历年高考数学复习易错题选--平面向量部分
- 格式:doc
- 大小:862.50 KB
- 文档页数:14
高考数学真题汇编---平面向量学校:___________姓名:___________班级:___________考号:___________一.选择题(共10小题)1.(2017•新课标Ⅱ)设非零向量,满足|+|=|﹣|则()A.⊥B.||=||C.∥D.||>||2.(2017•新课标Ⅲ)在矩形ABCD中,AB=1,AD=2,动点P在以点C为圆心且与BD相切的圆上.若=λ+μ,则λ+μ的最大值为()A.3 B.2C.D.23.(2017•新课标Ⅱ)已知△ABC是边长为2的等边三角形,P为平面ABC内一点,则•(+)的最小值是()A.﹣2 B.﹣C.﹣D.﹣14.(2017•浙江)如图,已知平面四边形ABCD,AB⊥BC,AB=BC=AD=2,CD=3,AC与BD交于点O,记I1=•,I2=•,I3=•,则()A.I1<I2<I3B.I1<I3<I2C.I3<I1<I2D.I2<I1<I35.(2016•新课标Ⅲ)已知向量=(,),=(,),则∠ABC=()A.30°B.45°C.60°D.120°6.(2016•新课标Ⅱ)已知向量=(1,m),=(3,﹣2),且(+)⊥,则m=()A.﹣8 B.﹣6 C .6 D.87.(2016•天津)已知△ABC是边长为1的等边三角形,点D、E分别是边AB、BC的中点,连接DE并延长到点F,使得DE=2EF,则•的值为()A.﹣B.C.D.8.(2016•山东)已知非零向量,满足4||=3||,cos<,>=.若⊥(t+),则实数t的值为()A.4 B.﹣4 C.D.﹣9.(2016•四川)在平面内,定点A,B,C,D满足==,•=•=•=﹣2,动点P,M满足=1,=,则||2的最大值是()A.B.C.D.10.(2016•四川)已知正三角形ABC的边长为2,平面ABC内的动点P,M 满足||=1,=,则||2的最大值是()A.B.C.D.二.填空题(共20小题)11.(2017•山东)已知向量=(2,6),=(﹣1,λ),若,则λ=.12.(2017•新课标Ⅲ)已知向量=(﹣2,3),=(3,m),且,则m=.13.(2017•新课标Ⅰ)已知向量=(﹣1,2),=(m,1),若向量+与垂直,则m=.14.(2017•新课标Ⅰ)已知向量,的夹角为60°,||=2,||=1,则|+2|=.15.(2017•山东)已知,是互相垂直的单位向量,若﹣与+λ的夹角为60°,则实数λ的值是.16.(2017•江苏)在平面直角坐标系xOy中,A(﹣12,0),B(0,6),点P在圆O:x2+y2=50上.若≤20,则点P的横坐标的取值范围是.17.(2017•北京)已知点P在圆x2+y2=1上,点A的坐标为(﹣2,0),O为原点,则•的最大值为.18.(2017•江苏)如图,在同一个平面内,向量,,的模分别为1,1,,与的夹角为α,且tanα=7,与的夹角为45°.若=m+n(m,n∈R),则m+n=.19.(2017•天津)在△ABC中,∠A=60°,AB=3,AC=2.若=2,=λ﹣(λ∈R),且=﹣4,则λ的值为.20.(2016•新课标Ⅱ)已知向量=(m,4),=(3,﹣2),且∥,则m=.21.(2016•上海)在平面直角坐标系中,已知A(1,0),B(0,﹣1),P是曲线y=上一个动点,则•的取值范围是.22.(2016•新课标Ⅰ)设向量=(m,1),=(1,2),且|+|2=||2+||2,则m=.23.(2016•山东)已知向量=(1,﹣1),=(6,﹣4),若⊥(t+),则实数t的值为.24.(2016•新课标Ⅰ)设向量=(x,x+1),=(1,2),且⊥,则x=.25.(2016•浙江)已知平面向量,,||=1,||=2,=1,若为平面单位向量,则||+||的最大值是.26.(2016•上海)如图,已知点O(0,0),A(1,0),B(0,﹣1),P是曲线y=上一个动点,则•的取值范围是.27.(2016•江苏)如图,在△ABC中,D是BC的中点,E,F是AD上的两个三等分点,•=4,•=﹣1,则•的值是.28.(2016•北京)已知向量=(1,),=(,1),则与夹角的大小为.29.(2016•上海)如图,在平面直角坐标系xOy中,O为正八边形A1A2…A8的中心,A1(1,0)任取不同的两点A i,A j,点P满足++=,则点P落在第一象限的概率是.30.(2016•浙江)已知向量,,||=1,||=2,若对任意单位向量,均有|•|+|•|≤,则•的最大值是.三.解答题(共1小题)31.(2017•山东)在△ABC中,角A,B,C的对边分别为a,b,c,已知b=3,= =3,求A和a.﹣6,S△ABC高考数学真题汇编---平面向量参考答案与试题解析一.选择题(共10小题)1.【分析】由已知得,从而=0,由此得到.【解答】解:∵非零向量,满足|+|=|﹣|,∴,解得=0,∴.故选:A.2.【分析】如图:以A为原点,以AB,AD所在的直线为x,y轴建立如图所示的坐标系,先求出圆的标准方程,再设点P的坐标为(cosθ+1,sinθ+2),根据=λ+μ,求出λ,μ,根据三角函数的性质即可求出最值.【解答】解:如图:以A为原点,以AB,AD所在的直线为x,y轴建立如图所示的坐标系,则A(0,0),B(1,0),D(0,2),C(1,2),∵动点P在以点C为圆心且与BD相切的圆上,设圆的半径为r,∵BC=2,CD=1,∴BD==∴BC•CD=BD•r,∴r=,∴圆的方程为(x﹣1)2+(y﹣2)2=,设点P的坐标为(cosθ+1,sinθ+2),∵=λ+μ,∴(cosθ+1,sinθ+2)=λ(1,0)+μ(0,2)=(λ,2μ),∴cosθ+1=λ,sinθ+2=2μ,∴λ+μ=cosθ+sinθ+2=sin(θ+φ)+2,其中tanφ=2,∵﹣1≤sin(θ+φ)≤1,∴1≤λ+μ≤3,故λ+μ的最大值为3,故选:A.3.【分析】根据条件建立坐标系,求出点的坐标,利用坐标法结合向量数量积的公式进行计算即可.【解答】解:建立如图所示的坐标系,以BC中点为坐标原点,则A(0,),B(﹣1,0),C(1,0),设P(x,y),则=(﹣x,﹣y),=(﹣1﹣x,﹣y),=(1﹣x,﹣y),则•(+)=2x2﹣2y+2y2=2[x2+(y﹣)2﹣]∴当x=0,y=时,取得最小值2×(﹣)=﹣,故选:B.4.【分析】根据向量数量积的定义结合图象边角关系进行判断即可.【解答】解:∵AB⊥BC,AB=BC=AD=2,CD=3,∴AC=2,∴∠AOB=∠COD>90°,由图象知OA<OC,OB<OD,∴0>•>•,•>0,即I3<I1<I2,故选:C.5.【分析】根据向量的坐标便可求出,及的值,从而根据向量夹角余弦公式即可求出cos∠ABC的值,根据∠ABC的范围便可得出∠ABC 的值.【解答】解:,;∴;又0°≤∠ABC≤180°;∴∠ABC=30°.故选:A.【分析】求出向量+的坐标,根据向量垂直的充要条件,构造关于m的方程,解得答案.【解答】解:∵向量=(1,m),=(3,﹣2),∴+=(4,m﹣2),又∵(+)⊥,∴12﹣2(m﹣2)=0,解得:m=8,故选:D.7.【分析】由题意画出图形,把、都用表示,然后代入数量积公式得答案.【解答】解:如图,∵D、E分别是边AB、BC的中点,且DE=2EF,∴•========.故选:C.【分析】若⊥(t+),则•(t+)=0,进而可得实数t的值.【解答】解:∵4||=3||,cos<,>=,⊥(t+),∴•(t+)=t•+2=t||•||•+||2=()||2=0,解得:t=﹣4,故选:B.9.【分析】由==,可得D为△ABC的外心,又•=•=•,可得可得D为△ABC的垂心,则D为△ABC的中心,即△ABC为正三角形.运用向量的数量积定义可得△ABC的边长,以A为坐标原点,AD所在直线为x轴建立直角坐标系xOy,求得B,C的坐标,再设P(cosθ,sinθ),(0≤θ<2π),由中点坐标公式可得M的坐标,运用两点的距离公式可得BM的长,运用三角函数的恒等变换公式,结合正弦函数的值域,即可得到最大值.【解答】解:由==,可得D为△ABC的外心,又•=•=•,可得•(﹣)=0,•(﹣)=0,即•=•=0,即有⊥,⊥,可得D为△ABC的垂心,则D为△ABC的中心,即△ABC为正三角形.由•=﹣2,即有||•||cos120°=﹣2,解得||=2,△ABC的边长为4cos30°=2,以A为坐标原点,AD所在直线为x轴建立直角坐标系xOy,可得B(3,﹣),C(3,),D(2,0),由=1,可设P(cosθ,sinθ),(0≤θ<2π),由=,可得M为PC的中点,即有M(,),则||2=(3﹣)2+(+)2=+==,当sin(θ﹣)=1,即θ=时,取得最大值,且为.故选:B.10.【分析】如图所示,建立直角坐标系.B(0,0),C.A.点P的轨迹方程为:=1,令x=+cosθ,y=3+sinθ,θ∈[0,2π).又=,可得M,代入||2=+3sin,即可得出.【解答】解:如图所示,建立直角坐标系.B(0,0),C.A.∵M满足||=1,∴点P的轨迹方程为:=1,令x=+cosθ,y=3+sinθ,θ∈[0,2π).又=,则M,∴||2=+=+3sin≤.∴||2的最大值是.也可以以点A为坐标原点建立坐标系.解法二:取AC中点N,MN=,从而M轨迹为以N为圆心,为半径的圆,B,N,M三点共线时,BM为最大值.所以BM最大值为3+=.故选:B.二.填空题(共20小题)11.【分析】利用向量共线定理即可得出.【解答】解:∵,∴﹣6﹣2λ=0,解得λ=﹣3.故答案为:﹣3.12.【分析】利用平面向量数量积坐标运算法则和向量垂直的性质求解.【解答】解:∵向量=(﹣2,3),=(3,m),且,∴=﹣6+3m=0,解得m=2.故答案为:2.13.【分析】利用平面向量坐标运算法则先求出,再由向量+与垂直,利用向量垂直的条件能求出m的值.【解答】解:∵向量=(﹣1,2),=(m,1),∴=(﹣1+m,3),∵向量+与垂直,∴()•=(﹣1+m)×(﹣1)+3×2=0,解得m=7.故答案为:7.14.【分析】根据平面向量的数量积求出模长即可.【解答】解:【解法一】向量,的夹角为60°,且||=2,||=1,∴=+4•+4=22+4×2×1×cos60°+4×12=12,∴|+2|=2.【解法二】根据题意画出图形,如图所示;结合图形=+=+2;在△OAC中,由余弦定理得||==2,即|+2|=2.故答案为:2.15.【分析】根据平面向量的数量积运算与单位向量的定义,列出方程解方程即可求出λ的值.【解答】解:【方法一】由题意,设=(1,0),=(0,1),则﹣=(,﹣1),+λ=(1,λ);又夹角为60°,∴(﹣)•(+λ)=﹣λ=2××cos60°,即﹣λ=,解得λ=.【方法二】,是互相垂直的单位向量,∴||=||=1,且•=0;又﹣与+λ的夹角为60°,∴(﹣)•(+λ)=|﹣|×|+λ|×cos60°,即+(﹣1)•﹣λ=××,化简得﹣λ=××,即﹣λ=,解得λ=.故答案为:.16.【分析】根据题意,设P(x0,y0),由数量积的坐标计算公式化简变形可得2x0+y0+5≤0,分析可得其表示表示直线2x+y+5≤0以及直线下方的区域,联立直线与圆的方程可得交点的横坐标,结合图形分析可得答案.【解答】解:根据题意,设P(x0,y0),则有x02+y02=50,=(﹣12﹣x0,﹣y0)•(﹣x0,6﹣y0)=(12+x0)x0﹣y0(6﹣y0)=12x0+6y+x02+y02≤20,化为:12x0﹣6y0+30≤0,即2x0﹣y0+5≤0,表示直线2x﹣y+5=0以及直线上方的区域,联立,解可得x0=﹣5或x0=1,结合图形分析可得:点P的横坐标x0的取值范围是[﹣5,1],故答案为:[﹣5,1].17.【分析】设P(cosα,sinα).可得=(2,0),=(cosα+2,sinα).利用数量积运算性质、三角函数的单调性与值域即可得出.【解答】解:设P(cosα,sinα).=(2,0),=(cosα+2,sinα).则•=2(cosα+2)≤6,当且仅当cosα=1时取等号.故答案为:6.18.【分析】如图所示,建立直角坐标系.A(1,0).由与的夹角为α,且tanα=7.可得cosα=,sinα=.C.可得cos(α+45°)=.sin(α+45°)=.B.利用=m+n(m,n∈R),即可得出.【解答】解:如图所示,建立直角坐标系.A(1,0).由与的夹角为α,且tanα=7.∴cosα=,sinα=.∴C.cos(α+45°)=(cosα﹣sinα)=.sin(α+45°)=(sinα+cosα)=.∴B.∵=m+n(m,n∈R),∴=m﹣n,=0+n,解得n=,m=.则m+n=3.故答案为:3.19.【分析】根据题意画出图形,结合图形,利用、表示出,再根据平面向量的数量积列出方程求出λ的值.【解答】解:如图所示,△ABC中,∠A=60°,AB=3,AC=2,=2,∴=+=+=+(﹣)=+,又=λ﹣(λ∈R),∴=(+)•(λ﹣)=(λ﹣)•﹣+λ=(λ﹣)×3×2×cos60°﹣×32+λ×22=﹣4,∴λ=1,解得λ=.故答案为:.20.【分析】直接利用向量共线的充要条件列出方程求解即可.【解答】解:向量=(m,4),=(3,﹣2),且∥,可得12=﹣2m,解得m=﹣6.故答案为:﹣6.21.【分析】设P(cosα,sinα),α∈[0,π],则=(1,1),=(cosα,sinα+1),由此能求出•的取值范围.【解答】解:∵在平面直角坐标系中,A(1,0),B(0,﹣1),P是曲线y=上一个动点,∴设P(cosα,sinα),α∈[0,π],∴=(1,1),=(cosα,sinα+1),=cosα+sinα+1=,∴•的取值范围是[0,1+].故答案为:[0,1+].22.【分析】利用已知条件,通过数量积判断两个向量垂直,然后列出方程求解即可.【解答】解:|+|2=||2+||2,可得•=0.向量=(m,1),=(1,2),可得m+2=0,解得m=﹣2.故答案为:﹣2.23.【分析】根据向量的坐标运算和向量的数量积计算即可.【解答】解:∵向量=(1,﹣1),=(6,﹣4),∴t+=(t+6,﹣t﹣4),∵⊥(t+),∴•(t+)=t+6+t+4=0,解得t=﹣5,故答案为:﹣5.24.【分析】根据向量垂直的充要条件便可得出,进行向量数量积的坐标运算即可得出关于x的方程,解方程便可得出x的值.【解答】解:∵;∴;即x+2(x+1)=0;∴.故答案为:.25.【分析】由题意可知,||+||为在上的投影的绝对值与在上投影的绝对值的和,由此可知,当与共线时,||+||取得最大值,即.【解答】解:||+||=,其几何意义为在上的投影的绝对值与在上投影的绝对值的和,当与共线时,取得最大值.∴=.故答案为:.26.【分析】设出=(x,y),得到•=x+,令x=cosθ,根据三角函数的性质得到•=sinθ+cosθ=sin(θ+),从而求出•的范围即可.【解答】解:设=(x,y),则=(x,),由A(1,0),B(0,﹣1),得:=(1,1),∴•=x+,令x=cosθ,θ∈[0,π],则•=sinθ+cosθ=sin(θ+),θ∈[0,π],故•的范围是[﹣,1,],故答案为:[﹣1,].27.【分析】由已知可得=+,=﹣+,=+3,=﹣+3,=+2,=﹣+2,结合已知求出2=,2=,可得答案.【解答】解:∵D是BC的中点,E,F是AD上的两个三等分点,∴=+,=﹣+,=+3,=﹣+3,∴•=2﹣2=﹣1,•=92﹣2=4,∴2=,2=,又∵=+2,=﹣+2,∴•=42﹣2=,故答案为:28.【分析】根据已知中向量的坐标,代入向量夹角公式,可得答案.【解答】解:∵向量=(1,),=(,1),∴与夹角θ满足:cosθ===,又∵θ∈[0,π],∴θ=,故答案为:.29.【分析】利用组合数公式求出从正八边形A1A2…A8的八个顶点中任取两个的事件总数,满足++=,且点P落在第一象限,则需向量+的终点落在第三象限,列出事件数,再利用古典概型概率计算公式求得答案.【解答】解:从正八边形A1A2…A8的八个顶点中任取两个,基本事件总数为.满足++=,且点P落在第一象限,对应的A i,A j,为:(A4,A7),(A5,A8),(A5,A6),(A6,A7),(A5,A7)共5种取法.∴点P落在第一象限的概率是,故答案为:.30.【分析】根据向量三角形不等式的关系以及向量数量积的应用进行计算即可得到结论.【解答】解:由绝对值不等式得≥|•|+|•|≥|•+•|=|(+)•|,于是对任意的单位向量,均有|(+)•|≤,∵|(+)|2=||2+||2+2•=5+2•,∴|(+)|=,因此|(+)•|的最大值≤,则•≤,下面证明:•可以取得,(1)若|•|+|•|=|•+•|,则显然满足条件.(2)若|•|+|•|=|•﹣•|,此时|﹣|2=||2+||2﹣2•=5﹣1=4,此时|﹣|=2于是|•|+|•|=|•﹣•|≤2,符合题意,综上•的最大值是,法2:由于任意单位向量,可设=,则|•|+|•|=||+||≥||+|=||=|+|,∵|•|+|•|≤,∴|+|≤,即(+)2≤6,即||2+||2+2•≤6,∵||=1,||=2,∴•≤,即•的最大值是.法三:设=,=,=,则=+,=﹣,|•|+|•|=||+||=||≤||,由题设当且仅当与同向时,等号成立,此时(+)2取得最大值6,第21页(共22页)由于|+|2+|﹣|)2=2(||2+||2)=10,于是(﹣)2取得最小值4,则•=,•的最大值是.故答案为:.三.解答题(共1小题)31.【分析】根据向量的数量积和三角形的面积公式可得tanA=﹣1,求出A和c的值,再根据余弦定理即可求出a.【解答】解:由=﹣6可得bccosA=﹣6,①,由三角形的面积公式可得S△ABC=bcsinA=3,②∴tanA=﹣1,∵0<A<180°,∴A=135°,∴c==2,由余弦定理可得a2=b2+c2﹣2bccosA=9+8+12=29∴a=第22页(共22页)。
高中数学平面向量易错题精选一、选择题:1.在ABC ∆中,︒===60,8,5C b a ,则⋅的值为 ( )A 20B 20-C 320D 320-错误分析:︒==60C ,从而出错. 答案: B略解: ︒=120,故⋅202185-=⎪⎭⎫⎝⎛-⨯⨯=. 2.关于非零向量a 和b,有下列四个命题:(1)“b a b a +=+”的充要条件是“a 和b的方向相同”;(2)“b a b a -=+” 的充要条件是“a 和b 的方向相反”; (3)“b a b a -=+” 的充要条件是“a 和b 有相等的模”; (4)“b a b a -=-” 的充要条件是“a 和b 的方向相同”;其中真命题的个数是 ( )A 1B 2C 3D 4错误分析:对不等式b a b a b a+≤±≤-的认识不清.答案: B.3.已知O 、A 、B 三点的坐标分别为O(0,0),A(3,0),B(0,3),是P 线段AB 上且 =t(0≤t ≤1)则OA ²OP 的最大值为 ()A .3B .6C .9D .12正确答案:C 错因:学生不能借助数形结合直观得到当|OP |cos α最大时,² 即为最大。
4.若向量 a =(cos α,sin α) , b =()ββsin ,cos , a 与b 不共线,则a 与b 一定满足( )A . 与的夹角等于α-βB .∥C .(a +b )⊥(a -b )D . a ⊥b正确答案:C 错因:学生不能把a 、b 的终点看成是上单位圆上的点,用四边形法则来处理问题。
5.已知向量 =(2cos ϕ,2sin ϕ),ϕ∈(ππ,2), =(0,-1),则 与 的夹角为( )A .π32-ϕB .2π+ϕ C .ϕ-2π D .ϕ正确答案:A 错因:学生忽略考虑与夹角的取值范围在[0,π]。
6.O 为平面上的定点,A 、B 、C 是平面上不共线的三点,若( -)²(+-2)=0,则∆ABC 是( )A .以AB 为底边的等腰三角形 B .以BC 为底边的等腰三角形 C .以AB 为斜边的直角三角形D .以BC 为斜边的直角三角形正确答案:B 错因:学生对题中给出向量关系式不能转化:2不能拆成(+)。
第六章 平面向量及其应用 典型易错题集易错点1.忽视0例题1.(2021·全国·高一课时练习)给出下列命题:①若a b =-,则||||a b =;②若||||a b <,则a b <;③若a b =,则//a b ;④若//,//a b b c ,则//a c .其中正确说法的个数是( ) A .0B .1C .2D .3【常见错解】D解:因为a b =-,则向量,a b 互为相反向量,所以||||a b =,故①正确; 因为向量不能比较大小,故②错误; 若a b =,则向量,a b 方向相同,故③正确;若//,//a b b c ,由平行的传递性,则//a c ,故④正确. 所以正确说法的个数是3个. 故选:D.【动手实战】1.(2021·上海·)判断下列命题:①两个有共同起点而且相等的非零向量,其终点必相同;②若//a b ,则a 与b 的方向相同或相反;③若//a b ,且//b c ,则//a c ;④若a b =,则2a b >.其中,正确的命题个数为( ) A .0B .1C .2D .32.(2020·宁夏育才中学)有下列命题:①若a b →→=,则a b →→=;②若AB DC →→=,则四边形ABCD 是平行四边形; ③若m n →→=,n k →→=,则m k →→=; ④若//a b →→,//b c →→,则//a c →→. 其中,假命题的个数是( ) A .1B .2C .3D .4易错点2.混淆向量模相等与向量相等例题1.(2022·江西·贵溪市实验中学高二期末)若向量a b =,则a b = ( )【常见错解】正确【错因分析】未能正确理解向量模与向量的关系,向量既有大小,又有方向,||||a b a b =⇔=且,a b 同向.本例中a b =,仅仅只是说明,a b 模相等,对于方向,无限可能,所以无法由a b =得到a b =. 【动手实战】1.(2021·全国·高一课时练习)命题“若m n =,n k =,则m k =” 的真假性为( ) 2.(2021·全国·高一课时练习)若a 与b 都是单位向量,则a b =.( )易错点3.误把两向量平行当成两向量同向例题1.(2021·云南·昆明二十三中高一期中)下列命题正确的是( ) A .a b a b =⇒= B .a b a b >⇒> C .//=0a b a b ⇒<>, D .00a a =⇒=【常见错解】C【错因分析】对于向量平行问题,//a b ,很多同学总是当做直线平行记忆,认为直线平行那不是成0角,想当然认为向量的平行也是成0,在刚学习向量时,特别要注意向量,直线的区别.【动手实战】1.(2022·全国·高三专题练习)已知向量a ,b 为非零向量,则“向量a ,b 的夹角为180°”是“//a b ”的( ) A .充分不必要条件 B .必要不充分条件 C .充要条件D .既不充分也不必要条件2.(2021·内蒙古·赤峰学院附属中学高一期末)下列说法正确的是( ) A .方向相同的向量叫做相等向量 B .共线向量是在同一条直线上的向量 C .零向量的长度等于0D .//AB CD 就是AB 所在的直线平行于CD 所在的直线易错点4.混淆向量数量积运算和数乘运算的结果例题1.(2021·全国·)设a ,b ,c 是三个向量,以下四个选项正确的是( ) A .若0a ≠,0b ≠,0c ≠,则()()a b c a b c ⋅=⋅ B .若0a b ⋅=,0a ≠,则0b = C .若a b b c ⋅=⋅,且0b ≠,则a c = D .a b b a ⋅=⋅ 【常见错解】A【错因分析】很同学看到A 中0a ≠,0b ≠,0c ≠,再看结论()()a b c a b c ⋅=⋅直接把向量的点乘和数乘,当做实数乘法运算了,()()ab c a bc =,混淆了向量的点乘结果,数乘结果.事实上对于()()a b c a b c ⋅=⋅,左边的本质是:c λ,右边的本质是:a μ,无法得到c a λμ=. 【动手实战】1.(2022·浙江·模拟预测)已知平面非零向量,,a b c ,则“()()a b c a c b ⋅⋅=⋅⋅”是“b c =”的( ) A .充分不必要条件 B .必要不充分条件 C .充分必要条件D .既不充分也不必要条件2.(2021·海南·海口一中高三阶段练习)已知,,a b c 为非零平面向量,则下列说法正确的是( ) A .()()a b c a b c ⋅⋅=⋅⋅ B .若a c b c ⋅=⋅,则a b = C .若//a b ,则R,b a λλ∃∈=D .||||||a b a b ⋅=⋅3.(2020·河南·南阳中学(文))由代数式的乘法法则类比推导向量的数量积的运算法则: ①“mn nm =”类比得到“a b b a ⋅=⋅”;②“()m n t mt nt +=+”类比得到“()+⋅=⋅+⋅a b c a c b c ”; ③“()()m n t m n t ⋅=⋅”类比得到“()()a b c a b c ⋅⋅=⋅⋅”;④“0t ≠,mt xt m x =⇒=”类比得到“0p ≠,a p x p a x ⋅=⋅⇒=”; ⑤“m n m n ⋅=⋅”类比得到a b a b ⋅=⋅; ⑥“ac abc b =”类比得到“a c abc b⋅=⋅”. 以上式子中,类比得到的结论正确的个数是( ). A .1B .2C .3D .4易错点5.向量求模忘记开根号例题1.(2022·江西·高三阶段练习(理))已知向量,,||6,(3,4)a b a b ==-,若a 在b 的投影为14-,则|32|a b -=( )A .169B .13C .196D .14【常见错解】A解:因为(3,4)b =-,所以()235b =-,因为a 在b 的投影为14-,所以14a b b ⋅=-,所以1544a b b ⋅=-=-,所以222225(32)91249(6)12()451694a b a a b b -=-⋅+=⨯-⨯-+⨯= 故选:A【错因分析】典型的解题时忘记求模开根号,习惯没有养成要,先求2(32)a b -,再开根号为答案,往往学生求出2(32)a b -就忘记开根号,养成好的习惯对于求模问题()222|32|329124a b a b a a b b -=-=-⋅+,在平时训练时就注意开根号.【动手实战】1.(2022·广东·信宜市第二中学高三开学考试)已知非零向量,a b →→满足|2|||a b a b →→→→-=+,且3a b →→⋅=,则向量b →的模长为_________.2.(2022·湖南·高一课时练习)已知2a =,3b =,a 与b 的夹角为3π,试求: (1)a b +;(2)a b -.易错点6.忽视两个向量成为基底的条件1.(多选)(2022·全国·高一)在下列向量组中,可以把向量()3,2a →=表示出来的是( ) A .()()120,0,1,2e e →→== B .()()121,2,5,2e e →→=-=- C .()()123,5,6,10e e →→== D .()()122,3,2,3e e →→=-=【常见错解】BCD选项A :()10,0e →=,不能作为基底,对于BCD 都不含0,可以作为基底表示其它向量【错因分析】对基底的概念理解不够透彻,两个向量能否作为一组基底表示其它向量,判断的标准是这两个向量是否共线,对于选项C .()()123,5,6,10e e →→==,显然212e e →→=,说明12,e e →→共线,不能用来做基底.【动手实战】1.