2018-2019年扬州大学考研试题 644高等数学农
- 格式:pdf
- 大小:148.12 KB
- 文档页数:8
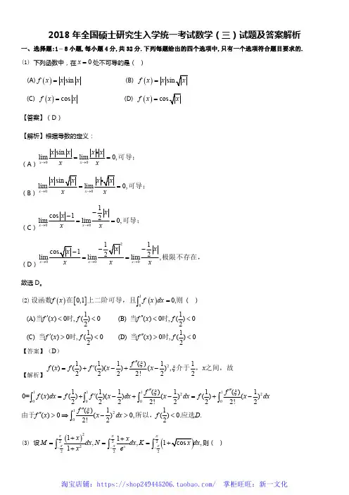
2018年考研数学一试题与答案解析(完整版)1.下列函数中不可导的是()。
A.()sin()f x x x =B.()f x x =C.()cos f x x=D.()f x =【答案】D 【解析】【解析】A 可导:()()()()-0000sin sin sin sin 0lim lim 0,0lim lim 0x x x x x x x x x x x xf f x x x x--+++→→→→⋅⋅''=====B 可导:()()-000sin 0lim lim 0,0lim lim 0x x x x x x f f x x--+++→→→→-⋅⋅''=====C 可导:()()22-000011cos -1cos -1220lim lim 0,0lim lim 0x x x x x x x x f f x x--+++→→→→--''=====D 不可导:()()()()()-000-11-11220lim lim 0lim lim -2200x x x x x x f f x x f f --+++→→→→+--''====''≠2.过点(1,0,0)与(0,1,0)且与22z x y =+相切的平面方程为A.0z =与1x y z +-= B.0z =与222x y z +-=一、选择题:1~8小题,每小题4分,共32分,下列每小题给出的四个选项中,只有一项符合题目要求的,请将所选项前的字母填在答题纸指定位置上.C.y x =与1x y z +-=D.y x =与222x y z +-=【答案】B【解析】因为平面过点(1,0,0)与(0,1,0),故C 、D 排除,22(2,2,1),(1,0,0)2(1)20(0,1,0)z x y x y x X yY Z x y=+--+-==曲面的法向量为因为平面过,则平面方程为,又因为平面过,故由此,取特殊值;令x=1,则法向量为(2,2,1)-,故B 选项正确。
2018-2019学度江苏扬州高一上年末数学试卷(含解析解析)注意事项:认真阅读理解,结合历年的真题,总结经验,查找不足!重在审题,多思考,多理解!无论是单选、多选还是论述题,最重要的就是看清题意。
在论述题中,问题大多具有委婉性,尤其是历年真题部分,在给考生较大发挥空间的同时也大大增加了考试难度。
考生要认真阅读题目中提供的有限材料,明确考察要点,最大限度的挖掘材料中的有效信息,建议考生答题时用笔将重点勾画出来,方便反复细读。
只有经过仔细推敲,揣摩命题老师的意图,积极联想知识点,分析答题角度,才能够将考点锁定,明确题意。
【一】填空题〔本大题共14小题,每题5分,共70分,请将答案填写在答题卷相应的位置上〕1、〔5分〕tan=、2、〔5分〕2lg2+lg25的值等于、3、〔5分〕假设幂函数f〔x〕=x a的图象过点〔4,2〕,那么f〔9〕=、4、〔5分〕角α的终边经过点P〔2,m〕〔m》0〕,且cosα=,那么m=、5、〔5分〕在用二分法求方程x3﹣2x﹣1=0的一个近似解时,现在已经将一根锁定在区间〔1,2〕内,那么下一步可断定该根所在的区间为、6、〔5分〕某扇形的圆心角为2弧度,周长为4cm,那么该扇形面积为cm2、7、〔5分〕假设a+b=3,那么代数式a3+b3+9ab的值为、8、〔5分〕a=log5,b=2,c=sin1,将a,b,c按从小到大的顺序用不等0.6号“《”连接为、9、〔5分〕将正弦曲线y=sinx上所有的点向右平移π个单位长度,再将图象上所有点的横坐标变为原来的倍〔纵坐标不变〕,那么所得到的图象的函数解析式y=、10、〔5分〕函数f〔x〕为偶函数,且f〔x+2〕=﹣f〔x〕,当x∈〔0,1〕时,f〔x〕=〔〕x,那么f〔〕=、11、〔5分〕f〔x〕=在【2,+∞〕上是单调增函数,那么实数a的取值范围为、12、〔5分〕如下图,在平行四边形ABCD中,AB=4,AD=3,E是边CD的中点,=,假设•=﹣4,那么sin∠BAD=、13、〔5分〕f〔x〕=,假设对任意θ∈【0,】,不等式f〔cos2θ+λsinθ﹣〕+》0恒成立,整数λ的最小值为、14、〔5分〕函数f〔x〕=ln〔a﹣〕〔a∈R〕、假设关于x的方程ln【〔4﹣a〕x +2a﹣5】﹣f〔x〕=0的解集中恰好有一个元素,那么实数a的取值范围为、【二】解答题:〔本大题共6道题,计90分、解答应写出必要的文字说明、证明过程或演算步骤〕x《2},C=15、〔14分〕全集U=R,集合A={x|2≤x《7},B={x|0《log3{x|a《x《a+1}、A〕∩B;〔1〕求A∪B,〔∁U〔2〕如果A∩C=∅,求实数a的取值范围、16、〔14分〕:θ为第一象限角,=〔sin〔θ﹣π〕,1〕,=〔sin〔﹣θ〕,﹣〕,〔1〕假设∥,求的值;〔2〕假设|+|=1,求sinθ+cosθ的值、17、〔14分〕某工厂生产甲、乙两种产品所得利润分别为P和Q〔万元〕,它们与投入资金m〔万元〕的关系有经验公式P=m+65,Q=76+4,今将150万元资金投入生产甲、乙两种产品,并要求对甲、乙两种产品的投资金额不低于25万元、〔1〕设对乙产品投入资金x万元,求总利润y〔万元〕关于x的函数关系式及其定义域;〔2〕如何分配使用资金,才能使所得总利润最大?最大利润为多少?18、〔16分〕函数y=sin〔ωx+〕〔ω》0〕、〔1〕假设ω=,求函数的单调增区间和对称中心;〔2〕函数的图象上有如下图的A,B,C三点,且满足AB⊥BC、①求ω的值;②求函数在x∈【0,2〕上的最大值,并求此时x的值、19、〔16分〕函数f〔x〕=〔e为自然对数的底数,e=2.71828…〕、〔1〕证明:函数f〔x〕为奇函数;〔2〕判断并证明函数f〔x〕的单调性,再根据结论确定f〔m2﹣m+1〕+f〔﹣〕与0的大小关系;〔3〕是否存在实数k,使得函数f〔x〕在定义域【a,b】上的值域为【ke a,ke b】、假设存在,求出实数k的取值范围;假设不存在,请说明理由、20、〔16分〕设函数f〔x〕=|ax﹣x2|+2b〔a,b∈R〕、〔1〕当a=﹣2,b=﹣时,解方程f〔2x〕=0;〔2〕当b=0时,假设不等式f〔x〕≤2x在x∈【0,2】上恒成立,求实数a 的取值范围;〔3〕假设a为常数,且函数f〔x〕在区间【0,2】上存在零点,求实数b的取值范围、2016-2017学年江苏省扬州市高一〔上〕期末数学试卷参考答案与试题解析【一】填空题〔本大题共14小题,每题5分,共70分,请将答案填写在答题卷相应的位置上〕1、〔5分〕tan=、【解答】解:tan=tan〔〕=tan=、故答案为:、2、〔5分〕2lg2+lg25的值等于2、【解答】解:lg25+2lg2=2lg5+2lg2=2〔lg5+lg2〕=2故答案为:2、3、〔5分〕假设幂函数f〔x〕=x a的图象过点〔4,2〕,那么f〔9〕=3、【解答】解:∵幂函数f〔x〕=x a的图象经过点〔4,2〕,∴4a=2;解得a=、故f〔x〕=,那么f〔9〕=3,故答案为:3、4、〔5分〕角α的终边经过点P〔2,m〕〔m》0〕,且cosα=,那么m=1、【解答】解:∵角α的终边经过点P〔2,m〕〔m》0〕,且cosα==,那么m=1,故答案为:1、5、〔5分〕在用二分法求方程x3﹣2x﹣1=0的一个近似解时,现在已经将一根锁定在区间〔1,2〕内,那么下一步可断定该根所在的区间为〔,2〕、【解答】解:令f〔x〕=x3﹣2x﹣1,那么f〔1〕=﹣2《0,f〔2〕=3》0,f〔〕=﹣《0,由f〔〕f〔2〕《0知根所在区间为〔,2〕、故答案为:〔,2〕、6、〔5分〕某扇形的圆心角为2弧度,周长为4cm,那么该扇形面积为1cm2、【解答】解:设该扇形的半径为r,根据题意,有l=αr+2r4=2r+2rr=1S扇形=αr2=×2×12=1、故答案为:1、7、〔5分〕假设a+b=3,那么代数式a3+b3+9ab的值为27、【解答】解:∵a+b=3,∴代数式a3+b3+9ab=〔a+b〕〔a2+b2﹣ab〕+9ab=3〔a2+b2﹣ab〕+9ab=3【〔a+b〕2﹣3ab】+9ab=3〔9﹣3ab〕+9ab=27、故答案为:27、8、〔5分〕a=log0.65,b=2,c=sin1,将a,b,c按从小到大的顺序用不等号“《”连接为a《c《b、【解答】解:∵a=log0.65《log0.61=0,b=2》20=1,0《c=sin1《1,∴a《c《B、故答案为:a《c《B、9、〔5分〕将正弦曲线y=sinx上所有的点向右平移π个单位长度,再将图象上所有点的横坐标变为原来的倍〔纵坐标不变〕,那么所得到的图象的函数解析式y=、【解答】解:由题意,将函数y=sinx的图象上所有的点向右平行移动π个单位长度,利用左加右减,可所函数图象的解析式为y=sin〔x﹣π〕,再把所得各点的横坐标伸长到原来的倍〔纵坐标不变〕,利用x的系数变为原来的3倍进行横向变换,可得图象的函数解析式是、故答案为:、10、〔5分〕函数f〔x〕为偶函数,且f〔x+2〕=﹣f〔x〕,当x∈〔0,1〕时,f〔x〕=〔〕x,那么f〔〕=、【解答】解:∵当x∈〔0,1〕时,f〔x〕=〔〕x,∴f〔〕=f〔﹣〕=,又∵f〔x+2〕=﹣f〔x〕,∴f〔x+4〕=﹣f〔x+2〕=f〔x〕,f〔〕=f〔﹣〕=