高中三类基本不等式的解法
- 格式:doc
- 大小:325.50 KB
- 文档页数:4
不等式的基本性质与解法总结不等式是数学中常见的一种数值关系表达形式,它描述了两个数或者数值表达式之间大小关系的不同情况。
在解决实际问题中,我们经常会遇到需要研究不等式的性质并解决不等式的问题。
本文将总结不等式的基本性质和解法,帮助读者更好地理解和运用不等式。
一、不等式的基本性质1. 加法性质:如果a<b,那么对于任意的实数c,a+c<b+c仍然成立;如果a>b,那么对于任意的实数c,a+c>b+c仍然成立。
2. 减法性质:如果a<b,那么对于任意的实数c,a-c<b-c仍然成立;如果a>b,那么对于任意的实数c,a-c>b-c仍然成立。
3. 乘法性质:如果a<b且c>0,那么ac<bc仍然成立;如果a<b且c<0,那么ac>bc仍然成立。
4. 除法性质:如果a<b且c>0,那么a/c<b/c仍然成立;如果a<b且c<0,那么a/c>b/c仍然成立。
5. 等式的性质:如果a=b且b=c,那么a=c仍然成立。
可以在不等式的两边加上或者减去相等的数值,不等式的关系仍然保持不变。
二、不等式的分类与解法不等式可以分为一元不等式和二元不等式两类。
一元不等式指只有一个变量的不等式,而二元不等式指含有两个变量的不等式。
下面将分别介绍一元不等式和二元不等式的解法。
1. 一元不等式的解法(1)图像法:将一元不等式转化为二元不等式,绘制出二元不等式的图像,通过观察图像得到一元不等式的解集。
(2)数线法:将一元不等式表示在数轴上,根据不等式的性质,确定不等式的解集。
(3)代数法:通过变形和运算等方式将不等式转化为更简单的形式,进而得到不等式的解集。
2. 二元不等式的解法(1)图像法:将二元不等式表示为平面上的区域,通过观察图像确定变量的取值范围,得到不等式的解集。
(2)代数法:利用一元不等式的解法,将一个变量表示成另一个变量的函数,通过求解一元不等式得到二元不等式的解集。
不等式的性质及解法不等式是数学中的一种重要的数值关系表示形式,与等式相比,不等式更能反映数值大小之间的差异。
在实际问题中,我们经常会遇到需要确定数值范围的情况,而不等式的性质和解法则帮助我们进行准确的数值分析和解决问题。
一、不等式的基本性质1. 传递性:如果 a<b,b<c,则有 a<c。
这一性质表明不等式的关系可以在数轴上进行传递,简化了分析比较的步骤。
2. 加减性:如果 a<b,则有 a±c<b±c。
对于不等式两边同时加减同一个数,不等式的关系保持不变。
3. 乘除性:如果 a<b 并且 c>0,则有 ac<bc;如果 a<b 并且 c<0,则有ac>bc。
这一性质需要注意,当乘以负数时,不等式的关系需要取反。
4. 对称性:如果a<b,则有b>a。
不等式两边的大小关系可以互换。
二、一元不等式的解法1. 加减法解法:通过加减法将不等式转化为更简单的形式。
例如:对于不等式 2x+3>7,我们可以先减去3,得到 2x>4,再除以2,得到x>2,即解集为 x>2。
2. 乘除法解法:通过乘除法将不等式转化为更简单的形式。
同样以不等式 2x+3>7 为例,我们可以先减去3,得到 2x>4,再除以2,得到x>2,即解集为 x>2。
3. 移项解法:利用不等式的基本性质,将所有项移到同一边,得到一个结果。
例如:对于不等式 3(x-2)>4x-7,我们可以先将右边的项移动到左边,得到 3x-6>4x-7,然后将 x 的系数移到一侧,得到 3x-4x>-7+6,化简得到 -x>-1,再乘以 -1,注意需要反转不等式的关系,得到x<1,即解集为 x<1。
4. 系数法解法:当不等式中存在系数时,我们可以通过判断系数的正负来确定解的范围。
例如:对于不等式 2x-3>0,我们观察到系数2>0,说明 x 的取值范围为正数,即解集为 x>3/2。
不等式不等式是高考必考的热点内容,考查的广度和深度是其他章节无法比拟的,任何一份高考试卷中,涉及到不等式内容的考点所占比例超过70%。
一方面,考查不等式的性质、解法、证明以及实际应用;另一方面,与高中阶段的数学各个部分都存在着密切的联系。
因此,对于不等式的学习,应达到多层面,多角度熟练掌握的程度。
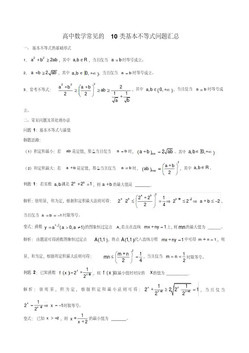
第一节基本不等式1.证明:当,展开后即可得到所求不等式及等号成立的条件。
2.基本不等式的变形(包括2个方面)①若,若,若,(上述3个不等式,考虑如何证明?)注:上述的不能仅仅理解为两个参数,它可以是表达式或函数的解析式。
②(注意:不等式的右边是)例题1.已知解:,∴;求有两种方法,其一是配式,,∴;另一种方法是,由,∵∴。
例题2.已知,求证:。
证明:由基本不等式得:,∴而条件是,即对于不等式等号成立,即。
注:本题把等号成立的条件,作为求证的目标,比较新颖。
例题3.已知解:,这里,.注:解答本题的关键是,如何运用好,两次使用了基本不等式,但不矛盾。
例题4. 求的最大值。
解:函数的定义域为,可以用其它的方法来解,比如用两边平方转化成二次函数求极值等。
但由于两式平方和为常数3,故应用基本不等式的变形公式简单些。
∵2,当且仅当→时成立,故。
例题5.已知,则的最小值为()。
解:当且仅当等号成立,的最小值为16.注:这里要求2元表达式的的最值,不能直接整体应用基本不等式(即不能直接整体消去a、b)而且也没有给出条件等式(即不可能代入消元),因此,对局部用基本不等式的变形公式进行处理。
例题6.若二次函数的值域为[0,+∞),则的最小值为()。
解:由题意得则,当且仅当a=c=2时,等号成立,所以的最小值为。
注:本题也可用消元法,由消去a或c,比较麻烦。
例题7.已知a,b,c>0,且例题8.已知a,b,c>0,且的最大值为()。
解:,当且仅当等号成立,∴所求的最大值为。
例题9.已知函数的定义域是[a,b],其中,(1)求的最小值;(2)若,求证:.解:(1)由基本不等式的变形公式可得,∴,上面各式等号成立的条件都是:时取得(虽然两次使用了基本不等式,但x的取值不矛盾),∴。
专题04 常见不等式的解法所谓常见不等式是指,一元二次不等式、含绝对值不等式、指数对数不等式、函数不等式等,高考中独立考查的同时,更多地是在对其他知识的考查中,作为工具进行考查.正是解不等式的这一基础地位,要求务必做到求解快捷、准确.【重点知识回眸】(一)常见不等式的代数解法1、一元二次不等式:()200ax bx c a ++>≠可考虑将左边视为一个二次函数()2f x ax bx c =++,作出图象,再找出x 轴上方的部分即可——关键点:图象与x 轴的交点2、高次不等式(1)可考虑采用“数轴穿根法”,分为以下步骤:(令关于x 的表达式为()f x ,不等式为()0f x >)①求出()0f x =的根12,,x x ② 在数轴上依次标出根③ 从数轴的右上方开始,从右向左画.如同穿针引线穿过每一个根④ 观察图象,()0f x >⇒ 寻找x 轴上方的部分()0f x <⇒ 寻找x 轴下方的部分(2)高次不等式中的偶次项,由于其非负性在解不等式过程中可以忽略,但是要验证偶次项为零时是否符合不等式3、分式不等式(1)将分母含有x 的表达式称为分式,即为()()f xg x 的形式 (2)分式若成立,则必须满足分母不为零,即()0g x ≠(3)对形如()()0f x g x >的不等式,可根据符号特征得到只需()(),f x g x 同号即可,所以将分式不等式转化为()()()00f xg x g x ⋅>⎧⎪⎨≠⎪⎩ (化商为积),进而转化为整式不等式求解4、含有绝对值的不等式(1)绝对值的属性:非负性(2)式子中含有绝对值,通常的处理方法有两种:一是通过对绝对值内部符号进行分类讨论(常用);二是通过平方(3)若不等式满足以下特点,可直接利用公式进行变形求解:① ()()f x g x >的解集与()()f x g x >或()()f x g x <-的解集相同② ()()f x g x <的解集与()()()g x f x g x -<<的解集相同(4)对于其它含绝对值的问题,则要具体问题具体分析,通常可用的手段就是先利用分类讨论去掉绝对值,将其转化为整式不等式,再做处理5、指数、对数不等式的解法:(1)利用函数的单调性:1a >时,x y > log log (,0)x ya a a a x y x y ⇔>⇔>>01a <<时,x y > log log (,0)x y a a a a x y x y ⇔<⇔<>(2)对于对数的两点补充:① 对数能够成立,要求真数大于0,所以在解对数不等式时首先要考虑真数大于0这个条件,如当1a >时,()()()()()()0log log 0a a f x f x g x g x f x g x >⎧⎪>⇒>⎨⎪>⎩② 如何将常数转化为某个底的对数.可活用“1”:因为1log a a =,可作为转换的桥梁6、利用换元法解不等式利用换元法解不等式的步骤通常为:①选择合适的对象进行换元:观察不等式中是否有相同的结构,则可将相同的结构视为一个整体 ②求出新元的初始范围,并将原不等式转化为新变量的不等式③解出新元的范围④在根据新元的范围解x 的范围(二)构造函数解不等式1、函数单调性的作用:()f x 在[],a b 单调递增,则[]()()121212,,,x x a b x x f x f x ∀∈<⇔<(在单调区间内,单调性是自变量大小关系与函数值大小关系的桥梁)2、假设()f x 在[],a b 上连续且单调递增,()()00,,0x a b f x ∃∈=,则()0,x a x ∈时,()0f x <;()0,x x b ∈时,()0f x > (单调性与零点配合可确定零点左右点的函数值的符号)3、导数运算法则:(1)()()()()()()()'''f x g x fx g x f x g x =+ (2)()()()()()()()'''2f x f x g x f x g x g x g x ⎛⎫-= ⎪⎝⎭4、构造函数解不等式的技巧:(1)此类问题往往条件比较零散,不易寻找入手点.所以处理这类问题要将条件与结论结合着分析.在草稿纸上列出条件能够提供什么,也列出要得出结论需要什么.两者对接通常可以确定入手点(2)在构造函数时要根据条件的特点进行猜想,例如出现轮流求导便猜有可能是具备乘除关系的函数.在构造时多进行试验与项的调整(3)此类问题处理的核心要素是单调性与零点,对称性与图象只是辅助手段.所以如果能够确定构造函数的单调性,猜出函数的零点.那么问题便易于解决了.(三)利用函数性质与图象解不等式:1、轴对称与单调性:此类问题的实质就是自变量与轴距离大小与其函数值大小的等价关系.通常可作草图帮助观察.例如:()f x 的对称轴为1x =,且在()1,+∞但增.则可以作出草图(不比关心单调增的情况是否符合()f x ,不会影响结论),得到:距离1x =越近,点的函数值越小.从而得到函数值与自变量的等价关系2、图象与不等式:如果所解不等式不便于用传统方法解决,通常的处理手段有两种,一类是如前文所说可构造一个函数,利用单调性与零点解不等式;另一类就是将不等式变形为两个函数的大小关系如()()f x g x <,其中()(),f x g x 的图象均可作出.再由()()f x g x <可知()f x 的图象在()g x 图象的下方.按图象找到符合条件的范围即可.【典型考题解析】热点一 简单不等式的解法【典例1】(2022·全国·高考真题)已知集合{}{}1,1,2,4,11A B x x =-=-≤,则A B =( )A .