(多选)(2021·河北·大名县第一中学高一阶段练习)已知1e ,2e 是不共线的非零向量,则以下向量不可以作为基底的是( ) A .0a =,12b e e =+ B .1233a e e =+,12b e e =+ C .122a e e =-,12b e e =+D .122a e e =-,1224b e e =-2.(多选)(2021·浙江·高二期末)设12,e e 是平面内两个不共线的向量,则以下,a b 可作为该平面内一组基底的( ) A .121,a e e b e =+= B .1212112,24a e eb e e =+=+C .1212,a e e b e e =+=-D .12122,4a e e b e e =-=-+易错点7.记反了向量减法运算差向量的方向例题1.(2021·全国·高三专题练习)正三角形ABC 边长为2,设2BC BD =,3AC AE =,则·AD BE =_____. 【常见错解】因为2BC BD =,所以点D 是BC 的中点,所以()12AD AB AC =+, 3AC AE =,所以13BE AB AE AB AC =-=-,所以()2211133311·()22AB AC A AD BE AB AC ABC AC AB AB AC ⎛⎫=+⋅=--⋅+⋅⎪⎭- ⎝ 124(422cos60)2233=+⨯⨯⨯-= 【错因分析】本题选定了,AB AC 作为基底,在用基底,AB AC 表示向量13BE AB AE AB AC =-=-时,向量减法运算错误,a b -最后的结果应该指向a 向量,所以正确的表示应该是13BE AE AB AC AB =-=-.【动手实战】1.(2021·云南省泸西县第一中学高二期中)已知M ,N 分别是线段,OA OB 上的点,且,2OM MA ON NB ==,若MN OA OB λμ=+,则λμ+=___________.2.(2021·全国·高一课时练习)在三角形ABC 中,若3AB AC AP +=,且CP xAB y AC =+,则x y -=_______ 3.(2022·浙江·高三专题练习)设O 为四边形ABCD 的对角线AC 与BD 的交点,若AB a =,AD b =,OD c =,则OB =___________.易错点8.错误使用a b 的等价条件例题1.(2022·全国·高三专题练习(文))已知向量()2,1a →=,()1,b k →=,若2//a b k a →→→⎛⎫⎛⎫+ ⎪ ⎪⎝⎭⎝⎭,则实数k =___________.【常见错解】()24,12a b k →→+=+,()2,k a k k →=,若2//a b k a →→→⎛⎫⎛⎫+ ⎪ ⎪⎝⎭⎝⎭,则412122k k k k +=⇒= 【错因分析】错误的运用向量平行的等价条件,对于11(,)m x y =,22(,)n x y =,12210m n x y x y ⇔-=,而本题错误的运用为1122x y m n x y ⇔=,此时容易忽略0这个解.【动手实战】1.(2022·湖南·长沙一中高三阶段练习)已知向量a =(2,1),b =(1,k )(0k ≠),若()()2a b ka +∥,则非零实数k=________.2.(2021·全国·高一课时练习)已知向量a =(m ,1),b =(m ﹣6,m ﹣4),若a ∥b ,则m 的值为__.易错点9.忽视两向量夹角,a b <>的取值范围例题1.(2021·重庆·临江中学高三阶段练习)已知()1,2a =,(),3b μ=,向量a 与向量b 夹角为锐角,则μ的取值范围为________.【常见错解】因为()1,2a =,(),3b μ=,且向量a 与向量b 夹角为锐角,所以0a b ⋅> 所以:12306μμ⨯+⨯>⇒>-【错因分析】错误的认为向量a 与向量b 夹角为锐角0a b ⇔⋅>,事实上0a b ⋅>⇔向量a 与向量b 夹角为锐角或0角,本题错解忽略了0的情况.1.(2021·上海·高一课时练习)设a =(2,x ),b =(-4,5),若a 与b 的夹角θ为钝角,则x 的取值范围是___________.2.(2021·云南·昆明市外国语学校高一阶段练习)向量(2,)a t =,(1,3)b =-,若,a b 的夹角为钝角,则t 的范围是________.3.(2022·全国·高三专题练习(文))已知()()1,2,1,1a b ==,且a 与a λb +的夹角为锐角,则实数λ的取值范围为___________.易错点10.混淆向量点乘运算和实数乘法运算例题1.(2021·福建龙岩·高三期中)已知46a b ==,,且a 与b 的夹角为060,则2a b -=___________ 【常见错解】由题意可知,46a b ==,,()2222=2=4441642a b a b a a b b ---⋅+=⨯-【错因分析】本题错例是考试中常见的一种错误,混淆了向量a b ⋅和实数ab 相乘得运算法则.【动手实战】1.(2021·北京十五中高一期中)已知非零向量,a b 夹角为45,且2,2a a b =-=.则b 等于_________. 2.(2020·江苏·淮阴中学三模)已知向量a 与向量b 的夹角为60︒,||1a b ==,则a b -=______.易错点11.误把向量的投影当非负数1.(2022·黑龙江·哈师大附中高三期末(理))已知向量a 与b 的夹角为2π3,2a =,则a 在b 方向上的投影为( )A B C .D .【常见错解】B 向量a 与b 的夹角为2π3,2a =a 在b 方向上的投影为2π1|cos||32a ⎛⎫=-= ⎪⎝⎭【错因分析】未能正确理解向量的投影,习惯性认为投影是一个非负数,所以在求投影时,考生自己加了绝对值符号上去.特别提醒,向量的投影,可正可负可为零.1.(2022·四川叙州·高三期末(文))若向量,a b 满足()2,26a a b a =+⋅=,则b 在a 方向上的投影为( ) A .1B .-1C .12-D .122.(2021·四川·宁南中学高一开学考试)已知向量a ,b 的夹角为120°,4a =,1=b ,则a 在b 方向上的投影为( )A .2-B .12C .1-D .3.(2021·全国·高一课时练习)已知1a =,2b =,且()a ab ⊥+,则a 在b 上的投影向量为( ) A .b -B .bC .14b -D .14b易错点12.混淆向量的夹角定义例题1.(2021·全国·高一课时练习)在边长为2的正三角形中,设BC a =,CA b =,AB c =,则a b b c c a ⋅+⋅+⋅=______. 【常见错解】6因为ABC 是边长为2的等边三角形,所以2a b c ===, 所以12222a b b c c a ⋅=⋅=⋅=⨯⨯=, 所以2226a b b c c a ⋅+⋅+⋅=++=【错因分析】错误理解向量的夹角,在使用||||cos ,a b a b a b ⋅=<>求解时,特别注意,a b <>,要共起点才能找夹角,否则使用的可能是其补角造成错误。
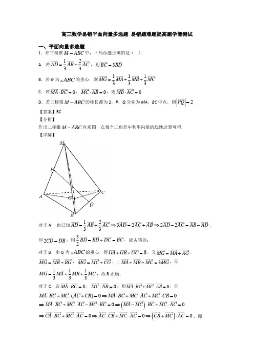
高三数学易错平面向量多选题 易错题难题提高题学能测试一、平面向量多选题1.在三棱锥M ABC -中,下列命题正确的是( )A .若1233AD AB AC =+,则3BC BD = B .若G 为ABC 的重心,则111333MG MA MB MC =++C .若0MA BC ⋅=,0MC AB ⋅=,则0MB AC ⋅=D .若三棱锥M ABC -的棱长都为2,P ,Q 分别为MA ,BC 中点,则2PQ = 【答案】BC 【分析】作出三棱锥M ABC -直观图,在每个三角形中利用向量的线性运算可得. 【详解】对于A ,由已知12322233AD AB AC AD AC AB AD AC AB AD =+⇒=+⇒-=-,即2CD DB =,则32BD BD DC BC =+=,故A 错误; 对于B ,由G 为ABC 的重心,得0GA GB GC ++=,又MG MA AG =+,MG MB BG =+,MG MC CG =+,3MA MB MC MG ∴++=,即111333MG MA MB MC =++,故B 正确;对于C ,若0MA BC ⋅=,0MC AB ⋅=,则0MC MA BC AB ⋅+⋅=,即()00MA BC AC CB MA BC AC C MC C M B M C ⋅++=⇒⋅++⋅⋅=⋅()00MA BC A MC MC MC MC C BC MA BC AC ⋅⋅⋅⇒⋅+-=⇒-+=⋅()000MC M CA BC AC AC CB AC CB AC C MC ⇒+=⇒+=⇒+=⋅⋅⋅⋅⋅,即0MB AC ⋅=,故C 正确;对于D ,111()()222PQ MQ MP MB MC MA MB MC MA ∴=-=+-=+- ()2112PQ MB MC MA MB MC MA ∴=+-=+-,又()2222222MB MC MA MB MC MA MB MC MB MA MC MA+-=+++⋅-⋅-⋅2221112222222222228222=+++⨯⨯⨯-⨯⨯⨯-⨯⨯⨯=,1PQ ∴==,故D 错误. 故选:BC 【点睛】关键点睛:本题考查向量的运算,用已知向量表示某一向量的三个关键点: (1)用已知向量来表示某一向量,一定要结合图形,以图形为指导是解题的关键.(2)要正确理解向量加法、减法与数乘运算的几何意义,如首尾相接的若干向量之和,等于由起始向量的始点指向末尾向量的终点的向量. (3)在立体几何中三角形法则、平行四边形法则仍然成立.2.已知a ,b 是平面上夹角为23π的两个单位向量,c 在该平面上,且()()·0a c b c --=,则下列结论中正确的有( )A .||1a b +=B .||3a b -=C .||3<cD .a b +,c 的夹角是钝角【答案】ABC 【分析】在平面上作出OA a =,OB b =,1OA OB ==,23AOB π∠=,作OC c =,则可得出C 点在以AB 为直径的圆上,这样可判断选项C 、D . 由向量加法和减法法则判断选项A 、B . 【详解】 对于A :()2222+2||+cos13a b a ba b a b π+=+=⨯⨯=,故A 正确; 对于B :设OA a =,OB b =,1OA OB ==,23AOB π∠=,则2222+c 32os3AB O OA O A O B B π-⋅==,即3a b -=,故B 正确; OC c =,由(a ﹣c )·(b ﹣c )=0得BC AC ⊥,点C 在以AB 直径的圆上(可以与,A B 重合).设AB 中点是M ,c OC =的最大值为13+32222+A b B O MC a M +==+<,故C 正确; a b +与OM 同向,由图,OM 与c 的夹角不可能为钝角.故D 错误. 故选:ABC .【点睛】思路点睛:本题考查向量的线性运算,考查向量数量积.解题关键是作出图形,作出OA a =,OB b =,OC c =,确定C 点轨迹,然后由向量的概念判断.3.设点A ,B 的坐标分别为()0,1,()1,0,P ,Q 分别是曲线x y e =和ln y x =上的动点,记12,I AQ AB I BP BA =⋅=⋅,则下列命题不正确的是( ) A .若12I I =,则()PQ AB R λλ=∈ B .若12I I =,则AP BQ = C .若()PQ AB R λλ=∈,则12I I = D .若AP BQ =,则12I I =【答案】ABD 【分析】作出两个函数的图象,利用图象结合平面向量共线知识和平面向量数量积的几何意义分析可得答案. 【详解】根据题意,在直线AB 上取点,P Q '',且满足||||AP BQ ''=,过,P Q ''分别作直线AB 的垂线,交曲线xy e =于1P ,2P ,交曲线ln y x =于12,Q Q ,在曲线xy e =上取点3P ,使13||||AP AP =,如图所示:1||||cos I AQ AB AQ AB QAB =⋅=⋅∠,令||cos ||AQ QAB AQ '∠=,则1||||I AQ AB '=⋅,2||||cos I BP BA BP BA PBA =⋅=⋅∠,令||cos ||BP PBA BP '∠=,则2||||I BP BA '=⋅,若||||AP BQ ''=,则||||AQ BP ''=,若12I I =,则||||AQ BP ''=即可,此时P 可以与1P 重合,Q 与2Q 重合,满足题意,但是()PQ AB R λλ=∈不成立,且||||AP BQ ≠,所以A 、B 不正确;对于选项C ,若PQ AB =λ,此时P 与1P 重合,且Q 与1Q 重合,或P 与2P 重合,且Q 与2Q 重合,所以满足12I I =,所以C 正确;对于D ,当P 与3P 重合时,满足13||||AP AP =,但此时3P 在直线AB 上的投影不在P '处,因而不满足||||AQ BP ''=,即12I I ≠,所以D 不正确. 故选:ABD 【点睛】关键点点睛:利用图象结合平面向量共线知识和平面向量数量积的几何意义求解是解题关键.4.下列关于平面向量的说法中正确的是( )A .已知,a b 均为非零向量,若//a b ,则存在唯一的实数λ,使得λabB .已知非零向量(1,2),(1,1)a b ==,且a 与a λb +的夹角为锐角,则实数λ的取值范围是5,3⎛⎫-+∞ ⎪⎝⎭C .若a c b c ⋅=⋅且0c ≠,则a b =D .若点G 为ABC 的重心,则0GA GB GC ++= 【答案】AD由向量共线定理可判断选项A ;由向量夹角的的坐标表示可判断选项B ;由数量积的运算性质可判断选项C ;由三角形的重心性质即向量线性运算可判断选项D. 【详解】对于选项A : 由向量共线定理知选项A 正确;对于选项B :()()()1,21,11,2a b λλλλ+=+=++,若a 与a λb +的夹角为锐角,则()()122530a a b λλλλ⋅+=+++=+>解得53λ>-,当a 与a λb +共线时,()221λλ+=+,解得:0λ=,此时(1,2)a =,()1,2a b λ+=,此时a b =夹角为0,不符合题意,所以实数λ的取值范围是()5,00,3⎛⎫-⋃+∞ ⎪⎝⎭,故选项B 不正确; 对于选项C :若a c b c ⋅=⋅,则()0c a b ⋅-=,因为0c ≠,则a b =或c 与a b -垂直, 故选项C 不正确;对于选项D :若点G 为ABC 的重心,延长AG 与BC 交于M ,则M 为BC 的中点,所以()1222AG GM GB GC GB GC ==⨯⨯+=+,所以0GA GB GC ++=,故选项D 正确.故选:AD 【点睛】易错点睛:两个向量夹角为锐角数量积大于0,但数量积大于0向量夹角为锐角或0,由向量夹角为锐角数量积大于0,需要检验向量共线的情况. 两个向量夹角为钝角数量积小于0,但数量积小于0向量夹角为钝角或π.5.下列命题中真命题的是( )A .向量a 与向量b 共线,则存在实数λ使a =λb (λ∈R )B .a ,b 为单位向量,其夹角为θ,若|a b -|>1,则3π<θ≤πC .A 、B 、C 、D 是空间不共面的四点,若AB •AC =0,AC •AD =0,AB •AD =0则△BCD 一定是锐角三角形D .向量AB ,AC ,BC 满足AB AC BC =+,则AC 与BC 同向【分析】对于A :利用共线定理判断 对于B :利用平面向量的数量积判断 对于C :利用数量积的应用判断 对于D :利用向量的四则运算进行判断 【详解】对于A :由向量共线定理可知,当0b =时,不成立.所以A 错误. 对于B :若|a b -|>1,则平方得2221a a b b -⋅+>,即12a b ⋅<,又1||2a b a b cos cos θθ⋅=⋅=<,所以3π<θ≤π,即B 正确.对于C :()()220BC BD AC AB AD AB AC AD AC AB AB AD AB AB ⋅=-⋅-=⋅-⋅-⋅+=>,0||BC BD cosB BC BD ⋅=⋅>,即B 为锐角,同理A ,C 也为锐角,故△BCD 是锐角三角形,所以C 正确.对于D :若AB AC BC =+,则AB AC BC CB -==,所以0CB =,所以则AC 与BC 共线,但不一定方向相同,所以D 错误. 故选:BC. 【点睛】(1)多项选择题是2020年高考新题型,需要要对选项一一验证;(2)要判断一个命题错误,只需举一个反例就可以;要证明一个命题正确,需要进行证明.6.在ABC 中,角,,A B C 所对的边分别为,,a b c ,已知()()(::5:)4:6b c c a a b +++=,下列结论正确的是( )A .::7:5:3sinA sinB sinC = B .0AB AC ⋅>C .若6c =,则ABC 的面积是D .若8+=b c ,则ABC 【答案】ACD 【分析】先利用已知条件设4,5,6b c k c a k a b k +=+=+=,进而得到3.5, 2.5, 1.5a k b c k ===,利用正弦定理可判定选项A ;利用向量的数量积公式可判断选项B ;利用余弦定理和三角形的面积公式可判定选项C ;利用余弦定理和正弦定理可判断选项D. 【详解】依题意,设4,5,6b c k c a k a b k +=+=+=, 所以 3.5, 2.5, 1.5a k b c k ===,由正弦定理得:::::7:5:3sinA sinB sinC a b c ==, 故选项A 正确;222222cos 22b c a b c a AB AC bc A bc bc +-+-⋅==⨯=222222.5 1.5 3.515028k k +-==-<,故选项B 不正确;若6c =,则4k =, 所以14,10a b ==,所以222106141cos 21062A +-==-⨯⨯,所以sin A =,故ABC 的面积是:11sin 61022bc A =⨯⨯= 故选项C 正确;若8+=b c ,则2k =, 所以7,5,3a b c ===,所以2225371cos 2532A +-==-⨯⨯,所以sin 2A =, 则利用正弦定理得:ABC 的外接圆半径是:12sin a A ⨯=, 故选项D 正确; 故选:ACD. 【点睛】关键点睛:本题主要考查正余弦定理以及三角形面积公式. 利用已知条件设4,5,6b c k c a k a b k +=+=+=,再利用正余弦定理以及三角形面积公式求解是解决本题的关键.7.已知ABC 是边长为2的等边三角形,D 是边AC 上的点,且2AD DC =,E 是AB 的中点,BD 与CE 交于点O ,那么( )A .0OE OC +=B .1AB CE ⋅=-C .3OA OB OC ++=D .13DE =【答案】AC 【分析】建立平面直角坐标系,结合线段位置关系以及坐标形式下模长的计算公式逐项分析. 【详解】建立平面直角坐标系如下图所示:取BD 中点M ,连接ME ,因为,M E 为,BD BA 中点,所以1//,2ME AD ME AD =,又因为12CD AD =, 所以//,ME CD ME CD =,所以易知EOM COD ≅,所以O 为CE 中点, A .因为O 为CE 中点,所以0OE OC +=成立,故正确; B .因为E 为AB 中点,所以AB CE ,所以0AB CE ⋅=,故错误;C .因为()()(30,,1,0,1,0,32O A B C ⎛- ⎝⎭,所以33331,1,0,OA OB OC ⎛⎛⎛⎛++=+-+= ⎝⎭⎝⎭⎝⎭⎝⎭,所以3OA OB OC ++= D .因为()123,0,03D E ⎛ ⎝⎭,所以123,3DE ⎛=- ⎝⎭,所以13DE =,故错误, 故选:AC. 【点睛】关键点点睛:对于规则的平面图形(如正三角形、矩形、菱形等)中的平面向量的数量积和模长问题,采用坐标法计算有时会更加方便.8.已知向量(4,3)a k =,(4,3)b k =,则( ) A .若a b ⊥,则0k = B .若//a b ,则1k =C .若a b >,则1k <D .若a b a b +=-,则a b ⊥【答案】AD 【分析】先根据a b ⊥建立方程44330k k ⨯+⨯=解得0k =,判断选项A 正确;再根据//a b ,建立方程(4,3)(4,3)k k λ=解得1k =±,判断选项B 错误;接着根据a b >建立不等式4(3)(4)3k k +>+解得11k -<<,判断选项C 错误;最后根据a b a b +=-,化简整理得到a b ⊥,判断选项D 正确.【详解】解:因为(4,3)a k =,(4,3)b k =,a b ⊥,则44330k k ⨯+⨯=,解得0k =,故选项A 正确;因为(4,3)a k =,(4,3)b k =,//a b ,则λa b ,即(4,3)(4,3)k k λ=,解得1k =±,故选项B 错误;因为(4,3)a k =,(4,3)b k =,a b >,则>,解得11k -<<,故选项C 错误;因为(4,3)a k =,(4,3)b k =,a b a b +=-,则0a b ⋅=,0a ≠,0b ≠,所以a b ⊥,故选项D 正确. 故答案为:AD. 【点睛】本题考查利用向量垂直求参数、利用向量共线求参数、根据向量的模的大小关系求参数的范围、利用向量的运算判断向量垂直,是中档题.二、立体几何多选题9.已知图1中,A 、B 、C 、D 是正方形EFGH 各边的中点,分别沿着AB 、BC 、CD 、DA 把ABF 、BCG 、CDH △、DAE △向上折起,使得每个三角形所在的平面都与平面ABCD 垂直,再顺次连接EFGH ,得到一个如图2所示的多面体,则( )A .AEF 是正三角形B .平面AEF ⊥平面CGHC .直线CG 与平面AEF 2D .当2AB =时,多面体ABCD EFGH -的体积为83【答案】AC 【分析】取CD 、AB 的中点O 、M ,连接OH 、OM ,证明出OH ⊥平面ABCD ,然后以点O 为坐标原点,OM 、OC 、OH 所在直线分别为x 、y 、z 轴建立空间直角坐标系,求出EF ,可判断A 选项的正误,利用空间向量法可判断BC 选项的正误,利用几何体的体积公式可判断D 选项的正误. 【详解】取CD 、AB 的中点O 、M ,连接OH 、OM , 在图1中,A 、B 、C 、D 是正方形EFGH 各边的中点,则1122CH GH EH DH ===,O 为CD 的中点,OH CD ∴⊥,平面CDH ⊥平面ABCD ,平面CDH 平面ABCD CD =,OH ⊂平面CDH ,OH ∴⊥平面ABCD ,在图1中,设正方形EFGH 的边长为()220a a >,可得四边形ABCD 的边长为2a , 在图1中,ADE 和ABF 均为等腰直角三角形,可得45BAF DAE ∠=∠=, 90BAD ∴∠=,∴四边形ABCD 是边长为2a 的正方形,O 、M 分别为CD 、AB 的中点,则//OC BM 且OC BM =,且90OCB ∠=,所以,四边形OCBM 为矩形,所以,OM CD ⊥,以点O 为坐标原点,OM 、OC 、OH 所在直线分别为x 、y 、z 轴建立空间直角坐标系,则()2,,0A a a -、()2,,0B a a 、()0,,0C a 、()0,,0D a -、(),,E a a a -、()2,0,F a a 、(),,G a a a 、()0,0,H a .对于A 选项,由空间中两点间的距离公式可得2AE AF EF a ===,所以,AEF 是正三角形,A 选项正确;对于B 选项,设平面AEF 的法向量为()111,,m x y z =,(),0,AE a a =-,()0,,AF a a =,由111100m AE ax az m AF ay az ⎧⋅=-+=⎪⎨⋅=+=⎪⎩,取11z =,则11x =,11y =-,则()1,1,1m =-, 设平面CGH 的法向量为()222,,n x y z =,(),0,CG a a =,()0,,CH a a =-, 由222200n CG ax az n CH ay az ⎧⋅=+=⎪⎨⋅=-+=⎪⎩,取21z =-,可得21x =,21y =-,则()1,1,1n =--, ()22111110m n ⋅=+--⨯=≠,所以,平面AEF 与平面CGH 不垂直,B 选项错误; 对于C 选项,6cos ,23CG mCG m a CG m ⋅<>===⨯⋅, 设直线CG 与平面AEF 所成角为θ,则sin 6θ=,23cos 1sin θθ=-=, 所以,sin tan 2cos θθθ==,C 选项正确; 对于D 选项,以ABCD 为底面,以OH 为高将几何体ABCD EFGH -补成长方体1111ABCD A B C D -,则E 、F 、G 、H 分别为11A D 、11A B 、11B C 、11C D 的中点,因为2AB =,即1a =,则1OH =,长方体1111ABCD A B C D -的体积为2214V =⨯=,11211111113326A A EF A EF V S AA -=⋅=⨯⨯⨯=△, 因此,多面体ABCD EFGH -的体积为111044463ABCD EFGH A A EF V V V --=-=-⨯=, D 选项错误.故选:AC.【点睛】方法点睛:计算线面角,一般有如下几种方法:(1)利用面面垂直的性质定理,得到线面垂直,进而确定线面角的垂足,明确斜线在平面内的射影,即可确定线面角;(2)在构成线面角的直角三角形中,可利用等体积法求解垂线段的长度h ,从而不必作出线面角,则线面角θ满足sin h l θ=(l 为斜线段长),进而可求得线面角; (3)建立空间直角坐标系,利用向量法求解,设a 为直线l 的方向向量,n 为平面的法向量,则线面角θ的正弦值为sin cos ,a n θ=<>.10.如图,矩形ABCD 中, 22AB AD ==,E 为边AB 的中点.将ADE 沿直线DE 翻折成1A DE △(点1A 不落在底面BCDE 内),若M 在线段1A C 上(点M 与1A ,C 不重合),则在ADE 翻转过程中,以下命题正确的是( )A .存在某个位置,使1DE A C ⊥B .存在点M ,使得BM ⊥平面1A DC 成立C .存在点M ,使得//MB 平面1A DE 成立D .四棱锥1A BCDE -2【答案】CD【分析】利用反证法可得A 、B 错误,取M 为1A C 的中点,取1A D 的中点为I ,连接,MI IE ,可证明//MB 平面1A DE ,当平面1A DE ⊥平面BCDE 时,四棱锥1A BCDE -体积最大值,利用公式可求得此时体积为24. 【详解】如图(1),取DE 的中点为F ,连接1,A F CF ,则45CDF ∠=︒,22DF =,故212254222222CF =+-⨯⨯=, 故222DC DF CF ≠+即2CFD π∠≠.若1CA DE ⊥,因为11,A D A E DF FE ==,故1A F DE ⊥,而111A F A C A ⋂=, 故DE ⊥平面1A FC ,因为CF ⊂平面1A FC ,故DE CF ⊥,矛盾,故A 错. 若BM ⊥平面1A DC ,因为DC ⊂平面1A DC ,故BM DC ⊥,因为DC CB ⊥,BM CB B ⋂=,故CD ⊥平面1A CB ,因为1AC ⊂平面1A CB ,故1CD A C ⊥,但1A D CD <,矛盾,故B 错. 当平面1A DE ⊥平面BCDE 时,四棱锥1A BCDE -体积最大值,由前述证明可知1A F DE ⊥,而平面1A DE 平面BCDE DE =,1A F ⊂平面1A DE ,故1A F ⊥平面BCDE ,因为1A DE △为等腰直角三角形,111A D A E ==,故122A F =, 又四边形BCDE 的面积为13211122⨯-⨯⨯=, 故此时体积为13223224⨯⨯=D 正确. 对于C ,如图(2),取M 为1A C 的中点,取1A D 的中点为I ,连接,MI IE , 则1//,2IM CD IM CD =,而1//,2BE CD BE CD =, 故//,IM BE IM BE =即四边形IEBM 为平行四边形, 故//IE BM ,因为IE ⊂平面1A DE ,BM ⊄平面1A DE ,故//MB 平面1A DE , 故C 正确.故选:CD.【点睛】本题考查立体几何中的折叠问题,注意对于折叠后点线面的位置的判断,若命题的不成立,往往需要利用反证法来处理,本题属于难题.。
