之和为210,求项数n;(3)若{a n}前n项和记为S n,且有,求S m+n的围解:(1)∵a q=a p+(q-p)d∴a p+q=a p+(q+p-p)d=q+q×(-1)=0(2)∵a1+a2+a3+a4=124a n+a n-1+a n-2+a n-3=156∴(a1+a n)+(a2+a n-1)+(a3+a n-2)+(a4+a n-3)=280∴4(a1+a n)=280∴a1+a n=70∴n=6(3)设前n项和将以上两式相减得:两边同除以m-n,得例3、在数列{a n}中,S n是其前n项和,a1=1,S n+1=4a n+2(n∈N*) (1)设b n=a n+1-2a n,求证数列{b n}为等比数列并求其通项公式;(2)设,求证数列{C n}是等差数列并求其通项解:(1)∵S n+1=4a n+2∴S n+2=4a n+1+2将以上两式相减,得a n+2=4a n+1-4a n∴a n+2-2a n+1=2(a n+1-2a n)又s2=4a1+2=a1 +a2∴a2 =5∴数列{b n}是以b1=a2-2a1=5-2=3为首项,q=2为公比的等比数列。
极限的线性性质例题一、关于证明数列极限的习题们例1.证明limn→∞sinnπ2n=0证明:根据数列极限的定义,对于任意给定的ε>0 ,为使|sinnπ2n−0|=|sinnπ2n|≤1n≤ε,只需n≥1ε 。
取N=[1ε] ,当 n>N 时,以后的所有项总能满足|xn−0|=|sinnπ2n−0|≤1n<ε。
所以limn→∞sinnπ2n=0 。
例2.证明limn→∞4n+35n+4=45证明:根据数列极限的定义,对于任意给定的ε>0 ,为使|4n+35n+4−45|=|−15(5n+4)|=125n+20≤125n<ε n="">125ε,取N=[125ε] ,当 n>N 时,有|xn−45|=|4n+35n+4−45|<125n<ε。
所以,limn→∞4n+35n+4=45 。
例3.证明limn→∞(n2+1−n2)=0证明:根据数列极限的定义,对于任意给定的ε>0 ,为使|n2+1−n2−0|=n2+1−n2=1n2+1+n2<1n2+1<1n2=1n<εn="">1ε ,取N=[1ε] ,则当 n>N 时,以后的所有项总能满足|xn−0|=|n2+1−n2−0|<ε。
所以limn→∞(n2+1−n2)=0 。
二、数列极限的性质1.极限唯一性:数列 {xn} 如果有极限,那么极限是唯一的。
证明(反证法):若不然,我们假设数列有两个极限,即{limn→∞xn=alimn→∞xn=b ,且a≠b 。
不妨设 a0 。
根据极限的定义:因为limn→∞xn=a ,对ε0=b−a2>0,总能找到一个正数 N1 ,使当 n>N1 时,|xn−a|<ε0 恒成立,所以进一步得到xn0,总能找到一个正数 N2 ,使当 n>N2 时,|xn−b|<ε0 恒成立,所以进一步得到xn>b−ε0=a+b2(2)取 N=max{N1,N2} ,则当 n>N 时,和(1)和(2) 都成立,即 {xna+b2 ,矛盾!所以如果数列有极限,那么极限不可能有多个,极限一定是唯一的!2.收敛数列的有界性:如果 {xn} 收敛,则{xn}有界。
高数极限经典60题分步骤详解1.求极限lim(sinn+1-sinn)/(n→∞)。
为了解决这个问题,我们需要运用三角函数和差化积公式,将式子进行转化,然后求出极限。
具体过程如下:sinn+1-sinn=2cos(n+1+n)/(sin^2(n+1)+sin^2(n))2cos(n+1+n)/(sin^2(n+1)+sin^2(n))(sin()/sin())2cos(n+1+n)/(sin^2(n+1)+sin^2(n))(n→∞)2cos因为当n→∞时,sin()/n+1+n→0,而cos是有界函数,有界函数与无穷小的乘积仍然是无穷小,所以原式极限为0.2.令Sn=∑(k/(k+1)!),求极限limSn(n→∞)。
我们可以将Sn的式子变形,得到Sn=1-1/(n+1)。
然后求出极限即可。
具体过程如下:k/(k+1)!)=1/(k!)-1/((k+1)!)k/(k+1)!)=1/1!-1/2!+1/2!-1/3!+。
+1/n!-1/(n+1)!1-1/(n+1)!因此,limSn=lim(1-1/(n+1!))=1.3.求极限lim(1+2q+3q^2+4q^3+。
