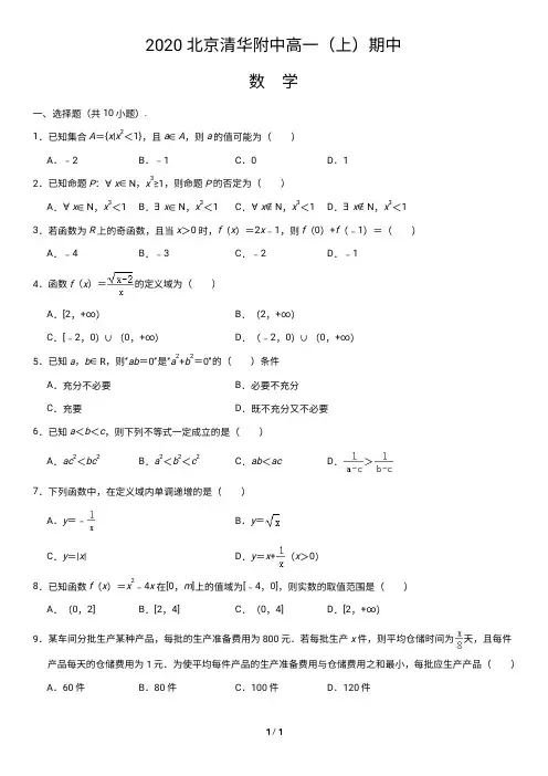
清华附中2019-2020学年度高一上学期期中考试数学试卷Word版
- 格式:doc
- 大小:518.50 KB
- 文档页数:4
2019-2020学年北京市清华附中将台路校区高一上学期期中考试数学试题★祝考试顺利★ 注意事项:1、答题前,请先将自己的姓名、准考证号用0.5毫米黑色签字笔填写在试题卷和答题卡上的相应位置,并将准考证号条形码粘贴在答题卡上的指定位置。
用2B 铅笔将答题卡上试卷类型A 后的方框涂黑。
2、选择题的作答:每个小题选出答案后,用2B 铅笔把答题卡上对应题目的答案标号涂黑。
写在试题卷、草稿纸和答题卡上的非选择题答题区域的答案一律无效。
3、主观题的作答:用签字笔直接答在答题卡上对应的答题区域内。
写在试题卷、草稿纸和答题卡上的非答题区域的答案一律无效。
如需改动,先划掉原来的答案,然后再写上新答案;不准使用铅笔和涂改液。
不按以上要求作答无效。
4、选考题的作答:先把所选题目的题号在答题卡上指定的位置用2B 铅笔涂黑。
答案用0.5毫米黑色签字笔写在答题卡上对应的答题区域内,写在试题卷、草稿纸和答题卡上的非选修题答题区域的答案一律无效。
5、保持卡面清洁,不折叠,不破损,不得使用涂改液、胶带纸、修正带等。
6、考试结束后,请将本试题卷、答题卡、草稿纸一并依序排列上交。
一、选择题:本大题共8小题,每小题5分,共40分.1.若集合{|12}A x x =-<<,{2,0,1,2}B =-,则A B =I ( ) A. ∅B. {0,1}C. {0,1,2}D.{2,0,1,2}-【答案】B 【解析】 【分析】根据题意,利用交集定义直接求解。
【详解】集合{|12}A x x =-<<,{}2,0,1,2B =-,所以集合{}0,1A B =I 。
【点睛】本题主要考查集合交集的运算。
2.已知函数2()f x x =,{}1,0,1x ∈-,则函数的值域为( ) A. {}1,0,1-B. [0,1]C. {}0,1D.[0,)+∞【答案】C【解析】 【分析】分别代入1,0,1-求得()f x 即可.【详解】由题222(1)(1)1,(0)(0)0,(1)11f f f -=-=====,故值域为{}0,1故选:C【点睛】本题主要考查函数的值域,属于简单题型.3.已知命题p :“2,20x R x ∀∈+>”,则命题p 的否定为 A. 2,20x R x ∀∈+≤B. 200,20x R x ∃∈+>C. 200,20x R x ∃∈+≤D. 2,20x R x ∀∈+<【答案】C 【解析】 【分析】运用全称命题的否定为特称命题,以及量词和不等号的变化,即可得到所求命题的否定. 【详解】由全称命题的否定为特称命题可得命题p :“2,20x R x ∀∈+>”的否定为200,20x R x ∃∈+≤,故选C .【点睛】本题考查命题的否定,注意全称命题的否定为特称命题,以及量词和不等号的变化,考查转化思想,属于基础题. 4.在区间()0,∞+上是减函数的是() A. 31y x =+B. 231y x =+C. 2y x=D.2y x x =+【答案】C 【解析】 【分析】根据一次函数、二次函数和反比例函数性质即可得到结果.【详解】31y x =+在()0,∞+上单调递增,A 错误;231y x =+在()0,∞+上单调递增,B 错误2y x=()0,∞+上单调递减,C 正确;2y x x =+在()0,∞+上单调递增,D 错误本题正确选项:C【点睛】本题考查常见函数单调性的判断,属于基础题. 5.已知条件:1p x >,条件:2q x ≥,则p 是q 的( ) A. 充分不必要条件 B. 必要不充分条件 C. 充要条件 D. 既不充分也不必要条件【答案】B 【解析】 【分析】利用集合间的关系推出p q 、之间的关系.【详解】{|1}x x >Ý{|2}x x ≥,则p 是q 的必要不充分条件, 故选:B .【点睛】p 成立的对象构成的集合为A ,q 成立的对象构成的集合为B :p 是q 的充分不必要条件则有:A B Ü; p 是q 的必要不充分条件则有:B A Ü.6.若0a >,0b >,2ab =,则2+a b 的最小值为()A. B. 4C. D. 6【答案】B 【解析】 【分析】由a +2b a +2b 的最小值. 详解】∵a >0,b >0,ab =2,∴a +2b 4=, 当且仅当a =2b =2时取等号, ∴a +2b 的最小值为4. 故选:B .【点睛】本题考查了基本不等式的应用,关键是等号成立的条件,属基础题.7.定义在R 上的奇函数()f x 满足2()2(0)f x x x x =-…,则函数()f x 的零点个数为( ) A. 0 B. 1C. 2D. 3【答案】D 【解析】 【分析】根据题意,可知2x =,0x =为()f x 的零点,利用奇函数图像关于原点对称的性质,可推()f x 在(,0)-∞这个区间上的零点,即可得出答案。
2019-2020学年高一上数学期中模拟试卷含答案本试卷分基础检测与能力检测两部分,共4页.满分为150分.考试用时120分钟. 注意事项:1.答卷前,考生务必用黑色字迹钢笔或签字笔将自己的姓名和考生号填写在答卷上,并用2B 铅笔填涂学号. 2.选择题每小题选出答案后,用2B 铅笔把答题卡上对应题目的答案标号涂黑;如需改动,用橡皮擦干净后,再选涂其它答案标号,不能答在试题卷上.3.非选择题必须用黑色字迹的钢笔或签字笔作答,答案必须写在答题卡各题目指定区域内的相应位置上;如需改动,先划掉原来的答案,然后写上新的答案;不准使用铅笔和涂改液.不按以上要求作答的答案无效.第一部分 基础检测(共100分)一、选择题:本大题共10小题,每小题5分,共50分,在每小题给出的四个选项中,只有一项是符合题目要求的.1.已知集合{|1}A x x =>,下列关系中正确的为( ) A .1A -∈B .0A ∈C .1A ∈D .2A ∈.2.二次函数225y x x =-+的值域是( ) A .[4,+∞)B .(4,+∞)C .(,4]-∞D .(-∞,4)3.设集合}21|{≤≤=x x A ,}41|{≤≤=y y B ,则下述对应法则f 中,不能构成A 到B 的映射的是( ) A .2:x y x f =→B .23:-=→x y x fC .4:+-=→x y x fD .24:x y x f -=→4.设{}|10A x x =-<,{}2|log 0B x x =<,则B A ⋂等于( ) A .{|01}x x <<B .{|1}x x <C .{|0}x x <D .∅5.不等式220ax bx ++>的解集是)31,21(-,则a b +的值是( ) A .10B .–10C .14D .–146.三个数20.620.6,log 0.6,2a b c ===之间的大小关系是( )A .b c a <<B .c b a <<C .c a b <<D .a c b <<7.设1322,2()((2))log 2.(1)x e x f x f f x x -⎧⎪=⎨≥⎪-⎩<,则的值为1,( ) A .2eB .22eC .2D .22e8.下列函数中既是偶函数又是(-∞,0)上是增函数的是 ( ) A .y x =43B .y x =32C .y x =-2D .y x=-149.函数xxa y x=(01)a <<的图象的大致形状是( )10.若)(x f 是R 上的减函数,且)(x f 的图象经过点A (0,4)和点B (3,-2),则当不等式3|1)(|<-+t x f 的解集为(-1,2)时,t 的值为( ) A .0B .-1C .1D .2二、填空题:本大题共4小题,每小题5分,共20分. 11.已知22)1(++=-x x x f ,则()f x =___________.12.若01a <<,则函数log (5)a y x =+的图象不经过第_______象限.13.函数)(x f =(]1,,212∞-∈-+x x x 的值域为__________________. 14.若函数(1)y f x =-的定义域为(1,2],则函数1()y f x=的定义域为______.三、解答题:本大题共3小题,共30分.解答应写出文字说明、证明过程或演算步骤. 15.化简或求值:(本题满分8分)(1)252)008.0()949()827(325.032⨯+---(2)计算1.0lg 21036.0lg 21600lg )2(lg 8000lg 5lg 23--+⋅.16.(本题满分10分)已知集合{}24260,A x x ax a x R =-++=∈,集合{}0B x x =<,若AB ≠∅,求实数a 的取值范围.17.(本小题满分12分)(1)判断函数f (x )=x x 4+在),0(+∞∈x 上的单调性并证明你的结论? (2)猜想函数)0(,)(>+=a xax x f 在),0()0,(+∞⋃-∞∈x 上的单调性?(只需写出结论,不用证明)(3)利用题(2)的结论,求使不等式0292<+-+m m xx 在][5,1∈x 上恒成立时的实数m 的取值范围?