椭圆及其标准方程练习题
- 格式:doc
- 大小:600.00 KB
- 文档页数:4
《椭圆》方程典型例题20例典型例题一例1 椭圆的一个顶点为()02,A ,其长轴长是短轴长的2倍,求椭圆的标准方程.分析:题目没有指出焦点的位置,要考虑两种位置.解:(1)当()02,A 为长轴端点时,2=a ,1=b , 椭圆的标准方程为:11422=+y x ; (2)当()02,A 为短轴端点时,2=b ,4=a , 椭圆的标准方程为:116422=+y x ; 说明:椭圆的标准方程有两个,给出一个顶点的坐标和对称轴的位置,是不能确定椭圆的横竖的,因而要考虑两种情况.典型例题二例2 一个椭圆的焦点将其准线间的距离三等分,求椭圆的离心率.解:31222⨯⨯=c a c ∴223a c =, ∴3331-=e . 说明:求椭圆的离心率问题,通常有两种处理方法,一是求a ,求c ,再求比.二是列含a 和c 的齐次方程,再化含e 的方程,解方程即可.典型例题三 例3 已知中心在原点,焦点在x 轴上的椭圆与直线01=-+y x 交于A 、B 两点,M 为AB 中点,OM 的斜率为0.25,椭圆的短轴长为2,求椭圆的方程.解:由题意,设椭圆方程为1222=+y ax ,由⎪⎩⎪⎨⎧=+=-+101222y ax y x ,得()021222=-+x a x a , ∴222112a a x x x M +=+=,2111a x y M M +=-=,4112===ax y k M M OM ,∴42=a , ∴1422=+y x 为所求. 说明:(1)此题求椭圆方程采用的是待定系数法;(2)直线与曲线的综合问题,经常要借用根与系数的关系,来解决弦长、弦中点、弦斜率问题.典型例题四例4椭圆192522=+y x 上不同三点()11y x A ,,⎪⎭⎫⎝⎛594,B ,()22y x C ,与焦点()04,F 的距离成等差数列.(1)求证821=+x x ;(2)若线段AC 的垂直平分线与x 轴的交点为T ,求直线BT 的斜率k . 证明:(1)由椭圆方程知5=a ,3=b ,4=c . 由圆锥曲线的统一定义知:ac x ca AF =-12, ∴ 11545x ex a AF -=-=. 同理 2545x CF -=.∵ BF CF AF 2=+,且59=BF , ∴ 51854554521=⎪⎭⎫ ⎝⎛-+⎪⎭⎫ ⎝⎛-x x ,即 821=+x x .(2)因为线段AC 的中点为⎪⎭⎫⎝⎛+2421y y ,,所以它的垂直平分线方程为()42212121---=+-x y y x x y y y . 又∵点T 在x 轴上,设其坐标为()00,x ,代入上式,得 ()212221024x x y y x --=-又∵点()11y x A ,,()22y x B ,都在椭圆上,∴ ()212125259x y -=()222225259x y -= ∴ ()()21212221259x x x x y y -+-=-.将此式代入①,并利用821=+x x 的结论得 253640-=-x ∴ 4540590=--=x k BT.典型例题五例5 已知椭圆13422=+yx ,1F 、2F 为两焦点,问能否在椭圆上找一点M ,使M 到左准线l 的距离MN 是1MF 与2MF 的等比中项?若存在,则求出点M 的坐标;若不存在,请说明理由.解:假设M 存在,设()11y x M ,,由已知条件得2=a ,3=b ,∴1=c ,21=e . ∵左准线l 的方程是4-=x , ∴14x MN +=. 又由焦半径公式知:111212x ex a MF -=-=, 112212x ex a MF +=+=.∵212MF MF MN ⋅=,∴()⎪⎭⎫ ⎝⎛+⎪⎭⎫ ⎝⎛-=+11212122124x x x .整理得048325121=++x x .解之得41-=x 或5121-=x . ① 另一方面221≤≤-x . ②则①与②矛盾,所以满足条件的点M 不存在. 说明:(1)利用焦半径公式解常可简化解题过程.(2)本例是存在性问题,解决存在性问题,一般用分析法,即假设存在,根据已知条件进行推理和运算.进而根据推理得到的结果,再作判断.(3)本例也可设()θθsin 3cos 2,M 存在,推出矛盾结论(读者自己完成).典型例题六例6 已知椭圆1222=+y x ,求过点⎪⎭⎫⎝⎛2121,P 且被P 平分的弦所在的直线方程.分析一:已知一点求直线,关键是求斜率,故设斜率为k ,利用条件求k . 解法一:设所求直线的斜率为k ,则直线方程为⎪⎭⎫ ⎝⎛-=-2121x k y .代入椭圆方程,并整理得()()0232122212222=+-+--+k k x k kx k .由韦达定理得22212122k kk x x +-=+.∵P 是弦中点,∴121=+x x .故得21-=k .所以所求直线方程为0342=-+y x .分析二:设弦两端坐标为()11y x ,、()22y x ,,列关于1x 、2x 、1y 、2y 的方程组,从而求斜率:2121x x y y --. 解法二:设过⎪⎭⎫⎝⎛2121,P 的直线与椭圆交于()11y x A ,、()22y x B ,,则由题意得⎪⎪⎪⎩⎪⎪⎪⎨⎧=+=+=+=+④1.③1②12①12212122222121y y x x y x y x ,,, ①-②得0222212221=-+-y y x x . ⑤ 将③、④代入⑤得212121-=--x x y y ,即直线的斜率为21-. 所求直线方程为0342=-+y x .说明:(1)有关弦中点的问题,主要有三种类型:过定点且被定点平分的弦;平行弦的中点轨迹;过定点的弦中点轨迹.(2)解法二是“点差法”,解决有关弦中点问题的题较方便,要点是巧代斜率.(3)有关弦及弦中点问题常用的方法是:“韦达定理应用”及“点差法”.有关二次曲线问题也适用.典型例题七例7 求适合条件的椭圆的标准方程.(1)长轴长是短轴长的2倍,且过点()62-,; (2)在x 轴上的一个焦点与短轴两端点的联机互相垂直,且焦距为6.分析:当方程有两种形式时,应分别求解,如(1)题中由12222=+b y a x 求出1482=a ,372=b ,在得方程13714822=+y x 后,不能依此写出另一方程13714822=+x y . 解:(1)设椭圆的标准方程为12222=+b y a x 或12222=+bx a y .由已知b a 2=. ①又过点()62-,,因此有 ()1622222=-+b a 或()1262222=+-ba . ② 由①、②,得1482=a ,372=b 或522=a ,132=b .故所求的方程为13714822=+y x 或1135222=+x y . (2)设方程为12222=+b y a x .由已知,3=c ,3==c b ,所以182=a .故所求方程为191822=+y x . 说明:根据条件求椭圆的标准方程的思路是“选标准,定参数”.关键在于焦点的位置是否确定,若不能确定,应设方程12222=+b y a x 或12222=+bx a y .典型例题八例8 椭圆1121622=+y x 的右焦点为F ,过点()31,A ,点M 在椭圆上,当MF AM 2+为最小值时,求点M 的坐标.分析:本题的关键是求出离心率21=e ,把MF 2转化为M 到右准线的距离,从而得最小值.一般地,求MF eAM 1+均可用此法. 解:由已知:4=a ,2=c .所以21=e ,右准线8=x l :.过A 作l AQ ⊥,垂足为Q ,交椭圆于M ,故MF MQ 2=.显然MF AM 2+的最小值为AQ ,即M 为所求点,因此3=M y ,且M 在椭圆上.故32=M x .所以()332,M .说明:本题关键在于未知式MF AM 2+中的“2”的处理.事实上,如图,21=e ,即MF 是M 到右准线的距离的一半,即图中的MQ ,问题转化为求椭圆上一点M ,使M 到A 的距离与到右准线距离之和取最小值.典型例题九 例9 求椭圆1322=+y x 上的点到直线06=+-y x 的距离的最小值.分析:先写出椭圆的参数方程,由点到直线的距离建立三角函数关系式,求出距离的最小值.解:椭圆的参数方程为⎩⎨⎧==.sin cos 3θθy x ,设椭圆上的点的坐标为()θθsin cos 3,,则点到直线的距离为263sin 226sin cos 3+⎪⎭⎫⎝⎛-=+-=θπθθd . 当13sin -=⎪⎭⎫⎝⎛-θπ时,22=最小值d .说明:当直接设点的坐标不易解决问题时,可建立曲线的参数方程.典型例题十 例10设椭圆的中心是坐标原点,长轴在x 轴上,离心率23=e ,已知点⎪⎭⎫ ⎝⎛230,P 到这个椭圆上的点的最远距离是7,求这个椭圆的方程,并求椭圆上的点P 的距离等于7的点的坐标.分析:本题考查椭圆的性质、距离公式、最大值以及分析问题的能力,在求d 的最大值时,要注意讨论b 的取值范围.此题可以用椭圆的标准方程,也可用椭圆的参数方程,要善于应用不等式、平面几何、三角等知识解决一些综合性问题,从而加强等价转换、形数结合的思想,提高逻辑推理能力.解法一:设所求椭圆的直角坐标方程是12222=+b y a x ,其中0>>b a 待定.由222222221ab a b a ac e -=-==可得 2143112=-=-=e a b ,即b a 2=. 设椭圆上的点()y x ,到点P 的距离是d ,则4931232222222+-+⎪⎪⎭⎫ ⎝⎛-=⎪⎭⎫ ⎝⎛-+=y y b y a y x d 34213493342222++⎪⎭⎫ ⎝⎛+-=+--=b y y y b其中b y b ≤≤-. 如果21<b ,则当b y -=时,2d (从而d )有最大值. 由题设得()22237⎪⎭⎫ ⎝⎛+=b ,由此得21237>-=b ,与21<b 矛盾.因此必有21≥b 成立,于是当21-=y 时,2d (从而d )有最大值. 由题设得()34722+=b,可得1=b ,2=a .∴所求椭圆方程是11422=+y x . 由21-=y 及求得的椭圆方程可得,椭圆上的点⎪⎭⎫ ⎝⎛--213,,点⎪⎭⎫ ⎝⎛-213,到点⎪⎭⎫⎝⎛230,P 的距离是7.解法二:根据题设条件,可取椭圆的参数方程是⎩⎨⎧==θθsin cos b y a x ,其中0>>b a ,待定,πθ20≤≤,θ为参数.由22222221⎪⎭⎫⎝⎛-=-==a b a b a a c e 可得 2143112=-=-=e a b ,即b a 2=. 设椭圆上的点()y x ,到点⎪⎭⎫⎝⎛230,P 的距离为d ,则22222223sin cos 23⎪⎭⎫ ⎝⎛-+=⎪⎭⎫ ⎝⎛-+=θθb a y x d49sin 3sin 34222+--=θθb b b 3421sin 3222++⎪⎭⎫ ⎝⎛+-=b b b θ如果121>b ,即21<b ,则当1sin -=θ时,2d (从而d )有最大值.由题设得()22237⎪⎭⎫ ⎝⎛+=b ,由此得21237>-=b ,与21<b 矛盾,因此必有121≤b成立. 于是当b21sin -=θ时2d (从而d )有最大值. 由题设知()34722+=b,∴1=b ,2=a .∴所求椭圆的参数方程是⎩⎨⎧==θθsin cos 2y x .由21sin -=θ,23cos ±=θ,可得椭圆上的是⎪⎭⎫ ⎝⎛--213,,⎪⎭⎫ ⎝⎛-213,.典型例题十一例11 设x ,R ∈y ,x y x 63222=+,求x y x 222++的最大值和最小值.分析:本题的关键是利用形数结合,观察方程x y x 63222=+与椭圆方程的结构一致.设m x y x =++222,显然它表示一个圆,由此可以画出图形,考虑椭圆及圆的位置关系求得最值.解:由x y x 63222=+,得123492322=+⎪⎪⎪⎪⎭⎫ ⎝⎛-y x 可见它表示一个椭圆,其中心在⎪⎭⎫⎝⎛023,点,焦点在x 轴上,且过(0,0)点和(3,0)点.设m x y x =++222,则 ()1122+=++m y x它表示一个圆,其圆心为(-1,0)半径为()11->+m m .在同一坐标系中作出椭圆及圆,如图所示.观察图形可知,当圆过(0,0)点时,半径最小,即11=+m ,此时0=m ;当圆过(3,0)点时,半径最大,即41=+m ,∴15=m .∴x y x 222++的最小值为0,最大值为15.典型例题十二例12 已知椭圆()012222>>=+b a by a x C :,A 、B 是其长轴的两个端点.(1)过一个焦点F 作垂直于长轴的弦P P ',求证:不论a 、b 如何变化,120≠∠APB .(2)如果椭圆上存在一个点Q ,使 120=∠A Q B ,求C 的离心率e 的取值范围.分析:本题从已知条件出发,两问都应从APB ∠和AQB ∠的正切值出发做出估计,因此要从点的坐标、斜率入手.本题的第(2)问中,其关键是根据什么去列出离心率e 满足的不等式,只能是椭圆的固有性质:a x ≤,b y ≤,根据120=∠AQB 得到32222-=-+a y x ay ,将22222y ba a x -=代入,消去x ,用a 、b 、c 表示y ,以便利用b y ≤列出不等式.这里要求思路清楚,计算准确,一气呵成.解:(1)设()0,c F ,()0,a A -,()0,a B . ⎪⎪⎭⎫⎝⎛⇒⎩⎨⎧=+=a b c P b a y a x b c x 2222222, 于是()a c a b k AP+=2,()a c ab k BP -=2.∵APB ∠是AP 到BP 的角.∴()()()2222242221tan ca a c ab ac a b a c a b APB -=-++--=∠ ∵22c a > ∴2tan -<∠APB故3tan -≠∠APB ∴ 120≠∠APB . (2)设()y x Q ,,则a x y k QA +=,ax y k QB -=. 由于对称性,不妨设0>y ,于是AQB ∠是QA 到QB 的角.∴22222221tan a y x ay a x y a x ya x y AQB -+=-++--=∠∵ 120=∠AQB , ∴32222-=-+ay x ay整理得()023222=+-+ay a y x∵22222y ba a x -=∴0213222=+⎪⎪⎭⎫ ⎝⎛-ay y b a∵0≠y , ∴2232c ab y = ∵b y ≤, ∴b c ab ≤2232 232c ab ≤,()222234c c a a ≤-∴04444224≥-+a c a c ,044324≥-+e e ∴232≥e 或22-≤e (舍),∴136<≤e .典型例题十三例13 已知椭圆19822=++y k x 的离心率21=e ,求k 的值. 分析:分两种情况进行讨论.解:当椭圆的焦点在x 轴上时,82+=k a ,92=b ,得12-=k c .由21=e ,得4=k .当椭圆的焦点在y 轴上时,92=a ,82+=k b ,得k c -=12.由21=e ,得4191=-k ,即45-=k . ∴满足条件的4=k 或45-=k .说明:本题易出现漏解.排除错误的办法是:因为8+k 与9的大小关系不定,所以椭圆的焦点可能在x 轴上,也可能在y 轴上.故必须进行讨论.典型例题十四例14 已知椭圆142222=+by b x 上一点P 到右焦点2F 的距离为b )1(>b ,求P 到左准线的距离.分析:利用椭圆的两个定义,或利用第二定义和椭圆两准线的距离求解.解法一:由142222=+by b x ,得b a 2=,b c 3=,23=e .由椭圆定义,b a PF PF 4221==+,得b b b PF b PF 34421=-=-=. 由椭圆第二定义,e d PF =11,1d 为P 到左准线的距离,∴b ePF d 3211==,即P 到左准线的距离为b 32. 解法二:∵e d PF =22,2d 为P 到右准线的距离,23==a c e , ∴b ePF d 33222==.又椭圆两准线的距离为b c a 33822=⋅. ∴P 到左准线的距离为b b b 32332338=-. 说明:运用椭圆的第二定义时,要注意焦点和准线的同侧性.否则就会产生误解.椭圆有两个定义,是从不同的角度反映椭圆的特征,解题时要灵活选择,运用自如.一般地,如遇到动点到两个定点的问题,用椭圆第一定义;如果遇到动点到定直线的距离问题,则用椭圆的第二定义.典型例题十五例15 设椭圆⎩⎨⎧==.sin 32,cos 4ααy x (α为参数)上一点P 与x 轴正向所成角3π=∠POx ,求P 点坐标.分析:利用参数α与POx ∠之间的关系求解.解:设)sin 32,cos 4(ααP ,由P 与x 轴正向所成角为3π, ∴ααπcos 4sin 323tan=,即2tan =α.而0sin >α,0cos >α,由此得到55cos =α,552sin =α, ∴P 点坐标为)5154,554(.典型例题十六例16 设),(00y x P 是离心率为e 的椭圆12222=+by a x )0(>>b a 上的一点,P 到左焦点1F 和右焦点2F 的距离分别为1r 和2r ,求证:01ex a r +=,02ex a r -=. 分析:本题考查椭圆的两个定义,利用椭圆第二定义,可将椭圆上点到焦点的距离转化为点到相应准线距离.解:P 点到椭圆的左准线c a x l 2-=:的距离,ca x PQ 20+=,由椭圆第二定义,e PQPF =1,∴01ex a PQ e r +==,由椭圆第一定义,0122ex a r a r -=-=.说明:本题求证的是椭圆的焦半径公式,在解决与椭圆的焦半径(或焦点弦)的有关问题时,有着广泛的应用.请写出椭圆焦点在y 轴上的焦半径公式.典型例题十七例17 已知椭圆15922=+y x 内有一点)1,1(A ,1F 、2F 分别是椭圆的左、右焦点,点P 是椭圆上一点.(1) 求1PF PA +的最大值、最小值及对应的点P 坐标;(2) 求223PF PA +的最小值及对应的点P 的坐标. 分析:本题考查椭圆中的最值问题,通常探求变量的最值有两种方法:一是目标函数当,即代数方法.二是数形结合,即几何方法.本题若按先建立目标函数,再求最值,则不易解决;若抓住椭圆的定义,转化目标,运用数形结合,就能简捷求解.解:(1)如上图,62=a ,)0,2(2F ,22=AF ,设P 是椭圆上任一点,由6221==+a PF PF ,22AF PF PA -≥,∴26222211-=-=-+≥+AF a AF PF PF PF PA ,等号仅当22AF PF PA -=时成立,此时P 、A 、2F 共线.由22AF PF PA +≤,∴26222211+=+=++≤+AF a AF PF PF PF PA ,等号仅当22AF PF PA +=时成立,此时P 、A 、2F 共线.建立A 、2F 的直线方程02=-+y x ,解方程组⎩⎨⎧=+=-+4595,0222y x y x 得两交点 )2141575,2141579(1+-P 、)2141575,2141579(2-+P . 综上所述,P 点与1P 重合时,1PF PA +取最小值26-,P 点与2P 重合时,2PF PA +取最大值26+.(2)如下图,设P 是椭圆上任一点,作PQ 垂直椭圆右准线,Q 为垂足,由3=a ,2=c ,∴32=e .由椭圆第二定义知322==e PQ PF ,∴223PF PQ =,∴PQ PA PF PA +=+223,要使其和最小需有A 、P 、Q 共线,即求A 到右准线距离.右准线方程为29=x .∴A 到右准线距离为27.此时P 点纵坐标与A 点纵坐标相同为1,代入椭圆得满足条件的点P 坐标)1,556(. 说明:求21PF ePA +的最小值,就是用第二定义转化后,过A 向相应准线作垂线段.巧用焦点半径2PF 与点准距PQ 互化是解决有关问题的重要手段.典型例题十八例18 (1)写出椭圆14922=+y x 的参数方程; (2)求椭圆内接矩形的最大面积.分析:本题考查椭圆的参数方程及其应用.为简化运算和减少未知数的个数,常用椭圆的参数方程表示曲线上一点坐标,所求问题便化归为三角问题.解:(1) ⎩⎨⎧==θθsin 2cos 3y x )(R ∈θ.(2)设椭圆内接矩形面积为S ,由对称性知,矩形的邻边分别平行于x 轴和y轴,设)sin 2,cos 3(θθ为矩形在第一象限的顶点,)20(π<θ<,则122sin 12sin 2cos 34≤=⨯⨯=θθθS 故椭圆内接矩形的最大面积为12.说明:通过椭圆参数方程,转化为三角函数的最值问题,一般地,与圆锥曲线有关的最值问题,用参数方程形式较简便.典型例题十九 例19 已知1F ,2F 是椭圆的两个焦点,P 是椭圆上一点,且︒=∠6021PF F .(1)求椭圆离心率的取值范围;(2)求证21F PF ∆的面积与椭圆短轴长有关. 分析:不失一般性,可以设椭圆方程为12222=+b y a x (0>>b a ),),(11y x P (01>y ). 思路一:根据题设容易想到两条直线的夹角公式,即3160tan 1212=+-=︒PF PF PF PF K K K K ,设),(11y x P ,)0,(1c F -,)0,(2c F ,化简可得03233212121=--+c cy y x .又1221221=+by a x ,两方程联立消去21x 得0323412212=-+b cy b y c ,由],0(1b y ∈,可以确定离心率的取值范围;解出1y 可以求出21F PF ∆的面积,但这一过程很繁.思路二:利用焦半径公式11ex a PF +=,12ex a PF -=,在21F PF ∆中运用余弦定理,求1x ,再利用],[1a a x -∈,可以确定离心率e 的取值范围,将1x 代入椭圆方程中求1y ,便可求出21F PF ∆的面积.