+nq^(n-1)),其中q<1且q≠0.我们可以将Sn的式子变形,得到qSn=1q+2q^2+3q^3+。
+(n-1)q^(n-1)+nq^n1-q)Sn=(1+q+q^2+q^3+。
+q^(n-1))-nq^n1-q)Sn=(1-q^n)/(1-q)-nq^nSn=[(1-q)/(1-q)^2]-nq^n/(1-q)当q<1且n→∞时,q^n→0,1+q+q^2+q^3+。
+q^(n-1)→1/(1-q),因此limSn=lim[(1-q)/(1-q)^2]-lim(nq^n/(1-q))1/(1-q)^2因此,极限为1/(1-q)^2.注:关于lim(1+2q+3q^2+4q^3+。
+nq^(n-1))/(q→0),当n→∞时,q^n→0,1+2q+3q^2+4q^3+。
求左右极限的简单例题
求左右极限的简单例题
求左右极限是数学中一种重要的概念,可用于求解实际问题,求取函数所能取得的最大/
最小值,甚至在各种学科中都有广泛的应用。
下面将举一个简单的例题来讲解求左右极限
的概念。
问题:证明函数f(x) = (3x-1) / (x-1)的左极限和右极限都为3。
解答:首先,我们将函数f(x)表示为比例:
f(x) = y
a = 3x-1
b = x-1
我们注意到,b>0,因此,令a/b(令y=a/b)可以表示函数f(x)。
求函数f(x)的左极限:
当x逐渐接近1时,函数f(x)的值也逐渐接近3;
当x由大到1时,函数f(x)的值从“+∞”到3,从而可得函数f(x)的左极限为3。
求函数f(x)的右极限:
当x逐渐接近1时,函数f(x)的值也逐渐接近3;
当x由小到1时,函数f(x)的值从“-∞”到3,从而可得函数f(x)的右极限为3。
综上,通过以上分析可知,函数f(x)的左极限和右极限均为3,即f(x)介于-∞到+∞之间时,函数的取值范围的最小值和最大值均为3。
求左右极限的简单例题具有很重要的现实意义,它涉及函数模型的应用及其等价的解析表达。
例如,在金融计算中,通过求解极限可以有效地计算诸如泊松方程、累计折现函数、时间价值等复杂的函数模型,它不仅改变了传统模型的分析方式,而且提供了新的思考方式,进而使得绝大多数复杂实际问题得以求解。
典型例题讲解例1.求323232lim 4321n n n nn n n →∞-+--+-.分析:当n →∞时,-3n 3+2n 2-n →∞,4n 3-3n 2+2n -1→∞,是一个∞∞型的问题,可以设法变形,使之出现1a n 的形式。
因为当a >0时,1an→0,为此只需将分子分母同除以n 3即可。
解:323232lim 4321n n n n n n n →∞-+--+-=2232133lim 32144n n n n n n→∞-+-=--+-. 例2.设a ∈R ,求112lim 2n n n n n a a -+→∞-+的值。
分析:求极限时,涉及到q n 型的极限,当|q |<1时,q n →0;q =1时,q n →1;q =-1时,q n 的极限不存在;|q |>1时,q n 的极限也不存在。
因此,在变形时,设法出现|q |<1时q n 的形式,为此必须对|a |与2的大小分类讨论。
解:(1)当|a |>2时,21a <,则原式=1121()1lim 2()n n n a a a aa -→∞-=+;(2)当|a |<2时,12a <,则原式=121()112lim 22()2n n n a a a a -→∞-⋅-==-+; (3)当a =2时,原式=1112221lim lim 22326n n n nn n n n --+→∞→∞-==+⋅; (4)当a =-2时,原式=1111(2)2(2)21lim lim 2(2)(2)[(2)2]2n n n n n n n n n n --+-→∞→∞----==-+----.例3.求n →∞分析:当n →∞时,所求的极限相当于0·∞型,需要设法化为我们相对熟悉的∞∞型。
解:n →∞12n n n ===. 说明:对于这种含有根号的0·∞型的极限,可以采用分子有理化或分母有理∞∞型。
函数极限习题与解析[5篇范例]第一篇:函数极限习题与解析函数与极限习题与解析(同济大学第六版高等数学)一、填空题1、设f(x)=2-x+lglgx,其定义域为。
2、设f(x)=ln(x+1),其定义域为。
3、设f(x)=arcsin(x-3),其定义域为。