{1,2}-B .{1,2}C .{1,4}D .{1,4}-【答案】B【解析】【分析】求出集合B 后可求A B .【详解】{}|02B x x =≤≤,故{}1,2A B =,故选:B.【典例2】(2020·全国·高考真题(文))已知集合2{|340},{4,1,3,5}A x x x B =--<=-,则A B =( )A .{4,1}-B .{1,5}C .{3,5}D .{1,3}【答案】D【解析】【分析】首先解一元二次不等式求得集合A ,之后利用交集中元素的特征求得A B ,得到结果.【详解】由2340x x --<解得14x -<<,所以{}|14A x x =-<<,又因为{}4,1,3,5B =-,所以{}1,3A B =,故选:D.【典例3】(2017·上海·高考真题)不等式11x x ->的解集为________【答案】(,0)-∞【解析】【详解】由题意,不等式11x x ->,得111100x x x->⇒<⇒<,所以不等式的解集为(,0)-∞. 【典例4】(2020·江苏·高考真题)设x ∈R ,解不等式2|1|||4x x ++<. 【答案】2(2,)3- 【解析】【分析】根据绝对值定义化为三个方程组,解得结果【详解】1224x x x <-⎧⎨---<⎩或10224x x x -≤≤⎧⎨+-<⎩或0224x x x >⎧⎨++<⎩21x ∴-<<-或10x -≤≤或203x << 所以解集为:2(2,)3- 【典例5】解下列高次不等式:(1)()()()1230x x x --->(2)()()()21230x x x +--< 【答案】(1)()()1,23,+∞;(2)()()1,22,3-. 【解析】(1)解:()()()()123f x x x x =---则()0f x =的根1231,2,3x x x ===作图可得:12x << 或3x >∴不等式的解集为()()1,23,+∞(2)思路:可知()220x -≥,所以只要2x ≠,则()22x -恒正,所以考虑先将恒正恒负的因式去掉,只需解()()13020x x x +-<⎧⎨-≠⎩ ,可得13x -<<且2x ≠∴不等式的解集为()()1,22,3-【名师点睛】在解高次不等式时,穿根前可考虑先将恒正恒负的项去掉,在进行穿根即可.穿根法的原理:它的实质是利用图象帮助判断每个因式符号,进而决定整个式子的符号,图象中的数轴分为上下两个部分,上面为()0f x > 的部分,下方为()0f x <的部分.以例2(1)为例,当3x >时,每一个因式均大于0,从而整个()f x 的符号为正,即在数轴的上方(这也是为什么不管不等号方向如何,穿根时一定要从数轴右上方开始的原因,因为此时()f x 的符号一定为正),当经过3x = 时,()3x -由正变负,而其余的式子符号未变,所以()f x 的符号发生一次改变,在图象上的体现就是穿根下来,而后经过下一个根时,()f x 的符号再次发生改变,曲线也就跑到x 轴上方来了.所以图象的“穿根引线”的实质是()f x 在经历每一个根时,式子符号的交替变化.【规律方法】1.含绝对值的不等式要注意观察式子特点,选择更简便的方法2.零点分段法的好处在于,一段范围可将所有的绝对值一次性去掉,缺点在于需要进行分类讨论,对学生书写的规范和分类讨论习惯提出了要求,以及如何整理结果,这些细节部分均要做好,才能保证答案的正确性.3.引入函数,通过画出分段函数的图象,观察可得不等式的解.热点二 含参数不等式问题【典例6】(2022·浙江·高考真题)已知,a b ∈R ,若对任意,|||4||25|0x a x b x x ∈-+---≥R ,则( )A .1,3a b ≤≥B .1,3a b ≤≤C .1,3a b ≥≥D .1,3a b ≥≤ 【答案】D【解析】【分析】将问题转换为|||25||4|a x b x x -≥---,再结合画图求解.【详解】由题意有:对任意的x ∈R ,有|||25||4|a x b x x -≥---恒成立.设()||f x a x b =-,()51,2525439,421,4x x g x x x x x x x ⎧-≤⎪⎪⎪=---=-<<⎨⎪-≥⎪⎪⎩,即()f x 的图像恒在()g x 的上方(可重合),如下图所示:由图可知,3a ≥,13b ≤≤,或13a ≤<,3143b a ≤≤-≤,故选:D .【典例7】(2020·浙江·高考真题)已知a ,b ∈R 且ab ≠0,对于任意x ≥0 均有(x –a )(x–b )(x–2a–b )≥0,则( )A .a <0B .a >0C .b <0D .b >0【答案】C【解析】【分析】对a 分0a >与0a <两种情况讨论,结合三次函数的性质分析即可得到答案.【详解】因为0ab ≠,所以0a ≠且0b ≠,设()()()(2)f x x a x b x a b =----,则()f x 的零点为123,,2x a x b x a b ===+当0a >时,则23x x <,1>0x ,要使()0f x ≥,必有2a b a +=,且0b <,即=-b a ,且0b <,所以0b <;当0a <时,则23x x >,10x <,要使()0f x ≥,必有0b <.综上一定有0b <.故选:C【典例8】(2023·全国·高三专题练习)解关于x 的不等式()222R ax x ax a ≥-∈-.【答案】详见解析.【解析】【分析】分类讨论a ,求不等式的解集即可.【详解】原不等式变形为()2220ax a x +--≥.①当0a =时,1x ≤-;②当0a ≠时,不等式即为()()210ax x -+≥,当0a >时,x 2a≥或1x ≤-; 由于()221a a a+--=,于是 当20a -<<时,21x a≤≤-; 当2a =-时,1x =-;当2a <-时,21x a-≤≤. 综上,当0a =时,不等式的解集为(,1]-∞-;当0a >时,不等式的解集为2(,1][,)a-∞-⋃+∞; 当20a -<<时,不等式的解集为2,1a ⎡⎤-⎢⎥⎣⎦;当2a =-时,不等式的解集为{}1-;当2a <-时,不等式的解集为21,a ⎡⎤-⎢⎥⎣⎦. 【总结提升】关于含参数不等式,其基本处理方法就是“分类讨论”,讨论过程中应注意“不重不漏”.关于含参数的一元二次不等式问题:(1)当判别式Δ能写成一个式子的平方的形式时,可先求方程的两根,再讨论两根的大小,从而写出解集.(2)三个方面讨论:二次项系数的讨论,根有无的讨论,根大小的讨论.(3)含参数分类讨论问题最后要写综述.热点三 函数不等式问题【典例9】(2018·全国·高考真题(文))设函数()2010x x f x x -⎧≤=⎨>⎩,,,则满足()()12f x f x +<的x 的取值范围是( )A .(]1-∞-,B .()0+∞,C .()10-,D .()0-∞,【答案】D【解析】【分析】 分析:首先根据题中所给的函数解析式,将函数图像画出来,从图中可以发现若有()()12f x f x +<成立,一定会有2021x x x <⎧⎨<+⎩,从而求得结果. 详解:将函数()f x 的图像画出来,观察图像可知会有2021x x x <⎧⎨<+⎩,解得0x <,所以满足()()12f x f x +<的x 的取值范围是()0-∞,,故选D .【典例10】(2020·北京·高考真题)已知函数()21x f x x =--,则不等式()0f x >的解集是( ). A .(1,1)-B .(,1)(1,)-∞-+∞C .(0,1)D .(,0)(1,)-∞⋃+∞ 【答案】D【解析】【分析】作出函数2x y =和1y x =+的图象,观察图象可得结果.【详解】因为()21x f x x =--,所以()0f x >等价于21x x >+,在同一直角坐标系中作出2x y =和1y x =+的图象如图:两函数图象的交点坐标为(0,1),(1,2),不等式21x x >+的解为0x <或1x >.所以不等式()0f x >的解集为:()(),01,-∞⋃+∞. 故选:D.【典例11】(天津·高考真题(理))设函数f (x )=()212log ,0log ,0x xx x >⎧⎪⎨-<⎪⎩若()()f a f a >-,则实数a 的取值范围是( ) A .()()1,00,1-B .()(),11,-∞-+∞C .()()1,01,-⋃+∞D .()(),10,1-∞-⋃【答案】C【解析】【分析】由于a 的范围不确定,故应分0a >和0a <两种情况求解.【详解】当0a >时,0a -<,由()()f a f a >-得212log log a a>,所以22log 0a >,可得:1a >,当0a <时,0a ->,由()()f a f a >-得()()122log log a a ->-,所以()22log 0a -<,即01a <-<,即10a -<<,综上可知:10a -<<或1a >.故选:C【典例12】(2020·海南·高考真题)若定义在R 的奇函数f (x )在(,0)-∞单调递减,且f (2)=0,则满足(10)xf x -≥的x 的取值范围是( )A .[)1,1][3,-+∞B .3,1][,[01]--C .[1,0][1,)-⋃+∞D .[1,0][1,3]-⋃【答案】D【解析】【分析】首先根据函数奇偶性与单调性,得到函数()f x 在相应区间上的符号,再根据两个数的乘积大于等于零,分类转化为对应自变量不等式,最后求并集得结果.【详解】因为定义在R 上的奇函数()f x 在(,0)-∞上单调递减,且(2)0f =,所以()f x 在(0,)+∞上也是单调递减,且(2)0f -=,(0)0f =,所以当(,2)(0,2)x ∈-∞-⋃时,()0f x >,当(2,0)(2,)x ∈-+∞时,()0f x <,所以由(10)xf x -≥可得: 0210x x <⎧⎨-≤-≤⎩或0012x x >⎧⎨≤-≤⎩或0x = 解得10x -≤≤或13x ≤≤,所以满足(10)xf x -≥的x 的取值范围是[1,0][1,3]-⋃,故选:D.【典例13】(2023·全国·高三专题练习)设函数()f x '是奇函数()f x (x ∈R )的导函数,f (﹣1)=0,当x >0时,()()0xf x f x '->,则使得f (x )>0成立的x 的取值范围是( )A .(﹣∞,﹣1)∪(﹣1,0)B .(0,1)∪(1,+∞)C .(﹣∞,﹣1)∪(0,1)D .(﹣1,0)∪(1,+∞)【答案】D【解析】【分析】构造函数()()f x g x x =,求导结合题意可得()()f x g x x =的单调性与奇偶性,结合()10g -=求解即可 【详解】由题意设()()f x g x x=,则()()()2xf x f x g x x '-'= ∵当x >0时,有()()0xf x f x '->,∴当x >0时,()0g x '>,∴函数()()f x g x x=在(0,+∞)上为增函数, ∵函数f (x )是奇函数,∴g (﹣x )=g (x ),∴函数g (x )为定义域上的偶函数,g (x )在(﹣∞,0)上递减,由f (﹣1)=0得,g (﹣1)=0,∵不等式f (x )>0⇔x •g (x )>0,∴()()01x g x g >⎧⎨>⎩或()()01x g x g <⎧⎨<-⎩, 即有x >1或﹣1<x <0,∴使得f (x )>0成立的x 的取值范围是:(﹣1,0)∪(1,+∞),故选:D .