【高中数学】数学《平面向量》复习资料一、选择题1.已知数列{a n }的前n 项和为S n ,且a n +1=a n +a (n ∈N *,a 为常数),若平面内的三个不共线的非零向量OAOB OC u u u r u u u r u u u r,,满足10051006OC a OA a OB =+u u u r u u u r u u u r ,A ,B ,C 三点共线且该直线不过O点,则S 2010等于( ) A .1005 B .1006C .2010D .2012【答案】A 【解析】 【分析】根据a n +1=a n +a ,可判断数列{a n }为等差数列,而根据10051006OC a OA a OB =+u u u r u u u r u u u r,及三点A ,B ,C 共线即可得出a 1+a 2010=1,从而根据等差数列的前n 项和公式即可求出S 2010的值. 【详解】由a n +1=a n +a ,得,a n +1﹣a n =a ; ∴{a n }为等差数列;由10051006OC a OA a OB =+u u u r u u u r u u u r ,所以A ,B ,C 三点共线; ∴a 1005+a 1006=a 1+a 2010=1, ∴S 2010()12010201020101100522a a +⨯===. 故选:A. 【点睛】本题主要考查等差数列的定义,其前n 项和公式以及共线向量定理,还考查运算求解的能力,属于中档题.2.在平行四边形OABC 中,2OA =,OC =6AOC π∠=,动点P 在以点B 为圆心且与AC 相切的圆上,若OP OA OC λμ=+u u u r u u u r u u u r,则43λμ+的最大值为( )A .2+B .3+C .5+D .7+【答案】D 【解析】 【分析】先通过计算证明圆B 与AC 相切于点A ,再求出43OB OA BP OA λμ+=⋅+⋅u u u r u u u r u u u r u u u r,再求出7OB OA ⋅=u u u r u u u r ,BP OA ⋅u u u r u u u r的最大值为.【详解】如图所示,由2OA =,6AOC π∠=,由余弦定理得234+32231,1AC AC =-⨯⨯⨯=∴=, ∴90OCA BAC ∠=∠=o , ∴圆B 与AC 相切于点A , 又OP OA OC λμ=+u u u r u u u r u u u r,∴243OP OA OA OC OA λμλμ⋅=+⋅=+u u u r u u u r u u u r u u u r u u u r;∴()43OP OA OB BP OA OB OA BP OA λμ+=⋅=+⋅=⋅+⋅u u u r u u u r u u u r u u u r u u u r u u u r u u u r u u u r u u u r ;如图,过点B 作,BD OA ⊥连接,OB 由题得6BAD π∠=,所以22333333,,(2)()13222AD DB OB =⨯==∴=++=, 所以72cos 13213BOA ∠==, 所以1327213OB OA ⋅=⨯⨯=u u u r u u u r , 因为BP OA ⋅u u u r u u u r的最大值为32cos023⨯⨯=o ,∴43λμ+的最大值是723+. 故选:D.【点睛】本题主要考查三角函数和余弦定理解三角形,考查平面向量的数量积运算和范围的求解,意在考查学生对这些知识的理解掌握水平和分析推理能力.3.已知()4,3a =r ,()5,12b =-r 则向量a r 在b r方向上的投影为( )A .165-B .165C .1613-D .1613【答案】C【解析】 【分析】先计算出16a b r r⋅=-,再求出b r ,代入向量a r 在b r 方向上的投影a b b⋅r rr 可得【详解】()4,3a =r Q ,()5,12b =-r,4531216a b ⋅=⨯-⨯=-r r,则向量a r 在b r方向上的投影为1613a b b⋅-=r rr ,故选:C. 【点睛】本题考查平面向量的数量积投影的知识点. 若,a b r r的夹角为θ,向量a r 在b r方向上的投影为cos a θ⋅r 或a b b⋅r rr4.已知A ,B ,C 是抛物线24y x =上不同的三点,且//AB y 轴,90ACB ∠=︒,点C 在AB 边上的射影为D ,则CD =( ) A .4 B.C .2D【答案】A 【解析】 【分析】画出图像,设222112112,,,,,444y y y A y B y C y ⎛⎫⎛⎫⎛⎫- ⎪ ⎪ ⎪⎝⎭⎝⎭⎝⎭,12y y >, 由90ACB ∠=︒可求221216y y -=,结合221244y y CD =-即可求解 【详解】如图:设222112112,,,,,444y y y A y B y C y ⎛⎫⎛⎫⎛⎫- ⎪ ⎪ ⎪⎝⎭⎝⎭⎝⎭,12y y >, 由90ACB ∠=︒可得0CA CB ⋅=u u u r u u u r ,222212121212,,,44y y y y CA y y CB y y ⎛⎫⎛⎫--=-=-- ⎪ ⎪⎝⎭⎝⎭u u u r u u u r ,()222221212004y y CA CB y y ⎛⎫-⋅=⇔--= ⎪⎝⎭u u u r u u u r ,即()()222122212016y y y y ---=解得221216y y -=(0舍去),所以222212124444y y y y CD -=-==故选:A 【点睛】本题考查抛物线的几何性质与向量的综合应用,计算能力,逻辑推理能力,属于中档题5.在△ABC 中,A 、B 、C 的对边分别为a 、b 、c ,且3a 2+3c 2-3b 2=2ac ,BA u u u r ⋅BC uuur =2,则△ABC 的面积为( ) A 2B .32C .22D .42【答案】C 【解析】 【分析】利用余弦定理求出B 的余弦函数值,结合向量的数量积求出ca 的值,然后求解三角形的面积. 【详解】在△ABC 中,A 、B 、C 的对边分别为a 、b 、c ,且3a 2+3c 2﹣3b 2=2ac ,可得cosB 222123a c b ac +-==,则sinB 23=BA u u u r ⋅BC =u u u r 2,可得cacosB =2,则ac =6,∴△ABC 的面积为:11226223acsinB =⨯⨯=2. 故选C . 【点睛】本题考查三角形的解法,余弦定理以及向量的数量积的应用,考查计算能力.6.已知点M 在以1(,2)C a a -为圆心,以1为半径的圆上,距离为23,P Q 在圆222:8120C x y y +-+=上,则MP MQ ⋅u u u r u u u u r的最小值为( )A .18122-B .19122-C .18122+D .19122+【答案】B 【解析】 【分析】设PQ 中点D ,得到,MP MD DP MQ MD DQ =+=+u u u r u u u u r u u u r u u u u r u u u u r u u u r ,求得23MP MQ MD ⋅=-u u u r u u u u r u u u u r ,再利用圆与圆的位置关系,即可求解故()23223MP MQ ⋅≥--u u u r u u u u r,得到答案.【详解】依题意,设PQ 中点D ,则,MP MD DP MQ MD DQ =+=+u u u r u u u u r u u u r u u u u r u u u u r u u u r ,所以23MP MQ MD ⋅=-u u u r u u u u r u u u u r ,22222()12PQ C D QC =-=Q ,D ∴在以1为半径,以2C 为圆心的圆上, 22221[(2)4]2(3)1832C C a a a =+--=-+≥Q ,1221min min MD C C C D MC ∴=-- 故()2322319122MP MQ ⋅≥--=-u u u r u u u u r .【点睛】本题主要考查了圆的方程,圆与圆的位置关系的应用,以及平面向量的数量积的应用,着重考查了推理论证能力以及数形结合思想,转化与化归思想.7.在ABC V 中,D 、P 分别为BC 、AD 的中点,且BP AB AC λμ=+u u u r u u u r u u u r,则λμ+=( ) A .13- B .13C .12-D .12【答案】C 【解析】 【分析】由向量的加减法运算,求得BP BD DP BD PD =+=-u u u r u u u r u u u r u u u r u u u r,进而得出()()22BP AB AC BD PD λμμλλμ=+=-++u u u r u u u r u u u r u u u r u u u r,列式分别求出λ和μ,即可求得λμ+.【详解】解:已知D 、P 分别为BC 、AD 的中点, 由向量的加减法运算, 得BP BD DP BD PD =+=-u u u r u u u r u u u r u u u r u u u r,2AB AD DB BD PD =+=-+u u u r u u u r u u u r u u u r u u u r , 2AC AD DC BD PD =+=+u u u r u u u r u u u r u u u r u u u r ,又()()22BP AB AC BD PD λμμλλμ=+=-++u u u r u u u r u u u r u u u r u u u r Q ,则1221μλλμ-=⎧⎨+=-⎩,则12λμ+=-.故选:C.【点睛】本题考查平面向量的加减法运算以及向量的基本定理的应用.8.如图,AB ,CD 是半径为1的圆O 的两条直径,3AE EO =u u u v u u u v ,则•EC ED u u u v u u u v的值是( )A .45-B .1516-C .14-D .58-【答案】B 【解析】 【分析】根据向量表示化简数量积,即得结果. 【详解】()()()()•••EC ED EO OC EO OD EO OC EO OC =++=+-u u u v u u u v u u u v u u u v u u u v u u u v u u u v u u u v u u u v u u u v2221151416EO OC ⎛⎫=-=-=- ⎪⎝⎭u u u v u u u v ,选B.【点睛】本题考查向量数量积,考查基本分析求解能力,属基础题.9.在边长为1的等边三角形ABC 中,点P 是边AB 上一点,且.2BP PA =,则CP CB ⋅=u u u v u u u v( ) A .13B .12C .23D .1【答案】C 【解析】 【分析】利用向量的加减法及数乘运算用,CA CB u u u r u u u r 表示CP u u u v,再利用数量积的定义得解.【详解】依据已知作出图形如下:()11213333CP CA AP CA AB CA CB CA CA CB =+=+=+-=+u u u v u u v u u u v u u v u u u v u u v u u u v u u v u u v u u u v .所以221213333CP CB CA CB CB CA CB CB ⎛⎫+=+ ⎪⎝⎭⋅=⋅⋅u u u v u u u v u u v u u u v u u u v u u v u u u v u u u v221211cos 13333π=⨯⨯⨯+⨯= 故选C 【点睛】 本题主要考查了向量的加减法及数乘运算,还考查了数量积的定义,考查转化能力,属于中档题.10.在ABC V 中,若2AB BC BC CA CA AB ⋅=⋅=⋅u u u v u u u v u u u v u u u v u u u v u u u v,则AB BC=u u u v u u u v ( )A .1 B.2C.2D.2【答案】C 【解析】 【分析】根据题意,由AB BC BC CA ⋅=⋅uu u v uu u v uu u v uu v可以推得AB AC =,再利用向量运算的加法法则,即可求得结果. 【详解】由题意得,AB BC BC CA ⋅=⋅uu u v uu u v uu u v uu v ,即A A =0+BC B C ⋅uu u v uu u v uuu v(),设BC 的中点为D ,则AD BC ⊥,即ABC V 为等腰三角形,B=C AB AC =∠∠, 又因为2BC CA CA AB ⋅=⋅uu u v uu v uu v uu u v 即2222222C C cos 2C 2C cos 112C +22232C 2AB BC CA A B AB BC B A CA B CBC A BC A BC⋅=⋅-=-+-=-+⨯=uu u v uu u v uu v uu u v uuv uu u v uu u v uu u v uu v uuvuu u v uu u v uu u v uu u v uu u v ()所以AB BC=uu u v uu u v【点睛】本题主要考查平面向量的线性运算.11.已知向量()()75751515a b ︒︒︒︒==r r cos ,sin ,cos ,sin ,则a b -r r 的值为A .12B .1C .2D .3【答案】B 【解析】 【分析】 【详解】因为11,1,cos75cos15sin 75sin15cos602a b a b ==⋅=︒︒+︒︒=︒=r r r r,所以||1a b -===r r ,故选B.点睛:在向量问题中,注意利用22||a a =rr ,涉及向量模的计算基本考虑使用此公式,结合数量积的运算法则即可求出.12.已知AB 是圆22:(1)1C x y -+=的直径,点P 为直线10x y -+=上任意一点,则PA PB ⋅u u u v u u u v的最小值是( )A .21-B .2C .0D .1【答案】D 【解析】试题分析:由题意得,设,,,又因为,所以,所以PA PB ⋅u u u r u u u r的最小值为1,故答案选D.考点:1.圆的性质;2.平面向量的数量积的运算.13.若点O 和点F 分别为椭圆22143x y +=的中心和左焦点,点P 为椭圆上的任意一点,则OP FP →→g 的最大值为( ) A .4 B .5C .6D .7【答案】C 【解析】 【分析】设(),P x y ,由数量积的运算及点P 在椭圆上,可把OP FP ⋅u u u r u u u r表示成为x 的二次函数,根据二次函数性质可求出其最大值. 【详解】设(),P x y ,()()1,0,0,0F O -,则()(),,+1,OP x y FP x y ==u u u r u u u r,则 22OP FP x x y ⋅=++u u u r u u u r,因为点P 为椭圆上,所以有:22143x y +=即22334y x =-,所以()222223132244x x y x x x FP x OP =++=⋅++-=++u u u r u u u r又因为22x -≤≤,所以当2x =时,OP FP ⋅u u u r u u u r的最大值为6 故选:C 【点睛】本题考查了数量积的坐标运算,求二次函数的最大值,属于一般题.14.已知平面向量,,a b c r r r满足()()2,21a b a b a c b c ==⋅=-⋅-=r r r r r r r r ,则b c -r r 的最小值为( )A B C .2-D 【答案】A 【解析】 【分析】根据题意,易知a r 与b r的夹角为60︒,设(=1a r ,()20b =,r ,(),c x y =r ,由()()21a c b c -⋅-=r r r r ,可得221202x y x +-+=,所以原问题等价于,圆221202x y x +-+=上一动点与点()20,之间距离的最小值, 利用圆心和点()20,的距离与半径的差,即可求出结果. 【详解】因为2a b a b ==⋅=r r r r ,所以a r 与b r的夹角为60︒,设(=1a r ,()20b =,r ,(),c x y =r,因为()()21a c b c -⋅-=r r r r ,所以221202x y x +-+=,又b c -=r r所以原问题等价于,圆221202x y x +-+=上一动点与点()20,之间距离的最小值,又圆221202x y x +-+=的圆心坐标为1⎛ ⎝⎭,所以点()20,与圆221202x y x +-+=上一动点距离的最小值为=. 故选:A. 【点睛】本题考查向量的模的最值的求法,考查向量的数量积的坐标表示,考查学生的转换思想和运算能力,属于中档题.15.在ABC V 中,E 是AC 的中点,3BC BF =u u u r u u u r ,若AB a =u u u r r ,AC b =u u u r r ,则EF =u u u r( )A .2136a b -r r B .1133a b +r r C .1124a b +r r D .1133a b -r r 【答案】A【解析】【分析】根据向量的运算法则计算得到答案.【详解】 1223EF EC CF AC CB =+=+u u u r u u u r u u u r u u u r u u u r ()12212336AC AB AC AB AC =+-=-u u u r u u u r u u u r u u u r u u u r 2136a b =-r r . 故选:A .【点睛】本题考查了向量的基本定理,意在考查学生的计算能力和转化能力.16.在菱形ABCD 中,4AC =,2BD =,E ,F 分别为AB ,BC 的中点,则DE DF ⋅=u u u r u u u r ( )A .134- B .54 C .5 D .154 【答案】B【解析】【分析】 据题意以菱形对角线交点O 为坐标原点建立平面直角坐标系,用坐标表示出,DE DF u u u r u u u r ,再根据坐标形式下向量的数量积运算计算出结果.【详解】设AC 与BD 交于点O ,以O 为原点,BD u u u r 的方向为x 轴,CA u u u r的方向为y 轴,建立直角坐标系,则1,12E ⎛⎫- ⎪⎝⎭,1,12F ⎛⎫-- ⎪⎝⎭,(1,0)D ,3,12DE ⎛⎫=- ⎪⎝⎭u u u r ,3,12DF ⎛⎫=-- ⎪⎝⎭u u u r , 所以95144DE DF ⋅=-=u u u r u u u r . 故选:B.【点睛】本题考查建立平面直角坐标系解决向量的数量积问题,难度一般.长方形、正方形、菱形中的向量数量积问题,如果直接计算较麻烦可考虑用建系的方法求解.17.下列命题为真命题的个数是( ) ①{x x x ∀∈是无理数},2x 是无理数;②若0a b ⋅=r r ,则0a =r r 或0b =r r;③命题“若220x y +=,x ∈R ,y ∈R ,则0x y ==”的逆否命题为真命题; ④函数()x xe ef x x--=是偶函数. A .1B .2C .3D .4【答案】B【解析】【分析】利用特殊值法可判断①的正误;利用平面向量垂直的等价条件可判断②的正误;判断原命题的真假,利用逆否命题与原命题的真假性一致的原则可判断③的正误;利用函数奇偶性的定义可判断④的正误.综合可得出结论.【详解】对于①中,当2x =时,22x =为有理数,故①错误; 对于②中,若0a b ⋅=r r ,可以有a b ⊥r r ,不一定要0a =r r 或0b =r r ,故②错误;对于③中,命题“若220x y +=,x ∈R ,y ∈R ,则0x y ==”为真命题,其逆否命题为真命题,故③正确;对于④中,()()x x x x e e e e f x f x x x-----===-, 且函数的定义域是(,0)(0,)-∞+∞U ,定义域关于原点对称,所以函数()x xe ef x x--=是偶函数,故④正确. 综上,真命题的个数是2.故选:B.【点睛】本题考查命题真假的判断,涉及全称命题的真假的判断、逆否命题真假的判断、向量垂直等价条件的应用以及函数奇偶性的判断,考查推理能力,属于中等题.18.如图,向量a b -r r 等于A .1224e e --u r u u rB .1242e e --u r u u rC .123e e -r u u rD .123e e -+r u u r 【答案】D【解析】【分析】【详解】 由向量减法的运算法则可得123a e b e -=-+r r r u u r ,19.已知向量(sin ,cos )a αα=r ,(1,2)b =r ,则以下说法不正确的是( )A .若//a b r r ,则1tan 2α=B .若a b ⊥r r ,则1tan 2α= C .若()f a b α=⋅r r 取得最大值,则1tan 2α= D .||a b -r r 51 【答案】B【解析】【分析】A 选项利用向量平行的坐标表示来判断正确性.B 选项利用向量垂直的坐标表示来判断正确性.C 选项求得()f α的表达式,结合三角函数最值的求法,判断C 选项的正确性.D 选项利用向量模的运算来判断正确性.【详解】A 选项,若//a b r r ,则2sin cos αα=,即1tan 2α=,A 正确.B 选项,若a b ⊥r r ,则sin 2cos 0αα+=,则tan 2α=-,B 不正确.C 选项,si (n )2cos in()f a b ααααϕ+==⋅=+r r ,其中tan 2ϕ=.取得最大值时,22k παϕπ+=+,22k πϕπα=+-,tan 2tan 2k πϕπα=+-⎛⎫ ⎪⎝⎭1tan 22tan παα⎛⎫=== ⎪⎝⎭-,则1tan 2α=,则C 正确.D 选项,由向量减法、模的几何意义可知||a b -r r 1,此时5a =-r r ,,a b r r 反向.故选项D 正确.故选:B【点睛】本小题主要考查向量平行、垂直的坐标表示,考查向量数量积的运算,考查向量减法的模的几何意义,属于中档题.20.已知向量(),1a x =-r , (b =r ,若a b ⊥r r ,则a =r ( )AB C .2 D .4 【答案】C【解析】由a b r r ⊥,(),1a x =-r , (b r =,可得:x 0x ,==,即)1a =-r所以2a ==r 故选C。
2024届高考数学易错题专项(平面向量) 练习易错点一:注意零向量书写及三角形与平行四边形适用前提(平面向量线性运算)1.已知a 、b为不共线的向量,5AB a b =+ ,28BC a b =-+ ,()3CD a b =-uu u r r r ,则( )A .1233AB AD -+C .15AB AD -A .43a +23b C .23a 43-b1.在梯形ABCD 中,//AB CD ,2AB CD =,E ,F 分别是AB ,CD 的中点,AC 与BD 交于M ,设AB a =,,则下列结论正确的是()A .1233AE AB AC =+ B .若0AB AC ⋅= ,则易错点三:忽视数量积不满足结合律(平面向量的数量积及其应用)1.如图,在三棱柱111ABC A B C -中,M ,N 分别是1A B ,11B C 上的点,且12BM A M =,112C N B N =.设AB a=,AC b = ,1AA c = ,若90BAC ∠= ,1160BAA CAA ∠=∠=,11AB AC AA ===,则( )A .112333MN a b c =++C .11AB BC ⊥A .1AC BD ⊥ C .185BD =10.(多选)下列说法中正确的是(参考答案易错点一:注意零向量书写及三角形与平行四边形适用前提(平面向量线性运算)1.已知a 、b为不共线的向量,5AB a b =+ ,28BC a b =-+ ,()3CD a b =-uu u r r r ,则( ) A .1233AB AD -+C .15AB AD -A.43a+23bC.23a43 -b故选:B.y= 10.已知抛物线C:24∵3FA FB = ,由ABH 与△AFM ∵||2MF =,∴2||23BH =⨯=由抛物线定义得||||BF BH =,∴即4AF = ,3AF BH =,故故选:BC .易错点二:忽略基底选取原则(平面向量的基本定理及坐标表示)【答案详解】由题意可得,12AC AD DC b a=+=+,故A112对于A ,12||||||OF OF OA ==,因此对于B ,直线2:1AF y x =-,由⎧⎨⎩A .1233AE AB AC =+ B .若0AB AC ⋅= ,则易错点三:忽视数量积不满足结合律(平面向量的数量积及其应用)1.如图,在三棱柱111ABC A B C -中,M ,N 分别是1A B ,11B C 上的点,且12BM A M =,112C N B N =.设AB a=,AC b = ,1AA c = ,若90BAC ∠= ,1160BAA CAA ∠=∠=,11AB AC AA ===,则( )A .112333MN a b c =++C .11AB BC ⊥7.已知向量()()2,11,,,1a b c ==-=A .a 与b的夹角为钝角B .向量a 在b 方向上的投影为C .24m n +=对于C ,由PA PB PB PC ⋅=⋅ ,得(PA - 所以点P 是ABC 的垂心,故C 正确;A .1AC BD ⊥ C .185BD =【答案】AB由题意得,2216AB AD == ,1AA cos 4AB AD AB AD BAD ⋅=⋅∠=⨯111cos 4AB AA AB AA BAA ⋅=⋅∠=,其中四边形ABDC 为平行四边形,因为又|OA |=|CA|=|OC |,所以所以∠ACB=60°,且BC。
