等差数列及其前n项和(普通高中)
- 格式:doc
- 大小:75.00 KB
- 文档页数:7
(对应学生用书第103页)考点1等差数列基本量的运算解决等差数列运算问题的思想方法(1)方程思想:等差数列的基本量为首项a1和公差d,通常利用已知条件及通项公式或前n项和公式列方程(组)求解,等差数列中包含a1,d,n,a n,S n五个量,可“知三求二”.(2)整体思想:当所给条件只有一个时,可将已知和所求都用a1,d表示,寻求两者间的联系,整体代换即可求解.(3)利用性质:运用等差数列性质可以化繁为简、优化解题过程.又零七,借问长儿多少岁,各儿岁数要详推.在这个问题中,记这位公公的第n 个儿子的年龄为a n ,则a 1=( )A .23B .32C .35D .38C [由题意可知年龄构成的数列为等差数列,其公差为-3,则9a 1+9×82×(-3)=207,解得a 1=35,故选C.]确定等差数列的关键是求出两个最基本的量,即首项a 1和公差d .考点2 等差数列的判定与证明等差数列的4个判定方法(1)定义法:证明对任意正整数n 都有a n +1-a n 等于同一个常数. (2)等差中项法:证明对任意正整数n 都有2a n +1=a n +a n +2.2.已知数列{a n}的前n项和为S n,a1=1,a n≠0,a n a n+1=λS n-1,其中λ为常数.(1)证明:a n+2-a n=λ;(2)是否存在λ,使得{a n}为等差数列?并说明理由.[解](1)证明:由题设知a n a n+1=λS n-1,a n+1a n+2=λS n+1-1,两式相减得a n+1(a n+2-a n)=λa n+1,由于a n+1≠0,所以a n+2-a n=λ.(2)由题设知a1=1,a1a2=λS1-1,可得a2=λ-1.由(1)知,a3=λ+1.令2a2=a1+a3,解得λ=4.故a n+2-a n=4,由此可得{a2n-1}是首项为1,公差为4的等差数列,a2n-1=4n-3;{a2n}是首项为3,公差为4的等差数列,a2n=4n-1.所以a n=2n-1,a n+1-a n=2,因此存在λ=4,使得数列{a n}为等差数列.考点3等差数列的性质及应用B [数列{a n }为等差数列,则a m -1+a m +1=2a m ,则a m -1+a m +1-a 2m -1=0可化为2a m -a 2m -1=0,解得a m =1.又S 2m -1=(2m -1)a m =39,则m =20.故选B.]2.设等差数列{a n },{b n }的前n 项和分别为S n ,T n ,若对任意的n ∈N *,都有Sn Tn =2n -34n -3,则a2b3+b13+a14b5+b11的值为( ) A .2945 B .1329 C .919 D .1930C [由题意可知b 3+b 13=b 5+b 11=b 1+b 15=2b 8,∴a2b3+b13+a14b5+b11=a2+a142b8=a8b8=S15T15=2×15-34×15-3=2757=919.故选C.] 考点4 等差数列前n 项和的最值问题求等差数列前n 项和S n 最值的2种方法(1)函数法:利用等差数列前n 项和的函数表达式S n =an 2+bn ,通过配方或借助图象求二次函数最值的方法求解.(2)邻项变号法:①当a 1>0,d <0时,满足⎩⎨⎧am≥0,am +1≤0的项数m 使得S n 取得最大值为S m ; ②当a 1<0,d >0时,满足⎩⎨⎧am≤0,am +1≥0的项数m 使得S n 取得最小值为S m .。
等差数列及其前n项和说课稿《等差数列及其前 n 项和说课稿》尊敬的各位评委、老师:大家好!今天我说课的内容是“等差数列及其前 n 项和”。
下面我将从教材分析、学情分析、教学目标、教学重难点、教法与学法、教学过程以及教学反思这几个方面来展开我的说课。
一、教材分析“等差数列及其前 n 项和”是高中数学必修五第二章的重要内容。
等差数列是一种特殊的数列,它在现实生活中有着广泛的应用,如建筑物的楼梯台阶数量、银行存款的利息计算等。
同时,等差数列也是后续学习等比数列的基础,对于学生理解数列的概念和性质具有重要的作用。
本节课的主要内容包括等差数列的定义、通项公式以及前 n 项和公式。
通过对这些内容的学习,学生将掌握等差数列的基本特征和运算方法,提高数学思维能力和解决实际问题的能力。
二、学情分析授课对象是高一年级的学生,他们已经具备了一定的数列基础知识和数学运算能力,但对于抽象的数学概念和公式的理解和应用还存在一定的困难。
在学习过程中,学生可能会出现对等差数列定义的理解不够准确、通项公式和前n 项和公式的推导过程不清晰等问题。
因此,在教学过程中,需要通过具体的实例和直观的图形,引导学生理解和掌握等差数列的相关知识。
三、教学目标1、知识与技能目标(1)理解等差数列的定义,掌握等差数列的通项公式和前 n 项和公式。
(2)能够运用等差数列的通项公式和前 n 项和公式解决简单的数学问题。
2、过程与方法目标(1)通过观察、分析、归纳等方法,培养学生的数学思维能力和逻辑推理能力。
(2)经历等差数列通项公式和前 n 项和公式的推导过程,体会从特殊到一般、类比等数学思想方法。
3、情感态度与价值观目标(1)让学生在自主探索和合作交流中,感受数学的魅力,激发学生学习数学的兴趣。
(2)培养学生严谨的科学态度和勇于创新的精神。
四、教学重难点1、教学重点(1)等差数列的定义、通项公式和前 n 项和公式。
(2)等差数列通项公式和前 n 项和公式的应用。
高中数学等差数列前n项和公式
等差数列是数学中非常重要的一种数列,它的通项公式为an=a1+(n-1)d,其中a1为首项,d为公差,n为项数。
等差数列的前n项和可以用如下公式表示:Sn=n(a1+an)/2。
这个公式可以用来求解等差数列的前n项和,其中n是所求项数,a1是首项,an是第n项。
这个公式的推导过程比较简单,可以通过数学归纳法进行证明。
在使用这个公式时,需要注意等差数列的首项和公差的取值。
如果首项和公差不正确,那么计算出来的结果就是错误的。
另外,在计算过程中,也需要注意精度问题,避免出现四舍五入等误差。
除了前n项和公式,还有一些其他的等差数列公式也非常重要,例如通项公式、公差公式等。
这些公式在数学中应用非常广泛,涉及到许多重要的问题,例如金融、物理、工程等。
在学习等差数列的过程中,我们还需要了解等比数列、级数等数学概念,这些概念都有着广泛的应用,是数学学习的重要基础。
等差数列前n项和公式是数学中非常重要的一个公式,它可以用来求解等差数列的前n项和。
在学习数学时,我们需要掌握这个公式的推导过程和使用方法,同时还需要了解其他与等差数列相关的数学概念。
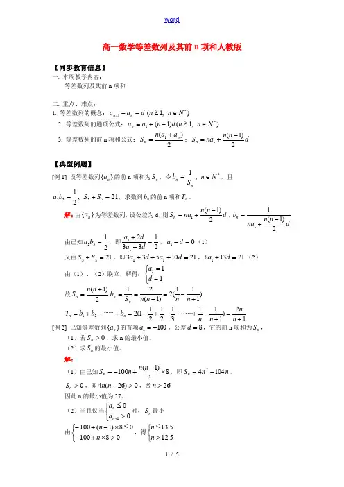
高一数学等差数列及其前n 项和人教版【同步教育信息】一. 本周教学内容:等差数列及其前n 项和二. 重点、难点:1. 等差数列的概念:),1(*1N n n d a a n n ∈≥=-+2. 等差数列的通项公式:),1()1(*1N n n d n a a n ∈≥-+=3. 等差数列的前n 项和公式:2)(1n n a a n S +=;d n n na S n 2)1(1-+= 【典型例题】[例1] 设等差数列}{n a 的前n 项和为n S ,令*,1N n S b nn ∈=,且21,215333=+=S S b a ,求数列n b 的前n 项和n T 。
解:由}{n a 为等差数列,设公差为d ,则d n n na S n 2)1(1-+=,d n n na b n 2)1(11-+= 由已知2133=b a ,即2133211=++d a d a ,01=-d a (1) 又由2153=+S S ,即211053311=+++d a d a ,211381=+d a (2) 由(1)、(2)联立,解得:⎩⎨⎧==111d a 故2)1(+=n n S n )111(2)1(21+-=+==n n n n S b n n n n b b b T +++= (211)2)111......3121211(2+=+-++-+-=n n n n [例2] 已知等差数列}{n a 的首项1001-=a ,公差8=d ,它的前n 项和为n S ,(1)若0>n S ,求n 的最小值。
(2)求n S 的最小值。
解:(1)由已知82)1(100⨯-+-=n n n S n ,即n n S n 10442-=。
0>n S ,即0)26(4>-n n ,故26>n因此n 的最小值为27。
(2)当且仅当⎩⎨⎧>≤+001n n a a 时,n S 最小 由⎩⎨⎧>⨯+-≤⨯-+-0810008)1(100n n ,得⎩⎨⎧>≤5.125.13n n即13=n ,所以13S 最小。
1.等差数列的定义 一般地,如果一个数列从第二项起,每一项减去它的前一项所得的差都等于同一个常数,那么这个数列就叫做等差数列,这个常数叫做等差数列的公差,通常用字母__d __表示.2.等差数列的通项公式如果等差数列{a n }的首项为a 1,公差为d ,那么它的通项公式是a n =a 1+(n -1)d .3.等差中项如果A =a +b 2,那么A 叫做a 与b 的等差中项. 4.等差数列的常用性质(1)通项公式的推广:a n =a m +(n -m )d (n ,m ∈N *).(2)若{a n }为等差数列,且k +l =m +n (k ,l ,m ,n ∈N *),则a k +a l =a m +a n .(3)若{a n }是等差数列,公差为d ,则{a 2n }也是等差数列,公差为2d .(4)若{a n },{b n }是等差数列,则{pa n +qb n }也是等差数列.(5)若{a n }是等差数列,公差为d ,则a k ,a k +m ,a k +2m ,…(k ,m ∈N *)是公差为md 的等差数列.5.等差数列的前n 项和公式设等差数列{a n }的公差为d ,其前n 项和S n =n (a 1+a n )2或S n =na 1+n (n -1)2d . 6.等差数列的前n 项和公式与函数的关系S n =d 2n 2+⎝⎛⎭⎫a 1-d 2n . 数列{a n }是等差数列⇔S n =An 2+Bn (A 、B 为常数).7.等差数列的前n 项和的最值在等差数列{a n }中,a 1>0,d <0,则S n 存在最__大__值;若a 1<0,d >0,则S n 存在最__小__值.【思考辨析】判断下面结论是否正确(请在括号中打“√”或“×”)(1)若一个数列从第二项起每一项与它的前一项的差都是常数,则这个数列是等差数列.( × )(2)数列{a n }为等差数列的充要条件是对任意n ∈N *,都有2a n +1=a n +a n +2.( √ )(3)等差数列{a n }的单调性是由公差d 决定的.( √ )(4)数列{a n }为等差数列的充要条件是其通项公式为n 的一次函数.( × )(5)数列{a n }满足a n +1-a n =n ,则数列{a n }是等差数列.( × )(6)已知数列{a n }的通项公式是a n =pn +q (其中p ,q 为常数),则数列{a n }一定是等差数列.( √ )1.设等差数列{a n }的前n 项和为S n .若a 1=-11,a 4+a 6=-6,则当S n 取最小值时,n =________________________________________________________________________. 答案 6解析 设等差数列{a n }的公差为d ,∵a 1+a 9=a 4+a 6=-6,且a 1=-11,∴a 9=5,从而d =2.∴S n =-11n +n (n -1)=n 2-12n ,∴当n =6时,S n 取最小值.2.一个首项为23,公差为整数的等差数列,如果前6项均为正数,从第7项起为负数,则它的公差为________.答案 -4解析 a n =23+(n -1)d ,由题意知⎩⎪⎨⎪⎧ a 6>0,a 7<0, 即⎩⎪⎨⎪⎧23+5d >0,23+6d <0,解得-235<d <-236, 又d 为整数,所以d =-4.3.在等差数列{a n }中,已知a 4+a 8=16,则该数列前11项和S 11=________.答案 88解析 S 11=11(a 1+a 11)2=11(a 4+a 8)2=88.4.设数列{a n }是等差数列,若a 3+a 4+a 5=12,则a 1+a 2+…+a 7=________.答案 28解析 ∵a 3+a 4+a 5=3a 4=12,∴a 4=4,∴a 1+a 2+…+a 7=7a 4=28.5.(2014·北京)若等差数列{a n }满足a 7+a 8+a 9>0,a 7+a 10<0,则当n =________时,{a n }的前n 项和最大.答案 8解析 因为数列{a n }是等差数列,且a 7+a 8+a 9=3a 8>0,所以a 8>0.又a 7+a 10=a 8+a 9<0,所以a 9<0.故当n =8时,其前n 项和最大.题型一 等差数列基本量的运算例1 (1)在数列{a n }中,若a 1=-2,且对任意的n ∈N *有2a n +1=1+2a n ,则数列{a n }前10项的和为________.(2)已知在等差数列{a n }中,a 2=7,a 4=15,则前10项和S 10=________.