思路三:利用正弦定理、余弦定理,结合a PF PF 221=+求解.解:(法1)设椭圆方程为12222=+b y a x (0>>b a ),),(11y x P ,)0,(1c F -,)0,(2c F ,0>c ,则11ex a PF +=,12ex a PF -=. 在21F PF ∆中,由余弦定理得))((24)()(2160cos 1122121ex a ex a c ex a ex a -+--++==︒, 解得2222134ea c x -=. (1)∵],0(221a x ∈,∴2222340a ea c <-≤,即0422≥-a c . ∴21≥=a c e . 故椭圆离心率的取范围是)1,21[∈e .(2)将2222134ea c x -=代入12222=+b y a x 得 24213c b y =,即cb y 321=.∴22213332212121b cb c y F F S F PF =⋅⋅=⋅=∆. 即21F PF ∆的面积只与椭圆的短轴长有关.(法2)设m PF =1,n PF =2,α=∠12FPF ,β=∠21F PF , 则︒=+120βα.(1)在21F PF ∆中,由正弦定理得︒==60sin 2sin sin cn m βα. ∴︒=++60sin 2sin sin cn m βα∵a n m 2=+, ∴︒=+60sin 2sin sin 2ca βα,∴2cos 2sin 260sin sin sin 60sin βαβαβα-+︒=+︒==a c e 212cos21≥-=βα.当且仅当βα=时等号成立.故椭圆离心率的取值范围是)1,21[∈e .(2)在21F PF ∆中,由余弦定理得:︒-+=60cos 2)2(222mn n m cmn n m -+=22 mn n m 3)(2-+=∵a n m 2=+,∴mn a c 34422-=,即22234)(34b c a mn =-=. ∴23360sin 2121b mn S F PF =︒=∆. 即21F PF ∆的面积与椭圆短轴长有关.说明:椭圆上的一点P 与两个焦点1F ,2F 构成的三角形为椭圆的焦点三角形,涉及有关焦点三角形问题,通常运用三角形的边角关系定理.解题中通过变形,使之出现21PF PF +的结构,这样就可以应用椭圆的定义,从而可得到有关a ,c 的关系式,使问题找到解决思路.典型例题二十例20 椭圆12222=+by a x )0(>>b a 与x 轴正向交于点A ,若这个椭圆上总存在点P ,使AP OP ⊥(O 为坐标原点),求其离心率e 的取值范围.分析:∵O 、A 为定点,P 为动点,可以P 点坐标作为参数,把AP OP ⊥,转化为P 点坐标的一个等量关系,再利用坐标的范围建立关于a 、b 、c 的一个不等式,转化为关于e 的不等式.为减少参数,易考虑运用椭圆参数方程.解:设椭圆的参数方程是⎩⎨⎧==θθsin cos b y a x )0(>>b a ,则椭圆上的点)sin ,cos (θθb a P ,)0,(a A , ∵AP OP ⊥,∴1cos sin cos sin -=-⋅aa b a b θθθθ,即0cos cos )(22222=+--b a b a θθ,解得1cos =θ或222cos b a b -=θ,∵1cos 1<<-θ ∴1cos =θ(舍去),11222<-<-ba b ,又222c a b -= ∴2022<<ca ,∴22>e ,又10<<e ,∴122<<e . 说明:若已知椭圆离心率范围)1,22(,求证在椭圆上总存在点P 使AP OP ⊥.如何证明?。
《椭圆》方程典型例题20例典型例题一例1 椭圆的一个顶点为()02,A ,其长轴长是短轴长的2倍,求椭圆的标准方程. 分析:题目没有指出焦点的位置,要考虑两种位置. 解:(1)当()02,A 为长轴端点时,2=a ,1=b ,椭圆的标准方程为:11422=+y x ; (2)当()02,A 为短轴端点时,2=b ,4=a ,椭圆的标准方程为:116422=+y x ; 说明:椭圆的标准方程有两个,给出一个顶点的坐标和对称轴的位置,是不能确定椭圆的横竖的,因而要考虑两种情况.典型例题二例2 一个椭圆的焦点将其准线间的距离三等分,求椭圆的离心率.解:31222⨯⨯=c a c ∴223a c =, ∴3331-=e . 说明:求椭圆的离心率问题,通常有两种处理方法,一是求a ,求c ,再求比.二是列含a 和c 的齐次方程,再化含e 的方程,解方程即可.典型例题三 例3 已知中心在原点,焦点在x 轴上的椭圆与直线01=-+y x 交于A 、B 两点,M 为AB 中点,OM 的斜率为0.25,椭圆的短轴长为2,求椭圆的方程.解:由题意,设椭圆方程为1222=+y ax ,由⎪⎩⎪⎨⎧=+=-+101222y ax y x ,得()021222=-+x a x a , ∴222112aa x x x M +=+=,2111a x y M M +=-=,4112===a x y k M M OM ,∴42=a , ∴1422=+y x 为所求. 说明:(1)此题求椭圆方程采用的是待定系数法;(2)直线与曲线的综合问题,经常要借用根与系数的关系,来解决弦长、弦中点、弦斜率问题.典型例题四例4椭圆192522=+y x 上不同三点()11y x A ,,⎪⎭⎫⎝⎛594,B ,()22y x C ,与焦点()04,F 的距离成等差数列.(1)求证821=+x x ;(2)若线段AC 的垂直平分线与x 轴的交点为T ,求直线BT 的斜率k . 证明:(1)由椭圆方程知5=a ,3=b ,4=c . 由圆锥曲线的统一定义知:ac x ca AF =-12, ∴ 11545x ex a AF -=-=. 同理 2545x CF -=. ∵ BF CF AF 2=+,且59=BF , ∴ 51854554521=⎪⎭⎫ ⎝⎛-+⎪⎭⎫ ⎝⎛-x x ,即 821=+x x .(2)因为线段AC 的中点为⎪⎭⎫⎝⎛+2421y y ,,所以它的垂直平分线方程为()42212121---=+-x y y x x y y y . 又∵点T 在x 轴上,设其坐标为()00,x ,代入上式,得()212221024x x y y x --=-又∵点()11y x A ,,()22y x B ,都在椭圆上,∴ ()212125259x y -=()222225259x y -= ∴ ()()21212221259x x x x y y -+-=-. 将此式代入①,并利用821=+x x 的结论得 253640-=-x ∴ 4540590=--=x k BT.典型例题五例5 已知椭圆13422=+yx ,1F 、2F 为两焦点,问能否在椭圆上找一点M ,使M到左准线l 的距离MN 是1MF 与2MF 的等比中项?若存在,则求出点M 的坐标;若不存在,请说明理由.解:假设M 存在,设()11y x M ,,由已知条件得2=a ,3=b ,∴1=c ,21=e . ∵左准线l 的方程是4-=x , ∴14x MN +=. 又由焦半径公式知:111212x ex a MF -=-=,112212x ex a MF +=+=.∵212MF MF MN ⋅=,∴()⎪⎭⎫ ⎝⎛+⎪⎭⎫ ⎝⎛-=+11212122124x x x .整理得048325121=++x x .解之得41-=x 或5121-=x . ① 另一方面221≤≤-x . ②则①与②矛盾,所以满足条件的点M 不存在. 说明:(1)利用焦半径公式解常可简化解题过程.(2)本例是存在性问题,解决存在性问题,一般用分析法,即假设存在,根据已知条件进行推理和运算.进而根据推理得到的结果,再作判断.(3)本例也可设()θθsin 3cos 2,M 存在,推出矛盾结论(读者自己完成).典型例题六例6 已知椭圆1222=+y x ,求过点⎪⎭⎫⎝⎛2121,P 且被P 平分的弦所在的直线方程.分析一:已知一点求直线,关键是求斜率,故设斜率为k ,利用条件求k . 解法一:设所求直线的斜率为k ,则直线方程为⎪⎭⎫ ⎝⎛-=-2121x k y .代入椭圆方程,并整理得()()0232122212222=+-+--+k k x k kx k .由韦达定理得22212122k kk x x +-=+.∵P 是弦中点,∴121=+x x .故得21-=k .所以所求直线方程为0342=-+y x .分析二:设弦两端坐标为()11y x ,、()22y x ,,列关于1x 、2x 、1y 、2y 的方程组,从而求斜率:2121x x y y --. 解法二:设过⎪⎭⎫⎝⎛2121,P 的直线与椭圆交于()11y x A ,、()22y x B ,,则由题意得⎪⎪⎪⎩⎪⎪⎪⎨⎧=+=+=+=+④1.③1②12①12212122222121y y x x y x y x ,,, ①-②得0222212221=-+-y y x x . ⑤ 将③、④代入⑤得212121-=--x x y y ,即直线的斜率为21-.所求直线方程为0342=-+y x .说明:(1)有关弦中点的问题,主要有三种类型:过定点且被定点平分的弦;平行弦的中点轨迹;过定点的弦中点轨迹.(2)解法二是“点差法”,解决有关弦中点问题的题较方便,要点是巧代斜率.(3)有关弦及弦中点问题常用的方法是:“韦达定理应用”及“点差法”.有关二次曲线问题也适用.典型例题七例7 求适合条件的椭圆的标准方程.(1)长轴长是短轴长的2倍,且过点()62-,;(2)在x 轴上的一个焦点与短轴两端点的联机互相垂直,且焦距为6.分析:当方程有两种形式时,应分别求解,如(1)题中由12222=+b y a x 求出1482=a ,372=b ,在得方程13714822=+y x 后,不能依此写出另一方程13714822=+x y . 解:(1)设椭圆的标准方程为12222=+b y a x 或12222=+bx a y .由已知b a 2=. ①又过点()62-,,因此有 ()1622222=-+b a 或()1262222=+-ba . ② 由①、②,得1482=a ,372=b 或522=a ,132=b .故所求的方程为13714822=+y x 或1135222=+x y . (2)设方程为12222=+b y a x .由已知,3=c ,3==c b ,所以182=a .故所求方程为191822=+y x . 说明:根据条件求椭圆的标准方程的思路是“选标准,定参数”.关键在于焦点的位置是否确定,若不能确定,应设方程12222=+b y a x 或12222=+bx a y .典型例题八例8 椭圆1121622=+y x 的右焦点为F ,过点()31,A ,点M 在椭圆上,当MF AM 2+为最小值时,求点M 的坐标.分析:本题的关键是求出离心率21=e ,把MF 2转化为M 到右准线的距离,从而得最小值.一般地,求MF eAM 1+均可用此法. 解:由已知:4=a ,2=c .所以21=e ,右准线8=x l :.过A 作l AQ ⊥,垂足为Q ,交椭圆于M ,故MF MQ 2=.显然MF AM 2+的最小值为AQ ,即M 为所求点,因此3=M y ,且M 在椭圆上.故32=M x .所以()332,M .说明:本题关键在于未知式MF AM 2+中的“2”的处理.事实上,如图,21=e ,即MF 是M 到右准线的距离的一半,即图中的MQ ,问题转化为求椭圆上一点M ,使M 到A 的距离与到右准线距离之和取最小值.典型例题九 例9 求椭圆1322=+y x 上的点到直线06=+-y x 的距离的最小值.分析:先写出椭圆的参数方程,由点到直线的距离建立三角函数关系式,求出距离的最小值.解:椭圆的参数方程为⎩⎨⎧==.sin cos 3θθy x ,设椭圆上的点的坐标为()θθsin cos 3,,则点到直线的距离为263sin 226sin cos 3+⎪⎭⎫⎝⎛-=+-=θπθθd . 当13sin -=⎪⎭⎫⎝⎛-θπ时,22=最小值d .说明:当直接设点的坐标不易解决问题时,可建立曲线的参数方程.典型例题十 例10设椭圆的中心是坐标原点,长轴在x 轴上,离心率23=e ,已知点⎪⎭⎫ ⎝⎛230,P 到这个椭圆上的点的最远距离是7,求这个椭圆的方程,并求椭圆上的点P 的距离等于7的点的坐标.分析:本题考查椭圆的性质、距离公式、最大值以及分析问题的能力,在求d 的最大值时,要注意讨论b 的取值范围.此题可以用椭圆的标准方程,也可用椭圆的参数方程,要善于应用不等式、平面几何、三角等知识解决一些综合性问题,从而加强等价转换、形数结合的思想,提高逻辑推理能力.解法一:设所求椭圆的直角坐标方程是12222=+b y a x ,其中0>>b a 待定.由222222221ab a b a ac e -=-==可得 2143112=-=-=e a b ,即b a 2=. 设椭圆上的点()y x ,到点P 的距离是d ,则4931232222222+-+⎪⎪⎭⎫ ⎝⎛-=⎪⎭⎫ ⎝⎛-+=y y b y a y x d 34213493342222++⎪⎭⎫ ⎝⎛+-=+--=b y y y b其中b y b ≤≤-. 如果21<b ,则当b y -=时,2d (从而d )有最大值. 由题设得()22237⎪⎭⎫ ⎝⎛+=b ,由此得21237>-=b ,与21<b 矛盾.因此必有21≥b 成立,于是当21-=y 时,2d (从而d )有最大值. 由题设得()34722+=b ,可得1=b ,2=a .∴所求椭圆方程是11422=+y x . 由21-=y 及求得的椭圆方程可得,椭圆上的点⎪⎭⎫ ⎝⎛--213,,点⎪⎭⎫ ⎝⎛-213,到点⎪⎭⎫⎝⎛230,P 的距离是7.解法二:根据题设条件,可取椭圆的参数方程是⎩⎨⎧==θθsin cos b y a x ,其中0>>b a ,待定,πθ20≤≤,θ为参数.由22222221⎪⎭⎫⎝⎛-=-==a b a b a a c e 可得 2143112=-=-=e a b ,即b a 2=. 设椭圆上的点()y x ,到点⎪⎭⎫⎝⎛230,P 的距离为d ,则22222223sin cos 23⎪⎭⎫ ⎝⎛-+=⎪⎭⎫ ⎝⎛-+=θθb a y x d49sin 3sin 34222+--=θθb b b3421sin 3222++⎪⎭⎫ ⎝⎛+-=b b b θ如果121>b ,即21<b ,则当1sin -=θ时,2d (从而d )有最大值.由题设得()22237⎪⎭⎫ ⎝⎛+=b ,由此得21237>-=b ,与21<b 矛盾,因此必有121≤b成立. 于是当b21sin -=θ时2d (从而d )有最大值. 由题设知()34722+=b ,∴1=b ,2=a .∴所求椭圆的参数方程是⎩⎨⎧==θθsin cos 2y x .由21sin -=θ,23cos ±=θ,可得椭圆上的是⎪⎭⎫ ⎝⎛--213,,⎪⎭⎫ ⎝⎛-213,.典型例题十一例11 设x ,R ∈y ,x y x 63222=+,求x y x 222++的最大值和最小值.分析:本题的关键是利用形数结合,观察方程x y x 63222=+与椭圆方程的结构一致.设m x y x =++222,显然它表示一个圆,由此可以画出图形,考虑椭圆及圆的位置关系求得最值.解:由x y x 63222=+,得123492322=+⎪⎪⎪⎪⎭⎫ ⎝⎛-y x 可见它表示一个椭圆,其中心在⎪⎭⎫⎝⎛023,点,焦点在x 轴上,且过(0,0)点和(3,0)点.设m x y x =++222,则 ()1122+=++m y x它表示一个圆,其圆心为(-1,0)半径为()11->+m m .在同一坐标系中作出椭圆及圆,如图所示.观察图形可知,当圆过(0,0)点时,半径最小,即11=+m ,此时0=m ;当圆过(3,0)点时,半径最大,即41=+m ,∴15=m .∴x y x 222++的最小值为0,最大值为15.典型例题十二例12 已知椭圆()012222>>=+b a by a x C :,A 、B 是其长轴的两个端点.(1)过一个焦点F 作垂直于长轴的弦P P ',求证:不论a 、b 如何变化,120≠∠APB .(2)如果椭圆上存在一个点Q ,使 120=∠AQB ,求C 的离心率e 的取值范围.分析:本题从已知条件出发,两问都应从APB ∠和AQB ∠的正切值出发做出估计,因此要从点的坐标、斜率入手.本题的第(2)问中,其关键是根据什么去列出离心率e 满足的不等式,只能是椭圆的固有性质:a x ≤,b y ≤,根据120=∠AQB 得到32222-=-+ay x ay ,将22222y b a a x -=代入,消去x ,用a 、b 、c 表示y ,以便利用b y ≤列出不等式.这里要求思路清楚,计算准确,一气呵成.解:(1)设()0,c F ,()0,a A -,()0,a B . ⎪⎪⎭⎫⎝⎛⇒⎩⎨⎧=+=a b c P b a y a x b c x 2222222, 于是()a c a b k AP+=2,()a c ab k BP -=2.∵APB ∠是AP 到BP 的角.∴()()()2222242221tan ca a c ab ac a b a c a b APB -=-++--=∠ ∵22c a > ∴2tan -<∠APB故3tan -≠∠APB ∴ 120≠∠APB . (2)设()y x Q ,,则a x y k QA +=,ax y k QB -=. 由于对称性,不妨设0>y ,于是AQB ∠是QA 到QB 的角.∴22222221tan a y x ay a x y a x ya x y AQB -+=-++--=∠∵ 120=∠AQB , ∴32222-=-+ay x ay整理得()023222=+-+ay a y x∵22222y ba a x -=∴0213222=+⎪⎪⎭⎫ ⎝⎛-ay y b a∵0≠y , ∴2232c ab y = ∵b y ≤, ∴b cab ≤2232 232c ab ≤,()222234c c a a ≤-∴04444224≥-+a c a c ,044324≥-+e e ∴232≥e 或22-≤e (舍),∴136<≤e .典型例题十三例13 已知椭圆19822=++y k x 的离心率21=e ,求k 的值. 分析:分两种情况进行讨论.解:当椭圆的焦点在x 轴上时,82+=k a ,92=b ,得12-=k c .由21=e ,得4=k .当椭圆的焦点在y 轴上时,92=a ,82+=k b ,得k c -=12.由21=e ,得4191=-k ,即45-=k . ∴满足条件的4=k 或45-=k .说明:本题易出现漏解.排除错误的办法是:因为8+k 与9的大小关系不定,所以椭圆的焦点可能在x 轴上,也可能在y 轴上.故必须进行讨论.典型例题十四例14 已知椭圆142222=+by b x 上一点P 到右焦点2F 的距离为b )1(>b ,求P 到左准线的距离.分析:利用椭圆的两个定义,或利用第二定义和椭圆两准线的距离求解.解法一:由142222=+by b x ,得b a 2=,b c 3=,23=e .由椭圆定义,b a PF PF 4221==+,得b b b PF b PF 34421=-=-=. 由椭圆第二定义,e d PF =11,1d 为P 到左准线的距离,∴b ePF d 3211==,即P 到左准线的距离为b 32. 解法二:∵e d PF =22,2d 为P 到右准线的距离,23==a c e , ∴b ePF d 33222==.又椭圆两准线的距离为b c a 33822=⋅.∴P 到左准线的距离为b b b 32332338=-. 说明:运用椭圆的第二定义时,要注意焦点和准线的同侧性.否则就会产生误解.椭圆有两个定义,是从不同的角度反映椭圆的特征,解题时要灵活选择,运用自如.一般地,如遇到动点到两个定点的问题,用椭圆第一定义;如果遇到动点到定直线的距离问题,则用椭圆的第二定义.典型例题十五例15 设椭圆⎩⎨⎧==.sin 32,cos 4ααy x (α为参数)上一点P 与x 轴正向所成角3π=∠POx ,求P 点坐标.分析:利用参数α与POx ∠之间的关系求解.解:设)sin 32,cos 4(ααP ,由P 与x 轴正向所成角为3π, ∴ααπcos 4sin 323tan=,即2tan =α.而0sin >α,0cos >α,由此得到55cos =α,552sin =α, ∴P 点坐标为)5154,554(.典型例题十六例16 设),(00y x P 是离心率为e 的椭圆12222=+by a x )0(>>b a 上的一点,P 到左焦点1F 和右焦点2F 的距离分别为1r 和2r ,求证:01ex a r +=,02ex a r -=. 分析:本题考查椭圆的两个定义,利用椭圆第二定义,可将椭圆上点到焦点的距离转化为点到相应准线距离.解:P 点到椭圆的左准线c a x l 2-=:的距离,ca x PQ 20+=,由椭圆第二定义,e PQPF =1,∴01ex a PQ e r +==,由椭圆第一定义,0122ex a r a r -=-=.说明:本题求证的是椭圆的焦半径公式,在解决与椭圆的焦半径(或焦点弦)的有关问题时,有着广泛的应用.请写出椭圆焦点在y 轴上的焦半径公式.典型例题十七例17 已知椭圆15922=+y x 内有一点)1,1(A ,1F 、2F 分别是椭圆的左、右焦点,点P 是椭圆上一点.(1) 求1PF PA +的最大值、最小值及对应的点P 坐标; (2) 求223PF PA +的最小值及对应的点P 的坐标. 分析:本题考查椭圆中的最值问题,通常探求变量的最值有两种方法:一是目标函数当,即代数方法.