专题07平面向量易错点一:注意零向量书写及三角形与平行四边形适用前提(平面向量线性运算)1.向量的有关概念(1)定义:既有大小又有方向的量叫做向量,向量的大小叫做向量的长度(或模).(2)向量的模:向量AB 的大小,也就是向量AB的长度,记作||AB .(3)特殊向量:①零向量:长度为0的向量,其方向是任意的.②单位向量:长度等于1个单位的向量.③平行向量:方向相同或相反的非零向量.平行向量又叫共线向量.规定:0与任一向量平行.④相等向量:长度相等且方向相同的向量.⑤相反向量:长度相等且方向相反的向量.2.向量的线性运算和向量共线定理(1)向量的线性运算运算定义法则(或几何意义)运算律加法求两个向量和的运算三角形法则平行四边形法则①交换律a b b a +=+ ②结合律()a b c ++ =()a b c ++减法求a 与b 的相反向量b -的和的运算叫做a与b的差三角形法则()a b a b -=+-数乘求实数λ与向量a的积的运算(1)||||||a a λλ=(2)当0λ>时,a λ 与a的方向相同;当0λ<时,a λ 与a的方向相同;当0λ=时,0a λ=()()a a λμλμ= ()a a aλμλμ+=+()a b a bλλλ+=+共线向量定理向量()0a a ≠ 与b 共线,当且仅当有唯一的一个实数λ,使得b a λ=.共线向量定理的主要应用:(1)证明向量共线:对于非零向量a ,b ,若存在实数λ,使a b λ=,则a 与b 共线.(2)证明三点共线:若存在实数λ,使AB AC λ=,则A ,B ,C 三点共线.(3)求参数的值:利用共线向量定理及向量相等的条件列方程(组)求参数的值.平面向量线性运算问题的求解策略:(1)进行向量运算时,要尽可能地将它们转化到三角形或平行四边形中,充分利用相等向量、相反向量,三角形的中位线及相似三角形对应边成比例等性质,把未知向量用已知向量表示出来.(2)向量的线性运算类似于代数多项式的运算,实数运算中的去括号、移项、合并同类项、提取公因式等变形手段在线性运算中同样适用.(3)用几个基本向量表示某个向量问题的基本技巧:①观察各向量的位置;②寻找相应的三角形或多边形;③运用法则找关系;④化简结果.解决向量的概念问题应关注以下七点:(1)正确理解向量的相关概念及其含义是解题的关键.(2)相等向量具有传递性,非零向量的平行也具有传递性.(3)共线向量即平行向量,它们均与起点无关.(4)相等向量不仅模相等,而且方向要相同,所以相等向量一定是平行向量,而平行向量未必是相等向量.(5)向量可以平移,平移后的向量与原向量是相等向量.解题时,不要把它与函数图象移动混为一谈.(6)非零向量a 与||a a 的关系:||a a是a方向上的单位向量.(7)向量与数量不同,数量可以比较大小,向量则不能,但向量的模是非负实数,故可以比较大小易错提醒:(1)向量表达式中的零向量写成0,而不能写成0.(2)两个向量共线要区别与两条直线共线,两个向量共线满足的条件是:两个向量所在直线平行或重合,而在直线中,两条直线重合与平行是两种不同的关系.(3)要注意三角形法则和平行四边形法则适用的条件,运用平行四边形法则时两个向量的起点必须重合,和向量与差向量分别是平行四边形的两条对角线所对应的向量;运用三角形法则时两个向量必须首尾相接,否则就要把向量进行平移,使之符合条件.(4)向量加法和减法几何运算应该更广泛、灵活如:OA OB BA -= ,AM AN NM -= ,+OA OB CA OA OB CA BA CA BA AC BC =⇔-=⇔-=+=.A .AB AD AC+= C .AB AD CD AD++=uu u r uuu r uu u r uuu r 变式1:给出下列命题,其中正确的命题为(A .若AB CD = ,则必有B .若1233AD AC AB =+ C .若Q 为ABC 的重心,则D .非零向量a ,b ,c 变式2:如图所示,在平行四边形(1)试用向量,a b来表示DN (2)AM 交DN 于O 点,求AO 变式3:如图所示,在矩形1.已知a 、b为不共线的向量,5AB a b =+ ,28BC a b =-+ ,()3CD a b =-uu u r r r ,则()A .ABC ,,三点共线C .A BD ,,三点共线2.如图,在平行四边形ABCD A .1233AB AD-+C .1536AB AD - 3.在四边形ABCD 中,若AC AB = A .四边形ABCD 是平行四边形C .四边形ABCD 是菱形4.已知,AD BE 分别为ABC 的边A .43a +23bC .23a 43-b 5.如果21,e e是平面α内两个不共线的向量,那么下列说法中不正确的是(①(12,R a e e λμλμ=+∈②对于平面α内任一向量③若向量1112e e λμ+ 与λ④若实数λ、μ使得1e λ+ A .①②B 6.给出下列各式:①AB 对这些式子进行化简,则其化简结果为A .4B 7.已知平面向量a ,bA .若a b ∥,则a = C .若a b ∥,b c ∥,则8.设1e 与2e 是两个不共线的向量,k 的值为()41.平面向量基本定理和性质(1)共线向量基本定理如果()a b R λλ=∈ ,则//a b ;反之,如果//a b 且0b ≠ ,则一定存在唯一的实数λ,使a b λ=.(口诀:数乘即得平行,平行必有数乘).(2)平面向量基本定理如果1e 和2e 是同一个平面内的两个不共线向量,那么对于该平面内的任一向量a,都存在唯一的一对实数12,λλ,使得1122a e e λλ=+,我们把不共线向量1e ,2e 叫做表示这一平面内所有向量的一组基底,记为{}12,e e ,1122e e λλ+ 叫做向量a关于基底{}12,e e 的分解式.注意:由平面向量基本定理可知:只要向量1e 与2e 不共线,平面内的任一向量a都可以分解成形如1122a e e λλ=+的形式,并且这样的分解是唯一的.1122e e λλ+ 叫做1e ,2e 的一个线性组合.平面向量基本定理又叫平面向量分解定理,是平面向量正交分解的理论依据,也是向量的坐标表示的基础.推论1:若11223142a e e e e λλλλ=+=+,则1324,λλλλ==.推论2:若11220a e e λλ=+=,则120λλ==.(3)线段定比分点的向量表达式如图所示,在ABC △中,若点D 是边BC 上的点,且BD DC λ=(1λ≠-),则向量1AB AC AD λλ+=+ .在向量线性表示(运算)有关的问题中,若能熟练利用此结论,往往能有“化腐朽为神奇”之功效,建议熟练掌握.DACB(4)三点共线定理平面内三点A ,B ,C 共线的充要条件是:存在实数,λμ,使OC OA OB λμ=+,其中1λμ+=,O 为平面内一点.此定理在向量问题中经常用到,应熟练掌握.A 、B 、C 三点共线⇔存在唯一的实数λ,使得AC AB λ=;⇔存在唯一的实数λ,使得OC OA AB λ=+;⇔存在唯一的实数λ,使得(1)OC OA OB λλ=-+;⇔存在1λμ+=,使得OC OA OB λμ=+.(5)中线向量定理如图所示,在ABC △中,若点D 是边BC 的中点,则中线向量1(2AD AB =+ )AC,反之亦正确.DACB2.平面向量的坐标表示及坐标运算(1)平面向量的坐标表示.在平面直角坐标中,分别取与x 轴,y 轴正半轴方向相同的两个单位向量,i j作为基底,那么由平面向量基本定理可知,对于平面内的一个向量a,有且只有一对实数,x y 使a xi yj =+ ,我们把有序实数对(,)x y 叫做向量a的坐标,记作(,)a x y = .(2)向量的坐标表示和以坐标原点为起点的向量是一一对应的,即有向量(,)x y 一一对应向量OA 一一对应点(,)A x y .(3)设11(,)a x y = ,22(,)b x y = ,则1212(,)a b x x y y +=++ ,1212(,)a b x x y y -=--,即两个向量的和与差的坐标分别等于这两个向量相应坐标的和与差.若(,)a x y = ,λ为实数,则(,)a x y λλλ=,即实数与向量的积的坐标,等于用该实数乘原来向量的相应坐标.(4)设11(,)A x y ,22(,)B x y ,则AB OB OA =-=12(,x x -12)y y -,即一个向量的坐标等于该向量的有向线段的终点的坐标减去始点坐标.3.平面向量的直角坐标运算①已知点11()A x y ,,22()B x y ,,则2121()AB x x y y =--,,||AB ②已知11(,)a x y = ,22(,)b x y = ,则a b ±1212()x x y y =±±,,11(,)a x y λλλ= ,∥12211212向量共线(平行)的坐标表示1.利用两向量共线的条件求向量坐标.一般地,在求与一个已知向量a共线的向量时,可设所求向量为a λ (λ∈R ),然后结合其他条件列出关于λ的方程,求出λ的值后代入a λ 即可得到所求的向量.2.利用两向量共线求参数.如果已知两向量共线,求某些参数的取值时,则利用“若11(),a x y =,22(),b x y = ,则a b∥的充要条件是1221x y x y =”解题比较方便.3.三点共线问题.A ,B ,C 三点共线等价于AB与AC 共线.4.利用向量共线的坐标运算求三角函数值:利用向量共线的坐标运算转化为三角方程,再利用三角恒等变换求解.用平面向量基本定理解决问题的一般思路(1)先选择一组基底,并运用平面向量基本定理将条件和结论表示成该基底的线性组合,再进行向量的运算.(2)在基底未给出的情况下,合理地选取基底会给解题带来方便,另外,要熟练运用线段中点的向量表达式.向量的坐标与表示向量的有向线段的起点、终点的相对位置有关系.两个相等的向量,无论起点在什么位置,它们的坐标都是相同的.易错提醒:(1)平面向量基本定理中的基底必须是两个不共线的向量.(2)选定基底后,通过向量的加、减、数乘以及向量平行的充要条件,把相关向量用这一组基底表示(3)强调几何性质在向量运算中的作用,用基底表示未知向量,常借助图形的几何性质,如平行、相。
2017年高考数学(四海八荒易错集)专题08 平面向量理编辑整理:尊敬的读者朋友们:这里是精品文档编辑中心,本文档内容是由我和我的同事精心编辑整理后发布的,发布之前我们对文中内容进行仔细校对,但是难免会有疏漏的地方,但是任然希望(2017年高考数学(四海八荒易错集)专题08 平面向量理)的内容能够给您的工作和学习带来便利。
同时也真诚的希望收到您的建议和反馈,这将是我们进步的源泉,前进的动力。
本文可编辑可修改,如果觉得对您有帮助请收藏以便随时查阅,最后祝您生活愉快业绩进步,以下为2017年高考数学(四海八荒易错集)专题08 平面向量理的全部内容。
专题08 平面向量1.已知向量错误!=错误!,错误!=错误!,则∠ABC等于( )A.30°B.45°C.60°D.120°答案A解析∵|错误!|=1,|错误!|=1,cos∠ABC=错误!=错误!,∴∠ABC=30°.2.已知非零向量m,n满足4|m|=3|n|,cos〈m,n〉=错误!。
若n⊥(t m+n),则实数t 的值为( )A.4B.-4C。
错误!D.-错误!答案B3.已知△ABC是边长为1的等边三角形,点D,E分别是边AB,BC的中点,连接DE并延长到点F,使得DE=2EF,则错误!·错误!的值为( )A.-错误!B。
错误!C。
错误! D.错误!答案B解析如图所示,错误!=错误!+错误!.又D,E分别为AB,BC的中点,且DE=2EF,所以错误!=错误!错误!,错误!=错误!+错误!=错误!+错误!错误!=32错误!=错误!错误!,所以错误!=错误!错误!+错误!错误!.又错误!=错误!-错误!,则错误!·错误!=错误!·(错误!-错误!)=错误!错误!·错误!-错误!错误!2+错误!错误!2-错误!错误!·错误!=34错误!2-错误!错误!2-错误!错误!·错误!。
高三数学易错平面向量多选题 易错题提高题学能测试一、平面向量多选题1.已知集合()(){}=,M x y y f x =,若对于()11,x y M ∀∈,()22,x y M ∃∈,使得12120x x y y +=成立,则称集合M 是“互垂点集”.给出下列四个集合:(){}21,1M x y y x ==+;(){2,M x y y ==;(){}3,xM x y y e ==;(){}4,sin 1M x y y x ==+.其中是“互垂点集”集合的为( )A .1MB .2MC .3MD .4M【答案】BD 【分析】根据题意知,对于集合M 表示的函数图象上的任意点()11,P x y ,在图象上存在另一个点P ',使得OP OP '⊥,结合函数图象即可判断.【详解】由题意知,对于集合M 表示的函数图象上的任意点()11,P x y ,在图象上存在另一个点P ',使得OP OP '⊥.在21y x =+的图象上,当P 点坐标为(0,1)时,不存在对应的点P ', 所以1M 不是“互垂点集”集合;对y =所以在2M 中的任意点()11,P x y ,在2M 中存在另一个P ',使得OP OP '⊥, 所以2M 是“互垂点集”集合;在xy e =的图象上,当P 点坐标为(0,1)时,不存在对应的点P ', 所以3M 不是“互垂点集”集合;对sin 1y x =+的图象,将两坐标轴绕原点进行任意旋转,均与函数图象有交点, 所以所以4M 是“互垂点集”集合, 故选:BD . 【点睛】本题主要考查命题的真假的判断,以及对新定义的理解与应用,意在考查学生的数学建模能力和数学抽象能力,属于较难题.2.已知M 为ABC 的重心,D 为BC 的中点,则下列等式成立的是( ) A .1122AD AB AC =+ B .0MA MB MC ++= C .2133BM BA BD =+ D .1233CM CA CD =+【答案】ABD 【分析】根据向量的加减法运算法则依次讨论即可的答案. 【详解】解:如图,根据题意得M 为AD 三等分点靠近D 点的点. 对于A 选项,根据向量加法的平行四边形法则易得1122AD AB AC =+,故A 正确; 对于B 选项,2MB MC MD +=,由于M 为AD 三等分点靠近D 点的点,2MA MD =-,所以0MA MB MC ++=,故正确;对于C 选项,()2212=3333BM BA AD BA BD BA BA BD =+=+-+,故C 错误; 对于D 选项,()22123333CM CA AD CA CD CA CA CD =+=+-=+,故D 正确. 故选:ABD【点睛】本题考查向量加法与减法的运算法则,是基础题.3.ABC 是边长为2的等边三角形,已知向量a 、b 满足AB a =、AC a b =+,则下列结论正确的是( ) A .2b = B .a b ⊥C .2a b ⋅=D .(2)a b BC +⊥【答案】AD 【分析】本题首先可以根据向量的减法得出BC b =,然后根据ABC 是边长为2的等边三角形得出A 正确以及B 错误,再然后根据向量a 、b 之间的夹角为120计算出2a b ⋅=-,C 错误,最后通过计算得出(2)0a b BC +⋅=,D 正确. 【详解】因为AB a =,AC a b =+,所以BC AC AB a b a b =-=+-=, 因为ABC 是边长为2的等边三角形,所以2b BC ==,A 正确,因为AB a =,BC b =,所以向量a 、b 之间的夹角为120,B 错误, 所以1cos1202222a b a b ⎛⎫⋅=⋅⋅=⨯⨯-=- ⎪⎝⎭,C 错误, 因为()22(2)(2)22220a b BC a b b a b b +⋅=+⋅=⋅+=⨯-+=, 所以(2)a b BC +⊥,D 正确, 故选:AD. 【点睛】本题考查向量的减法运算以及向量的数量积,若向量a 、b 之间的夹角为θ,则cos a b a b θ⋅=⋅⋅,若0a b ⋅=,则a b ⊥,考查推理能力与计算能力,是中档题.4.已知,a b 是单位向量,且(1,1)a b +=-,则( ) A .||2a b += B .a 与b 垂直C .a 与a b -的夹角为4πD .||1a b -=【答案】BC 【分析】(1,1)a b +=-两边平方求出||2a b +=;利用单位向量模长为1,求出0a b ⋅=;||a b -平方可求模长;用向量夹角的余弦值公式可求a 与a b -的夹角.【详解】由(1,1)a b +=-两边平方,得2222||21(12|)|a b a b ++⋅=+-=, 则||2a b +=,所以A 选项错误;因为,a b 是单位向量,所以1122a b ++⋅=,得0a b ⋅=,所以B 选项正确; 则222||22a b a b a b -=+-⋅=,所以||2a b -=,所以D 选项错误;2()cos ,2||||1a a b a a b a a b ⋅-〈-〉====-⨯, 所以,a 与a b -的夹角为4π.所以C 选项正确; 故选:BC. 【点睛】本题考查平面向量数量积的应用. 求向量模的常用方法:(1)若向量a 是以坐标形式出现的,求向量a 的模可直接利用公式2+a x y =(2)若向量a b , 是以非坐标形式出现的,求向量a 的模可应用公式22•a a a a ==或2222||)2?(a b a b aa b b ==+,先求向量模的平方,再通过向量数量积的运算求解.判断两向量垂直:根据数量积的坐标运算公式,计算出这两个向量的数量积为0即可. 解两个非零向量之间的夹角:根据公式•a bcos a b ==求解出这两个向量夹角的余弦值.5.关于平面向量有下列四个命题,其中正确的命题为( ) A .若a b a c ⋅=⋅,则b c =;B .已知(,3)a k =,(2,6)b =-,若//a b ,则1k =-;C .非零向量a 和b ,满足||||||a b a b ==-,则a 与a b +的夹角为30º;D .0||||||||a b a b a b a b ⎛⎫⎛⎫+⋅-= ⎪ ⎪⎝⎭⎝⎭【答案】BCD 【分析】通过举反例知A 不成立,由平行向量的坐标对应成比例知B 正确,由向量加减法的意义知,C 正确,通过化简计算得D 正确. 【详解】对A ,当0a = 时,可得到A 不成立; 对B ,//a b 时,有326k =-,1k ∴=-,故B 正确. 对C ,当||||||a b a b ==-时,a 、b 、a b -这三个向量平移后构成一个等边三角形,a b + 是这个等边三角形一条角平分线,故C 正确.对D ,22()()()()110||||||||||||a b a b a b a a a b b b +⋅-=-=-=,故D 正确. 故选:BCD . 【点睛】本题考查两个向量的数量积公式,两个向量加减法的几何意义,以及共线向量的坐标特点.属于基础题.6.已知ABC ∆是边长为()20a a >的等边三角形,P 为ABC ∆所在平面内一点,则()PA PB PC ⋅+的值可能是( )A .22a -B .232a -C .243a -D .2a -【答案】BCD 【分析】通过建系,用坐标来表示向量,根据向量的乘法运算法则以及不等式,可得结果. 【详解】建立如图所示的平面直角坐标系.设(),P x y ,又()3A a ,(),0B a -,(),0C a ,则()3PA x a y =--,(),PB a x y =---,(),PC a x y =--.则()(),,a x y a P PC x y B -+--+-=- 即()2,2PB x y PC --+= 所以()()()32,2x a PA PB P y x y C =--⋅--⋅+则()PA PB PC ⋅+22223xy ay =+-即()PA PB PC ⋅+222332222x y a a ⎛⎫=+-- ⎪ ⎪⎝⎭. 所以()PA PB PC ⋅+232a ≥- 故选:BCD. 【点睛】本题主要通过建系的方法求解几何中向量的问题,属中档题.7.在ABC 中,()2,3AB =,()1,AC k =,若ABC 是直角三角形,则k 的值可以是( ) A .1- B .113C .3132+ D .3132【答案】BCD 【分析】由题意,若ABC 是直角三角形,分析三个内有都有可能是直角,分别讨论三个角是直角的情况,根据向量垂直的坐标公式,即可求解.【详解】若A ∠为直角,则AB AC ⊥即0AC AB ⋅=230k ∴+=解得23k =-若B 为直角,则BC AB ⊥即0BC AB ⋅=()()2,3,1,AB AC k == ()1,3BC k ∴=--2390k ∴-+-=解得113k =若C ∠为直角,则BC AC ⊥,即0BC AC ⋅=()()2,3,1,AB AC k == ()1,3BC k ∴=--()130k k ∴-+-=解得k =综合可得,k 的值可能为211,33-故选:BCD 【点睛】本题考查向量垂直的坐标公式,考查分类讨论思想,考察计算能力,属于中等题型.8.ABC ∆是边长为3的等边三角形,已知向量a 、b 满足3AB a =,3AC a b =+,则下列结论中正确的有( ) A .a 为单位向量 B .//b BCC .a b ⊥D .()6a b BC +⊥【答案】ABD 【分析】求出a 可判断A 选项的正误;利用向量的减法法则求出b ,利用共线向量的基本定理可判断B 选项的正误;计算出a b ⋅,可判断C 选项的正误;计算出()6a b BC +⋅,可判断D 选项的正误.综合可得出结论. 【详解】 对于A 选项,3AB a =,13a AB ∴=,则113a AB ==,A 选项正确; 对于B 选项,3AC ab AB b =+=+,b AC AB BC ∴=-=,//b BC ∴,B 选项正确;对于C 选项,21123cos 0333a b AB BC π⋅=⋅=⨯⨯≠,所以a 与b 不垂直,C 选项错误; 对于D 选项,()()()2260a b BC AB AC AC AB AC AB +⋅=+⋅-=-=,所以,()6a b BC +⊥,D 选项正确.故选:ABD. 【点睛】本题考查向量有关命题真假的判断,涉及单位向量、共线向量的概念的理解以及垂直向量的判断,考查推理能力,属于中等题.二、立体几何多选题9.在直角梯形ABCD 中,2ABC BCD π∠=∠=,1AB BC ==,2DC =,E 为DC 中点,现将ADE 沿AE 折起,得到一个四棱锥D ABCE -,则下列命题正确的有( ) A .在ADE 沿AE 折起的过程中,四棱锥D ABCE -体积的最大值为13B .在ADE 沿AE 折起的过程中,异面直线AD 与BC 所成的角恒为4π C .在ADE 沿AE 折起的过程中,二面角A EC D --的大小为45︒D .在四棱锥D ABCE -中,当D 在EC 上的射影恰好为EC 的中点F 时,DB 与平面ABCE【答案】ABD 【分析】对于A ,四棱锥D ABCE -的底面面积是固定值,要使得体积最大,需要平面DAE ⊥平面ABCE ,此时DE CE ⊥,可求得1133D ABCE ABCE V S DE -=⋅=可判断A ;对于B ,在ADE 沿AE 折起的过程中,//AE BC ,所以异面直线AD 与AE 所成的角即为AD 与BC所成角,由翻折前可知4DAE π∠=可判断B ;对于C ,利用线面垂直的判定定理,结合翻折前可知AE ⊥平面DEC ,又AE ⊂平面ABCE ,所以平面DEC ⊥平面ABCE ,即二面角A EC D --的在大小为2π判断C ;对于D ,利用线面垂直的判定定理可知DF ⊥平面ABCE ,所以DBF ∠为直线DB 与平面ABCE 所成的角,在直角DFB △中,tan 5DF DBF BF ∠==,可判断D 正确;【详解】对于A ,ADE 沿AE 折起得到四棱锥D ABCE -,由四棱锥底面面积是固定值,要使得体积最大,需要四棱锥的高最大,即平面DAE ⊥平面ABCE ,此时DE CE ⊥,由已知得1DE =,则111111333D ABCE ABCE V S DE -=⋅=⨯⨯⨯=,故A 正确; 对于B ,在ADE 沿AE 折起的过程中,//AE BC ,所以异面直线AD 与AE 所成的角即为AD 与BC 所成角,又1AB BC ==,2DC =,E 为DC 中点,可知4DAE π∠=,即异面直线AD 与BC 所成的角恒为4π,故B 正确; 对于C ,由翻折前知,,AE EC AE ED ⊥⊥,且ECED E =,则AE ⊥平面DEC ,又AE ⊂平面ABCE ,所以平面DEC ⊥平面ABCE ,即二面角A EC D --的大小为2π,故C 错误; 对于D ,如图连接,DF BF ,由C 选项知,AE ⊥平面DEC ,又DF ⊂平面DEC ,则AE DF ⊥,又由已知得EC DF ⊥,且EC AE E ⋂=,则DF ⊥平面ABCE ,所以DBF ∠为直线DB 与平面ABCE 所成的角,在直角DFB △中,222222113122152tan 511122DE CE DFDBF BFBC CE ⎛⎫⎛⎫-- ⎪⎪⎝⎭⎝⎭∠=====⎛⎫⎛⎫++ ⎪ ⎪⎝⎭⎝⎭,所以DB 与平面ABCE 所成的角的正切为155,故D 正确; 故选:ABD 【点睛】关键点睛:本题考查立体几何综合问题,求体积,求线线角,线面角,面面角,解题的关键要熟悉几种角的定义,通过平移法找到线线角,通过证垂直找到线面角和面面角,再结合三角形求出角,考查了学生的逻辑推理能力,转化能力与运算求解能力,属于难题.10.如图,已知四棱锥P ABCD -所有棱长均为4,点M 是侧棱PC 上的一个动点(不与点,P C 重合),若过点M 且垂直于PC 的截面将该四棱锥分成两部分,则下列结论正确的是( )A .截面的形状可能为三角形、四边形、五边形B .截面和底面ABCD 所成的锐二面角为4π C .当1PM =时,截面的面积为52D .当2PM =时,记被截面分成的两个几何体的体积分别为()1212,>V V V V ,则123=V V 【答案】BCD 【分析】点M 是侧棱PC 上的一个动点,根据其不同位置,对选项逐一进行判断即可. 【详解】A 选项中,如图,连接BD ,当M 是PC 中点时,2MC =,由题意知三角形PDC 与三角形PBC 都是边长为4的正三角形,所以DM PC ⊥,BM BC ⊥,又DM ,BM 在面MBD 内,且相交,所以PC ⊥平面PBD ,三角形MBD 即为过点M 且垂直于PC 的截面,此时是三角形,点M 向下移动时,2MC <,如图,仍是三角形;若点M 由中点位置向上移动,2MC >,在平面PDC 内作EM PC ⊥,交PD 于E ,在平面PBC 内作FM PC ⊥交PB 于F ,平面MEF 交平面PAD 于EG ,交PAB 于FH ,即交平面ABCD 于GH ,则五边形MEGHF 即为过点M 且垂直于PC 的截面,此时是五边形; 故截面的形状可能为三角形、五边形,A 错误;B 选项中,因为截面总与PC 垂直,所以不同位置的截面均平行,截面与平面ABCD 所成的锐角为定值,不妨取M 是中点,连接AC ,BD ,MB ,MD ,设AC ,BD 交点是N ,连接PN ,由题意知,四边形ABCD 是边长为4的菱形,BD AC ⊥,因为MB =MD ,所以MN BD ⊥,故MNC ∠是截面与平面ABCD 所成的锐角,过点M 作MQ AC ⊥,垂足Q.在三角形PAC中,MN =2,2,故在直角三角形MNQ 中,2cos 2NQ MNC MN ∠==,故4MNC π∠=,故B 正确;C 选项中,当PM =1时,M 是PC 中点,如图,五边形MEGHF 即为过点M 且垂直于PC 的截面,依题意,直角三角形PME 中,2cos PMPE EPM==∠,故E 为PD 的中点,同理,F是PB 的中点,则EF 是三角形PBD 的中位线,1222EF BD ==G ,H 分别在,AD AB 的中点上,证明如下,当G ,H ,也是中点时,1//,2GH BD GH BD =,有//,22GH EF GH EF ==EFHG 是平行四边形.依题意,三角形PAC 中4,42PA PC AC ===,故PA PC ⊥,故PC GE ⊥,易见,正四棱锥中BD ⊥平面PAC ,故BD PC ⊥,GH PC ∴⊥,因为 ,GE GH 均在平面EFHG 内,且相交,所以PC ⊥平面EFHG ,故此时平面EFHG 和平面MEF 即同一平面.又BD ⊥平面PAC ,有GH ⊥面平面PAC ,GH GM ⊥,根据对称性有GH GE ⊥,四边形EFHG 是矩形. 即五边形MEGHF 即为过点M 且垂直于PC 的截面,平面图如下:依题意,22GH EF ==2EG FG ==,三角形高为()()22321h =-=, 面积是122122⨯=,四边形面积是22242=,故截面面积是52 故C 正确;D 选项中,若PM =2,看B 选项中的图可知,21124M BCD P BCD P ABCD V V V V ---===,故剩余部分134P ABCD V V -=,所以123=V V ,故D 正确. 故选:BCD.【点睛】 本题考查了棱锥的截面问题,考查了二面角、体积等计算问题,属于难题.。