答案 (1)52 (2)210 解析 (1)由2a n +1=1+2a n 得a n +1-a n =12, 所以数列{a n }是首项为-2,公差为12的等差数列, 所以S 10=10×(-2)+10×(10-1)2×12=52. (2)因为a 2=7,a 4=15,所以d =4,a 1=3,故S 10=10×3+12×10×9×4=210. 思维升华 (1)等差数列运算问题的一般求法是设出首项a 1和公差d ,然后由通项公式或前n 项和公式转化为方程(组)求解.(2)等差数列的通项公式及前n 项和公式,共涉及五个量a 1,a n ,d ,n ,S n ,知其中三个就能求另外两个,体现了方程的思想.(1)(2015·课标全国Ⅱ改编)设S n 是等差数列{a n }的前n 项和,若a 1+a 3+a 5=3,则S 5=________________________________________________________________________.(2)已知等差数列{a n }的前n 项和为S n ,且满足S 33-S 22=1,则数列{a n }的公差是________. 答案 (1)5 (2)2解析 (1)∵{a n }为等差数列,∴a 1+a 5=2a 3,∴a 1+a 3+a 5=3a 3=3,得a 3=1,∴S 5=5(a 1+a 5)2=5a 3=5. (2)∵S n =n (a 1+a n )2,∴S n n =a 1+a n 2,又S 33-S 22=1, 得a 1+a 32-a 1+a 22=1,即a 3-a 2=2, ∴数列{a n }的公差为2.题型二 等差数列的判定与证明例2 已知数列{a n }中,a 1=35,a n =2-1a n -1(n ≥2,n ∈N *),数列{b n }满足b n =1a n -1(n ∈N *). (1)求证:数列{b n }是等差数列;(2)求数列{a n }中的最大项和最小项,并说明理由.(1)证明 因为a n =2-1a n -1(n ≥2,n ∈N *), b n =1a n -1(n ∈N *), 所以b n +1-b n =1a n +1-1-1a n -1=1(2-1a n)-1-1a n -1=a n a n -1-1a n -1=1. 又b 1=1a 1-1=-52. 所以数列{b n }是以-52为首项,1为公差的等差数列. (2)解 由(1)知b n =n -72, 则a n =1+1b n =1+22n -7.设f (x )=1+22x -7, 则f (x )在区间(-∞,72)和(72,+∞)上为减函数. 所以当n =3时,a n 取得最小值-1,当n =4时,a n 取得最大值3.引申探究例2中,若条件变为a 1=35,na n +1=(n +1)a n +n (n +1),探求数列{a n }的通项公式. 解 由已知可得a n +1n +1=a n n+1, 即a n +1n +1-a n n =1,又a 1=35, ∴⎩⎨⎧⎭⎬⎫a n n 是以a 11=35为首项,1为公差的等差数列, ∴a n n =35+(n -1)·1=n -25, ∴a n =n 2-25n . 思维升华 等差数列的四个判定方法(1)定义法:证明对任意正整数n 都有a n +1-a n 等于同一个常数.(2)等差中项法:证明对任意正整数n 都有2a n +1=a n +a n +2后,可递推得出a n +2-a n +1=a n +1-a n =a n -a n -1=a n -1-a n -2=…=a 2-a 1,根据定义得出数列{a n }为等差数列.(3)通项公式法:得出a n =pn +q 后,得a n +1-a n =p 对任意正整数n 恒成立,根据定义判定数列{a n }为等差数列.(4)前n 项和公式法:得出S n =An 2+Bn 后,根据S n ,a n 的关系,得出a n ,再使用定义法证明数列{a n }为等差数列.(1)若{a n }是公差为1的等差数列,则{a 2n -1+2a 2n }是________.①公差为3的等差数列 ②公差为4的等差数列③公差为6的等差数列 ④公差为9的等差数列(2)在数列{a n }中,若a 1=1,a 2=12,2a n +1=1a n +1a n +2(n ∈N *),则该数列的通项为______________. 答案 (1)③ (2)a n =1n解析 (1)∵a 2n -1+2a 2n -(a 2n -3+2a 2n -2)=(a 2n -1-a 2n -3)+2(a 2n -a 2n -2)=2+2×2=6,∴{a 2n -1+2a 2n }是公差为6的等差数列.(2)由已知式2a n +1=1a n +1a n +2可得 1a n +1-1a n =1a n +2-1a n +1,知{1a n }是首项为1a 1=1,公差为1a 2-1a 1=2-1=1的等差数列,所以1a n =n ,即a n =1n . 题型三 等差数列的性质及应用命题点1 等差数列的性质例3 (1)(2015·广东)在等差数列{a n }中,若a 3+a 4+a 5+a 6+a 7=25,则a 2+a 8=________.(2)已知等差数列{a n }的前n 项和为S n ,且S 10=10,S 20=30,则S 30=________.答案 (1)10 (2)60解析 (1)因为{a n }是等差数列,所以a 3+a 7=a 4+a 6=a 2+a 8=2a 5,a 3+a 4+a 5+a 6+a 7=5a 5=25,即a 5=5,a 2+a 8=2a 5=10.(2)∵S 10,S 20-S 10,S 30-S 20成等差数列,且S 10=10,S 20=30,S 20-S 10=20,∴S 30-30=10+2×10=30,∴S 30=60.命题点2 等差数列前n 项和的最值例4 在等差数列{a n }中,已知a 1=20,前n 项和为S n ,且S 10=S 15,求当n 取何值时,S n 取得最大值,并求出它的最大值.解 ∵a 1=20,S 10=S 15,∴10×20+10×92d =15×20+15×142d , ∴d =-53. 方法一 由a n =20+(n -1)×⎝⎛⎭⎫-53 =-53n +653. 得a 13=0.即当n ≤12时,a n >0,当n ≥14时,a n <0.∴当n =12或13时,S n 取得最大值,且最大值为S 12=S 13=12×20+12×112×⎝⎛⎭⎫-53 =130.方法二 S n =20n +n (n -1)2·⎝⎛⎭⎫-53 =-56n 2+1256n =-56⎝⎛⎭⎫n -2522+3 12524. ∵n ∈N *,∴当n =12或13时,S n 有最大值,且最大值为S 12=S 13=130.方法三 由S 10=S 15得a 11+a 12+a 13+a 14+a 15=0.∴5a 13=0,即a 13=0.∴当n =12或13时,S n 有最大值,且最大值为S 12=S 13=130. 引申探究例4中,若条件“a 1=20”改为a 1=-20,其他条件不变,求当n 取何值时,S n 取得最小值,并求出最小值.解 由S 10=S 15,得a 11+a 12+a 13+a 14+a 15=0,∴a 13=0.又a 1=-20,∴a 12<0,a 14>0,∴当n =12或13时,S n 取得最小值,最小值S 12=S 13=13(a 1+a 13)2=-130. 思维升华 (1)等差数列的性质:①项的性质:在等差数列{a n }中,a m -a n =(m -n )d ⇔a m -a n m -n=d (m ≠n ),其几何意义是点(n ,a n ),(m ,a m )所在直线的斜率等于等差数列的公差.②和的性质:在等差数列{a n }中,S n 为其前n 项和,则a .S 2n =n (a 1+a 2n )=…=n (a n +a n +1);b .S 2n -1=(2n -1)a n .(2)求等差数列前n 项和S n 最值的两种方法:①函数法:利用等差数列前n 项和的函数表达式S n =an 2+bn ,通过配方或借助图象求二次函数最值的方法求解.②邻项变号法:a .当a 1>0,d <0时,满足⎩⎪⎨⎪⎧ a m ≥0,a m +1≤0的项数m 使得S n 取得最大值S m ; b .当a 1<0,d >0时,满足⎩⎪⎨⎪⎧a m ≤0,a m +1≥0的项数m 使得S n 取得最小值S m . (1)等差数列{a n }的前n 项和为S n ,已知a 5+a 7=4,a 6+a 8=-2,则当S n 取最大值时,n 的值是________.(2)设数列{a n }是公差d <0的等差数列,S n 为前n 项和,若S 6=5a 1+10d ,则S n 取最大值时,n 的值为________.(3)已知等差数列{a n }的首项a 1=20,公差d =-2,则前n 项和S n 的最大值为________. 答案 (1)6 (2)5或6 (3)110解析 (1)依题意得2a 6=4,2a 7=-2,a 6=2>0,a 7=-1<0;又数列{a n }是等差数列,因此在该数列中,前6项均为正数,自第7项起以后各项均为负数,于是当S n 取最大值时,n =6.(2)由题意得S 6=6a 1+15d =5a 1+10d ,所以a 6=0,故当n =5或6时,S n 最大.(3)因为等差数列{a n }的首项a 1=20,公差d =-2,代入求和公式得,S n =na 1+n (n -1)2d =20n -n (n -1)2×2 =-n 2+21n =-⎝⎛⎭⎫n -2122+⎝⎛⎭⎫2122, 又因为n ∈N *,所以n =10或n =11时,S n 取得最大值,最大值为110.6.等差数列的前n 项和及其最值典例 (1)在等差数列{a n }中,2(a 1+a 3+a 5)+3(a 7+a 9)=54,则此数列前10项的和S 10=________.(2)在等差数列{a n }中,S 10=100,S 100=10,则S 110=________.(3)等差数列{a n }中,已知a 5>0,a 4+a 7<0,则{a n }的前n 项和S n 的最大值为________. 思维点拨 (1)求等差数列前n 项和,可以通过求解基本量a 1,d ,代入前n 项和公式计算,也可以利用等差数列的性质:a 1+a n =a 2+a n -1=…;(2)求等差数列前n 项和的最值,可以将S n 化为关于n 的二次函数,求二次函数的最值,也可以观察等差数列的符号变化趋势,找最后的非负项或非正项.解析 (1)由题意得a 3+a 8=9,所以S 10=10(a 1+a 10)2=10(a 3+a 8)2=10×92=45. (2)方法一 设数列{a n }的公差为d ,首项为a 1,则⎩⎨⎧ 10a 1+10×92d =100,100a 1+100×992d =10,解得⎩⎨⎧ a 1=1 099100,d =-1150.所以S 110=110a 1+110×1092d =-110. 方法二 因为S 100-S 10=(a 11+a 100)×902=-90, 所以a 11+a 100=-2,所以S 110=(a 1+a 110)×1102=(a 11+a 100)×1102=-110. (3)因为⎩⎪⎨⎪⎧ a 4+a 7=a 5+a 6<0,a 5>0,所以⎩⎪⎨⎪⎧a 5>0,a 6<0,所以S n 的最大值为S 5.答案 (1)45 (2)-110 (3)S 5温馨提醒 (1)利用函数思想求等差数列前n 项和S n 的最值时,要注意到n ∈N *;(2)利用等差数列的性质求S n ,突出了整体思想,减少了运算量.[方法与技巧]1.在解有关等差数列的基本量问题时,可通过列关于a 1,d 的方程组进行求解.2.证明等差数列要用定义;另外还可以用等差中项法,通项公式法,前n 项和公式法判定一个数列是否为等差数列.3.等差数列性质灵活使用,可以大大减少运算量.4.在遇到三个数成等差数列问题时,可设三个数为(1)a ,a +d ,a +2d ;(2)a -d ,a ,a +d ;(3)a -d ,a +d ,a +3d 等,可视具体情况而定.[失误与防范]1.当公差d ≠0时,等差数列的通项公式是n 的一次函数,当公差d =0时,a n 为常数.2.公差不为0的等差数列的前n 项和公式是n 的二次函数,且常数项为0.若某数列的前n 项和公式是常数项不为0的二次函数,则该数列不是等差数列,它从第二项起成等差数列.A 组 专项基础训练(时间:40分钟)1.(2015·课标全国Ⅰ改编)已知{a n }是公差为1的等差数列,S n 为{a n }的前n 项和,若S 8=4S 4,则a 10=________________________________________________________________________. 答案 192解析 ∵公差为1,∴S 8=8a 1+8×(8-1)2×1=8a 1+28,S 4=4a 1+6. ∵S 8=4S 4,∴8a 1+28=4(4a 1+6),解得a 1=12, ∴a 10=a 1+9d =12+9=192. 2.(2015·北京改编)设{a n }是等差数列,下列结论中正确的是________.①若a 1+a 2>0,则a 2+a 3>0;②若a 1+a 3<0,则a 1+a 2<0;③若0<a 1<a 2,则a 2>a 1a 3;④若a 1<0,则(a 2-a 1)(a 2-a 3)>0.