第二部分 能力检测(共50分)四、填空题:本大题共2小题,每小题5分,共10分.18.已知函数f (x )=12++mx mx 的定义域是一切实数,则m 的取值范围是_______19.设偶函数()log ||a f x x b =+在(0,+∞)上单调递增,则f (b -2)_____f (a +1)(填等号或不等号) 五、解答题:本大题共3小题,共40分.解答应写出文字说明、证明过程或演算步骤. 20.(本小题满分13分)已知函数)(x f 对任意实数x 、y 都有)(xy f =)(x f ·)(y f ,且(1)1f -=,(27)9f =,当01x ≤<时,0≤)(x f <1.(1)判断)(x f 的奇偶性;(2)判断)(x f 在[0,+∞)上的单调性,并给出证明; (3)若0a ≥且)1(+a f ≤39,求a 的取值范围.21.(本题满分13分)设a ∈R ,函数 f (x )=x 2+2 a | x -1 |,x ∈R .(1)讨论函数f (x )的奇偶性; (2)求函数f (x )的最小值.22.(本小题满分14分)已知函数 ⎪⎪⎪⎩⎪⎪⎪⎨⎧∈--∈---∈+=]2,21[,1)21,1[,2)1,2[,1)(x x x x x x x x f .(1)求()f x 的值域;(2)设函数()2g x ax =-,[2,2]x ∈-,若对于任意1[2,2]x ∈-,总存在0[2,2]x ∈-,使得01()()g x f x =成立,求实数a 的取值范围.2019-2020学年高一上数学期中模拟试卷含答案一、选择题(本大题共12小题,每小题5分,满分60分)1.已知全集},2,1,0{},4,3,2,1,0{==M U }3,2{=N 则=⋂N M C U )(( )A . {}2B . {}3C . {}432,,D . {}0,1,2,3,4 2.集合M ={y|y =x 2-1,x ∈R},集合N ={x|y =9-x 2,x ∈R},则M ∩N 等于( )A .{t|0≤t ≤3}B .{t|-1≤t ≤3}C .{(-2,1),(2,1)}D .∅3.设集合A =B ={(,),}x y x R y R ∈∈,从A 到B 的映射:(,)(2,2)f x y x y x y →+-, 则在映射f 下B 中的元素(1,1)对应的A 中元素为()A.(1,3)B.(1,1) C .31(,)55D.11(,)224.下列四组函数,表示同一函数的是() A. 22)(,)()(x x g x x f == B. x x g x x f lg 2)(,lg )(2==C. 4)(,22)(2-=-⋅+=x x g x x x f D. 33)(,)(x x g x x f ==5. 下列函数是偶函数的是( ).A . 322-=x y B . x y = C . 21-=x y D .]1,0[,2∈=x x y 6.已知函数,则A .−2B .4C .2D .−17.函数 f(x)=x 2-4x+5在区间 [0,m]上的最大值为5,最小值为1,则m 的取值范围是( ) A . ),2[+∞ B . [0,2] C .(]2,∞- D. [2,4]8.三个数3.0222,3.0log ,3.0===c b a 之间的大小关系是( ).A .b c a <<.B . c b a <<C . c a b <<D .a c b <<9.函数()x bf x a -=的图象如图所示,其中,a b 为常数,则下列结论正确的是( ). A .1>a ,0<b B .1>a ,0>bC .10<<a ,0>bD .10<<a ,0<b10. 已知奇函数()f x 在0x ≥时的图象如图所示,则不等式()0xf x <的解集为( ).A .(1,2)B .(2,1)--C .(2,1)(1,2)-- D .(1,1)-11.已知函数()3,0,0xx a x f x a x -+≥⎧=⎨<⎩是(),-∞+∞上的减函数,则实数a 的取值范围是() A .()0,1 B .10,3⎛⎤ ⎥⎝⎦ C .1,13⎡⎫⎪⎢⎣⎭ D .1,3⎡⎫+∞⎪⎢⎣⎭12.如果集合A ,B 同时满足:A ∪B={1,2,3,4},A ∩B={1},A ≠{1},B ≠{1},就称有序集对(A ,B)为“好集对”,这里有序集对(A ,B)意指:当A ≠B 时,(A ,B)和(B ,A)是不同的集对.那么“好集对”一共有()A .5个B .6个C .7个D .8个二、填空题(每题5分,满分20分,将答案填在答题纸上)13.已知函数y =2+x a -2 (a>0, a ≠1)的图象恒过定点A ,则定点A 的坐标为__________.14.设函数()()2,11,1x x f x x x -<⎧⎪=⎨-≥⎪⎩,若()1f α=,则实数α的值为是______. 15.若1052==ba , 则=+b a 11______. 16.已知函数(),y f x x R =∈,给出下列结论(1)若对任意12,x x ,且12x x ≠,都有2121()()f x f x x x -<-,则()f x 为R 上的减函数;(2)若()f x 为R 上的偶函数,且在(,0)-∞内是减函数,f (-2)=0,则()f x >0解集为(-2,2);(3)若()f x 为R 上的奇函数,则()()y f x f x =∙也是R 上的奇函数;(4)t 为常数,若对任意的x ,都有()(),f x t f x t -=+则()f x 关于x t =对称。
2023-2024学年北京市清华附中高一(上)期中数学试卷一、选择题共10小题,每小题4分,共40分。
在每小题列出的四个选项中,选出符合题目要求的一项。
1.已知集合A={﹣1,0},B={x|﹣1<x<1},则A∩B=()A.{﹣1}B.{0}C.{﹣1,0}D.{﹣1,0,1}2.命题∀x∈(﹣1,0),x2+x<0的否定是()A.∀x∈(﹣1,0),x2+x>0B.∀x∈(﹣1,0),x2+x≤0C.∃x∈(﹣1,0),x2+x>0D.∃x∈(﹣1,0),x2+x≥03.下列函数中,既是偶函数又在(0,+∞)上单调递增的是()A.y=﹣|x|B.y=x2C.y=x3D.4.已知f(x)为R上的奇函数,当x>0时,f(x)=x3+,则f(﹣1)+f(0)=()A.﹣2B.0C.2D.45.已知a>b>c,a+b+c=0,则下列结论一定正确的是()A.a+c>0B.a+b<0C.ab>0D.ac<06.函数f(x)=x2﹣2x,x∈[﹣2,2]的值域是()A.[﹣1,0]B.[0,8]C.[1,8]D.[﹣1,8]7.已知正数x,y满足x+y=1,则的最小值是()A.B.C.D.8.若函数f(x)=﹣x2+2ax与函数在区间[1,2]上都是减函数,则a的取值范围是()A.(﹣1,0)∪(0,1)B.(﹣1,0)∪(0,1]C.(0,1)D.(0,1]9.对∀x∈R,[x]表示不超过x的最大整数,我们把f(x)=[x],x∈R称为取整函数,以下关于“取整函数”的性质叙述错误的是()A.∃x∈R,[4x]=4[x]+2B.∀x∈R,C.∀x,y∈R,[x+y]≤[x]+[y]D.∀x,y∈R,[x]=[y],则|x﹣y|<110.已知集合M={x∈N|1≤x≤15},集合A1,A2,A3满足:①每个集合都恰有5个元素;②A1∪A2∪A3=M.集合A i中元素的最大值与最小值之和称为集合A i的特征数,记为X i(i=1,2,3),则X1+X2+X3的最大值与最小值的和为()A.56B.72C.87D.96二、填空题共5小题,每小题5分,共25分。
清华附中高一数学期中测试题2019.11一、选择题(每题 5 分,共 40 分)1.已知集合 A ={x | x 2 > 1}, a ∈ A , 则 a 的值可以为A.-2B.1C.0D.12.已知命题 p : ∃x ∈ Q , x 2 - 3 = 0, 则¬ p 为A. ∃x ∈ Q , x 2 - 3 ≠ 0B. ∃x ∉ Q , x2 -3 = 0 C.∀x ∈ Q , x 2 - 3 ≠ 0 D.∀x ∉ Q , x 2 - 3 = 03.函数 y = x2 (-2 ≤ x ≤ 3) 的值域为A.[4, 9]B.[0, 9]C.[0, 4]D.[0, +∞) 4.已知集合 A = {1, 2}, B = [m , +∞) ,若 A ⊆ B ,则实数 m 的取值范围为A.[2, +∞)B.[1, +∞)C.(-∞, 2] D. (-∞,1] 5.已知 a < b < 0 ,则下列不等式正确的是A. 2a > a + bB. a + b > bC. a 2 > abD.b 2 > ab6.“ x > 1 ”是“1x< 1”的 A.充分而不必要条件 B.必要而不充分条件C.充分必要条件D.既不充分又不必要条件 7.已知集合 A = {1, 2, 3, 4, 5, 6},T = {x | x =b a, a , b ∈ A , a > b } ,则集合T 中元素的个数为 A.9 B.10 C.11 D.128.若函数 f ( x ) 的定义域为 D ,对于任意的 x 1 , x 2 ∈ D , x 1 ≠ x 2 ,都有1212()()1f x f x x x -≥-,称函数 f ( x ) 满足性质ψ,有下列四个函数① f ( x ) =1x , x ∈ (0,1) ;② g ( x ); ③ h ( x ) = x 2 ( x ≤ -1); ④ k ( x ) =211x + 其中满足性质ψ的所有函数的序号为A. ①②③B.①③C.③④D.①② 二、填空题(每题 5 分,共 30 分)9.已知a ,b ,c ,d 为互不相等的实数,若| a - c |=| b - c |=| d - b |= 1, 则| a - d |= . 10. 已 知 函 数y = f (x ) 是定 义 在 R 上 的 奇 函 数 , 当x > 0 时 ,f ( x ) = x 2 - 4x + 1 , 则 f (0) + f (1) = .11.若函数 f ( x ) 为一次函数,且 f ( x + 1) = f ( x ) - 2, f ( x ) 的零点为 1,则函数 f (x ) 的解析式为.12.某产品的总成本 C 与年产量 Q 之间的关系为 C = aQ 2 + 3000, 其中 a 为常数。