【最新】数学《平面向量》专题解析一、选择题1.平面向量a →与b →的夹角为π3,()2,0a →=,1b →=,则2a b →→-=( )A .23B .6C .0D .2【答案】D 【解析】 【分析】根据向量的模的计算和向量的数量积的运算即可求出答案. 【详解】()2,0a →=Q ,||2a →∴=22222(2)||4||444421cos 43a b a b a b a b π→→→→∴-=-=+-⋅=+-⨯⨯⨯=r r r r ,|2|2a b ∴-=r r,故选:D 【点睛】本题考查了向量的模的计算和向量的数量积的运算,属于中档题.2.如图,在ABC ∆中,12AN NC =u u u r u u u r,P 是线段BN 上的一点,若15AP mAB AC =+u u u r u u u r u u u r ,则实数m 的值为( )A .35B .25C .1415D .910【答案】B 【解析】 【分析】根据题意,以AB u u u r ,AC u u ur 为基底表示出AP u u u r 即可得到结论. 【详解】由题意,设()NP NB AB AN λλ==-u u u r u u u r u u u r u u u r,所以,()()113AP AN NP AN AB AN AB AN AB AC λλλλλ-=+=+-=+-=+u u u r u u u r u u u r u u u r u u u r u u u r u u u r u u u r u u u r u u u r, 又15AP mAB AC =+u u u r u u u r u u u r ,所以,1135λ-=,且m λ=,解得25m λ==. 故选:B. 【点睛】本题考查了平面向量的线性运算的应用以及平面向量基本定理的应用,属于基础题.3.下列说法中说法正确的有( )①零向量与任一向量平行;②若//a b rr,则()a b R λλ=∈rr;③()()a b c a b c ⋅⋅=⋅⋅r r r r r r④||||||a b a b +≥+r r r r ;⑤若0AB BC CA ++=u u u r u u u r u u u r r ,则A ,B ,C为一个三角形的三个顶点;⑥一个平面内只有一对不共线的向量可作为表示该平面内所有向量的基底; A .①④ B .①②④C .①②⑤D .③⑥【答案】A 【解析】 【分析】直接利用向量的基础知识的应用求出结果. 【详解】对于①:零向量与任一向量平行,故①正确;对于②:若//a b r r ,则()a b R λλ=∈r r ,必须有0b ≠r r,故②错误;对于③:()()a b c a b c ⋅⋅=⋅⋅r r r r r r ,a r 与c r 不共线,故③错误; 对于④:a b a b +≥+r r r r,根据三角不等式的应用,故④正确;对于⑤:若0AB BC CA ++=u u u r u u u r u u u r r ,则,,A B C 为一个三角形的三个顶点,也可为0r,故⑤错误;对于⑥:一个平面内,任意一对不共线的向量都可以作为该平面内所有向量的基底,故⑥错误. 综上:①④正确. 故选:A. 【点睛】本题考查的知识要点:向量的运算的应用以及相关的基础知识,主要考察学生的运算能力和转换能力,属于基础题.4.已知O 是平面上一定点,满足()||cos ||cos AB ACOP OA AB B AC Cλ=++u u u r u u u r u u u r u u u r u u ur u u u r ,[0λ∈,)+∞,则P 的轨迹一定通过ABC ∆的( ) A .外心 B .垂心C .重心D .内心【答案】B 【解析】 【分析】可先根据数量积为零得出BC uuu r 与()||cos ||cos ABAC AB B AC Cλ+u u u ru u u ru u ur u u u r 垂直,可得点P 在BC 的高线上,从而得到结论.【详解】Q ()||cos ||cos AB ACOP OA AB B AC Cλ=++u u u r u u u ru u u r u u u r u u ur u u u r , ∴()||cos ||cos AB ACOP OA AB B AC C λ-=+u u u r u u u ru u u r u u u r u u ur u u u r , 即()||cos ||cos AB ACAP AB B AC Cλ=+u u u r u u u ru u u r u u ur u u u r , Qcos BA BCB BA BC ⋅=u u u r u u u r u u u r u u u r ,cos CA CB C CA CB⋅=u u u r u u u r u u u r u u u r , ∴()0||cos ||cos AB ACBC BC BC AB B AC C⋅+=-+=u u u r u u u ru u u r u u u r u u u r u u ur u u u r , ∴BC uuu r 与()||cos ||cos AB ACAB B AC Cλ+u u u r u u u ru u ur u u u r 垂直, 即AP BC ⊥uu u r uu u r ,∴点P 在BC 的高线上,即P 的轨迹过ABC ∆的垂心.故选:B . 【点睛】本题重点考查平面向量在几何图形中的应用,熟练掌握平面向量的加减运算法则及其几何意义是解题的关键,考查逻辑思维能力和转化能力,属于常考题.5.已知在平面直角坐标系xOy 中,O 为坐标原点,()0,2A ,2220OB OA +=,若平面内点P 满足3PB PA =u u u r u u u r,则PO 的最大值为( )A .7B .6C .5D .4【答案】C 【解析】 【分析】设(),P x y ,(),B m n ,根据3PB PA =u u u r u u u r可得262m x n y=-⎧⎨=-⎩,再根据2220OB OA +=可得点P 的轨迹,它一个圆,从而可求PO 的最大值. 【详解】设(),P x y ,(),B m n ,故(),PB m x n y =--u u u r ,(),2PA x y =--u u u r. 由3PB PA =u u u r u u u r可得363m x x n y y-=-⎧⎨-=-⎩,故262m x n y=-⎧⎨=-⎩,因为2220OB OA +=,故()22443420x y +-+=,整理得到()2234x y +-=,故点P 的轨迹为圆,其圆心为()0,3,半径为2,故PO 的最大值为325+=, 故选:C. 【点睛】本题考查坐标平面中动点的轨迹以及圆中与距离有关的最值问题,一般地,求轨迹方程,可以动点转移法,也可以用几何法,而圆外定点与圆上动点的连线段长的最值问题,常转化为定点到圆心的距离与半径的和或差,本题属于中档题.6.在平面直角坐标系中,()1,2A -,(),1B a -,(),0C b -,,a b ∈R .当,,A B C 三点共线时,AB BC ⋅u u u r u u u r的最小值是( )A .0B .1CD .2【答案】B 【解析】 【分析】根据向量共线的坐标表示可求得12b a =-,根据数量积的坐标运算可知所求数量积为()211a -+,由二次函数性质可得结果.【详解】由题意得:()1,1AB a =-u u u r ,(),1BC b a =--u u u r,,,A B C Q 三点共线,()()111a b a ∴⨯-=⨯--,即12b a =-,()1,1BC a ∴=-u u u r, ()2111AB BC a ∴⋅=-+≥u u u r u u u r ,即AB BC ⋅u u u r u u u r 的最小值为1.故选:B . 【点睛】本题考查平面向量的坐标运算,涉及到向量共线的坐标表示和数量积的坐标运算形式,属于基础题.7.已知ABC V 是边长为1的等边三角形,若对任意实数k ,不等式||1k AB tBC +>u u u r u u u r恒成立,则实数t 的取值范围是( ).A.,⎛⎫-∞⋃+∞ ⎪ ⎪⎝⎭⎝⎭B.,⎛⎫-∞⋃+∞ ⎪ ⎪⎝⎭⎝⎭C.3⎛⎫+∞ ⎪ ⎪⎝⎭D.,3⎛⎫+∞ ⎪ ⎪⎝⎭【答案】B 【解析】 【分析】根据向量的数量积运算,将目标式转化为关于k 的二次不等式恒成立的问题,由0<n ,即可求得结果. 【详解】因为ABC V 是边长为1的等边三角形,所以1cos1202AB BC ⋅=︒=-u u u r u u u r ,由||1k AB tBC +>u u u r u u u r 两边平方得2222()2()1k AB kt AB BC t BC +⋅+>u u u r u u u r u u u r u u u r ,即2210k kt t -+->,构造函数22()1f k k tk t =-+-, 由题意,()22410t t ∆--<=,解得t <或t >. 故选:B. 【点睛】本题考查向量数量积的运算,以及二次不等式恒成立问题求参数范围的问题,属综合中档题.8.设x ,y 满足102024x x y x y -≥⎧⎪-≤⎨⎪+≤⎩,向量()2,1a x =r ,()1,b m y =-r ,则满足a b ⊥r r 的实数m的最小值为( ) A .125B .125-C .32D .32-【答案】B 【解析】 【分析】先根据平面向量垂直的坐标表示,得2m y x =-,根据约束条件画出可行域,再利用m 的几何意义求最值,只需求出直线2m y x =-过可行域内的点C 时,从而得到m 的最小值即可. 【详解】解:不等式组表示的平面区域如图所示:因为()2,1a x =r ,()1,b m y =-r,由a b ⊥r r得20x m y +-=,∴当直线经过点C 时,m 有最小值,由242x y x y +=⎧⎨=⎩,得8545x y ⎧=⎪⎪⎨⎪=⎪⎩,∴84,55C ⎛⎫ ⎪⎝⎭,∴416122555m y x =-=-=-, 故选:B.【点睛】本题主要考查了平面向量共线(平行)的坐标表示,用平面区域二元一次不等式组,以及简单的转化思想和数形结合的思想,属于中档题.目标函数有唯一最优解是我们最常见的问题,这类问题一般要分三步:画出可行域、求出关键点、定出最优解.9.已知向量(1,2)a =v ,(3,4)b =-v ,则a v 在b v方向上的投影为A 13B .22C .1D 65 【答案】C 【解析】 【分析】根据a v在b v方向上的投影定义求解. 【详解】a v 在b v 方向上的投影为(1,2)(3,4)381(3,4)5a b b⋅⋅--+===-rr r , 选C. 【点睛】本题考查a v在b v方向上的投影定义,考查基本求解能力.10.已知四边形ABCD 是平行四边形,点E 为边CD 的中点,则BE =u u u rA .12AB AD -+u u ur u u u rB .12AB AD -u u ur u u u rC .12AB AD +u u u r u u u rD .12AB AD -u u u r u u u r【答案】A 【解析】 【分析】由平面向量的加法法则运算即可. 【详解】如图,过E 作//,EF BC 由向量加法的平行四边形法则可知1.2BE BF BC AB AD =+=-+u u u v u u u v u u u vu u uv u u u v 故选A. 【点睛】本题考查平面向量的加法法则,属基础题.11.已知数列{a n }的前n 项和为S n ,且a n +1=a n +a (n ∈N *,a 为常数),若平面内的三个不共线的非零向量OAOB OC u u u r u u u r u u u r,,满足10051006OC a OA a OB =+u u u r u u u r u u u r ,A ,B ,C 三点共线且该直线不过O 点,则S 2010等于( ) A .1005 B .1006C .2010D .2012【答案】A 【解析】 【分析】根据a n +1=a n +a ,可判断数列{a n }为等差数列,而根据10051006OC a OA a OB =+u u u r u u u r u u u r,及三点A ,B ,C 共线即可得出a 1+a 2010=1,从而根据等差数列的前n 项和公式即可求出S 2010的值. 【详解】由a n +1=a n +a ,得,a n +1﹣a n =a ; ∴{a n }为等差数列;由10051006OC a OA a OB =+u u u r u u u r u u u r ,所以A ,B ,C 三点共线; ∴a 1005+a 1006=a 1+a 2010=1, ∴S 2010()12010201020101100522a a +⨯===. 故选:A. 【点睛】本题主要考查等差数列的定义,其前n 项和公式以及共线向量定理,还考查运算求解的能力,属于中档题.12.已知向量m =r(1,cosθ),(sin ,2)n θ=-r,且m r ⊥n r,则sin 2θ+6cos 2θ的值为( ) A .12B .2C .22D .﹣2【答案】B 【解析】 【分析】根据m r ⊥n r 可得tanθ,而sin 2θ+6cos 2θ22226sin cos cos sin cos θθθθθ+=+,分子分母同除以cos 2θ,代入tanθ可得答案. 【详解】因为向量m =r (1,cosθ),n =r(sinθ,﹣2),所以sin 2cos m n θθ⋅=-u r r因为m r ⊥n r ,所以sin 2cos 0θθ-=,即tanθ=2,所以sin 2θ+6cos 2θ22222626226141sin cos cos tan sin cos tan θθθθθθθ++⨯+====+++ 2. 故选:B. 【点睛】本题主要考查平面向量的数量积与三角恒等变换,还考查运算求解的能力,属于中档题.13.如图,两个全等的直角边长分别为1,3的直角三角形拼在一起,若AD AB AC λμ=+u u u r u u u r u u u r,则λμ+等于( )A 323-+ B 323+ C 31 D 31+【答案】B 【解析】 【分析】建立坐标系,求出D 点坐标,从而得出λ,μ的值. 【详解】解:1AC =Q ,3AB =,30ABC ∴∠=︒,60ACB ∠=︒,以AB ,AC 为坐标轴建立坐标系,则13,122D ⎛⎫+ ⎪ ⎪⎝⎭. ()3,0AB =u u u r,()0,1AC =uu u r ,∴13,122AD ⎛⎫=+⎪ ⎪⎝⎭u u u r. Q AD AB AC λμ=+u u u r u u u r u u u r ,∴132312λμ⎧=⎪⎪⎨⎪=+⎪⎩,∴36312λμ⎧=⎪⎪⎨⎪=+⎪⎩,2313λμ∴+=+. 故选:B .【点睛】本题考查了平面向量的基本定理,属于中档题.14.已知AB 是圆22:(1)1C x y -+=的直径,点P 为直线10x y -+=上任意一点,则PA PB ⋅u u u v u u u v的最小值是( )A .21-B .2C .0D .1【答案】D 【解析】试题分析:由题意得,设,,,又因为,所以,所以PA PB ⋅u u u r u u u r的最小值为1,故答案选D.考点:1.圆的性质;2.平面向量的数量积的运算.15.设()1,a m =r ,()2,2b =r,若()2a mb b +⊥r r r ,则实数m 的值为( )A .12B .2C .13-D .-3【答案】C 【解析】 【分析】计算()222,4a mb m m +=+r r,根据向量垂直公式计算得到答案.【详解】()222,4a mb m m +=+r r,∵()2a mb b +⊥r r r ,∴()20a mb b +⋅=r r r ,即()22280m m ⋅++=,解得13m =-.故选:C .【点睛】本题考查了根据向量垂直求参数,意在考查学生的计算能力.16.已知P 为边长为2的正方形ABCD 所在平面内一点,则PC uuu r ()PB PD +⋅u u ur u u u r 的最小值为( ) A .1- B .3-C .12-D .32-【答案】A 【解析】 【分析】建立坐标系,写出各点坐标,表示出对应的向量坐标,代入数量积整理后即可求解. 【详解】建立如图所示坐标系,设(,)P x y ,则(0,0),(2,0),(2,2),(0,2)A B C D ,所以(2,2),(2,)(,2)(22,22)PC x y PB PD x y x y x y =--+=--+--=--u u u r u u u r u u u r,故223131()(2)(22)(2)(22)222222PC PB PD x x y y x y ⎛⎫⎛⎫⋅+=--+--=--+-- ⎪ ⎪⎝⎭⎝⎭u u u r u u u r u u u r223322122x y ⎛⎫⎛⎫=-+-- ⎪ ⎪⎝⎭⎝⎭ 所以当32x y ==时,PC uuu r ()PB PD +⋅u u u r u u u r 的最小值为1-. 故选:A .【点睛】本题考查利用坐标法求向量数量积的最值问题,涉及到向量的坐标运算,考查学生的运算求解能力,是一道中档题.17.在ABC V 中,D 为边AC 上的点,若2133BD BA BC =+u u u r u u u r u u u r ,AD DC λ=u u u v u u u v ,则λ=( )A .13B .12C .3D .2【答案】B【解析】【分析】 根据2133BD BA BC =+u u u v u u u v u u u v ,将,AD DC u u u r u u u r 都用基底()BA BC u u u r u u u r ,表示,再根据AD DC λ=u u u v u u u v 求解. 【详解】 因为2133BD BA BC =+u u u v u u u v u u u v , 所以1122,+3333AD BD BA BA BC DC BC BD BA BC =-=-+=-=-u u u r u u u r u u u r u u u r u u u r u u u r u u u r u u u r u u u r u u u r , 因为AD DC λ=u u u v u u u v , 所以λ=12, 故选:B【点睛】 本题主要考查平面向量的基本定理和共线向量定理,还考查运算求解的能力,属于中档题. 18.若O 为ABC ∆所在平面内任一点,且满足()()0OB OC OC OA CA AB -⋅-++=u u u r u u u r u u u r u u u r u u r u u u r ,则ABC ∆的形状为( )A .直角三角形B .等腰三角形C .等腰直角三角形D .等边三角形【答案】A【解析】【分析】利用平面向量加法和减法的三角形法则以及向量数量积的性质即可进行判断.【详解】 由()()0OB OC OC OA CA AB -⋅-++=u u u r u u u r u u u r u u u r u u u r u u u r ,即()0CB AC CB CB AB ⋅+=⋅=u u u r u u u r u u u r u u u r u u u r , 所以,CB AB ⊥,即2B π∠=,故ABC ∆为直角三角形.故选:A.【点睛】 本题主要考查了平面向量加法和减法的三角形法则以及向量数量积的性质的简单应用,属于基础题.19.如图,向量a b -r r 等于A .1224e e --u r u u rB .1242e e --u r u u rC .123e e -r u u rD .123e e -+r u u r 【答案】D【解析】【分析】【详解】 由向量减法的运算法则可得123a e b e -=-+r r r u u r ,20.已知向量a v ,b v 满足2a =v ||1b =v ,且2b a +=v v ,则向量a v 与b v 的夹角的余弦值为( )A .22B .23C .28D .24【答案】D【解析】【分析】根据平方运算可求得12a b ⋅=r r ,利用cos ,a b a b a b ⋅<>=r r r r r r 求得结果. 【详解】由题意可知:2222324b a b a b a a b +=+⋅+=+⋅=r r r r r r r r ,解得:12a b ⋅=r rcos ,4a b a b a b ⋅∴<>===r r r r r r 本题正确选项:D【点睛】本题考查向量夹角的求解问题,关键是能够通过平方运算求得向量的数量积.。
新高考数学《平面向量》练习题一、选择题1.在△ABC 中,A 、B 、C 的对边分别为a 、b 、c ,且3a 2+3c 2-3b 2=2ac ,BA u u u r ⋅BC uuur =2,则△ABC 的面积为( ) AB .32C.D.【答案】C 【解析】 【分析】利用余弦定理求出B 的余弦函数值,结合向量的数量积求出ca 的值,然后求解三角形的面积. 【详解】在△ABC 中,A 、B 、C 的对边分别为a 、b 、c ,且3a 2+3c 2﹣3b 2=2ac ,可得cosB 222123a c b ac +-==,则sinB 3=BA u u u r ⋅BC =u u u r 2,可得cacosB =2,则ac =6,∴△ABC的面积为:11622acsinB =⨯=. 故选C . 【点睛】本题考查三角形的解法,余弦定理以及向量的数量积的应用,考查计算能力.2.在ABC ∆中,已知8AB =,4BC =,6CA =,则AB BC ⋅u u u v u u u v的值为( )A .22B .19C .-19D .-22【答案】D 【解析】由余弦定理可得22211cos 216AB BC AC B AB BC +-==⋅,又()11cos 482216AB BC AB BC B π⎛⎫⋅=⋅⋅-=⨯⨯-=- ⎪⎝⎭u u u v u u u v u u u v u u u v ,故选D.【思路点睛】本题主要考查平面向量数量积公式以、余弦定理解三角形,属于简单题.对余弦定理一定要熟记两种形式:(1)2222cos a b c bc A =+-;(2)222cos 2b c a A bc+-=,同时还要熟练掌握运用两种形式的条件.另外,在解与三角形、三角函数有关的问题时,还需要记住30,45,60ooo等特殊角的三角函数值,以便在解题中直接应用.3.如图,在直角梯形ABCD 中,AB ∥DC ,AD ⊥DC ,AD =DC =2AB ,E 为AD 的中点,若(,)CA CE DB R λμλμ=+∈u u u r u u u r u u u r,则λ+μ的值为( )A .65B .85C .2D .83【答案】B 【解析】 【分析】建立平面直角坐标系,用坐标表示,,CA CE DB u u u r u u u r u u u r ,利用(,)CA CE DB R λμλμ=+∈u u u r u u u r u u u r,列出方程组求解即可. 【详解】建立如图所示的平面直角坐标系,则D (0,0).不妨设AB =1,则CD =AD =2,所以C (2,0),A (0,2),B (1,2),E (0,1),(2,2),(2,1),(1,2)CA CE DB ∴=-=-=u u u r u u u r u u u rCA CE DB λμ=+u u u r u u u r u u u r Q∴(-2,2)=λ(-2,1)+μ(1,2),2222λμλμ-+=-⎧∴⎨+=⎩解得6525λμ⎧=⎪⎪⎨⎪=⎪⎩则85λμ+=.故选:B 【点睛】本题主要考查了由平面向量线性运算的结果求参数,属于中档题.4.在ABC ∆中,若点D 满足3CD DB =u u u r u u u r ,点M 为线段AC 中点,则MD =u u u u r( )A .3144AB AC -u u ur u u u rB .1136AB AC -u u ur u u u rC .2133AB AC -u u ur u u u rD .3144AB AC +u u ur u u u r【答案】A 【解析】【分析】根据MD MA AB BD =++u u u r u u u u u u r u r u u u r,化简得到答案. 【详解】 ()11312444MD MA AB BD AC AB AC AB AB AC =++=-++-=-u u u r u u u r u u u r u u u r u u u r u u u r u u u r u u uu u u u r r u u u r .故选:A . 【点睛】本题考查了向量的运算,意在考查学生的计算能力.5.如图,圆O 是等边三角形ABC 的外接圆,点D 为劣弧AC 的中点,则OD =u u u r( )A .2133BA AC +u u u r u u u rB .2133BA AC -u u u r u u u r C .1233BA AC +u u u r u u u rD .4233BA AC +u uu r u u u r【答案】A 【解析】 【分析】连接BO ,易知B ,O ,D 三点共线,设OD 与AC 的交点为E ,列出相应式子得出结论. 【详解】解:连接BO ,易知B ,O ,D 三点共线,设OD 与AC 的交点为E , 则()()221121332333OD BO BE BA BC BA BA AC BA AC ===⨯+=++=+u u u r u u u r u u u r u u u r u u u r u u u r u u u r u u u r u uu r u u u r . 故选:A.【点睛】本题考查向量的表示方法,结合几何特点,考查分析能力,属于中档题.6.已知单位向量a r ,b r 的夹角为3π,(),c a b R μλμ+=λ+∈r u u r u u r ,若2λμ+=,那么c r 的最小值为( ) A 2B 6C .102D 3【答案】D 【解析】 【分析】利用向量的数量积的运算公式,求得12a b ⋅=r r ,再利用模的公式和题设条件,化简得到24c λμ=-u r ,最后结合基本不等式,求得1λμ≤,即可求解.【详解】由题意,向量,a b r r 为单位向量,且夹角为3π,所以11cos 11322a b a b π⋅=⋅=⨯⨯=r r r r ,又由(),c a b μλμ=λ+∈R r u u r u u r,所以()22222222()4c a b a b λμλμλμλμλμλμλμλμ=+=++⋅=++=+-=-u r r r r r ,因为,R λμ+∈时,所以222()122λμλμ+⎛⎫≤== ⎪⎝⎭,当且仅当λμ=时取等号,所以23c ≥u r ,即c ≥u r故选:D . 【点睛】本题主要考查了平面向量的数量积的运算,以及向量的模的计算,其中解答中熟记向量的数量积和模的计算公式,以及合理应用基本不等式求解是解答的关键,着重考查了推理与运算能力.7.已知A ,B ,C 是抛物线24y x =上不同的三点,且//AB y 轴,90ACB ∠=︒,点C 在AB 边上的射影为D ,则CD =( )A .4B .C .2D【答案】A 【解析】 【分析】画出图像,设222112112,,,,,444y y y A y B y C y ⎛⎫⎛⎫⎛⎫- ⎪ ⎪ ⎪⎝⎭⎝⎭⎝⎭,12y y >, 由90ACB ∠=︒可求221216y y -=,结合221244y y CD =-即可求解 【详解】如图:设222112112,,,,,444y y y A y B y C y ⎛⎫⎛⎫⎛⎫- ⎪ ⎪ ⎪⎝⎭⎝⎭⎝⎭,12y y >, 由90ACB ∠=︒可得0CA CB ⋅=u u u r u u u r ,222212121212,,,44y y y y CA y y CB y y ⎛⎫⎛⎫--=-=-- ⎪ ⎪⎝⎭⎝⎭u u u r u u u r ,()222221212004y y CA CB y y ⎛⎫-⋅=⇔--= ⎪⎝⎭u u u r u u u r ,即()()222122212016y y y y ---= 解得221216y y -=(0舍去),所以222212124444y y y y CD -=-==故选:A 【点睛】本题考查抛物线的几何性质与向量的综合应用,计算能力,逻辑推理能力,属于中档题8.