答案 ③解析 设等差数列{a n }的公差为d ,若a 1+a 2>0,a 2+a 3=a 1+d +a 2+d =(a 1+a 2)+2d ,由于d 正负不确定,因而a 2+a 3符号不确定,故①错;若a 1+a 3<0,a 1+a 2=a 1+a 3-d =(a 1+a 3)-d ,由于d 正负不确定,因而a 1+a 2符号不确定,故②错;若0<a 1<a 2,可知a 1>0,d >0,a 2>0,a 3>0,所以a 22-a 1a 3=(a 1+d )2-a 1(a 1+2d )=d 2>0,所以a 2>a 1a 3,故③正确;若a 1<0,则(a 2-a 1)·(a 2-a 3)=d ·(-d )=-d 2≤0,故④错.3.设等差数列{a n }的前n 项和为S n ,若S m -1=-2,S m =0,S m +1=3,则m =________. 答案 5解析 ∵数列{a n }为等差数列,且前n 项和为S n ,∴数列⎩⎨⎧⎭⎬⎫S n n 也为等差数列. ∴S m -1m -1+S m +1m +1=2S m m ,即-2m -1+3m +1=0, 解得m =5,经检验为原方程的解.4.数列{a n }的首项为3,{b n }为等差数列,且b n =a n +1-a n (n ∈N *),若b 3=-2,b 10=12,则a 8=________.答案 3解析 设{b n }的公差为d ,∵b 10-b 3=7d =12-(-2)=14,∴d =2.∵b 3=-2,∴b 1=b 3-2d =-2-4=-6.∴b 1+b 2+…+b 7=7b 1+7×62d =7×(-6)+21×2=0.又b 1+b 2+…+b 7=(a 2-a 1)+(a 3-a 2)+…+(a 8-a 7)=a 8-a 1=a 8-3=0, ∴a 8=3.5.已知数列{a n }满足a n +1=a n -57,且a 1=5,设{a n }的前n 项和为S n ,则使得S n 取得最大值的序号n 的值为________.答案 7或8解析 由题意可知数列{a n }是首项为5,公差为-57的等差数列,所以a n =5-57(n -1)=40-5n 7,该数列前7项是正数项,第8项是0,从第9项开始是负数项,所以S n 取得最大值时,n =7或8.6.已知数列{a n }中,a 1=1且1a n +1=1a n +13(n ∈N *),则a 10=________. 答案 14解析 由已知得1a 10=1a 1+(10-1)×13=1+3=4, 故a 10=14. 7.已知递增的等差数列{a n }满足a 1=1,a 3=a 22-4,则a n =________. 答案 2n -1解析 设等差数列的公差为d ,∵a 3=a 22-4,∴1+2d =(1+d )2-4,解得d 2=4,即d =±2.由于该数列为递增数列,故d =2.∴a n =1+(n -1)×2=2n -1.8.设数列{a n }的通项公式为a n =2n -10(n ∈N *),则|a 1|+|a 2|+…+|a 15|=________. 答案 130解析 由a n =2n -10(n ∈N *)知{a n }是以-8为首项,2为公差的等差数列,又由a n =2n -10≥0得n ≥5,∴n ≤5时,a n ≤0,当n >5时,a n >0,∴|a 1|+|a 2|+…+|a 15|=-(a 1+a 2+a 3+a 4)+(a 5+a 6+…+a 15)=20+110=130.9.在等差数列{a n }中,a 1=1,a 3=-3.(1)求数列{a n }的通项公式;(2)若数列{a n }的前k 项和S k =-35,求k 的值.解 (1)设等差数列{a n }的公差为d ,则a n =a 1+(n -1)d .由a 1=1,a 3=-3,可得1+2d =-3,解得d =-2.从而a n =1+(n -1)×(-2)=3-2n .(2)由(1)可知a n =3-2n ,所以S n =n [1+(3-2n )]2=2n -n 2.由S k =-35,可得2k -k 2=-35,即k 2-2k -35=0,解得k =7或k =-5.又k ∈N *,故k =7.10.(2015·济南模拟)等差数列{a n }中,设S n 为其前n 项和,且a 1>0,S 3=S 11,则当n 为多少时,S n 最大?解 方法一 由S 3=S 11得3a 1+3×22d =11a 1+11×102d ,则d =-213a 1. 从而S n =d 2n 2+⎝⎛⎭⎫a 1-d 2n =-a 113(n -7)2+4913a 1, 又a 1>0,所以-a 113<0.故当n =7时,S n 最大. 方法二 由于S n =an 2+bn 是关于n 的二次函数,由S 3=S 11,可知S n =an 2+bn 的图象关于n =3+112=7对称.由方法一可知a =-a 113<0,故当n =7时,S n 最大. 方法三 由方法一可知,d =-213a 1.要使S n 最大, 则有⎩⎪⎨⎪⎧ a n ≥0,a n +1≤0,即⎩⎨⎧ a 1+(n -1)⎝⎛⎭⎫-213a 1≥0,a 1+n ⎝⎛⎭⎫-213a 1≤0,解得6.5≤n ≤7.5,故当n =7时,S n 最大.方法四 由S 3=S 11,可得2a 1+13d =0,即(a 1+6d )+(a 1+7d )=0,故a 7+a 8=0,又由a 1>0,S 3=S 11可知d <0,所以a 7>0,a 8<0,所以当n =7时,S n 最大.B 组 专项能力提升(时间:20分钟)11.已知正项等差数列{a n }的前n 项和为S n ,若S 12=24,则a 6·a 7的最大值为________. 答案 4解析 在等差数列{a n }中,∵S 12=6(a 6+a 7)=24,∴a 6+a 7=4,令x >0,y >0,由基本不等式可得x ·y ≤⎝ ⎛⎭⎪⎫x +y 22,当且仅当x =y 时“=”成立.又a 6>0,a 7>0,∴a 6·a 7≤⎝ ⎛⎭⎪⎫a 6+a 722=4,当且仅当a 6=a 7=2时,“=”成立.即a 6·a 7的最大值为4.12.设等差数列{a n }的前n 项和为S n ,若a 1=-3,a k +1=32,S k=-12,则正整数k =________. 答案 13解析 S k +1=S k +a k +1=-12+32=-212, 又S k +1=(k +1)(a 1+a k +1)2=(k +1)⎝⎛⎭⎫-3+322=-212,解得k =13. 13.设等差数列{a n },{b n }的前n 项和分别为S n ,T n ,若对任意自然数n 都有S n T n =2n -34n -3,则a 9b 5+b 7+a 3b 8+b 4的值为________. 答案1941 解析 ∵{a n },{b n }为等差数列,∴a 9b 5+b 7+a 3b 8+b 4=a 92b 6+a 32b 6=a 9+a 32b 6=a 6b 6. ∵S 11T 11=a 1+a 11b 1+b 11=2a 62b 6=2×11-34×11-3=1941, ∴a 6b 6=1941. 14.已知数列{a n }是首项为a ,公差为1的等差数列,b n =1+a n a n,若对任意的n ∈N *,都有b n ≥b 8成立,则实数a 的取值范围为________.答案 (-8,-7)解析 依题意得b n =1+1a n,对任意的n ∈N *,都有b n ≥b 8,即数列{b n }的最小项是第8项,于是有1a n ≥1a 8.又数列{a n }是公差为1的等差数列,因此有⎩⎪⎨⎪⎧ a 8<0,a 9>0,即⎩⎪⎨⎪⎧a +7<0,a +8>0,由此解得-8<a <-7,即实数a 的取值范围是(-8,-7).15.已知公差大于零的等差数列{a n }的前n 项和为S n ,且满足a 3·a 4=117,a 2+a 5=22.(1)求通项a n ;(2)求S n 的最小值;(3)若数列{b n }是等差数列,且b n =S n n +c,求非零常数c . 解 (1)因为数列{a n }为等差数列,所以a 3+a 4=a 2+a 5=22.又a 3·a 4=117,所以a 3,a 4是方程x 2-22x +117=0的两实根, 又公差d >0,所以a 3<a 4,所以a 3=9,a 4=13,所以⎩⎪⎨⎪⎧ a 1+2d =9,a 1+3d =13,所以⎩⎪⎨⎪⎧ a 1=1,d =4.所以通项a n =4n -3.(2)由(1)知a 1=1,d =4,所以S n =na 1+n (n -1)2×d =2n 2-n =2⎝⎛⎭⎫n -142-18. 所以当n =1时,S n 最小,最小值为S 1=a 1=1.(3)由(2)知S n =2n 2-n ,所以b n =S n n +c =2n 2-n n +c, 所以b 1=11+c ,b 2=62+c ,b 3=153+c. 因为数列{b n }是等差数列,所以2b 2=b 1+b 3,即62+c ×2=11+c +153+c ,所以2c2+c=0,所以c=-1或c=0(舍去),2时,{b n}是等差数列,经验证c=-12故c=-12.。
第2课时 等差数列前n 项和的性质及应用学习目标 1.进一步熟练掌握等差数列的通项公式和前n 项和公式,了解等差数列前n 项和的一些性质.2.掌握等差数列前n 项和的最值问题.知识点一 等差数列前n 项和的性质1.若数列{a n }是公差为d 的等差数列,则数列{S n n }也是等差数列,且公差为d2.2.设等差数列{a n }的公差为d ,S n 为其前n 项和,则S m ,S 2m -S m ,S 3m -S 2m ,…仍构成等差数列,且公差为m 2d .3.若等差数列{a n }的项数为2n ,则S 2n =n (a n +a n +1),S 偶-S 奇=nd ,S 偶S 奇=a n +1a n.4.若等差数列{a n }的项数为2n +1,则S 2n +1=(2n +1)·a n +1,S 偶-S 奇=-a n +1,S 偶S 奇=n n +1.思考 在性质3中,a n 和a n +1分别是哪两项?在性质4中,a n +1是哪一项?答案 中间两项,中间项.知识点二 等差数列{a n }的前n 项和公式的函数特征1.公式S n =na 1+n (n -1)d2可化成关于n 的表达式:S n =d 2n 2+(a 1-d 2)n .当d ≠0时,S n 关于n的表达式是一个常数项为零的二次函数式,即点(n ,S n )在其相应的二次函数的图象上,这就是说等差数列的前n 项和公式是关于n 的二次函数,它的图象是抛物线y =d 2x 2+(a 1-d 2)x 上横坐标为正整数的一系列孤立的点.2.等差数列前n 项和的最值(1)在等差数列{a n }中,当a 1>0,d <0时,S n 有最大值,使S n 取得最值的n 可由不等式组Error!确定;当a 1<0,d >0时,S n 有最小值,使S n 取到最值的n 可由不等式组Error!确定.(2)S n =d 2n 2+(a 1-d 2)n ,若d ≠0,则从二次函数的角度看:当d >0时,S n 有最小值;当d <0时,S n 有最大值.当n 取最接近对称轴的正整数时,S n 取到最值.1.在等差数列{a n }中,若a 1+a 2=2,a 3+a 4=4,则a 7+a 8等于( )A .7 B .8 C .9 D .10答案 B解析 ∵a 1+a 2=2,a 3+a 4=4,由等差数列的性质得a 5+a 6=6,a 7+a 8=8.2.已知数列{a n }为等差数列,a 2=0,a 4=-2,则其前n 项和S n 的最大值为( )A.98 B.94C .1 D .0答案 C解析 由a 4=a 2+(4-2)d ,得-2=0+2d ,故d =-1,a 1=1,故S n =n +n (n -1)2·(-1)=-n 22+3n2=-12(n -32)2+98.所以当n =1或2时,S n 的最大值为1.3.(多选)已知数列{a n }的通项公式是a n =2n -48,则S n 取得最小值时,n 为( )A .22 B .23 C .24 D .25答案 BC解析 由a n ≤0即2n -48≤0得n ≤24.∴所有负项的和最小,即n =23或24.4.已知S n 是等差数列{a n }的前n 项和,若a 1=-2 018,S 2 0192 019-S 2 0132 013=6,则S 2 020=________.答案 2 020解析 由等差数列的性质可得{S n n}也为等差数列,设其公差为d ,则S 2 0192 019-S 2 0132 013=6d =6,∴d =1,∴S nn =S 11+(n -1)d =n -2 019.故S 2 0202 020=2 020-2 019=1,∴S 2 020=2 020.一、等差数列前n 项和的性质例1 (1)在等差数列{a n }中,S 10=120,且在这10项中,S 奇S 偶=1113,则公差d =________.答案 2解析 由Error!得Error!所以S 偶-S 奇=5d =10,所以d =2.(2)等差数列{a n }的前m 项和为30,前2m 项和为100,求数列{a n }的前3m 项的和S 3m .解 方法一 在等差数列中,∵S m ,S 2m -S m ,S 3m -S 2m 成等差数列,∴30,70,S 3m -100成等差数列.∴2×70=30+(S 3m -100),∴S 3m =210.方法二 在等差数列中,S m m ,S 2m 2m ,S 3m3m 成等差数列,∴2S 2m2m =S mm +S 3m3m.即S 3m =3(S 2m -S m )=3×(100-30)=210.