二是数形结合,即几何方法.本题若按先建立目标函数,再求最值,则不易解决;若抓住椭圆的定义,转化目标,运用数形结合,就能简捷求解.解:(1)如上图,62=a ,)0,2(2F ,22=AF ,设P 是椭圆上任一点,由6221==+a PF PF ,22AF PF PA -≥,∴26222211-=-=-+≥+AF a AF PF PF PF PA ,等号仅当22AF PF PA -=时成立,此时P 、A 、2F 共线.由22AF PF PA +≤,∴26222211+=+=++≤+AF a AF PF PF PF PA ,等号仅当22AF PF PA +=时成立,此时P 、A 、2F 共线.建立A 、2F 的直线方程02=-+y x ,解方程组⎩⎨⎧=+=-+4595,0222y x y x 得两交点 )2141575,2141579(1+-P 、)2141575,2141579(2-+P . 综上所述,P 点与1P 重合时,1PF PA +取最小值26-,P 点与2P 重合时,2PF PA +取最大值26+.(2)如下图,设P 是椭圆上任一点,作PQ 垂直椭圆右准线,Q 为垂足,由3=a ,2=c ,∴32=e .由椭圆第二定义知322==e PQ PF ,∴223PF PQ =,∴PQ PA PF PA +=+223,要使其和最小需有A 、P 、Q 共线,即求A 到右准线距离.右准线方程为29=x .∴A 到右准线距离为27.此时P 点纵坐标与A 点纵坐标相同为1,代入椭圆得满足条件的点P 坐标)1,556(. 说明:求21PF ePA +的最小值,就是用第二定义转化后,过A 向相应准线作垂线段.巧用焦点半径2PF 与点准距PQ 互化是解决有关问题的重要手段.典型例题十八例18 (1)写出椭圆14922=+y x 的参数方程; (2)求椭圆内接矩形的最大面积.分析:本题考查椭圆的参数方程及其应用.为简化运算和减少未知数的个数,常用椭圆的参数方程表示曲线上一点坐标,所求问题便化归为三角问题.解:(1) ⎩⎨⎧==θθsin 2cos 3y x )(R ∈θ.(2)设椭圆内接矩形面积为S ,由对称性知,矩形的邻边分别平行于x 轴和y轴,设)sin 2,cos 3(θθ为矩形在第一象限的顶点,)20(π<θ<,则122sin 12sin 2cos 34≤=⨯⨯=θθθS 故椭圆内接矩形的最大面积为12.说明:通过椭圆参数方程,转化为三角函数的最值问题,一般地,与圆锥曲线有关的最值问题,用参数方程形式较简便.典型例题十九例19 已知1F ,2F 是椭圆的两个焦点,P 是椭圆上一点,且︒=∠6021PF F .(1)求椭圆离心率的取值范围;(2)求证21F PF ∆的面积与椭圆短轴长有关. 分析:不失一般性,可以设椭圆方程为12222=+b y a x (0>>b a ),),(11y x P (01>y ). 思路一:根据题设容易想到两条直线的夹角公式,即3160tan 1212=+-=︒PF PF PF PF K K K K ,设),(11y x P ,)0,(1c F -,)0,(2c F ,化简可得03233212121=--+c cy y x .又1221221=+by a x ,两方程联立消去21x 得0323412212=-+b cy b y c ,由],0(1b y ∈,可以确定离心率的取值范围;解出1y 可以求出21F PF ∆的面积,但这一过程很繁.思路二:利用焦半径公式11ex a PF +=,12ex a PF -=,在21F PF∆中运用余弦定理,求1x ,再利用],[1a a x -∈,可以确定离心率e 的取值范围,将1x 代入椭圆方程中求1y ,便可求出21F PF ∆的面积.思路三:利用正弦定理、余弦定理,结合a PF PF 221=+求解.解:(法1)设椭圆方程为12222=+by a x (0>>b a ),),(11y x P ,)0,(1c F -,)0,(2c F ,0>c ,则11ex a PF +=,12ex a PF -=. 在21F PF ∆中,由余弦定理得))((24)()(2160cos 1122121ex a ex a c ex a ex a -+--++==︒, 解得2222134ea c x -=. (1)∵],0(221a x ∈,∴2222340a ea c <-≤,即0422≥-a c . ∴21≥=a c e . 故椭圆离心率的取范围是)1,21[∈e .(2)将2222134ea c x -=代入12222=+b y a x 得 24213c b y =,即cb y 321=.∴22213332212121b cb c y F F S F PF =⋅⋅=⋅=∆. 即21F PF ∆的面积只与椭圆的短轴长有关.(法2)设m PF =1,n PF =2,α=∠12F PF,β=∠21F PF , 则︒=+120βα.(1)在21F PF ∆中,由正弦定理得︒==60sin 2sin sin cn m βα. ∴︒=++60sin 2sin sin cn m βα ∵a n m 2=+, ∴︒=+60sin 2sin sin 2ca βα, ∴2cos 2sin 260sin sin sin 60sin βαβαβα-+︒=+︒==a c e 212cos21≥-=βα.当且仅当βα=时等号成立.故椭圆离心率的取值范围是)1,21[∈e .(2)在21F PF ∆中,由余弦定理得:︒-+=60cos 2)2(222mn n m cmn n m -+=22 mn n m 3)(2-+= ∵a n m 2=+,∴mn a c 34422-=,即22234)(34b c a mn =-=. ∴23360sin 2121b mn S F PF =︒=∆. 即21F PF ∆的面积与椭圆短轴长有关.说明:椭圆上的一点P 与两个焦点1F ,2F 构成的三角形为椭圆的焦点三角形,涉及有关焦点三角形问题,通常运用三角形的边角关系定理.解题中通过变形,使之出现21PF PF +的结构,这样就可以应用椭圆的定义,从而可得到有关a ,c 的关系式,使问题找到解决思路.典型例题二十例20 椭圆12222=+b y a x )0(>>b a 与x 轴正向交于点A ,若这个椭圆上总存在点P ,使AP OP ⊥(O 为坐标原点),求其离心率e 的取值范围.分析:∵O 、A 为定点,P 为动点,可以P 点坐标作为参数,把AP OP ⊥,转化为P 点坐标的一个等量关系,再利用坐标的范围建立关于a 、b 、c 的一个不等式,转化为关于e 的不等式.为减少参数,易考虑运用椭圆参数方程.解:设椭圆的参数方程是⎩⎨⎧==θθsin cos b y a x )0(>>b a ,则椭圆上的点)sin ,cos (θθb a P ,)0,(a A , ∵AP OP ⊥,∴1cos sin cos sin -=-⋅aa b a b θθθθ,即0cos cos )(22222=+--b a b a θθ,解得1cos =θ或222cos b a b -=θ,∵1cos 1<<-θ ∴1cos =θ(舍去),11222<-<-ba b ,又222c a b -= ∴2022<<ca ,∴22>e ,又10<<e ,∴122<<e . 说明:若已知椭圆离心率范围)1,22(,求证在椭圆上总存在点P 使AP OP ⊥.如何证明?。
《椭圆》方程典型例题20例典型例题一例1 椭圆的一个顶点为()02,A ,其长轴长是短轴长的2倍,求椭圆的标准方程.分析:题目没有指出焦点的位置,要考虑两种位置.解:(1)当()02,A 为长轴端点时,2=a ,1=b , 椭圆的标准方程为:11422=+y x ; (2)当()02,A 为短轴端点时,2=b ,4=a , 椭圆的标准方程为:116422=+y x ; 说明:椭圆的标准方程有两个,给出一个顶点的坐标和对称轴的位置,是不能确定椭圆的横竖的,因而要考虑两种情况.典型例题二例2 一个椭圆的焦点将其准线间的距离三等分,求椭圆的离心率.解:31222⨯⨯=c a c ∴223a c =, ∴3331-=e . 说明:求椭圆的离心率问题,通常有两种处理方法,一是求a ,求c ,再求比.二是列含a 和c 的齐次方程,再化含e 的方程,解方程即可.典型例题三 例3 已知中心在原点,焦点在x 轴上的椭圆与直线01=-+y x 交于A 、B 两点,M 为AB 中点,OM 的斜率为0.25,椭圆的短轴长为2,求椭圆的方程.解:由题意,设椭圆方程为1222=+y ax ,由⎪⎩⎪⎨⎧=+=-+101222y ax y x ,得()021222=-+x a x a , ∴222112a a x x x M +=+=,2111a x y M M +=-=,4112===ax y k M M OM ,∴42=a , ∴1422=+y x 为所求. 说明:(1)此题求椭圆方程采用的是待定系数法;(2)直线与曲线的综合问题,经常要借用根与系数的关系,来解决弦长、弦中点、弦斜率问题.典型例题四例4椭圆192522=+y x 上不同三点()11y x A ,,⎪⎭⎫⎝⎛594,B ,()22y x C ,与焦点()04,F 的距离成等差数列.(1)求证821=+x x ;(2)若线段AC 的垂直平分线与x 轴的交点为T ,求直线BT 的斜率k . 证明:(1)由椭圆方程知5=a ,3=b ,4=c . 由圆锥曲线的统一定义知:ac x ca AF =-12, ∴ 11545x ex a AF -=-=. 同理 2545x CF -=.∵ BF CF AF 2=+,且59=BF , ∴ 51854554521=⎪⎭⎫ ⎝⎛-+⎪⎭⎫ ⎝⎛-x x ,即 821=+x x .(2)因为线段AC 的中点为⎪⎭⎫⎝⎛+2421y y ,,所以它的垂直平分线方程为()42212121---=+-x y y x x y y y . 又∵点T 在x 轴上,设其坐标为()00,x ,代入上式,得 ()212221024x x y y x --=-又∵点()11y x A ,,()22y x B ,都在椭圆上,∴ ()212125259x y -=()222225259x y -= ∴ ()()21212221259x x x x y y -+-=-.将此式代入①,并利用821=+x x 的结论得 253640-=-x ∴ 4540590=--=x k BT.典型例题五例5 已知椭圆13422=+yx ,1F 、2F 为两焦点,问能否在椭圆上找一点M ,使M 到左准线l 的距离MN 是1MF 与2MF 的等比中项?若存在,则求出点M 的坐标;若不存在,请说明理由.解:假设M 存在,设()11y x M ,,由已知条件得2=a ,3=b ,∴1=c ,21=e . ∵左准线l 的方程是4-=x , ∴14x MN +=. 又由焦半径公式知:111212x ex a MF -=-=, 112212x ex a MF +=+=.∵212MF MF MN ⋅=,∴()⎪⎭⎫ ⎝⎛+⎪⎭⎫ ⎝⎛-=+11212122124x x x .整理得048325121=++x x .解之得41-=x 或5121-=x . ① 另一方面221≤≤-x . ②则①与②矛盾,所以满足条件的点M 不存在. 说明:(1)利用焦半径公式解常可简化解题过程.(2)本例是存在性问题,解决存在性问题,一般用分析法,即假设存在,根据已知条件进行推理和运算.进而根据推理得到的结果,再作判断.(3)本例也可设()θθsin 3cos 2,M 存在,推出矛盾结论(读者自己完成).典型例题六例6 已知椭圆1222=+y x ,求过点⎪⎭⎫⎝⎛2121,P 且被P 平分的弦所在的直线方程.分析一:已知一点求直线,关键是求斜率,故设斜率为k ,利用条件求k . 解法一:设所求直线的斜率为k ,则直线方程为⎪⎭⎫ ⎝⎛-=-2121x k y .代入椭圆方程,并整理得()()0232122212222=+-+--+k k x k kx k .由韦达定理得22212122k kk x x +-=+.∵P 是弦中点,∴121=+x x .故得21-=k .所以所求直线方程为0342=-+y x .分析二:设弦两端坐标为()11y x ,、()22y x ,,列关于1x 、2x 、1y 、2y 的方程组,从而求斜率:2121x x y y --. 解法二:设过⎪⎭⎫⎝⎛2121,P 的直线与椭圆交于()11y x A ,、()22y x B ,,则由题意得⎪⎪⎪⎩⎪⎪⎪⎨⎧=+=+=+=+④1.③1②12①12212122222121y y x x y x y x ,,, ①-②得0222212221=-+-y y x x . ⑤ 将③、④代入⑤得212121-=--x x y y ,即直线的斜率为21-. 所求直线方程为0342=-+y x .说明:(1)有关弦中点的问题,主要有三种类型:过定点且被定点平分的弦;平行弦的中点轨迹;过定点的弦中点轨迹.(2)解法二是“点差法”,解决有关弦中点问题的题较方便,要点是巧代斜率.(3)有关弦及弦中点问题常用的方法是:“韦达定理应用”及“点差法”.有关二次曲线问题也适用.典型例题七例7 求适合条件的椭圆的标准方程.(1)长轴长是短轴长的2倍,且过点()62-,; (2)在x 轴上的一个焦点与短轴两端点的联机互相垂直,且焦距为6.分析:当方程有两种形式时,应分别求解,如(1)题中由12222=+b y a x 求出1482=a ,372=b ,在得方程13714822=+y x 后,不能依此写出另一方程13714822=+x y . 解:(1)设椭圆的标准方程为12222=+b y a x 或12222=+bx a y .由已知b a 2=. ①又过点()62-,,因此有 ()1622222=-+b a 或()1262222=+-ba . ② 由①、②,得1482=a ,372=b 或522=a ,132=b .故所求的方程为13714822=+y x 或1135222=+x y . (2)设方程为12222=+b y a x .由已知,3=c ,3==c b ,所以182=a .故所求方程为191822=+y x . 说明:根据条件求椭圆的标准方程的思路是“选标准,定参数”.关键在于焦点的位置是否确定,若不能确定,应设方程12222=+b y a x 或12222=+bx a y .典型例题八例8 椭圆1121622=+y x 的右焦点为F ,过点()31,A ,点M 在椭圆上,当MF AM 2+为最小值时,求点M 的坐标.分析:本题的关键是求出离心率21=e ,把MF 2转化为M 到右准线的距离,从而得最小值.一般地,求MF eAM 1+均可用此法. 解:由已知:4=a ,2=c .所以21=e ,右准线8=x l :.过A 作l AQ ⊥,垂足为Q ,交椭圆于M ,故MF MQ 2=.显然MF AM 2+的最小值为AQ ,即M 为所求点,因此3=M y ,且M 在椭圆上.故32=M x .所以()332,M .说明:本题关键在于未知式MF AM 2+中的“2”的处理.事实上,如图,21=e ,即MF 是M 到右准线的距离的一半,即图中的MQ ,问题转化为求椭圆上一点M ,使M 到A 的距离与到右准线距离之和取最小值.典型例题九 例9 求椭圆1322=+y x 上的点到直线06=+-y x 的距离的最小值.分析:先写出椭圆的参数方程,由点到直线的距离建立三角函数关系式,求出距离的最小值.解:椭圆的参数方程为⎩⎨⎧==.sin cos 3θθy x ,设椭圆上的点的坐标为()θθsin cos 3,,则点到直线的距离为263sin 226sin cos 3+⎪⎭⎫⎝⎛-=+-=θπθθd . 当13sin -=⎪⎭⎫⎝⎛-θπ时,22=最小值d .说明:当直接设点的坐标不易解决问题时,可建立曲线的参数方程.典型例题十 例10设椭圆的中心是坐标原点,长轴在x 轴上,离心率23=e ,已知点⎪⎭⎫ ⎝⎛230,P 到这个椭圆上的点的最远距离是7,求这个椭圆的方程,并求椭圆上的点P 的距离等于7的点的坐标.分析:本题考查椭圆的性质、距离公式、最大值以及分析问题的能力,在求d 的最大值时,要注意讨论b 的取值范围.此题可以用椭圆的标准方程,也可用椭圆的参数方程,要善于应用不等式、平面几何、三角等知识解决一些综合性问题,从而加强等价转换、形数结合的思想,提高逻辑推理能力.解法一:设所求椭圆的直角坐标方程是12222=+b y a x ,其中0>>b a 待定.由222222221ab a b a ac e -=-==可得 2143112=-=-=e a b ,即b a 2=. 设椭圆上的点()y x ,到点P 的距离是d ,则4931232222222+-+⎪⎪⎭⎫ ⎝⎛-=⎪⎭⎫ ⎝⎛-+=y y b y a y x d 34213493342222++⎪⎭⎫ ⎝⎛+-=+--=b y y y b其中b y b ≤≤-. 如果21<b ,则当b y -=时,2d (从而d )有最大值. 由题设得()22237⎪⎭⎫ ⎝⎛+=b ,由此得21237>-=b ,与21<b 矛盾.因此必有21≥b 成立,于是当21-=y 时,2d (从而d )有最大值. 由题设得()34722+=b,可得1=b ,2=a .∴所求椭圆方程是11422=+y x . 由21-=y 及求得的椭圆方程可得,椭圆上的点⎪⎭⎫ ⎝⎛--213,,点⎪⎭⎫ ⎝⎛-213,到点⎪⎭⎫⎝⎛230,P 的距离是7.解法二:根据题设条件,可取椭圆的参数方程是⎩⎨⎧==θθsin cos b y a x ,其中0>>b a ,待定,πθ20≤≤,θ为参数.由22222221⎪⎭⎫⎝⎛-=-==a b a b a a c e 可得 2143112=-=-=e a b ,即b a 2=. 设椭圆上的点()y x ,到点⎪⎭⎫⎝⎛230,P 的距离为d ,则22222223sin cos 23⎪⎭⎫ ⎝⎛-+=⎪⎭⎫ ⎝⎛-+=θθb a y x d49sin 3sin 34222+--=θθb b b 3421sin 3222++⎪⎭⎫ ⎝⎛+-=b b b θ如果121>b ,即21<b ,则当1sin -=θ时,2d (从而d )有最大值.由题设得()22237⎪⎭⎫ ⎝⎛+=b ,由此得21237>-=b ,与21<b 矛盾,因此必有121≤b成立. 于是当b21sin -=θ时2d (从而d )有最大值. 由题设知()34722+=b,∴1=b ,2=a .∴所求椭圆的参数方程是⎩⎨⎧==θθsin cos 2y x .由21sin -=θ,23cos ±=θ,可得椭圆上的是⎪⎭⎫ ⎝⎛--213,,⎪⎭⎫ ⎝⎛-213,.典型例题十一例11 设x ,R ∈y ,x y x 63222=+,求x y x 222++的最大值和最小值.分析:本题的关键是利用形数结合,观察方程x y x 63222=+与椭圆方程的结构一致.设m x y x =++222,显然它表示一个圆,由此可以画出图形,考虑椭圆及圆的位置关系求得最值.解:由x y x 63222=+,得123492322=+⎪⎪⎪⎪⎭⎫ ⎝⎛-y x 可见它表示一个椭圆,其中心在⎪⎭⎫⎝⎛023,点,焦点在x 轴上,且过(0,0)点和(3,0)点.设m x y x =++222,则 ()1122+=++m y x它表示一个圆,其圆心为(-1,0)半径为()11->+m m .在同一坐标系中作出椭圆及圆,如图所示.观察图形可知,当圆过(0,0)点时,半径最小,即11=+m ,此时0=m ;当圆过(3,0)点时,半径最大,即41=+m ,∴15=m .∴x y x 222++的最小值为0,最大值为15.典型例题十二例12 已知椭圆()012222>>=+b a by a x C :,A 、B 是其长轴的两个端点.(1)过一个焦点F 作垂直于长轴的弦P P ',求证:不论a 、b 如何变化,120≠∠APB .(2)如果椭圆上存在一个点Q ,使 120=∠AQB ,求C 的离心率e 的取值范围.分析:本题从已知条件出发,两问都应从APB ∠和AQB ∠的正切值出发做出估计,因此要从点的坐标、斜率入手.本题的第(2)问中,其关键是根据什么去列出离心率e 满足的不等式,只能是椭圆的固有性质:a x ≤,b y ≤,根据120=∠AQB 得到32222-=-+a y x ay ,将22222y ba a x -=代入,消去x ,用a 、b 、c 表示y ,以便利用b y ≤列出不等式.这里要求思路清楚,计算准确,一气呵成.解:(1)设()0,c F ,()0,a A -,()0,a B . ⎪⎪⎭⎫⎝⎛⇒⎩⎨⎧=+=a b c P b a y a x b c x 2222222, 于是()a c a b k AP+=2,()a c ab k BP -=2.∵APB ∠是AP 到BP 的角.∴()()()2222242221tan ca a c ab ac a b a c a b APB -=-++--=∠ ∵22c a > ∴2tan -<∠APB故3tan -≠∠APB ∴ 120≠∠APB . (2)设()y x Q ,,则a x y k QA +=,ax y k QB -=. 由于对称性,不妨设0>y ,于是AQB ∠是QA 到QB 的角.∴22222221tan a y x ay a x y a x ya x y AQB -+=-++--=∠∵ 120=∠AQB , ∴32222-=-+ay x ay整理得()023222=+-+ay a y x∵22222y ba a x -=∴0213222=+⎪⎪⎭⎫ ⎝⎛-ay y b a∵0≠y , ∴2232c ab y = ∵b y ≤, ∴b c ab ≤2232 232c ab ≤,()222234c c a a ≤-∴04444224≥-+a c a c ,044324≥-+e e ∴232≥e 或22-≤e (舍),∴136<≤e .