【总结提升】关于函数不等式问题,处理方法往往从以下几方面考虑:(1)利用函数的奇偶性、单调性.(2)借助于函数的图象(数形结合法).(3)涉及抽象函数、导数问题,利用构造辅助函数法,构造函数时往往从两方面着手:①根据导函数的“形状”变换不等式“形状”;②若是选择题,可根据选项的共性归纳构造恰当的函数.【精选精练】一、单选题1.(2020·全国·高考真题(文))已知集合2{|340},{4,1,3,5}A x x x B =--<=-,则A B =( )A .{4,1}-B .{1,5}C .{3,5}D .{1,3}【答案】D【解析】【分析】首先解一元二次不等式求得集合A ,之后利用交集中元素的特征求得A B ,得到结果.【详解】由2340x x --<解得14x -<<,所以{}|14A x x =-<<,又因为{}4,1,3,5B =-,所以{}1,3A B =,故选:D.2.(2021·湖南·高考真题)不等式|21|3x -<的解集是( )A .{}2x x <B .{}1x x >-C .{}12x x -<<D .{1x x <-或}2x >【答案】C【解析】【分析】根据绝对值的几何意义去绝对值即可求解.【详解】由|21|3x -<可得:3213x -<-<,解得:12x -<<, 所以原不等式的解集为:{}12x x -<<,故选:C.3.(2021·广东·潮阳一中明光学校高三阶段练习)设集合{}11A x x =-≤≤,{}2log 1B x x =<,则A B =( )A .{}11x x -<≤B .{}11x x -<<C .{}01x x <≤D .{}01x x <<【答案】C【解析】【分析】根据对数函数定义域以及对数函数不等式求解集合B ,再进行交集运算即可.【详解】 由题意得,{}{}2log 102B x x x x =<=<<,所以{}|01A B x x ⋂=<≤,故选:C.4.(2022·江苏·南京市第一中学高三开学考试)已知集合{}230A x x x =-<,{}|33x B x =≥,则A B =( ) A .10,2⎛⎫⎪⎝⎭ B .1,32⎡⎫⎪⎢⎣⎭ C .(2 D .()1,3【答案】B【解析】【分析】求出集合A 、B ,再由交集的定义求解即可【详解】 集合{}{}23003A x x x x x =-<=<<,{}1332x B x x x ⎧⎫==≥⎨⎬⎩⎭, 则132A B x x ⎧⎫⋂=≤<⎨⎬⎩⎭.故选:B.5.(天津·高考真题(理))设x ∈R ,则“21x -<”是“220x x +->”的( )A .充分而不必要条件B .必要而不充分条件C .充要条件D .既不充分也不必要条件【答案】A【解析】【分析】求绝对值不等式、一元二次不等式的解集,根据解集的包含关系即可判断充分、必要关系.【详解】 由21x -<,可得13x <<,即x ∈(1,3);由22(1)(2)0x x x x +-=-+>,可得2x <-或1x >,即x ∈(,2)(1,)-∞-+∞;∴(1,3)是(,2)(1,)-∞-+∞的真子集,故“21x -<”是“220x x +->”的充分而不必要条件.故选:A6.(2023·全国·高三专题练习)已知函数f (x )=x 2+ax +b (a ,b ∈R )的值域为[0,+∞),若关于x 的不等式f (x )<c 的解集为(m ,m +6),则实数c 的值为( )A .4B .3C .9D .94【答案】C【解析】【分析】根据函数的值域求出a 与b 的关系,然后根据不等式的解集可得()f x c =的两个根为,6m m +,最后利用根与系数的关系建立等式,解之即可.【详解】∵函数f (x )=x 2+ax +b (a ,b ∈R )的值域为[0,+∞),∴f (x )=x 2+ax +b =0只有一个根,即Δ=a 2﹣4b =0则b 24a =, 不等式f (x )<c 的解集为(m ,m +6),即为x 2+ax 24a +<c 解集为(m ,m +6), 则x 2+ax 24a +-c =0的两个根为m ,m +6 ∴|m +6﹣m |22444a a c c ⎛⎫=-- ⎪⎝⎭6 解得c =9故选:C .7.(2022·吉林·长春市第二实验中学高三阶段练习)已知函数()y f x =是奇函数,当0x >时,()22x f x =-,则不等式()0f x >的解集是( )A .()()1,00,1-B .()()1,01,-⋃+∞C .()(),10,1-∞-⋃D .()(),11,-∞-⋃+∞ 【答案】B【解析】【分析】根据函数为奇函数求出当0x <时,函数()f x 的函数解析式,再分0x <和0x >两种情况讨论,结合指数函数的单调性解不等式即可.【详解】解:因为函数()y f x =是奇函数,所以()()f x f x -=-,且()00f =当0x <时,则0x ->,则()()22x f x f x --=-=-,所以当0x <时,()22x f x -=-+,则()0220x x f x >⎧⎨=->⎩,解得1x >,()0220x x f x -<⎧⎨=-+>⎩,解得10x -<<,所以不等式()0f x >的解集是()()1,01,-⋃+∞.故选:B.8.(2023·全国·高三专题练习)已知函数33,0()e 1,0x x x f x x --+<⎧=⎨+≥⎩,则不等式()(31)<-f a f a 的解集为()A .10,2⎛⎫⎪⎝⎭ B .1,02⎛⎫- ⎪⎝⎭C .1,2⎛⎫-∞ ⎪⎝⎭ D .1,2⎛⎫-∞- ⎪⎝⎭【答案】C【解析】【分析】由函数解析式判断函数的单调性,根据单调性将函数不等式转化为自变量的不等式,解得即可;【详解】解:因为33,0()e 1,0x x x f x x --+<⎧=⎨+≥⎩,当0x <时()33f x x =-+函数单调递减,且()3033f x >-⨯+=,当0x ≥时()e 1x f x -=+函数单调递减,且()00e 123f =+=<,所以函数()f x 在(,)-∞+∞上是单调递减,所以不等式()(31)<-f a f a 等价于31a a >-,解得12a <. 即不等式的解集为1,2⎛⎫-∞ ⎪⎝⎭; 故选:C9.(2020·海南·高考真题)若定义在R 的奇函数f (x )在(,0)-∞单调递减,且f (2)=0,则满足(10)xf x -≥的x 的取值范围是( )A .[)1,1][3,-+∞B .3,1][,[01]--C .[1,0][1,)-⋃+∞D .[1,0][1,3]-⋃【答案】D【解析】【分析】首先根据函数奇偶性与单调性,得到函数()f x 在相应区间上的符号,再根据两个数的乘积大于等于零,分类转化为对应自变量不等式,最后求并集得结果.【详解】因为定义在R 上的奇函数()f x 在(,0)-∞上单调递减,且(2)0f =,所以()f x 在(0,)+∞上也是单调递减,且(2)0f -=,(0)0f =,所以当(,2)(0,2)x ∈-∞-⋃时,()0f x >,当(2,0)(2,)x ∈-+∞时,()0f x <,所以由(10)xf x -≥可得: 0210x x <⎧⎨-≤-≤⎩或0012x x >⎧⎨≤-≤⎩或0x = 解得10x -≤≤或13x ≤≤,所以满足(10)xf x -≥的x 的取值范围是[1,0][1,3]-⋃,故选:D.10.(2023·全国·高三专题练习)定义在(0)+∞,上的函数()f x 满足()()110,2ln 2xf x f '+=>,则不等式)(e 0x f x +> 的解集为( ) A .(02ln2),B .(0,ln2)C .(ln21),D .(ln2)+∞, 【答案】D【解析】【分析】构造新函数()()ln ,(0)g x f x x x =+>,利用导数说明其单调性,将)(e 0x f x +>变形为)>(e (2)x g g ,利用函数的单调性即可求解.【详解】令()()ln ,(0)g x f x x x =+> , 则()11()()xf x g x f x x x'+''=+=,由于()10xf x '+>, 故()0g x '>,故()g x 在(0)+∞,单调递增, 而1(2)(2)ln2ln ln 202g f =+=+= , 由)(e 0x f x +>,得)>(e (2)x g g ,∴e 2x > ,即ln2x > ,∴不等式)(e 0x f x +>的解集为(ln2)+∞,, 故选:D .二、填空题11.(2023·全国·高三专题练习)不等式组230,340.x x x ->⎧⎨-->⎩的解集为_________. 【答案】()4,+∞【解析】【分析】解一元二次不等式取交集即可.【详解】原不等式组化简为3034(4)(1)041x x x x x x x ->>⎧⎧⇒⇒>⎨⎨-+>><-⎩⎩或 故答案为:()4,+∞.12.(2019·浙江·高考真题)已知a R ∈,函数3()f x ax x =-,若存在t R ∈,使得2|(2)()|3f t f t +-≤,则实数a 的最大值是____. 【答案】max 43a =【解析】【分析】本题主要考查含参绝对值不等式、函数方程思想及数形结合思想,属于能力型考题.从研究()2(2)()23642f t f t a t t +-=++-入手,令2364[1,)m t t =++∈+∞,从而使问题加以转化,通过绘制函数图象,观察得解.【详解】使得()222(2)()2(2)(2)2234{}2]6f t f t a t t t t a t t +-=•[++++-=++-,使得令2364[1,)m t t =++∈+∞,则原不等式转化为存在11,|1|3m am ≥-≤, 由折线函数,如图只需11133a -≤-≤,即2433a ≤≤,即a 的最大值是43【点睛】对于函数不等式问题,需充分利用转化与化归思想、数形结合思想.13.(2023·全国·高三专题练习)若函数f (x )=ln x +e x -sin x ,则不等式f (x -1)≤f (1)的解集为________.【答案】(1,2]【解析】【分析】先利用导数判断函数的单调性,再利用其单调性解不等式.【详解】解:f (x )的定义域为(0,+∞),∴()1f x x'=+e x -cos x . ∵x >0,∴e x >1,∴()f x '>0,∴f (x )在(0,+∞)上单调递增,又f (x -1)≤f (1),∴0<x -1≤1,即1<x ≤2,则原不等式的解集为(1,2].故答案为:(1,2]三、双空题14.(2019·北京·高考真题(理))李明自主创业,在网上经营一家水果店,销售的水果中有草莓、京白梨、西瓜、桃,价格依次为60元/盒、65元/盒、80元/盒、90元/盒.为增加销量,李明对这四种水果进行促销:一次购买水果的总价达到120元,顾客就少付x 元.每笔订单顾客网上支付成功后,李明会得到支付款的80%.①当x =10时,顾客一次购买草莓和西瓜各1盒,需要支付__________元;②在促销活动中,为保证李明每笔订单得到的金额均不低于促销前总价的七折,则x 的最大值为__________.【答案】 130. 15.【解析】【分析】由题意可得顾客需要支付的费用,然后分类讨论,将原问题转化为不等式恒成立的问题可得x 的最大值.【详解】(1)10x =,顾客一次购买草莓和西瓜各一盒,需要支付()608010130+-=元.(2)设顾客一次购买水果的促销前总价为y 元,120y <元时,李明得到的金额为80%y ⨯,符合要求.120y ≥元时,有()80%70%y x y -⨯≥⨯恒成立,即()87,8y y x y x -≥≤,即min158y x ⎛⎫≤= ⎪⎝⎭元. 