,故答案为:11、〔5分〕f〔x〕=在【2,+∞〕上是单调增函数,那么实数a的取值范围为【,+∞〕、【解答】解:f〔x〕==ax++1,函数的导数f′〔x〕=a﹣,∵f〔x〕在【2,+∞〕上是单调增函数,∴f′〔x〕=a﹣≥0在【2,+∞〕上恒成立,即a≥,∵≤,∴a≥,即实数a的取值范围是【,+∞〕,故答案为:【,+∞〕12、〔5分〕如下图,在平行四边形ABCD中,AB=4,AD=3,E是边CD的中点,=,假设•=﹣4,那么sin∠BAD=、【解答】解:在平行四边形ABCD中,AB=4,AD=3,E是边CD的中点,=,∴=+=+,=﹣=﹣,∴•=〔+〕•〔﹣〕=﹣﹣•=﹣﹣||•||cos∠BAD=6﹣8﹣8cos∠BAD=﹣4,∴cos∠BAD=,∴sin∠BAD=,故答案为:13、〔5分〕f〔x〕=,假设对任意θ∈【0,】,不等式f〔cos2θ+λsinθ﹣〕+》0恒成立,整数λ的最小值为1、【解答】解:∵f〔x〕=,令f〔x〕,解得:x,假设对任意θ∈【0,】,不等式f〔cos2θ+λsinθ﹣〕+》0恒成立,那么对任意θ∈【0,】,cos2θ+λsinθ﹣恒成立,即1﹣sin2θ+λsinθ﹣恒成立,当θ=0时,不等式恒成立,当θ≠0时,1﹣sin2θ+λsinθ﹣可化为:λ》=sinθ﹣,当θ=时,sinθ﹣取最大值,故λ》,故整数λ的最小值为1,故答案为:1、14、〔5分〕函数f〔x〕=ln〔a﹣〕〔a∈R〕、假设关于x的方程ln【〔4﹣a〕x+2a﹣5】﹣f〔x〕=0的解集中恰好有一个元素,那么实数a的取值范围为〔1,2】∪{3,4}、【解答】解:由ln【〔4﹣a〕x+2a﹣5】﹣f〔x〕=0,得ln【〔4﹣a〕x+2a﹣5】=ln〔a﹣〕,即a﹣=〔4﹣a〕x+2a﹣5》0,①那么〔a﹣4〕x2﹣〔a﹣5〕x﹣1=0,即〔x﹣1〕【〔a﹣4〕x+1】=0,②,当a=4时,方程②的解为x=1,代入①,成立;当a=3时,方程②的解为x=1,代入①,成立;当a≠4且a≠3时,方程②的解为x=1或x=﹣,假设x=1是方程①的解,那么a﹣=a﹣1》0,即a》1,假设x=﹣是方程①的解,那么a﹣=2a﹣4》0,即a》2,那么要使方程①有且仅有一个解,那么1《a≤2、综上,关于x的方程ln【〔4﹣a〕x+2a﹣5】﹣f〔x〕=0的解集中恰好有一个元素,那么a的取值范围是1《a≤2,或a=3或a=4,故答案为:〔1,2】∪{3,4}、【二】解答题:〔本大题共6道题,计90分、解答应写出必要的文字说明、证明过程或演算步骤〕x《2},C=15、〔14分〕全集U=R,集合A={x|2≤x《7},B={x|0《log3{x|a《x《a+1}、〔1〕求A∪B,〔∁A〕∩B;U〔2〕如果A∩C=∅,求实数a的取值范围、x《2,得1《x《9∴B=〔1,9〕,【解答】解:〔1〕由0《log3∵A={x|2≤x《7}=【2,7〕,∴A∪B=〔1,9〕A=〔﹣∞,2〕∪【7,+∞〕,∁U∴〔∁A〕∩B=〔1,2〕∪【7,9〕U〔2〕C={x|a《x《a+1}=〔a,a+1〕∵A∩C=∅,∴a+1≤2或a≥7,解得:a≤1或a≥716、〔14分〕:θ为第一象限角,=〔sin〔θ﹣π〕,1〕,=〔sin〔﹣θ〕,﹣〕,〔1〕假设∥,求的值;〔2〕假设|+|=1,求sinθ+cosθ的值、【解答】解:〔1〕∵=〔sin〔θ﹣π〕,1〕,=〔sin〔﹣θ〕,﹣〕,∥,∴﹣sin〔θ﹣π〕=sin〔﹣θ〕,可得:sinθ=cosθ又∵θ为第一象限角,可得:tanθ=2,∴==5、〔2〕∵|+|=1,+=〔cosθ﹣sinθ,〕,∴〔cosθ﹣sinθ〕2+〔〕2=1,解得:2sinθcosθ=,∴sinθ+cosθ==、17、〔14分〕某工厂生产甲、乙两种产品所得利润分别为P和Q〔万元〕,它们与投入资金m〔万元〕的关系有经验公式P=m+65,Q=76+4,今将150万元资金投入生产甲、乙两种产品,并要求对甲、乙两种产品的投资金额不低于25万元、〔1〕设对乙产品投入资金x万元,求总利润y〔万元〕关于x的函数关系式及其定义域;〔2〕如何分配使用资金,才能使所得总利润最大?最大利润为多少?