2019-2020学年清华大学附属中学高一上学期期中数学试题一、单选题1.已知集合 A={x |x 2> 1},a ∈A , 则 a 的值可以为( ) A .-2 B .1 C .0 D .1【答案】A【解析】先解不等式得{}|11A x x x =><-或,再由元素与集合的关系逐一判断即可得解. 【详解】解:解不等式21x >,解得1x >或1x <-, 即{}|11A x x x =><-或, 又2,1,0,1A A A A -∈∉∉∉, 则a 的值可以为-2, 故选:A. 【点睛】本题考查了二次不等式的解法,重点考查了元素与集合的关系,属基础题. 2.已知命题 p :∃x ∈Q , x 2 -3=0,则¬ p 为( ) A .∃x ∈ Q ,x 2- 3≠0 B .∃x ∉Q ,x 2- 3 = 0 C .∀x ∈ Q , x 2- 3 ≠ 0 D .∀x ∉ Q , x 2- 3 = 0【答案】C【解析】由特称命题的否定为全称命题,等于的否定为不等于,逐一判断即可得解. 【详解】解:由特称命题的否定为全称命题可得:命题 p :∃x ∈Q , x 2 -3=0,则¬p 为:∀x ∈ Q , x 2-3 ≠ 0, 故选:C. 【点睛】本题考查了全称命题与特称命题,属基础题. 3.函数 2(),(23)f x x x =-≤≤的值域为( ) A .[4, 9] B .[0, 9]C .[0, 4]D .[0, +∞)【答案】B【解析】由函数()f x 在[)2,0-为减函数,在[]0,3为增函数,再求值域即可. 【详解】解:因为函数2(),(23)f x x x =-≤≤,则函数()f x 在[)2,0-为减函数,在[]0,3为增函数, 又(2)4f -=,(3)9f =,则(3)(2)f f >-, 又(0)0f =,即函数2(),(23)f x x x =-≤≤的值域为[]0,9, 故选:B. 【点睛】本题考查了二次函数在闭区间上的值域问题,重点考查了函数的单调性,属基础题. 4.已知集合 A ={1,2}, B = [m , +∞),若 A ⊆B ,则实数 m 的取值范围为( ) A .[2,+∞) B .[1,+∞)C .(-∞,2]D .(-∞,1]【答案】D【解析】由A ⊆B ,则1B ∈,2B ∈,则1m £,得解. 【详解】解:因为集合 A ={1,2}, B = [m , +∞),又 A ⊆B ,则1B ∈,2B ∈,则1m £且2m ≤,即1m £ 即实数 m 的取值范围为(-∞,1], 故选:D. 【点睛】本题考查了集合的包含关系,重点考查了元素与集合的关系,属基础题. 5.已知 a <b <0,则下列不等式正确的是( ) A .2a >a + b B .a +b >b C .a 2>ab D .b 2>ab【答案】C【解析】由已知条件a <b <0,再结合作差法判断大小关系,逐一检验即可得解. 【详解】解:由已知有a <b <0,对于选项A ,2()0a a b a b -+=-<,即2()a a b <+,即A 错误;对于选项B ,()0a b b a +-=<,即a b b +<,即B 错误; 对于选项C ,2()0a ab a a b -=->,即2a ab >,即C 正确; 对于选项D ,2()0b ab b b a -=-<,即2b ab <,即D 错误, 即不等式正确的是选项C , 故选:C . 【点睛】本题考查了利用作差法比较大小关系,重点考查了运算能力,属基础题. 6.“ x >1”是“1x<1”的( ) A .充分而不必要条件 B .必要而不充分条件 C .充分必要条件 D .既不充分又不必要条件【答案】A【解析】先解分式不等式可得:11x<等价于1x >或0x <,再由“1x >”是“1x >或0x <”的充分而不必要条件,即可得解.【详解】 解:因为11x<等价于10x x ->等价于1x >或0x <, 又“1x >”是“1x >或0x <”的充分而不必要条件, 即“ x >1”是“1x<1”的充分而不必要条件, 故选:A. 【点睛】本题考查了分式不等式的解法及充分必要条件,属基础题. 7.已知集合 A ={1,2,3, 4,5, 6},T = {x |x =ba, a , b ∈A , a >b },则集合T 中元素的个数为( ) A .9 B .10C .11D .12【答案】C【解析】先阅读题意,再写出集合T 即可. 【详解】解:由集合 A ={1,2,3, 4,5, 6},T = {x |x =ba, a , b ∈A , a >b }, 则11213123415,,,,,,,,,,23344555566T ⎧⎫=⎨⎬⎩⎭,则集合T 中元素的个数为11, 故选:C. 【点睛】本题考查了元素与集合的关系,重点考查了阅读能力,属基础题.8.若函数 f ( x )的定义域为 D ,对于任意的 x 1,x 2∈D , x 1≠x 2,都有1212()()1f x f x x x -≥-,称函数 f ( x ) 满足性质ψ,有下列四个函数① f ( x ) =1x, x ∈ (0,1) ;② g ( x )③ h ( x ) = x 2(x ≤-1); ④ k (x ) =211x +,其中满足性质ψ的所有函数的序号为( ) A .①②③ B .①③C .③④D .①②【答案】B【解析】先阅读理解题意,再逐一检验函数是否满足对于任意的 x 1,x 2∈D , x 1≠x 2,都有1212()()1f x f x x x -≥-,即可得解.【详解】解:对于①,f ( x ) =1x,x ∈ (0,1),则121212()()1f x f x x x x x -=-,又12,(0,1)x x ∈,则12(0,1)x x ∈,即1211x x >,即1212()()1f x f x x x -≥-,故①符合题意;对于②,g ( x )1212()()f x f x x x -=-121,4x x ==,有1212()()113f x f x x x -=<-,故②不合题意;对于③,h ( x ) = x 2(x ≤-1),则121212()()f x f x x x x x -=+-,又(]12,x x ∈-∞,-1,则121x x +>,则1212()()1f x f x x x -≥-,故③符合题意;对于④,不妨取120,1x x ==,则121211()()121012f x f x x x --==<--,故④不合题意, 综上可得满足性质ψ的所有函数的序号为①③,【点睛】本题考查了对函数新定义性质的理解,重点考查了运算能力,属中档题.二、填空题9.已知a,b,c,d为互不相等的实数,若|a-c|=| b-c |=| d-b|=1,则|a-d|=_____【答案】3【解析】由|a﹣c|=|b﹣c|且a,b,c,d为互不相等的实数,去绝对值符号可得a+b﹣2c =0,同理可得2b﹣c﹣d=0,联立即可得a﹣d=3(c﹣b),再结合题意即可得解.【详解】解:∵|a﹣c|=|b﹣c|且a,b,c,d为互不相等的实数,∴a﹣c+b﹣c=0即a+b﹣2c=0.①∵|b﹣c|=|d﹣b|且a,b,c,d为互不相等的实数,∴b﹣c=d﹣b即2b﹣c﹣d=0.②①②相加可得:a+3b﹣3c﹣d=0.即a﹣d=3(c﹣b),又因为|a﹣c|=|b﹣c|=|d﹣b|=1,则|a﹣d|=3|b﹣c|=3,故答案为:3.【点睛】本题考查了含绝对值符号的等式的运算,重点考查了运算能力,属基础题.10.已知函数y=f(x)是定义在R上的奇函数,当x>0时f(x)=x2- 4x+1,则f(0)+f(1)=_____ 【答案】-2【解析】由f(x)是定义在R上的奇函数,可得f(0)=0,再结合当x>0时f(x)=x2- 4x+1,可得f(1)=﹣2,然后求解即可.