所以x 的最大值为15.【点睛】本题主要考查不等式的概念与性质、数学的应用意识、数学式子变形与运算求解能力,以实际生活为背景,创设问题情境,考查学生身边的数学,考查学生的数学建模素养.15.(2023·全国·高三专题练习)已知函数f (x )111()12x x x x -≤⎧⎪=⎨⎪⎩,,>,则()()2f f =__,不等式()()32f x f -<的解集为__.【答案】12## 0.5 {x |x 72<或x >5} 【解析】【分析】第一空先求出()2f 的值,再求()()2f f 的值;第二空将3x -分为大于1或小于等于1两种情况讨论,分别解出不等式,写出解集即可.【详解】解:f (2)211122-⎛⎫== ⎪⎝⎭,1122f ⎛⎫= ⎪⎝⎭, ∴()()122f f =, 当x ﹣3>1时,即x >4时,311122x --⎛⎫ ⎪⎝⎭<,解得x >5, 当x ﹣3≤1时,即x ≤4时,x ﹣312<,解得x 72<, 综上所述不等式f (x ﹣3)<f (2)的解集为752x x x ⎧⎫⎨⎬⎩⎭或 故答案为:12,752x x x ⎧⎫⎨⎬⎩⎭或. 四、解答题16.(2020·山东·高考真题)已知函数()225,02,0x x f x x x x -≥⎧=⎨+<⎩. (1)求()1f f ⎡⎤⎣⎦的值;(2)求()13f a -<,求实数a 的取值范围.【答案】(1)3;(2)35a -<<.【解析】【分析】(1)根据分段函数的解析式,代入计算即可;(2)先判断1a -的取值范围,再代入分段函数解析式,得到()13f a -<的具体不等式写法,解不等式即可.【详解】解:(1)因为10>,所以()12153f =⨯-=-,因为30-<,所以()()()()2133233f f f =-=-+⨯⎤⎦-⎣=⎡.(2)因为10a -≥, 则()1215f a a -=--, 因为()13f a -<,所以2153a --<, 即14a -<,解得35a -<<.17.(2021·全国·高考真题(理))已知函数()3f x x a x =-++.(1)当1a =时,求不等式()6f x ≥的解集;(2)若()f x a >-,求a 的取值范围.【答案】(1)(][),42,-∞-+∞.(2)3,2⎛⎫-+∞ ⎪⎝⎭. 【解析】【分析】(1)利用绝对值的几何意义求得不等式的解集.(2)利用绝对值不等式化简()f x a >-,由此求得a 的取值范围.【详解】(1)[方法一]:绝对值的几何意义法当1a =时,()13f x x x =-++,13x x -++表示数轴上的点到1和3-的距离之和,则()6f x ≥表示数轴上的点到1和3-的距离之和不小于6, 当4x =-或2x =时所对应的数轴上的点到13-,所对应的点距离之和等于6, ∴数轴上到13-,所对应的点距离之和等于大于等于6得到所对应的坐标的范围是4x ≤-或2x ≥, 所以()6f x ≥的解集为(][),42,-∞-+∞.[方法二]【最优解】:零点分段求解法当1a =时,()|1||3|f x x x =-++.当3x ≤-时,(1)(3)6-+--≥x x ,解得4x ≤-;当31x -<<时,(1)(3)6-++≥x x ,无解;当1≥x 时,(1)(3)6-++≥x x ,解得2x ≥.综上,|1||3|6-++≥x x 的解集为(,4][2,)-∞-+∞.(2)[方法一]:绝对值不等式的性质法求最小值依题意()f x a >-,即3a x a x -+>-+恒成立,333x a x x a a x -++-+=≥++,当且仅当()()30a x x -+≥时取等号,()3min f x a ∴=+, 故3a a +>-,所以3a a +>-或3a a +<, 解得32a >-. 所以a 的取值范围是3,2⎛⎫-+∞ ⎪⎝⎭. [方法二]【最优解】:绝对值的几何意义法求最小值由||x a -是数轴上数x 表示的点到数a 表示的点的距离,得()|||3||3|f x x a x a =-++≥+,故|3|a a +>-,下同解法一.[方法三]:分类讨论+分段函数法当3a ≤-时,23,,()3,3,23,3,x a x a f x a a x x a x -+-<⎧⎪=--≤≤-⎨⎪-+>-⎩则min [()]3=--f x a ,此时3-->-a a ,无解.当3a >-时,23,3,()3,3,23,,x a x f x a x a x a x a -+-<-⎧⎪=+-≤≤⎨⎪-+>⎩则min [()]3=+f x a ,此时,由3a a +>-得,32a >-. 综上,a 的取值范围为32a >-. [方法四]:函数图象法解不等式由方法一求得()min 3f x a =+后,构造两个函数|3|=+y a 和y a =-,即3,3,3,3a a y a a --<-⎧=⎨+≥-⎩和y a =-, 如图,两个函数的图像有且仅有一个交点33,22⎛⎫- ⎪⎝⎭M , 由图易知|3|a a +>-,则32a >-.【整体点评】(1)解绝对值不等式的方法有几何意义法,零点分段法.方法一采用几何意义方法,适用于绝对值部分的系数为1的情况,方法二使用零点分段求解法,适用于更广泛的情况,为最优解;(2)方法一,利用绝对值不等式的性质求得()3min f x a =+,利用不等式恒成立的意义得到关于a 的不等式,然后利用绝对值的意义转化求解;方法二与方法一不同的是利用绝对值的几何意义求得()f x 的最小值,最有简洁快速,为最优解法方法三利用零点分区间转化为分段函数利用函数单调性求()f x 最小值,要注意函数()f x 中的各绝对值的零点的大小关系,采用分类讨论方法,使用与更广泛的情况;方法四与方法一的不同在于得到函数()f x 的最小值后,构造关于a 的函数,利用数形结合思想求解关于a 的不等式.18.(2023·全国·高三专题练习)已知函数2()2f x x ax =++,R a ∈.(1)若不等式()0f x 的解集为[1,2],求不等式2()1f x x -的解集;(2)若对于任意的[1x ∈-,1],不等式()2(1)4f x a x -+恒成立,求实数a 的取值范围;(3)已知2()(2)1g x ax a x =+++,若方程()()f x g x =在1(,3]2有解,求实数a 的取值范围. 【答案】(1)(-∞,1][12,)∞+ (2)13a ≤ (3)[0,1).【解析】【分析】(1)根据不等式的解集转化为一元二次方程,利用根与系数之间的关系求出a ,然后解一元二次不等式即可;(2)问题转化为222x a x --在[1x ∈-,1]恒成立,令22()2x h x x -=-,[1x ∈-,1],根据函数的单调性求出a 的范围即可;(3)利用参数分离法进行转化求解即可.(1)解:若不等式()0f x 的解集为[1,2],即1,2是方程220x ax ++=的两个根,则123a +=-=,即3a =-,则2()32f x x x =-+,由2()1f x x -得,22321x x x -+-即22310x x -+得(21)(1)0x x --,得1x 或12x ,即不等式的解集为(-∞,1][12,)∞+. (2)解:不等式()2(1)4f x a x -+恒成立,即222x a x --在[1x ∈-,1]恒成立,令22()2x h x x -=-,[1x ∈-,1],则2242()(2)x x h x x -+'=-,令()0h x '=,解得:22x =,故()h x 在[1-,22)递增,在(221]递减,故()min h x h =(1)或1()h -,而h (1)1=,1(1)3h -=,故13a . (3)解:由()()f x g x =得22(2)12ax a x x ax +++=++,2(1)210a x x ∴-+-=,即2(1)12a x x -=-,若方程()()f x g x =在1(2,3]有解,等价为2212121x a x x x --==-有解,设22121()(1)1h x x x x =-=--,1(2x ∈,3],∴11[3x ∈,2),即1()0h x -<,即110a --<,则01a <,即实数a 的取值范围是[0,1).。
不等式的基本性质与解法知识点总结不等式在数学中占据着重要的地位,它是描述数值关系的一种有效方式。
本文将总结不等式的基本性质和解法知识点。
一、不等式的基本性质1. 加法性质:若a>b,则a+c>b+c,其中c为任意实数。
2. 减法性质:若a>b,则a-c>b-c,其中c为任意实数。
3. 乘法性质:若a>b且c>0,则ac>bc;若a>b且c<0,则ac<bc。
4. 除法性质:若a>b且c>0,则a/c>b/c;若a>b且c<0,则a/c<b/c。
5. 对称性质:若a>b,则-b>-a。
6. 传递性质:若a>b且b>c,则a>c。
7. 绝对值性质:若|a|>|b|,则a^2>b^2。
8. 幂性质:若a>b且n为正整数,则a^n>b^n。
二、不等式的解法1. 图像法:将不等式转化为图像,利用图像直观地判断解集。
2. 对称法:当不等式具有对称性时,可以利用对称性质简化计算。
3. 分情况讨论法:将不等式分成不同的情况进行讨论,逐一求解。
4. 加减法合并法:将不等式中的项进行合并,简化计算。
5. 取绝对值法:若不等式中存在绝对值,可以通过取绝对值简化问题。
6. 平方法:若不等式中存在平方或平方根,可以通过平方或开方简化计算。
7. 代入法:将不等式中的变量代入,通过求解方程得到不等式的解集。
8. 倒置法:将不等式的方向倒置,从而转化为已知的不等式进行求解。
9. 寻找最值法:通过寻找函数的最值,确定不等式的解集。
10. 数学归纳法:对于一些特殊的不等式,可以通过数学归纳方法来证明。
三、实例分析以下是一些例子,通过上述解法来解答:例子1:解不等式2x+3>7。
解法:首先,我们可以使用加减法合并法将不等式化简为2x>4。
然后,再利用乘法性质除以2,得到x>2。
