东南大学九龙湖校区橘园宿舍区2015年7月1日至2015年8月31日水电费统计公示
- 格式:xls
- 大小:1.49 MB
- 文档页数:201
【办公地点】九龙湖校区:办公地点:本科生一号教学楼104办公时间:周一至周五 9:00-16:30(中午休息)电话:现金充值地点:同办公地点现金充值时间:周一至周五 9:00-15:00(中午不休息)四牌楼校区:办公地点:五四楼三楼办公时间:周一至周五 8:00-17:00(中午休息)电话:现金充值地点:同办公地点现金充值时间:周一至周五 9:00-15:00(中午不休息)丁家桥校区:地点:行政楼一楼办公时间:每周二 8:00-11:30 14:00-17:00现金充值:无【一卡通管理中心邮箱】allinonecard@【一卡通查询网站】方法一:在浏览器中输入方法二:东南大学主页→公共服务→一卡通中心查询网站登录说明:1.登录号:一卡通号(若卡号为“13”开头则前面加“2”共9位数字,如:卡号为,则登录号为5)2.查询密码:初始查询密码为身份证最后6位数字(遇字母前推一位),教师多为老身份证最后六位(同新身份证去末位再取最后六位),部分人员若密码错误可尝试密码“888888”3.选择“学工号登陆”查询网站的挂失和解挂:1.一卡通查询网站可以挂失,并有挂失确认窗口。
2.一卡通查询网站无法解挂,解挂必须持有效证件到一卡通管理中心办理。
查询网站使用环境:浏览器为Microsoft Internet Explorer(IE) 6.0或以上查询网站故障原因:1.您使用了第三方浏览器(傲游、firefox、netscape等等),因为其常常自带有广告拦截的控件或者集成广告拦截的代码,可能会屏蔽挂失确认窗口。
2.浏览器为ie,但是添加了第三方ie加载项(例如广告猎手、上网助手之类)而导致把挂失确认窗口屏蔽。
3.第三方系统辅助软件对注册表以及组策略的修改4.请自行按照标准环境修改你的设置或者更换浏览器,并且不建议使用windows优化大师、超级兔子、upiea之类的修改ie的软件。
【圈存转帐机安装地点】编号自助终端描述1桃园食堂一楼201型2桃园食堂二楼201型3梅园食堂一楼201型4梅园食堂二楼201型5橘园食堂一楼201型6橘园食堂二楼201型7中心一号201型8中心二号201型13沙糖园食堂一楼201型14沙糖园食堂二楼201型15香园食堂一楼201型16香园食堂二楼201型17莘园食堂一号201型18莘园食堂二号201型19兰园宿舍201型20医林餐厅一号201型21梅园五宿舍201型22橘园博士生楼201型23丁家桥卫生所24桃园七宿舍201型25研究生宿舍201型26成园宿舍楼201型27校东群楼201型28香园开水房201型29沙塘园水房201型30丁家桥宿舍楼201型32丁家桥图书馆201型33九龙湖网络中心201型34九龙湖校医院201型36医林餐厅二号201型37医林餐厅三号201型42桃园三宿舍201型43梅园一宿舍201型48桃园五宿舍201型51桃园食堂一楼203型52桃园食堂二楼203型53梅园食堂一楼203型54梅园食堂二楼203型55橘园食堂一楼203型56橘园食堂二楼203型61中心一号203型62桃园一宿舍203型63梅园五宿舍203型64五四楼一号203型65硕士宿舍楼203型66沙塘园食堂203型67香园食堂一号203型68教育超市203型69校东群楼203型70医林餐厅203型71丁家桥卡中心203型72四牌楼图书馆203型73香园食堂二号203型74九龙湖网络中心203型75九龙湖校医院203型76四牌楼医院一号203型78四牌楼医院二号203型79九龙湖行政楼203型100test【校车】校车收费:教职工:免费学生:4.00元/次其他人员:4.00元/次乘车顺序:(先→后)教职员工→学生→其他人员【考勤】教职工乘校车到九龙湖校区上班,在校车和考勤机刷卡,每日8.00元补贴。