【详解】解:∵f(x)是定义在R上的奇函数,当x>0时,f(x)=x2﹣4x+1,则f(0)=0,f(1)=1﹣4+1=﹣2,则f(0)+f(1)=0﹣2=﹣2,故答案为:-2.【点睛】本题考查了利用函数解析式求值问题,重点考查了奇函数的性质,属基础题.11.若函数f(x)为一次函数,且f(x+1)= f(x)-2,f(x)的零点为1,则函数f(x)的解析式为【答案】f(x)=﹣2x+2【解析】由待定系数法求解析式,设f(x)=kx+b,k≠0,再将已知条件代入运算即可得解.【详解】解:设f(x)=kx+b,k≠0,∵f(x+1)=f(x)﹣2,∴k(x+1)+b=kx+b﹣2,即k=﹣2,∵f(x)=﹣2x+b的零点为1,即f(1)=b﹣2=0,∴b=2,f(x)=﹣2x+2,故答案为:f(x)=﹣2x+2.【点睛】本题考查了函数解析式的求法,重点考查了利用待定系数法求解析式,属基础题. 12.某产品的总成本C与年产量Q之间的关系为C=aQ2+3000,其中a为常数,且当年产量为200 时,总成本为15000. 记该产品的平均成本为f(Q)(平均成本=总成本年产量),则当Q =________., f(Q) 取得最小值,这个最小值为________.【答案】100 60【解析】先阅读题意,再列出该产品的平均成本f(Q)与年产量Q之间的函数关系,再结合重要不等式求解即可,一定要注意取等的条件.【详解】解:某产品的总成本C与年产量Q之间的关系为C=aQ2+3000,其中a为常数,且当年产量为200时,总成本为15000.可得15000=40000a+3000,解得a3 10 =,所以C310=Q2+3000,该产品的平均成本为f(Q)3300010QQ=+≥=60.当且仅当3300010QQ=,解得Q=100,即Q=100时,f(Q)取得最小值,最小值为60.故答案为:(1). 100 (2). 60 【点睛】本题考查了函数的综合应用,重点考查了重要不等式,属中档题. 13.设、为不相等的实数.若二次函数满足,则的值为______. 【答案】4【解析】由已知条件及二次函数图像的轴对称性得即2a+b=0,再求f(2)的值. 【详解】由已知条件及二次函数图像的轴对称性得.故答案为:4 【点睛】本题主要考查二次函数的图像和性质,意在考查学生对这些知识的掌握水平和分析推理能力.14.函数 y =f (x ) 的定义域为[-2.1,2],其图像如下图所示,且 f (-2.1) =-0.96(1)若函数 y =f (x ) -k 恰有两个不同的零点,则 k =_____ (2)已知函数 g ( x ) =321,0216,0x x x x x +≤⎧⎨+->⎩, y =g [f (x )] 有_____个不同的零点【答案】4或0 4【解析】(1)函数 y =f (x ) -k 恰有两个不同的零点等价于y =f (x )和y =k 的图象有两个不同的交点,再结合图像即可得解;(2)先由函数g (x )32102160x x x x x +≤⎧=⎨+-⎩,,>,求得函数g (x )的零点0x ,再求解0()f x x =的解的个数即可.解:(1)∵y =f (x )﹣k 恰有两个不同的零点, ∴y =f (x )和y =k 图象有两个不同的交点.又y =f (x )的图象如图:由图可得:当y =f (x )和y =k 图象有两个不同的交点时, k =4或k =0. (2)∵g (x )32102160x x x x x +≤⎧=⎨+-⎩,,>, 当x ≤0时,2x +1=0,得x 12=-; 此时f (x )12=-,由图可知有一个解; 当x >0时,g (x )=x 3+2x ﹣16单调递增,∵g (2)=﹣4,g (3)=17,∴g (x )在(2,3)有一个零点x 0,即f (x )=x 0∈(2,3) 由图可知有三个解, ∴共有四个解.故答案为:(1). 4或0(2). 4【点睛】本题考查了函数的零点个数与函数图像的交点个数的相互转化,重点考查了数形结合的数学思想方法,属中档题.三、解答题15.解下列关于 x 的不等式:(1) x 2-2x - 8≤0; (2) x 2+ 4x +5>0 ; (3) x 2≤ax【答案】(1){x |﹣2≤x ≤4}(3)当a =0时,不等式的解集为{0};当a >0时,不等式的解集为{x |0≤x ≤a };当a <0时,不等式的解集为{x |a ≤x ≤0}【解析】(1)先将x 2﹣2x ﹣8≤0因式分解得(x ﹣4)(x +2)≤0,再求解集即可; (2)将x 2+4x +5用配方法可得x 2+4x +5=(x +2)2+1,再解不等式即可;(3)分类讨论当a =0时;当a >0时;当a <0时,再求解不等式即可得解. 【详解】解:(1)由x 2﹣2x ﹣8≤0,得(x ﹣4)(x +2)≤0,所以﹣2≤x ≤4,所以不等式的解集为{x |﹣2≤x ≤4};(2)因为x 2+4x +5=(x +2)2+1≥1, 所以不等式x 2+4x +5>0的解集为R ; (3)由x 2≤ax ,得x 2﹣ax =x (x ﹣a )≤0,所以当a =0时,x =0;当a >0时,0≤x ≤a ;当a <0时,a ≤x ≤0, 所以当a =0时,不等式的解集为{0}; 当a >0时,不等式的解集为{x |0≤x ≤a }; 当a <0时,不等式的解集为{x |a ≤x ≤0}. 【点睛】本题考查了二次不等式的解法,主要考查了含参不等式的解法,重点考查了分类讨论的数学思想方法,属基础题.16.已知集合 A = {x|-1 ≤x ≤1} , B = {x|2x ≥a } , (1)当 a =0 时,求A ⋂B ;(2)若 A ⋃B =B ,求实数 a 的取值范围;(3)记集合C =A ⋂B ,若 C 中恰好有两个元素为整数,求实数 a 的取值范围. 【答案】(1) A ∩B =[0,1];(2) (﹣∞,﹣2];(3) (﹣2,0].【解析】(1)由a =0时,B ={x |x ≥0},且A ={x |﹣1≤x ≤1},再求交集即可; (2)由集合的运算A ∪B =B ,可得集合间的包含关系A ⊆B ,再列不等式求解即可; (3)由集合A 中有三个整数-1,0,1,再结合{|}2aB x x =≥求解即可. 【详解】解:(1)当a =0时,B ={x |x ≥0},且A ={x |﹣1≤x ≤1}, ∴A ∩B =[0,1]; (2)∵A ∪B =B ,∴A ⊆B ,且{|}2a B x x =≥, ∴12a≤-,∴a ≤﹣2, ∴实数a 的取值范围为(﹣∞,﹣2]; (3)∵A ∩B 中恰有两个元素为整数, ∴102a-≤<,解得﹣2<a ≤0, ∴实数a 的取值范围为(﹣2,0]. 【点睛】本题考查了集合的运算及集合间的包含关系,重点考查了集合思想,属基础题. 17.已知函数 f ( x ) =ax 2-2ax +1(a ≠ 0)(1)比较 f (1f (1 (2)若函数 f ( x ) 的图像恒在 x 轴的上方,求实数 a 的取值范围; (3)若函数 f ( x ) 在[-1,2]上的最大值为 4,求 a 的值.【答案】(1) f (1)=f (1);理由见解析(2)(0,1);(3) a =1或﹣3. 【解析】(1)将1-+(2)由二次函数的图像可得函数f (x )的图象恒在x 轴的上方,必有2044a a a ⎧⎨⎩><,运算即可得解;(3)分别讨论当a >0时,当a <0时,利用函数在[-1,2]的单调性求出函数的最大值,再结合题意求参数的值即可 【详解】解:(1)根据题意,函数f (x )=ax 2﹣2ax +1=a (x ﹣1)2+1﹣a ,则f (1)=1+a ,f (1+1+a ,故f (1)=f (1+; (2)若函数f (x )的图象恒在x 轴的上方,必有2044a a a ⎧⎨⎩><,解可得:0<a <1,即a 的取值范围为(0,1);(3)根据题意,函数f (x )=ax 2﹣2ax +1=a (x ﹣1)2+1﹣a ,其对称轴为x =1,分2种情况讨论:①当a >0时,f (x )在[﹣1,1]上递减,在[1,2]上递增,其最大值为f (﹣1)=1+3a ,则有1+3a =4,解可得:a =1,②当a <0时,f (x )在[﹣1,1]上递增,在[1,2]上递减,其最大值为f (1)=1﹣a , 则1﹣a =4,解可得a =﹣3;综合可得:a =1或﹣3.【点睛】本题考查了二次函数的性质,重点考查了分类讨论的数学思想方法,属中档题. 18.已知集合 M =(-1,1),对于 x ,y ∈M ,记ϕ( x ,y ) =1x y xy++ (1)求ϕ(0, 12) 的值; (2)如果 0<x <1,求ϕ( x ,1-x ) 的最小值;(3)求证:∀x ,y ∈M ,ϕ( x ,y ) ∈M【答案】(1)1 2 (2)4 5; (3)证明见解析【解析】(1)先理解新定义的运算,再求值即可; (2)由新定义的运算,得出()2111x x x x ϕ-=-++,,再结合分式函数求最值即可得解;(3)利用新定义的运算求证即可.