4、设f(x)的定义域是[0,1],则f(sinx)的定义域为。
5、设y=f(x)的定义域是[0,2],则y=f(x2)的定义域为。
x2-2x+k=4,则k=。
6、limx→3x-3x有间断点,其中为其可去间断点。
sinxsin2x8、若当x≠0时,f(x)=,且f(x)在x=0处连续,则f(0)=。
xnnn+2+Λ+2)=。
9、lim(2n→∞n+1n+2n+n7、函数y=10、函数f(x)在x0处连续是f(x)在x0连续的条件。
(x3+1)(x2+3x+2)=。
11、limx→∞2x5+5x312、lim(1+)n→∞2nkn=e-3,则k=。
x2-113、函数y=2的间断点是。
x-3x+214、当x→+∞时,1是比x+3-x+1的无穷小。
x15、当x→0时,无穷小1-1-x与x相比较是无穷小。
16、函数y=e在x=0处是第类间断点。
31x17、设y=x-1,则x=1为y的间断点。
x-118、已知f 1π⎛π⎫⎪=3,则当a为时,函数f(x)=asinx+sin3x在x=处连续。
33⎝3⎭⎧sinxx<0⎪2x19、设f(x)=⎨若limf(x)存在,则a=。
1x→0⎪(1+ax)xx>0⎩x+sinx-2水平渐近线方程是。
20、曲线y=x221、f(x)=4-x2+1x-12的连续区间为。
⎧x+a,x≤022、设f(x)=⎨在x=0连续,则常数cosx,x>0⎩a=。
二、计算题1、求下列函数定义域(1)y=(3)y=e ;2、函数f(x)和g(x)是否相同?为什么?(1)f(x)=lnx(2)f(x)=x(3)f(x)=1, 21 ;(2)y=sinx ; 1-x21x,g(x)=2lnx ; ,g(x)=x2 ;g(x)=sec2x-tan2x ;3、判定函数的奇偶性(1)y=x2(1-x2);(2)y=3x2-x3 ;(3)y=x(x-1)(x+1);4、求由所给函数构成的复合函数(1)y=u2(2)y=u(3)y=u2,u=sinv,v=x2 ; ,u=1+x2 ; ,u=ev,v=sinx ;5、计算下列极限(1)lim(1+n→∞1111+2+3+Λ+(n-1)++Λ+n);(2)lim ;n→∞242n2x2+5x2-2x+1(3)lim ;(4)lim ; 2x→1x→2x-3x-111x3+2x2(5)lim(1+)(2-2);(6)lim ; 2x→∞x→2xx(x-2)1x2-1(7)limxsin ;(8)lim ; 2x→0x(9)2xlim→+∞x(x+1-x);6、计算下列极限(1)limsinwxx→0x ;(3)limx→0xcotx ;(5)limx+1x→∞(x-1)x-1 ;7、比较无穷小的阶(1)x→0时,2x-x2与x2-x3 ;(2)x→1时,1-x与1(1-x22);x→13-x-1+x2)limsin2xx→0sin5x ;4)lim(xx→∞1+x)x ; 16)lim(1-x)xx→0 ;(((8、利用等价无穷小性质求极限tanx-sinxsin(xn)(1)lim ;(2)limx→0x→0(sinx)msinx39、讨论函数的连续性(n,m是正整数);⎧x-1,x≤1 f(x)=⎨在x=1。
函数极限题库及答案详解1. 求极限 \(\lim_{x \to 0} \frac{\sin x}{x}\)。
答案:根据洛必达法则,当 \(x \to 0\) 时,分子分母同时趋向于0,可以应用洛必达法则。
对分子分母同时求导,得到 \(\lim_{x \to 0}\frac{\cos x}{1} = 1\)。
2. 求极限 \(\lim_{x \to \infty} \frac{3x^2 + 2x + 1}{x^2 +5}\)。
答案:当 \(x \to \infty\) 时,分子和分母的高次项将主导极限的值。
因此,\(\lim_{x \to \infty} \frac{3x^2}{x^2} = 3\)。
3. 求极限 \(\lim_{x \to 2} \frac{x^2 - 4}{x - 2}\)。
答案:这是一个0/0的不定式,可以进行因式分解,分子可以分解为\((x - 2)(x + 2)\),因此原式变为 \(\lim_{x \to 2} (x + 2)\),结果为4。
4. 求极限 \(\lim_{x \to 0} \frac{e^x - 1}{x}\)。