反思感悟 利用等差数列前n 项和的性质简化计算(1)在解决等差数列问题时,先利用已知求出a 1,d ,再求所求,是基本解法,有时运算量大些;(2) 等差数列前n 项和S n 的有关性质在解题过程中,如果运用得当可以达到化繁为简、化难为易、事半功倍的效果.(3)设而不求,整体代换也是很好的解题方法.跟踪训练1 (1)已知数列{a n }是项数为偶数的等差数列,它的奇数项的和是50,偶数项的和为34,若它的末项比首项小28,则该数列的公差是________.答案 -4解析 设等差数列{a n }的项数为2m ,∵末项与首项的差为-28,∴a 2m -a 1=(2m -1)d =-28,①∵S 奇=50,S 偶=34,∴S 偶-S 奇=34-50=-16=md ,②由①②得d =-4.(2)已知一个等差数列的前10项和为100,前100项和为10,求前110项之和.解 S 10,S 20-S 10,S 30-S 20,…,S 100-S 90,S 110-S 100成等差数列.设其公差为d ,前10项和为10S 10+10×92d =S 100=10,解得d =-22,∴S 110-S 100=S 10+(11-1)d =100+10×(-22)=-120,∴S 110=-120+S 100=-110.二、等差数列前n 项和的最值问题例2 在等差数列{a n }中,a 1=25,S 8=S 18,求前n 项和S n 的最大值.解 方法一 因为S 8=S 18,a 1=25,所以8×25+8×(8-1)2d =18×25+18×(18-1)2d ,解得d =-2.所以S n =25n +n (n -1)2×(-2)=-n 2+26n =-(n -13)2+169.所以当n =13时,S n 有最大值为169.方法二 同方法一,求出公差d =-2.所以a n =25+(n -1)×(-2)=-2n +27.因为a 1=25>0,由Error!得Error!又因为n ∈N *,所以当n =13时,S n 有最大值为169.方法三 因为S 8=S 18,所以a 9+a 10+…+a 18=0.由等差数列的性质得a 13+a 14=0.因为a 1>0,所以d <0.所以a 13>0,a 14<0.所以当n =13时,S n 有最大值.由a 13+a 14=0,得a 1+12d +a 1+13d =0,解得d =-2,所以S 13=13×25+13×122×(-2)=169,所以S n 的最大值为169.方法四 设S n =An 2+Bn .因为S 8=S 18,a 1=25,所以二次函数图象的对称轴为x =8+182=13,且开口方向向下,所以当n=13时,S n取得最大值.由题意得Error!解得Error!所以S n=-n2+26n,所以S13=169,即S n的最大值为169.反思感悟 (1)等差数列前n项和S n最大(小)值的情形①若a1>0,d<0,则S n存在最大值,即所有非负项之和.②若a1<0,d>0,则S n存在最小值,即所有非正项之和.(2)求等差数列前n项和S n最值的方法①寻找正、负项的分界点,可利用等差数列性质或利用Error!或Error!来寻找.②运用二次函数求最值.跟踪训练2 在等差数列{a n}中,a10=18,前5项的和S5=-15.(1)求数列{a n}的通项公式;(2)求数列{a n}的前n项和的最小值,并指出何时取最小值.解 (1)设等差数列的公差为d,因为在等差数列{a n}中,a10=18,S5=-15,所以Error!解得a1=-9,d=3,所以a n=3n-12,n∈N*.(2)因为a1=-9,d=3,a n=3n-12,所以S n=n(a1+a n)2=12(3n2-21n)=32(n-7 2)2-1478,所以当n=3或4时,前n项的和S n取得最小值S3=S4=-18.三、求数列{|a n|}的前n项和例3 数列{a n}的前n项和S n=100n-n2(n∈N*).(1)判断{a n}是不是等差数列,若是,求其首项、公差;(2)设b n=|a n|,求数列{b n}的前n项和.解 (1)当n≥2时,a n=S n-S n-1=(100n-n2)-[100(n-1)-(n-1)2]=101-2n.∵a1=S1=100×1-12=99,适合上式,∴a n =101-2n (n ∈N *).又a n +1-a n =-2为常数,∴数列{a n }是首项为99,公差为-2的等差数列.(2)令a n =101-2n ≥0,得n ≤50.5,∵n ∈N *,∴n ≤50(n ∈N *).①当1≤n ≤50时,a n >0,此时b n =|a n |=a n ,∴数列{b n }的前n 项和S n ′=100n -n 2.②当n ≥51时,a n <0,此时b n =|a n |=-a n ,由b 51+b 52+…+b n =-(a 51+a 52+…+a n )=-(S n -S 50)=S 50-S n ,得数列{b n }的前n 项和S n ′=S 50+(S 50-S n )=2S 50-S n =2×2 500-(100n -n 2)=5 000-100n +n 2.由①②得数列{b n }的前n 项和为S n ′=Error!n ∈N *.反思感悟 已知等差数列{a n },求绝对值数列{|a n |}的有关问题是一种常见的题型,解决此类问题的核心便是去掉绝对值,此时应从其通项公式入手,分析哪些项是正的,哪些项是负的,即找出正、负项的“分界点”.跟踪训练3 在等差数列{a n }中,a 10=23,a 25=-22.(1)数列{a n }前多少项和最大?(2)求{|a n |}的前n 项和S n .解 (1)由Error!得Error!∴a n =a 1+(n -1)d =-3n +53.令a n >0,得n <533,∴当n ≤17,n ∈N *时,a n >0;当n ≥18,n ∈N *时,a n <0,∴数列{a n }的前17项和最大.(2)当n ≤17,n ∈N *时,|a 1|+|a 2|+…+|a n |=a 1+a 2+…+a n =na 1+n (n -1)2d =-32n 2+1032n .当n ≥18,n ∈N *时,|a 1|+|a 2|+…+|a n |=a 1+a 2+…+a 17-a 18-a 19-…-a n =2(a 1+a 2+…+a 17)-(a 1+a 2+…+a n )=2(-32×172+1032×17)-(-32n 2+1032n)=32n 2-1032n +884.∴S n =Error!等差数列前n 项和公式的实际应用典例 某单位用分期付款的方式为职工购买40套住房,共需1 150万元,购买当天先付150万元,按约定以后每月的这一天都交付50万元,并加付所有欠款利息,月利率为1%,若交付150万元后的一个月开始算分期付款的第一个月,问分期付款的第10个月应付多少钱?全部付清后,买这40套住房实际花了多少钱?解 因购房时付150万元,则欠款1 000万元,依题意分20次付款,则每次付款的数额依次构成数列{a n },则a 1=50+1 000×1%=60,a 2=50+(1 000-50)×1%=59.5,a 3=50+(1 000-50×2)×1%=59,a 4=50+(1 000-50×3)×1%=58.5,所以a n =50+[1 000-50(n -1)]×1%=60-12(n -1)(1≤n ≤20,n ∈N *).所以{a n }是以60为首项,-12为公差的等差数列.所以a 10=60-9×12=55.5,a 20=60-19×12=50.5.所以S 20=12×(a 1+a 20)×20=10×(60+50.5)=1 105.所以实际共付1 105+150=1 255(万元).[素养提升] (1)本题属于与等差数列前n 项和有关的应用题,其关键在于构造合适的等差数列.(2)遇到与正整数有关的应用题时,可以考虑与数列知识联系,抽象出数列的模型,并用有关知识解决相关的问题,是数学建模的核心素养的体观.1.已知数列{a n}满足a n=26-2n,则使其前n项和S n取最大值的n的值为( ) A.11或12 B.12C.13 D.12或13答案 D解析 ∵a n=26-2n,∴a n-a n-1=-2(n≥2,n∈N*),∴数列{a n}为等差数列.又a1=24,d=-2,∴S n=24n+n(n-1)2×(-2)=-n2+25n=-(n-252)2+6254.∵n∈N*,∴当n=12或13时,S n最大.2.一个等差数列共有10项,其偶数项之和是15,奇数项之和是12.5,则它的首项与公差分别是( )A.0.5,0.5 B.0.5,1C.0.5,2 D.1,0.5答案 A解析 由于项数为10,故S偶-S奇=15-12.5=5d,∴d=0.5,由15+12.5=10a1+10×92×0.5,得a1=0.5.3.(多选)设{a n}是等差数列,S n为其前n项和,且S5<S6=S7>S8,则下列结论正确的是( ) A.d<0B.a7=0C.S9>S5D.S6与S7均为S n的最大值答案 ABD解析 ∵S5<S6=S7>S8,∴a6>0,a7=0,a8<0.∴d<0.∴S6与S7均为S n的最大值.S9-S5=a6+a7+a8+a9=2(a7+a8)<0.∴S9<S5,故C错.4.已知在等差数列{a n}中,|a5|=|a9|,公差d>0,则使得其前n项和S n取得最小值的正整数n 的值是________.答案 6或7解析 ∵公差d>0,|a5|=|a9|,∴-a5=a9,即a5+a9=0.由等差数列的性质,得2a7=a5+a9=0,解得a7=0.故数列的前6项均为负数,第7项为0,从第8项开始为正.∴S n 取得最小值时的n 为6或7.5.已知等差数列的前12项和为354,前12项中偶数项和与奇数项和之比为32∶27,则公差d =________.答案 5解析 由题意得Error!故S 偶=192,S 奇=162,所以6d =S 偶-S 奇=30,故d =5.1.知识清单:(1)等差数列前n 项和的一般性质.(2)等差数列前n 项和的函数性质.2.方法归纳:整体思想、函数思想、分类讨论思想.3.常见误区:求数列{|a n |}的前n 项和时不讨论,最后不用分段函数表示.1.在等差数列{a n }中,a 1=1,其前n 项和为S n ,若S 88-S 66=2,则S 10等于( )A .10B .100C .110D .120答案 B解析 ∵{a n }是等差数列,a 1=1,∴{S n n }也是等差数列且首项为S 11=1.又S 88-S 66=2,∴{S n n }的公差是1,∴S 1010=1+(10-1)×1=10,∴S 10=100.2.若等差数列{a n }的前m 项的和S m 为20,前3m 项的和S 3m 为90,则它的前2m 项的和S 2m 为( )A .30B .70C .50D .60答案 C解析 ∵等差数列{a n }中,S m ,S 2m -S m ,S 3m -S 2m 也成等差数列,∴2(S 2m -S m )=S m +S 3m -S 2m ,∴2(S 2m -20)=20+90-S 2m ,∴S 2m =50.3.已知数列{2n -19},那么这个数列的前n 项和S n ( )A .有最大值且是整数 B .有最小值且是整数C .有最大值且是分数 D .无最大值和最小值答案 B解析 易知数列{2n -19}的通项a n =2n -19,∴a 1=-17,d =2.∴该数列是递增等差数列.令a n =0,得n =912.∴a 1<a 2<a 3<…<a 9<0<a 10<….∴该数列前n 项和有最小值,为S 9=9a 1+9×82d =-81.4.(多选)已知S n 是等差数列{a n }的前n 项和,且S 6>S 7>S 5,下列判断正确的是( )A .d <0B .S 11>0C .S 12<0D .数列{S n }中的最大项为S 11答案 AB 解析 ∵S 6>S 7,∴a 7<0,∵S 7>S 5,∴a 6+a 7>0,∴a 6>0,∴d <0,A 正确;又S 11=112(a 1+a 11)=11a 6>0,B 正确;S 12=122(a 1+a 12)=6(a 6+a 7)>0,C 不正确;数列{S n }中最大项为S 6,D 不正确.故正确的选项是AB.5.在等差数列{a n }中,S n 是其前n 项和,且S 2 011=S 2 018,S k =S 2 009,则正整数k 为( )A .2 017 B .2 018 C .2 019 D .2 020答案 D解析 因为等差数列的前n 项和S n 是关于n 的二次函数,所以由二次函数的对称性及S2 011=S2 018,S k=S2 009,可得2 011+2 0182=2 009+k2,解得k=2 020.6.已知在等差数列{a n}中,公差d=1,且前100项和为148,则前100项中的所有偶数项的和为________.答案 99解析 由题意,得S奇+S偶=148,S偶-S奇=50d=50,解得S偶=99.7.已知在等差数列{a n}中,S n为其前n项和,已知S3=9,a4+a5+a6=7,则S9-S6=________.答案 5解析 ∵S3,S6-S3,S9-S6成等差数列,而S3=9,S6-S3=a4+a5+a6=7,∴S9-S6=5.8.已知等差数列{a n}的前n项和为S n,7a5+5a9=0,且a9>a5,则S n取得最小值时n的值为________.答案 6解析 由7a5+5a9=0,得a1d=-173.又a9>a5,所以d>0,a1<0.