【详解】解:(1)因为对于 x ,y ∈M ,记ϕ( x ,y ) =1x y xy++, 则101120122102ϕ+⎛⎫== ⎪⎝⎭+⨯,; (2)()()()2111111x x x x x x x x ϕ+--==+--++,,由于x ∈(0,1)时,21551()1244x x x ⎛⎤-++=--+∈ ⎥⎝⎦,,所以()4115x x ϕ⎡⎫-∈⎪⎢⎣⎭,,,即函数的最小值为45; (3)证明:因为x ,y ∈(﹣1,1),所以(x ﹣1)(y ﹣1)>0,xy ﹣x ﹣y +1>0,xy +1>x +y ,又1+xy >0,所以11x y xy++<;同理:(x +1)(y +1)>0,xy +x +y +1>0,xy +1>﹣(x +y ),又1+xy >0,所以11x y xy+-+>,综上,1x y M xy+∈+. 即有∀x ,y ∈M ,φ(x ,y )∈M .【点睛】本题考查了阅读能力,主要考查了对新定义的理解,重点考查了运算能力,属中档题. 19.已知函数 f ( x ) 满足:函数 y =()f x x在(0,3]上单调递增. (1)比较3f (2) 与 2f (3) 的大小,并说明理由;(2)写出能说明“函数 y =f ( x ) 在( 0, 3]单调递增”这一结论是错误的一个函数;(3)若函数的解析式为 f ( x ) =ax 3+ (1-a )x 2,求 a 的取值范围.【答案】(1) 3f (2)<2f (3),理由见解析;(2) f (x )=﹣1 (3)1 15a ⎡⎤∈-⎢⎥⎣⎦,. 【解析】(1)由()f x y x =在(0,3]上单调递增,则有()()2323f f <,得解;(2)由题意可得f (x )=﹣1满足要求;(3)y ()f x x ==ax 2+(1﹣a )x 在(0,3]上单调递增观察二次函数的开口,再讨论二次函数对称轴与区间的位置关系即可.【详解】(1)3f (2)<2f (3),理由如下:∵()f x y x =在(0,3]上单调递增,∴()()2323f f <,∴3f (2)<2f (3);(2)f (x )=﹣1;(3)∵y ()f x x ==ax 2+(1﹣a )x 在(0,3]上单调递增,当a >0时,对称轴10a x a -=≤时符合题意,解得a ∈(0,1];当a <0时,对称轴132a x a -=≥时符合题意,解得105a ⎡⎫∈-⎪⎢⎣⎭,; 当a =0时,显然符合题意, 综上,115a ⎡⎤∈-⎢⎥⎣⎦,. 【点睛】本题考查了函数的单调性,重点考查了分离变量最值法求参数的范围,属中档题. 20.设A (x A ,y A ), B (x B ,y B )为平面 直角坐标系上的两点,其中x A ,y A ,x B ,y B 均为整数3B A B A x x y y -+-= ,则称点 B 为点A 的“相关点”.点P 1是坐标原点 O 的“相关点”,点P 2是点P 1的“相关点”,点P 3是P 2的“相关点”,······依次类推,点P 2019是点P 2018的“相关点”.注:点A (x 1,y 1), B (x 2,y 2)间的距离AB =(1)直接写出点 O 与点P 1间的距离所有可能值(2)求点 O 与点P 3间的距离最大值;(3)求点 O 与点P 2019间的距离最小值.【答案】(1) 3(2)9 (3)1【解析】(1)先阅读题意,再由题意直接写出可能值即可;(2)理解题意,结合(1)可得当点1P 为(3,0),点2P 为(6,0),点3P 为(9,0)时点O 与点P 3间的距离最大;(3)“相关点”的关系是相互的,所以当n =2k ,(k ∈N )时,点O 与点P n 间的距离最小值为0,所以点O 与点P 2016间的距离最小值为0,再按题意求解即可.【详解】解:(1)点O 与点P 1间的距离所有可能值:3(2)因为点O (0,0),所以由(1)可知,当点P 1(3,0),点P 2(6,0),点P 3(9,0)时点O 与点P 3间的距离最大,∴点O 与点P 3间的距离最大值为9.(3)因为“相关点”的关系是相互的,所以当n =2k ,(k ∈N )时,点O 与点P n 间的距离最小值为0,所以点O 与点P 2016间的距离最小值为0,此时点P 2016又回到最初位置,坐标为(0,0),然后经过三次变换:P 2016(0,0)﹣﹣P 2017(2,1)﹣﹣P 2018(1,3)﹣﹣P 2019(0,1),所以点O 与点P 2019间的距离最小值为1.【点睛】本题考查了对新定义的理解,重点考查了阅读能力,属中档题.。
2023北京清华附中高一(上)期中数 学学校:___________姓名:___________班级:___________考号:___________一、单选题1.已知集合A ={﹣1,0},B ={x |﹣1<x <1},则A ∩B =( )A .{﹣1}B .{0}C .{﹣1,0}D .{﹣1,0,1}2.命题()21,0,0x x x ∀∈-+<的否定是( )A .()21,0,0x x x ∀∈-+>B .()21,0,0x x x ∀∈-+≤C .()21,0,0x x x ∃∈-+>D .()21,0,0x x x ∃∈-+≥3.下列函数中,既是偶函数又在()0,∞+上单调递增的是( )A .y x =-B .2y x =C .3y x =D .1y x=-4.已知()f x 为R 上的奇函数,当0x >时,()31f x x x=+,则()()10f f -+=( )A .2-B .0C .2D .45.已知a b c >>,0a b c ++=,则下列结论一定正确的是( )A .0a c +>B .0a b +<C .0ab >D .0ac <6.函数()22f x x x =-,[]2,2x ∈-的值域是( )A .[]1,0-B .[]0,8C .[]1,8D .[]1,8-7.已知正数x ,y 满足1x y +=,则112x y +的最小值是( )A B .C .32D .2+8.若函数()22f x x ax =-+与函数()a g x x=在区间[]1,2上都是减函数,则a 的取值范围是( )A .()()1,00,1-U B .()(]1,00,1-U C .()0,1D .(]0,19.对R x ∀∈,[]x 表示不超过x 的最大整数,我们把[]()f x x =,x ∈R 称为取整函数,以下关于“取整函数”的性质叙述错误的是( )A .R x ∃∈,[][]442x x =+B .R x ∀∈,[][]122x x x ⎡⎤++=⎢⎥⎣⎦C .,x y ∀∈R ,[][][]+≤+x y x y D .,x y ∀∈R ,[][]x y =,则1x y -<10.已知集合{}115M x N x =∈≤≤,集合A 1,A 2,A 3满足:①每个集合都恰有5个元素;②123A A A M ⋃⋃=.集合Ai 中元素的最大值与最小值之和称为集合Ai 的特征数,记为()1,2,3i X i =,则123X X X ++的最大值与最小值的和为( )A .56B .72C .87D .96二、填空题11.函数()f x =的定义域是 .12.已知二次函数()f x 同时具有以下性质:①()f x 有2个零点;②()f x 在()0,∞+上是增函数.写出符合上述条件的一个函数f (x ),其解析式为()f x = .三、双空题13.已知函数()2,,0x x t f x x x t ⎧≥=⎨<<⎩(0t >).①当1t =时()f x 的值域为 ;②若()f x 在区间()0,∞+上单调递增,则t 的取值范围是 .四、填空题14.50名学生参加甲、乙两项体育活动,每人至少参加了一项,参加甲项的学生有30名,参加乙项的学生有25名,则仅参加了一项活动的学生人数是 .15.已知函数()2||f x x x a =-+,下列命题中:①R,()a f x ∀∈都不是R 上的单调函数;②R a ∃∈,使得()f x 是R 上偶函数;③若()f x 的最小值是54-,则1a =-;④0a ∃<,使得()f x 有三个零点.则所有正确的命题的序号是 .五、问答题16.求下列关于x 的不等式的解集.(1)23100x x -->;(2)4101x +≤-;(3)22(2)0x x a a ++-<.17.设集合{}{}2|230,|A x x x B x x a =--=<<.(1)当2a =时,分别求R ,A B A B ð;(2)若“x A ∈”是“x B ∈”的充分不必要条件,求实数a 的取值范围.18.关于x 的方程()()2221100k x k x k +++=≠有两个不等实根1x ,2x .(1)求实数k 的取值范围;(2)当1k =时,求2212x x +的值;(3)若212118x x ⎛⎫+= ⎪⎝⎭,求实数k 的值.六、应用题19.某公司计划投资A ,B 两种金融产品,根据市场调查与预测,A 产品的利润1y 与投资金额x 的函数关系为11801810y x =-+,B 产品的利润2y 与投资金额x 的函数关系为25x y =(注:利润与投资金额单位:万元).现在该公司有100万元资金,并全部投入A ,B 两种产品中且均有投,其中x 万元资金投入A 产品.