不等式的解法高考要求1.在熟练掌握一元一次不等式(组)、一元二次不等式的解法基础上,掌握其它的一些简单不等式的解法.通过不等式解法的复习,提高学生分析问题、解决问题的能力以及计算能力;2.掌握解不等式的基本思路,即将分式不等式、绝对值不等式等不等式,化归为整式不等式(组),会用分类、换元、数形结合的方法解不等式3掌握解指数、对数不等式的方法,一般来说,与解指数、对数方程的方法类似即:(1)同底法:能化为同底数先化为同底,再根据指数、对数的单调性转化为代数不等式,底是参数时要注意对其进行讨论并注意到对数真数大于零的限制条件(2)转化法:多用于指数不等式,通过两边取对数转化为对数不等式(注意转化的等价性)(3)换元法:多用于不等式两边是和的形式,或取对数后再换元,并注意所换“元”的范围4掌握基本无理不等式的转化方法知识点归纳三、解不等式1.解不等式问题的分类(1)解一元一次不等式.(2)解一元二次不等式.(3)可以化为一元一次或一元二次不等式的不等式.①解一元高次不等式;②解分式不等式;③解无理不等式;④解指数不等式;⑤解对数不等式;⑥解带绝对值的不等式;⑦解不等式组.2.解不等式时应特别注意下列几点:(1)正确应用不等式的基本性质.(2)正确应用幂函数、指数函数和对数函数的增、减性.(3)注意代数式中未知数的取值范围.3.不等式的同解性(1)f(x)g(x)0f(x)0g(x)0f(x)0g(x)0·>与>>或<<同解.⎧⎨⎩⎧⎨⎩(2)f(x)g(x)0f(x)0g(x)0 f(x)0g(x)0·<与><或<>同解.⎧⎨⎩⎧⎨⎩ (3)f(x)g(x)0f(x)0g(x)0 f(x)0g(x)0(g(x)0)>与>>或<<同解.≠⎧⎨⎩⎧⎨⎩ (4)f(x)g(x)0f(x)0g(x)0 f(x)0g(x)0(g(x)0)<与><或<>同解.≠⎧⎨⎩⎧⎨⎩(5)|f(x)|<g(x)与-g(x)<f(x)<g(x)同解.(g(x)>0) (6)|f(x)|>g(x) 与①f(x)>g(x)或f(x)<-g(x)(其中g(x)≥0);②g(x)<0同解(7)f(x)g(x) f(x)[g(x)]f(x)0g(x)0f(x)0g(x)02>与>≥≥或≥<同解.⎧⎨⎪⎩⎪⎧⎨⎩(8)f(x)g(x)f(x)[g(x)]f(x)02<与<≥同解.⎧⎨⎩(9)当a >1时,a f(x)>a g(x)与f(x)>g(x)同解,当0<a <1时,a f(x)>a g(x)与f(x)<g(x)同解.(10)a 1log f(x)log g(x)f(x)g(x)f(x)0a a 当>时,>与>>同解.⎧⎨⎩当<<时,>与<>>同解.0a 1log f(x)log g(x)f(x)g(x) f(x)0g(x)0a a ⎧⎨⎪⎩⎪4 零点分段法:高次不等式与分式不等式的简洁解法步骤:①形式:分母)移项,通分(不轻易去←>0)()(x Q x P ②首项系数符号>0——标准式,若系数含参数时,须判断或讨论系数的符号,化负为正③判断或比较根的大小 题型讲解例1 不等式(1+x)(1-x )>0的解集是( ) A .{}10<≤x x B .{}10-≠<x x x 且 C .{}11<<-x x D .{}11-≠<x x x 且 解:(1+x)(1-x )=0的解为x=1,x= -1(二重根) 画出数轴:+-+1-1x∴不等式(1+x)(1-x )>0的解集是{}11-≠<x x x 且另法:x=21和2-=x 显然属于原不等式的解集,所以选(D ) 例2 解不等式x x x xx ≤---2322 解:由0)2)(1()1(23222≥-+-⇔≤---x x x x x x x x x其零点分别为:-1,0,1(二重),2 ,画出数轴如下:--2+-+1-1x由图知,原不等式的解集为(]{}()+∞-,210,1 例3 求不等式组⎪⎩⎪⎨⎧+->+->x x x x x 22330的解集解法一:由题设x>0,xxx x +->+-2233,得033>+-x x ,即33<<-x ,30<<∴x ,原不等式组等价于 (1)⎩⎨⎧+->+-≤<)3)(2()2)(3(20x x x x x ;(2)⎩⎨⎧+->+-<<)3)(2()2)(3(32x x x x x由(1)得20≤<x ,由(2)得62<<x , 故原不等式组解集为{}60<<x x解法二:由已知条件可知033>+-xx两边平方,原不等式组等价于 ()()[]()()[]600)6)(6(03223022<<⇔⎪⎩⎪⎨⎧⎩⎨⎧<-+>⇔+->+->x x x x x x x x x x 即原不等式组解集为{}60<<x x例4 解关于x 的不等式()[]())(0113R m x x m ∈>+-+解:下面对参数m 进行分类讨论:①当m=3-时,原不等式为x+1>0,∴不等式的解为1-<x②当3->m 时,原不等式可化为()0131>+⎪⎭⎫⎝⎛+-x m x 1031->>+m,∴不等式的解为1-<x 或31+>m x ③当3-<m 时,原不等式可化为0)1(31<+⎪⎭⎫⎝⎛+-x m x 34131++=++m m m, 当34-<<-m 时,131-<+m 原不等式的解集为131-<<+x m ; 当4-<m 时,131->+m 原不等式的解集为311+<<-m x ;当4-=m 时,131-=+m 原不等式无解 综上述,原不等式的解集情况为:①当4-<m 时,解为311+<<-m x ; ②当4-=m 时,无解; ③当34-<<-m 时,解为131-<<+x m ; ④当m=3-时,解为1-<x ; ⑤当3->m 时,解为1-<x 或31+>m x 例5 已知f(x),g(x)都是定义在R 上的奇函数,不等式f(x)>0的解集是(m ,n),不等式g(x)>0的解集是⎪⎭⎫⎝⎛2,2n m ,其中20n m <<,求不等式0)()(>⋅x g x f 的解集解:∵f(x),g(x)是奇函数,不等式f(x)>0的解集是(m ,n),不等式g(x)>0的解集是⎪⎭⎫⎝⎛2,2n m , ∴不等式f(x)<0的解集是()m n --,, 不等式g(x)<0的解集是⎪⎭⎫⎝⎛--2,2n m 而不等式0)()(>⋅x g x f 等价于⎩⎨⎧>>0)(0)(x g x f 或⎩⎨⎧<<0)(0)(x g x f ,所以其解集为()()⎪⎭⎫⎝⎛--⎪⎭⎫ ⎝⎛=⎥⎦⎤⎢⎣⎡⎪⎭⎫ ⎝⎛----⎥⎦⎤⎢⎣⎡⎪⎭⎫ ⎝⎛m n n m m n m n n m n m ,22,2,2,2,2, 例6 若不等式kx 2-2x+1-k<0对满足22≤≤-k 的所有k 都成立,求x 的取值范围解:原不等式可化为0)12()1(2<---x k x设)12()1()(2---=x k x k f )22(≤≤-k ,是关于k 的单调函数, 根据题意有:⎪⎩⎪⎨⎧<---=<----=-0)12()1(2)2(0)12()1(2)2(22x x f x x f ,即⎪⎩⎪⎨⎧<-->-+0122032222x x x x 解得231271+<<+-x 点评:用换元、分离变量的方法在不等式的求解过程中比较常出现,也是解决含参数问题的重要方法例7 己知关于x 的不等式0)32()(<-++b a x b a 的解为)31,(--∞,求关于x 的不等式0)2()3(>-+-a b x b a 的解集解:)23()(a b x b a -<+,因其解集为)31,(--∞,,0>+∴b a 且3123-=+-b a a b ,从而,2b a =又,0,03>∴>=+b b b a将b a 2=代入0)2()3(>-+-a b x b a ,得3,03-<>--x b bx∴所求解集为)3,(--∞例8 己知不等式02>++c bx ax 的解集为}|{βα<<x x ,其中0>>αβ,求不等式02<++a bx cx 的解集解: βα, 为方程20ax bx c ++=的两根,(),(),b cb ac a a aαβαβαβαβ∴=-+=⇒=-+= ∴不等式02<++a bx cx 可化为2()0,a x a x a αβαβ-++>由己知条件得0<a 得2()10,x x αβαβ-++< 即01)11(2>++-αββαx x ,∴它的解集为}11|{β<>x a x x 或 点评:根据解集的表示形式可以确定0<a例9 解不等式:(1)x x ->+33;(2)1212+≤-x x 解 (1)原不等式与不等式组2)3(303x x x ->+≥-,或 0303<-≥+x x 同解,分别解不等式组得31≤<x 或3>x ,∴原不等式的解集为),1(+∞(2)原不等式与不等式组 22221)1(02101x x x x -≥+≥-≥+同解,解之得3222-≤≤-x 或220≤≤x , ∴原不等式的解集为]22,0[]32,22[ --点评 :一个无理不等式转化为两个不等式组还是转人为一个不等式组,这是解无理不等式的一个基本问题(1)中的第一个不等式组中可省去03≥+x ,(2)中的不等式组中则不可省去任何一个(1)的结果可从函数3+=x y 和x y -=3的图象上看出,让学生学会用图象法解不等式例10 设关于x 的二次方程01)1(2=++-+p x p px 有两个不等的正根,且一根大于另一根的两倍,求p 的取值范围解: 由0)1(4)1(2>+--=∆p p p ,得33213321+-<<--p当0121>-=+p p x x 及0121>+=⋅pp x x 时,方程的两根为正, 解之,得10<<p ,故3320<<p 1-, 记p p p p x 2163121+----=,pp p p x 2163122+--+-=,由212x x >,并注意0>p ,得0116332>->+--p p p ,0852282<-+∴p p ,即021372<-+p p ,712<<-∴p 综上得p 取值范围为}710|{<<p p点评:先解出0>p ,01>-p ,在不等式的转化过程中起了简化作用例11 解不等式)0(,0]1)1()1(2[log 22421><++-++a a a a ax x x x解:1)1()1(2224++-++x x x x a a a a >1, ∴ x x x x a a a a 224)1()1(2+-++>0,0112122222>-⎪⎪⎭⎫⎝⎛++⎪⎪⎭⎫ ⎝⎛+xxa a a a , ∴ 12122->⎪⎪⎭⎫ ⎝⎛+xa a①当 0<⎪⎪⎭⎫ ⎝⎛+122a a <1,即0<a<251+时,原不等式的解为)12(log122-<+a a x ;②当a>251+时,解集为{x|)12(log 122->+a a x }; ③当a=251+时,解集为R 小结:1一元一次不等式、一元二次不等的求解要正确、熟练、迅速,这是解分式不等式、无理不等式、指数不等式、对数不等式的基础 带等号的分式不等式求解时,要注意分母不等于0,二次函数c bx ax y ++=2的值恒大于0的条件是0>a 且0<∆;若恒大于或等于0,则0>a 且0≤∆若二次项系数中含参数且未指明该函数是二次函数时,必须考虑二次项系数为0这一特殊情形2忽略对定义域的考虑以及变形过程的不等价,是解无理不等式的常见错误,因此要强化对转化的依据的思考3 数形结合起来考虑,可以简化解题过程,特别是填空、选择题,还可利用图形验证,解题的结果4解指数、对数不等式的过程中常用到换元法底数是参数时,须不重不漏地分类讨论化同底是解不等式的前提取对数也是解指数、对数不等式的常用方法之一,在取对数过程中,特别要注意必须考虑变量的取值范围当所取对数的底数是字母时,随时要把“不等号是否变向”这一问题斟酌再三5.解含参数的不等式时,必须要注意参数的取值范围,并在此范围内对参数进行分类讨论分类的标准要通过理解题意(例如能根据题意挖掘出题目的隐含条件),根据方法(例如利用单调性解题时,抓住使单调性发生变化的参数值),按照解答的需要(例如进行不等式变形时必须具备的变形条件)等方面来决定,要求做到不重复、不遗漏解不等式是不等式研究的主要内容,许多数学中的问题都可以转化为一个解不等式的问题,如函数的定义域、值域、最值和参数的取值范围,以及二次方程根的分布等因此解不等式在数学中有着极其重要的地位,是高考的必考内容之一 学生练习1.不等式4x >x9的解集是( )A {x | x <-23或x >23} B {x | x >-23且x ≠23} C {x | -23<x <0或x >23} D {x | -23<x <23}答案: C2.不等式1622----x x x <0的解集是( ) A {x |-2<x <3} B {x |x <-2或x >3} C {x |x >-2} D {x |x <3} 答案: B3.不等式1-x >x -3的解集是( )A {x |3≤x <5}B {x |3<x ≤5}C {x |1≤x <3或3<x <5}D {x |1≤x <5} 答案: D4.