东南大学后勤管理处东大后管字〔2013〕13号关于申报2012-2013学年教职工市内上下班交通补贴的通知全校各单位:根据苏财行﹝2004﹞45文件精神,结合我校实际,现就2012—2013学年教职工市内上下班交通补贴申报工作通知如下:一、申请对象全校在编在岗教职工。
二、计发时间2012年7月—2013年6月(去除寒暑假各1个月,全年按10个月计发)。
三、补贴标准1、住处→工作地点或乘坐校车地点的距离达到或超过2公里(或自行解决交通工具,每月在九龙湖校区工作10天以上)的教职工,补贴标准80元/人〃月。
2、住处→工作地点或乘坐校车地点的距离小于2公里的教职工,补贴标准40元/人〃月。
四、申报时间2013年6月20日至8月30日,过期不再受理。
五、申报程序1、符合条件的教职工请在本单位申请;2、由各单位据实审核所属教职工市内上下班交通补贴标准;3、请各单位将汇总的《2012-2013学年教职工市内交通补贴申报表》报人事处审核;4、后勤管理处在人事处审核的基础上,负责全校教职工市内上下班交通补贴的汇总和公示;5、公示无异议,学校财务处发放教职工市内上下班交通补贴。
六、几点说明1、各单位填写纸质《2012-2013学年教职工市内交通补贴申报表》一式两份,并请单位负责人签字、教职工个人签名、加盖单位公章,也请注明单位承办人和联系电话。
2、人事处审核后的纸质《2012-2013学年教职工市内交通补贴申报表》及电子文档,请交送后勤管理处国有资产办公室。
3、教职工出国、病事假等不在岗时间,不享受市内交通补贴。
4、欢迎全体教职工监督。
电话:83794264(此页无正文)东南大学后勤管理处二〇一三年六月十三日东南大学后勤管理处 2013年6月13日印发。
东南大学学生宿舍资源管理办法东南大学文件东南大学学生宿舍资源管理办法第一章总则第一条学生宿舍是学校的房产资源~是学生在校期间学习、生活的重要场所~是学校对学生进行综合素质教育的园地。
为了加强学生宿舍资源管理~合理调配学生宿舍资源~保证学校正常的教学生活秩序~创建良好和谐的校园环境~根据教育部办公厅《关于进一步加强高校学生宿舍管理的通知》精神~特制定本办法。
第二条各校区学生宿舍实行规范的物业管理~为住宿学生提供管理和服务。
第二章学校职能部门的管理职责第三条后勤管理处根据学校相关规定~全面负责学生宿舍的资源管理工作~制定学生宿舍的建设规划~建立和管理学生宿舍资源管理的信息系统~合理配置学生宿舍资源~负责物业公司的选聘和合同的签定~对物业公司的服务质量等进行监督检查和组织考核~根据合同和考核情况支付物业管理费用。
第四条学生处、研究生院等负责学校录取的全日制学生的入住审核工作; 教务处负责本科生在已入住分配宿舍后因学籍异动、转系转专业以及毕业设计等需要进行宿舍调整的审核工作,各院系学生管理部门负责入住学生的日常教育工作~财务处负责学生住宿费的收支管理; 保卫处负责学生宿舍安全工作的指导、协调检查和监督。
第三章住宿管理第五条凡学校录取的全日制学生~由学生处、研究生院等部门确定入住学生宿舍的名单~后勤管理处负责安排入住。