(1)请把A ,B 两种产品利润总和y 表示为x 的函数,并直接写出定义域;(2)在(1)的条件下,当x 取何值时才能使公司获得最大利润?七、问答题20.已知二次函数()f x 最小值为9-,且1-是其一个零点,R x ∀∈都有()()22f x f x -=+.(1)求()f x 的解析式;(2)求()f x 在区间[]1,a -上的最小值;(3)是否存在实数a 满足:对[]1,x a ∀∈-,都有()11f x a ≥-恒成立?若存在,求实数a 的取值范围;若不存在,请说明理由.21.对非空整数集合M 及N k ∈,定义{}|,,1,,M k m t m M t k k k ⊕=+∈=--+ ,对于非空整数集合A ,B ,定义(){},min N|,d A B k A B k B A k =∈⊆⊕⊆⊕.(1)设{}2,4,6M =,请直接写出集合1M ⊕;(2)设{}1,2,3,4,,100A = ,(),1d A B =,求出非空整数集合B 的元素个数的最小值;(3)对三个非空整数集合A ,B ,C ,若(),4d A B =且(),1d B C =,求(),d A C 所有可能取值.参考答案一、单选题1.【答案】B【分析】全称命题的否定为特称命题.【详解】命题为全称命题,则命题的否定为()2100x x x ∃∈-+≥,,.故选:D3.【答案】B【分析】根据已知得00a c ><,,由此可判断得选项.【详解】解:因为a b c >>,0a b c ++=,所以一定有00a c ><,,b 的符号不能确定,所以a c +,ab 的符号不能确定,0a b +>,一定成立的是0ac <,故选:D.6.【答案】D【分析】求出函数的对称轴,结合二次函数的单调性和对称性进行求解即可.【详解】()22f x x x =-,对称轴为1x =,[]2,2x ∈-,∴函数()f x 在[]2,1-上单调递减,在(]1,2上单调递增,()()min 11f x f ∴==-,由对称性可得()()max 28f x f =-=,所以函数()f x 的值域是[]1,8-.故选:D.7.【答案】C11.【答案】[)()0,11,⋃+∞【分析】根据已知只需满足一元二次方程()0f x =有两个不相等的实数根,且开口方向向上,对称轴为y 轴或y 轴的左侧即可.【详解】设()21f x x =-,解()210f x x =-=可得,1x =±,所以,1-和1是()f x 的2个零点,满足条件①;()21f x x =-的对称轴为0x =,根据二次函数的性质可知,()f x 在()0,∞+上是增函数,满足条件②.所以,()21f x x =-满足题意.故答案为:()21f x x =-(答案不唯一).三、双空题13.【答案】 ()0,∞+ [)1,∞+【分析】当1t =时,分别求出两段函数的值域,取并集即可;若()f x 在区间()0,∞+上单调递增,则有20t t t >⎧⎨≥⎩,解之即可得解.【详解】解:当1t =时,若1x ≥,则()[)21,f x x =∈+∞,若01x <<,则()()0,1f x x =∈,所以当1t =时()f x 的值域为()0,∞+;由函数2,,0x x t x x t ⎧≥⎨<<⎩(0t >),可得函数()f x 在()0,t 上递增,在(),t +∞上递增,因为()f x 在区间()0,∞+上单调递增,所以20t t t >⎧⎨≥⎩,解得1t ≥,所以若()f x 在区间()0,∞+上单调递增,则t 的取值范围是[)1,+∞.故答案为:()0,∞+;[)1,+∞.四、填空题14.【答案】45【分析】根据条件作出Venn 图,然后即可求解出仅参加了一项活动的学生人数.【详解】如图所示:根据条件可知:甲、乙两项体育活动都参加的有:3025505+-=人,所以单独参加甲活动的有:30525-=人,单独参加乙活动的有:25520-=人,所以仅参加了一项活动的学生人数为:202545+=人,故答案为:45.【点睛】本题考查利用Venn 图解决集合的交、并问题,主要考查学生对Venn 图的理解以及运用,难度较易.15.【答案】①②④16.【答案】(1)(,2)(5,)-∞-⋃+∞17.【答案】(1)R 2,3,2,3A B A B =-= ð(2)3a ≥【分析】(1)根据交并补的概念求解;(2)根据“充分不必要条件”的定义求解.【详解】(1)由题意:{}()()()2|2301,3,2,2,2,2,3A x x x a B A B =--=-==-∴=- <,(][)R ,22,B =-∞-+∞ ð,[)R 2,3A B = ð;(2)由题意,A 是B 的真子集,,B a ∴≠∅>0,(),,1,3,3B a a a a a =-∴-≤-≥∴≥;综上,(1)()[)R 2,3,2,3A B A B =-= ð,(2)3a ≥.18.【答案】(1)()1,00,2⎛⎫-+∞ ⎪⎝⎭(2)1419.【答案】(1)()180138,0,100105y x x x =--∈+20.【答案】(1)()245f x x x =--(2)()()()2min45,129,2a a a f x a ⎧---≤≤⎪=⎨->⎪⎩(3)12a ≤≤【分析】(1)由题意可设二次函数的顶点式,利用待定系数法即可求()f x 的解析式;(2)由函数的单调性,分12a ≤≤和2a >两种情况进行讨论;(3)因()11f x a ≥-对[]1,x a ∀∈-恒成立,故可转化成对[]1,x a ∀∈-,()min 11f x a ≥-恒成立,借助(2)的结论解不等式即可.【详解】(1)因为对R x ∀∈都有()()22f x f x -=+,所以()f x 关于直线2x =对称,又因为二次函数()f x 的最小值为9-,所以可设二次函数的解析式为()()()2290f x a x a =-->,又因为1-是其一个零点,所以()()211290f a -=---=,解得1a =,所以()f x 的解析式为()()222945f x x x x =--=--.(2)由(1)可知,函数()f x 在(),2-∞上单调递减,在()2,+∞上单调递增,所以,当12a ≤≤时,()()2min 45f x f a a a ==--,当2a >时,()()min 29f x f ==-,()()()2min 45,129,2a a a f x a ⎧---≤≤⎪=⎨->⎪⎩.(3)因为对[]1,x a ∀∈-,都有()11f x a ≥-恒成立,由(2)可知,对[]1,x a ∀∈-,()min 11f x a ≥-恒成立,即2124511a a a a -≤≤⎧⎨--≥-⎩或2911a a >⎧⎨-≥-⎩,解得12a ≤≤,故存在实数a 符合题意,实数a 的取值范围12a ≤≤.21.【答案】(1){}11,2,3,4,5,6,7M ⊕=所以在本题中,()()(),,,415d A C d A B d B C ≤+=+=,()()(),,,413d A C d A B d B C ≥-=-=,即(){},3,4,5d A C ∈,取{}{}{}0,4,5A B C ===,可知(),5d A C =可能成立,取{}{}{}0,4,3A B C ===,可知(),3d A C =可能成立,取{}{}{}0,4,3,4A B C ===,可知(),4d A C =可能成立,综上所述,(),d A C 所有可能取值为3或4或5.【点睛】关键点点睛:第一问比较常规,直接按定义即可;第二问的关键是要注意到由题意有1A B ⊆⊕,从而只需每个i b B ∈组成的数组()1,,1i i i b b b -+能够覆盖{}1,2,3,4,,100A = 即可;而第三问的关键是要注意到d 表示距离,因此要联想到去证明距离的三角不等式()()(),,,d A C d A B d B C ≤+,从而顺利得解.。