答案:根据e的泰勒展开式,\(e^x = 1 + x + \frac{x^2}{2!} +\frac{x^3}{3!} + \cdots\),当 \(x \to 0\) 时,高阶项可以忽略,因此 \(\lim_{x \to 0} \frac{e^x - 1}{x} = 1\)。
5. 求极限 \(\lim_{x \to 0} \frac{1 - \cos x}{x^2}\)。
答案:根据泰勒展开,\(\cos x = 1 - \frac{x^2}{2!} +\frac{x^4}{4!} - \cdots\),因此 \(\lim_{x \to 0} \frac{1 -\cos x}{x^2} = \lim_{x \to 0} \frac{-\frac{x^2}{2!} +\text{高阶项}}{x^2} = -\frac{1}{2}\)。
极限的定义证明例题稿子一嗨呀,亲爱的小伙伴们!今天咱们来聊聊极限的定义证明例题哟。
比如说有个函数 f(x) = 1/x ,咱们要证明当 x 趋近于无穷大的时候,f(x) 的极限是 0 。
那咱就开始啦!按照极限的定义,对于任意给定的正数ε ,要找到一个正数 M ,使得当 |x| > M 时,|f(x) 0| ε 。
咱们看哈,|f(x) 0| 就是 |1/x 0| ,也就是 |1/x| 嘛。
要让|1/x| ε ,那不就是x > 1/ε 嘛。
所以呀,咱们就取M = 1/ε ,只要 x 的绝对值大于 M ,也就是大于1/ε ,那就满足|f(x) 0| ε 啦。
你看,这样就证明出来啦!是不是还挺有趣的呀?再比如说,函数g(x) = x² 1 ,要证明当 x 趋近于 2 的时候,g(x) 的极限是 3 。
同样的套路哟,对于给定的正数ε ,得找个正数δ ,让 0 |x 2| δ 时,|g(x) 3| ε 。
|g(x) 3| 就是|x² 4| ,可以化简成 |x + 2x 2| 。
因为 x 趋近于 2 ,所以可以假设 |x 2| 1 ,这样 1 x3 , 3 x + 2 5 。
那 |x + 2x 2| 5 |x 2| 。
要让5 |x 2| ε ,那就让|x 2| ε/5 。
所以取δ = min{1, ε/5} ,就证明好啦!怎么样,极限的定义证明例题是不是没那么可怕啦?稿子二嘿,朋友们!咱们一起来瞅瞅极限的定义证明例题哈。
就拿这个简单的例子,函数 f(x) = 3x + 2 ,咱来证明当 x 趋近于 1 时,它的极限是 5 。
按照极限的定义哦,给定一个很小很小的正数ε ,然后得找出一个正数δ ,只要0 |x 1| δ ,就能让|f(x) 5| ε 。
那先算算 |f(x) 5| 呗,就是 |3x + 2 5| ,也就是 |3x3| ,化简一下就是 3|x 1| 。
要让3|x 1| ε ,那|x 1| ε/3 就行啦。
极限存在准则证明例题
一个例题可以是证明序列${\{(-1)^n\}}$的极限不存在。
证明:
首先,我们注意到这是一个交替序列,即它的正负号交替出现。
这意味着对于任意的$n\in\mathbb{N}$,我们都有$(-1)^n=(-
1)^{n+2}$
接下来,我们假设这个序列有一个极限$L$。
根据极限的定义,我们知道对于任意的$\epsilon>0$,存在一个正整数$N$,使得当$n>N$时,$|(-1)^n-L|<\epsilon$。
如果我们取$\epsilon=1$,那么存在一个正整数$N$,使得当$n>N$时,$|(-1)^n-L|<1$。
然而,根据序列的性质$(-1)^n=(-1)^{n+2}$,我们可以找到一
个更大的整数$m>N$,使得$(-1)^m=(-1)^{m+2}=(-1)^m$,因
此$|(-1)^m-L|=|(-1)^m-(-1)^m|=0<1$。
根据以上的推理,我们可以看出无论我们取多小的$\epsilon$,都存在一个更大的整数$m$,使得$|(-1)^m-L|<\epsilon$。
这与
极限的定义相矛盾,因为极限的定义要求对于任意的
$\epsilon>0$,存在一个整数$N$,使得对于任意的$n>N$,$|a_n-L|<\epsilon$。
因此,我们可以得出结论这个序列${\{(-1)^n\}}$的极限不存在。
利用恒等变形求极限的经典例题第①种类型:运用平方差公式,将分子或分母有理化。