【解答】解:〔1〕根据题意,对乙种商品投资x〔万元〕,对甲种商品投资〔150﹣x〕〔万元〕〔25≤x≤125〕、所以y=〔150﹣x〕+65+76+4﹣﹣﹣﹣﹣﹣﹣﹣﹣﹣﹣﹣﹣﹣﹣﹣﹣﹣﹣﹣﹣﹣〔4分〕其定义域为【25,125】﹣﹣﹣﹣﹣﹣﹣﹣﹣﹣﹣﹣﹣﹣﹣﹣﹣﹣﹣﹣﹣﹣﹣〔6分〕〔2〕令t=,因为x∈【25,125】,所以t∈【5,5】,有y=﹣+203﹣﹣﹣﹣﹣﹣〔12分〕所以当t=6时,即x=36时,ymax=203﹣﹣﹣﹣﹣﹣﹣﹣﹣﹣﹣﹣﹣〔14分〕答:当甲商品投入114万元,乙商品投入36万元时,总利润最大为203万元、﹣﹣﹣﹣﹣﹣﹣﹣﹣〔16分〕18、〔16分〕函数y=sin〔ωx+〕〔ω》0〕、〔1〕假设ω=,求函数的单调增区间和对称中心;〔2〕函数的图象上有如下图的A,B,C三点,且满足AB⊥BC、①求ω的值;②求函数在x∈【0,2〕上的最大值,并求此时x的值、【解答】解:〔1〕ω=时,函数y=sin〔x+〕,令﹣+2kπ≤x+≤+2kπ,k∈Z,解得:﹣3+8k≤x≤1+8k,k∈Z,∴函数y的单调增区间为【﹣3+8k,1+8k】,〔k∈Z〕;…〔4分〕令x+=kπ,k∈Z,解得x=﹣1+4k,k∈Z,∴函数y的对称中心为〔﹣1+4k,0〕,〔k∈Z〕;…〔8分〕〔2〕①由图知:点B是函数图象的最高点,设B〔xB,〕,设函数最小正周期为T,那么A〔xB ﹣,0〕,C〔xB+,0〕;∴=〔,〕,=〔,﹣〕,…〔10分〕由⊥,得•=T2﹣3=0,解得:T=4,∴ω==;…〔12分〕②由x∈【0,2】得x+∈【,】,∴sin〔x+〕∈【﹣,1】,∴函数y在【0,2】上的最大值为,…〔14分〕此时x+=+2kπ,k∈Z,那么x=4k,k∈Z;又x∈【0,2】,∴x=、…〔16分〕19、〔16分〕函数f〔x〕=〔e为自然对数的底数,e=2.71828…〕、〔1〕证明:函数f〔x〕为奇函数;〔2〕判断并证明函数f〔x〕的单调性,再根据结论确定f〔m2﹣m+1〕+f〔﹣〕与0的大小关系;〔3〕是否存在实数k,使得函数f〔x〕在定义域【a,b】上的值域为【ke a,ke b】、假设存在,求出实数k的取值范围;假设不存在,请说明理由、【解答】解:〔1〕证明:函数f〔x〕定义域为R,…〔1分〕对于任意的x∈R,都有f〔﹣x〕===﹣f〔x〕,所以函数f〔x〕为奇函数…〔4分〕〔2〕f〔x〕=在R上为增函数,理由如下:∵f′〔x〕=》0恒成立,∴f〔x〕=在R上为增函数,…〔7分〕∵∴f〔m2﹣m+1〕≥f〔﹣〕=﹣f〔〕,∴f〔m2﹣m+1〕+f〔﹣〕≥0…〔10分〕〔3〕∵f〔x〕为R上的增函数且函数f〔x〕在定义域【a,b】上的值域为【ke a,ke b】、∴k》0且,=ke x在R上有两个不等实根;…〔12分〕令t=e x,t》0且单调增,问题即为方程kt2+〔k﹣1〕t+1=0在〔0,+∞〕上有两个不等实根,设h〔t〕=kt2+〔k﹣1〕t+1,那么,解得:0《k《3﹣2…〔16分〕20、〔16分〕设函数f〔x〕=|ax﹣x2|+2b〔a,b∈R〕、〔1〕当a=﹣2,b=﹣时,解方程f〔2x〕=0;〔2〕当b=0时,假设不等式f〔x〕≤2x在x∈【0,2】上恒成立,求实数a 的取值范围;〔3〕假设a为常数,且函数f〔x〕在区间【0,2】上存在零点,求实数b的取值范围、【解答】解:〔1〕当a=﹣2,b=﹣时,f〔x〕=|x2+2x|﹣15,所以方程即为:|2x〔2x+2〕|=15解得:2x=3或2x=﹣5〔舍〕,所以x=;…〔3分〕〔2〕当b=0时,假设不等式:x|a﹣x|≤2x在x∈【0,2】上恒成立;当x=0时,不等式恒成立,那么a∈R;…〔5分〕当0《x≤2时,那么|a﹣x|≤2,在【0,22】上恒成立,即﹣2≤x﹣a≤2在〔0,2】上恒成立,因为y=x﹣a在〔0,2】上单调增,ymax =2﹣a,ymin=﹣a,那么,解得:0≤a≤2;那么实数a的取值范围为【0.2】;…〔8分〕〔3〕函数f〔x〕在【0,2】上存在零点,即方程x|a﹣x|=﹣2b在【0,2】上有解;设h〔x〕=当a≤0时,那么h〔x〕=x2﹣ax,x∈【0,2】,且h〔x〕在【0,2】上单调增,所以h〔x〕min =h〔0〕=0,h〔x〕max=h〔2〕=4﹣2a,那么当0≤﹣2b≤4﹣2a时,原方程有解,那么a﹣2≤b≤0;…〔10分〕当a》0时,h〔x〕=,h〔x〕在【0,】上单调增,在【】上单调减,在【a,+∞〕上单调增;①当,即a≥4时,h〔x〕min =h〔0〕=0,h〔x〕max=h〔2〕=4﹣2a,那么当那么当0≤﹣2b≤2a﹣4时,原方程有解,那么2﹣a≤b≤0;②当,即2≤a《4时,h〔x〕min =h〔0〕=0,h〔x〕max=h〔〕=,那么当0≤﹣2b≤时,原方程有解,那么﹣;③当0《a《2时,h〔x〕min =h〔0〕=0,h〔x〕max=max{h〔2〕,h〔〕=max{4﹣2a,}当,即当﹣4+4≤a《2时,h〔x〕max=,那么当0≤﹣2b≤时,原方程有解,那么;当,即那么0时,h〔x〕max=4﹣2a,那么当0≤﹣2b≤4﹣2a时,原方程有解,那么a﹣2≤b≤0;…〔14分〕综上,当0《a《﹣4+4时,实数b的取值范围为【a﹣2,0】;当﹣4+4≤a《4时,实数b的取值范围为【】;当a≥4时,实数b的取值范围为【2﹣a,0】;。