典型例题十三例13 已知椭圆19822=++y k x 的离心率21=e ,求k 的值. 分析:分两种情况进行讨论.解:当椭圆的焦点在x 轴上时,82+=k a ,92=b ,得12-=k c .由21=e ,得4=k .当椭圆的焦点在y 轴上时,92=a ,82+=k b ,得k c -=12.由21=e ,得4191=-k ,即45-=k . ∴满足条件的4=k 或45-=k .说明:本题易出现漏解.排除错误的办法是:因为8+k 与9的大小关系不定,所以椭圆的焦点可能在x 轴上,也可能在y 轴上.故必须进行讨论.典型例题十四例14 已知椭圆142222=+by b x 上一点P 到右焦点2F 的距离为b )1(>b ,求P 到左准线的距离.分析:利用椭圆的两个定义,或利用第二定义和椭圆两准线的距离求解.解法一:由142222=+by b x ,得b a 2=,b c 3=,23=e .由椭圆定义,b a PF PF 4221==+,得b b b PF b PF 34421=-=-=. 由椭圆第二定义,e d PF =11,1d 为P 到左准线的距离,∴b ePF d 3211==,即P 到左准线的距离为b 32. 解法二:∵e d PF =22,2d 为P 到右准线的距离,23==a c e , ∴b ePF d 33222==.又椭圆两准线的距离为b c a 33822=⋅. ∴P 到左准线的距离为b b b 32332338=-. 说明:运用椭圆的第二定义时,要注意焦点和准线的同侧性.否则就会产生误解.椭圆有两个定义,是从不同的角度反映椭圆的特征,解题时要灵活选择,运用自如.一般地,如遇到动点到两个定点的问题,用椭圆第一定义;如果遇到动点到定直线的距离问题,则用椭圆的第二定义.典型例题十五例15 设椭圆⎩⎨⎧==.sin 32,cos 4ααy x (α为参数)上一点P 与x 轴正向所成角3π=∠POx ,求P 点坐标.分析:利用参数α与POx ∠之间的关系求解.解:设)sin 32,cos 4(ααP ,由P 与x 轴正向所成角为3π, ∴ααπcos 4sin 323tan=,即2tan =α.而0sin >α,0cos >α,由此得到55cos =α,552sin =α, ∴P 点坐标为)5154,554(.典型例题十六例16 设),(00y x P 是离心率为e 的椭圆12222=+by a x )0(>>b a 上的一点,P 到左焦点1F 和右焦点2F 的距离分别为1r 和2r ,求证:01ex a r +=,02ex a r -=. 分析:本题考查椭圆的两个定义,利用椭圆第二定义,可将椭圆上点到焦点的距离转化为点到相应准线距离.解:P 点到椭圆的左准线c a x l 2-=:的距离,ca x PQ 20+=,由椭圆第二定义,e PQPF =1,∴01ex a PQ e r +==,由椭圆第一定义,0122ex a r a r -=-=.说明:本题求证的是椭圆的焦半径公式,在解决与椭圆的焦半径(或焦点弦)的有关问题时,有着广泛的应用.请写出椭圆焦点在y 轴上的焦半径公式.典型例题十七例17 已知椭圆15922=+y x 内有一点)1,1(A ,1F 、2F 分别是椭圆的左、右焦点,点P 是椭圆上一点.(1) 求1PF PA +的最大值、最小值及对应的点P 坐标;(2) 求223PF PA +的最小值及对应的点P 的坐标. 分析:本题考查椭圆中的最值问题,通常探求变量的最值有两种方法:一是目标函数当,即代数方法.二是数形结合,即几何方法.本题若按先建立目标函数,再求最值,则不易解决;若抓住椭圆的定义,转化目标,运用数形结合,就能简捷求解.解:(1)如上图,62=a ,)0,2(2F ,22=AF ,设P 是椭圆上任一点,由6221==+a PF PF ,22AF PF PA -≥,∴26222211-=-=-+≥+AF a AF PF PF PF PA ,等号仅当22AF PF PA -=时成立,此时P 、A 、2F 共线.由22AF PF PA +≤,∴26222211+=+=++≤+AF a AF PF PF PF PA ,等号仅当22AF PF PA +=时成立,此时P 、A 、2F 共线.建立A 、2F 的直线方程02=-+y x ,解方程组⎩⎨⎧=+=-+4595,0222y x y x 得两交点 )2141575,2141579(1+-P 、)2141575,2141579(2-+P . 综上所述,P 点与1P 重合时,1PF PA +取最小值26-,P 点与2P 重合时,2PF PA +取最大值26+.(2)如下图,设P 是椭圆上任一点,作PQ 垂直椭圆右准线,Q 为垂足,由3=a ,2=c ,∴32=e .由椭圆第二定义知322==e PQ PF ,∴223PF PQ =,∴PQ PA PF PA +=+223,要使其和最小需有A 、P 、Q 共线,即求A 到右准线距离.右准线方程为29=x .∴A 到右准线距离为27.此时P 点纵坐标与A 点纵坐标相同为1,代入椭圆得满足条件的点P 坐标)1,556(. 说明:求21PF ePA +的最小值,就是用第二定义转化后,过A 向相应准线作垂线段.巧用焦点半径2PF 与点准距PQ 互化是解决有关问题的重要手段.典型例题十八例18 (1)写出椭圆14922=+y x 的参数方程; (2)求椭圆内接矩形的最大面积.分析:本题考查椭圆的参数方程及其应用.为简化运算和减少未知数的个数,常用椭圆的参数方程表示曲线上一点坐标,所求问题便化归为三角问题.解:(1) ⎩⎨⎧==θθsin 2cos 3y x )(R ∈θ.(2)设椭圆内接矩形面积为S ,由对称性知,矩形的邻边分别平行于x 轴和y轴,设)sin 2,cos 3(θθ为矩形在第一象限的顶点,)20(π<θ<,则122sin 12sin 2cos 34≤=⨯⨯=θθθS 故椭圆内接矩形的最大面积为12.说明:通过椭圆参数方程,转化为三角函数的最值问题,一般地,与圆锥曲线有关的最值问题,用参数方程形式较简便.典型例题十九 例19 已知1F ,2F 是椭圆的两个焦点,P 是椭圆上一点,且︒=∠6021PF F .(1)求椭圆离心率的取值范围;(2)求证21F PF ∆的面积与椭圆短轴长有关. 分析:不失一般性,可以设椭圆方程为12222=+b y a x (0>>b a ),),(11y x P (01>y ). 思路一:根据题设容易想到两条直线的夹角公式,即3160tan 1212=+-=︒PF PF PF PF K K K K ,设),(11y x P ,)0,(1c F -,)0,(2c F ,化简可得03233212121=--+c cy y x .又1221221=+by a x ,两方程联立消去21x 得0323412212=-+b cy b y c ,由],0(1b y ∈,可以确定离心率的取值范围;解出1y 可以求出21F PF ∆的面积,但这一过程很繁.思路二:利用焦半径公式11ex a PF +=,12ex a PF -=,在21F PF ∆中运用余弦定理,求1x ,再利用],[1a a x -∈,可以确定离心率e 的取值范围,将1x 代入椭圆方程中求1y ,便可求出21F PF ∆的面积.思路三:利用正弦定理、余弦定理,结合a PF PF 221=+求解.解:(法1)设椭圆方程为12222=+by a x (0>>b a ),),(11y x P ,)0,(1c F -,)0,(2c F ,0>c ,则11ex a PF +=,12ex a PF -=. 在21F PF ∆中,由余弦定理得))((24)()(2160cos 1122121ex a ex a c ex a ex a -+--++==︒, 解得2222134ea c x -=. (1)∵],0(221a x ∈,∴2222340a ea c <-≤,即0422≥-a c . ∴21≥=a c e . 故椭圆离心率的取范围是)1,21[∈e .(2)将2222134ea c x -=代入12222=+b y a x 得 24213c b y =,即cb y 321=.∴22213332212121b cb c y F F S F PF =⋅⋅=⋅=∆. 即21F PF ∆的面积只与椭圆的短轴长有关.(法2)设m PF =1,n PF =2,α=∠12FPF ,β=∠21F PF , 则︒=+120βα.(1)在21F PF ∆中,由正弦定理得︒==60sin 2sin sin cn m βα. ∴︒=++60sin 2sin sin cn m βα∵a n m 2=+, ∴︒=+60sin 2sin sin 2ca βα,∴2cos 2sin 260sin sin sin 60sin βαβαβα-+︒=+︒==a c e 212cos21≥-=βα.当且仅当βα=时等号成立.故椭圆离心率的取值范围是)1,21[∈e .(2)在21F PF ∆中,由余弦定理得:︒-+=60cos 2)2(222mn n m cmn n m -+=22 mn n m 3)(2-+=∵a n m 2=+,∴mn a c 34422-=,即22234)(34b c a mn =-=. ∴23360sin 2121b mn S F PF =︒=∆. 即21F PF ∆的面积与椭圆短轴长有关.说明:椭圆上的一点P 与两个焦点1F ,2F 构成的三角形为椭圆的焦点三角形,涉及有关焦点三角形问题,通常运用三角形的边角关系定理.解题中通过变形,使之出现21PF PF +的结构,这样就可以应用椭圆的定义,从而可得到有关a ,c 的关系式,使问题找到解决思路.典型例题二十例20 椭圆12222=+by a x )0(>>b a 与x 轴正向交于点A ,若这个椭圆上总存在点P ,使AP OP ⊥(O 为坐标原点),求其离心率e 的取值范围.分析:∵O 、A 为定点,P 为动点,可以P 点坐标作为参数,把AP OP ⊥,转化为P 点坐标的一个等量关系,再利用坐标的范围建立关于a 、b 、c 的一个不等式,转化为关于e 的不等式.为减少参数,易考虑运用椭圆参数方程.解:设椭圆的参数方程是⎩⎨⎧==θθsin cos b y a x )0(>>b a ,则椭圆上的点)sin ,cos (θθb a P ,)0,(a A , ∵AP OP ⊥,∴1cos sin cos sin -=-⋅aa b a b θθθθ,即0cos cos )(22222=+--b a b a θθ,解得1cos =θ或222cos b a b -=θ,∵1cos 1<<-θ ∴1cos =θ(舍去),11222<-<-ba b ,又222c a b -= ∴2022<<ca ,∴22>e ,又10<<e ,∴122<<e . 说明:若已知椭圆离心率范围)1,22(,求证在椭圆上总存在点P 使AP OP ⊥.如何证明?。
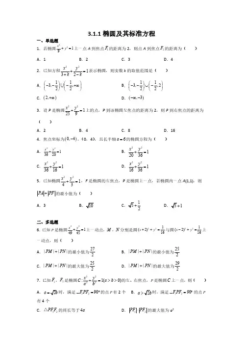
2.2.1椭圆及其标准方程一、选择题1.【题文】已知椭圆221102x y m m +=--,焦点在y 轴上,若焦距为4,则m 等于( ) A .4 B .5 C .7 D .82.【题文】已知椭圆221416x y +=上的一点P 到椭圆一个焦点的距离为5,则P 到另一个焦点的距离为 ( )A .2B .3C .5D .73.【题文】设()14,0F -,()24,0F 为定点,动点M 满足128MF MF +=,则动点M 的轨迹是 ( )A .椭圆B .直线C .圆D .线段4.【题文】已知△ABC 的顶点B 、C 在椭圆2213x y +=上,顶点A 是椭圆的一个焦点,且椭圆的另外一个焦点在BC 边上,则△ABC 的周长l 是 ( )A ..6 C ..125.【题文】如果椭圆2218125x y +=上一点M 到此椭圆一个焦点1F 的距离为2,N 是1MF 的中点,O 是坐标原点,则ON 的长为 ( )A .2B .4C .8D .326.【题文】已知椭圆()22:1,2,04x C y A +=,点P 在椭圆C 上,且OP PA ⊥,其中O 为坐标原点,则点P 的坐标为( )A .2,33⎛⎫±⎪ ⎪⎝⎭ B .2,33⎛⎫± ⎪ ⎪⎝⎭C .2,33⎛-± ⎝⎭D .233⎛⎫-± ⎪ ⎪⎝⎭7.【题文】若△ABC 顶点B ,C 的坐标分别为()4,0-,()4,0,AC ,AB 边上的中线长之和为30,则△ABC 的重心G 的轨迹方程为 ( )A.()221010036x y y +=≠ B.()221010084x y y +=≠ C.()221010036x y x +=≠ D.()221010084x y x +=≠8.【题文】已知12,F F 为椭圆22:14x C y +=的左,右焦点,点P 在C 上,123PF PF =,则12cos F PF ∠等于 ( ) A .34 B .13- C .35- D .45二、填空题9.【题文】椭圆221167x y +=上横坐标为2的点到右焦点的距离为 .10.【题文】已知方程2213+2x y k k+=-表示椭圆,则k 的取值范围为 .11.【题文】椭圆221259x y +=的左焦点为1F ,P 为椭圆上的动点,M 是圆 (221x y +-=上的动点,则1PM PF +的最大值是 .三、解答题12.【题文】已知椭圆的中心在原点,两焦点1F ,2F 在x 轴上,且过点()4,3A -.若12F A F A ⊥,求椭圆的标准方程.13.【题文】求适合下列条件的椭圆的标准方程: (1)焦点在x 轴上,且经过点()2,0和点()0,1;(2)焦点在y 轴上,与y 轴的一个交点为()0,10P -,P 到距它较近的一个焦点的距 离等于2.14.【题文】已知定点1,02A ⎛⎫- ⎪⎝⎭,B 是圆C :22142x y ⎛⎫-+= ⎪⎝⎭上的一个动点,线段AB 的垂直平分线交BC 于M 点,求动点M 的轨迹方程.2.2.1椭圆及其标准方程 参考答案及解析1. 【答案】D【解析】因为焦点在y 轴上,所以2100m m ->->,即610m <<,又 ()()22102m m ---=,所以8m =,故选D. 考点:椭圆的标准方程. 【题型】选择题 【难度】一般 2. 【答案】B【解析】设所求距离为d ,由题意得4a =.根据椭圆的定义得25253a d d a =+⇒=-=,故选B .考点:椭圆的定义. 【题型】选择题 【难度】较易 3. 【答案】D【解析】动点M 满足128MF MF +=,128F F =,故动点M 的轨迹是线段12F F .考点:椭圆的定义. 【题型】选择题 【难度】一般 4. 【答案】C【解析】如图,设椭圆的另外一个焦点为F ,由椭圆的方程知a =ABC 的周长()()4l AB AC BC AB BF AC CF a =++=+++==.考点:椭圆的定义及其应用. 【题型】选择题 【难度】一般 5. 【答案】C【解析】∵椭圆方程为2218125x y +=,∴9a =,根据椭圆的定义得2=18216MF -=, 而ON 是△12MF F 的中位线,∴216822MF ON ===,故选C . 考点:椭圆的定义. 【题型】选择题 【难度】一般 6. 【答案】A【解析】设(),P x y ,由OP PA ⊥,得OP PA ⊥,所以()()()2,2,20OP PA x y x y x x y ⋅=⋅--=--=,与椭圆方程2214x y +=联立,解得23x =(2x =舍去),此时3y =±,即点P 的坐标为2,33⎛± ⎝⎭,故选A.考点:椭圆上点的坐标. 【题型】选择题 【难度】一般 7. 【答案】B【解析】设AC 、AB 边上的中线分别为BD 、CE ,∵23BG BD =,23CG CE =, ∴()22302033BG CG BD CE +=+=⨯=(定值). 因此,重心G 的轨迹为以B 、C 为焦点的椭圆,220a =,4c =,∴10a =,b =,可得椭圆的方程为22110084x y +=.∵当G 点在x 轴上时,A 、B 、C 三点共线,不能构成△ABC ,∴G 的纵坐标不能是0,可得△ABC 的重心G 的轨迹方程为()221010084x y y +=≠,故选B. 考点:椭圆的定义及标准方程. 【题型】选择题 【难度】较难 8. 【答案】B【解析】由题意可知,12F F ==12222344PF PF PF PF PF +=+==,211,3PF PF ∴==,(22222212121212311cos 22313PF PF F F F PF PF PF +-+-∴∠===-⋅⨯⨯,故选B .考点:椭圆的定义,余弦定理. 【题型】选择题 【难度】较难 9. 【答案】2.5【解析】由椭圆方程可知22216,7,9,3a b c c ==∴=∴=,右焦点为()3,0,将2x =代入椭圆方程得2214y =,所以两点间距离为2.5d ==. 考点:椭圆的定义.【题型】填空题 【难度】一般10. 【答案】132,2k k k ⎧⎫-<<≠-⎨⎬⎩⎭且【解析】由椭圆的定义知30,20,32,k k k k +>⎧⎪->⎨⎪+≠-⎩解得132,2k k k ⎧⎫-<<≠-⎨⎬⎩⎭且. 考点:椭圆的定义. 【题型】填空题 【难度】一般 11. 【答案】17【解析】圆(221x y +-=的圆心为(0,C ,半径为1.由椭圆方程221259x y +=可知2225,9a b ==,所以5a =,左焦点为()14,0F -,右焦点为()24,0F .122221010PC PF PC a PF PC PF CF +=+-=+-≤+=,()()11maxmax 117PM PF PC PF +=++=.考点:椭圆的定义. 【题型】填空题 【难度】较难12. 【答案】2214015x y += 【解析】设椭圆的标准方程为()222210x y a b a b+=>>,焦点()1,0F c -,()2,0F c .∵12F A F A ⊥,∴120F A F A ⋅=,而()14,3FA c =-+, ()24,3F A c =--, ∴()()24430c c -+--+=,∴225c =,即5c =.∴()15,0F -,()25,0F .∵122a AF AF =+==∴a=,∴(22222515b a c =-=-=.∴所求椭圆的标准方程为2214015x y +=.考点:椭圆的标准方程. 【题型】解答题 【难度】一般13. 【答案】(1)2214x y +=(2)22110036y x += 【解析】(1)因为椭圆的焦点在x 轴上,所以可设它的标准方程为()222210x y a b a b+=>>. ∵椭圆经过点()2,0和()0,1,∴224,1a b ==,故所求椭圆的标准方程为2214x y +=. (2)∵椭圆的焦点在y 轴上,所以可设它的标准方程为()222210y x a b a b+=>>,∵()0,10P -在椭圆上,∴10a =.又∵P 到距它较近的一个焦点的距离等于2, ∴()102c ---=,故8c =,∴22236b a c =-=.∴所求椭圆的标准方程是22110036y x +=. 考点:椭圆的定义,椭圆的标准方程. 【题型】解答题 【难度】一般14. 【答案】22413y x += 【解析】∵线段AB 的垂直平分线交BC 于M 点,∴MB MA =,又∵2MB MC +=, ∴2MA MC AC +=>,点M 的轨迹是以A 、C 为焦点的椭圆, 此时122,2a c ==,∴1,a =234b =, ∴所求的点M 的轨迹方程是22413y x +=. 考点:椭圆的定义及动点的轨迹方程. 【题型】解答题 【难度】一般。
圆锥曲线标准方程复习题1 椭圆定义:平面内与两个定点21,F F 的距离之和等于常数(大于||21F F =2a )的点的轨迹叫作椭圆,这两个定点21,F F 叫做椭圆的焦点,两焦点间的距离叫做椭圆的焦距(2c )2、椭圆定义的符号表述:1222MF MF a c +=>3、椭圆标准方程:12222=+by a x椭圆的定义、椭圆的标准方程、椭圆的性质(1))0(12222>>=+b a by a x 与直线相交于A 、B ,设弦AB 中点为M(x 0,y 0),则有02020=+k by a x 。
(2))0,0(12222>>=-b a by a x 与直线l 相交于A 、B ,设弦AB 中点为M(x 0,y 0)则有02020=-k by a x (3)y 2=2px (p>0)与直线l 相交于A 、B 设弦AB 中点为M(x 0,y 0),则有2y 0k=2p,即y 0k=p. 一.椭圆专题:1.椭圆两焦点为 1(4,0)F -,2(4,0)F ,P 在椭圆上,若 △12PF F 面积最大值为12,则椭圆方程为( )A.221169x y += B . 221259x y += C . 2212516x y += D . 221254x y += 2.焦点在y 轴上,与y 轴的一个交点为P(0,-10),P 到它较近的一个焦点的距离等于2.求椭圆的标准方程.3.椭圆2214x y +=的两个焦点为12F F ,,过1F 作垂直于x 轴的直线与椭圆相交,一个交点为P ,则2PF 等于4.已知椭圆的方程为18222=+my x ,焦点在x 轴上,则其焦距为( ) A.228m - B.2m -22 C.282-m D.222-m5.椭圆171622=+y x 的左右焦点为21,F F ,一直线过1F 交椭圆于A 、B 两点,则2ABF ∆的周长为 ( )6.已知12F 、F p 为椭圆C 上一点,且7. 已知点P 在椭圆1244922=+y x 上,F 1、F 2是椭圆的焦点,且PF 1求(1)| PF 1 |·| PF 2 | (2)△PF 1F 2的面积8. 椭圆1244922=+x y 上一点P 与两个焦点1F 、2F 的连线互相垂直,则△21的面积为( )A. 20B. 22C. 28D. 24`9.椭圆1422=+y x 的左右焦点为1F 、2F , P 是椭圆上一点,当△21PF F 的面积为1时,21PF PF ⋅的值为( )A. 0B. 1C. 3D. 610(2012新课标)设1F 、2F 是椭圆E :2222x y a b +(0a b >>)的左、右焦点,P 为直线32ax =上一点,21F PF ∆是底角为30°的等腰三角形,则E 的离心率为( )A .12 B .23 C .34 D .4511.在ABC △中,AB BC =,7cos 18B =-.若以A B ,为焦点的椭圆经过点C ,则该椭圆的离心率e = .(2013新课标)12设椭圆C :12222=+by a x (a >b >0)的左、右焦点分别为F 1、F 2,P 是C上的点PF 2⊥F 1F 2,∠P F 1F 2=30。