在ABC V 中,D 为边AC 上的点,若2133BD BA BC =+u u u r u u u r u u u r ,AD DC λ=u u u v u u u v,则λ=( )A .13B .12C .3D .2【答案】B 【解析】 【分析】根据2133BD BA BC =+u u u v u u u v u u u v ,将,AD DC u u u r u u u r 都用基底()BABC u u u r u u u r ,表示,再根据AD DC λ=u u u v u u u v 求解. 【详解】因为2133BD BA BC =+u u u v u u u v u u u v ,所以1122,+3333AD BD BA BA BC DC BC BD BA BC =-=-+=-=-u u u r u u u r u u u r u u u r u u u r u u u r u u u r u u u r u uu r u u u r ,因为AD DC λ=u u u v u u u v ,所以λ= 12, 故选:B本题主要考查平面向量的基本定理和共线向量定理,还考查运算求解的能力,属于中档题.9.已知5MN a b =+u u u u rr r,28NP a b =-+u u u rrr,3()PQ a b =-u u u rrr,则( ) A .,,M N P 三点共线 B .,,M N Q 三点共线 C .,,N P Q 三点共线 D .,,M P Q 三点共线【答案】B 【解析】 【分析】利用平面向量共线定理进行判断即可. 【详解】因为28NP a b =-+u u u rr r,3()PQ a b =-u u ur rr所以()2835NQ NP PQ a b a b a b =+=-++-=+u u u r u u u r u u u r r r r r r r,因为5MN a b =+u u u u r rr ,所以MN NQ =u u u u r u u u r由平面向量共线定理可知,MN u u u u r 与NQ uuur 为共线向量,又因为MN u u u u r 与NQ uuur 有公共点N ,所以,,M N Q 三点共线.故选: B 【点睛】本题考查利用平面向量共线定理判断三点共线;熟练掌握共线定理的内容是求解本题的关键;属于中档题、常考题型.10.平面向量a →与b →的夹角为π3,()2,0a →=,1b →=,则2a b →→-=( )A .BC .0D .2【答案】D 【解析】 【分析】根据向量的模的计算和向量的数量积的运算即可求出答案. 【详解】()2,0a →=Q ,||2a →∴=22222(2)||4||444421cos 43a b a b a b a b π→→→→∴-=-=+-⋅=+-⨯⨯⨯=r r r r ,|2|2a b ∴-=r r,【点睛】本题考查了向量的模的计算和向量的数量积的运算,属于中档题.11.如图,AB ,CD 是半径为1的圆O 的两条直径,3AE EO =u u u v u u u v ,则•EC ED u u u v u u u v的值是( )A .45-B .1516-C .14-D .58-【答案】B 【解析】 【分析】根据向量表示化简数量积,即得结果. 【详解】()()()()•••EC ED EO OC EO OD EO OC EO OC =++=+-u u u v u u u v u u u v u u u v u u u v u u u v u u u v u u u v u u u v u u u v2221151416EO OC ⎛⎫=-=-=- ⎪⎝⎭u u u v u u u v ,选B.【点睛】本题考查向量数量积,考查基本分析求解能力,属基础题.12.已知点()2,1A ,O 是坐标原点,点(), P x y 的坐标满足:202300x y x y y -≤⎧⎪-+≥⎨⎪≥⎩,设z OP OA =⋅u u u r u u u r,则z 的最大值是( )A .2B .3C .4D .5【答案】C 【解析】 【分析】画出约束条件的可行域,转化目标函数的解析式,利用目标函数的最大值,判断最优解,代入约束条件求解即可. 【详解】解:由不等式组202300x y x y y -≤⎧⎪-+≥⎨⎪≥⎩可知它的可行域如下图:Q ()2,1A ,(), P x y∴2z OP OA x y =⋅=+u u u r u u u r,可图知当目标函数图象经过点()1,2B 时,z 取最大值,即24z x y =+=.故选:C. 【点睛】本题考查线性规划的应用,考查转化思想以及数形结合思想的应用,属于中档题.13.已知四边形ABCD 是平行四边形,点E 为边CD 的中点,则BE =u u u rA .12AB AD -+u u ur u u u rB .12AB AD -u u ur u u u rC .12AB AD +u u u r u u u rD .12AB AD -u u u r u u u r【答案】A 【解析】 【分析】由平面向量的加法法则运算即可. 【详解】如图,过E 作//,EF BC 由向量加法的平行四边形法则可知1.2BE BF BC AB AD =+=-+u u u v u u u v u u u v u u uv u u u v故选A. 【点睛】本题考查平面向量的加法法则,属基础题.14.在ABC V 中,若2AB BC BC CA CA AB ⋅=⋅=⋅u u u v u u u v u u u v u u u v u u u v u u u v,则AB BC=u u u v u u u v ( )A .1 BCD【答案】C 【解析】 【分析】根据题意,由AB BC BC CA ⋅=⋅uu u v uu u v uu u v uu v可以推得AB AC =,再利用向量运算的加法法则,即可求得结果. 【详解】由题意得,AB BC BC CA ⋅=⋅uu u v uu u v uu u v uu v ,即A A =0+BC B C ⋅uu u v uu u v uuu v(),设BC 的中点为D ,则AD BC ⊥,即ABC V 为等腰三角形,B=C AB AC =∠∠,又因为2BC CA CA AB ⋅=⋅uu u v uu v uu v uu u v 即2222222C C cos 2C 2C cos 112C +22232C 2AB BC CA A B AB BC B A CA B CBC A BC A BC⋅=⋅-=-+-=-+⨯=uu u v uu u v uu v uu u v uuv uu u v uu u v uu u v uu v uuvuu u v uu u v uu u v uu u v uu u v ()所以2AB BC=uu u v uu u v . 【点睛】本题主要考查平面向量的线性运算.15.已知向量()()75751515a b ︒︒︒︒==r r cos ,sin ,cos ,sin ,则a b -r r 的值为A .12B .1C .2D .3【答案】B 【解析】 【分析】 【详解】因为11,1,cos75cos15sin 75sin15cos602a b a b ==⋅=︒︒+︒︒=︒=r r r r ,所以||1a b -===r r ,故选B.点睛:在向量问题中,注意利用22||a a =r ,涉及向量模的计算基本考虑使用此公式,结合数量积的运算法则即可求出.16.若点O 和点F 分别为椭圆22143x y +=的中心和左焦点,点P 为椭圆上的任意一点,则OP FP →→g 的最大值为( ) A .4 B .5C .6D .7【答案】C 【解析】 【分析】设(),P x y ,由数量积的运算及点P 在椭圆上,可把OP FP ⋅u u u r u u u r表示成为x 的二次函数,根据二次函数性质可求出其最大值. 【详解】设(),P x y ,()()1,0,0,0F O -,则()(),,+1,OP x y FP x y ==u u u r u u u r,则 22OP FP x x y ⋅=++u u u r u u u r,因为点P 为椭圆上,所以有:22143x y +=即22334y x =-,所以()222223132244x x y x x x FP x OP =++=⋅++-=++u u u r u u u r又因为22x -≤≤,所以当2x =时,OP FP ⋅u u u r u u u r的最大值为6 故选:C 【点睛】本题考查了数量积的坐标运算,求二次函数的最大值,属于一般题.17.已知向量m →,n →的夹角为60︒,且1m →=,m n →→-=n →=( )A .1B .2C .3D .4【答案】B 【解析】 【分析】设||n x →=,利用数量积的运算法则、性质计算即可.【详解】设||n x →=, 因为1m →=,向量m →,n →的夹角为60︒,所以2213m n x x →→-=-+=,即220x x --=,解得2x =,或1x =-(舍去),所以2n →=.故选:B【点睛】本题主要考查了向量的模的性质,向量数量积的运算,属于中档题. 18.在ABC V 中,E 是AC 的中点,3BC BF =u u u r u u u r ,若AB a =u u u r r ,AC b =u u u r r ,则EF =u u u r( )A .2136a b -r r B .1133a b +r r C .1124a b +r r D .1133a b -r r 【答案】A【解析】【分析】根据向量的运算法则计算得到答案.【详解】 1223EF EC CF AC CB =+=+u u u r u u u r u u u r u u u r u u u r ()12212336AC AB AC AB AC =+-=-u u u r u u u r u u u r u u u r u u u r 2136a b =-r r . 故选:A .【点睛】本题考查了向量的基本定理,意在考查学生的计算能力和转化能力.19.下列命题为真命题的个数是( )①{x x x ∀∈是无理数},2x 是无理数;②若0a b ⋅=r r ,则0a =r r 或0b =r r;③命题“若220x y +=,x ∈R ,y ∈R ,则0x y ==”的逆否命题为真命题; ④函数()x xe ef x x--=是偶函数. A .1B .2C .3D .4【答案】B【解析】【分析】利用特殊值法可判断①的正误;利用平面向量垂直的等价条件可判断②的正误;判断原命题的真假,利用逆否命题与原命题的真假性一致的原则可判断③的正误;利用函数奇偶性的定义可判断④的正误.综合可得出结论.【详解】对于①中,当x =时,22x =为有理数,故①错误; 对于②中,若0a b ⋅=r ,可以有a b ⊥r r ,不一定要0a =r r 或0b =r r ,故②错误;对于③中,命题“若220x y +=,x ∈R ,y ∈R ,则0x y ==”为真命题, 其逆否命题为真命题,故③正确;对于④中,()()x x x xe e e ef x f x x x-----===-, 且函数的定义域是(,0)(0,)-∞+∞U ,定义域关于原点对称,所以函数()x xe ef x x--=是偶函数,故④正确. 综上,真命题的个数是2.故选:B.【点睛】本题考查命题真假的判断,涉及全称命题的真假的判断、逆否命题真假的判断、向量垂直等价条件的应用以及函数奇偶性的判断,考查推理能力,属于中等题.20.已知向量5(,0)2a =r ,(0,5)b =r 的起点均为原点,而终点依次对应点A ,B ,线段AB 边上的点P ,若OP AB ⊥u u u r u u u r ,OP xa yb =+u u u r r r ,则x ,y 的值分别为( )A .15,45B .43,13-C .45,15D .13-,43 【答案】C【解析】【分析】 求得向量5(,5)2OP x y =u u u r ,5(,5)2AB b a =-=-u u u r r r ,根据OP AB ⊥u u u r u u u r 和,,A B P 三点共线,列出方程组,即可求解.【详解】 由题意,向量5(,0)2a =r ,(0,5)b =r ,所以5(,5)2OP xa yb x y =+=u u u r r r , 又由5(,5)2AB b a =-=-u u u r r r , 因为OP AB ⊥u u u r u u u r ,所以252504OP AB x y ⋅=-+=u u u r u u u r ,可得4x y =, 又由,,A B P 三点共线,所以1x y +=,联立方程组41x y x y =⎧⎨+=⎩,解得41,55x y ==. 故选:C .【点睛】本题主要考查了向量的坐标运算,以及向量垂直的坐标运算和向量共线定理的应用,着重考查了运算与求解能力.。
【高中数学】高考数学《平面向量》练习题一、选择题rr2r rrrrr1.已知 a 6 , b ,且 (b a)(2 a b) ,则向量 a 在向量 b 方向上的投影为( )A . -4B . -2C . 2D . 4【答案】 D【分析】【剖析】r r依据向量垂直,数目积为0,求出 r r ,即求向量 r 在向量 r a bg a b 方向上的投影 r .a bb【详解】rrrrrr r rQ(ba)(2ab),(ba) (2 a b ) 0 ,gr 2r 2 r r 0 .即 b 2a agb r Q r r ra 6,b 2, g8 ,a br r r r a b4 .因此 a 在 b 方向上的投影为rb应选: D . 【点睛】此题考察向量的投影,属于基础题.2.已知点 M 在以 C 1(a, a2) 为圆心,以 1 为半径的圆上,距离为2 3 的两点 P,Q 在圆228y 12 0uuur uuuurC 2 : x y 上,则 MP MQ 的最小值为()A . 18 12 2B . 1912 2C .18 122D . 1912 2【答案】 B 【分析】【剖析】uuur uuuur uuur uuuur uuuuruuuruuur uuuur uuuur 23,再设 PQ 中点 D ,获得 MP MD DP,MQ MD DQ,求得MP MQ MD uuur uuuur 23,获得答案 . 利用圆与圆的地点关系,即可求解故MP MQ 3 2 2 【详解】依题意,设 PQ 中点 D ,uuur uuuur uuur uuuur uuuur uuur uuur uuuur uuuur 23,则 MPMDDP,MQ MD DQ ,因此 MP MQ MDQ C 2DQC 22(PQ )21 , ∴ D 在以 1 为半径,以 C2 为圆心的圆上,22Q C2C1a2[( a2)4]22(a3)2 18 3 2,MDmin C1C2min C2 D MC1uuur uuuur322319 122 .故MP MQ2【点睛】此题主要考察了圆的方程,圆与圆的地点关系的应用,以及平面向量的数目积的应用,着重考察了推理论证能力以及数形联合思想,转变与化归思想.3.已知菱形ABCD的边长为 2,ABCuuuv uuuv60 ,则 BD CD()A.4B. 6C.2 3D.4 3【答案】 B【分析】【剖析】依据菱形中的边角关系,利用余弦定理和数目积公式,即可求出结果.【详解】以下图,菱形形ABCD 的边长为2,ABC60,∴ C120 ,∴BD22222 2 22cos12012 ,∴ BD23 ,且BDC30 ,uuur uuur uuur uuur3∴BD CD|BD || CD | cos3023 6 ,22应选 B.【点睛】此题主要考察了平面向量的数目积和余弦定理的应用问题,属于基础题..4.在平面直角坐标系中, A 1, 2 , B a, 1 , C b,0 ,a,b R .当 A, B,C 三点uuur uuur共线时, AB BC 的最小值是( )A . 0B . 1C . 2D . 2【答案】 B 【分析】【剖析】依据向量共线的坐标表示可求得b 1 2a ,依据数目积的坐标运算可知所求数目积为a 12,由二次函数性质可得结果 .1 【详解】uuuruuura 1,1b a,1 ,由题意得: AB, BCuuurQ A, B, C 三点共线, 1a 11 b a ,即 b 1 a 1,1 ,2a , BC uuur uuur a 21uuur uuurAB BC1 1,即AB BC 的最小值为 1.应选: B .【点睛】此题考察平面向量的坐标运算,波及到向量共线的坐标表示和数目积的坐标运算形式,属 于基础题 .uuur uuuruuuv uuuv5.延伸线段 AB 到点 C ,使得 AB2BC ,O AB , 2OD OA ,则()uuuv 1 uuuv 2 uuuvuuuv 5 uuuv 2 uuuvA . BDOAOCB . BDOAOC6 36 3uuuv 5 uuuv 1 uuuvuuuv 1 uuuv 1 uuuvC . BDOAOCD . BDOAOC6 36 3【答案】 A【分析】【剖析】利用向量的加法、减法的几何意义,即可得答案;【详解】uuuv uuuv uuuv uuuv uuuv 2 uuuv uuuv 2 uuuv uuuv 1 uuuv 2 uuuv Q BDOD OB , OB OA AC OA 3 OC OA OA OC ,33 3 uuuv 1 uuuvOD OA ,2uuuv 1 uuuv 2 uuuvBDOA3 OC ,6应选: A. 【点睛】此题考察向量的线性运算,考察函数与方程思想、转变与化归思想,考察运算求解能力.r r r r r r r r r6.已知向量 a,b 知足 | a | 2 3 , |b | 4 ,且 (ab) b4 ,则 a 与 b 的夹角为( )A .B .2 D .5C .63 36【答案】 D【分析】【剖析】r r r r r12 ,再联合向量的夹角公式,求得r r3,即由 (a b) b4 ,求得 a bcos a, b2r r可求得向量 a 与 b 的夹角.【详解】r r rr2 由题意,向量 a, b 知足 | a |3 , | b |4 ,r rr r r r r r 2 r r1612,由于 (a b) b 4 ,可得 a b b a b4,解得a br r r r 12 3a b ,因此 cos a,br r2 3 42|a || b | rr[0,r r5 . 又因 a 与 b 的夹角] ,因此 a与 b 的夹角为6应选: D .【点睛】此题主要考察了向量的数目积的应用,此中解答中熟记向量的数目积的计算公式,以及向量的夹角公式,正确计算是解答的重点,侧重考察了计算能力.7.如图,在直角梯形 ABCD 中, AB ∥ DC , AD ⊥ DC , AD = DC = 2AB , E 为 AD 的中点,若uuur uuur uuurCA CEDB( ,R),则λ μ)+ 的值为(6 8 C . 28 A .B .D .553【答案】 B【分析】【剖析】uuur uuur uuur uuur uuur uuur成立平面直角坐标系,用坐标表示 CA, CE , DB ,利用 CA CEDB( ,R),列出方程组求解即可 .【详解】成立以下图的平面直角坐标系,则 D(0, 0).不如设 AB = 1,则 CD =AD = 2,因此 C(2, 0),A(0, 2), B(1, 2), E(0,1), uuurCA uuur( 2,2), CEuuur(2,1), DB(1,2)uuur Q CAuuurCE uuurDB∴ (- 2, 2)= λ(- 2, 1)+ μ(1, 2),6225 则 8 . 2解得2255应选: B 【点睛】此题主要考察了由平面向量线性运算的结果求参数,属于中档题.rr2,2r r r8.设 a 1, m ,b,若 2a mbb ,则实数 m 的值为()A .1B . 21D . -32C .3【答案】 C【分析】【剖析】rr2 2m,4 m ,依据向量垂直公式计算获得答案 .计算 2a mb【详解】r r 2 2m,4 m ,2a mbr rr r r r 0,即 22 2m 8m 0 1∵ 2a mbb ,∴ 2a mb b,解得 m.3应选: C .【点睛】此题考察了依据向量垂直求参数,意在考察学生的计算能力.x 1 0r9.设 x , y 知足 x2y r1, m y r r0 ,向量 a 2x,1 , b ,则知足 a b 的实数 m2x y4的最小值为()121233A .B .C .D .5522【分析】【剖析】先依据平面向量垂直的坐标表示,得my 2x ,依据拘束条件画出可行域,再利用 m 的几何意义求最值,只要求出直线my2x过可行域内的点 C 时,进而获得 m 的最小值即可.【详解】r r1, m y ,解:不等式组表示的平面地区以下图:由于a 2x,1 , br r2x m y 0 ,∴当直线经过点 C 时, m 有最小值,由 a b 得2x y 4x88 45,∴C,由2 y ,得5 ,xy4 55∴ my4 16 122x5,55应选: B.【点睛】此题主要考察了平面向量共线(平行)的坐标表示,用平面地区二元一次不等式组,以及简单的转变思想和数形联合的思想,属于中档题.目标函数有独一最优解是我们最常有的问题,这种问题一般要分三步:画出可行域、求出重点点、定出最优解.v vv v vv10. 已知平面向量 a , b 的夹角为,且 | a | 2 , | b | 1,则 a2b ( )3A . 4B . 2C . 11D .6【答案】 B【分析】【剖析】依据向量的数目积和向量的模的运算,即可求解.【详解】r r r r r rr r由题意,可得 | a 2b |2 | a |2 4 |b |2 4a b4 4 4 | a | | b |cos4 ,r r3因此 | a 2b | 2 ,应选 B.此题主要考察了平面向量的数目积的运算及应用,此中解答中熟记平面向量的数目积的运算公式,以及向量的模的运算公式是解答的重点,侧重考察了推理与运算能力,属于基础 题.11 . 已知四边形 ABCD 是平行四边形,点uuurE 为边 CD 的中点,则 BE1 uuur uuurB .1 uuur uuurA .ABADABAD22Cuuur 1 uuurDuuur 1 uuur. AB 2 AD. ABAD2【答案】 A【分析】【剖析】由平面向量的加法法例运算即可.【详解】如图,过 E 作 EF / / BC , 由向量加法的平行四边形法则可知uuuvBEuuuvBFuuuvBC1 uuuvABuuuvAD .2应选A.【点睛】此题考察平面向量的加法法例,属基础题.r r, r r2)12. 已知向量 m (1,cos θ), n (sin2) ,且 m ⊥ n ,则sin2θ+6cos θ的值为( 1B . 2C .2 2D .﹣ 2A .2【答案】 B【分析】【剖析】r r 2 2sin cos 6cos 2 ,分子分母同除以 2依据 m ⊥ n 可得 tan θ,而 sin2 θ+6cos θ sin 2 cos 2cos θ,代入 tan θ可得答案 .【详解】r r(sin ,θ﹣ 2),由于向量 m(1, cos θ), nur rsin 2cos因此 m nr r由于 m ⊥ n , 因此 sin 2cos0 ,即 tan θ=2,因此 sin2θ+6cos 2θ2sin cos6cos 2 2tan 6 2 2 6 2.sin 2cos 2tan 2 1 4 1应选: B. 【点睛】此题主要考察平面向量的数目积与三角恒等变换,还考察运算求解的能力,属于中档题.13. 在边长为1 的等边三角形ABC 中,点 P 是边 AB 上一点,且. BP2PA ,则uuuv uuuv()CP CB11 2 D . 1A .B .C .323【答案】 C【分析】【剖析】uuur uuur uuuv利用向量的加减法及数乘运算用 CA, CB 表示 CP ,再利用数目积的定义得解.【详解】依照已知作出图形以下:uuuv uuv uuuv uuv1 uuuv uuv1 uuuv uuv2 uuv 1 uuuvCP CAAP CAABCA3 CBCACACB .333uuuv uuuv2 uuv1 uuuv uuuv2 uuv uuuv 1 uuuv 2因此 CP CBCACBCB3CA CBCB3 332 1 1 cos3 1122333应选 C【点睛】此题主要考察了向量的加减法及数乘运算,还考察了数目积的定义,考察转变能力,属于中档题.14. 在边长为 2 uuuvuuuv uuuv uuuv uuuvuuuv的等边三角形ABC 中,若 AE 1AC ,BFFC ,则 BEAF ()32 B .4 8 D . 2A .C .333【答案】 D【分析】【剖析】运用向量的加减运算和向量数目积的定义计算可得所求值.【详解】uuur 1 uuur在边长为 2 的等边三角形 ABC 中,若 AEAC ,3uuur uuuvuuur uuur1 uuur uuur则BE AF(AEAB )?( ACAB )2uuur uuur uuur uuur=(1ACAB )? 1(ACAB ) 321 1 uuur uuur2 uuuruuur1 42 1 ( AC 2AB 2AB ?)42 222 33AC2 332应选: D【点睛】此题考察向量的加减运算和向量数目积的定义和性质,向量的平方即为模的平方,考察运算能力,属于基础题.uuuruuur uuur r uuur r uuur 15. 在 VABC 中, E 是 AC 的中点, BC 3BF,若ABa ,ACb,则EF( )2r1 r1r1 r1r1 r1r1 rA .a b B .a b C .a +b D .a b363 32 433【答案】 A【分析】【剖析】依据向量的运算法例计算获得答案 .【详解】uuur uuur uuur 1 uuur 2 uuur 1 uuur 2 uuur uuur2 uuur 1 uuur2r1rEFECCFACCB2 AC3ABACABACab .2 33 6 3 6应选: A .【点睛】此题考察了向量的基本定理,意在考察学生的计算能力和转变能力 .r r16. 如图,向量 a b 等于uruururuurruurruurA .2e 14e 2B .4e 12e 2C .e3e 2D .e3e 21 1【答案】 D【分析】【剖析】【详解】r rruur由向量减法的运算法例可得a b1,e 3e 2uuur uuuruuuruuuruuuruuur17. 已知向量 OA 与 OB 的夹角为 , OA 2, OB1, OP tOA,uuur 1 uuur uuur t 0 时获得最小值,则当0 t 0 1OQt OB , PQ 在 t时,夹角的取值范围为5 ( )A .0,B .3, C .,2D . 0,2322 33【答案】 C【分析】【剖析】依据向量的数目积运算和向量的线性表示可得,uuur 2 uuur 2 22 4cos t 1,依据二次函数的最值可得出 PQ PQ5 4cos tt 01 2cos ,再由 0 t 01 的取值范围 .5 4cos,可求得夹角5【详解】uuur uuuruuuruuuruuur1 uuur uuur由于OA OB 2cos ,PQOQOPt OB tOA ,uuur 2 uuur 2 5 4cost 22 4cos t 1,PQ PQuuur 12cos,又 0 t 0 1∵ PQ 在 t t 0 时获得最小值,因此 t 0,则5 4cos 51 2cos 1,得1 cos 0,∵ 0,5 4cos522因此,23应选: C.