第六条经学校同意来校进修、学习或培训的学生~如有住宿需求~可向后勤管理处申请~经学校审核同意后~在住宿资源许可的条件下办理入住手续。
第七条未经学校同意~任何单位和个人不得擅自办理入住手续和擅自入住。
第四章日常管理第八条根据学校教学和管理的要求~住宿安排遵循同一学院~同一年级学生相对集中住宿~男女分宿的原则安排~住宿学生应按照指定的床位住宿~未经宿管科批准~任何人员不得私自入住学生宿舍或更换寝室、床位。
提前攻博、硕博连读的学生的住宿先按照硕士生的标准予以安排~待同一级的硕士生毕业后再按照博士生的住宿标准进行调整。
东南大学九龙湖校区橘园面包店租赁招标文件DNHQZB-19004东南大学采购中心2019年1月21日一、招标邀请函东南大学近期将对九龙湖校区橘园面包店的经营单位进行招租招标,在此诚挚的邀请具备一定条件且有意参与投标的单位人员参加。
本次招标我们将严格按程序开展招标工作。
请参加的单位、人员认真阅读招标文件,精心做好相应的准备工作。
二、标的综述此次项目标的是位于东南大学九龙湖校区橘园食堂一楼的校园面包店,使用面积为56.26㎡,其中6㎡另有他用(共用),本面包店此次招租面积为50.26㎡。
三、投标人须知1、投标人须为依照国家法律法规规定成立并依法存续的企业法人或个体工商户,具有良好的商业信誉和一定的经营管理能力。
本次招租招标不接受个人投标者。
2、投标人须严格按照该文件的各项要求进行投标,对该文件中的各项条款均严格对照执行。
3、资格审查条件:(1)企业具备统一社会信用代码的有效营业执照原件。
(2)个体工商户有效营业执照、税务登记证(或具备统一社会信用代码的营业执照)原件。
(3)食品卫生许可证原件(有食品现场制作必须提供)或食品经营许可证原件(仅限食品成品销售)。
上述文件开标时必须提供原件审核,另须提供一套原件复印件并加盖公章放于投标文件中,开标时未提供原件或审核不合格的单位作废标处理。
4、经营范围:(1)为满足在校师生的日常需求,本次招标的经营范围仅限面包、糕点、咖啡、奶茶等的制作及销售,同时确保不影响学校师生的正常生活。
(2)不得超出投标人营业执照核定的经营范围。
5、投标保证金: 4400.00元(大写:肆仟肆佰圆整)(1)法人单位缴纳投标保证金必须是转账支票或银行汇票,个体工商户缴纳投标保证金必须是转账支票、银行汇票或个体工商户负责人的本票,现金一律拒收。
(2)投标人如无违规行为给予无息退还投标保证金;中标单位在签订合同时须另行、足额交纳履约保证金。
(3)本次招租招标,中标人须按通知及时与出租人签订《房屋租赁合同》,并在合同约定期限内付清第一期租金,否则招标人可以重新确定承租人,并有权没收中标人所交付的投标保证金(履约保证金)。
【办公地点】九龙湖校区:办公地点:本科生一号教学楼104办公时间:周一至周五 9:00-16:30(中午休息)电话:现金充值地点:同办公地点现金充值时间:周一至周五 9:00-15:00(中午不休息)四牌楼校区:办公地点:五四楼三楼办公时间:周一至周五 8:00-17:00(中午休息)电话:现金充值地点:同办公地点现金充值时间:周一至周五 9:00-15:00(中午不休息)丁家桥校区:地点:行政楼一楼办公时间:每周二 8:00-11:30 14:00-17:00现金充值:无【一卡通管理中心邮箱】allinonecard@【一卡通查询网站】方法一:在浏览器中输入方法二:东南大学主页→公共服务→一卡通中心查询网站登录说明:1.登录号:一卡通号(若卡号为“13”开头则前面加“2”共9位数字,如:卡号为,则登录号为5)2.查询密码:初始查询密码为身份证最后6位数字(遇字母前推一位),教师多为老身份证最后六位(同新身份证去末位再取最后六位),部分人员若密码错误可尝试密码“888888”3.选择“学工号登陆”查询网站的挂失和解挂:1.一卡通查询网站可以挂失,并有挂失确认窗口。