椭圆练习题一1.如果222=+ky x 表示焦点在y 轴上的椭圆,那么实数k 的取值范围是( )A ()+∞,0B ()2,0C ()+∞,1D ()1,02.椭圆122=+my x 的焦点在y 轴上,长轴长是短轴长的两倍,则m 的值为( )A .41B .21 C .2 D .4 3.椭圆2214x y +=的两个焦点为12F F ,,过1F 作垂直于x 轴的直线与椭圆相交,一个交点为P ,则2PF 等于( )C.72 D.44.椭圆22213x y m m+=-的一个焦点为(01),,则m 等于( ) A.1 B.2-或1D.535.椭圆的短轴为AB ,它的一个焦点为1F ,且满足1ABF △为等边三角形,则a c =( ) A.14 B.126.21,F F 是椭圆17922=+y x 的两个焦点,A 为椭圆上一点,且∠02145=F AF ,则 Δ12AF F 的面积为( )A 7B 47C 27D 257 7.已知椭圆的方程为18222=+my x ,焦点在x 轴上,则其焦距为( ) A.228m - B.2m -22 C.282-m D.222-m 8.方程1)42sin(322=+-παy x 表示椭圆,则α的取值范围是( ) A. 838παπ≤≤- B. k k k (838ππαππ+<<-∈Z) C. 838παπ<<- D. k k k (83282ππαππ+<<-∈Z) 9.已知F 1, F 2是定点,| F 1 F 2|=8, 动点M 满足|M F 1|+|M F 2|=8,则点M 的轨迹是( )(A )椭圆 (B )直线 (C )圆 (D )线段 10.1244922=+y x 上一点P 与椭圆的两个焦点1F 、2F 的连线互相垂直,则△21F PF 的面积为( )A 20B 22C 28D 2411.已知M 是椭圆)0(12222>>=+b a by a x 上一点,两焦点为12,F F ,点P 是12MF F ∆的内心,连接MP 并延长交21F F 于N ,则||||PN MP 的值为( ) A .22b a a - B .22b a b- C .b b a 22- D .b b a 22- 12.椭圆1162522=+y x 上的一点P 到椭圆一个焦点的距离为3,则P 到另一焦点距离为 13.椭圆的对称轴为坐标轴,长轴长与短轴长的和为18,焦距为6,则椭圆的方程为14.1,6==c a ,焦点在y 轴上的椭圆的标准方程是 15.椭圆以坐标轴为对称轴,长、短半轴之和为10,焦距为45,则椭圆方程为 .16.P 点在椭圆452x +202y =1上,F 1,F 2是椭圆的焦点,若PF 1⊥PF 2,则P 点的坐标是 . 17.椭圆5522=+ky x 的一个焦点是)2,0(,那么=k18.椭圆14922=+y x 的焦点1F 、2F ,点P 为其上的动点,当∠1F P 2F 为钝角时,点P 横坐标的取值范围是19.设直线l :y =2x +2,若l 与椭圆x 2+y 24=1的交点为A 、B ,点P 为椭圆上的动点,则使△P AB 的面积为2-1的点P 的个数为________20.两个焦点坐标分别是(-4,0)、(4,0),椭圆上一点P 到两焦点的距离之和等于10的椭圆方程为 ,两个焦点坐标分别是(0,-2)和(0,2)且过(23-,25)的椭圆方程为21.若椭圆的对称轴在坐标轴上,两焦点与两短轴的端点恰好是正方形的四个顶点,且焦点1,求椭圆的方程.。
3.1.1椭圆及其标准方程一、单选题1.若椭圆2219x y +=上一点A 到焦点1F 的距离为2,则点A 到焦点2F 的距离为()A .1B .2C .3D .42.已知方程22132x y k k+=+-表示椭圆,则实数k 的取值范围是()A .113,,22⎛⎫⎛⎫---+∞ ⎪ ⎪⎝⎭⎝⎭B .113,222⎛⎫⎛⎫--⋃- ⎪ ⎪⎝⎭⎝⎭C .()2,+∞D .(),3-∞-3.设P 是椭圆221259x y +=上的点,P 到该椭圆左焦点的距离为2,则P 到右焦点的距离为()A .2B .4C .8D .164.焦点坐标为()0,4-,(0,4),且长半轴6a =的椭圆方程为()A .2213620x y +=B .2212036x y +=C .2213616x y +=D .2211636x y +=5.已知椭圆22143x y +=,F 是椭圆的左焦点,P 是椭圆上一点,若椭圆内一点A (1,1),则PA PF +的最小值为()A .3B C 12D 1二、多选题6.已知P 是椭圆2214945x y +=上一动点,M ,N 分别是圆221(2)16x y ++=与圆221(2)16x y -+=上一动点,则()A .||||PM PN +的最小值为272B .||||PM PN +的最小值为252C .||||PM PN +的最大值为252D .||||PM PN +的最大值为2927.已知1F ,2F 是椭圆2222:1(0)x y C a b a b+=>>的左、右焦点,P 是椭圆C 上一点,则()A .a =时,满足1290F PF ∠=︒的点P 有2个B .a 时,满足1290F PF ∠=︒的点P有4个C .12PF F △的周长等于4aD .12PF PF ⋅的最大值为a 28.已知椭圆E :22194x y +=的左、右焦点分别为1F ,2F ,点P 在E 上,若12F PF △是直角三角形,则12F PF △的面积可能为()A .5B .4C D 三、填空题9.若椭圆的两焦点分别为()14,0F -,()24,0F ,点P 在椭圆上,且三角形12PF F 的面积的最大值为12,则此椭圆方程是________.10.若椭圆23x m +221y m +=1的焦点在y 轴上,则实数m 的取值范围是_______11.已知点()()5,0,5,0M N -,MNP △的周长是36,则MNP △的顶点P 的轨迹方程为___.四、解答题12.曲线C 任意一点P 到点()2,0F 的距离与它到直线4x =的距离之比等于2,求C 的方程.13.求适合下列条件的椭圆的标准方程:(1)椭圆的长半轴为10a =,半焦距长为6c =;(2)经过点(2,3),且与椭圆229436x y +=有共同的焦点;(3)经过(2)P Q --两点.14.已知()()122,0,2,0F F -是椭圆()222210x y a b a b+=>>两个焦点,且椭圆的长轴长为(1)求此椭圆的方程;(2)设点P 在椭圆上,且123F PF π∠=,求12F PF △的面积.参考答案1.D 【分析】利用椭圆的定义有12||||2AF AF a +=,结合已知即可求A 到焦点2F 的距离.【详解】由椭圆方程知:3a =,又12||||2AF AF a +=,1||2AF =,∴21||2||624AF a AF =-=-=.故选:D 2.B根据方程表示椭圆列不等式,由此求得k 的取值范围.【详解】由于方程22132x y k k +=+-表示椭圆,所以3011203,,22232k k k k k+>⎧⎪⎛⎫⎛⎫->⇒∈--⋃-⎨ ⎪ ⎪⎝⎭⎝⎭⎪+≠-⎩.故选:B 3.C 【分析】根据椭圆的定义即可求出.【详解】设该椭圆左焦点为1F ,右焦点为2F ,由题可知5a =,所以12210PF PF a +==,而12=PF ,所以28PF =.故选:C .4.B 【分析】根据题意可知4,6c a ==,即可由222b a c =-求出2b ,再根据焦点位置得出椭圆方程.【详解】因为4,6c a ==,所以22220b a c =-=,而焦点在y 轴上,所以椭圆方程为2212036x y +=.故选:B .5.A 【分析】由椭圆定义把PF 转化为P 到右焦点的距离,然后由平面上到两定点的距离之差最小的性质可得.【详解】设椭圆的右焦点为2F (1,0),21AF =,22||||||4||4||||PA PF PA PF PA PF +=+-=+-,又2||||PA PF -≤2||AF ,222||||||||AF PA PF AF --≤≤,当2P A F ,,三点共线时取等号,||||PA PF +的最小值为3(取最小值时P 是射线2F A 与椭圆的交点),故选:A.6.AD利用圆的方程求出圆心与半径,判断圆心与椭圆的焦点坐标重合,利用圆的性质求解最值即可.【详解】解:圆221(2)16x y ++=与圆221(2)16x y -+=的圆心分别为:(2,0)A -;(2,0)B ,则A 、B 是椭圆2214945x y +=的两个焦点坐标,两个圆的半径为14,所以||||PM PN +的最大值为11129||||2224222PA PB a ++⨯=+=⨯=;||||PM PN +的最小值11127||||2224222PA PB a +-⨯=+=⨯=.故选:AD.7.ABD 【分析】对A 和B ,椭圆中使得12F PF ∠最大的点P 位于短轴的两个端点,利用余弦定理与基本不等式即可得到答案;对C ,结合椭圆定义及a 和c 的大小关系即可得到答案;对D ,结合椭圆定义及基本不等式即可得到答案.【详解】对A 和B ,2222212121212121212||||||(||||)||cos 12||||2||||PF PF F F PF PF F F F PF PF PF PF PF +-+-∠==-⋅⋅又 12||||2PF PF a+=∴212122cos 1||||b F PF PF PF ∠=-⋅又 21212||||||||()2PF PF PF PF +⋅≤∴2221221212222cos 111||||||||()2b b b F PF PF PF PF PF a ∠=-≥-=-+⋅当a =时,2210b a-=,两个短轴端点恰能使1290F PF ∠=︒,A 正确;当a >时,2210b a-<,P 点位于短轴端点时,12F PF ∠为钝角,根据对称性,在四个象限各有一个点能使1290F PF ∠=︒,B 正确;对C , a c >,∴12F PF △的周长为1212||||||224PF PF F F a c a ++=+<,C 错误;对D , 12||||2PF PF a +=,∴221212||||||||()2PF PF PF PF a +⋅≤=,D 正确.故选:ABD .8.BC 【分析】根据对称性只需考虑112PF F F ⊥或12PF PF ⊥,当112PF F F ⊥时,求出1PF 的长,再由面积公式即可求面积,当12PF PF ⊥时,结合122PF PF a +=,()222122PF PF c +=求出12PF PF ⋅,再由面积公式即可求面积.【详解】由22194x y +=可得3a =,2b =,所以c ==根据对称性只需考虑112PF F F ⊥或12PF PF ⊥,当112PF F F ⊥时,将x =22194x y +=可得43y =±,如图:122F F c ==143PF =,所以12F PF △的面积为1423⨯=当12PF PF ⊥时,由椭圆的定义可知:1226PF PF a +==,由勾股定理可得()22212220PF PF c +==,因为()2221212122PF PF PF PF PF PF +=+-⋅,所以1220362PF PF =-⋅,解得:128PF PF ⋅=,此时12F PF △的面积为12142PF PF ⋅=,综上所述:12F PF △的面积为445故选:BC.9.221259x y +=##【分析】根据三角形12PF F 的面积的最大值求得b ,进而求得a ,从而求得椭圆方程.【详解】依题意4,28c c ==,椭圆焦点在x 轴上,三角形12PF F 的面积的最大值为181232b b ⨯⨯=⇒=,所以229165a b c =+=+=,所以椭圆方程为221259x y +=.故答案为:221259x y +=10.01m <<【分析】利用椭圆的标准方程,结合焦点在y 轴上,列出不等关系,求解即可【详解】由题意,2221,3a m b m=+=21030213m m m m +>⎧⎪∴>⎨⎪+>⎩解得:01m <<则实数m 的取值范围是01m <<故答案为:01m <<11.()2210169144x y y +=≠【分析】由于点P 满足36102610PM PN +=-=>,知点P 的轨迹是以M 、N 为焦点,且226a =的椭圆(由于P 与M 、N 不共线,故0y ≠),再利用待定系数法求解.【详解】由于点P 满足36102610PM PN +=-=>,知点P 的轨迹是以M 、N 为焦点,且226a =的椭圆(由于P 与M 、N 不共线,故0y ≠),∴13a =,又5c =,∴22222135144b a c =-=-=,故MNP △的顶点P 的轨迹方程为()2210169144x y y +=≠,故答案为:()2210169144x y y +=≠.12.22184x y +=【分析】设点()P x y ,,根据条件建立等式,化简即可;【详解】设()P x y ,()()2221242x y x ⇒-+=-,化简得:22184x y +=,即C 的方程为:22184x y +=.13.(1)22110064x y +=,或22164100x y +=;(2)2211015x y +=;(3)221155x y +=。
《椭圆》方程典型例题20例典型例题一例1 椭圆的一个顶点为()02,A ,其长轴长是短轴长的2倍,求椭圆的标准方程.分析:题目没有指出焦点的位置,要考虑两种位置.解:(1)当()02,A 为长轴端点时,2=a ,1=b , 椭圆的标准方程为:11422=+y x ; (2)当()02,A 为短轴端点时,2=b ,4=a , 椭圆的标准方程为:116422=+y x ; 说明:椭圆的标准方程有两个,给出一个顶点的坐标和对称轴的位置,是不能确定椭圆的横竖的,因而要考虑两种情况.典型例题二例2 一个椭圆的焦点将其准线间的距离三等分,求椭圆的离心率.解:31222⨯⨯=c a c ∴223a c =, ∴3331-=e . 说明:求椭圆的离心率问题,通常有两种处理方法,一是求a ,求c ,再求比.二是列含a 和c 的齐次方程,再化含e 的方程,解方程即可.典型例题三 例3 已知中心在原点,焦点在x 轴上的椭圆与直线01=-+y x 交于A 、B 两点,M 为AB 中点,OM 的斜率为0.25,椭圆的短轴长为2,求椭圆的方程.解:由题意,设椭圆方程为1222=+y ax ,由⎪⎩⎪⎨⎧=+=-+101222y ax y x ,得()021222=-+x a x a , ∴222112a a x x x M +=+=,2111a x y M M +=-=,4112===ax y k M M OM ,∴42=a , ∴1422=+y x 为所求. 说明:(1)此题求椭圆方程采用的是待定系数法;(2)直线与曲线的综合问题,经常要借用根与系数的关系,来解决弦长、弦中点、弦斜率问题.典型例题四例4椭圆192522=+y x 上不同三点()11y x A ,,⎪⎭⎫⎝⎛594,B ,()22y x C ,与焦点()04,F 的距离成等差数列.(1)求证821=+x x ;(2)若线段AC 的垂直平分线与x 轴的交点为T ,求直线BT 的斜率k . 证明:(1)由椭圆方程知5=a ,3=b ,4=c . 由圆锥曲线的统一定义知:ac x ca AF =-12, ∴ 11545x ex a AF -=-=.同理 2545x CF -=.∵ BF CF AF 2=+,且59=BF , ∴ 51854554521=⎪⎭⎫ ⎝⎛-+⎪⎭⎫ ⎝⎛-x x ,即 821=+x x .(2)因为线段AC 的中点为⎪⎭⎫⎝⎛+2421y y ,,所以它的垂直平分线方程为()42212121---=+-x y y x x y y y . 又∵点T 在x 轴上,设其坐标为()00,x ,代入上式,得 ()212221024x x y y x --=-又∵点()11y x A ,,()22y x B ,都在椭圆上,∴ ()212125259x y -=()222225259x y -= ∴ ()()21212221259x x x x y y -+-=-.将此式代入①,并利用821=+x x 的结论得 253640-=-x ∴ 4540590=--=x k BT.典型例题五例5 已知椭圆13422=+yx ,1F 、2F 为两焦点,问能否在椭圆上找一点M ,使M 到左准线l 的距离MN 是1MF 与2MF 的等比中项?若存在,则求出点M 的坐标;若不存在,请说明理由.解:假设M 存在,设()11y x M ,,由已知条件得2=a ,3=b ,∴1=c ,21=e . ∵左准线l 的方程是4-=x , ∴14x MN +=. 又由焦半径公式知:111212x ex a MF -=-=, 112212x ex a MF +=+=.∵212MF MF MN ⋅=,∴()⎪⎭⎫ ⎝⎛+⎪⎭⎫ ⎝⎛-=+11212122124x x x .整理得048325121=++x x .解之得41-=x 或5121-=x . ① 另一方面221≤≤-x . ②则①与②矛盾,所以满足条件的点M 不存在. 说明:(1)利用焦半径公式解常可简化解题过程.(2)本例是存在性问题,解决存在性问题,一般用分析法,即假设存在,根据已知条件进行推理和运算.进而根据推理得到的结果,再作判断.(3)本例也可设()θθsin 3cos 2,M 存在,推出矛盾结论(读者自己完成).典型例题六例6 已知椭圆1222=+y x ,求过点⎪⎭⎫⎝⎛2121,P 且被P 平分的弦所在的直线方程.分析一:已知一点求直线,关键是求斜率,故设斜率为k ,利用条件求k . 解法一:设所求直线的斜率为k ,则直线方程为⎪⎭⎫ ⎝⎛-=-2121x k y .代入椭圆方程,并整理得()()0232122212222=+-+--+k k x k kx k .由韦达定理得22212122k kk x x +-=+.∵P 是弦中点,∴121=+x x .故得21-=k .所以所求直线方程为0342=-+y x .分析二:设弦两端坐标为()11y x ,、()22y x ,,列关于1x 、2x 、1y 、2y 的方程组,从而求斜率:2121x x y y --. 解法二:设过⎪⎭⎫⎝⎛2121,P 的直线与椭圆交于()11y x A ,、()22y x B ,,则由题意得⎪⎪⎪⎩⎪⎪⎪⎨⎧=+=+=+=+④1.③1②12①12212122222121y y x x y x y x ,,, ①-②得0222212221=-+-y y x x . ⑤ 将③、④代入⑤得212121-=--x x y y ,即直线的斜率为21-. 所求直线方程为0342=-+y x .说明:(1)有关弦中点的问题,主要有三种类型:过定点且被定点平分的弦;平行弦的中点轨迹;过定点的弦中点轨迹.(2)解法二是“点差法”,解决有关弦中点问题的题较方便,要点是巧代斜率.(3)有关弦及弦中点问题常用的方法是:“韦达定理应用”及“点差法”.有关二次曲线问题也适用.典型例题七例7 求适合条件的椭圆的标准方程.(1)长轴长是短轴长的2倍,且过点()62-,; (2)在x 轴上的一个焦点与短轴两端点的联机互相垂直,且焦距为6.分析:当方程有两种形式时,应分别求解,如(1)题中由12222=+b y a x 求出1482=a ,372=b ,在得方程13714822=+y x 后,不能依此写出另一方程13714822=+x y .解:(1)设椭圆的标准方程为12222=+b y a x 或12222=+bx a y .由已知b a 2=. ①又过点()62-,,因此有 ()1622222=-+b a 或()1262222=+-ba . ② 由①、②,得1482=a ,372=b 或522=a ,132=b .故所求的方程为13714822=+y x 或1135222=+x y .(2)设方程为12222=+b y a x .由已知,3=c ,3==c b ,所以182=a .故所求方程为191822=+y x . 说明:根据条件求椭圆的标准方程的思路是“选标准,定参数”.关键在于焦点的位置是否确定,若不能确定,应设方程12222=+b y a x 或12222=+bx a y .典型例题八例8 椭圆1121622=+y x 的右焦点为F ,过点()31,A ,点M 在椭圆上,当MF AM 2+为最小值时,求点M 的坐标.分析:本题的关键是求出离心率21=e ,把MF 2转化为M 到右准线的距离,从而得最小值.一般地,求MF eAM 1+均可用此法. 解:由已知:4=a ,2=c .所以21=e ,右准线8=x l :.