扬州市2018—2019学年度第一学期期末检测试题高三数学2019.01一、填空题(本大题共14小题,每小题5分,共计70分.不需要写出解答过程,请将答案填写在答题卡相应的位置上..........) 1.已知集合M ={﹣2,﹣1,0},N =1()22x x ⎧⎫>⎨⎬⎩⎭,则MN = .2.若i 是虚数单位,且复数z 满足(1i)2z +=,则z = .3.底面半径为1,母线长为3的圆锥的体积是 .4.某学校选修网球课程的学生中,高一、高二、高三年级分别有50名、40名、40名.现用分层抽样的方法在这130名学生中抽取一个样本,已知在高二年级学生中抽取了8名,则在高一年级学生中应抽取的人数为 .5.根据如图所示的伪代码,已知输出值y 为3,则输入值x 为 .6.甲乙两人各有三张卡片,甲的卡片分别标有数字1、2、3,乙的卡片分别标有数字0、1、3.两人各自随机抽出一张,甲抽出卡片的数字记为a ,乙抽出卡片的数字记为b ,则a 与b 的积为奇数的概率为 . 7.若直线l 1:240x y -+=与l 2:430mx y -+=平行,则两平行直线l 1,l 2间的距离为 .8.已知等比数列{}n a 的前n 项和为n S ,若37S =,663S =,则1a = .9.已知双曲线22221x y a b-=(a >0,b >0)的一条渐近线方程为20x y -=,则该双曲线的离心率为 .10.已知直线l :4y x =-+与圆C :22(2)(1)1x y -+-=相交于P ,Q 两点,则CP CQ⋅= .11.已知正实数x ,y 满足40x y xy +-=,若x y m +≥恒成立,则实数m 的取值范围为.12.设a ,b 是非零实数,且满足sincos1077tan 21cos sin 77a b a b πππππ+=-,则b a = .13.已知函数4()3f x a x a x=++-+有且仅有三个零点,并且这三个零点构成等差数列,则实数a 的值为 .14.若存在正实数x ,y ,z 满足223310y z yz +≤,且ln ln ey x z z -=,则xy的最小值为 .二、解答题(本大题共6小题,共计90分.请在答题纸指定区域.......内作答,解答应写出文字说明,证明过程或演算步骤.) 15.(本题满分14分)已知函数22()cos cos sin f x x x x x =+-,R x ∈. (1)求函数()f x 的单调增区间;(2)求方程()0f x =在(0,π]内的所有解. 16.(本题满分14分)如图所示,在三棱柱ABC —A 1B 1C 1中,四边形AA 1B 1B 为矩形,平面AA 1B 1B ⊥平面ABC ,点E ,F 分别是侧面AA 1B 1B ,BB 1C 1C 对角线的交点.(1)求证:EF ∥平面ABC ; (2)BB 1⊥AC .17.(本题满分14分)为了美化环境,某公园欲将一块空地规划建成休闲草坪,休闲草坪的形状为如图所示的四边形ABCD .其中AB =3百米,AD BCD 是以D 为直角顶点的等腰直角三角形.拟修建两条小路AC ,BD (路的宽度忽略不计),设∠BAD =θ,θ∈(2π,π).(1)当cos θ=AC 的长度; (2)当草坪ABCD 的面积最大时,求此时小路BD 的长度.18.(本题满分16分)在平面直角坐标系中,椭圆M :22221x y a b+=(a >b >0)的离心率为12,左右顶点分別为A ,B ,线段AB 的长为4.P 在椭圆M 上且位于第一象限,过点A ,B 分别作l 1⊥PA ,l 2⊥PB ,直线l 1,l 2交于点C .(1)若点C 的横坐标为﹣1,求P 点的坐标;(2)直线l 1与椭圆M 的另一交点为Q ,且AC AQ λ=,求λ的取值范围.19.(本题满分16分)已知函数()(3)xf x x e =-,()(R)g x x a a =+∈.(e 是自然对数的底数,e≈2.718…)(1)求函数()f x 的极值;(2)若函数()()y f x g x =在区间[1,2]上单调递增,求a 的取值范围; (3)若函数()()()f x g x h x x+=在区间(0,+∞)上既存在极大值又存在极小值,并且()h x 的极大值小于整数b ,求b 的最小值.20.(本题满分16分)记无穷数列{}n a 的前n 项中最大值为n M ,最小值为n m ,令2n nn M m b +=,数列{}n a 的前n 项和为n A ,数列{}n b 的前n 项和为n B .