2.一卡通查询网站无法解挂,解挂必须持有效证件到一卡通管理中心办理。
查询网站使用环境:浏览器为Microsoft Internet Explorer(IE) 6.0或以上查询网站故障原因:1.您使用了第三方浏览器(傲游、firefox、netscape等等),因为其常常自带有广告拦截的控件或者集成广告拦截的代码,可能会屏蔽挂失确认窗口。
2.浏览器为ie,但是添加了第三方ie加载项(例如广告猎手、上网助手之类)而导致把挂失确认窗口屏蔽。
3.第三方系统辅助软件对注册表以及组策略的修改4.请自行按照标准环境修改你的设置或者更换浏览器,并且不建议使用windows优化大师、超级兔子、upiea之类的修改ie的软件。
【圈存转帐机安装地点】编号自助终端描述1桃园食堂一楼201型2桃园食堂二楼201型3梅园食堂一楼201型4梅园食堂二楼201型5橘园食堂一楼201型6橘园食堂二楼201型7中心一号201型8中心二号201型13沙糖园食堂一楼201型14沙糖园食堂二楼201型15香园食堂一楼201型16香园食堂二楼201型17莘园食堂一号201型18莘园食堂二号201型19兰园宿舍201型20医林餐厅一号201型21梅园五宿舍201型22橘园博士生楼201型23丁家桥卫生所24桃园七宿舍201型25研究生宿舍201型26成园宿舍楼201型27校东群楼201型28香园开水房201型29沙塘园水房201型30丁家桥宿舍楼201型32丁家桥图书馆201型33九龙湖网络中心201型34九龙湖校医院201型36医林餐厅二号201型37医林餐厅三号201型42桃园三宿舍201型43梅园一宿舍201型48桃园五宿舍201型51桃园食堂一楼203型52桃园食堂二楼203型53梅园食堂一楼203型54梅园食堂二楼203型55橘园食堂一楼203型56橘园食堂二楼203型61中心一号203型62桃园一宿舍203型63梅园五宿舍203型64五四楼一号203型65硕士宿舍楼203型66沙塘园食堂203型67香园食堂一号203型68教育超市203型69校东群楼203型70医林餐厅203型71丁家桥卡中心203型72四牌楼图书馆203型73香园食堂二号203型74九龙湖网络中心203型75九龙湖校医院203型76四牌楼医院一号203型78四牌楼医院二号203型79九龙湖行政楼203型100test【校车】校车收费:教职工:免费学生:4.00元/次其他人员:4.00元/次乘车顺序:(先→后)教职员工→学生→其他人员【考勤】教职工乘校车到九龙湖校区上班,在校车和考勤机刷卡,每日8.00元补贴。
东南大学九龙湖校区桃园学生宿舍智能化安装工程招标公告项目名称:东南大学九龙湖校区桃园学生宿舍智能化安装工程。
项目地点:东南大学九龙湖校区。
项目概况:东南大学九龙湖校区桃园学生宿舍智能化安装工程建筑面积约14454㎡,建筑高度约为,为六层框架结构,属新建工程。
主要功能为学生宿舍。
本次招标主要内容为东南大学九龙湖校区桃园学生宿舍智能化安装工程。
1.投标单位条件投标人须具有法人营业执照副本、税务登记证副本、组织机构代码证;ISO9000质量认证书;并提供复印件。
具有建筑智能化施工贰级以上资质或网络综合布线专业施工资质。