因为函数y=d2x2+(a1-d2)x的图象的对称轴为x=12-a1d=12+173=376,取最接近的整数6,故S n取得最小值时n的值为6.9.已知在等差数列{a n}中,a1=9,a4+a7=0.(1)求数列{a n}的通项公式;(2)当n为何值时,数列{a n}的前n项和取得最大值?解 (1)由a1=9,a4+a7=0,得a1+3d+a1+6d=0,解得d=-2,∴a n=a1+(n-1)·d=11-2n.(2)方法一 a1=9,d=-2,S n=9n+n(n-1)2·(-2)=-n2+10n=-(n-5)2+25,∴当n=5时,S n取得最大值.方法二 由(1)知a1=9,d=-2<0,∴{a n}是递减数列.令a n≥0,则11-2n≥0,解得n≤11 2 .∵n∈N*,∴当n≤5时,a n>0;当n≥6时,a n<0.∴当n=5时,S n取得最大值.10.在数列{a n}中,a1=8,a4=2,且满足a n+2-2a n+1+a n=0(n∈N*).(1)求数列{a n}的通项公式;(2)设T n=|a1|+|a2|+…+|a n|,求T n.解 (1)∵a n+2-2a n+1+a n=0,∴a n+2-a n+1=a n+1-a n,∴{a n}是等差数列,又∵a1=8,a4=2,∴d=-2,a n=a1+(n-1)d=10-2n,n∈N*.(2)设数列{a n}的前n项和为S n,则S n=8n+n(n-1)2×(-2)=9n-n2.∵a n=10-2n,令a n=0,得n=5.当n>5时,a n<0;当n=5时,a n=0;当n<5时,a n>0.∴当n≤5时,T n=|a1|+|a2|+…+|a n|=a1+a2+…+a n=9n-n2.当n>5时,T n=|a1|+|a2|+…+|a n|=a1+a2+…+a5-(a6+a7+…+a n)=S5-(S n-S5)=2S5-S n=2×(9×5-25)-9n+n2=n2-9n+40,∴T n=Error!11.若数列{a n}的前n项和是S n=n2-4n+2,则|a1|+|a2|+…+|a10|等于( ) A.15 B.35 C.66 D.100答案 C解析 易得a n =Error!|a 1|=1,|a 2|=1,|a 3|=1,令a n >0,则2n -5>0,∴n ≥3.∴|a 1|+|a 2|+…+|a 10|=1+1+a 3+…+a 10=2+(S 10-S 2)=2+[(102-4×10+2)-(22-4×2+2)]=66.12.已知等差数列{a n }的前n 项和为S n ,a 2=11,S 1515-S 77=-8,则S n 取最大值时的n 为( )A .6B .7C .8D .9答案 B解析 设数列{a n }是公差为d 的等差数列,则{S n n }是公差为d2的等差数列.因为S 1515-S 77=-8,故可得8×d2=-8,解得d =-2;则a 1=a 2-d =13,则S n =-n 2+14n =-(n -7)2+49,故当n =7时,S n 取得最大值.13.已知S n ,T n 分别是等差数列{a n },{b n }的前n 项和,且S n T n =2n +14n -2(n ∈N *),则a 10b 3+b 18+a 11b 6+b 15=________.答案 4178解析 因为b 3+b 18=b 6+b 15=b 10+b 11,所以a 10b 3+b 18+a 11b 6+b 15=a 10+a 11b 10+b 11=10(a 10+a 11)10(b 10+b 11)=S 20T 20=2×20+14×20-2=4178.14.已知等差数列{a n }的前n 项和为S n ,且S 4S 8=13,那么S 8S 16=________.答案 310解析 设S4=k,S8=3k,由等差数列的性质得S4,S8-S4,S12-S8,S16-S12构成等差数列.所以S8-S4=2k,S12-S8=3k,S16-S12=4k.所以S12=6k,S16=10k.S8S16=3 10.15.设项数为奇数的等差数列,奇数项之和为44,偶数项之和为33,则这个数列的中间项是________,项数是________.答案 11 7解析 设等差数列{a n}的项数为2n+1(n∈N*),S奇=a1+a3+…+a2n+1=(n+1)(a1+a2n+1)2=(n+1)a n+1,S偶=a2+a4+a6+…+a2n=n(a2+a2n)2=na n+1,所以S奇S偶=n+1n=4433,解得n=3,所以项数2n+1=7,S奇-S偶=a n+1,即a4=44-33=11,为所求的中间项.16.已知数列{a n}的前n项和为S n,a n>0,a1<2,6S n=(a n+1)(a n+2).(1)求证:{a n}是等差数列;(2)令b n=3a n a n+1,数列{b n}的前n项和为T n,求证:T n<1.证明 (1)因为6S n=(a n+1)(a n+2),所以当n≥2时,6S n-1=(a n-1+1)(a n-1+2),两式相减,得到6a n=(a2n+3a n+2)-(a2n-1+3a n-1+2),整理得(a n-a n-1)(a n+a n-1)=3(a n+a n-1),又因为a n>0,所以a n-a n-1=3,所以数列{a n}是公差为3的等差数列.(2)当n=1时,6S1=(a1+1)(a1+2),解得a1=1或a1=2,因为a1<2,所以a1=1,由(1)可知a n-a n-1=3,即公差d=3,所以a n=a1+(n-1)d=1+(n-1)×3=3n-2,所以b n=3a n a n+1=3(3n-2)(3n+1)=13n-2-13n+1,所以T n=1-14+14-17+…+13n-2-13n+1=1-13n+1<1.。
4.2.2 等差数列的前n 项和公式第1课时 等差数列前n 项和公式的推导及简单应用学习目标 1.了解等差数列前n 项和公式的推导过程.2.掌握等差数列前n 项和公式.3.熟练掌握等差数列的五个量a 1,d ,n ,a n ,S n 的关系,能够由其中三个求另外两个.知识点 等差数列的前n 项和公式已知量 首项,末项与项数 首项,公差与项数 求和公式S n =n (a 1+a n )2S n =na 1+n (n -1)2d1.等差数列前n 项和公式的推导方法是倒序相加.( √ ) 2.若数列{a n }的前n 项和S n =kn (k ∈R ),则{a n }为常数列.( √ ) 3.等差数列的前n 项和,等于其首项、第n 项的等差中项的n 倍.( √ ) 4.1+2+3+…+100=100×(1+100)2.( √ )一、等差数列前n 项和的有关计算 例1 在等差数列{a n }中:(1)已知a 6=10,S 5=5,求a 8和S 10; (2)已知a 1=4,S 8=172,求a 8和d . 解 (1)⎩⎪⎨⎪⎧S 5=5a 1+5×42d =5,a 6=a 1+5d =10,解得a 1=-5,d =3.∴a 8=a 6+2d =10+2×3=16,S 10=10a 1+10×92d =10×(-5)+5×9×3=85.(2)由已知得S 8=8(a 1+a 8)2=8(4+a 8)2=172,解得a 8=39,又∵a 8=4+(8-1)d =39, ∴d =5. ∴a 8=39,d =5.反思感悟 等差数列中的基本计算 (1)利用基本量求值:等差数列的通项公式和前n 项和公式中有五个量a 1,d ,n ,a n 和S n ,这五个量可以“知三求二”.一般是利用公式列出基本量a 1和d 的方程组,解出a 1和d ,便可解决问题.解题时注意整体代换的思想.(2)结合等差数列的性质解题:等差数列的常用性质:若m +n =p +q (m ,n ,p ,q ∈N *),则a m +a n =a p +a q ,常与求和公式S n =n (a 1+a n )2结合使用.跟踪训练1 在等差数列{a n }中: (1)a 1=1,a 4=7,求S 9; (2)a 3+a 15=40,求S 17;(3)a 1=56,a n =-32,S n =-5,求n 和d .解 (1)设等差数列{a n }的公差为d , 则a 4=a 1+3d =1+3d =7, 所以d =2.故S 9=9a 1+9×82d =9+9×82×2=81.(2)S 17=17×(a 1+a 17)2=17×(a 3+a 15)2=17×402=340.(3)由题意得,S n =n (a 1+a n )2=n ⎝⎛⎭⎫56-322=-5,解得n =15.又a 15=56+(15-1)d =-32,所以d =-16,所以n =15,d =-16.二、等差数列前n 项和的比值问题例2 有两个等差数列{a n },{b n }满足a 1+a 2+a 3+…+a n b 1+b 2+b 3+…+b n =7n +2n +3,求a 5b 5.解 方法一 设等差数列{a n },{b n }的公差分别为d 1,d 2, 则a 1+a 2+a 3+…+a n b 1+b 2+b 3+…+b n =na 1+n (n -1)2d 1nb 1+n (n -1)2d 2=a 1+n -12d1b 1+n -12d2,则有a 1+n -12d1b 1+n -12d2=7n +2n +3,①又由于a 5b 5=a 1+4d 1b 1+4d 2,②观察①,②,可在①中取n =9,得a 1+4d 1b 1+4d 2=7×9+29+3=6512.故a 5b 5=6512.方法二 设{a n },{b n }的前n 项和分别为A n ,B n , 则有A n B n =7n +2n +3,其中A n =(a 1+a n )n 2,由于a 1+a 9=2a 5.即a 1+a 92=a 5,故A 9=(a 1+a 9)·92=a 5×9.同理B 9=b 5×9.故A 9B 9=a 5×9b 5×9.故a 5b 5=A 9B 9=7×9+29+3=6512. 方法三 设{a n },{b n }的前n 项和分别为A n ,B n , 因为等差数列的前n 项和为S n =an 2+bn =an ⎝⎛⎭⎫n +b a , 根据已知,可令A n =(7n +2)kn ,B n =(n +3)kn (k ≠0). 所以a 5=A 5-A 4=(7×5+2)k ×5-(7×4+2)k ×4=65k , b 5=B 5-B 4=(5+3)k ×5-(4+3)k ×4=12k . 所以a 5b 5=65k 12k =6512.方法四 设{a n },{b n }的前n 项和分别为A n ,B n ,由A 2n -1B 2n -1=a n b n ,有a 5b 5=A 9B 9=7×9+29+3=6512.反思感悟 设{a n },{b n }的前n 项和为S n ,T n ,则a n ∶b n =S 2n -1∶T 2n -1.跟踪训练2 已知等差数列{a n },{b n },其前n 项和分别为S n ,T n ,a n b n =2n +33n -1,则S 11T 11等于( )A.1517B.2532 C .1 D .2 答案 A解析 由等差数列的前n 项和公式以及等差中项的性质得S 11=11(a 1+a 11)2=11a 6,同理可得T 11=11b 6,因此,S 11T 11=11a 611b 6=a 6b 6=2×6+33×6-1=1517.1.已知数列{a n }的通项公式为a n =2-3n ,n ∈N *,则{a n }的前n 项和S n 等于( ) A .-32n 2+n 2B .-32n 2-n2C.32n 2+n 2D.32n 2-n 2答案 A解析 ∵a n =2-3n ,∴a 1=2-3=-1, ∴S n =n (-1+2-3n )2=-32n 2+n 2.2.在等差数列{a n }中,若a 2+a 8=8,则该数列的前9项和S 9等于( ) A .18 B .27 C .36 D .45 答案 C解析 S 9=92(a 1+a 9)=92(a 2+a 8)=36.3.已知等差数列{a n }的前n 项和为S n ,且S 3=6,a 3=4,则公差d 为( ) A .1 B.53 C .2 D .3答案 C解析 因为S 3=(a 1+a 3)×32=6,而a 3=4, 所以a 1=0, 所以d =a 3-a 12=2.4.在等差数列{a n }中,已知a 10=10,则S 19=________. 答案 190解析 S 19=19(a 1+a 19)2=19×2a 102=190.5.已知在等差数列{a n }中,a 1=32,d =-12,S n =-15,则n =________,a 12=________.答案 12 -4解析 ∵S n =n ·32+n (n -1)2·⎝⎛⎭⎫-12=-15,整理得n 2-7n -60=0, 解得n =12或n =-5(舍去), a 12=32+(12-1)×⎝⎛⎭⎫-12=-4.1.知识清单:(1)等差数列前n 项和及其计算公式. (2)等差数列前n 项和公式的推导过程. (3)由a n 与S n 的关系求a n .(4)等差数列在实际问题中的应用.2.方法归纳:函数与方程思想、倒序相加法、整体思想. 3.常见误区:由S n 求通项公式时忽略对n =1的讨论.1.已知等差数列{a n }的前n 项和为S n ,若2a 6=a 8+6,则S 7等于( ) A .49 B .42 C .35 D .28 答案 B解析 2a 6-a 8=a 4=6,S 7=72(a 1+a 7)=7a 4=42.2.