【点睛】此题考察向量的数目积运算和向量的线性表示,以及二次函数的最值和分式不等式的求解,重点在于由向量的模的平方等于向量的平方,获得对于角度的三角函数的不等式,属 于中档题 .rr(1,2) ,则以下说法不正确的选项是(18. 已知向量 a(sin ,cos ) ,b)r r1rr1A .若 a / /b ,则 tan2B .若 ab ,则 tan2C .若 f ( )r rtan1rr5 1a b 获得最大值,则2 D . | a b |的最大值为【答案】 B【分析】【剖析】A 选项利用向量平行的坐标表示来判断正确性 .B 选项利用向量垂直的坐标表示来判断正确性.C 选项求得 f的表达式,联合三角函数最值的求法,判断C 选项的正确性 .D 选项利用向量模的运算来判断正确性 .【详解】r rcos 1 ,A 正确.A 选项,若 a / /b ,则 2sin,即 tanr r2,则 sin2cos 0 ,则 tan = - 2 , B 不正确 .B 选项,若 a bC 选项, f () r r sin2cos5sin() ,此中 tan2 .获得最大值时,a b2k,2k2 ,2tantan 2ktan1 2 ,则 tan1 ,则 C 正确.22tan2D 选项,由向量减法、模的几何意义可知r rr5 r | a b |的最大值为 5 1 ,此时 ab ,5r ra, b 反向 .应选项 D 正确 .应选: B【点睛】本小题主要考察向量平行、垂直的坐标表示,考察向量数目积的运算,考察向量减法的模的几何意义,属于中档题.19. 已知 A, B 是圆 O : x 2y 216ABuuuv5 uuuv 2 uuuv的两个动点,4, OCOAOB ,若 M 分uuuv uuuuv33别是线段 AB 的中点,则OC ·OM ( )A .8 43B .843C . 12D . 4【答案】 C【分析】【剖析】【详解】uuuur1 uuur 1 uuur由题意 OM OAOB ,则2 2uuuv uuuuv 5 uuuv 2 uuuv1 uuuv 1 uuuv5 uuuv 2 1 uuuv 21 uuuv uuuvOC OMOAOBOAOB6 OAOBOA OB ,又圆的半径uuur 3 32232uuur uuurπuuuv uuuvuuuv 2uuuv 216 ,所 为 4 , AB = 4,则 OA, OB 两向量的夹角为.则OA OB 8,OAOBuuur uuuur312 .故此题答案选 C .以OC OM点睛:此题主要考察平面向量的基本定理 .用平面向量的基本定理解决问题的一般思路是 : 先选择一组基底 ,而且运用平面向量的基本定理将条件和结论表示成基底的线性组合 ,在基底未给出的状况下进行向量的运算 ,合理地选用基底会给解题带来方便 .进行向量运算时 ,要尽可能转变到平行四边形或三角形中.rr(0,5)A ,B ,线段20. 已知向量 a( 5,0) , b的起点均为原点,而终点挨次对应点2 uuur uuur r ruuurAB 边上的点 P ,若 OP AB ,OP xa yb ,则 x , y 的值分别为()A .1,4B .4, 1C .4,1D .1 , 455335533【答案】 C 【分析】【剖析】uuuruuur rr (5,5) ,依据 uuuruuur求得向量 OP( 5x,5 y) , AB b aOP AB 和 A, B, P 三点共线,22列出方程组,即可求解 .【详解】r5r 由题意,向量 a(,0) , buuur r r 2(5,5),又由 AB b a2uuur uuur uuur uuur 由于OP AB ,因此 OP AB 又由 A, B, P 三点共线,因此xuuur r r5(0,5) ,因此 OP xa yb( x,5 y) ,225x 25 y 0 ,可得x 4 y ,4y 1,x 4 y4, y1.联立方程组,解得 xx y 155应选: C.【点睛】此题主要考察了向量的坐标运算,以及向量垂直的坐标运算和向量共线定理的应用,侧重考察了运算与求解能力 .。
数学平面向量易错题一、选择题:1.在ABC ∆中,︒===60,8,5C b a ,则⋅的值为 ( )A 20B 20-C 320D 320-错误认为,60BC CA C=︒∴uuur uu r选,从而出错.略解: ︒=120,故BC 1,58202BC CA ⎛⎫=⨯⨯-=- ⎪⎝⎭uu u r uu r .2.关于非零向量ra 和b ,有下列四个命题:(1)“a b a b +=+r r r r”的充要条件是“r a 和r b 的方向相同”;(2)“a b a b +=-r rr r ” 的充要条件是“r a 和r b 的方向相反”;(3)“+=-r r r r a b a b ” 的充要条件是“ra 和rb 有相等的模”;(4)“-=-r r r r a b a b ” 的充要条件是“ra 和rb 的方向相同”;其中真命题的个数是 ( )A 1B 2C 3D 4错误分析:对不等式a b a b a b -≤±≤+r r r r r r取等号的条件认识不清.答案: B.3.已知O 、A 、B 三点的坐标分别为O(0,0),A(3,0),B(0,3),点P 在线段AB 上且 AP =t AB (0≤t ≤1)则OA ²OP 的最大值为 ( )A .3B .6C .9D .12正确答案:C 错因:学生不能借助数形结合直观得到当 OP cos 最大时,OA ²OP 即为最大。
4.若向量 a r =(cos ,sin ) , b r=()ββsin ,cos , a 与b 不共线,则a 与b 一定满足( )A . a 与b 的夹角等于 -B .a ∥bC .(a +b ) (a -b )D . a ⊥b正确答案:C 错因:学生不能把a 、b 的终点看成是上单位圆上的点,用四边形法则来处理问题。
5.已知向量 a =(2cos ,2sin ), (ππ,2), b =(0,-1),则 a 与 b 的夹角为( )A .π32- B .2π+ C . -2πD .正确答案:A 错因:学生忽略考虑a 与b 夹角的取值范围在[0, ]。
高三数学易错平面向量多选题 易错题自检题学能测试试题一、平面向量多选题1.已知直线1:310l mx y m --+=与直线2:310l x my m +--=相交于点P ,线段AB是圆()()22:114C x y +++=的一条动弦,G 为弦AB 的中点,AB =( )A .弦AB 的中点轨迹是圆B .直线12,l l 的交点P 在定圆()()22222x y -+-=上C .线段PG 长的最大值为1D .PA PB ⋅的最小值6+【答案】ABC【分析】对于选项A :设()00,G x y ,利用已知条件先求出圆心到弦AB 的距离CG ,利用两点之间的距离公式即可得到结论;对于选项B :联立直线的方程组求解点P 的坐标,代入选项验证即可判断;对于选项C :利用选项A B 结论,得到圆心坐标和半径,利用1112max PG PG r r =++求解即可;对于选项D :利用平面向量的加法法则以及数量积运算得到23PA PB PG ⋅==-,进而把问题转化为求1112min PG PG r r =--问题,即可判断. 【详解】对于选项A :设()00,G x y ,2AB =G 为弦AB 的中点,GB ∴=,而()()22:114C x y +++=,半径为2,则圆心到弦AB 的距离为1CG ==,又圆心()1,1C --, ()()2200111x y ∴+++=,即弦AB 的中点轨迹是圆.故选项A 正确;对于选项B : 由310310mx y m x my m --+=⎧⎨+--=⎩,得222232113211m m x m m m y m ⎧++=⎪⎪+⎨-+⎪=⎪+⎩, 代入()()2222x y -+-整理得2,故选项B 正确;对于选项C :由选项A 知:点G 的轨迹方程为:()()22111x y +++=,由选项B 知:点P 的轨迹方程为:()()22222x y -+-=, ()()11121,1,1,2,2,G r P r ∴--= 所以线段1112max11PG PG r r =++=+=,故选项C 正确;对于选项D : ()()PA PB PG GA PG GB ⋅=+⋅+()2PG PG GA GB GA GB =+⋅++⋅22203PG PG GB PG =+⋅-=-,故()()2min min3PA PB PG ⋅=-, 由选项C知:1112min11PG PG r r =--=-=,所以()()2min 136PA PB ⋅=-=-, 故选项D 错误;故选:A B C.【点睛】关键点睛:本题考查了求圆的轨迹问题以及两个圆上的点的距离问题.把两个圆上的点的距离问题转化为两个圆的圆心与半径之间的关系是解决本题的关键.2.在ABC 中,角,,A B C 所对的边分别为,,a b c ,已知()()(::5:)4:6b c c a a b +++=,下列结论正确的是( )A .::7:5:3sinA sinB sinC =B .0AB AC ⋅>C .若6c=,则ABC 的面积是D .若8+=b c ,则ABC 【答案】ACD【分析】 先利用已知条件设4,5,6b c k c a k a b k +=+=+=,进而得到3.5, 2.5, 1.5a k b c k ===,利用正弦定理可判定选项A ;利用向量的数量积公式可判断选项B ;利用余弦定理和三角形的面积公式可判定选项C ;利用余弦定理和正弦定理可判断选项D.【详解】依题意,设4,5,6b c k c a k a b k +=+=+=,所以 3.5, 2.5, 1.5a k b c k ===,由正弦定理得:::::7:5:3sinA sinB sinC a b c ==,故选项A 正确;222222cos 22b c a b c a AB AC bc A bc bc +-+-⋅==⨯= 222222.5 1.5 3.515028k k +-==-<, 故选项B 不正确;若6c =,则4k =,所以14,10a b ==, 所以222106141cos 21062A +-==-⨯⨯,所以sin 2A =,故ABC 的面积是:11sin 61022bc A =⨯⨯= 故选项C 正确;若8+=b c ,则2k =,所以7,5,3a b c ===, 所以2225371cos 2532A +-==-⨯⨯,所以sin A =, 则利用正弦定理得:ABC 的外接圆半径是:12sin 3a A ⨯=, 故选项D 正确;【点睛】关键点睛:本题主要考查正余弦定理以及三角形面积公式. 利用已知条件设4,5,6b c k c a k a b k +=+=+=,再利用正余弦定理以及三角形面积公式求解是解决本题的关键.3.已知向量(2,1),(3,1)a b ==-,则( )A .()a b a +⊥B .|2|5a b +=C .向量a 在向量bD .向量a 的单位向量是55⎛ ⎝⎭【答案】ABD【分析】多项选择题需要要对选项一一验证:对于A:利用向量垂直的条件判断;对于B:利用模的计算公式;对于C:利用投影的计算公式;对于D:直接求单位向量即可.【详解】 (2,1),(3,1)a b ==-对于A: (1,2),()(1)2210,a b a b a +=-+⋅=-⨯+⨯=∴()a b a +⊥,故A 正确; 对于B: 222(2,1)2(3,1)(4,3),|2|(4)35a b a b +=+-=-∴+=-+=,故B 正确;对于C: 向量a 在向量b 上的投影是||(3)a b b ⋅==-,故C 错误;对于D: 向量a 的单位向量是⎝⎭,故D 正确. 故选:ABD .【点睛】多项选择题是2020年高考新题型,需要要对选项一一验证.4.已知ABC 是边长为2的等边三角形,D ,E 分别是,AC AB 上的点,且AE EB =,2AD DC =,BD 与CE 交于点O ,则( )A .0OC EO +=B .0AB CE ⋅=C .3OA OB OC OD +++=D .ED 在BC 方向上的投影为76【答案】BD可证明EO CE =,结合平面向量线性运算法则可判断A ;由AB CE ⊥结合平面向量数量积的定义可判断B ;建立直角坐标系,由平面向量线性运算及模的坐标表示可判断C ;由投影的计算公式可判断D.【详解】因为ABC 是边长为2的等边三角形,AE EB =,所以E 为AB 的中点,且CE AB ⊥,以E 为原点如图建立直角坐标系,则()0,0E ,()1,0A -,()10B ,,(3C , 由2AD DC =可得2223,333AD AC ⎛== ⎝⎭,则13,33D ⎛- ⎝⎭, 取BD 的中点G ,连接GE ,易得//GE AD 且12GE AD DC ==, 所以CDO ≌EGO △,EO CO =,则3O ⎛ ⎝⎭,对于A ,0OC EO EC +=≠,故A 错误;对于B ,由AB CE ⊥可得0AB CE ⋅=,故B 正确;对于C ,31,OA ⎛=- ⎝⎭,31,OB ⎛= ⎝⎭,3OC ⎛= ⎝⎭,133OD ⎛=- ⎝⎭, 所以13,33OA OB OC OD ⎛+++=-- ⎝⎭,所以23OA OB OC OD +++=,故C 错误; 对于D ,(3BC =-,1233ED ⎛=- ⎝⎭,所以ED在BC 方向上的投影为127326 BC EDBC+⋅==,故D正确.故选:BD.【点睛】关键点点睛:建立合理的平面直角坐标系是解题关键.5.在平行四边形ABCD中,2AB=,1AD=,2DE EC=,AE交BD于F且2AE BD⋅=-,则下列说法正确的有()A.1233AE AC AD=+B.25DF DB=C .,3AB ADπ=D.2725FB FC⋅=【答案】BCD【分析】根据向量的线性运算,以及向量的夹角公式,逐一判断四个选项的正误即可得正确选项.【详解】对于选项A:()22233133AE AD DE AD DC AD AD D CA A AC=+=+=+-=+,故选项A不正确;对于选项B:易证DEF BFA,所以23DF DEBF AB==,所以2235DF FB DB==,故选项B正确;对于选项C:2AE BD⋅=-,即()223AD A BDAB A⎛⎫+-=-⎪⎝⎭,所以2221233AD ADAB AB-⋅-=-,所以1142332ADAB-⋅-⨯=-,解得:1AB AD⋅=,11cos,212AB ADAB ADAB AD⋅===⨯⨯,因为[],0,AB ADπ∈,所以,3AB ADπ=,故选项C正确;对于选项D :()()332555AB FB FC DB FD DC AD BD AB ⎛⎫⋅=⋅+=-⋅+ ⎪⎝⎭ ()()()3233255555AD AD AB AB AD A AB AB B AD ⎡⎤⎛⎫=-⋅-+=-⋅+ ⎪⎢⎥⎣⎦⎝⎭ 22969362734252525252525AB AB AD AD =⨯-⋅-⨯=⨯--=,故选项D 正确. 故选:BCD【点睛】 关键点点睛:选项B 的关键点是能得出DEF BFA ,即可得23DF DE BF AB ==,选项D 的关键点是由于AB 和AD 的模长和夹角已知,故将FB 和FC 用AB 和AD 表示,即可求出数量积.6.在三棱锥P ABC -中,三条侧棱,,PA PB PC 两两垂直,且3PA PB PC ===,G 是PAB △的重心,E ,F 分别为,BC PB 上的点,且::1:2BE EC PF FB ==,则下列说法正确的是( )A .EG PG ⊥B .EG BC ⊥ C .//FG BCD .FG EF ⊥【答案】ABD【分析】取,,PA a PB b PC c ===,以{},,a b c 为基底表示EG ,FG ,EF ,结合向量数量积运算性质、向量共线定理即可选出正确答案.【详解】如图,设,,PA a PB b PC c ===,则{},,a b c 是空间的一个正交基底,则0a b a c b c ⋅=⋅=⋅=,取AB 的中点H ,则22111()33233PG PH a b a b ==⨯+=+, 1121111,3333333EG PG PE a b b c a b c BC c b =-=+--=--=-, 11113333FG PG PF a b b a =-=+-=, 1121133333EF PF PE b c b c b ⎛⎫=-=-+=-- ⎪⎝⎭, ∴0EG PG ⋅=,A 正确;0EG BC ⋅=,B 正确;()FG BC R λλ≠∈,C 不正确;0FG EF ⋅=,D 正确.故选:ABD.【点睛】本题考查了平面向量共线定理,考查了由数量积求两向量的位置关系,考查了平面向量基本定理的应用,属于中档题.7.下列各式结果为零向量的有( )A .AB BC AC ++B .AB AC BD CD +++ C .OA OD AD -+D .NQ QP MN MP ++-【答案】CD【分析】对于选项A ,2AB BC AC AC ++=,所以该选项不正确;对于选项B ,2AB AC BD CD AD +++=,所以该选项不正确;对于选项C ,0OA OD AD -+=,所以该选项正确;对于选项D ,0NQ QP MN MP ++-=,所以该选项正确.【详解】对于选项A ,2AB BC AC AC AC AC ++=+=,所以该选项不正确;对于选项B ,()()2AB AC BD CD AB BD AC CD AD AD AD +++=+++=+=,所以该选项不正确;对于选项C ,0OA OD AD DA AD -+=+=,所以该选项正确;对于选项D ,0NQ QP MN MP NP PN ++-=+=,所以该选项正确.故选:CD【点睛】本题主要考查平面向量的加法和减法法则,意在考查学生对这些知识的理解掌握水平.8.已知正三角形ABC 的边长为2,设2AB a =,BC b =,则下列结论正确的是( ) A .1a b +=B .a b ⊥C .()4a b b +⊥D .1a b ⋅=-【答案】CD 【分析】分析知1a =,2=b ,a 与b 的夹角是120︒,进而对四个选项逐个分析,可选出答案.【详解】分析知1a =,2=b ,a 与b 的夹角是120︒.由12cos12010a b ︒⋅=⨯⨯=-≠,故B 错误,D 正确;由()22221243a b a a b b +=+⋅+=-+=,所以3a b +=,故A 错误; 由()()2144440a b b a b b +⋅=⋅+=⨯-+=,所以()4a b b +⊥,故C 正确. 故选:CD【点睛】本题考查正三角形的性质,考查平面向量的数量积公式的应用,考查学生的计算求解能力,属于中档题.二、立体几何多选题9.M ,N 分别为菱形ABCD 的边BC ,CD 的中点,将菱形沿对角线AC 折起,使点D 不在平面ABC 内,则在翻折过程中,下列结论正确的有( )A .MN ∥平面ABDB .异面直线AC 与MN 所成的角为定值C .在二面角D AC B --逐渐变小的过程中,三棱锥D ABC -外接球的半径先变小后变大D .若存在某个位置,使得直线AD 与直线BC 垂直,则ABC ∠的取值范围是0,2π⎛⎫ ⎪⎝⎭【答案】ABD【分析】利用线面平行的判定即可判断选项A ;利用线面垂直的判定求出异面直线AC 与MN 所成的角即可判断选项B ;借助极限状态,当平面DAC 与平面ABC 重合时,三棱锥D ABC -外接球即是以ABC ∆外接圆圆心为球心,外接圆的半径为球的半径,当二面角D AC B --逐渐变大时,利用空间想象能力进行分析即可判断选项C;过A 作AH BC ⊥,垂足为H ,分ABC ∠为锐角、直角、钝角三种情况分别进行分析判断即可判断选项D.【详解】对于选项A:因为M ,N 分别为菱形ABCD 的边BC ,CD 的中点,所以MN 为BCD ∆的中位线,所以//MN BD ,因为MN ⊄平面ABD ,BD ⊂平面ABD ,所以MN ∥平面ABD ,故选项A 正确;对于选项B :取AC 的中点O ,连接,DO BO ,作图如下:则,AC DO AC BO ⊥⊥,BO DO O =,由线面垂直的判定知,AC ⊥平面BOD ,所以AC BD ⊥,因为//MN BD ,所以AC MN ⊥,即异面直线AC 与MN 所成的角为定值90,故选项B 正确;对于选项C:借助极限状态,当平面DAC 与平面ABC 重合时,三棱锥D ABC -外接球即是以ABC ∆外接圆圆心为球心,外接圆的半径为球的半径,当二面角D AC B --逐渐变大时,球心离开平面ABC ,但是球心在底面的投影仍然是ABC ∆外接圆圆心,故二面角D AC B --逐渐变小的过程中,三棱锥D ABC -外接球的半径不可能先变小后变大, 故选项C 错误;对于选项D:过A 作AH BC ⊥,垂足为H ,若ABC ∠为锐角,H 在线段BC 上;若ABC ∠为直角,H 与B 重合;若ABC ∠为钝角,H 在线段BC 的延长线上;若存在某个位置,使得直线AD 与直线BC 垂直,因为AH BC ⊥,所以CB ⊥平面AHD ,由线面垂直的性质知,CB HD ⊥,若ABC ∠为直角,H 与B 重合,所以CB BD ⊥,在CBD ∆中,因为CB CD =, 所以CB BD ⊥不可能成立,即ABC ∠为直角不可能成立;若ABC ∠为钝角,H 在线段BC 的延长线上,则在原平面图菱形ABCD 中,DCB ∠为锐角,由于立体图中DB DO OB <+,所以立体图中DCB ∠一定比原平面图中更小,,所以DCB ∠为锐角,CB HD ⊥,故点H 在线段BC 与H 在线段BC 的延长线上矛盾,因此ABC ∠不可能为钝角;综上可知,ABC ∠的取值范围是0,2π⎛⎫ ⎪⎝⎭.故选项D 正确; 故选:ABD【点睛】本题考查异面垂直、线面平行与线面垂直的判定、多面体的外接球问题;考查空间想象能力和逻辑推理能力;借助极限状态和反证法思想的运用是求解本题的关键;属于综合型强、难度大型试题.10.如果一个棱锥的底面是正方形,且顶点在底面内的射影是底面的中心,那么这样的棱锥叫正四棱锥.若一正四棱锥的体积为18,则该正四棱锥的侧面积最小时,以下结论正确的是( ).A .棱的高与底边长的比为2B .侧棱与底面所成的角为4πC .棱锥的高与底面边长的比为2D .侧棱与底面所成的角为3π 【答案】AB【分析】 设四棱锥S ABCD -的高为h ,底面边长为a ,由21183V a h ==得254h a =,然后可得侧面积为242108a a+,运用导数可求出当32a =时侧面积取得最小值,此时3h =,然后求出棱锥的高与底面边长的比和SAO ∠即可选出答案.【详解】设四棱锥S ABCD -的高为h ,底面边长为a可得21183V a h ==,即254h a= 所以其侧面积为2222244215410842244a a a h a a a⋅⋅+=+=+令()242108f a a a =+,则()23321084f a a a ⨯'=- 令()233210840f a a a ⨯'=-=得32a = 当(0,32a ∈时()0f a '<,()f a 单调递减 当()32,a ∈+∞时()0f a '>,()f a 单调递增 所以当32a =时()f a 取得最小值,即四棱锥的侧面积最小此时3h =所以棱锥的高与底面边长的比为2,故A 正确,C 错误侧棱与底面所成的角为SAO ∠,由3h =,a =可得3AO = 所以4SAO π∠=,故B 正确,D 错误 故选:AB【点睛】本题考查的知识点有空间几何体的体积和表面积、线面角及利用导数求最值,属于综合题.。
平面向量易错题解析赵玉苗整理1、你熟悉平面向量的运算(和、差、实数与向量的积、数量积)、运算性质和运算的几何意义吗?2、你通常是如何处理有关向量的模(长度)的问题?(利用22||→→=a a ;22||y x a +=)3、你知道解决向量问题有哪两种途径?(①向量运算;②向量的坐标运算)4、你弄清“02121=+⇔⊥→→y y x x b a ”与“0//1221=-⇔→→y x y x b a ”了吗?[问题]:两个向量的数量积与两个实数的乘积有什么区别?(1) 在实数中:若0≠a ,且ab=0,则b=0,但在向量的数量积中,若→→≠0a ,且0=•→→b a ,不能推出→→=0b 。
(2) 已知实数)(,,,o b c b a ≠,且bc ab =,则a=c ,但在向量的数量积中没有→→→→→→=⇒•=•c a c b b a 。
(3) 在实数中有)()(c b a c b a ••=••,但是在向量的数量积中)()(→→→→→→••≠••c b a c b a ,这是因为左边是与→c 共线的向量,而右边是与→a 共线的向量。
5、向量的平移公式、函数图象的平移公式你掌握了吗?6、正弦定理、余弦定理及三角形面积公式你掌握了吗?三角形内的求值、化简和证明恒等式有什么特点?1、向量有关概念:(1)向量的概念:既有大小又有方向的量,注意向量和数量的区别。
向量常用有向线段来表示,注意不能说向量就是有向线段,为什么?(向量可以平移)。
如已知A(1,2),B(4,2),则把向量AB 按向量a =(-1,3)平移后得到的向量是_____(答:(3,0))(2)零向量:长度为0的向量叫零向量,记作:0,注意零向量的方向是任意的;(3)单位向量:长度为一个单位长度的向量叫做单位向量(与AB 共线的单位向量是||AB AB ±);(4)相等向量:长度相等且方向相同的两个向量叫相等向量,相等向量有传递性;(5)平行向量(也叫共线向量):方向相同或相反的非零向量a 、b 叫做平行向量,记作:a ∥b ,规定零向量和任何向量平行。
【知识目标】:高考中主要考察向量的共线、垂直、数量积等基本概念运算,难度中等, 或以向量为工具出现在其他知识中,综合性较强,同学在周考、统练中易丢分。
需总结、回归基础、查漏补缺,防止丢分。
【能力目标】: 向量的思想方法及工具性。
【学习方法】:易错点问诊,自主归纳整理。