过A 作l AQ ⊥,垂足为Q ,交椭圆于M ,故MF MQ 2=.显然MF AM 2+的最小值为AQ ,即M 为所求点,因此3=M y ,且M 在椭圆上.故32=M x .所以()332,M .说明:本题关键在于未知式MF AM 2+中的“2”的处理.事实上,如图,21=e ,即MF 是M 到右准线的距离的一半,即图中的MQ ,问题转化为求椭圆上一点M ,使M 到A 的距离与到右准线距离之和取最小值.典型例题九 例9 求椭圆1322=+y x 上的点到直线06=+-y x 的距离的最小值.分析:先写出椭圆的参数方程,由点到直线的距离建立三角函数关系式,求出距离的最小值.解:椭圆的参数方程为⎩⎨⎧==.sin cos 3θθy x ,设椭圆上的点的坐标为()θθsin cos 3,,则点到直线的距离为263sin 226sin cos 3+⎪⎭⎫⎝⎛-=+-=θπθθd . 当13sin -=⎪⎭⎫⎝⎛-θπ时,22=最小值d .说明:当直接设点的坐标不易解决问题时,可建立曲线的参数方程.典型例题十 例10设椭圆的中心是坐标原点,长轴在x 轴上,离心率23=e ,已知点⎪⎭⎫ ⎝⎛230,P 到这个椭圆上的点的最远距离是7,求这个椭圆的方程,并求椭圆上的点P 的距离等于7的点的坐标.分析:本题考查椭圆的性质、距离公式、最大值以及分析问题的能力,在求d 的最大值时,要注意讨论b 的取值范围.此题可以用椭圆的标准方程,也可用椭圆的参数方程,要善于应用不等式、平面几何、三角等知识解决一些综合性问题,从而加强等价转换、形数结合的思想,提高逻辑推理能力.解法一:设所求椭圆的直角坐标方程是12222=+b y a x ,其中0>>b a 待定.由222222221ab a b a ac e -=-==可得 2143112=-=-=e a b ,即b a 2=. 设椭圆上的点()y x ,到点P 的距离是d ,则4931232222222+-+⎪⎪⎭⎫ ⎝⎛-=⎪⎭⎫ ⎝⎛-+=y y b y a y x d 34213493342222++⎪⎭⎫ ⎝⎛+-=+--=b y y y b其中b y b ≤≤-. 如果21<b ,则当b y -=时,2d (从而d )有最大值. 由题设得()22237⎪⎭⎫ ⎝⎛+=b ,由此得21237>-=b ,与21<b 矛盾.因此必有21≥b 成立,于是当21-=y 时,2d (从而d )有最大值. 由题设得()34722+=b,可得1=b ,2=a .∴所求椭圆方程是11422=+y x . 由21-=y 及求得的椭圆方程可得,椭圆上的点⎪⎭⎫ ⎝⎛--213,,点⎪⎭⎫ ⎝⎛-213,到点⎪⎭⎫⎝⎛230,P 的距离是7.解法二:根据题设条件,可取椭圆的参数方程是⎩⎨⎧==θθsin cos b y a x ,其中0>>b a ,待定,πθ20≤≤,θ为参数.由22222221⎪⎭⎫⎝⎛-=-==a b a b a a c e 可得 2143112=-=-=e a b ,即b a 2=. 设椭圆上的点()y x ,到点⎪⎭⎫⎝⎛230,P 的距离为d ,则22222223sin cos 23⎪⎭⎫ ⎝⎛-+=⎪⎭⎫ ⎝⎛-+=θθb a y x d49sin 3sin 34222+--=θθb b b 3421sin 3222++⎪⎭⎫ ⎝⎛+-=b b b θ如果121>b ,即21<b ,则当1sin -=θ时,2d (从而d )有最大值.由题设得()22237⎪⎭⎫ ⎝⎛+=b ,由此得21237>-=b ,与21<b 矛盾,因此必有121≤b成立. 于是当b21sin -=θ时2d (从而d )有最大值. 由题设知()34722+=b,∴1=b ,2=a .∴所求椭圆的参数方程是⎩⎨⎧==θθsin cos 2y x .由21sin -=θ,23cos ±=θ,可得椭圆上的是⎪⎭⎫ ⎝⎛--213,,⎪⎭⎫ ⎝⎛-213,.典型例题十一例11 设x ,R ∈y ,x y x 63222=+,求x y x 222++的最大值和最小值.分析:本题的关键是利用形数结合,观察方程x y x 63222=+与椭圆方程的结构一致.设m x y x =++222,显然它表示一个圆,由此可以画出图形,考虑椭圆及圆的位置关系求得最值.解:由x y x 63222=+,得123492322=+⎪⎪⎪⎪⎭⎫ ⎝⎛-y x 可见它表示一个椭圆,其中心在⎪⎭⎫⎝⎛023,点,焦点在x 轴上,且过(0,0)点和(3,0)点.设m x y x =++222,则 ()1122+=++m y x它表示一个圆,其圆心为(-1,0)半径为()11->+m m .在同一坐标系中作出椭圆及圆,如图所示.观察图形可知,当圆过(0,0)点时,半径最小,即11=+m ,此时0=m ;当圆过(3,0)点时,半径最大,即41=+m ,∴15=m .∴x y x 222++的最小值为0,最大值为15.典型例题十二例12 已知椭圆()012222>>=+b a by a x C :,A 、B 是其长轴的两个端点.(1)过一个焦点F 作垂直于长轴的弦P P ',求证:不论a 、b 如何变化,120≠∠APB .(2)如果椭圆上存在一个点Q ,使 120=∠A Q B ,求C 的离心率e 的取值范围.分析:本题从已知条件出发,两问都应从APB ∠和AQB ∠的正切值出发做出估计,因此要从点的坐标、斜率入手.本题的第(2)问中,其关键是根据什么去列出离心率e 满足的不等式,只能是椭圆的固有性质:a x ≤,b y ≤,根据120=∠AQB 得到32222-=-+a y x ay ,将22222y ba a x -=代入,消去x ,用a 、b 、c 表示y ,以便利用b y ≤列出不等式.这里要求思路清楚,计算准确,一气呵成.解:(1)设()0,c F ,()0,a A -,()0,a B . ⎪⎪⎭⎫⎝⎛⇒⎩⎨⎧=+=a b c P b a y a x b c x 2222222, 于是()a c a b k AP+=2,()a c ab k BP -=2.∵APB ∠是AP 到BP 的角.∴()()()2222242221tan ca a c ab ac a b a c a b APB -=-++--=∠ ∵22c a > ∴2tan -<∠APB故3tan -≠∠APB ∴ 120≠∠APB . (2)设()y x Q ,,则a x y k QA +=,ax y k QB -=. 由于对称性,不妨设0>y ,于是AQB ∠是QA 到QB 的角.∴22222221tan a y x ay a x y a x ya x y AQB -+=-++--=∠∵ 120=∠AQB , ∴32222-=-+ay x ay整理得()023222=+-+ay a y x∵22222y ba a x -=∴0213222=+⎪⎪⎭⎫ ⎝⎛-ay y b a∵0≠y , ∴2232c ab y = ∵b y ≤, ∴b c ab ≤2232 232c ab ≤,()222234c c a a ≤-∴04444224≥-+a c a c ,044324≥-+e e ∴232≥e 或22-≤e (舍),∴136<≤e .典型例题十三例13 已知椭圆19822=++y k x 的离心率21=e ,求k 的值. 分析:分两种情况进行讨论.解:当椭圆的焦点在x 轴上时,82+=k a ,92=b ,得12-=k c .由21=e ,得4=k .当椭圆的焦点在y 轴上时,92=a ,82+=k b ,得k c -=12.由21=e ,得4191=-k ,即45-=k . ∴满足条件的4=k 或45-=k .说明:本题易出现漏解.排除错误的办法是:因为8+k 与9的大小关系不定,所以椭圆的焦点可能在x 轴上,也可能在y 轴上.故必须进行讨论.典型例题十四例14 已知椭圆142222=+by b x 上一点P 到右焦点2F 的距离为b )1(>b ,求P 到左准线的距离.分析:利用椭圆的两个定义,或利用第二定义和椭圆两准线的距离求解.解法一:由142222=+by b x ,得b a 2=,b c 3=,23=e .由椭圆定义,b a PF PF 4221==+,得b b b PF b PF 34421=-=-=. 由椭圆第二定义,e d PF =11,1d 为P 到左准线的距离,∴b ePF d 3211==,即P 到左准线的距离为b 32. 解法二:∵e d PF =22,2d 为P 到右准线的距离,23==a c e , ∴b ePF d 33222==.又椭圆两准线的距离为b c a 33822=⋅. ∴P 到左准线的距离为b b b 32332338=-. 说明:运用椭圆的第二定义时,要注意焦点和准线的同侧性.否则就会产生误解.椭圆有两个定义,是从不同的角度反映椭圆的特征,解题时要灵活选择,运用自如.一般地,如遇到动点到两个定点的问题,用椭圆第一定义;如果遇到动点到定直线的距离问题,则用椭圆的第二定义.典型例题十五例15 设椭圆⎩⎨⎧==.sin 32,cos 4ααy x (α为参数)上一点P 与x 轴正向所成角3π=∠POx ,求P 点坐标.分析:利用参数α与POx ∠之间的关系求解.解:设)sin 32,cos 4(ααP ,由P 与x 轴正向所成角为3π, ∴ααπcos 4sin 323tan=,即2tan =α.而0sin >α,0cos >α,由此得到55cos =α,552sin =α, ∴P 点坐标为)5154,554(.典型例题十六例16 设),(00y x P 是离心率为e 的椭圆12222=+by a x )0(>>b a 上的一点,P 到左焦点1F 和右焦点2F 的距离分别为1r 和2r ,求证:01ex a r +=,02ex a r -=. 分析:本题考查椭圆的两个定义,利用椭圆第二定义,可将椭圆上点到焦点的距离转化为点到相应准线距离.解:P 点到椭圆的左准线c a x l 2-=:的距离,ca x PQ 20+=,由椭圆第二定义,e PQPF =1,∴01ex a PQ e r +==,由椭圆第一定义,0122ex a r a r -=-=.说明:本题求证的是椭圆的焦半径公式,在解决与椭圆的焦半径(或焦点弦)的有关问题时,有着广泛的应用.请写出椭圆焦点在y 轴上的焦半径公式.典型例题十七例17 已知椭圆15922=+y x 内有一点)1,1(A ,1F 、2F 分别是椭圆的左、右焦点,点P 是椭圆上一点.(1) 求1PF PA +的最大值、最小值及对应的点P 坐标;(2) 求223PF PA +的最小值及对应的点P 的坐标. 分析:本题考查椭圆中的最值问题,通常探求变量的最值有两种方法:一是目标函数当,即代数方法.二是数形结合,即几何方法.本题若按先建立目标函数,再求最值,则不易解决;若抓住椭圆的定义,转化目标,运用数形结合,就能简捷求解.解:(1)如上图,62=a ,)0,2(2F ,22=AF ,设P 是椭圆上任一点,由6221==+a PF PF ,22AF PF PA -≥,∴26222211-=-=-+≥+AF a AF PF PF PF PA ,等号仅当22AF PF PA -=时成立,此时P 、A 、2F 共线.由22AF PF PA +≤,∴26222211+=+=++≤+AF a AF PF PF PF PA ,等号仅当22AF PF PA +=时成立,此时P 、A 、2F 共线.建立A 、2F 的直线方程02=-+y x ,解方程组⎩⎨⎧=+=-+4595,0222y x y x 得两交点 )2141575,2141579(1+-P 、)2141575,2141579(2-+P . 综上所述,P 点与1P 重合时,1PF PA +取最小值26-,P 点与2P 重合时,2PF PA +取最大值26+.(2)如下图,设P 是椭圆上任一点,作PQ 垂直椭圆右准线,Q 为垂足,由3=a ,2=c ,∴32=e .由椭圆第二定义知322==e PQ PF ,∴223PF PQ =,∴PQ PA PF PA +=+223,要使其和最小需有A 、P 、Q 共线,即求A 到右准线距离.右准线方程为29=x .∴A 到右准线距离为27.此时P 点纵坐标与A 点纵坐标相同为1,代入椭圆得满足条件的点P 坐标)1,556(. 说明:求21PF ePA +的最小值,就是用第二定义转化后,过A 向相应准线作垂线段.巧用焦点半径2PF 与点准距PQ 互化是解决有关问题的重要手段.典型例题十八例18 (1)写出椭圆14922=+y x 的参数方程; (2)求椭圆内接矩形的最大面积.分析:本题考查椭圆的参数方程及其应用.为简化运算和减少未知数的个数,常用椭圆的参数方程表示曲线上一点坐标,所求问题便化归为三角问题.解:(1) ⎩⎨⎧==θθsin 2cos 3y x )(R ∈θ.(2)设椭圆内接矩形面积为S ,由对称性知,矩形的邻边分别平行于x 轴和y轴,设)sin 2,cos 3(θθ为矩形在第一象限的顶点,)20(π<θ<,则122sin 12sin 2cos 34≤=⨯⨯=θθθS 故椭圆内接矩形的最大面积为12.说明:通过椭圆参数方程,转化为三角函数的最值问题,一般地,与圆锥曲线有关的最值问题,用参数方程形式较简便.典型例题十九 例19 已知1F ,2F 是椭圆的两个焦点,P 是椭圆上一点,且︒=∠6021PF F .(1)求椭圆离心率的取值范围;(2)求证21F PF ∆的面积与椭圆短轴长有关. 分析:不失一般性,可以设椭圆方程为12222=+b y a x (0>>b a ),),(11y x P (01>y ). 思路一:根据题设容易想到两条直线的夹角公式,即3160tan 1212=+-=︒PF PF PF PF K K K K ,设),(11y x P ,)0,(1c F -,)0,(2c F ,化简可得03233212121=--+c cy y x .又1221221=+by a x ,两方程联立消去21x 得0323412212=-+b cy b y c ,由],0(1b y ∈,可以确定离心率的取值范围;解出1y 可以求出21F PF ∆的面积,但这一过程很繁.思路二:利用焦半径公式11ex a PF +=,12ex a PF -=,在21F PF ∆中运用余弦定理,求1x ,再利用],[1a a x -∈,可以确定离心率e 的取值范围,将1x 代入椭圆方程中求1y ,便可求出21F PF ∆的面积.思路三:利用正弦定理、余弦定理,结合a PF PF 221=+求解.解:(法1)设椭圆方程为12222=+by a x (0>>b a ),),(11y x P ,)0,(1c F -,)0,(2c F ,0>c ,则11ex a PF +=,12ex a PF -=. 在21F PF ∆中,由余弦定理得))((24)()(2160cos 1122121ex a ex a c ex a ex a -+--++==︒, 解得2222134ea c x -=. (1)∵],0(221a x ∈,∴2222340a ea c <-≤,即0422≥-a c . ∴21≥=a c e . 故椭圆离心率的取范围是)1,21[∈e .(2)将2222134ea c x -=代入12222=+b y a x 得 24213c b y =,即cb y 321=.∴22213332212121b cb c y F F S F PF =⋅⋅=⋅=∆. 即21F PF ∆的面积只与椭圆的短轴长有关.(法2)设m PF =1,n PF =2,α=∠12FPF ,β=∠21F PF , 则︒=+120βα.(1)在21F PF ∆中,由正弦定理得︒==60sin 2sin sin cn m βα. ∴︒=++60sin 2sin sin cn m βα∵a n m 2=+, ∴︒=+60sin 2sin sin 2ca βα,∴2cos 2sin 260sin sin sin 60sin βαβαβα-+︒=+︒==a c e 212cos21≥-=βα.当且仅当βα=时等号成立.故椭圆离心率的取值范围是)1,21[∈e .(2)在21F PF ∆中,由余弦定理得:︒-+=60cos 2)2(222mn n m cmn n m -+=22 mn n m 3)(2-+=∵a n m 2=+,∴mn a c 34422-=,即22234)(34b c a mn =-=.∴23360sin 2121b mn S F PF =︒=∆. 即21F PF ∆的面积与椭圆短轴长有关.说明:椭圆上的一点P 与两个焦点1F ,2F 构成的三角形为椭圆的焦点三角形,涉及有关焦点三角形问题,通常运用三角形的边角关系定理.解题中通过变形,使之出现21PF PF +的结构,这样就可以应用椭圆的定义,从而可得到有关a ,c 的关系式,使问题找到解决思路.典型例题二十例20 椭圆12222=+by a x )0(>>b a 与x 轴正向交于点A ,若这个椭圆上总存在点P ,使AP OP ⊥(O 为坐标原点),求其离心率e 的取值范围.分析:∵O 、A 为定点,P 为动点,可以P 点坐标作为参数,把AP OP ⊥,转化为P 点坐标的一个等量关系,再利用坐标的范围建立关于a 、b 、c 的一个不等式,转化为关于e 的不等式.为减少参数,易考虑运用椭圆参数方程.解:设椭圆的参数方程是⎩⎨⎧==θθsin cos b y a x )0(>>b a ,则椭圆上的点)sin ,cos (θθb a P ,)0,(a A , ∵AP OP ⊥,∴1cos sin cos sin -=-⋅aa b a b θθθθ,即0cos cos )(22222=+--b a b a θθ,解得1cos =θ或222cos b a b -=θ,∵1cos 1<<-θ ∴1cos =θ(舍去),11222<-<-b a b ,又222c a b -= ∴2022<<ca ,∴22>e ,又10<<e ,∴122<<e . 说明:若已知椭圆离心率范围)1,22(,求证在椭圆上总存在点P 使AP OP ⊥.如何证明?。
定义及标准方程一、单选题(共28题;共56分)1.已知椭圆+=1的两个焦点F1,F2,M是椭圆上一点,且|MF1|-|MF2|=1,则△MF1F2是( )A. 钝角三角形B. 直角三角形C. 锐角三角形D. 等边三角形2.已知椭圆上的一点到左焦点的距离为6,则点到右焦点的距离为()A. 4B. 6C. 7D. 143.已知椭圆的两个焦点是,椭圆上任意一点与两焦点距离的和等于4,则椭圆C的离心率为()A. B. C. D. 24.如果方程表示焦点在轴上的椭圆,则的取值范围是().A. B. C. D.5.已知椭圆的一点到椭圆的一个焦点的距离等于6,那么点到椭圆的另一个焦点的距离等于( )A. 2B. 4C. 6D. 86.椭圆的左右焦点分别为,,一条直线经过与椭圆交于,两点,则的周长为()A. B. 6 C. D. 127.已知椭圆的一个焦点坐标为,则k的值为()A. 1B. 3C. 9D. 818.已知椭圆的中点在原点,焦点在轴上,且长轴长为,离心率为,则椭圆的方程为().A. B. C. D.9.椭圆的焦距为8,且椭圆的长轴长为10,则该椭圆的标准方程是()A. B. 或C. D. 或10.方程表示焦点在轴上的椭圆,则的取值范围是()A. B. C. D.11.若直线经过椭圆的一个焦点和一个顶点,则该椭圆的标准方程为()A. B. C. 或 D. 以上答案都不对12.已知椭圆C:中,,,则该椭圆标准方程为A. B. C. D.13.已知方程的曲线是焦点在轴上的椭圆,则实数的取值范围是()A. B. C. D. 且14.已知椭圆的两个焦点是,且点在椭圆上,则椭圆的标准方程是()A. B. C. D.15.P为椭圆上一点,、为左右焦点,若则△的面积为()A. B. C. 1 D. 316.已知椭圆:()的左、右焦点为,,离心率为,过的直线交于,两点.若的周长为,则的方程为()A. B. C. D.17.以双曲线的焦点为顶点,顶点为焦点的椭圆方程为( )A. B. C. D.18.椭圆的焦点在轴上,中心在原点,其短轴上的两个顶点和两个焦点恰好为边长为的正方形的顶点,则椭圆的标准方程为()A. B. C. D.19.椭圆的焦距为2,则m的值等于A. 5或3B. 8C. 5D. 或20.焦点坐标为,长轴长为10,则此椭圆的标准方程为()A. B. C. D.21.点A(a,1)在椭圆的内部,则a的取值范围是()A. -<a<B. a<-或a>C. -2<a<2D. -1<a<122.已知方程表示焦点在轴上的椭圆,则的取值范围是()A. B. C. D.23.椭圆的一个焦点坐标是()A. B. C. D.24.已知F1F2为椭圆的两个焦点,过F2作椭圆的弦AB,若的周长为16,椭圆的离心率,则椭圆的方程为()A. B. C. D.25.“”是“方程表示焦点在y轴上的椭圆”的( )A. 充分而不必要条件B. 必要而不充分条件C. 充要条件D. 既不充分也不必要条件26.已知、为椭圆两个焦点,P为椭圆上一点且,则()A. 3B. 9C. 4D. 527.已知椭圆的焦点在轴上,离心率为,则的值为()A. B. C. D. 或28.方程2x2+ky2=1表示的是焦点在y轴上的椭圆,则实数k的取值范围是( )A. (0,+∞)B. (2,+∞)C. (0,2)D. (0,1)二、填空题(共17题;共19分)29.已知椭圆中心在原点,一个焦点为,且长轴长是短轴长的2倍.则该椭圆的长轴长为________;其标准方程是________.30.已知椭圆的左、右两个焦点分别为,若经过的直线与椭圆相交于两点,则的周长等于________31.已知F1,F2为椭圆的两个焦点,过F1的直线交椭圆于A,B两点,若|F2A|+|F2B|=12,则|AB|=________.32.已知两定点、,且是与的等差中项,则动点P的轨迹方程是________ .33.已知点,点B是圆F:(F为圆心)上一动点,线段AB的垂直平分线交于点,则动点的轨迹方程为________.34.已知椭圆C:,点M与C的焦点不重合,若M关于C的焦点的对称点分别为A,B,线段MN的中点在C上,则________.35.已知椭圆:的左、右焦点分别为、,以为圆心作半经为1的圆,为椭圆上一点,为圆上一点,则的取值范围为________.36.焦点在x轴上,短轴长等于16,离心率等于的椭圆的标准方程为________.37.椭圆的焦点为,点P在椭圆上,若,则的大小为________.38.P是椭圆上的点,F1和F2是该椭圆的焦点,则k=|PF1|·|PF2|的最大值是________。