在等差数列{a n }中,已知a 1=10,d =2,S n =580,则n 等于( ) A .10 B .15 C .20 D .30 答案 C解析 因为S n =na 1+12n (n -1)d =10n +12n (n -1)×2=n 2+9n ,所以n 2+9n =580, 解得n =20或n =-29(舍).3.设{a n }为等差数列,公差d =-2,S n 为其前n 项和.若S 10=S 11,则a 1等于( ) A .18 B .20 C .22 D .24 答案 B解析 由S 10=S 11, 得a 11=S 11-S 10=0,所以a 1=a 11+(1-11)d =0+(-10)×(-2)=20.4.(多选)在等差数列{a n }中,d =2,a n =11,S n =35,则a 1等于( ) A .-1 B .3 C .5 D .7 答案 AB解析 由题意知a 1+(n -1)×2=11,① S n =na 1+n (n -1)2×2=35,②由①②解得a 1=3或-1.5.在等差数列{a n }中,已知a 1=-12,S 13=0,则使得a n >0的最小正整数n 为( ) A .7 B .8 C .9 D .10答案 B解析 由S 13=13(a 1+a 13)2=0,得a 13=12,则a 1+12d =12,得d =2, ∴数列{a n }的通项公式为 a n =-12+(n -1)×2=2n -14,由2n -14>0,得n >7,即使得a n >0的最小正整数n 为8.6.已知{a n }是等差数列,a 4+a 6=6,其前5项和S 5=10,则其首项a 1=________,公差d =________. 答案 1 12解析 a 4+a 6=a 1+3d +a 1+5d =6,① S 5=5a 1+12×5×(5-1)d =10,②由①②联立解得a 1=1,d =12.7.设S n 为等差数列{a n }的前n 项和,若a 1=1,公差d =2,S k +2-S k =24,则k =________. 答案 5解析 因为S k +2-S k =a k +1+a k +2=a 1+kd +a 1+(k +1)d =2a 1+(2k +1)d =2×1+(2k +1)×2=4k +4=24,所以k =5.8.在等差数列{a n }中,S 10=4S 5,则a 1d =________.答案 12解析 设数列{a n }的公差为d ,由题意得10a 1+12×10×9d =4⎝⎛⎭⎫5a 1+12×5×4d ,所以10a 1+45d =20a 1+40d , 所以10a 1=5d ,所以a 1d =12.9.在等差数列{a n }中,a 10=30,a 20=50. (1)求数列的通项公式; (2)若S n =242,求n .解 (1)设数列{a n }的首项为a 1,公差为d .则⎩⎪⎨⎪⎧a 10=a 1+9d =30,a 20=a 1+19d =50, 解得⎩⎪⎨⎪⎧a 1=12,d =2,∴a n =a 1+(n -1)d =12+(n -1)×2=10+2n .(2)由S n =na 1+n (n -1)2d 以及a 1=12,d =2,S n =242,得方程242=12n +n (n -1)2×2,即n 2+11n -242=0,解得n =11或n =-22(舍去).故n =11.10.已知{a n }为等差数列,S n 为数列{a n }的前n 项和,且S 7=7,S 15=75,求数列⎩⎨⎧⎭⎬⎫S n n 的前n项和T n .解 设等差数列{a n }的公差为d ,则S n =na 1+n (n -1)2d .∵S 7=7,S 15=75,∴⎩⎪⎨⎪⎧7a 1+21d =7,15a 1+105d =75,即⎩⎪⎨⎪⎧ a 1+3d =1,a 1+7d =5,解得⎩⎪⎨⎪⎧a 1=-2,d =1,∴S nn =a 1+n -12d =-2+n -12,∴S n +1n +1-S n n =12, ∴数列⎩⎨⎧⎭⎬⎫S n n 是等差数列,且其首项为-2,公差为12.∴T n =14n 2-94n .11.在小于100的自然数中,所有被7除余2的数之和为( ) A .765 B .665 C .763 D .663 答案 B解析 ∵a 1=2,d =7,2+(n -1)×7<100, ∴n <15,∴n =14,S 14=14×2+12×14×13×7=665.12.设S n 是数列{a n }的前n 项和,且a 1=-1,a n +1=S n ·S n +1,则S n =________. 答案 -1n解析 当n =1时,S 1=a 1=-1, 所以1S 1=-1.因为a n +1=S n +1-S n =S n S n +1, 所以1S n -1S n +1=1,即1S n +1-1S n =-1, 所以⎩⎨⎧⎭⎬⎫1S n 是以-1为首项,-1为公差的等差数列,所以1S n =(-1)+(n -1)·(-1)=-n ,所以S n =-1n.13.已知两个等差数列{a n }与{b n }的前n 项和分别是S n 和T n ,且a n ∶b n =(2n +1)∶(3n -2),则S 9T 9=________. 答案1113解析 ∵{a n },{b n }均为等差数列, ∴S 9T 9=9(a 1+a 9)29(b 1+b 9)2=a 5b 5=2×5+13×5-2=1113.14.现有200根相同的钢管,把它们堆成正三角形垛,要使剩余的钢管尽可能少,那么剩余钢管的根数为________. 答案 10解析 钢管排列方式是从上到下各层钢管数组成了一个等差数列,最上面一层钢管数为1,逐层增加1个.∴钢管总数为1+2+3+…+n =n (n +1)2.当n =19时,S 19=190.当n =20时,S 20=210>200. ∴当n =19时,剩余钢管根数最少,为10根.15.如图所示,将若干个点摆成三角形图案,每条边(包括两个端点)有n (n >1,n ∈N *)个点,相应的图案中总的点数记为a n ,则a 2+a 3+a 4+…+a n 等于( )A.3n 22B.n (n +1)2C.3n (n -1)2D.n (n -1)2答案 C解析 由图案的点数可知a 2=3,a 3=6,a 4=9,a 5=12, 所以a n =3n -3,n ≥2,所以a 2+a 3+a 4+…+a n =(n -1)(3+3n -3)2=3n (n -1)2. 16.已知等差数列{a n }的公差d >0,前n 项和为S n ,且a 2a 3=45,S 4=28. (1)求数列{a n }的通项公式;(2)若b n =S n n +c(c 为非零常数),且数列{b n }也是等差数列,求c 的值. 解 (1)∵S 4=28,∴(a 1+a 4)×42=28,a 1+a 4=14, ∴a 2+a 3=14,又a 2a 3=45,公差d >0, ∴a 2<a 3,∴a 2=5,a 3=9,∴⎩⎪⎨⎪⎧ a 1+d =5,a 1+2d =9,解得⎩⎪⎨⎪⎧a 1=1,d =4, ∴a n =4n -3,n ∈N *.(2)由(1),知S n =2n 2-n ,∴b n =S n n +c =2n 2-n n +c, ∴b 1=11+c ,b 2=62+c ,b 3=153+c . 又{b n }也是等差数列, ∴b 1+b 3=2b 2,即2×62+c =11+c +153+c , 解得c =-12(c =0舍去).。
《等差数列的前n项和》说课一、教材分析:(一)教材的地位与作用本节课是《普通高中课程标准实验教科书·数学·必修5》的〈第二章§2.3 等差数列的前n项和〉的第一课时:等差数列的前n项和公式的推导简单应用问题。
(二)教材处理本节课从分析高斯计算的小故事的算法入手,启发引导学生由特殊到一般,探究等数列的前n项和公式,让学生体验归纳与猜想、模仿与创新的重要性,从而达到指导学习数学方法的目的。
(三)教学目的分析1、教学目的(1)知识与技能目标:掌握等差数列前n项和公式及其获取思路;会用等差数列的前n 项和公式解决一些简单的与前n项和相关的问题(2)过程与方法目标:通过公式的推导和公式的使用,使学生体会从特殊到一般,再从一般到特殊的思维规律,初步形成理解问题,解决问题的一般思路和方法;通过公式推导的过程教学,对学生实行思维灵活性与广阔性的训练,发展学生的思维水平.(3)情感态度与价值观:通过公式的推导过程,体现数学中的对称美。
体会模仿与创新的重要性2、教学目的解析通过前n项和公式的探究过程,培养学生仔细观察,广泛联想,大胆猜想,严格证明的学习态度,丰富学生的学习方式、改进学习方法;通过例1及例2的教学巩固学生对公式的理解与掌握。
(四)重点难点及其依据1、重点:等差数列n项和公式的理解、推导及简单应用2、难点:1、对公式推导过程中归纳出一般规律的理解与领会2、灵活应用等差数列前n项公式解决一些简单的相关问题3、依据:等差数列前n项和公式是数列中学习的第一个求和公式,这个公式的推导过程使用了倒写相加法,是高中数学中第一次在一个处理无穷项式子中的规律的过程,这个公式的良好掌握,学生不但能够掌握数列中一类重要的求和方法,同时也为后面求和作好思想上的引导与知识上的准备。
(五)课程资源的开发与信息技术的整合本节复习课以课本例题、习题为切入点,充分利用课本资源,增强例题和习题挖掘,既达到复习重点概念和基本方法的目的,又指导和改进学生的学习方式、方法。
等差数列及其前n 项和一、学习目标1.理解等差数列的概念;2.掌握等差数列的通项公式与前n 项和公式;3.能在具体的问题情境中识别数列的等差关系,并能用有关知识解决相应的问题;4.了解等差数列与一次函数、二次函数的关系. 二、知识讲解知识点一 等差数列的定义如果一个数列从第2项起,每一项与它的前一项的差等于同一个常数,那么这个数列就叫做等差数列,这个常数叫做等差数列的公差,公差通常用字母d 表示.数学语言表达式:a n +1-a n =d (n ∈N *,d 为常数),或a n -a n -1=d (n ≥2,d 为常数). 知识点二 等差数列的通项公式与前n 项和公式(1)若等差数列{a n }的首项是a 1,公差是d ,则其通项公式为a n = 通项公式的推广:a n = (2)等差数列的前n 项和公式 S n =知识点三 等差数列及前n 项和的性质(1)若a ,A ,b 成等差数列,则A 叫做a ,b 的等差中项,且A =a +b2.(2)若{a n }为等差数列,且m +n =p +q ,则a m +a n =a p +a q (m ,n ,p ,q ∈N *).(3)若{a n }是等差数列,公差为d ,则a k ,a k +m ,a k +2m ,…(k ,m ∈N *)是公差为md 的等差数列. (4)数列S m ,S 2m -S m ,S 3m -S 2m ,…也是等差数列. 知识点四 等差数列的前n 项和公式与函数的关系 S n =d2n 2+⎝⎛⎭⎫a 1-d 2n . 数列{a n }是等差数列⇔S n =An 2+Bn (A ,B 为常数). 知识点五 等差数列的前n 项和的最值在等差数列{a n }中,a 1>0,d <0,则S n 存在最大值;若a 1<0,d >0,则S n 存在最小值. 三、例题辨析考点一 等差数列基本量的运算【典例1】记nS 为等差数列{}n a 的前n 项和.已知4505S a ==,,则( )A .25n a n =-B .310n a n =-C .228n S n n=- D .2122n S n n =-【解析】由题知,41514430245d S a a a d ⎧=+⨯⨯=⎪⎨⎪=+=⎩,解得132a d =-⎧⎨=⎩,∴25n a n =-,24n S n n =-,故选A 。
等差数列及其前n项和教案一、知识点回顾类型一:前n 项和公式及性质的运用例1.等差数列}{n a 前m 项和为30,前2m 项和为100,求它的前3m 项和.举一反三:【变式1】等差数列{a n }中,若a 1+a 2+a 3+a 4+a 5=30, a 6+a 7+a 8+a 9+a 10=80, 则a 11+a 12+a 13+a 14+a 15=___________.【变式2】等差数列{a n }中,S m =S n 且m≠n, 则S m+n =_________.【变式3】等差数列}{n a 前10项和为100,前20项和为10,求它的前30项和.例2.已知两等差数列}{n a 、{}n b 的前n 项和分别为n S 、n T ,且27417++=n n T S n n ,试求1111b a .举一反三:【变式1】等差数列}{n a 中,若49a =, 则7S =_________.【变式2】已知两等差数列}{n a 、{}n b 的前n 项和分别为n S 、n T ,且4352n n S n T n +=-,则1010ab = .例3.一等差数列由3个数组成,3个数之和为9,3个数的平方和为35,求这个数列。
举一反三:【变式】已知四个数成等差数列,且其平方和为94,首尾两数之积比中间两数之积少18,求此四个数。
类型二:等差数列前n 项和的最值问题例4.已知数列}{n a 是等差数列,10a >,917S S =,试问n 为何值时,数列的前n 项和最大?为什么?举一反三:【变式1】设等差数列}{n a 的前n 项和为n S , 已知312a =,120S >,130S <.(1)求公差d 的取值范围;(2)指出1S ,2S ,…,12S 中哪一个值最大,并说明理由.【变式2】在等差数列{a n }中,a 1=7,公差为d ,前n 项和为S n ,当且仅当n =8时S n 取得最大值,则d 的取值范围为 .二、巩固拓展1.已知等差数列共有10项,其中奇数项之和为15,偶数项之和为30,则其公差是( ) A .5 B .4 C .3D .2 2. 若等差数列{a n }的前5项和S 5=25,且a 2=3,则a 7=( )A .12B .13C .14D .153. 已知两个等差数列{a n }和{b n }的前n 项和分别为A n 和B n ,且7453n n A n B n +=+,则使得n na b 为整数的正整数n 的个数是( )A .2B .3C .4D .54.数列{}n a 的通项公式11++=n n a n ,则该数列的前( )项之和等于9。
