华科作业封面
- 格式:pdf
- 大小:156.45 KB
- 文档页数:3
院(系)主管教学负责人签字:孙雅亮 制表人:康忠军 联系电话:87559334
3——1
华中科技大学本科生课表页面及文字排版要求
1、整个课表页面设置纸张大小为:A3幅面,Excel格式;页边距为:左1.1、右0.9,上2.0、下2.0,页眉、页脚各为1.3。
2、课表“标题”一栏,字体为:黑体22号字,加粗。
3、课表“周次、教学进程”一栏,字体为:宋体14号字,加粗。
4、课表“课程名称、学时数、学分、任课教师姓名职称”一栏,字体为:宋体12号字,内容为:宋体11号字。
5、课表“专业班”一栏,字体为:宋体12号字,加粗。
6、课表“星期、节次”一栏,字体为:宋体14号字,内容为:宋体12号字。
7、课表“备注、说明”一栏,字体为:宋体12号字,加粗,内容为:宋体12号字。
8、课表“院(系)负责人签字”一栏,字体为:黑体12号字,加粗。
9、课表“页脚”一栏,字体为:宋体16号字,加粗。
10、课表“周次、教学进程、专业班、备注、说明”栏及“星期”栏外框全部为黑粗线,其余为普通细线。
11、课表“周次、教学进程、专业班、备注、说明”栏为浅灰色底色(填充颜色灰色25%)。
教务处
二○一○年十月。
华中科技大学2006级毕业设计(论文)(页面设置:论文版心大小为155mm×245mm,页边距:上,下,左,右2cm,行间距20磅,装订线位置左,装订线1cm,)此处为论文题目,黑体2号字(以下各项居中列,黑体小四号)年级:学号:姓名:专业:指导老师:(填写时间要用中文)二零零八年六月院系专业年级姓名题目指导教师评语指导教师 (签章)评阅人评语评阅人 (签章) 成绩答辩委员会主任 (签章)年月日毕业设计任务书班级学生姓名学号专业发题日期:年月日完成日期:年月日题目题目类型:工程设计技术专题研究理论研究软硬件产品开发一、设计任务及要求二、应完成的硬件或软件实验三、应交出的设计文件及实物(包括设计论文、程序清单或磁盘、实验装置或产品等)四、指导教师提供的设计资料五、要求学生搜集的技术资料(指出搜集资料的技术领域)六、设计进度安排第一部分(4 周)第二部分(6 周)第三部分(2 周)评阅及答辩(1 周)指导教师:年月日系主任审查意见:审批人:年月日注:设计任务书审查合格后,发到学生手上。
××××大学××××××××学院20XX年制摘要正文略关键词:关键词;关键词;关键词;关键词(关键词之间分号隔开,并加一个空格)Abstract 正文略Keywords: keyword; keyword; keyword; keyword目录摘要 ............................................................................................................................. I V ABSTRACT (V)第1章绪论 (1)本论文的背景和意义 (1)本论文的主要方法和研究进展 (1)本论文的主要内容 (1)本论文的结构安排 (1)第2章各章题序及标题小2号黑体 (2)各节点一级题序及标题小3号黑体 (2)各节的二级题序及标题4号黑体 (2)页眉、页脚说明 (2)段落、字体说明 (2)公式、插图和插表说明 (2)结论 (5)致谢 (6)参考文献 (7)附录 1 标题 (8)附录 2 标题 (9)第1章绪论本论文的背景和意义引用文献标示应置于所引内容最末句的右上角,用小五号字体[1]。
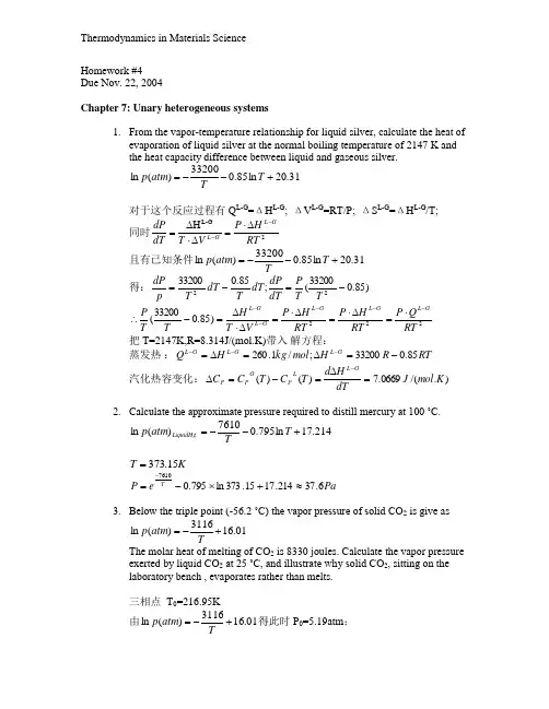
Homework #4Due Nov. 22, 2004Chapter 7: Unary heterogeneous systems1. From the vapor-temperature relationship for liquid silver, calculate the heat of evaporation of liquid silver at the normal boiling temperature of 2147 K and the heat capacity difference between liquid and gaseous silver.31.20ln 85.033200)(ln +--=T Tatm p对于这个反应过程有Q L-G =ΔH L-G ; ΔV L-G =RT/P; ΔS L-G =ΔH L-G /T; 同时2G -L H RTH P V T dT dP GL G L --∆⋅=∆⋅∆= 且有已知条件31.20ln 85.033200)(ln +--=T Tatm p 得:)85.033200(;85.03320022-=-=T T P dT dP dT T dT T p dP 222)85.033200(RT Q P RT H P RT H P V T H T T P GL G L G L G L G L -----⋅=∆⋅=∆⋅=∆⋅∆=-∴ 把 T=2147K,R=8.314J/(mol.K)带入 解方程:蒸发热 :RT R