不等式1-lg (2x -1)>lgx 的解集是( )A {x |-2<x <25} B {x |0<x <25} C {x |21<x <25} D {x |x >21}答案: C5.不等式组⎩⎨⎧≥-≤--0)(0)5)(2(a x x x x 与不等式(x -2)(x -5)≤0同解,则a 的取值范围是( )A a >5B a <2C a ≤5D a ≤2答案: D 提示: 不等式组⎩⎨⎧≥-≤--0)(0)5)(2(a x x x x 的解是2≤x ≤5且x (x -a )≥0, 即要求x (x -a )≥0的解包含2≤x ≤5,∴ a <26.不等式x 2>-3的解集是( ) A {x |x <-32} B {x |x <-32或x >0} C {x |x >-32且x ≠0} D {x |-32<x <0}答案: B7.不等式4x 33x 2--<2的解集是( )A {x |x >45}B {x |x <45或x >34}C {x |x >34}D {x |45<x <34}答案: B8.不等式ax 2+ax +(a -1)<0的解集是全体实数,则a 的取值范围是( )A (-∞, 0)B (-∞, 0)∪(34,+∞) C (-∞, 0] D (-∞, 0]∪(34,+∞) 答案: C 提示: 不等式ax 2+ax +(a -1)<0的解集是全体实数, ∴a =0时成立,当a <0时, 判别式△<0,得a <0时成立,∴a ∈(-∞, 0] 9.不等式log 31324-+x x <log 31(8-x )的解集是( ) A {x |23<x <2或x >7} B {x |23<x <8} C {x |23<x <2或7<x <8} D {x |x <-4} 答案: C 提示: 324-+x x >0, 8-x >0且324-+x x >8-x , 解得23<x <2或7<x <8 10.若不等式f (x )≥0的解集是F , 不等式g (x )<0的解集是G ,则不等式组⎩⎨⎧≥<0)(0)(x g x f 的解集是A ()R C F GB ()RC F G C F ∪GD F ∩G 答案: B 提示: f (x )<0的解集是F , g (x )≥0的解集是R C G , ∴不等式组⎩⎨⎧≥<0)(0)(x g x f 的解集是()R C F G 11.不等式1-x <x -2的解集是( )A (-∞,255-)∪(255+,+∞)B (255-,255+) C (1,+∞) D (255+,+∞) 答案: D 12.解不等式ax 2+bx +2>0得到解集{x |-21<x <31},那么a +b 的值等于 A 10 B -10 C 14 D -14答案: D 提示: x 1+x 2=-61, 13.不等式(x -3)(x +2)(5-x )>0的解集是答案: x <-2或3<x <514.不等式9 x+2·3x +1-24>0的解集是答案: x >log 3 2 提示: 设3x =t , t 2+6t -16>0, t >2或t <-8, ∴x >log 3 2 15.函数y =[lg (x 2-2x -2)]21-的定义域是答案: x <-1或x >3 16.设全集I =R ,集合M ={x |2x >2}, N ={x |log x 7>log 37},那么M ∩R C N =答案: {x | x ≥3或x ≤-2}提示: M ={x | x >2或x <-2}, N ={x | 1<x <3}, ∴M ∩R C N = {x | x ≥3或x ≤-2}17.满足不等式5121<05 n <321的最小整数n 是 答案: n =618.若0<a <1,则关于x 的不等式a 2x -1≤a (x -1)的解集是 答案: x ≥-a1 提示: (a 2-a )x ≤1-a , ∵0<a <1, ∴a 2-a <0, x ≥-a 1 19.不等式a 1022--x x >105lga (a >0, a ≠1)的解集是答案: 当0<a <1时,-3<x <5; 当a >1时, x <-3或x >5提示: 105lga =a 5, 当0<a <1时,x 2-2x -10<5, ∴-3<x <5; 当a >1时, x 2-2x -10>5, ∴x <-3或x >520.不等式log sinx (x 2-9)>0的解集是 答案: {x | -10<x <-π或3<x <π}提示: 0<sinx <1且0<x 2-9<1, ∴{x |-2π<x <-π或0<x <π或…}并且{x | -10<x <-3或3<x <10}, ∴{x | -10<x <-π或3<x <π}21.曲线x 2y -2x +y =0的最高点的坐标是答案: (1, 1)提示: △=4-4y 2≥0, y 2≤1, y max =1, 此时x =1, ∴最高点的坐标是(1, 1) 22.解关于x 的不等式a x -2<1+x 答案:当a ≤-2时,解集为空集;当a >-2时,2a ≤x <a +1 提示: 2x -a >0, x +1>0, 2x -a <x +1, ∴x >2a , x >-1, 当a ≤-2时,解得x <a +1<-1,矛盾;当a >-2时, 2a >-1, ∴2a ≤x <a +1 23.已知正三角形ABC 的三个顶点是A (-a , 0), B (a , 0), C (0, 3a ),其中a >0,连接AB 边上的点P (x , 0)及AC 边上的点Q 的线段PQ 把△ABC 的面积二等分,求|PQ |的最大值和最小值 答案:最小值是2a , 最大值是3a 提示:|AP ||AQ |sin 60°= 3a 2, |AP |=x +a , ∴|AQ |=a x a +22 |PQ |2=(x +a )2+(a x a +22)2-4a 2cos 60°≥2a 2, ∴|PQ |的最小值是2a ,再讨论函数的增减性,得当x =0或x =a 时,取得最大值为3a24 已知6<a <10, 2a ≤b ≤2a ,c =a +b , 则c 的取值范围是( ) A 9≤c ≤30 B 9≤c ≤18 C 9<c <30 D 15<c ≤30 答案:C 提示: 23a <c <3a , ∴9<c <30 25 不等式6x 2 +5x <4的解集为( )A (-∞,-4/3)∪(1/2, +∞)B (-4/3, 1/2)C (-∞, -1/2)∪(4/3, +∞)D (-1/2, 4/3)答案:B 26 a >0, b >0, 不等式a >x 1>-b 的解集为( ) A -b 1<x <0或0<x <a1 B x <-b 1或x >a 1 C -a 1<x <0或0<x <b 1 D -a 1<x <b 1 答案:B27 与不等式023≥--xx 同解的不等式是( ) A (x -3)(2-x ) ≥0 B 0<x -2≤1 C 32--x x ≥0 D (x -3)(2-x )>0 答案:B 提示:023≥--x x 的解是2<x ≤3, 0<x -2≤1的解也是2<x ≤328 不等式 12-x >x -2 的解集是( ) A {x |1<x <5} B {x |21≤x <5} C {x |2≤x <5} D {x |x >2} 答案:B29 若f (x )=x 31, 则当x >1时,f (x ) f -1(x )(填>, <或=) 答案:<30 当0≤x ≤2时,f (x )=4327122x x ++-⋅+ 的最大值为 ;最小值为 答案:-3;-11 提示:f (x )=4327122x x ++-⋅+=2(2x -3)2-11, 当x =0时,最大值为-3,当x =log 23时,最小值为-1131 函数f (x )=log 2 (x 2-4), g (x )=22x k - (k <-1), 则f (x )g (x )的定义域为答案:[2k , -2)∪(2, +∞) 提示:x 2-4>0, 得x >2或x <-2, x -2k ≥0,得x ≥2k , ∴x ∈[2k , -2)∪(2, +∞)32 A ={x 023122≥++-x x x }, B ={x |x 2+(a -5)x -5a <0}, 若A ∩B ={x |21≤x <5}, 则a 的取值范围是 答案:[-21, 1]提示:A ={x | -1<x <-2)或x ≥21}, B ={x | -a <x <5}, ∴ -1≤-a ≤21, a ∈[-21, 1] 33 不等式x 2-22x -2<0的解集是 答案:-1-3<x <1+3 提示:x 2-22x -2<0,其中2x =|x |, 解得1-3<|x |<1+3, ∴-1-3<x <1+334 若x 、y ∈R , 且x 2+y 2=1,则 (1+xy )(1-xy )的最大值为 ;最小值为 答案:1;43 35若二次方程x 2-2mx +4x +2m 2-4m -2=0有实根,则两根之积的最大值为答案:10+46提示:x 2-2mx +4x +2m 2-4m -2=0有实根,∴△≥0, 解得-6≤x ≤6, x 1x 2=2m 2-4m -2, 当m =-6时, x 1x 2取最大值为10+4636 解不等式:(x +4)(x +5)2>(3x -2)(x +5)2答案:x <-3且x ≠-5 37 解不等式:3451820422≥+-+-x x x x 答案:x ∈(-∞, 1)∪[2, 3]∪(4, +∞)38 解不等式:x x x 71215>--+ 答案:无解提示:有定义域知x ≥21, 当x ≥21时, 移项后两边平方得5x +1>7x +2x -1+21x 2-x 7, ∴1x 2-x 7<1-2x , 1-2x <0, ∴原不等式无解 39解不等式:245x x --≥x 答案:(─5≤x ≤─1+14/2)两种解法,其一为数形结合 40解不等式1)1(22+-x x <)1(2+x x 解:x 2─1<x 12+x ,(1) x ≤─1, x ∈ϕ; (2)─1<x<0, x ∈(─3/3,0); (3)0≤x ≤1, x ∈[0,1], (4) x>1,x ∈(1,+∞) 综合得:x ∈(─3/3,+∞)41.在我国西部某一地区,有四个农庄A ,B ,C ,D 恰好坐落在边长为2km 的正方形顶点上,为发展经济,政府决定建立一个使得任何两个农庄都有通道的道路网,道路网由一条中心道及四条支道组成,要求各农庄到中心道的距离相等,(如图)(1) 若道路网总长度不超过55km,试求中心道长的取值范围;(2) 问中心道长为何值时,道路网的长度最短?解:(1)设中心道的长为2xkm,(0<x<1),依题意,2x+42)1(1x -+≤55,范围为[1/2,7/6](2)设y=2x+42)1(1x -+,y ≥2+23,此时,x=1─3/3, 中心长为2(1─3/3) 42. 解关于x 的不等式:)22(223x x x x a --<-(其中a >0)解原不等式得:即),12()12(2222-<-x x x a0)14)(4(),14()14(4<--∴-<-x x x x x a a)0,(log ,14,104a a a x 此时不等式的解集为时当<<<<此时不等式无解时当,0)14(,12<-=x a)log ,0(,41,14a a a x 此时不等式的解集为时当<<>43 220,2a a a x x a <-≥+设且为常数,解不等式 ⎩⎨⎧≥+≥-⎪⎩⎪⎨⎧++>-≥+≥-002220022*******a x x a a ax x x a a x x a 或解:⎥⎦⎤⎢⎣⎡-∴a a 22,22原不等式的解集为:课前后备注。