例1、 求极限)))(((lim x b x a x x -+++∞→ 解 原式=xb x a x ab x b a xb x a x x b x a x x x +++++=+++-+++∞→+∞→))(()(lim))(())((lim2=21)1)(1()(limb a xbx a x abb a x +=++++++∞→ 例2、求极限]211[lim 32x x x x x --+++∞→ 解41)1111)(111)(111(1lim2)11)(1)(1(lim 2])11)(1)(1(2[lim ])1)(1(11[lim ]1111[lim )]1()1[(lim 32323232-=+--+-++-=+--+-++⋅⋅-=+--+-++-=+-+++--=+--++=--+-+=+∞→+∞→+∞→+∞→+∞→+∞→xx x x x x x x x x xx x x x x x x x x x x x x x x x xx xx x x x x x x x x x x x x 原式第②种类型:运用三角恒等式,将等式进行化简。
例3、求极限nn x x x 2cos 4cos 2cos lim ⋅⋅⋅∞→ 解 当12cos 4cos 2cos 0=⋅⋅⋅=n xx x x 时,; 当时0≠x ,因为对于充分大的正整数n,有.02sin 120≠<<n n x x 成立,所以 多次使用倍角公式 αααcos sin 22sin = 化简nnn n n n nn x x x x x x xx x x x x x x 22sin 1sin 2sin 2sin 12sin 2cos 4cos 2cos 2sin 12cos 4cos 2cos ⋅=⋅=⋅⋅⋅=⋅⋅⋅又因为当故,时,,122sin 02→→∞→nnn x xxn当x=0时,原式=1;当时0≠x ,原式=xxsin例4、求极限)]11ln(sin )31ln([sin lim xx x n +-+∞→ 解)]121(ln 21sin[2lim 0]2)11ln()31ln(cos[lim ]2)11ln()31ln(sin[]2)11ln()31ln(cos[2lim ++==++++-++++⋅=∞→∞→∞→x x x x x x x x x n n n ,所以原式又原式11)121(ln 21)]121(ln 21sin[x +++++∞→x x x ~~时,当故 原式=2112lim =+∞→x x n 第③种类型:利用一些求和或求积公式,化简表达式。
极限的例题一、介绍在微积分中,极限是一个重要的概念。
它描述了一个函数在某一点附近的行为。
通过研究极限,我们可以更好地理解函数的性质和它们的图像。
在本文档中,我们将通过一些例题来帮助读者更好地理解极限的概念和计算方法。
二、例题1. 例题一计算以下函数的极限:$$ \\lim_{x \\to 0} \\frac{\\sin(x)}{x} $$解答:我们先观察一下函数的形式。
当x趋近于零时,分子部分$\\sin(x)$ 也趋近于零,而分母部分x也趋近于零。
这个函数的极限是一个特殊的极限,称为正弦极限。
根据正弦极限的定义,我们知道:$$ \\lim_{x \\to 0} \\frac{\\sin(x)}{x} = 1 $$因此,答案是 1。
2. 例题二计算以下函数的极限:$$ \\lim_{x \\to \\infty} \\frac{e^x}{x^k} $$解答:在这个例题中,我们需要计算当x趋近于无穷大时,函数$\\frac{e^x}{x^k}$ 的极限。
由指数函数x x的性质,我们知道当x趋近于无穷大时,x x也趋近于无穷大。
因此,可以得到以下结论:•当x>0时,x x趋近于无穷大,而x x也趋近于无穷大。
所以 $\\frac{e^x}{x^k}$ 的极限为无穷大。
•当x=0时,x x为常数 1,而x x趋近于无穷大。
所以 $\\frac{e^x}{x^k}$ 的极限为无穷大。
•当x<0时,x x趋近于零,而x x趋近于无穷大。
所以 $\\frac{e^x}{x^k}$ 的极限为无穷大。
综上所述,无论x的值取何种情况,$\\frac{e^x}{x^k}$ 的极限都为无穷大。
3. 例题三计算以下函数的极限:$$ \\lim_{x \\to 2} \\frac{x^2 - 4}{x - 2} $$解答:我们可以将函数进行因式分解,得到:$$ \\frac{x^2 - 4}{x - 2} = \\frac{(x - 2)(x + 2)}{x - 2} $$可以看到,当x为 2 时,函数的定义域无定义。