2.本工程最高限价:30万。
3.付款及结算方式:材料进场并经验收合格后,付至合同价(扣除甲供材料款)的30%;工程竣工验收合格后,付至合同价(扣除甲供材料款)的70%;经工程审计后,付至审定价的95%,留5%的质保金,两年后无质量问题一次付清,质保金不计息。
质保期2年(自分项工程验收合格之日起算)。
每次付款,乙方都需提供符合甲方财务要求的相应数额发票,并提供加盖财务专用章的真伪验证单。
结算时需提供高限额的发票。
(调高发票限额可向主管税务局申请)。
4.工程审计结算按东南大学校通知[2011]89号文关于印发《东南大学基本建设、维修、装饰工程竣工结算审计办法》的通知执行。
5.综合布线系统和网络系统本工程的网络线和网络面板及模块选用以下任意一个罗森博格、德特威勒、TCL罗格朗、普天超五类非屏蔽系统。
安防监控系统设备选用以下品牌海康威视、天地伟业、中兴力维。
上述文件除提供原件外,另须提供一套原件复印件并加盖公章。
(请在封面注明项目名称、联系人、联系电话、邮箱)。
报名及资格预审截止时间:2016年5月19日下午4:00。
报名资格预审材料送审地点:南京市四牌楼2号东南大学河海院一楼招投标管理办公室105。
联系电话:东南大学招投标管理办公室2016年5月13日。
【办公地点】九龙湖校区:办公地点:本科生一号教学楼104办公时间:周一至周五 9:00-16:30(中午休息)电话:现金充值地点:同办公地点现金充值时间:周一至周五 9:00-15:00(中午不休息)四牌楼校区:办公地点:五四楼三楼办公时间:周一至周五 8:00-17:00(中午休息)电话:现金充值地点:同办公地点现金充值时间:周一至周五 9:00-15:00(中午不休息)丁家桥校区:地点:行政楼一楼办公时间:每周二 8:00-11:30 14:00-17:00现金充值:无【一卡通管理中心邮箱】allinonecard@【一卡通查询网站】方法一:在浏览器中输入方法二:东南大学主页→公共服务→一卡通中心查询网站登录说明:1.登录号:一卡通号(若卡号为“13”开头则前面加“2”共9位数字,如:卡号为,则登录号为5)2.查询密码:初始查询密码为身份证最后6位数字(遇字母前推一位),教师多为老身份证最后六位(同新身份证去末位再取最后六位),部分人员若密码错误可尝试密码“888888”3.选择“学工号登陆”查询网站的挂失和解挂:1.一卡通查询网站可以挂失,并有挂失确认窗口。
2.一卡通查询网站无法解挂,解挂必须持有效证件到一卡通管理中心办理。
查询网站使用环境:浏览器为Microsoft Internet Explorer(IE) 6.0或以上查询网站故障原因:1.您使用了第三方浏览器(傲游、firefox、netscape等等),因为其常常自带有广告拦截的控件或者集成广告拦截的代码,可能会屏蔽挂失确认窗口。
2.浏览器为ie,但是添加了第三方ie加载项(例如广告猎手、上网助手之类)而导致把挂失确认窗口屏蔽。
3.第三方系统辅助软件对注册表以及组策略的修改4.请自行按照标准环境修改你的设置或者更换浏览器,并且不建议使用windows优化大师、超级兔子、upiea之类的修改ie的软件。