H mol kg H Q G L G L G L 85.033200;/1.260-=∆=∆=--- 汽化热容变化:)./(0669.7)()(K mol J dTH d T C T C C G L L P G P P =∆=-=∆-2. Calcula te the approximate pressure required to distill mercury at 100 ˚C.214.17ln 795.07610)(ln +--=T Tatm p LiquidHgK T 15.373=Pa e P T6.37214.1715.373ln 795.07610≈+⨯-=-3. Below the triple point (-56.2 ˚C) the vapor pressure of solid CO 2 is give as01.163116)(ln +-=Tatm p The molar heat of melting of CO 2 is 8330 joules. Calculate the vapor pressure exerted by liquid CO 2 at 25 ˚C, and illustrate why solid CO 2, sitting on the laboratory bench , evaporates rather than melts.三相点 T 0=216.95K 由01.163116)(ln +-=T atm p 得此时P 0=5.19atm ;在(298.15K,1atm )状态下,因为1atm <5.19atm,所以CO 2此时是气态,故标准状况下 ,应该是升华为主。
二年级环境艺术设计专业《展示建筑设计》校史陈列馆建筑方案设计一、教学目的●理解设计过程中功能和形式的关系。
●通过对日常生活的体验,发现问题和解决问题,同时理解“设计”的内涵,开始关注环境景观与建筑设计的关系。
●了解相关的设计理论,掌握一种理性设计方法,即由建筑环境、功能关系推理衍生建筑,使建筑的设计过程具有逻辑与理性,这也是现代建筑最为通常的评判法则。
二、设计要求1)建筑题目及类型:小型校史陈列馆,属展示类建筑。
2)建设用地:本校区原机械厂用地范围内。
本次设计,我们提供的基地面积较大,学生根据自己的需要选定并划定建设用地。
本次基地规模控制在2000 M²以内。
3)建筑规模:建筑面积1000~1200 M²左右。
(±10%)4)功能组成:⏹陈列室3~4个,100~120 M²/间;另设珍品陈列室一间,100 M²;⏹门厅:50~100 M²;⏹库房:100 M²;⏹办公室2~3间,20 M²/间;⏹男女卫生间各一间,15 M²/间;⏹休闲茶吧一间(带吧台及服务间),80~100 M²;⏹学校纪念品商店:50 M²。
⏹入口小型广场500~800 M²(不计入建筑面积);5)设计要求:根据所定地形图及对基地的踏勘分析,每个学生独立完成一套建筑设计方案,其中要有建筑选址、基地分析、建筑构思分析等内容。
设计方案要求合理而又富有创意,要求:⏹所有功能与形式均须包含在用地范围内;⏹建筑层数不得超过3层,必须要有楼层;⏹对基地应尽可能减少破坏,特别是对大树或成规模的植被保护,建筑必须与环境相融合;⏹建筑的容积率(即基地内所有建筑面积之和与基地面积之比)约0.5~0.6,外围环境必须设计表达清楚(道路、绿化、停车等);室外停车位设4~5个;必须考虑商业的外围空间环境的营造和30~40辆自行车停车位;⏹建筑应考虑女儿墙排水或坡屋顶等构造问题,必须有室内外高差;⏹就自己目前所知考虑建筑材料的特殊变化或特殊要求;⏹必须绘制人流分析图、功能组成分析图等,制图规范。
华科通知书宣传手册
中华科技大学是一所以科学技术为特色,专业发展极具特色的高校。
核心优势可总结为产学研融合特色、现代化培养模式、育人熔炉形象。
1、融合型教学特色:以产学研融合为指导,以企业实践为纽带,以应
用型、创新型人才培养为宗旨,将企业实践直接植入课堂教学,搭建
企业招聘会,深度开展企业实践教学,形成了产学研融合的发展特色。
2、现代化培养模式:学校采用现代化的培养模式,依托「一网一制度、二种培养、三联合、四类课程、五空间」的总体框架,以“知识、技能、能力、态度”为四个维度实施全新的教育理念。
3、育人熔炉形象:学校强调全面发展和多领域阶段性开展,以“多元
文化、精准投入、实践创新、分组指导、与企业融合、将实践当课堂”
构建育人熔炉系统,“课堂+外部实践”成为新现代化教育模式。
4、产学研融合表现力:学校同时兼顾理论与实践、文学与职业,既倡
导创新理念,又拓宽和深入学科应用研究,培养读书以用、从实践中
学习的人才,从而将学术前沿技术向实践领域转移转化。
5、全体负责任心态:学校坚持“把学生当成第一位”的理念,将学生的
可持续发展融入到学校的教育教学中,唤醒学生的创新思维,也让师
资队伍具有责任感、有担当的博学精神。
总而言之,中华科技大学是一所以科学技术为特色,专业发展极具特色的高校,核心优势可概括为产学研融合特色、现代化培养模式、育人熔炉形象,为学子提供全面、多方位的良好发展环境,是掌握现代科技先进知识、助力发展职业未来的理想之地。