椭圆及其标准方程(45分钟 100分)一、选择题(每小题6分,共30分)1.已知焦点坐标为(0,-4),(0,4),且a=6的椭圆方程是( )A.+=1B.+=1C.+=1D.+=12.(2013·重庆高二检测)椭圆+=1的一个焦点坐标为(3,0),那么m的值为( )A.-16B.-4C.16D.43.(2013·珠海高二检测)已知△ABC的顶点B,C在椭圆+y2=1上,顶点A是椭圆的一个焦点,且椭圆的另外一个焦点在BC边上,则△ABC的周长是( )A.2B.6C.4D.124.(2013·安阳高二检测)如图,椭圆+=1上的点M到焦点F1的距离为2,N为MF1的中点,则|ON|(O为坐标原点)的值为( )A.8B.2C.4D.5.设α∈(0,),方程x2sinα+y2cosα=1表示焦点在y轴上的椭圆,则α的取值范围是( )A.(0,)B.(0,]C.(,)D.[,)二、填空题(每小题8分,共24分)6.已知椭圆+=1的焦点在y轴上,且焦距为4,则m等于.7.(2013·汕头高二检测)已知F1,F2为椭圆+=1的两个焦点,过F1的直线交椭圆于A,B两点.若|F2A|+|F2B|=12,则|AB|= .8.F1,F2分别为椭圆+=1(a>b>0)的左、右焦点,点P在椭圆上,△POF2是面积为的正三角形,则b2的值是.三、解答题(9题,10题14分,11题18分)9.等腰直角三角形ABC中,斜边BC长为4,一个椭圆以C为其中一个焦点,另一个焦点在线段AB上,且椭圆经过A,B两点,求该椭圆的标准方程.10.已知椭圆的焦点在x轴上,且焦距为4,P为椭圆上一点,且|F1F2|是|PF1|和|PF2|的等差中项.(1)求椭圆的标准方程.(2)若△PF1F2的面积为2,求P点坐标.11.(能力挑战题)已知P是椭圆+y2=1上的任意一点,F1,F2为椭圆的两焦点.(1)求|PF1|·|PF2|的最大值.(2)求|PF1|2+|PF2|2的最小值.答案解析1.【解析】选B.由条件知,椭圆的焦点在y轴上,且c=4,a=6,∴b2=a2-c2=36-16=20,∴其标准方程为+=1.2.【解析】选C.由条件知,椭圆焦点在x轴上且c=3.∴由25-m=32,得m=16.【举一反三】若题中焦点坐标由“(3,0)”改为“(0,3)”,结果如何?【解析】∵焦点坐标为(0,3),∴焦点在y轴上且c=3.由m-25=9,得m=34.3.【解析】选C.设椭圆的另一焦点为F,则|BA|+|BF|=2a=2,|CA|+|CF|=2a=2,由条件可得,△ABC的周长是|AB|+|AC|+|BC|=|BA|+|BF|+ |CA|+|CF|=4a=4.4.【解题指南】结合平面图形的性质可知ON为△MF1F2的中位线,所以首先由定义求出|MF2|,进而求得ON.【解析】选C.∵O为F1F2的中点,N为MF1的中点,∴ON∥MF2且|ON|=|MF2|.∵|MF1|+|MF2|=2a=10,∴|MF2|=10-|MF1|=10-2=8,∴ON=4.5.【解析】选C.由题意可知<,∴sinα>cosα>0,又∵α∈(0,),解得<α<.【变式备选】(2013·邵阳高二检测)“m>n>0”是“方程mx2+ny2=1表示焦点在y 轴上的椭圆”的( )A.充分不必要条件B.必要不充分条件C.充要条件D.既不充分也不必要条件【解析】选C.m>n>0⇔0<<⇔mx2+ny2=1表示焦点在y轴上的椭圆,故选C. 6.【解析】由条件可知,2c=4,即c=2,∴(m-2)-(10-m)=c2=4,解得m=8.答案:87.【解题指南】由椭圆的定义可以求出△ABF2的周长,从而结合已知求出|AB|.【解析】由椭圆的定义可知|AF1|+|AF2|=2a=10,|BF1|+|BF2|=2a=10,∴|AB|+|AF2|+|BF2|=20,又∵|F2A|+|F2B|=12,∴|AB|=8.答案:88.【解析】设|OF2|=c,∴c2=,即c=2.∴a2=b2+4,又点P的坐标为(1,±),点P在椭圆上,∴+=1.解得b2=2.答案:2【误区警示】解题过程中,往往不能将a,b,c的意义与△POF2的边长联系起来,从而很难列出方程组求解.9.【解题指南】建立适当的坐标系,设出椭圆标准方程,而后求解椭圆中的a,b,c 即可.【解析】如图,设椭圆的方程为+=1(a>b>0),有|AM|+|AC|=2a,|BM|+|BC|=2a,两式相加,得8+4=4a,∴a=2+,|AM|=2a-|AC|=4+2-4=2.在直角三角形AMC中,∵|MC|2=|AM|2+|AC|2=8+16=24,∴c2=6,b2=4.故所求椭圆的标准方程为+=1.10.【解题指南】(1)由条件“|F1F2|是|PF1|和|PF2|的等差中项”求出a,从而得b2后写出椭圆方程.(2)根据面积可以先确定出点P的纵坐标,再代入方程求横坐标.【解析】(1)由题意知,2c=4,c=2.且|PF1|+|PF2|=2|F1F2|=8,即2a=8,∴a=4.∴b2=a2-c2=16-4=12.又椭圆的焦点在x轴上,∴椭圆的方程为+=1.(2)设P点坐标为(x0,y0),依题意知,|F1F2|·|y0|=2,∴|y0|=,y0=±,代入椭圆方程+=1得,x0=±2,∴P点坐标为(2,)或(2,-)或(-2,)或(-2,-).11.【解析】(1)∵椭圆方程为+y2=1,∴a=2,b=1,∴c=,即|F1F2|=2.又∵|PF1|+|PF2|=2a=4,∴|PF1|·|PF2|≤()2=()2=4,当且仅当|PF1|=|PF2|=2时取“=”,此时点P是短轴顶点,∴|PF1|·|PF2|的最大值为4.(2)∵|PF1|2+|PF2|2≥2|PF1|·|PF2|,∴2(|PF1|2+|PF2|2)≥|PF1|2+|PF2|2+2|PF1|·|PF2|=(|PF1|+|PF2|)2,∴|PF1|2+|PF2|2≥(|PF1|+|PF2|)2=×16=8,当且仅当|PF1|=|PF2|=2时取“=”.∴|PF1|2+|PF2|2的最小值为8.【拓展提升】揭秘焦点三角形椭圆中的焦点三角形问题由于涉及知识面广,探究性强,综合性高,成为椭圆和解三角形、三角函数以及不等式等知识交汇的命题点,是命题的“焦点”.在解决与椭圆有关的焦点三角形问题中,常用到以下结论:设F1,F2为椭圆焦点,M为椭圆上的点.(1)|MF1|+|MF2|=2a.(2)|MF1||MF2|≤=a2.(3)|MF1||MF2|=2a2-.(4)=b2tan(其中∠F1MF2=θ).关闭Word文档返回原板块高考数学:试卷答题攻略一、“六先六后”,因人因卷制宜。
一、课前练习:1.判断下列各椭圆的焦点位置,并说出焦点坐标、焦距。
(1)14322=+y x (2)1422=+y x (3)1422=+y x 2.求适合下列条件的椭圆标准方程:两个焦点的坐标分别为)0,4(),0,4(-,椭圆上一点P 到两焦点距离的和等于10。
3.方程221||12x y m +=-表示焦点在y 轴的椭圆时,实数m 的取值范围是____________ 二、典例:例1 已知椭圆两个焦点的坐标分别是()2,0-,()2,0,并且经过点53,22⎛⎫- ⎪⎝⎭,求它的标准方程.变式练习1:与椭圆x 2+4y 2=16有相同焦点,且过点()6,5-的椭圆方程是 . 例2 如图,在圆224x y +=上任取一点P ,过点P 作x 轴的垂线段PD ,D 为垂足.当点P 在圆上运动时,线段PD 的中点M 的轨迹是什么?例3如图,设A ,B 的坐标分别为()5,0-,()5,0.直线AM ,BM 相交于点M ,且它们的斜率之积为49-,求点M 的轨迹方程.变式练习2:已知定圆x 2+y 2-6x -55=0,动圆M 和已知圆内切且过点P (-3,0),求圆心M 的轨迹及其方程.三、巩固练习:1.平面内有两定点A 、B 及动点P ,设命题甲是:“|PA|+|PB|是定值”,命题乙是:“点P 的轨迹是以A .B 为焦点的椭圆”,那么( B ) A .甲是乙成立的充分不必要条件B .甲是乙成立的必要不充分条件C .甲是乙成立的充要条件D .甲是乙成立的非充分非必要条件2.椭圆2255x ky -=的一个焦点是(0,2),那么k 等于( A )A. 1-B. 1C. 5D. 53.椭圆191622=+y x 的焦距是 ,焦点坐标为 ;若CD 为过左焦点1F 的弦,则CD F 2∆的周长为4.若方程x 2+ky 2=2表示焦点在y 轴上的椭圆,则实数k 的取值范围为( D )A .(0,+∞)B .(0,2)C .(1,+∞)D .(0,1)。
课时分层作业(七)椭圆及其标准方程(建议用时:60分钟)[基础达标练]一、选择题1.椭圆错误!+错误!=1的焦点坐标为( )A.(5,0),(-5,0)B.(0,5),(0,-5)C.(0,12),(0,-12) D.(12,0),(-12,0)C[c2=169-25=144.c=12,故选C.]2.已知椭圆过点P错误!和点Q错误!,则此椭圆的标准方程是() A.x2+错误!=1 B。
错误!+y2=1或x2+错误!=1C。
错误!+y2=1 D.以上都不对A[设椭圆方程为mx2+ny2=1(m>0,n〉0,m≠n),则错误!∴错误!∴椭圆的方程为x2+错误!=1.]3.设F1,F2是椭圆错误!+错误!=1的两个焦点,P是椭圆上的点,且|PF1|∶|PF2|=2∶1,则△F1PF2的面积等于()A.5 B.4C.3 D.1B[由椭圆方程,得a=3,b=2,c=5,∴|PF1|+|PF2|=2a =6,又|PF1|∶|PF2|=2∶1,∴|PF1|=4,|PF2|=2,由22+42=(2错误!)2,可知△F1PF2是直角三角形,故△F1PF2的面积为错误!|PF1|·|PF2|=错误!×4×2=4,故选B。
]4.已知椭圆错误!+错误!=1(a〉b〉0),M为椭圆上一动点,F1为椭圆的左焦点,则线段MF1的中点P的轨迹是()A.圆B.椭圆C.线段D.直线B[|PF1|+|PO|=错误!|MF1|+错误!|MF2|=错误!(|MF1|+|MF2|)=a>|F1O|,因此点P的轨迹是椭圆.]5.如果方程错误!+错误!=1表示焦点在x轴上的椭圆,则实数a的取值范围是( )A.(3,+∞)B.(-∞,-2)C.(3,+∞)∪(-∞,-2)D.(3,+∞)∪(-6,-2)D[由于椭圆的焦点在x轴上,所以错误!即错误!解得a>3或-6<a<-2,故选D.]二、填空题6.已知椭圆中心在坐标原点,焦点在x轴上,椭圆与x轴的一个交点到两焦点的距离分别为3和1,则椭圆的标准方程为____________.x2+错误!=1 [由题意知错误!解得错误!则b2=a2-c2=3,4故椭圆的标准方程为错误!+错误!=1.]7.已知F1,F2是椭圆C:错误!+错误!=1(a〉b>0)的两个焦点,P 为椭圆C上一点,且错误!⊥错误!.若△PF1F2的面积为9,则b=________.3 [依题意,有错误!可得4c2+36=4a2,即a2-c2=9,故有b=3。
《椭圆》方程典型例题20例典型例题一例1椭圆的一个顶点为02,A ,其长轴长是短轴长的2倍,求椭圆的标准方程.分析:题目没有指出焦点的位置,要考虑两种位置.解:(1)当02,A 为长轴端点时,2a ,1b ,椭圆的标准方程为:11422yx;(2)当02,A 为短轴端点时,2b ,4a,椭圆的标准方程为:116422yx;说明:椭圆的标准方程有两个,给出一个顶点的坐标和对称轴的位置,是不能确定椭圆的横竖的,因而要考虑两种情况.典型例题二例2一个椭圆的焦点将其准线间的距离三等分,求椭圆的离心率.解:31222cac∴223a c,∴3331e.说明:求椭圆的离心率问题,通常有两种处理方法,一是求a ,求c ,再求比.二是列含a和c 的齐次方程,再化含e 的方程,解方程即可.典型例题三例3 已知中心在原点,焦点在x 轴上的椭圆与直线01y x交于A 、B 两点,M 为AB 中点,OM 的斜率为0.25,椭圆的短轴长为2,求椭圆的方程.解:由题意,设椭圆方程为1222yax ,由101222yaxy x ,得021222xa x a ,∴222112a a x x x M,2111ax y MM ,4112ax y k MM OM,∴42a,∴1422yx为所求.说明:(1)此题求椭圆方程采用的是待定系数法;(2)直线与曲线的综合问题,经常要借用根与系数的关系,来解决弦长、弦中点、弦斜率问题.典型例题四例4椭圆192522y x上不同三点11y x A ,,594,B ,22y x C ,与焦点04,F 的距离成等差数列.(1)求证821x x ;(2)若线段AC 的垂直平分线与x 轴的交点为T ,求直线BT 的斜率k .证明:(1)由椭圆方程知5a ,3b ,4c .由圆锥曲线的统一定义知:ac x caAF 12,∴ 11545x ex a AF .同理2545x CF .∵ BF CFAF2,且59BF,∴ 51854554521x x ,即821x x .(2)因为线段AC 的中点为2421y y ,,所以它的垂直平分线方程为42212121xy y x x y y y.又∵点T 在x 轴上,设其坐标为00,x ,代入上式,得21222124x x y y x 又∵点11y x A ,,22y x B ,都在椭圆上,∴ 212125259x y 222225259x y ∴ 21212221259x x x x y y.将此式代入①,并利用821x x 的结论得25364x ∴ 454059x k BT.典型例题五例5已知椭圆13422y x,1F 、2F 为两焦点,问能否在椭圆上找一点M ,使M 到左准线l 的距离MN 是1MF 与2MF 的等比中项?若存在,则求出点M 的坐标;若不存在,请说明理由.解:假设M 存在,设11y x M ,,由已知条件得2a,3b,∴1c,21e .∵左准线l 的方程是4x,∴14x MN.又由焦半径公式知:111212x ex a MF ,112212x ex a MF .∵212MF MF MN ,∴11212122124x x x .整理得048325121x x .解之得41x 或5121x .①另一方面221x .②则①与②矛盾,所以满足条件的点M 不存在.说明:(1)利用焦半径公式解常可简化解题过程.(2)本例是存在性问题,解决存在性问题,一般用分析法,即假设存在,根据已知条件进行推理和运算.进而根据推理得到的结果,再作判断.(3)本例也可设sin3cos 2,M 存在,推出矛盾结论(读者自己完成).典型例题六例6 已知椭圆1222yx,求过点2121,P且被P 平分的弦所在的直线方程.分析一:已知一点求直线,关键是求斜率,故设斜率为k ,利用条件求k .解法一:设所求直线的斜率为k ,则直线方程为2121xk y .代入椭圆方程,并整理得0232122212222kkxk kxk .由韦达定理得22212122kkkx x .∵P 是弦中点,∴121x x .故得21k .所以所求直线方程为0342y x .分析二:设弦两端坐标为11y x ,、22y x ,,列关于1x 、2x 、1y 、2y 的方程组,从而求斜率:2121x x y y .解法二:设过2121,P 的直线与椭圆交于11y x A ,、22y x B ,,则由题意得④1.③1②12①12212122222121y y x x y x yx ,,,①-②得0222212221yyxx.⑤将③、④代入⑤得212121x x y y ,即直线的斜率为21.所求直线方程为0342y x .说明:(1)有关弦中点的问题,主要有三种类型:过定点且被定点平分的弦;平行弦的中点轨迹;过定点的弦中点轨迹.(2)解法二是“点差法”,解决有关弦中点问题的题较方便,要点是巧代斜率.(3)有关弦及弦中点问题常用的方法是:“韦达定理应用”及“点差法”.有关二次曲线问题也适用.典型例题七例7求适合条件的椭圆的标准方程.(1)长轴长是短轴长的2倍,且过点62,;(2)在x 轴上的一个焦点与短轴两端点的联机互相垂直,且焦距为6.分析:当方程有两种形式时,应分别求解,如(1)题中由12222by ax 求出1482a ,372b ,在得方程13714822yx 后,不能依此写出另一方程13714822xy .解:(1)设椭圆的标准方程为12222by ax 或12222bx ay .由已知b a2.①又过点62,,因此有1622222ba或1262222ba.②由①、②,得1482a,372b或522a,132b.故所求的方程为13714822yx或1135222xy .(2)设方程为12222by ax .由已知,3c ,3c b ,所以182a.故所求方程为191822yx .说明:根据条件求椭圆的标准方程的思路是“选标准,定参数”.关键在于焦点的位置是否确定,若不能确定,应设方程12222by ax 或12222bx ay .典型例题八例8椭圆1121622yx的右焦点为F ,过点31,A ,点M 在椭圆上,当MF AM 2为最小值时,求点M 的坐标.分析:本题的关键是求出离心率21e ,把MF 2转化为M 到右准线的距离,从而得最小值.一般地,求MF eAM1均可用此法.解:由已知:4a,2c.所以21e,右准线8xl :.过A 作l AQ ,垂足为Q ,交椭圆于M ,故MF MQ 2.显然MF AM 2的最小值为AQ ,即M 为所求点,因此3My ,且M 在椭圆上.故32M x .所以332,M .说明:本题关键在于未知式MF AM 2中的“2”的处理.事实上,如图,21e,即MF 是M 到右准线的距离的一半,即图中的MQ ,问题转化为求椭圆上一点M ,使M 到A 的距离与到右准线距离之和取最小值.典型例题九例9 求椭圆1322yx上的点到直线06yx的距离的最小值.分析:先写出椭圆的参数方程,由点到直线的距离建立三角函数关系式,求出距离的最小值.解:椭圆的参数方程为.sin cos 3yx ,设椭圆上的点的坐标为sincos 3,,则点到直线的距离为263sin226sin cos3d.当13sin时,22最小值d .说明:当直接设点的坐标不易解决问题时,可建立曲线的参数方程.典型例题十例10设椭圆的中心是坐标原点,长轴在x 轴上,离心率23e,已知点230,P 到这个椭圆上的点的最远距离是7,求这个椭圆的方程,并求椭圆上的点P 的距离等于7的点的坐标.分析:本题考查椭圆的性质、距离公式、最大值以及分析问题的能力,在求d 的最大值时,要注意讨论b 的取值范围.此题可以用椭圆的标准方程,也可用椭圆的参数方程,要善于应用不等式、平面几何、三角等知识解决一些综合性问题,从而加强等价转换、形数结合的思想,提高逻辑推理能力.解法一:设所求椭圆的直角坐标方程是12222by ax ,其中0b a 待定.由222222221ab ab a ac e 可得2143112eab ,即b a 2.设椭圆上的点y x ,到点P 的距离是d ,则4931232222222yyby a yxd34213493342222byyyb其中b yb.如果21b,则当b y 时,2d (从而d )有最大值.由题设得22237b,由此得21237b,与21b矛盾.因此必有21b 成立,于是当21y 时,2d (从而d )有最大值.由题设得34722b ,可得1b ,2a.∴所求椭圆方程是11422yx.由21y及求得的椭圆方程可得,椭圆上的点213,,点213,到点230,P 的距离是7.解法二:根据题设条件,可取椭圆的参数方程是sincos b ya x ,其中0b a ,待定,20,为参数.由22222221ab ab aac e可得2143112eab ,即b a 2.设椭圆上的点y x ,到点230,P 的距离为d ,则22222223sin cos23b a yxd49sin3sin34222b b b 3421sin3222bbb 如果121b ,即21b,则当1sin 时,2d (从而d )有最大值.由题设得22237b,由此得21237b ,与21b矛盾,因此必有121b成立.于是当b 21sin 时2d (从而d )有最大值.由题设知34722b,∴1b ,2a.∴所求椭圆的参数方程是sincos 2yx .由21sin,23cos ,可得椭圆上的是213,,213,.典型例题十一例11设x ,R y,x y x 63222,求x yx 222的最大值和最小值.分析:本题的关键是利用形数结合,观察方程x y x 63222与椭圆方程的结构一致.设m xyx222,显然它表示一个圆,由此可以画出图形,考虑椭圆及圆的位置关系求得最值.解:由x y x 63222,得123492322y x可见它表示一个椭圆,其中心在023,点,焦点在x 轴上,且过(0,0)点和(3,0)点.设m x y x 222,则1122m yx 它表示一个圆,其圆心为(-1,0)半径为11mm .在同一坐标系中作出椭圆及圆,如图所示.