(1)若数列{}n a 是首项为2,公比为2的等比数列,求n B ;(2)若数列{}n b 是等差数列,试问数列{}n a 是否也一定是等差数列?若是,请证明;若不是,请举例说明;(3)若2100nn b n =-,求n A .第一部分(附加题)21.(本题满分10分)已知矩阵A =ab ⎡⎢⎣ 12⎤⎥⎦,满足A 13⎡⎤⎢⎥⎣⎦=68⎡⎤⎢⎥⎣⎦,求矩阵A 的特征值. 22.(本题满分10分)在直角坐标系xOy 中,直线l 的参数方程为22x ty t=⎧⎨=--⎩(t 为参数).在极坐标系中(与直角坐标系xOy 取相同的长度单位,且以原点O 为极点,极轴与x 轴的非负半轴重合),圆C 的方程为)4πρθ=+,求直线l 被圆C 截得的弦长.23.(本题满分10分)将边长为2的正方形ABCD 沿对角线BD 折叠,使得平面ABD ⊥平面CBD ,又AE ⊥平面ABD .(1)若AE DE 与直线BC 所成角; (2)若二面角A —BE —D 的大小为3π,求AE 的长度.24.(本题满分10分)已知直线x =﹣2上有一动点Q ,过点Q 作直线l ,垂直于y 轴,动点P 在l 1上,且满足OP OQ 0⋅=(O 为坐标原点),记点P 的轨迹为C .(1)求曲线C 的方程; (2)已知定点M(12-,0),N(12,0),点A 为曲线C 上一点,直线AM 交曲线C 于另一点B ,且点A 在线段MB 上,直线AN 交曲线C 于另一点D ,求△MBD 的内切圆半径r 的取值范围.参 考 答 案2019.1第 一 部 分1. 234.10 5. 6.78.1 910.0 11.1213.或 14. 15.解: (4)分 (1)由,解得:∴函数的单调增区间为 …………8分(2)由得,解得:,即 ∵ ∴或. …………14分 16.证明:(1)∵三棱柱 ∴四边形,四边形均为平行四边形∵分别是侧面,对角线的交点 ∴分别是,的中点 ∴ ………………4分 ∵平面,平面∴平面 ………………8分 (2)∵四边形为矩形 ∴∵平面平面,平面,平面平面∴平面 ………………12分 ∵平面 ∴………………14分17.解:(1)在中,由,得,又………………2分 ∵∴{2}-2-499m ≤1161-2e 22()cos cos sin 2cos22sin(2)6f x x x x x x x x π=+-+=+222,262k x k k Z πππππ-+≤+≤+∈,36k x k k Z ππππ-+≤≤+∈()f x [,],36k k k Z ππππ-++∈()0f x =2sin(2)06x π+=26x k ππ+=,122k x k Z ππ=-+∈(0,]x π∈512x π=1112x π=111ABC A B C -11AA B B 11BB C C ,E F 11AA B B 11BB C C ,E F 1AB 1CB //EF AC EF ⊄ABC AC ⊂ABC //EF ABC 11AA B B 1BB AB ⊥11AA B B ⊥ABC 1BB ⊂11ABB A 11ABB A ABC AB =1BB ⊥ABC AC ⊂ABC 1BB ⊥AC ABD △2222cos BD AB AD AB AD θ=+-⋅214BD θ=-cos =θ-BD =(,)2πθπ∈sin θ=由,解得:, ∵是以为直角顶点的等腰直角三角形 ∴2CDB π∠=且CD BD ==∴ ………………5分在中,,解得:………………7分 (2)由(1)得:, ,此时,且 (10)分当时,四边形的面积最大,即,此时∴,即…………13分 答:当cos =θ-小路百米;草坪的面积最大时,小路的百米.…………14分18.解:由题意得,解得,∴2223b a c =-=∴椭圆M的方程是且(2,0),(2,0)A B - …………3分(1)方法一:设,,∵1l PA ⊥ ∴直线AC 的方程为, 同理:直线BC 的方程为. sin sin BD AB BAD ADB =∠∠3sin ADB =∠3sin 5ADB ∠=BCD △D 3cos cos()sin 25ADC ADB ADB π∠=∠+=-∠=-ACD △2222232cos 2()375AC AD DC AD DC ADC =+-⋅∠=+--=AC =214BD θ=-2113sin 7sin 22ABCD ABDBCDS S SBD θθθ=+=⨯+⨯=+-1572cos )7sin()2θθθφ=+-=+-sin φφ=(0,)2πφ∈2πθφ-=ABCD 2πθφ=+sin θθ==21414(26BD θ=-=-=BD =AC ABCD BD 1224c a a ⎧=⎪⎨⎪=⎩12c a =⎧⎨=⎩22143x y +=00(,)P x