清华附中2019-2020学年度上学期期中考试高一数学试卷本试卷分为基础卷和附加卷,共150分;考试时间为1 20分钟.一、选择题(本大题共10小题,每小题4分,共40分.请把答案填入表格)C(M∪N)等于 ( ) 1.已知集合U={a,b,c,d,e},M={a,b,c},N={b,c,d},则U(A){e} (B){a,b,c} (c){a,d,e} (D)φ2.已知集合M={x|-4≤x≤7),N={x|x2-x-6>O},则M∩N= ( )(A){x|-4≤x<-2,或3<x≤7} (B){x|-4<x≤-2,或3≤x<7}(c){x|x≤-2,或x>3} (D){x|x<-2,或x≥3}3.如果命题“p且q”与命题“p或q”都是假命题,那么 ( )(A)命题“非p”与命题“非q”的真值不同(B)命题“非p”与命题“非q”中至多有一个是真命题(C)命题“p”与命题“非q”的真值相同(D)命题“非p且非q”是真命题4.如果(x,y)在映射f下的象是(x+y,x-y),那么(1,2)在映射f下的原象是 ( ) (A)(3,-1)(B)(C)(D)(-1,3)5.函数的定义域为(A)(-2,1)∪(1-2) (B)[-2,1)∪(1,2)(C)(-∞,-2)∪(2,+∞) (D)(-∞,-2]∪[2,+∞)6.函数y=x2-4x+3,X∈[0,3)的值域为 ( )(A)[-1,2] (B)(0,3] (C)[-1,+∞) (D)[-1,3]7.已知函数,则f(4)的值为 ( )(A) (B) (C) (D)28.已知函数y=x2+2(a-1)x+2在(-∞,4)上是减函数,则a的取值范围是 ( )(A)[3,+∞) (B)(-∞,3] (C)[-3,+∞) (D)(-∞,-3]9.函数,(1≤x≤2)的反函数是 ( )10.己知函数是R上的减函数,则a的取值范围是( )(A)(0,1) (B) (C) (D)二、填空题(本大题共5小题,每小题4分,共20分)11.点P(1,2)在函数的图象上,又在其反函数的图象上,则a=____,b=_____.12.已知函数y=f(x)的定义域为[-1,1],则函数y=f(3x-2)的定义域为___.13.定义域为R的函数f(x)满足:对于定义域内的任意实数都有f(-x)=f(x).当x<0时,f(x)=x-x4,则当x>0时,f(x)=_____.1 4.设a>0且a≠1,如果函数y=a2x+2a x-1在区间[-1,1]上的最大值为14,则a=______.15.对于任意实数a,b,c,给出下列四个命题:(1)“a=b”是“ac=bc”的充要条件;(2)“a+5是无理数”是“a是无理数”的充要条件;(3)“a>b”是“a2>b2”的充分而不必要条件;(4)“a<5”是“a<3”的必要而不充分条件.其中正确命题的序号为____.三、解答题(本大题共4小题.共40分;解答应写出文字说明,证明过程或演算步骤)16.(8分)用函数单调性的定义证明函数上是增函数.17.(10分)已知函数,求f(x)的反函数f-1(x),并在所给的坐标系中画出函数y=f-1(x)的图象.18.(10分)已知函数f(x)是定义在[-1,1]上的减函数,且对于任意的x∈[-1,1]都有f(-x)=-f(x),若f(a2-a-1)+f(4a-5)>0,求实数a的取值范围.19.(1 2分)已知函数f(x)=x2+ax+1,不等式f(x)≥0的解集为P,集合Q={x|0<x≤2},若Q P,求a的取值范围.数学(附加)一、填空题(本大题共8小题,每小题5分,共40分)1.如果函数F(x)=x2+x+a,(a>0)满足f(m)<0,则f(m+1)的值______________. (填“是正数”、“是负数”、“可能是正数也可能是负数”)2.已知关于x的不等式ax2+(2a+1)x+a>0的解集不是空集,则a的取值范围是__________.3.已知函数f(x)=x2+(a+1)x+b,且f(3)=3,又f(x)≥x对于任意的实数x恒成立,则a=__________,b=__________.4.关于x的方程x2+(m+1)x+2m=0的两根均在(-1,1)内的充要条件为m∈__________.5.已知函数的值域为[0,+∞),则a的取值范围是__________.6.若直线y=2a与函数y=|a x-1|(a>0且a≠1)的图象有两个公共点,则a的取值范围是__________.7.已知函数,f(1)+f(2)+……+f(2006)++……+的值为__________.8.有下列四个命题:(1)若函数y=f(x)与其反函数y=f-1(x)图象有公共点,则这些公共点一定在直线y=x上;(2)如果函数f(x)存在反函数,且在其定义域内是增函数,那么其反函数也是增函数:(3)若函数y=x2的值域是[0,4],则它的定义域是[-2,2];(4)函数f(x)=x2-2ax-3在区间[1,2]上存在反函数的一个充分而不必要条件是a≤1,或a≥2.其中正确的命题是__________.(填正确命题的序号)二、解答题(本大题共1小题,共10分;解答应写出文字说明或演算步骤)9.(10分)设函数厂(x)定义域为(0,+∞),且满足:(1)函数f(x)在定义域上是增函数:(2)对定义域内的所有x,都有;(3)对定义域内的所有x,都有,求函数值f(1).。
第 1 页 共 10 页 启用前★绝密2019-2020学年高一年级期中测试数 学 试 题(考试时间:120分钟;满分:150分)一、选择题:本大题共12个小题,每小题5分,共60分.在每小题给出的四个选项中,只有一项是符合题目要求的.1.已知集合}01|{2=-=x x A ,则下列式子表示正确的有()①A ∈1 ②A ∈-}1{ ③A ⊆φ ④A ⊆-}1,1{A .1个B .2个C .3个D .4个2.设集合{|12},{|}.A x x B x x a =<<=<若,A B ⊆则a 的范围是() A .2a ≥ B .1a ≤ C .1a ≥ D .2a ≤ 3.下列函数中,与函数()f x x =是同一函数的是( )A .2()x g x x = B .2()1x xg x x -=-C.()g x = D.()g x =4.已知函数2()1f x x ax =-+在[2,)+∞上单调递增,则实数a 的取值范围是() A .{4} B .(,4]-∞ C .(,4)-∞ D .(,2]-∞5.已知函数2(1)1()2a x f x x -+=+是定义在R 上的偶函数,则实数a 值为( )A .1B .0C .1-D . 26.已知函数9,1()72,1x x f x x x +≤⎧=⎨->⎩,则不等式()3f x >的解集为( )A .(6,1]-B .(1,2)C .(6,2)-D .(6,2]-7.三个数 1.10.80.70.8,log 0.6,log 0.6a b c ===之间的大小关系是( )A .c b a >>B .b c a >>C .c a b >>D .a c b >>8.设函数f(x)=⎩⎨⎧<-≥-1,1,1x x x x ,则f(f(-1))=( )。
G19级高中入学适应性检测数学试卷一、选择题1.命题3:N,1p x x ∀∈≥,则p ⌝为()A.3N,1x x ∀∈< B.3N,1x x ∀∉≥ C.300N,1x x ∃∉≥ D.300N,1x x ∃∈<2.已知,a b ∈R ,0ab =,则下列等式一定成立的是()A.220a b += B.||||a b a b +=- C.()0a ab -= D.||||0a b +=3.已知,,a b c ∈R ,且a b c >>,则下列不等式一定成立的是()A.ab bc> B.()()b a bc a b ->- C.22a b > D.a b b c->-4.已知全集U =R ,集合{}2|230A x x x =-->,集合{|||2}B x x =≤.则下图的阴影部分表示的集合为()A.[1,2)-B.(2,3]-C.(2,3]D.[1,3]-5.已知,a b ∈R ,则“a b >”是“21a b +>+”的()A.充分而不必要条件B.必要而不充分条件C.充分必要条件D.既不充分又不必要条件6.已知集合{1,2,3}A =,(],B t =-∞,若A B ⊄,则实数t 的取值范围是()A.(1,)+∞B.(3,)+∞ C.(,1)-∞ D.(,3)-∞7.已知1x >,则91x x +-的最小值为()A.4B.6C.7D.108.已知集合{(,)|10,10,,}A x y x y x y N =≤≤∈,B A ⊆,且对于集合B 中任意两个元素()11,x y ,()22,x y ,均有()()12120x x y y --≤,则集合B 中元素的个数最多为()A.21B.19C.11D.10二、填空题9.集合{1,2}的真子集的个数为________.10.写出能说明命题“若a b c >>,则a b c +>”为假命题的一组的整数值:a =_______;b =_______;c =________.11.已知1,0()0,01,0x sgn x x x >⎧⎪==⎨⎪-<⎩则方程2sgn()60x x x -⋅-=的根为_________.12.若关于x 的方程212x ax -=+的根均为负数,则实数a 的取值范围是_________.13.在某校冬季长跑活动中,学校要给获得一、二等奖的学生购买奖品,要求花费总额不得超过200元.已知一等奖和二等奖奖品的单架分别为20元、10元,一等奖人数与二等奖人数的比值不得高于13,且获得一等奖的人数不能少于2人,有下列四个结论:①最多可以购买4份一等奖奖品②最多可以购买16份二等奖奖品③购买奖品至少要花费100元④共有20种不同的购买奖品方案其中正确结论的序号为___________.14.已知集合{1,2,3,}A x =中的最大值与最小值的差等于集合A 中所有元素之和,则x =______.三、解答题15.解下列关于x 的不等式:(1)2230x x --≤;(2)2450x x -+->;(3)210x ax a -+-≤16.已知集合{1,2,}A a =,{}2,1B a a =+(1)当1a =-时,求A B .(2)是否存在实数a ,使得{0}A B = ,说明你的理由;(3)记{}2|,C y y x x A ==∈若B C ⋃中恰好有3个元素,求所有满足条件的实数a 的值.(直接写出答案即可)17.已知集合{}2|20A x x ax a =-+-<(1)当2a =时,求集合A 中的所有正整数元素;(2)求证:对于任意的,a R A ∈≠∅;(3)若0A ∈,求证:[0,2]A ⊄.18.己知1,,x y x y R +=∈,(1)若*,x y R ∈的最大值;(2)若*,x y R ∈,求14x y+的最小值;(3)求(13)x y -的最小值.19.己知抛物线2:(0)G y ax bx c ab =++≠的顶点为P ,与y 轴的交点为Q ,则直线PQ 称为抛物线G 的伴随直线.(1)求抛物线221y xx =-+的伴随直线的表达式;(2)已知抛物线2y ax bx c =++的伴随直线为24y x =+,且该抛物线与x 轴有两个不同的公共点,求a 的取值范围.(3)已知(3,4),(0,4)A B -,若抛物线2y ax bx c =++的伴随直线为y ax b =+,且该抛物线与线段AB 恰有1个公共点,求a 的取值范围(直接写出答案即可)。