基本不等式解题步骤
解题步骤:
1. 确定基本不等式的类型:基本不等式可以分为一元不等式和二元不等式,并且可以根据不等
式中的符号(大于、小于、大于等于或小于等于)来确定类型。
2. 将基本不等式进行变形:根据不等式的类型和需要求解的问题,可以对基本不等式进行变形。
例如,可以将一元不等式移到一边,将二元不等式化为含有一个未知数的一元不等式等。
3. 求解不等式:根据基本不等式的类型,使用合适的方法或技巧来求解不等式。
例如,可以使
用逆向运算、分段函数、图像法、数轴法等方法来求解。
4. 检验解的合理性:将求得的解代入原始的基本不等式中,验证解的合理性。
如果解符合原始
不等式,则解是正确的。
5. 给出解的范围:根据求解的不等式类型,确定解的范围。
对于一元不等式,可以使用数轴表
示解的范围;对于二元不等式,可以使用平面图形表示解的范围。
6. 进行解题思路总结:总结解题思路和方法,以便在以后的类似问题中能够快速应用和解决。
高中数学不等式的解题方法与技巧
高中数学不等式的解题方法与技巧有以下几点:
1. 确定不等式的范围:首先要确定不等式的变量范围,例如确
定变量为正数、自然数等,以便后续的推导和计算。
2. 利用基本不等式:基本不等式是指常见的数学不等式,例如
平均不等式、柯西-施瓦茨不等式、均方根不等式等。
通过运用这些
基本不等式,可以简化和推导复杂的不等式。
3. 分析不等式的性质:通过观察不等式的形式和特点,可以得
出不等式的一些性质。
例如,不等式是否对称、是否单调递增等,这些性质可以为解题提供线索。
4. 使用增减法:对于复杂的不等式,可以通过增减法将不等式
变换成简单的形式。
增减法是指在不等式两边同时加减相同的数,从而改变不等式的形式。
通过多次的增减操作,可以逐步简化不等式的形式。
5. 运用数学归纳法:对于涉及自然数的不等式,可以使用数学
归纳法进行证明。
数学归纳法是通过证明某个命题对于自然数n成立,然后再证明对于n+1也成立,从而得出该命题对于所有自然数成立的结论。
6. 剖析复杂不等式:对于特别复杂的不等式,可以使用分段函数、图像、积分等方法进行剖析。
这些方法可以将不等式转化为求解函数的最值或积分的问题,进而求解不等式。
总之,解决高中数学不等式需要灵活运用各种方法和技巧,通过
观察、推导和计算,找到合适的途径来简化不等式、得出结论。
掌握了这些解题方法与技巧,可以提高解决数学不等式问题的能力。
高一基本不等式题型及解题方法不等式是数学中的重要概念之一,通过不等式可以描述数值之间的大小关系。
在高中数学中,学生将接触到基本不等式的概念和解题方法,这是数学学习的重要内容之一。
本文将介绍高一基本不等式的题型及解题方法,帮助学生更好地掌握不等式的知识。
一、基本不等式的概念在数学中,不等式是指两个数或表达式之间的大小关系。
基本不等式是指形如a < b、a > b、a ≤ b、a ≥ b这样简单的不等式,其中a和b是实数。
不等式的解集是所有满足不等式关系的实数集合。
在高一阶段,学生将学习不等式的基本性质、解法和应用。
掌握不等式的基本概念是解决各种不等式问题的重要基础。
二、不等式的解法不等式的解法主要有两种:代入法和图像法。
1.代入法代入法是解决不等式问题的常用方法,它的基本思想是根据题目的给定条件,找到合适的实数值代入不等式进行验证,从而确定不等式的解集。
例如,对于不等式3x + 5 > 1,可以通过代入x的不同取值进行验证。
找到一个合适的x值,使得3x + 5 > 1成立,这样就确定了不等式的解集。
2.图像法图像法是通过解不等式对应的方程,将不等式表示的数学关系用图像表示出来,从而直观地看出不等式的解集。
例如,对于不等式x + 2 ≤ 5,可以将不等式表示的数学关系用数轴上的图像表现出来,找出满足不等式关系的实数解。
通过代入法和图像法,可以有效地解决各种不等式问题,帮助学生更好地理解不等式的概念和解题方法。
三、常见的基本不等式题型在高一数学中,常见的基本不等式题型主要包括一元一次不等式、一元二次不等式、绝对值不等式等。
1.一元一次不等式一元一次不等式是指不等式中只有一个变量,并且变量的次数是一次的不等式。
解决一元一次不等式的关键是要找到不等式的解集,通常可以通过代入法或图像法来解题。
例如,解不等式2x - 3 > 5,可以通过将给定条件代入不等式进行验证,找到满足不等式关系的实数解。
高中数学不等式求解技巧在高中数学中,不等式是一个非常重要的概念和考点。
不等式的求解是解决数学问题的基础,也是学生们在数学学习中常常遇到的难题之一。
本文将介绍一些高中数学不等式求解的技巧,帮助学生们更好地理解和应用不等式。
一、基本不等式基本不等式是不等式求解的基础。
在解不等式问题时,我们首先要掌握一些基本不等式,例如:1. 平方不等式:对于任意实数 a,有a² ≥ 0。
这个基本不等式告诉我们,任何实数的平方都大于等于零。
2. 两个正数的乘积不等式:对于任意正数 a 和 b,有 ab > 0。
这个基本不等式告诉我们,两个正数的乘积一定大于零。
3. 两个负数的乘积不等式:对于任意负数 a 和 b,有 ab > 0。
这个基本不等式告诉我们,两个负数的乘积也是大于零的。
了解了这些基本不等式,我们就可以在解不等式问题时灵活运用。
二、一元一次不等式一元一次不等式是最简单的不等式形式,一般可以通过移项和化简来求解。
例如,考虑以下一元一次不等式:2x + 3 > 7我们可以通过移项将不等式转化为等价的形式:2x > 7 - 32x > 4然后再将不等式两边都除以 2,得到:x > 2这样,我们就求解出了这个一元一次不等式的解集为 x > 2。
三、一元二次不等式一元二次不等式是高中数学中常见的不等式形式。
对于一元二次不等式的求解,我们可以利用图像法、因式分解法和配方法等多种方法。
下面以一个具体的例子来说明。
考虑以下一元二次不等式:x² - 3x - 4 > 0首先,我们可以通过因式分解法将不等式化简为:(x - 4)(x + 1) > 0然后,我们可以绘制出一元二次函数 y = x² - 3x - 4 的图像,找到使得函数大于零的区间。
根据图像,我们可以发现函数在 x < -1 和 x > 4 的区间内大于零。
因此,原不等式的解集为 x < -1 或 x > 4。
基本不等式在求最值中的应用与完善杨亚军函数的最值是函数这一章节中很重要的部分,它的重要性不仅在题型的多样、方法的灵活上,更主要的是其在实际生活及生产实践中的应用。
高考应用题几乎都与最值问题有关,而基本不等式是解决此类实际问题的有力工具.本文着重就基本不等式在求最值中的应用与完善谈一些个人的体会.只有扎实地掌握好基本不等式求最值的基本技能与注意事项,才能更好地去解决实际应用问题。
一、基本不等式的内容及使用要点1、二元基本不等式:①a,b∈R时,a2+b2≥2ab(当且仅当a=b时“=”号成立);②a,b≥0时,a+b≥2 (当且仅当a=b时“=”号成立)。
这两个公式的结构完全一致,但适用范围不同。
若在非负实数范围之内,两个公式均成立,此时应根据题目的条件和结论选用合适的公式及公式的变形:ab≤ ,ab≤ 。
对不等式ab≤ ,还有更一般的表达式:|ab|≤ 。
由数列知识可知,称为a,b的等差中项,称为a,b的等比中项,故算术平均数与几何平均数的定理又可叙述为:“两个正数的等比中项不大于它们的等差中项”。
2.三元基本不等式:当a,b,c>0时,a+b+c≥ ,当且仅当a=b=c时,等号成立,……乃至n元基本不等式;当ai >0(i=1,2,…,n)时,a1+a2+…+an≥。
二元基本不等式的其它表达形式也应记住:当a>0,b>0时,≥2,a+ ≥2等。
当字母范围为负实数时,有时可利用转化思想转化为正实数情形,如a<0时,可得到a+ ≤-2。
基本不等式中的字母a,b可代表多项式。
3.利用基本不等式求函数的最大值或最小值是高中求函数最值的主要方法之一。
利用基本不等式求函数最值时,其条件为“一正二定三等”,“一正”指的是在正实数集合内,“二定”指的是解析式各因式的和或积为定值(常数),“三等”指的是等号条件能够成立。
利用基本不等式求函数最值的方法使用范围较广泛,既可适用于已学过的二次函数,又可适用于分式函数,高次函数,无理函数。
不等式的中档题主要是各类不等式的解法。
从涉及题目的类型来看,有整式不等式,分式不等式,含有绝对值符号的不等式,对数不等式等等。
从解题方法看,主要有因式分解法、换元法等等。
从数学思想来看,主要是转化思想和分类讨论的思想。
例如:对数不等式的解法,就是利用转化的数学思想,结合对数函数的单调性,把它转化为我们所熟悉的代数不等式,只要我们充分注意转化过程中的等价性,完全可以掌握这类问题的解法。
分类讨论的思想在不等式的解法中频频出现。
比如对数式的底数中字母的取值就影响到函数的增减性,需要分类讨论;含有绝对值符号的不等式在去掉绝对值符号时,需要对绝对值符号内的解析式的取值进行讨论。
有一些应用问题中间也涉及到一些不等式的解法,在依据题意建立了数学模型之后,主要的任务就是解一个不等式,关于这个不等式的解,除去上面提到的注意事项之外,特别要注意实际问题对未知数取值的限制,把这种限制与不等式的解集取交集得到的才是问题的正确解答。
例1、解不等式。
解析:令,则或(1)当或时,原不等式化为∴∴(2)当时,原不等式化为∴或∴综合(1)、(2)知,原不等式的解集为例2、解关于的不等式:()解析:原不等式等价于:(1)若,或,不等式的解集为空集(2)若,即时,不等式解集为(3)若,即或时,不等式的解集为综上知:或时,解集为空集;时,解集为{};或时,解集为{}。
例3、解关于的不等式:解析:原不等式变形为:∴∴等价于(1)若,∴(2)若,原不等式化为(3)若,原不等式化为∴或综上,时,时,;时,或例4、已知关于的不等式的解集为M;(1)当时,求集合M;(2)若,求实数的取值范围。
解析:(1)当时,原不等式可化为:即∴ M为(2)由于即∴或∴的取值范围是例5、解关于的不等式:。
解析:原不等式变形为:(1)时,(2)时,不等式变形为当时,或当时,当时,,当时,综上,时,时,或时,时,时,例6、解关于的不等式:解析:原不等式化为即当时,此时不等式的解集为当时,不等式无解当时,,此时不等式的解集为综上,时,时,无解;时,例7、已知函数(1)试判断函数的奇偶性;(2)解不等式:。