y 002PA y k x =+02(2)x y x y +=-+002(2)x y x y -=--联立方程,解得,又∵, ∴点C 的坐标为, (6)分∵点的横坐标为1- ∴,又∵P 为椭圆M 上第一象限内一点 ∴ ∴点的坐标为3(1,)2. …………8分(2)设(,)Q Q Q x y ∵AC AQ λ= ∴002(2)43Q Q x x y y λλ-+=+⎧⎪⎨-=⎪⎩,解得:002243Q Qx x y y λλλ⎧=-+-⎪⎪⎨⎪=-⎪⎩∵点Q 在椭圆M 上 ∴22001214(2)()1433x y λλλ-+-+-= 又22003(1)4x y =- 整理得:200736(1)721000x x λλ--+-=,解得:02x =或036507x λ-= …………14分∵P 为椭圆M 上第一象限内一点 ∴3650027λ-<<,解得:2516189λ<< …………16分方法二:(1)设的斜率为,, ∵P 为椭圆上第一象限内一点∴0k << ∵ ∴的斜率为. 联立方程,解得,即2226812(,)4343k k P k k -++ ∵,∴,则AC 的方程为 ∵,∴,则BC 的方程为. 由,得,即2228616(,)4343k k C k k --++ …………6分∵点的横坐标为1- ∴,解得:00002(2)2(2)x y x y x y x y +⎧=-+⎪⎪⎨-⎪=--⎪⎩02004x x x y y=-⎧⎪-⎨=⎪⎩22000004444433y x y y y ---==-004(,)3x y --C 01x =032y =P AP k 00(,)P x y M 2000200032244AP BPy y y k k x x x ⋅=⋅==-+--BP 34k-(2)3(2)4y k x y x k =+⎧⎪⎨=--⎪⎩22268431243k x k k y k ⎧-=⎪⎪+⎨⎪=⎪+⎩1l PA ⊥1AC k k =-1(2)y x k =-+2l PB ⊥43BCk k =4(2)3y k x =-1(2)4(2)3y x k y k x ⎧=-+⎪⎪⎨⎪=-⎪⎩22286431643k x k k y k ⎧-=⎪⎪+⎨-⎪=⎪+⎩C 2286143k k -=-+12k =±∵0k <<∴ ∴点的坐标为3(1,)2. …………8分 (2)设(,)Q Q Q x y ,(,)C C C x y ,又直线AC 的方程为:联立方程221(2)143y x k x y ⎧=-+⎪⎪⎨⎪+=⎪⎩,得222(34)1616120k x x k +++-= ∴221612234Q k x k --⋅=+,解得:226834Q k x k -=+ ∵AC AQλ= ∴222222222862216(34)743168212(43)129234C Q k x k k k k x k k k k λ-++++====+-+++++, …………14分∵0k <<∴ …………16分 19.解:(1),,令,解得,列表:∴当时,函数取得极大值,无极小值 …………3分 (2)由,得∵0x e >,令,∴函数在区间上单调递增等价于对任意的,函数恒成立 ∴,解得3a ≥-. …………8分(3), 令,∵在上既存在极大值又存在极小值,∴在上有两个不等实根, 即在上有两个不等实根. …………10分∵12k =P 1(2)y x k=-+2516(,)189λ∈()(3)x f x x e =-'()(2)x f x x e =-'()0f x =2x =2x =()f x 2(2)f e =()()(3)()xy f x g x x x a e ==-+22'[(3)32(3)][(1)23]x x y e x a x a x a e x a x a =-+-+-+-=-+-++2()(1)23m x x a x a =-+-++()()y f x g x =[1,2][1,2]x ∈()0m x ≥(1)0(2)0m m ≥⎧⎨≥⎩()()(3)()x f x g x x e x a h x x x +-++==22(33)'()x e x x a h x x -+--=2()(33)x r x e x x a =-+--()h x (0,)+∞'()0h x =(0,)+∞2()(33)0x r x e x x a =-+--=(0,)+∞1212,()x x x x <22'()(3323)()(1)x x x r x e x x x e x x x x e =-+--+=-+=-∴当时,,单调递增,当时,,单调递减 则,∴,解得,∴∵()r x 在(0,)+∞上连续且3(0)(1)0,(1)()02r r r r ⋅<⋅<∴()0r x =在(0,1)和3(1,)2上各有一个实根∴函数在上既存在极大值又存在极小值时,有,并且在区间上存在极小值1()f x ,在区间上存在极大值2()f x .