观察图形可知,当圆过(0,0)点时,半径最小,即11m ,此时0m ;当圆过(3,0)点时,半径最大,即41m ,∴15m .∴x yx222的最小值为0,最大值为15.典型例题十二例12已知椭圆012222baby axC :,A 、B 是其长轴的两个端点.(1)过一个焦点F 作垂直于长轴的弦P P ,求证:不论a 、b 如何变化,120APB .(2)如果椭圆上存在一个点Q ,使120AQB,求C 的离心率e 的取值范围.分析:本题从已知条件出发,两问都应从APB 和AQB 的正切值出发做出估计,因此要从点的坐标、斜率入手.本题的第(2)问中,其关键是根据什么去列出离心率e 满足的不等式,只能是椭圆的固有性质:a x,b y,根据120AQB得到32222ayxay ,将22222y ba ax代入,消去x ,用a 、b 、c 表示y ,以便利用b y列出不等式.这里要求思路清楚,计算准确,一气呵成.解:(1)设0,c F ,0,a A ,0,a B .abc P b a ya xb cx 2222222,于是a c a bk AP 2,aca b k BP2.∵APB 是AP 到BP 的角.∴2222242221tan ca ac a ba c ab ac a bAPB∵22ca∴2tan APB 故3tanAPB∴120APB .(2)设y x Q ,,则ax y k QA ,ax y k QB.由于对称性,不妨设0y,于是AQB 是QA 到QB 的角.∴22222221tan ayxay ax y a x yax yAQB∵120AQB ,∴32222ayxay 整理得023222ay ayx∵22222yba ax∴0213222ay yba ∵0y ,∴2232caby∵b y ,∴bcab 2232232c ab,222234cca a ∴04444224a c a c,044324e e ∴232e或22e (舍),∴136e .典型例题十三例13已知椭圆19822y kx 的离心率21e,求k 的值.分析:分两种情况进行讨论.解:当椭圆的焦点在x 轴上时,82ka,92b ,得12k c.由21e,得4k .当椭圆的焦点在y 轴上时,92a ,82kb ,得k c12.由21e,得4191k,即45k .∴满足条件的4k 或45k .说明:本题易出现漏解.排除错误的办法是:因为8k 与9的大小关系不定,所以椭圆的焦点可能在x 轴上,也可能在y 轴上.故必须进行讨论.典型例题十四例14 已知椭圆142222by bx上一点P 到右焦点2F 的距离为b )1(b,求P 到左准线的距离.分析:利用椭圆的两个定义,或利用第二定义和椭圆两准线的距离求解.解法一:由142222by bx,得b a 2,b c 3,23e.由椭圆定义,b a PF PF 4221,得b b b PF bPF 34421.由椭圆第二定义,e d PF 11,1d 为P 到左准线的距离,∴b ePF d 3211,即P 到左准线的距离为b 32.解法二:∵e d PF 22,2d 为P 到右准线的距离,23ac e,∴b ePF d 33222.又椭圆两准线的距离为b c a 33822.∴P 到左准线的距离为b bb32332338.说明:运用椭圆的第二定义时,要注意焦点和准线的同侧性.否则就会产生误解.椭圆有两个定义,是从不同的角度反映椭圆的特征,解题时要灵活选择,运用自如.一般地,如遇到动点到两个定点的问题,用椭圆第一定义;如果遇到动点到定直线的距离问题,则用椭圆的第二定义.典型例题十五例15 设椭圆.sin 32,cos 4yx (为参数)上一点P 与x 轴正向所成角3POx,求P 点坐标.分析:利用参数与POx 之间的关系求解.解:设)sin 32,cos 4(P ,由P 与x 轴正向所成角为3,∴cos4sin 323tan,即2tan .而0sin ,0cos,由此得到55cos,552sin ,∴P 点坐标为)5154,554(.典型例题十六例16设),(00y x P 是离心率为e 的椭圆12222by a x )0(ba 上的一点,P 到左焦点1F 和右焦点2F 的距离分别为1r 和2r ,求证:01ex ar ,02ex ar .分析:本题考查椭圆的两个定义,利用椭圆第二定义,可将椭圆上点到焦点的距离转化为点到相应准线距离.解:P 点到椭圆的左准线caxl 2:的距离,cax PQ 2,由椭圆第二定义,e PQPF 1,∴01ex a PQe r ,由椭圆第一定义,0122ex ar ar .说明:本题求证的是椭圆的焦半径公式,在解决与椭圆的焦半径(或焦点弦)的有关问题时,有着广泛的应用.请写出椭圆焦点在y 轴上的焦半径公式.典型例题十七例17已知椭圆15922yx内有一点)1,1(A ,1F 、2F 分别是椭圆的左、右焦点,点P 是椭圆上一点.(1) 求1PF PA 的最大值、最小值及对应的点P 坐标;(2)求223PF PA的最小值及对应的点P 的坐标.分析:本题考查椭圆中的最值问题,通常探求变量的最值有两种方法:一是目标函数当,即代数方法.二是数形结合,即几何方法.本题若按先建立目标函数,再求最值,则不易解决;若抓住椭圆的定义,转化目标,运用数形结合,就能简捷求解.解:(1)如上图,62a ,)0,2(2F ,22AF ,设P 是椭圆上任一点,由6221aPF PF ,22AF PF PA ,∴26222211AF aAF PF PF PF PA,等号仅当22AF PF PA时成立,此时P 、A 、2F 共线.由22AF PF PA ,∴26222211AF aAF PF PF PF PA,等号仅当22AF PF PA时成立,此时P 、A 、2F 共线.建立A 、2F 的直线方程02y x,解方程组4595,0222yxy x 得两交点)2141575,2141579(1P 、)2141575,2141579(2P .综上所述,P 点与1P 重合时,1PF PA取最小值26,P 点与2P 重合时,2PF PA取最大值26.(2)如下图,设P 是椭圆上任一点,作PQ 垂直椭圆右准线,Q 为垂足,由3a,2c ,∴32e.由椭圆第二定义知322ePQPF ,∴223PF PQ,∴PQ PAPF PA223,要使其和最小需有A 、P 、Q 共线,即求A 到右准线距离.右准线方程为29x.∴A 到右准线距离为27.此时P 点纵坐标与A 点纵坐标相同为1,代入椭圆得满足条件的点P 坐标)1,556(.说明:求21PF ePA的最小值,就是用第二定义转化后,过A 向相应准线作垂线段.巧用焦点半径2PF 与点准距PQ 互化是解决有关问题的重要手段.典型例题十八例18(1)写出椭圆14922yx的参数方程;(2)求椭圆内接矩形的最大面积.分析:本题考查椭圆的参数方程及其应用.为简化运算和减少未知数的个数,常用椭圆的参数方程表示曲线上一点坐标,所求问题便化归为三角问题.解:(1)sin2cos 3y x )(R .(2)设椭圆内接矩形面积为S ,由对称性知,矩形的邻边分别平行于x 轴和y 轴,设)sin 2,cos 3(为矩形在第一象限的顶点,)2(,则122sin 12sin 2cos 34S 故椭圆内接矩形的最大面积为12.说明:通过椭圆参数方程,转化为三角函数的最值问题,一般地,与圆锥曲线有关的最值问题,用参数方程形式较简便.典型例题十九例19已知1F ,2F 是椭圆的两个焦点,P 是椭圆上一点,且6021PF F .(1)求椭圆离心率的取值范围;(2)求证21F PF 的面积与椭圆短轴长有关.分析:不失一般性,可以设椭圆方程为12222by ax (0ba ),),(11y x P (01y ).思路一:根据题设容易想到两条直线的夹角公式,即3160tan 1212PFPF PFPFK K K K ,设),(11y x P ,)0,(1c F ,)0,(2c F ,化简可得03233212121ccy y x .又1221221by ax ,两方程联立消去21x 得0323412212bcy b y c ,由],0(1b y ,可以确定离心率的取值范围;解出1y 可以求出21F PF 的面积,但这一过程很繁.思路二:利用焦半径公式11ex a PF ,12ex a PF ,在21F PF 中运用余弦定理,求1x ,再利用],[1a a x ,可以确定离心率e 的取值范围,将1x 代入椭圆方程中求1y ,便可求出21F PF 的面积.思路三:利用正弦定理、余弦定理,结合a PF PF 221求解.解:(法1)设椭圆方程为12222by ax (0ba),),(11y x P ,)0,(1c F ,)0,(2c F ,0c,则11ex a PF ,12ex a PF .在21F PF 中,由余弦定理得))((24)()(2160cos 1122121ex a ex a cex a ex a ,解得2222134eacx.(1)∵],0(221a x ,∴2222340a eac ,即0422ac.∴21a c e.故椭圆离心率的取范围是)1,21[e .(2)将2222134eacx 代入12222by ax 得24213cby ,即cby 321.∴22213332212121b cbcy F F S FPF .即21F PF 的面积只与椭圆的短轴长有关.(法2)设m PF 1,n PF 2,12F PF ,21F PF ,则120.(1)在21F PF 中,由正弦定理得60sin 2sin sinc n m .∴60sin 2sinsinc n m ∵a n m 2,∴60sin 2sinsin2c a ,∴2cos2sin260sin sinsin 60sin a c e212cos 21.当且仅当时等号成立.故椭圆离心率的取值范围是)1,21[e .(2)在21F PF 中,由余弦定理得:60cos 2)2(222mn n m c mnnm22mnn m 3)(2∵a nm 2,∴mn a c 34422,即22234)(34b c a mn.∴23360sin 2121b mn SF PF .即21F PF 的面积与椭圆短轴长有关.说明:椭圆上的一点P 与两个焦点1F ,2F 构成的三角形为椭圆的焦点三角形,涉及有关焦点三角形问题,通常运用三角形的边角关系定理.解题中通过变形,使之出现21PF PF 的结构,这样就可以应用椭圆的定义,从而可得到有关a ,c 的关系式,使问题找到解决思路.典型例题二十例20椭圆12222by ax )0(ba与x 轴正向交于点A ,若这个椭圆上总存在点P ,使AP OP(O 为坐标原点),求其离心率e 的取值范围.分析:∵O 、A 为定点,P 为动点,可以P 点坐标作为参数,把AP OP ,转化为P 点坐标的一个等量关系,再利用坐标的范围建立关于a 、b 、c 的一个不等式,转化为关于e 的不等式.为减少参数,易考虑运用椭圆参数方程.解:设椭圆的参数方程是sincos b ya x )0(ba,则椭圆上的点)sin ,cos (b a P ,)0,(a A ,∵AP OP,∴1cossin cossin aa b a b ,即0coscos)(22222ba b a,解得1cos或222cosb ab ,∵1cos1∴1cos (舍去),11222bab,又222cab∴2022ca ,∴22e,又10e ,∴122e .说明:若已知椭圆离心率范围)1,22(,求证在椭圆上总存在点P 使AP OP.如何证明?。
椭圆及其标准方程练习题 一、 1.椭圆192522=+y x 上一点P 到一个焦点的距离为5,则P 到另一个焦点的距离为( ) A.5 B.6 C.4 D.102.椭圆11692522=+y x 的焦点坐标是( ) A.(±5,0) B.(0,±5) C.(0,±12) D.(±12,0)3.已知椭圆的方程为18222=+my x ,焦点在x 轴上,则其焦距为( A ) A.228m - B.2m -22 C.282-m D.222-m 4.方程1)42sin(322=+-παy x 表示椭圆,则α的取值范围是( )A.838παπ≤≤- B.k k k (838ππαππ+<<-∈Z) C.838παπ<<- D. k k k (83282ππαππ+<<-∈Z) 5.在方程22110064x y +=中,下列a , b , c 全部正确的一项是 (A )a =100, b =64, c =36 (B )a =10, b =6, c =8 (C )a =10, b =8, c =6 (D )a =100, c =64, b =366.已知F 1, F 2是定点,| F 1 F 2|=8, 动点M 满足|M F 1|+|M F 2|=8,则点M 的轨迹是(A )椭圆 (B )直线 (C )圆 (D )线段二、7.1,6==c a ,焦点在y 轴上的椭圆的标准方程是 8.椭圆191622=+y x 的焦距是 ,焦点坐标为 ;若CD 为过左焦点1F 的弦,则CD F 2∆的周长为9.椭圆以坐标轴为对称轴,长、短半轴之和为10,焦距为45,则椭圆方程为 .10.P 点在椭圆452x +202y =1上,F 1,F 2是椭圆的焦点,若PF 1⊥PF 2,则P 点的坐标是 .三、11.椭圆22a x +22by =1(a >b >0)的两个焦点及其与坐标轴的一个交点正好是一个等边三角形的三个顶点,且椭圆上的点到焦点距离的最小值为3,求椭圆的方程.12.已知椭圆92x +42y =1上的点P 到其右焦点的距离是长轴两端点到右焦点的距离的等差中项,求P 点坐标.13.写出适合下列条件的椭圆的标准方程:⑴两个焦点坐标分别是(-4,0)、(4,0),椭圆上一点P 到两焦点的距离 之和等于10;⑵两个焦点坐标分别是(0,-2)和(0,2)且过(23-,25)参考答案:1.A 2.A 3.A 4.B 5. C 6.D7.1353622=+x y 8.答案:164);0,7(),0,7(;72221=-=a F F c9. 362x +162y =1或362y +162x =1 10.(3,4),(3,-4),(-3,4),(-3,-4) 11. 122x +92y =1 12.(0,2)或(0,-2) 13.解:(1)因为椭圆的焦点在x 轴上,所以设它的标准方程为12222=+by a x )0(>>b a 9454,582,10222222=-=-=∴==∴==c a b c a c a 所以所求椭圆标准方程为92522=+y x ⑵ 因为椭圆的焦点在y 轴上,所以设它的标准方程为12222=+b x a y )0(>>b a 由椭圆的定义知,22)225()23(2++-=a +22)225()23(-+- 10211023+=102= 10=∴a 又2=c 6410222=-=-=∴c a b所以所求标准方程为61022=+x y 另法:∵ 42222-=-=a c a b ∴可设所求方程142222=-+a x a y ,后将点(23-,25)的坐标代入可求出a ,从而求出椭圆方程仰望天空时,什么都比你高,你会自卑;俯视大地时,什么都比你低,你会自负;只有放宽视野,把天空和大地尽收眼底,才能在苍穹泛土之间找准你真正的位置。
椭圆》方程典型例题20例(含标准答案)典型例题一已知椭圆的一个顶点为A(2.0),其长轴长是短轴长的2倍,求椭圆的标准方程。
分析:题目没有指出焦点的位置,要考虑两种位置。
解:(1)当A(2.0)为长轴端点时,a=2,b=1,椭圆的标准方程为:x^2/4+y^2/1=1;(2)当A(2.0)为短轴端点时,b=2,a=4,椭圆的标准方程为:x^2/16+y^2/4=1.说明:椭圆的标准方程有两个,给出一个顶点的坐标和对称轴的位置,是不能确定椭圆的横竖的,因而要考虑两种情况。
典型例题二一个椭圆的焦点将其准线间的距离三等分,求椭圆的离心率。
解:设椭圆长轴长为2a,焦点到准线的距离为c,则2c/3=a,即c=3a/2.由椭圆定义可得c^2=a^2-b^2,代入c=3a/2中得到9a^2/4=a^2-b^2,化简得b^2=3a^2/4.再由离心率的定义e=c/a得到e=√(1-b^2/a^2)=√(1-3/4)=√(1/4)=1/2.说明:求椭圆的离心率问题,通常有两种处理方法,一是求a,求c,再求比。
二是列含a和c的齐次方程,再化含e的方程,解方程即可。
典型例题三已知中心在原点,焦点在x轴上的椭圆与直线x+y-1=0交于A、B两点,M为AB中点,OM的斜率为0.25,椭圆的短轴长为2,求椭圆的方程。
解:由题意,设椭圆方程为x^2/4+y^2/a^2=1,直线方程为y=1-x。
将直线方程代入椭圆方程得到x^2/4+(1-x)^2/a^2=1,化简得到(4+a^2)x^2-8ax+(4-a^2)=0.设AB的中点为M(x1.y1),则M的坐标为[(x1+x2)/2.(y1+y2)/2],其中x2为方程(4+a^2)x^2-8ax+(4-a^2)=0的另一个解。
由OM的斜率为0.25可得到y1=0.25x1.又因为M在直线x+y-1=0上,所以有y1=1-x1.解以上两个方程可得到M的坐标为(4/5.1/5)。
椭圆及其标准方程练习题
【基础知识】
一.椭圆的基本概念
1.椭圆的定义:我们把平面内与两个定点的距离的和等于常数 ( )的点
的轨迹叫做椭圆,用符号表示为这两个定点叫椭圆的 ,两个焦点之间的距离叫做椭圆的 。
二.椭圆的定义、椭圆的标准方程、椭圆的性质
椭圆的图象和性质 数学定义式 |MF 1|+|MF 2|=2a
焦点位置
x 轴 y 轴 图形
标准方程
焦点坐标
焦距
顶点坐标
a ,
b ,
c 的关系式
长、短轴 长轴长=2a , 短轴长=2b
对称轴 两坐标轴
离心率
a
c
e =
= ( 0 < e < 1) 三、求椭圆标准方程的常用方法是待定系数法:
椭圆方程的总形式为
[经典例题]:
例1. 根据定义推导椭圆标准方程.
已知B ,C 是两个定点,|BC |=6,且ABC ∆的周长等于16,求顶点A 的轨迹方程
已知F 1, F 2是定点,| F 1 F 2|=8, 动点M 满足|M F 1|+|M F 2|=8,则点M 的轨迹是 (A )椭圆 (B )直线 (C )圆 (D )线段
y
x
o
y
x
o
例2.写出适合下列条件的椭圆的标准方程:
⑴两个焦点坐标分别是(-4,0)、(4,0),椭圆上一点P 到两焦点的距离之和等于10;
⑵两个焦点坐标分别是(0,-2)和(0,2)且过(23-,2
5)
例3 求适合下列条件的椭圆的标准方程:
(1)两个焦点坐标分别是(-3,0),(3,0),椭圆经过点(5,0).
(2)两个焦点坐标分别是(0,5),(0,-5),椭圆上一点P 到两焦点的距离和为26.
例4 已知椭圆经过两点()5,3()2
5
,23与-,求椭圆的标准方程
例5 1.椭圆短轴长是2,长轴是短轴的2倍,则椭圆离心率是 ;
2.如果椭圆的焦距、短轴长、长轴长成等差数列,则其离心率为 ;
3.若椭圆的两个焦点F 1、F 2与短轴的一个端点B 构成一个正三角形,则椭圆的离心率为 ;
[典型练习]:
1 椭圆
19
252
2=+y x 上一点P 到一个焦点的距离为5,则P 到另一个焦点的距离为( ) A.5 B.6 C.4 D.10
2.椭圆
1169
252
2=+y x 的焦点坐标是( ) A.(±5,0) B.(0,±5)
C.(0,±12)
D.(±12,0)
3.已知椭圆的方程为
182
2
2=+m y x ,焦点在x 轴上,则其焦距为( ) A.228m - B.2m -22 C.28
2-m D.222-m
4.1,6==c a ,焦点在y 轴上的椭圆的标准方程是
5. 椭圆
22
125
x y m m +=-+的焦点坐标是 (A )(±7, 0) (B )(0, ±7) (C )(±7,0) (D )(0, ±7)
6.设21,F F 为定点,|21F F |=6,动点M 满足6||||21=+MF MF ,则动点M 的轨迹是 ( )
A.椭圆
B.直线
C.圆
D.线段
7.椭圆17
162
2=+y x 的左右焦点为21,F F ,一直线过1F 交椭圆于A 、B 两点,则2ABF ∆的周长为 ( ) A.32 B.16 C.8 D.4
8. P 为椭圆
22
110064
x y +=上的一点,F 1和F 2是其焦点,若∠F 1PF 2=60°,则△F 1PF 2的面积为 . 9.如果方程22
2
=+ky x 表示焦点在y 轴上的椭圆,则k 的取值范围是______.
10.方程
11
22
2=--m y m x 表示焦点在y 轴上的椭圆,则m 的取值范围是______. 11.在△ABC 中,BC =24,AC 、AB 的两条中线之和为39,求△ABC 的重心轨迹方程.
12. 已知点P 在椭圆124492
2=+y x 上,F 1、F 2是椭圆的焦点,且PF 1⊥PF 2,求
(1)| PF 1 |·| PF 2 | (2)△PF 1F 2的面积
y
o
x
P
F 2
F 1
作业
1.判断下列方程是否表上椭圆,若是,求出c b a ,,的值
①12222=+y x ;②12422=+y x ;③12
42
2=-y x ;④369422=+x y 2 椭圆19
162
2=+y x 的焦距是 ,焦点坐标为 ;若CD 为过左焦点1F 的弦,则CD F 2∆的周长为
3. 方程142
2=+ky x 的曲线是焦点在y 上的椭圆 ,求k 的取值范围
4 椭圆
136
1002
2=+y x 上一点P 到焦点F 1的距离等于6,则点P 到另一个焦点F 2的距离是
5 动点P 到两定点1F (-4,0),2F (4,0)的距离的和是8,则动点P 的轨迹为 _______
6.平面内两个定点21,F F 之间的距离为2,一个动点M 到这两个定点的距离和为6.建立适当的坐标系,推导出点M 的轨迹方程.。