解题宝典不等式知识贯穿于高中数学的各个章节,其题型多变,且综合性较强.常见的不等式问题主要有求不等式的解集、比较两式的大小、证明不等式恒成立等.本文重点探讨这三类常见的不等式问题及其解法.一、求不等式的解集求不等式的解集是一类基础题,主要考查不等式的解法.对于一次不等式,可直接根据系数的正负来确定不等式的解集;求二次不等式的解集,需借助方程的判别式和求根公式来;对于三次或三次以上的不等式,需先将不等式中的因式分解为几个式子的乘积的形式,然后运用“穿针引线法”来求得不等式的解集.例1.解关于x 的不等式2ax -a 2>1-x ()a >0.解:由题意可得,原不等式等价于ìíîïï2ax -a 2>0,1-x ≥0,2ax -a 2>()1-x 2,①,或{2x -a 2≥0,1-x <0,②由①可得ìíîïïïïx >a 2,x ≤1,x 2-2()a +1x +a 2+1<0,由②可得ìíîïïx ≥a 2,x >1,∵Δ=4()a +12-4()a 2+1=8a >0,∴x 2-2()a +1x +a 2+1<0解集为a +1-2a <x<a +1+2a ;(1)当0<a ≤2时,a2≤a +1-2a ≤1,a +1+2a >1,不等式组①的解集为a +1-2a <x ≤1,不等式组②的解集为x >1,(2)当a >2,不等式组①无解,不等式组②的解集为x ≥a 2.在求二次不等式的解集时,我们首先要将不等式进行变形,使不等式的右边为0,然后根据方程的判别式判断不等式左边式子所对应的方程是否有根.若Δ>0,则方程有两个不相等的实数根,再根据求根公式求出方程的两根,得到不等式的解集;若Δ=0,便可根据函数的图象得到不等式的解集.二、比较两式的大小比较两式的大小一般采用作商比较法或者作差比较法.在解题时,要先将两式作差或者作商,再将差值与0进行比较,即ìíîïïa -b >0⇔a >b ,a -b =0⇔a =b ,a -b <0⇔a <b ,将商值与1进行比较,即ìíîïïïïïïïïa b >1⇔a >b ,ab =1⇔a =b ,a b<1⇔a <b ,.例2.已知a >2,b >2,比较a +b 与ab 的大小关系.解:a +b ab =1b +1a,∵a >2,b >2,∴1a <12,1b <12,∴a +b ab =1b +1a<1,∴a +b <ab .在用作商比较法比较两式的大小时,要注意两式的符号,一般只有在两式同号时才能进行比较.三、不等式恒成立问题解答不等式恒成立问题的关键是,将不等式转化为函数最值问题来求解.首先,要将不等式进行变形,以便构造出合适的函数模型,然后求出函数的最值,建立使不等式恒成立的新关系式,从而使问题得解.例3.当x ∈()1,2时,不等式x 2+mx +2>0恒成立,求m 的取值范围.解:当x ∈()1,2时,不等式x 2+mx +2>0恒成立等价于m >-æèöøx +2x 在x ∈()1,2时恒成立,即m >éëêùûú-æèöøx +2x max ,∵x ∈()1,2,∴-æèöøx +2x ≤-22,当且仅当x =2x,即x =2时等号成立,∴m >éëêùûú-æèöøx +2x max =-22,即m 的取值范围为()-22,+∞.在变形不等式时,我们有时候需把参数、变量分离,有时需把不等式分离为两个常规的简单函数.求不等式的解集、比较两式的大小、求解不等式恒成立问题都是不等式中常见的题型.当然,不等式题目还有很多种类型,同学们在日常学习中要学会总结各类题型及其解法,这样在面对不同类型的不等式问题时,能快速找到清晰的思路以及正确的解题方法.(作者单位:新疆阿克苏地区第二中学)洋42。
高中常用基本不等式1. 引言不等式是数学中一种重要的关系,用于描述数值之间的大小关系。
在高中数学中,我们经常会用到一些基本的不等式,这些不等式在解决问题、证明数学命题以及理解数学概念的过程中起着至关重要的作用。
本文将介绍高中常用的基本不等式,包括一些重要的定理和推论,以及一些常见的解法技巧和应用示例。
通过深入学习和理解这些知识,我们将能够更加灵活地运用不等式求解各类问题。
2. 一元二次不等式2.1 不等式的基本性质不等式的基本性质包括保号性、移项性、放缩性和合并性。
下面将对这些性质进行详细介绍。
2.1.1 保号性对于实数集合上的不等式,如果将不等式中的实数替换为另一个实数,而不等式的符号保持不变,则称符号的保持为保号性。
具体而言,保持大于号(>)的不等式称为严格不等式,保持大于等于号(≥)的不等式称为非严格不等式。
例如,对于任意实数a、b,如果a > b,则有a + c > b + c,其中c是任意实数。
同样地,如果a ≥ b,则有a + c ≥ b + c。
2.1.2 移项性不等式的移项性允许我们在不等式两边同时增加或减少一个数,而不改变不等式的符号。
具体而言,对于不等式 a > b,我们可以同时加上一个数c,得到 a + c > b + c。
同样地,对于不等式 a ≥ b,我们可以同时加上一个数c,得到 a + c ≥ b + c。
2.1.3 放缩性不等式的放缩性允许我们在不等式的两边乘以或除以一个正数,而不改变不等式的符号。
具体而言,对于不等式 a > b,如果c是一个正数,则有 ac > bc。
同样地,对于不等式a ≥ b,如果c是一个正数,则有ac ≥ bc。
需要注意的是,如果c是一个负数,则放缩性不成立。
例如对于不等式 a > b,如果c是一个负数,则有 ac < bc,并不成立。
2.1.4 合并性不等式的合并性允许我们将多个不等式合并为一个复合不等式。
高中卷5不等式的解题方法与技巧不等式是数学中重要的概念之一,也是高中数学中常见的题型。
解决不等式问题需要运用一些常见的方法和技巧。
接下来,我将继续介绍不等式的解题方法和技巧。
1.绝对值不等式的解法:当不等式中含有绝对值时,可以先讨论绝对值内外的两种情况,再进行讨论。
例如:,x-a,<b时,可以讨论x-a<b和-x+a<b两种情况。
2.平方不等式的解法:当不等式中含有平方时,可以利用平方的非负性质来解决问题。
若平方项为非负数,则可以将不等式拆分为两个不等式,其中一个不等式是平方项为0的情况。
例如:x^2-4>0,可以拆分为x^2>4和x^2≠0两个不等式,再求解。
3.乘法原理的运用:乘法原理指的是当两个因子相乘为0时,至少有一个因子为0。
在不等式的求解过程中,可以运用乘法原理来判断不等式的解集。
例如:(x-2)(x+3)>0时,可以得到x-2>0和x+3>0两个不等式,再求解。
4.开方不等式的解法:当不等式中含有开方时,需要注意开方的正负性。
如果开方项是正数,那么开方不会影响不等式的方向;如果开方项是负数,那么开方需要改变不等式的方向。
例如:√(x-1)>2时,可以得到x-1>4和x-1<0两个不等式,再求解。
5.引入辅助变量的解法:有时候,我们可以通过引入一个辅助变量来转化原不等式,使得解题更加方便。
例如:求证a(a-1)(a-2)<0,我们可以引入辅助变量x=a-1,原不等式变为x(x+1)(x-1)<0,再求解。
6.不等式的乘方求解法:对于不等式的乘方,可以利用不等式的性质进行推导。
例如:x^3-3x^2>0时,可以将不等式分解为x^2(x-3)>0,再求解。
7.不等式的递减递增性分析法:不等式的递减递增性是指不等式随自变量增大而增大,或随自变量减小而减小的性质。
通过分析不等式的递减递增性,可以得到不等式的解集。
基础不等式的解法及应用
一、一元二次不等式的解法
例1、解下列不等式
2230x x --> 23520x x -+-> 24410x x -+> 2230x x -+->
结论:
二、分式不等式的解法
例2、解下列不等式
3
07x x -<+
20x x +< 42333x x x ->---
(高次不等式)1
x x >
结论:
三、简单的绝对值不等式
例3、解下列不等式
3x ≥
13x -≤
3235x <-<
练习
1、(2010,山东)已知全体U R =,集合{}
240M x x =-≤,则U C M =( ) A 、{}22x x -<< B 、{}22x x -≤≤ C 、{}22x x x <->或 D 、{}22x x x ≤-≥或
2、(2009,安徽)若集合()(){}2130A x x x =+->,{}
*5B x N x =∈≤,则A B 是( ) A 、{}1,2,3 B 、{}1,2 C 、{}4,5 D 、{}1,2,3,4,5
3、(2010,全国)已知集合{}2,A x x x R =≤∈,{}
4,B x Z =∈,则A B = ( ) A 、()0,2 B 、[]0,2 C 、{}0,2 D 、{}0,1,2
4、(2009,安徽)若集合{}213A x x =-<,2103x B x x ⎧+⎫=<⎨⎬-⎩⎭
,则A B 是( ) A 、11232x x x ⎧
⎫-<<-<<⎨⎬⎩⎭或 B 、{}23x x << C 、122x x ⎧⎫-<<⎨⎬⎩⎭ D 、112x x ⎧⎫-<<-⎨⎬⎩
⎭ 5、(09,陕西)若不等式20x x -≤的解集为M ,函数()()
ln 1f x x =-的定义域为N ,则M N 为( ) A 、[)0,1 B 、()0,1 C 、[]0,1 D 、(]1,0-
6、已知全集全体U R =,且{}12A x x =->,{}
2680B x x x =-+<,则()U C A B 等于( ) A 、[)1,4- B 、()2,3 C 、(]2,3 D 、()1,4-
7、设集合{}2230A x x x =--≤,21x B x x ⎧⎫=>⎨⎬+⎩⎭
,则R A C B = ( ) A 、{}13x x -<≤ B 、{}13x x -≤≤ C 、{}23x x -<≤ D 、{}21x x -≤≤-
8、函数()f x = ) A 、(),1-∞ B 、()(),00,1-∞⋃ C 、()1,+∞ D 、()[),01,-∞⋃+∞
9、(2010,天津)设集合{}1,A x x a x R =-<∈,{}15,B x x x R =<<∈,若A B =∅ ,则实数a 的取值范围是( )
A 、{}06a a ≤≤
B 、{}24a a a ≤≥或
C 、{}06a a a ≤≥或
D 、{}24a a ≤≤
10、(08,天津)设集合{}23S x x =->,{}
8T x a x a =<<+,S T R = ,则a 的取值范围是( )
A 、31a -<<-
B 、31a -≤≤-
C 、31a a ≤-≥-或
D 、31a a <->-或
11、设集合()(){}340A x x x =+->,集合{}
132B x m x m =-≤≤-,若A B B = ,则实数m 的取值范围为( )
A 、{}2m m ≤-
B 、1
22m m ⎧⎫
≤≤⎨⎬⎩⎭ C 、{}2m m ≤ D 、{}2m m ≥
12、已知不等式220ax bx ++>的解集为1123x -<<,求2
20x bx a ++<的解集。
13、已知一元二次方程20ax bx c ++=的两根是2,3-,且0a >,那么20ax bx c ++<的解集是(
)
A 、{}23x x x <->或
B 、{}32x x x <->或
C 、{}23x x -<<
D 、{}32x x -<<
14、不等式20x bx c ++<的解集是{}23x x -<<,则b c +=_____________
15、不等式11ax
x <-的解集为{}12x x x <>或,则a 的值为( )
A 、1
2a < B 、1
2a > C 、12a = D 、1
2a =-
16、已知不等式2364ax x -+>的解集为{}1x x x b <>或
(1)、求,a b
(2)、解不等式0x c
ax b ->-(c 为常数)
补充:
1、不等式221
x x +>+的解集是( ) A 、()()1,01,-+∞ B 、()(),10,1-∞- C 、()()1,00,1- D 、()(),11,-∞-+∞
2、已知关于x 的不等式()()()
0x a x b x c --≥-的解为324x x -≤≤->或,则点(),b c a +位于坐标平面内( ) A 、第一象限 B 、第二象限 C 、第三象限 D 、第四象限 3、关于x 的不等式0ax b +>的解集为()1,+∞,则关于x 的不等式02
ax b x ->-的解集是( ) A 、()(),12,-∞-+∞ B 、()1,2- C 、()1,2 D 、()2,+∞
4、解不等式21a
x <-。