等差数列及其前n项和1.等差数列的概念(1)定义:如果一个数列从第2项起,每一项与它的前一项的差都等于同一个常数,那么这个数列就叫做等差数列.数学语言表达式:a n+1-a n=d(n∈N*,d为常数).(2)等差中项:由三个数a,A,b组成的等差数列可以看成是最简单的等差数列,这时A叫做a与b的等差中项,根据等差数列的定义可以知道,2A=a+b.2.等差数列的通项公式与前n项和公式(1)若等差数列{a n}的首项是a1,公差是d,则其通项公式为a n=a1+(n-1)d.(2)前n项和公式:S n=na1+n(n-1)d2=n(a1+a n)2.3.等差数列的性质(1)通项公式的推广:a n=a m+(n-m)d(n,m∈N*).(2)若{a n}为等差数列,且k+l=m+n(k,l,m,n∈N*),则a k+a l=a m+a n.(3)若{a n}是等差数列,公差为d,则a k,a k+m,a k+2m,…(k,m∈N*)是公差为md 的等差数列.(4)若S n为等差数列{a n}的前n项和,则数列S m,S2m-S m,S3m-S2m,…也是等差数列.(5)若S n为等差数列{a n}的前n.1.已知数列{a n}的通项公式是a n=pn+q(其中p,q为常数),则数列{a n}一定是等差数列,且公差为p.2.在等差数列{a n}中,a1>0,d<0,则S n存在最大值;若a1<0,d>0,则S n存在最小值.3.等差数列{a n}的单调性:当d>0时,{a n}是递增数列;当d<0时,{a n}是递减数列;当d=0时,{a n}是常数列.4.数列{a n}是等差数列⇔S n=An2+Bn(A,B为常数).1.思考辨析(在括号内打“√”或“×”)(1)数列{a n}为等差数列的充要条件是对任意n∈N*,都有2a n+1=a n+a n+2.()(2)等差数列{a n}的单调性是由公差d决定的.()(3)数列{a n}为等差数列的充要条件是其通项公式为n的一次函数.()(4)等差数列的前n项和公式是常数项为0且关于n的二次函数.()答案(1)√(2)√(3)×(4)×解析(3)若公差d=0,则通项公式不是n的一次函数.(4)若公差d=0,则前n项和不是n的二次函数.2.(2022·福州质检)在等差数列{a n}中,若a1+a2=5,a3+a4=15,则a5+a6=()A.10B.20C.25D.30答案C解析等差数列{a n}中,每相邻2项的和仍然构成等差数列,设其公差为d,若a1+a2=5,a3+a4=15,则d=15-5=10,因此a5+a6=(a3+a4)+d=15+10=25.3.(2022·青岛一模)记S n为等差数列{a n}的前n项和,若a1=1,S3=92则数列{a n}的通项公式a n=()A.nB.n+12C.2n-1D.3n-12答案B解析设等差数列{a n}的公差为d,则S3=3a1+3×22d=3+3d=92,解得d=12,∴a n=1+(n-1)×12=n+12.4.(2021·杭州二模)已知{a n}是等差数列,满足3(a1+a5)+2(a3+a6+a9)=18,则该数列的前8项和为()A.36B.24C.16D.12答案D解析由等差数列性质可得a1+a5=2a3,a3+a6+a9=3a6,所以3×2a3+2×3a6=18,即a3+a6=3,所以S8=8(a1+a8)2=8(a3+a6)2=12.5.(多选)设{a n}是等差数列,S n是其前n项的和,且S5<S6,S6=S7>S8,则下列结论正确的是()A.d<0B.a7=0C.S9>S5D.S6与S7均为S n的最大值答案ABD解析S6=S5+a6>S5,则a6>0,S7=S6+a7=S6,则a7=0,则d=a7-a6<0,S8=S7+a8<S7,a8<0,则a9<0,又a6+a8=a5+a9=2a7=0,∴S5>S9,由a7=0,a6>0知S6,S7是S n中的最大值.从而ABD均正确.6.一物体从1960m的高空降落,如果第1秒降落4.90m,以后每秒比前一秒多降落9.80m,那么经过________秒落到地面.答案20解析设物体经过t秒降落到地面.物体在降落过程中,每一秒降落的距离构成首项为4.90,公差为9.80的等差数列.所以4.90t+12t(t-1)×9.80=1960,即4.90t2=1960,解得t=20.考点一等差数列的基本运算1.记S n为等差数列{a n}的前n项和.若3S3=S2+S4,a1=2,则a5=()A.-12B.-10C.10D.12答案B解析设等差数列{a n}的公差为d,则3(3a1+3d)=2a1+d+4a1+6d,即d=-3 2 a1.又a1=2得∴d=-3,∴a5=a1+4d=2+4×(-3)=-10.2.(2021·武汉调研)已知等差数列{a n}的前n项和为S n,若S8=a8=8,则公差d=()A.1 4B.12C.1D.2答案D解析∵S8=a8=8,∴a1+a2+…+a8=a8,∴S7=7a4=0,则a4=0.∴d=a8-a48-4=2.3.(2020·全国Ⅱ卷)记S n为等差数列{a n}的前n项和.若a1=-2,a2+a6=2,则S10=________.答案25解析设等差数列{a n}的公差为d,则a2+a6=2a1+6d=2×(-2)+6d=2.解得d=1.所以S10=10×(-2)+10×92×1=25.4.(2020·新高考全国Ⅰ卷)将数列{2n-1}与{3n-2}的公共项从小到大排列得到数列{a n},则{a n}的前n项和为__________.答案3n2-2n解析法一(观察归纳法)数列{2n-1}的各项为1,3,5,7,9,11,13,…;数列{3n-2}的各项为1,4,7,10,13,….现观察归纳可知,两个数列的公共项为1,7,13,…,是首项为1,公差为6的等差数列,则a n=1+6(n-1)=6n-5.故前n项和为S n=n(a1+a n)2=n(1+6n-5)2=3n2-2n.法二(引入参变量法)令b n=2n-1,c m=3m-2,b n=c m,则2n-1=3m-2,即3m=2n+1,m必为奇数.令m=2t-1,则n=3t-2(t=1,2,3,…).a t=b3t-2=c2t-1=6t-5,即a n=6n-5.以下同法一.感悟提升 1.等差数列的通项公式及前n项和公式共涉及五个量a1,a n,d,n,S n,知其中三个就能求另外两个,体现了用方程的思想来解决问题.2.数列的通项公式和前n项和公式在解题中起到变量代换作用,而a1和d是等差数列的两个基本量,用它们表示已知和未知是常用方法.考点二等差数列的判定与证明例1(2021·全国甲卷)已知数列{a n}的各项均为正数,记S n为{a n}的前n项和,从下面①②③中选取两个作为条件,证明另外一个成立.①数列{a n}是等差数列;②数列{S n}是等差数列;③a2=3a1.注:若选择不同的组合分别解答,则按第一个解答计分.解①③⇒②.已知{a n}是等差数列,a2=3a1.设数列{a n}的公差为d,则a2=3a1=a1+d,得d=2a1,所以S n=na1+n(n-1)2d=n2a1.因为数列{a n}的各项均为正数,所以S n=n a1,所以S n+1-S n=(n+1)a1-n a1=a1(常数),所以数列{S n}是等差数列.①②⇒③.已知{a n}是等差数列,{S n}是等差数列.设数列{a n}的公差为d,则S n=na1+n(n-1)2d=12n2d+a1-d2.因为数列{S n}是等差数列,所以数列{S n}的通项公式是关于n的一次函数,则a1-d2=0,即d=2a1,所以a2=a1+d=3a1.②③⇒①.已知数列{S n}是等差数列,a2=3a1,所以S1=a1,S2=a1+a2=4a1.设数列{S n}的公差为d,d>0,则S2-S1=4a1-a1=d,得a1=d2,所以S n=S1+(n -1)d=nd,所以S n=n2d2,所以n≥2时,a n=S n-S n-1=n2d2-(n-1)2d2=2d2n-d2,对n=1也适合,所以a n=2d2n-d2,所以a n+1-a n=2d2(n+1)-d2-(2d2n-d2)=2d2(常数),所以数列{a n}是等差数列.感悟提升 1.证明数列是等差数列的主要方法:(1)定义法:对于n≥2的任意自然数,验证a n-a n-1为同一常数.即作差法,将关于a n-1的a n代入a n-a n-1,再化简得到定值.(2)等差中项法:验证2a n-1=a n+a n-2(n≥3,n∈N*)都成立.2.判定一个数列是等差数列还常用到的结论:(1)通项公式:a n=pn+q(p,q为常数)⇔{a n}是等差数列.(2)前n项和公式:S n=An2+Bn(A,B为常数)⇔{a n}是等差数列.问题的最终判定还是利用定义.训练1(2021·全国乙卷)设S n为数列{a n}的前n项和,b n为数列{S n}的前n项积,已知2S n+1b n=2.(1)证明:数列{b n}是等差数列;(2)求{a n}的通项公式.(1)证明因为b n是数列{S n}的前n项积,所以n≥2时,S n=b nb n-1,代入2S n+1b n=2可得,2b n-1b n+1b n=2,整理可得2b n-1+1=2b n,即b n-b n-1=12(n≥2).又2S1+1b1=3b1=2,所以b1=32,故{b n}是以32为首项,12为公差的等差数列.(2)解由(1)可知,b n=32+12(n-1)=n+22,则2S n+2n+2=2,所以S n=n+2n+1,当n=1时,a1=S1=3 2,当n≥2时,a n=S n-S n-1=n+2n+1-n+1n=-1n(n+1).故a n 32,n=1,-1n(n+1),n≥2.考点三等差数列的性质及应用角度1等差数列项的性质例2(1)设S n为等差数列{a n}的前n项和,且4+a5=a6+a4,则S9等于() A.72 B.36 C.18 D.9答案B解析∵a6+a4=2a5,∴a5=4,∴S9=9(a1+a9)2=9a5=36.(2)在等差数列{a n}中,若a5+a6=4,则log2(2a1·2a2·…·2a10)=()A.10B.20C.40D.2+log25答案B解析由等差数列的性质知a1+a10=a2+a9=a3+a8=a4+a7=a5+a6=4,则2a1·2a2·…·2a10=2a1+a2+…+a10=25(a5+a6)=25×4,所以log2(2a1·2a2·…·2a10)=log225×4=20.角度2等差数列前n项和的性质例3(1)已知等差数列{a n}的前n项和为S n.若S5=7,S10=21,则S15等于() A.35 B.42 C.49 D.63答案B解析在等差数列{a n}中,S5,S10-S5,S15-S10成等差数列,即7,14,S15-21成等差数列,所以7+(S15-21)=2×14,解得S15=42.(2)(2020·全国Ⅱ卷)北京天坛的圜丘坛为古代祭天的场所,分上、中、下三层.上层中心有一块圆形石板(称为天心石),环绕天心石砌9块扇面形石板构成第一环,向外每环依次增加9块.下一层的第一环比上一层的最后一环多9块.向外每环依次也增加9块.已知每层环数相同,且下层比中层多729块,则三层共有扇面形石板(不含天心石)()A.3699块B.3474块C.3402块D.3339块答案C解析设每一层有n 环,由题可知从内到外每环之间构成公差d =9,a 1=9的等差数列.由等差数列的性质知S n ,S 2n -S n ,S 3n -S 2n 成等差数列,且(S 3n -S 2n )-(S 2n -S n )=n 2d ,则9n 2=729,得n =9,则三层共有扇面形石板S 3n =S 27=27×9+27×262×9=3402(块).角度3等差数列前n 项和的最值例4等差数列{a n }中,设S n 为其前n 项和,且a 1>0,S 3=S 11,则当n 为多少时,S n 最大?解法一设公差为d .由S 3=S 11,可得3a 1+3×22d =11a 1+11×102d ,即d =-213a 1.从而S n =d 2n 21=-a 113(n -7)2+4913a 1,因为a 1>0,所以-a 113<0.故当n =7时,S n 最大.法二易知S n =An 2+Bn 是关于n 的二次函数,由S 3=S 11,可知S n =An 2+Bn 的图象关于直线n =3+112=7对称.由解法一可知A =-a 113<0,故当n =7时,S n 最大.法三设公差为d .由解法一可知d =-213a 1.要使S n n ≥0,n +1≤0,1+(n -1-213a 0,1+-213a 0,解得6.5≤n ≤7.5,故当n =7时,S n 最大.法四设公差为d.由S3=S11,可得2a1+13d=0,即(a1+6d)+(a1+7d)=0,故a7+a8=0,又由a1>0,S3=S11可知d<0,所以a7>0,a8<0,所以当n=7时,S n最大.感悟提升 1.项的性质:在等差数列{a n}中,若m+n=p+q(m,n,p,q∈N*),则a m+a n=a p+a q.2.