【学习过程】: 培养学生数形结合、转化与化归的数学思想.一、易错点问诊A 组:(5分钟)1、(周考题)已知直线y =x 2上一点P 的横坐标为使得,点)3,3(),1,1(B A a -B P A P ρρ•的夹角为钝角,则a 的取值范围是_____. 2(统练题)已知三角形ABC 是等腰直角三角形,∠C=90°,AC=BC=2,则C B B A ρρ•=_________________.3、(统练题)关于平面向量有下列四个命题:①若⋅=⋅a b a c ,则=b c ; ②已知(,3),(2,6)k ==-a b .若a b ∥,则1k =-;③非零向量a 和b ,满足||=|a |=|b |a -b ,则a 与a +b 的夹角为30o ;④()()0||||||||+⋅-=a b a b a b a b .其中正确的命题为___________.(写出所有正确命题的序号)☆☆易错原因反思:______________________________________________________________________________________________________________________________________ 反馈训练:(2分钟) 1.三角形ABC 中,,AB a BC b ==u u u r r u u u r r ,有0a b ⋅<r r ,则三角形ABC 的形状是 ( )(A )锐角三角形 (B )直角三角形 (C )钝角三角形 (D )不能确定2.已知非零向量的关系是则b a b a ,,=+(A )相等 (B )共线且方向相同 (C )共线且方向相反 (D )垂直B 组:(5分钟) 1.(统练卷)△ABC 中,点D 在边AB 上,CD 平分∠ACB ,若CB u u u r = a , CA u u u r = b , a =1 ,b = 2, 则CD uuu r =( )A.13a + 23b B.23a +13b C.35a +45b D.45a +35b内容:平面向量易错题 的整理解析班级: 姓名: 高三数学学案使用时间:2013年3月7日 编辑人:郭滨2.(周考)△ABC 中,∠A=60°,∠A 的平分线AD 交边BC 于D,已知AB=3,且)(31R ∈+=λλ,则AD 长为___________ 3.(周考)已知BC 在以AD 为直径的圆上,若AB=3,AC=4,则=•BC AD ________________ ☆☆☆易错原因反思:____________________________________________________________________________________________________________________________________ 反馈训练:(3分钟)1、(如图)在△ABC 中,AD ⊥AB,=,3=,则)(BD AB AC +=_________________________,,450OB n OA m OC AOC AOB C OB O +==∠∠===设内,且在,点则nm 等于________________. C 组:(6分钟) 1.(周考)设,,是单位向量,且))(,0--=•则(的最小值是( ) A.-2 B.22- C.-1 D.21-2.(月考)已知又点C 1),0,1(),0,1(=-==__3.(月考)在三角形ABC 中,点D 在线段BC 的延长线上,且CDO 在线段点,3=上(与C,D 不重合),若x x )1(-+=,则x 的取值范围是_____________.☆☆☆☆易错原因反思:___________________________________________________________________________________________________________________________________反馈训练:(5分钟)1、如图。
高三数学下学期平面向量多选题单元 易错题难题专项训练检测试题一、平面向量多选题1.已知直线1:310l mx y m --+=与直线2:310l x my m +--=相交于点P ,线段AB是圆()()22:114C x y +++=的一条动弦,G 为弦AB 的中点,AB =( )A .弦AB 的中点轨迹是圆B .直线12,l l 的交点P 在定圆()()22222x y -+-=上C .线段PG 长的最大值为1D .PA PB ⋅的最小值6+【答案】ABC【分析】对于选项A :设()00,G x y ,利用已知条件先求出圆心到弦AB 的距离CG ,利用两点之间的距离公式即可得到结论;对于选项B :联立直线的方程组求解点P 的坐标,代入选项验证即可判断;对于选项C :利用选项A B 结论,得到圆心坐标和半径,利用1112max PG PG r r =++求解即可;对于选项D :利用平面向量的加法法则以及数量积运算得到23PA PB PG ⋅==-,进而把问题转化为求1112min PG PG r r =--问题,即可判断. 【详解】对于选项A :设()00,G x y ,2AB =G 为弦AB 的中点,GB ∴=,而()()22:114C x y +++=,半径为2,则圆心到弦AB 的距离为1CG ==,又圆心()1,1C --, ()()2200111x y ∴+++=,即弦AB 的中点轨迹是圆.故选项A 正确;对于选项B : 由310310mx y m x my m --+=⎧⎨+--=⎩,得222232113211m m x m m m y m ⎧++=⎪⎪+⎨-+⎪=⎪+⎩, 代入()()2222x y -+-整理得2,故选项B 正确;对于选项C :由选项A 知:点G 的轨迹方程为:()()22111x y +++=,由选项B 知:点P 的轨迹方程为:()()22222x y -+-=, ()()11121,1,1,2,2,G r P r ∴--= 所以线段1112max11PG PG r r =++=+=,故选项C 正确;对于选项D : ()()PA PB PG GA PG GB ⋅=+⋅+()2PG PG GA GB GA GB =+⋅++⋅22203PG PG GB PG =+⋅-=-,故()()2min min3PA PB PG ⋅=-, 由选项C知:1112min11PG PG r r =--=-=,所以()()2min 136PA PB ⋅=-=-, 故选项D 错误;故选:A B C.【点睛】关键点睛:本题考查了求圆的轨迹问题以及两个圆上的点的距离问题.把两个圆上的点的距离问题转化为两个圆的圆心与半径之间的关系是解决本题的关键.2.在ABC 中,角,,A B C 所对的边分别为,,a b c ,已知()()(::5:)4:6b c c a a b +++=,下列结论正确的是( )A .::7:5:3sinA sinB sinC =B .0AB AC ⋅>C .若6c=,则ABC 的面积是D .若8+=b c ,则ABC 【答案】ACD【分析】 先利用已知条件设4,5,6b c k c a k a b k +=+=+=,进而得到3.5, 2.5, 1.5a k b c k ===,利用正弦定理可判定选项A ;利用向量的数量积公式可判断选项B ;利用余弦定理和三角形的面积公式可判定选项C ;利用余弦定理和正弦定理可判断选项D.【详解】依题意,设4,5,6b c k c a k a b k +=+=+=,所以 3.5, 2.5, 1.5a k b c k ===,由正弦定理得:::::7:5:3sinA sinB sinC a b c ==,故选项A 正确;222222cos 22b c a b c a AB AC bc A bc bc +-+-⋅==⨯= 222222.5 1.5 3.515028k k +-==-<, 故选项B 不正确;若6c =,则4k =,所以14,10a b ==, 所以222106141cos 21062A +-==-⨯⨯,所以sin 2A =,故ABC 的面积是:11sin 61022bc A =⨯⨯= 故选项C 正确;若8+=b c ,则2k =,所以7,5,3a b c ===, 所以2225371cos 2532A +-==-⨯⨯,所以sin A =, 则利用正弦定理得:ABC 的外接圆半径是:12sin 3a A ⨯=, 故选项D 正确;故选:ACD.【点睛】关键点睛:本题主要考查正余弦定理以及三角形面积公式. 利用已知条件设4,5,6b c k c a k a b k +=+=+=,再利用正余弦定理以及三角形面积公式求解是解决本题的关键.3.已知ABC 的面积为3,在ABC 所在的平面内有两点P ,Q ,满足20PA PC +=,2QA QB =,记APQ 的面积为S ,则下列说法正确的是( ) A .//PB CQB .2133BP BA BC =+ C .0PA PC ⋅<D .2S =【答案】BCD【分析】 本题先确定B 是AQ 的中点,P 是AC 的一个三等分点,判断选项A 错误,选项C 正确; 再通过向量的线性运算判断选项B 正确;最后求出2APQ S =△,故选项D 正确.【详解】解:因为20PA PC +=,2QA QB =,所以B 是AQ 的中点,P 是AC 的一个三等分点,如图:故选项A 错误,选项C 正确;因为()121333BP BA AP BA BC BA BA BC =+=+-=+,故选项B 正确; 因为112223132APQABC AB h S S AB h ⨯⨯==⋅△△,所以,2APQ S =△,故选项D 正确. 故选:BCD【点睛】本题考查平面向量的线性运算、向量的数量积、三角形的面积公式,是基础题.4.在三棱锥P ABC -中,三条侧棱,,PA PB PC 两两垂直,且3PA PB PC ===,G 是PAB △的重心,E ,F 分别为,BC PB 上的点,且::1:2BE EC PF FB ==,则下列说法正确的是( )A .EG PG ⊥B .EG BC ⊥ C .//FG BCD .FG EF ⊥【答案】ABD【分析】 取,,PA a PB b PC c ===,以{},,a b c 为基底表示EG ,FG ,EF ,结合向量数量积运算性质、向量共线定理即可选出正确答案.【详解】如图,设,,PA a PB b PC c ===,则{},,a b c 是空间的一个正交基底,则0a b a c b c ⋅=⋅=⋅=,取AB 的中点H ,则22111()33233PG PH a b a b ==⨯+=+, 1121111,3333333EG PG PE a b b c a b c BC c b =-=+--=--=-, 11113333FG PG PF a b b a =-=+-=, 1121133333EF PF PE b c b c b ⎛⎫=-=-+=-- ⎪⎝⎭, ∴0EG PG ⋅=,A 正确;0EG BC ⋅=,B 正确;()FG BC R λλ≠∈,C 不正确;0FG EF ⋅=,D 正确.故选:ABD.【点睛】本题考查了平面向量共线定理,考查了由数量积求两向量的位置关系,考查了平面向量基本定理的应用,属于中档题.5.设O ,A ,B 是平面内不共线的三点,若()1,2,3n OC OA nOB n =+=,则下列选项正确的是( )A .点1C ,2C ,3C 在同一直线上B .123OC OC OC == C .123OC OB OC OB OC OB ⋅<⋅<⋅D .123OC OA OC OA OC OA ⋅<⋅<⋅【答案】AC【分析】利用共线向量定理和向量的数量积运算,即可得答案;【详解】()12212()C C OC OC OA OB OA OB OB =-=+-+=,()()233232C C OC OC OA OB OA OB OB =-=+-+=,所以1223C C C C =,A 正确. 由向量加法的平行四边形法则可知B 不正确. 21OC OA OC OA OA OB ⋅-⋅=⋅,无法判断与0的大小关系,而()21OC OB OA OB OB OA OB OB ⋅=+⋅=⋅+,()2222OC OB OA OB OB OA OB OB⋅=+⋅=⋅+, 同理233OC OB OA OB OB ⋅=⋅+,所以C 正确,D 不正确.故选:AC .【点睛】本题考查向量共线定理和向量的数量积,考查逻辑推理能力、运算求解能力.6.下列关于平面向量的说法中正确的是( )A .已知A 、B 、C 是平面中三点,若,AB AC 不能构成该平面的基底,则A 、B 、C 共线 B .若a b b c ⋅=⋅且0b ≠,则a c =C .若点G 为ΔABC 的重心,则0GA GB GC ++=D .已知()12a =-,,()2,b λ=,若a ,b 的夹角为锐角,则实数λ的取值范围为1λ<【答案】AC【分析】根据平面向量基本定理判断A ;由数量积的性质可判断B ;由向量的中点表示和三角形的重心性质可判断C ,由数量积及平面向量共线定理判断D .【详解】解:因为,AB AC 不能构成该平面的基底,所以//AB AC ,又,AB AC 有公共点A ,所以A 、B 、C 共线,即A 正确;由平面向量的数量积可知,若a b b c =,则||||cos ,||||cos ,a b a b b c b c <>=<>,所以||cos ,||cos ,a a b c b c <>=<>,无法得到a c =,即B 不正确;设线段AB 的中点为M ,若点G 为ABC ∆的重心,则2GA GB GM +=,而2GC GM =-,所以0GA GB GC ++=,即C 正确;()12a =-,,()2,b λ=,若a ,b 的夹角为锐角,则220a b λ=⋅->解得1λ<,且a 与b 不能共线,即4λ≠-,所以()(),44,1λ∈-∞--,故D 错误;故选:AC .【点睛】本题考查向量共线定理和向量数量积的性质和向量的加减运算,属于中档题.7.八卦是中国文化的基本哲学概念,如图1是八卦模型图,其平面图形记为图2中的正八边形ABCDEFGH ,其中1OA =,则下列结论正确的有( )A .22OA OD ⋅=- B .2OB OH OE +=-C .AH HO BC BO ⋅=⋅D .AH 在AB 向量上的投影为2【答案】AB 【分析】直接利用向量的数量积的应用,向量的夹角的应用求出结果.【详解】 图2中的正八边形ABCDEFGH ,其中||1OA =, 对于32:11cos 4A OA OD π=⨯⨯=;故正确. 对于:22B OB OH OA OE +==-,故正确.对于:||||C AH BC =,||||HO BO =,但对应向量的夹角不相等,所以不成立.故错误. 对于:D AH 在AB 向量上的投影32||cos||4AH AH π=-,||1AH ≠,故错误. 故选:AB .【点睛】本题考查的知识要点:向量的数量积的应用,向量的夹角的应用,主要考查学生的运算能力和转换能力及思维能力,属于中档题.8.已知,,a b c 是同一平面内的三个向量,下列命题中正确的是( )A .||||||a b a b ⋅≤B .若a b c b ⋅=⋅且0b ≠,则a c =C .两个非零向量a ,b ,若||||||a b a b -=+,则a 与b 共线且反向D .已知(1,2)a =,(1,1)b =,且a 与a b λ+的夹角为锐角,则实数λ的取值范围是5,3⎛⎫-+∞ ⎪⎝⎭【答案】AC【分析】根据平面向量数量积定义可判断A ;由向量垂直时乘积为0,可判断B ;利用向量数量积的运算律,化简可判断C ;根据向量数量积的坐标关系,可判断D.【详解】对于A ,由平面向量数量积定义可知cos ,a b a b a b ⋅=,则||||||a b a b ⋅≤,所以A 正确,对于B ,当a 与c 都和b 垂直时,a 与c 的方向不一定相同,大小不一定相等,所以B 错误,对于C ,两个非零向量a ,b ,若||||||a b a b -=+,可得22()(||||)a b a b -=+,即22||||a b a b -⋅=,cos 1θ=-,则两个向量的夹角为π,则a 与b 共线且反向,故C 正确; 对于D ,已知(1,2)a =,(1,1)b =且a 与a b λ+的夹角为锐角,可得()0a a b λ⋅+>即2||0a a b λ+⋅>可得530λ+>,解得53λ>-, 当a 与a b λ+的夹角为0时,(1,2)a b λλλ+=++,所以2220λλλ+=+⇒= 所以a 与a b λ+的夹角为锐角时53λ>-且0λ≠,故D 错误; 故选:AC. 【点睛】本题考查了平面向量数量积定义的应用,向量共线及向量数量积的坐标表示,属于中档题.9.关于平面向量有下列四个命题,其中正确的命题为( )A .若a b a c ⋅=⋅,则b c =;B .已知(,3)a k =,(2,6)b =-,若//a b ,则1k =-;C .非零向量a 和b ,满足||||||a b a b ==-,则a 与a b +的夹角为30º;D .0||||||||a b a b a b a b ⎛⎫⎛⎫+⋅-= ⎪ ⎪⎝⎭⎝⎭【答案】BCD【分析】通过举反例知A 不成立,由平行向量的坐标对应成比例知B 正确,由向量加减法的意义知,C 正确,通过化简计算得D 正确.【详解】对A ,当0a = 时,可得到A 不成立;对B ,//a b 时,有326k =-,1k ∴=-,故B 正确. 对C ,当||||||a b a b ==-时,a 、b 、a b -这三个向量平移后构成一个等边三角形, a b + 是这个等边三角形一条角平分线,故C 正确.对D ,22()()()()110||||||||||||a b a b a b a a a b b b +⋅-=-=-=,故D 正确. 故选:BCD .【点睛】本题考查两个向量的数量积公式,两个向量加减法的几何意义,以及共线向量的坐标特点.属于基础题.10.在ABC 中,()2,3AB =,()1,AC k =,若ABC 是直角三角形,则k 的值可以是( )A .1-B .113C .32+D .32【答案】BCD【分析】由题意,若ABC 是直角三角形,分析三个内有都有可能是直角,分别讨论三个角是直角的情况,根据向量垂直的坐标公式,即可求解. 【详解】若A ∠为直角,则AB AC ⊥即0AC AB ⋅= 230k ∴+=解得23k =-若B 为直角,则BC AB ⊥即0BC AB ⋅= ()()2,3,1,AB AC k ==()1,3BC k ∴=--2390k ∴-+-=解得113k = 若C ∠为直角,则BC AC ⊥,即0BC AC ⋅=()()2,3,1,AB AC k ==()1,3BC k ∴=--()130k k ∴-+-=解得k =综合可得,k 的值可能为211,33-故选:BCD【点睛】 本题考查向量垂直的坐标公式,考查分类讨论思想,考察计算能力,属于中等题型.。
历年高考数学复习易错题选平面向量一、选择题:1.在ABC ∆中,︒===60,8,5C b a ,则CA BC ⋅的值为 ( )A 20B 20-C 320D 320- 错误分析:错误认为︒==60C ,从而出错. 答案: B略解:由题意可知︒=120,故CA BC ⋅=202185cos -=⎪⎭⎫⎝⎛-⨯⨯=. 2.关于非零向量a和b ,有下列四个命题:(1)“b a b a+=+”的充要条件是“a 和b 的方向相同”; (2)“b a b a-=+” 的充要条件是“a 和b 的方向相反”; (3)“b a b a-=+” 的充要条件是“a 和b 有相等的模”; (4)“b a b a-=-” 的充要条件是“a 和b 的方向相同”;其中真命题的个数是 ( )A 1B 2C 3D 4错误分析:对不等式b a b a b a+≤±≤-的认识不清.答案: B.3.已知O 、A 、B 三点的坐标分别为O(0,0),A(3,0),B(0,3),是P 线段AB 上且 AP =t AB(0≤t ≤1)则OA ²OP 的最大值为 ()A .3B .6C .9D .12正确答案:C 错因:学生不能借助数形结合直观得到当|OP |cos α最大时,OA ²OP 即为最大。
4.若向量 a =(cos α,sin α) , b =()ββsin ,cos , a 与b 不共线,则a 与b 一定满足( )A . a 与b 的夹角等于α-βB .a ∥bC .(a +b )⊥(a -b )D . a ⊥b正确答案:C 错因:学生不能把a 、b 的终点看成是上单位圆上的点,用四边形法则来处理问题。
5.已知向量 a =(2cos ϕ,2sin ϕ),ϕ∈(ππ,2), b =(0,-1),则 a 与 b 的夹角为( )A .π32-ϕB .2π+ϕC .ϕ-2πD .ϕ正确答案:A 错因:学生忽略考虑a 与b 夹角的取值范围在[0,π]。
6.O 为平面上的定点,A 、B 、C 是平面上不共线的三点,若( OB -OC )²(OB +OC -2OA )=0,则∆ABC 是( )A .以AB 为底边的等腰三角形 B .以BC 为底边的等腰三角形 C .以AB 为斜边的直角三角形D .以BC 为斜边的直角三角形正确答案:B 错因:学生对题中给出向量关系式不能转化:2OA 不能拆成(OA +OA )。
7.已知向量M={ a | a =(1,2)+λ(3,4) λ∈R}, N={a |a =(-2,2)+ λ(4,5) λ∈R },则M ⋂N=( )A {(1,2)}B {})2,2(),2,1(--C {})2,2(--D φ正确答案:C 错因:学生看不懂题意,对题意理解错误。
8.已知k Z ∈,(,1),(2,4)==AB k AC,若AB ≤ ,则△ABC 是直角三角形的概率是( C )A .17B .27C .37D .47分析:由AB ≤k Z ∈知{}3,2,1,0,1,2,3k ∈---,若(,1)(2,4)== 与AB k AC 垂直,则2302+=⇒=-k k ;若(2,3)=-=--BC A B A C k 与(,1)AB k = 垂直,则2230--=k k 13⇒=-或k ,所以△ABC 是直角三角形的概率是37.9.设a 0为单位向量,(1)若a 为平面内的某个向量,则a=|a|²a 0;(2)若a 与a 0平行,则a =|a |²a 0;(3)若a 与a 0平行且|a |=1,则a =a 0。
上述命题中,假命题个数是( ) A.0 B.1 C.2 D.3正确答案:D 。
错误原因:向量的概念较多,且容易混淆,注意区分共线向量、平行向量、同向向量等概念。
10.已知|a |=3,|b|=5,如果a ∥b ,则a ²b = 。
正确答案:。
±15。
错误原因:容易忽视平行向量的概念。
a 、b 的夹角为0°、180°。
11.O 是平面上一定点,A,B,C 是平面上不共线的三个点,动点P 满足),0[),+∞∈++=λλOA OP ,则P 的轨迹一定通过△ABC 的( )(A)外心 (B)内心 (C)重心 (D)垂心 正确答案:B 。
错误原因:对),0[+∞∈++=λλOA OP+与∠BAC 的角平分线有关。
12.如果,0a b a c a ⋅=⋅≠且,那么 ( )A .b c =B .b c λ=C . b c ⊥D .,b c在a 方向上的投影相等正确答案:D 。
错误原因:对向量数量积的性质理解不够。
13.向量→AB =(3,4)按向量a =(1,2)平移后为 ( ) A 、(4,6) B 、(2,2) C 、(3,4) D 、(3,8) 正确答案: C错因:向量平移不改变。
14.已知向量(2,0),(2,2),,)O B O C C A a a ===则向量,O A O B的夹角范围是( )A 、[π/12,5π/12]B 、[0,π/4]C 、[π/4,5π/12]D 、 [5π/12,π/2] 正确答案:A错因:不注意数形结合在解题中的应用。
15.将函数y=2x 的图象按向量 →a 平移后得到y=2x+6的图象,给出以下四个命题:① →a 的坐标可以是(-3,0) ②→a 的坐标可以是(-3,0)和(0,6) ③→a 的坐标可以是(0,6) ④→a 的坐标可以有无数种情况,其中真命题的个数是( )A 、1B 、2C 、3D 、4 正确答案:D错因:不注意数形结合或不懂得问题的实质。
16.过△ABC 的重心作一直线分别交AB,AC 于D,E,若,AB x AD = AC y AE =,(0≠xy ),则yx11+的值为( )A 4B 3C 2D 1 正确答案:A错因:不注意运用特殊情况快速得到答案。
17.设平面向量a =(-2,1),b =(λ,-1),若a 与b 的夹角为钝角,则λ的取值范围是( ) A 、),2()2,21(+∞⋃- B 、),2(+∞ C 、),21(+∞-D 、)21,(--∞答案:A点评:易误选C ,错因:忽视a 与b 反向的情况。
18.设a =(x 1,y 1),b =(x 2,y 2),则下列a 与b 共线的充要条件的有( )① 存在一个实数λ,使a =λb 或b =λa ; ② |a ²b |=|a | |b |; ③2121y y x x =; ④ (a +b )//(a -b )A 、1个B 、2个C 、3个D 、4个答案:C点评:①②④正确,易错选D 。
19.以原点O 及点A (5,2)为顶点作等腰直角三角形OAB ,使90=∠A ,则AB 的坐标为( )。
A 、(2,-5)B 、(-2,5)或(2,-5)C 、(-2,5)D 、(7,-3)或(3,7) 正解:B设),(y x AB =,则由222225||||yx AB OA +=+⇒= ①而又由AB OA ⊥得025=+y x ② 由①②联立得5,25,2=-=-==y x y x 或。
),(-或52)5,2(-=∴AB 误解:公式记忆不清,或未考虑到联立方程组解。
20.设向量),(),,(2211y x b y x a ==,则2121y y x x =是b a //的( )条件。
A 、充要B 、必要不充分C 、充分不必要D 、既不充分也不必要正解:C 若2121y y x x =则b a y x y x //,01221∴=-,若b a //,有可能2x 或2y 为0,故选C 。
误解:b a //⇒01221=-y x y x ⇒2121y y x x =,此式是否成立,未考虑,选A 。
21.在∆OAB 中,)sin 5,cos 5(),sin 2,cos 2(ββαα==OB OA ,若5-=⋅OB OA =-5,则OAB S ∆=( )A 、3B 、23 C 、35 D 、235正解:D 。
∵5-=⋅OB OA ∴5cos ||||-=⋅⋅V OB OA (LV 为OA 与OB 的夹角)()()5cos sin 5)cos 5()sin 2(cos 22222-=⋅+⋅+V ββαα∴21cos =V ∴23sin =V ∴235sin ||||21=⋅⋅=∆V OB OA S OAB误解:C 。
将面积公式记错,误记为V OB OA S OAB sin ||||⋅⋅=∆22、在ABC ∆中,a AB =,b BC =,有0<⋅b a ,则ABC ∆的形状是 (D )A 、 锐角三角形B 、直角三角形C 、钝角三角形D 、不能确定 错解:C错因:忽视0<⋅b a 中a 与b 的夹角是ABC ∠的补角 正解:D23.设平面向量a )()1,()1,2(R b ∈-=-=λλ,,,若a 与b 的夹角为钝角,则λ的取值范围是 (A )A 、),(),(∞+⋃-2221 B 、(2,+)∞ C 、(—)∞+21 D 、(-,21-∞ 错解:C错因:忽视使用0<⋅b a 时,其中包含了两向量反向的情况 正解:A24.已知A (3,7),B (5,2),向量)21(,a AB =→→按平移后所得向量是 。
A 、(2,-5), B 、(3,-3), C 、(1,-7) D 、以上都不是 答案:A错解:B错因:将向量平移当作点平移。
25.已知ABC BC AB ABC ∆>⋅∆→→则中,0中, 。
A 、锐角三角形B 、直角三角形C 、钝角三角形D 、不能确定 答案:C错解:A 或D错因:对向量夹角定义理解不清 26.正三角形ABC 的边长为1,设,,b BC a AB ==c AC =,那么a c c b b a ⋅+⋅+⋅的值是 ( ) A 、32 B 、21 C 、23-D 、21-正确答案:(B)错误原因:不认真审题,且对向量的数量积及两个向量的夹角的定义模糊不清。
27已知0≠⋅-=⋅-⋅c b c a ,且不垂直和b a ,则()c b a b a ⋅⋅-与( )A 、相等B 、方向相同C 、方向相反D 、方向相同或相反 正确答案:(D)错误原因:受已知条件的影响,不去认真思考b a ⋅可正可负,易选成B 。
28.已知02=+⋅+⋅c x b x a 是关于x 的一元二次方程,其中c b a ,,是非零向量,且向量b a 和不共线,则该方程 ( )A 、至少有一根B 、至多有一根C 、有两个不等的根D 、有无数个互不相同的根 正确答案:(B)错误原因:找不到解题思路。
29.设c b a ,,是任意的非零平面向量且互不共线,以下四个命题:①()0)(=⋅⋅-⋅⋅b a c c b a++③()()垂直不与c b a c a c b ⋅⋅-⋅⋅ ④若c b a b a 与则⋅⊥,不平行 其中正确命题的个数是( ) A 、1个 B 、2个 C 、3个 D 、4个 正确答案:(B)错误原因:本题所述问题不能全部搞清。