【圈存转帐机安装地点】编号自助终端描述1桃园食堂一楼201型2桃园食堂二楼201型3梅园食堂一楼201型4梅园食堂二楼201型5橘园食堂一楼201型6橘园食堂二楼201型7中心一号201型8中心二号201型13沙糖园食堂一楼201型14沙糖园食堂二楼201型15香园食堂一楼201型16香园食堂二楼201型17莘园食堂一号201型18莘园食堂二号201型19兰园宿舍201型20医林餐厅一号201型21梅园五宿舍201型22橘园博士生楼201型23丁家桥卫生所24桃园七宿舍201型25研究生宿舍201型26成园宿舍楼201型27校东群楼201型28香园开水房201型29沙塘园水房201型30丁家桥宿舍楼201型32丁家桥图书馆201型33九龙湖网络中心201型34九龙湖校医院201型36医林餐厅二号201型37医林餐厅三号201型42桃园三宿舍201型43梅园一宿舍201型48桃园五宿舍201型51桃园食堂一楼203型52桃园食堂二楼203型53梅园食堂一楼203型54梅园食堂二楼203型55橘园食堂一楼203型56橘园食堂二楼203型61中心一号203型62桃园一宿舍203型63梅园五宿舍203型64五四楼一号203型65硕士宿舍楼203型66沙塘园食堂203型67香园食堂一号203型68教育超市203型69校东群楼203型70医林餐厅203型71丁家桥卡中心203型72四牌楼图书馆203型73香园食堂二号203型74九龙湖网络中心203型75九龙湖校医院203型76四牌楼医院一号203型78四牌楼医院二号203型79九龙湖行政楼203型100test【校车】校车收费:教职工:免费学生:4.00元/次其他人员:4.00元/次乘车顺序:(先→后)教职员工→学生→其他人员【考勤】教职工乘校车到九龙湖校区上班,在校车和考勤机刷卡,每日8.00元补贴。
【办公地点】九龙湖校区:办公地点:本科生一号教学楼104办公时间:周一至周五 9:00-16:30(中午休息)电话:现金充值地点:同办公地点现金充值时间:周一至周五 9:00-15:00(中午不休息)四牌楼校区:办公地点:五四楼三楼办公时间:周一至周五 8:00-17:00(中午休息)电话:现金充值地点:同办公地点现金充值时间:周一至周五 9:00-15:00(中午不休息)丁家桥校区:地点:行政楼一楼办公时间:每周二 8:00-11:30 14:00-17:00现金充值:无【一卡通管理中心邮箱】allinonecard@【一卡通查询网站】方法一:在浏览器中输入方法二:东南大学主页→公共服务→一卡通中心查询网站登录说明:1.登录号:一卡通号(若卡号为“13”开头则前面加“2”共9位数字,如:卡号为,则登录号为5)2.查询密码:初始查询密码为身份证最后6位数字(遇字母前推一位),教师多为老身份证最后六位(同新身份证去末位再取最后六位),部分人员若密码错误可尝试密码“888888”3.选择“学工号登陆”查询网站的挂失和解挂:1.一卡通查询网站可以挂失,并有挂失确认窗口。
2.一卡通查询网站无法解挂,解挂必须持有效证件到一卡通管理中心办理。
查询网站使用环境:浏览器为Microsoft Internet Explorer(IE) 6.0或以上查询网站故障原因:1.您使用了第三方浏览器(傲游、firefox、netscape等等),因为其常常自带有广告拦截的控件或者集成广告拦截的代码,可能会屏蔽挂失确认窗口。
2.浏览器为ie,但是添加了第三方ie加载项(例如广告猎手、上网助手之类)而导致把挂失确认窗口屏蔽。
3.第三方系统辅助软件对注册表以及组策略的修改4.请自行按照标准环境修改你的设置或者更换浏览器,并且不建议使用windows优化大师、超级兔子、upiea之类的修改ie的软件。