2023-2024学年北京市清华大学附中高一(上)期中数学试卷一、选择题共10小题,每小题4分,共40分。
在每小题列出的四个选项中,选出符合题目要求的一项。
1.已知集合A ={﹣1,0},B ={x |﹣1<x <1},则A ∩B =( ) A .{﹣1}B .{0}C .{﹣1,0}D .{﹣1,0,1}2.命题∀x ∈(﹣1,0),x 2+x <0的否定是( ) A .∀x ∈(﹣1,0),x 2+x >0 B .∀x ∈(﹣1,0),x 2+x ≤0 C .∃x ∈(﹣1,0),x 2+x >0D .∃x ∈(﹣1,0),x 2+x ≥03.下列函数中,既是偶函数又在(0,+∞)上单调递增的是( ) A .y =﹣|x |B .y =x 2C .y =x 3D .y =−1x4.已知f (x )为R 上的奇函数,当x >0时,f (x )=x 3+1x,则f (﹣1)+f (0)=( ) A .﹣2B .0C .2D .45.已知a >b >c ,a +b +c =0,则下列结论一定正确的是( ) A .a +c >0B .a +b <0C .ab >0D .ac <06.函数f (x )=x 2﹣2x ,x ∈[﹣2,2]的值域是( ) A .[﹣1,0]B .[0,8]C .[1,8]D .[﹣1,8]7.已知正数x ,y 满足x +y =1,则12x+1y的最小值是( )A .√2B .2√2C .32+√2D .2+√28.若函数f (x )=﹣x 2+2ax 与函数g(x)=ax 在区间[1,2]上都是减函数,则a 的取值范围是( ) A .(﹣1,0)∪(0,1) B .(﹣1,0)∪(0,1] C .(0,1)D .(0,1]9.对∀x ∈R ,[x ]表示不超过x 的最大整数,我们把f (x )=[x ],x ∈R 称为取整函数,以下关于“取整函数”的性质叙述错误的是( ) A .∃x ∈R ,[4x ]=4[x ]+2 B .∀x ∈R ,[x]+[x +12]=[2x]C .∀x ,y ∈R ,[x +y ]≤[x ]+[y ]D .∀x ,y ∈R ,[x ]=[y ],则|x ﹣y |<110.已知集合M ={x ∈N |1≤x ≤15},集合A 1,A 2,A 3满足: ①每个集合都恰有5个元素;②A 1∪A 2∪A 3=M .集合A i 中元素的最大值与最小值之和称为集合A i 的特征数,记为X i (i =1,2,3),则X 1+X 2+X 3的最大值与最小值的和为( )A .56B .72C .87D .96二、填空题共5小题,每小题5分,共25分。
清华附中2019-2020学年度上学期期中考试
高一数学试卷
本试卷分为基础卷和附加卷,共150分;考试时间为1 20分钟.
一、选择题(本大题共10小题,每小题4分,共40分.请把答案填入表格)
C(M∪N)等于 ( ) 1.已知集合U={a,b,c,d,e},M={a,b,c},N={b,c,d},则
U
(A){e} (B){a,b,c} (c){a,d,e} (D)φ
2.已知集合M={x|-4≤x≤7),N={x|x2-x-6>O},则M∩N= ( )
(A){x|-4≤x<-2,或3<x≤7} (B){x|-4<x≤-2,或3≤x<7}
(c){x|x≤-2,或x>3} (D){x|x<-2,或x≥3}
3.如果命题“p且q”与命题“p或q”都是假命题,那么 ( )
(A)命题“非p”与命题“非q”的真值不同
(B)命题“非p”与命题“非q”中至多有一个是真命题
(C)命题“p”与命题“非q”的真值相同
(D)命题“非p且非q”是真命题
4.如果(x,y)在映射f下的象是(x+y,x-y),那么(1,2)在映射f下的原象是 ( ) (A)(3,-1)(B)(C)(D)(-1,3)
5.函数的定义域为
(A)(-2,1)∪(1-2) (B)[-2,1)∪(1,2)
(C)(-∞,-2)∪(2,+∞) (D)(-∞,-2]∪[2,+∞)
6.函数y=x2-4x+3,X∈[0,3)的值域为 ( )
(A)[-1,2] (B)(0,3] (C)[-1,+∞) (D)[-1,3]
7.已知函数,则f(4)的值为 ( )
(A) (B) (C) (D)2
8.已知函数y=x2+2(a-1)x+2在(-∞,4)上是减函数,则a的取值范围是 ( )
(A)[3,+∞) (B)(-∞,3] (C)[-3,+∞) (D)(-∞,-3]
9.函数,(1≤x≤2)的反函数是 ( )
10.己知函数是R上的减函数,则a的取值范围是( )
(A)(0,1) (B) (C) (D)
二、填空题(本大题共5小题,每小题4分,共20分)
11.点P(1,2)在函数的图象上,又在其反函数的图象上,则a=____,b=_____.
12.已知函数y=f(x)的定义域为[-1,1],则函数y=f(3x-2)的定义域为___.
13.定义域为R的函数f(x)满足:对于定义域内的任意实数都有f(-x)=f(x).当x<0时,f(x)=x-x4,则当x>0时,f(x)=_____.
1 4.设a>0且a≠1,如果函数y=a2x+2a x-1在区间[-1,1]上的最大值为14,则a=______.
15.对于任意实数a,b,c,给出下列四个命题:
(1)“a=b”是“ac=bc”的充要条件;
(2)“a+5是无理数”是“a是无理数”的充要条件;
(3)“a>b”是“a2>b2”的充分而不必要条件;
(4)“a<5”是“a<3”的必要而不充分条件.
其中正确命题的序号为____.
三、解答题(本大题共4小题.共40分;解答应写出文字说明,证明过程或演算步骤)
16.(8分)用函数单调性的定义证明函数上是增函数.
17.(10分)已知函数,求f(x)的反函数f-1(x),并在所给的坐标系中画出函数y=f-1(x)的图象.
18.(10分)已知函数f(x)是定义在[-1,1]上的减函数,且对于任意的x∈[-1,1]都有f(-x)=-f(x),若f(a2-a-1)+f(4a-5)>0,求实数a的取值范围.
19.(1 2分)已知函数f(x)=x2+ax+1,不等式f(x)≥0的解集为P,集合Q={x|0<x≤2},若Q P,求a的取值范围.
数学(附加)
一、填空题(本大题共8小题,每小题5分,共40分)
1.如果函数F(x)=x2+x+a,(a>0)满足f(m)<0,则f(m+1)的值______________. (填“是正数”、“是负数”、“可能是正数也可能是负数”)
2.已知关于x的不等式ax2+(2a+1)x+a>0的解集不是空集,则a的取值范围是__________.
3.已知函数f(x)=x2+(a+1)x+b,且f(3)=3,又f(x)≥x对于任意的实数x恒成立,则a=__________,b=__________.
4.关于x的方程x2+(m+1)x+2m=0的两根均在(-1,1)内的充要条件为m∈__________.
5.已知函数的值域为[0,+∞),则a的取值范围是__________.
6.若直线y=2a与函数y=|a x-1|(a>0且a≠1)的图象有两个公共点,则a的取值范围是__________.
7.已知函数,f(1)+f(2)+……+f(2006)++……+的值为__________.
8.有下列四个命题:
(1)若函数y=f(x)与其反函数y=f-1(x)图象有公共点,则这些公共点一定在直线y=x上;
(2)如果函数f(x)存在反函数,且在其定义域内是增函数,那么其反函数也是增函数:
(3)若函数y=x2的值域是[0,4],则它的定义域是[-2,2];
(4)函数f(x)=x2-2ax-3在区间[1,2]上存在反函数的一个充分而不必要条件是a≤1,或a≥2.
其中正确的命题是__________.(填正确命题的序号)
二、解答题(本大题共1小题,共10分;解答应写出文字说明或演算步骤)
9.(10分)设函数厂(x)定义域为(0,+∞),且满足:
(1)函数f(x)在定义域上是增函数:
(2)对定义域内的所有x,都有;
(3)对定义域内的所有x,都有,
求函数值f(1).。