和的性质:在等差数列{a n}中,S n为其前n项和,则(1)S2n=n(a1+a2n)=…=n(a n+a n+1);(2)S2n-1=(2n-1)a n.(3)依次k项和成等差数列,即S k,S2k-S k,S3k-S2k,…成等差数列.3.求等差数列前n项和的最值,常用的方法:(1)利用等差数列的单调性,求出其正负转折项,或者利用性质求其正负转折项,便可求得和的最值;(2)利用公差不为零的等差数列的前n项和S n=An2+Bn(A,B为常数,A≠0)为二次函数,通过二次函数的性质求最值.训练2(1)(多选)(2022·淄博调研)已知等差数列{a n}的公差为d,前n项和为S n,当首项a1和d变化时,a2+a8+a11是一个定值,则下列各数也为定值的是() A.a7 B.a8 C.S13 D.S15答案AC解析由题知a2+a8+a11=a1+d+a1+7d+a1+10d=3a1+18d=3(a1+6d)=3a7,∴a7是定值,∴S13=13(a1+a13)2=13a7是定值,故选AC.(2)(2022·重庆诊断)已知S n是等差数列{a n}的前n项和,若a1=-2020,S20202020-S20142014=6,则S2023等于()A.2023B.-2023C.4046D.-4046答案C解析d′,则S20202020-S20142014=6d′=6,∴d′=1,首项为S11=-2020,∴S20232023=-2020+(2023-1)×1=2,∴S2023=2023×2=4046,故选C.(3)设等差数列{a n}满足a1=1,a n>0(n∈N*),其前n项和为S n,若数列{S n}也为等差数列,则S n+10a2n的最大值是________.答案121解析设数列{a n}的公差为d,依题意得2S2=S1+S3,∴22a1+d=a1+3a1+3d,把a1=1代入求得d=2,∴a n=1+(n-1)×2=2n-1,S n=n+n(n-1)2×2=n2,∴S n+10a2n=(n+10)2(2n-1)2==12(2n-1)+2122n-12≤121.∴S n+10a2n的最大值是121.。
课时跟踪检测(二十九) 等差数列及其前n 项和(一)普通高中适用作业A 级——基础小题练熟练快1.(2018·兰州诊断考试)已知等差数列{a n }的前n 项和为S n ,若a 1=2,a 8+a 10=28,则S 9=( )A .36B .72C .144D .288解析:选B 法一:∵a 8+a 10=2a 1+16d =28,a 1=2,∴d =32,∴S 9=9×2+9×82×32=72. 法二:∵a 8+a 10=2a 9=28,∴a 9=14,∴S 9=9(a 1+a 9)2=72. 2.(2018·安徽两校阶段性测试)若等差数列{a n }的前n 项和为S n ,且满足a 2+S 3=4,a 3+S 5=12,则a 4+S 7的值是( )A .20B .36C .24D .72解析:选C 由a 2+S 3=4及a 3+S 5=12,得⎩⎪⎨⎪⎧ 4a 1+4d =4,6a 1+12d =12,解得⎩⎪⎨⎪⎧a 1=0,d =1,∴a 4+S 7=8a 1+24d =24.3.(2018·西安质检)已知数列{a n }满足a 1=15,且3a n +1=3a n -2.若a k ·a k +1<0,则正整数k =( )A .21B .22C .23D .24 解析:选C 由3a n +1=3a n -2⇒a n +1-a n =-23⇒{a n }是等差数列,则a n =473-23n .∵a k ·a k +1<0,∴⎝⎛⎭⎫473-23k ⎝⎛⎭⎫453-23k <0,∴452<k <472, 又∵k ∈N *,∴k =23.4.(2018·东北三校联考)已知数列{a n }的首项为3,{b n }为等差数列,且b n =a n +1-a n (n∈N *),若b 3=-2,b 2=12,则a 8=( )A .0B .-109C .-181D .121解析:选B 设等差数列{b n }的公差为d ,则d =b 3-b 2=-14,因为a n +1-a n =b n ,所以a 8-a 1=b 1+b 2+…+b 7=7(b 1+b 7)2=7b 4=7×(-2-14)=-112,又a 1=3,所以a 8=-109.5.(2018·云南11校跨区调研)在数列{a n }中,a 1=3,a n +1=3a n a n +3,则a 4=( ) A.34B .1 C.43D.32 解析:选A 依题意得1a n +1=a n +33a n=1a n +13,1a n +1-1a n =13,故数列⎩⎨⎧⎭⎬⎫1a n 是以1a 1=13为首项、13为公差的等差数列,则1a n =13+n -13=n 3,a n =3n ,a 4=34. 6.(2018·东北四市高考模拟)已知数列{a n }满足a n +1-a n =2,a 1=-5,则|a 1|+|a 2|+…+|a 6|=( )A .9B .15C .18D .30解析:选C 由a n +1-a n =2可得数列{a n }是等差数列,公差d =2,又a 1=-5,所以a n =2n -7,所以|a 1|+|a 2|+|a 3|+|a 4|+|a 5|+|a 6|=5+3+1+1+3+5=18.7.(2016·北京高考)已知{a n }为等差数列,S n 为其前n 项和.若a 1=6,a 3+a 5=0,则S 6=________.解析:∵a 3+a 5=2a 4,∴a 4=0.∵a 1=6,a 4=a 1+3d ,∴d =-2.∴S 6=6a 1+6×(6-1)2d =6×6-30=6. 答案:68.等差数列{a n }中,已知a 5>0,a 4+a 7<0,则{a n }的前n 项和S n 的最大值为________. 解析:∵⎩⎪⎨⎪⎧ a 4+a 7=a 5+a 6<0,a 5>0,∴⎩⎪⎨⎪⎧a 5>0,a 6<0,∴S n 的最大值为S 5.答案:S 59.若等差数列{a n }的前17项和S 17=51,则a 5-a 7+a 9-a 11+a 13=________.解析:因为S 17=a 1+a 172×17=17a 9=51,所以a 9=3. 根据等差数列的性质知a 5+a 13=a 7+a 11,所以a 5-a 7+a 9-a 11+a 13=a 9=3.答案:310.在等差数列{a n }中,公差d =12,前100项的和S 100=45,则a 1+a 3+a 5+…+a 99=________.解析:因为S 100=1002(a 1+a 100)=45,所以a 1+a 100=910, a 1+a 99=a 1+a 100-d =25, 则a 1+a 3+a 5+…+a 99=502(a 1+a 99)=502×25=10. 答案:10B 级——中档题目练通抓牢1.(2018·湖南五市十校联考)已知S n 是数列{a n }的前n 项和,且S n +1=S n +a n +3,a 4+a 5=23,则S 8=( )A .72B .88C .92D .98 解析:选C 法一:由S n +1=S n +a n +3,得a n +1-a n =3,故数列{a n }是公差为3的等差数列,又a 4+a 5=23=2a 1+7d =2a 1+21,∴a 1=1,S 8=8a 1+8×72d =92. 法二:由S n +1=S n +a n +3,得a n +1-a n =3,故数列{a n }是公差为3的等差数列,S 8=8(a 1+a 8)2=8(a 4+a 5)2=92. 2.(2018·广东潮州二模)在我国古代著名的数学专著《九章算术》里有一段叙述:今有良马与驽马发长安至齐,齐去长安一千一百二十五里,良马初日行一百零三里,日增一十三里;驽马初日行九十七里,日减半里,良马先至齐,复还迎驽马,二马相逢,问:几日相逢( )A .8日B .9日C .12日D .16日解析:选B 设n 日相逢,则依题意得103n +n (n -1)2×13+97n +n (n -1)2×⎝⎛⎭⎫-12=1 125×2,整理得n 2+31n -360=0,解得n =9(负值舍去),故选B.3.等差数列{a n }的前n 项和为S n ,其中n ∈N *,则下列命题错误的是( )A .若a n >0,则S n >0B .若S n >0,则a n >0C .若a n >0,则{S n }是单调递增数列D .若{S n }是单调递增数列,则a n >0解析:选D 由等差数列的性质可得:∀n ∈N *,a n >0,则S n >0,反之也成立.a n >0,d >0,则{S n }是单调递增数列.因此A 、B 、C 正确.对于D ,{S n }是单调递增数列,则d >0,而a n >0不一定成立.4.在等差数列{a n }中,a 1=7,公差为d ,前 n 项和为S n ,当且仅当n =8 时S n 取得最大值,则d 的取值范围为________.解析:由题意,当且仅当n =8时S n 有最大值,可得⎩⎪⎨⎪⎧ d <0,a 8>0,a 9<0,即⎩⎪⎨⎪⎧ d <0,7+7d >0,7+8d <0,解得-1<d <-78. 答案:⎝⎛⎭⎫-1,-78 5.设等差数列{a n }的前n 项和为S n ,S m -1=-2,S m =0,S m +1=3,则m =________. 解析:因为等差数列{a n }的前n 项和为S n ,S m -1=-2,S m =0,S m +1=3, 所以a m =S m -S m -1=2,a m +1=S m +1-S m =3,数列的公差d =1,a m +a m +1=S m +1-S m -1=5,即2a 1+2m -1=5,所以a 1=3-m .由S m =(3-m )m +m (m -1)2×1=0,解得m =5.答案:56.(2018·广西三市第一次联考)已知数列{a n }的前n 项和为S n ,且S n =2n -1(n ∈N *).(1)求数列{a n }的通项公式;(2)设b n =log 4a n +1,求{b n }的前n 项和T n . 解:(1)当n ≥2时,a n =S n -S n -1=2n -1, 当n =1时,a 1=2-1=1,满足a n =2n -1, ∴数列{a n }的通项公式为a n =2n -1(n ∈N *).(2)由(1)得,b n =log 4a n +1=n +12, 则b n +1-b n =n +22-n +12=12, ∴数列{b n }是首项为1,公差d =12的等差数列, ∴T n =nb 1+n (n -1)2d =n 2+3n 4. 7.已知递增等差数列{a n }的前n 项和为S n ,且a 2a 3=15,S 4=16.(1)求数列{a n }的通项公式以及S n 的表达式;(2)若数列{b n }满足:b 1=1,b n +1-b n =1a n a n +1,求数列{b n }的通项公式. 解:(1)设数列{a n }的公差为d (d >0), 则⎩⎪⎨⎪⎧ a 2a 3=(a 1+d )(a 1+2d )=15,S 4=4a 1+6d =16,解得⎩⎪⎨⎪⎧ a 1=1,d =2或⎩⎪⎨⎪⎧a 1=7,d =-2(舍去), ∴a n =1+2(n -1)=2n -1,S n =n (1+2n -1)2=n 2,n ∈N *. (2)由(1)知,b n +1-b n =1a n a n +1=1(2n -1)(2n +1)=12⎝ ⎛⎭⎪⎫12n -1-12n +1, b n -b 1=(b 2-b 1)+(b 3-b 2)+…+(b n -b n -1)=12⎣⎢⎡⎦⎥⎤⎝⎛⎭⎫1-13+⎝⎛⎭⎫13-15+…+⎝ ⎛⎭⎪⎫12n -3-12n -1 =12⎝ ⎛⎭⎪⎫1-12n -1=n -12n -1(n ≥2), ∴b n =3n -22n -1. 当n =1时,b 1=1也符合上式,∴b n =3n -22n -1(n ∈N *). C 级——重难题目自主选做已知数列{a n }满足,a n +1+a n =4n -3(n ∈N *).(1)若数列{a n }是等差数列,求a 1的值;(2)当a 1=2时,求数列{a n }的前n 项和S n . 解:(1)法一:∵数列{a n }是等差数列, ∴a n =a 1+(n -1)d ,a n +1=a 1+nd . 由a n +1+a n =4n -3,得a 1+nd +a 1+(n -1)d =4n -3, ∴2dn +(2a 1-d )=4n -3,即2d =4,2a 1-d =-3,解得d =2,a 1=-12. 法二:在等差数列{a n }中,由a n +1+a n =4n -3, 得a n +2+a n +1=4(n +1)-3=4n +1, ∴2d =a n +2-a n =4n +1-(4n -3)=4,∴d =2.又∵a 1+a 2=2a 1+d =2a 1+2=1,∴a 1=-12. (2)由题意知,①当n 为奇数时, S n =a 1+a 2+a 3+…+a n=a 1+(a 2+a 3)+(a 4+a 5)+…+(a n -1+a n )=2+4[2+4+…+(n -1)]-3×n -12=2n 2-3n +52. ②当n 为偶数时,S n =a 1+a 2+a 3+…+a n =(a 1+a 2)+(a 3+a 4)+…+(a n -1+a n ) =1+9+…+(4n -7)=2n 2-3n 2. 综上,S n =⎩⎪⎨⎪⎧ 2n 2-3n +52,n 为奇数,2n 2-3n 2,n 为偶数.。