【圈存转帐机安装地点】编号自助终端描述1桃园食堂一楼201型2桃园食堂二楼201型3梅园食堂一楼201型4梅园食堂二楼201型5橘园食堂一楼201型6橘园食堂二楼201型7中心一号201型8中心二号201型13沙糖园食堂一楼201型14沙糖园食堂二楼201型15香园食堂一楼201型16香园食堂二楼201型17莘园食堂一号201型18莘园食堂二号201型19兰园宿舍201型20医林餐厅一号201型21梅园五宿舍201型22橘园博士生楼201型23丁家桥卫生所24桃园七宿舍201型25研究生宿舍201型26成园宿舍楼201型27校东群楼201型28香园开水房201型29沙塘园水房201型30丁家桥宿舍楼201型32丁家桥图书馆201型33九龙湖网络中心201型34九龙湖校医院201型36医林餐厅二号201型37医林餐厅三号201型42桃园三宿舍201型43梅园一宿舍201型48桃园五宿舍201型51桃园食堂一楼203型52桃园食堂二楼203型53梅园食堂一楼203型54梅园食堂二楼203型55橘园食堂一楼203型56橘园食堂二楼203型61中心一号203型62桃园一宿舍203型63梅园五宿舍203型64五四楼一号203型65硕士宿舍楼203型66沙塘园食堂203型67香园食堂一号203型68教育超市203型69校东群楼203型70医林餐厅203型71丁家桥卡中心203型72四牌楼图书馆203型73香园食堂二号203型74九龙湖网络中心203型75九龙湖校医院203型76四牌楼医院一号203型78四牌楼医院二号203型79九龙湖行政楼203型100test【校车】校车收费:教职工:免费学生:4.00元/次其他人员:4.00元/次乘车顺序:(先→后)教职员工→学生→其他人员【考勤】教职工乘校车到九龙湖校区上班,在校车和考勤机刷卡,每日8.00元补贴。
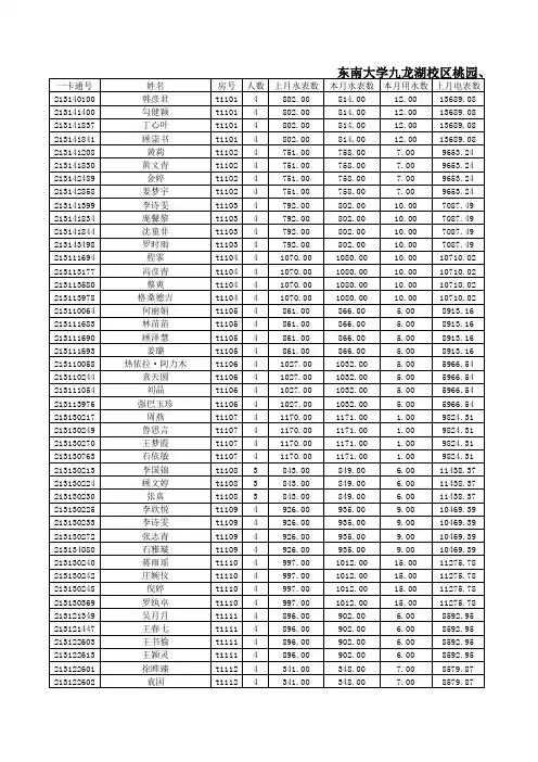
九龙湖学生公寓2020年6-8月水电费统计公示通知
各位同学:
**大学总务处九龙湖学生公寓服务中心根据要求定于2020年9月17日-19日对桃园、梅园宿舍2020年6月1日~8月31日和橘园宿舍2020年6月1日~8月31日水、电使用情况及水电费统计进行公示,请同学们及时到所住宿舍值班室或登陆校园BBS“一卡通中心”版面(网址:******/frames.html)或总务处网站(网址:******)右侧通知公告中查询、核对,如有疑问,请到所住宿舍值班室进行登记。
九龙湖学生公寓服务中心根据总务处要求拟计划请校一卡通中心于2020年9月21日对此次水电费进行扣费,请各位同学相互转告并尽快充值,确保扣费后一卡通能正常使用。
特别说明:
1、水电收费标准为:水每吨3.25元,电每度0.54元。
2、每月水电计划:博士生为水5吨/人,电16度/人;硕士生为水4吨/人,电12度/
人;本科生为水3.5吨/人,电7度/人。
(根据学校规定,暑假期间7-8月为1个月
水电计划);
3、同宿舍的部分同学最终交易额与其他同学不同,是因为每月一卡通中心统一扣费时,
部分同学的一卡通上余额不足等情况,导致扣款不成功,那这笔水电费将累计到下
个月进行扣款,详见表中的“上次欠费”一栏。
4、凡“实际应缴费”栏为负数,且与“最终交易额”栏数值不相等的,差额部分作为水电
费节余,冲抵下月水电费。
5、经学校同意,水电费扣缴将对欠费学生进行差额扣款。
备注:(1)服务大厅:贡老师********
(2)学生宿舍服务部主管:罗老师********
**大学总务处
九龙湖学生公寓服务中心
2020年9月16日。