∴,且 ,…………13分令()(2),'()(1)x x H x e x H x e x =-=-,当时,'()0H x <,()H x 单调递减∵,∴23()()(1)2h h x h <<,即3221()(1,1)2h x e e ∈++,则32131142e e <+<+<∵()h x 的极大值小于整数b ,∴满足题意的整数的最小值为. …………16分20.解:(1)∵数列是首项为2,公比为2的等比数列,∴,∴,则,∴ (4)分(2)方法(一)若数列是等差数列,设其公差为 ∵11122n n n n n n M m M m b b ---++-=-根据的定义,有以下结论:,,且两个不等式中至少有一个取等号, …………6分①若,则必有,∴,即对,都有 ∴,, ∴,即为等差数列;(0,1)x ∈'()0r x >()r x (1,)x ∈+∞'()0r x <()r x 101x <<(0)0(1)0r r <⎧⎨>⎩3a e -<<-3322333()30244r e a e =--<-+<()h x (0,)+∞3a e -<<-(0,1)3(1,)222222(3)()x x e x a h x x -++=2222222(33)'()0x e x x ah x x -+--==2222(33)x a e x x =-+-22222222222(3)(33)()(2)1x x x x e x e x x h x e x x -++-+-==-+(1,)x ∈+∞23(1,)2x ∈b 4{}n a 2n n a =2n m =2n n n M a ==122122n n n b -+==+1212112n n n B n n -=+⨯=-+-{}n b 'd 11'22n n n n M M m m d ----=+=,n n M m 1n n M M -≥1n n m m -≤'0d >1n n M M ->11n n n n a M M a --=>≥2,*n n N ≥∈1n n a a ->n n M a =1n m a =11122n n n n n n M m M m b b ---++-=-1111'222n n n n a a a a a a d --++-=-==12'n n a a d --={}n a②当时,则必有,所以,即对,都有∴,,所以,即为等差数列; ③当, ∵,中必有一个为0,∴根据上式,一个为0,则另一个亦为0, 即,,∴为常数数列,所以为等差数列,综上,数列也一定是等差数列. …………10分 方法(二)若数列是等差数列,设通项公式为,则.对于数列:,增加时,有下列情况:①若时,则,此时,∴对恒成立 则,,∴即为常数,则数列是等差数列. …………7分 ②若时,则, ∴ ∵数列是等差数列且 ∴, ∴ ∴,即,即为常数数列 ∴数列是公差为0的等差数列. ③若时,则,此时,∴对恒成立 则,,∴即为常数,则数列是等差数'0d <1n n m m -<11n n n n a m m a --=<≤2,n n N ≥∈1n n a a -<1n M a =n n m a =11122n n n n n n M m M m b b ---++-=-1111'222nn nn a a a aaad --++-=-==12'n n a a d --={}n a '0d =11122n n n n n n M m M m b b ---++-=-11022n n n n M M m m ----=+=1n n M M --1n n m m --1n n M M -=1n n m m -={}n a {}n a {}n a {}n b (,n b p n q p q R =+∈1n n b b p +-={}n a 12,,,n a a a 1n a +1n n a M +>111,n n n n M a m m +++==11n n n n a M M a ++=>≥1n n a a +>*n N ∈n nM a =11n n m m a +==111111122222n n n n n n nnn n M m M m a a a a a a b b p +++++++++--=-=-==12n n a a p +-={}n a 1n nn m a M +≤≤11,n n n n M M m m ++==1n n b b +={}n b n b p n q =+0p =n b q =111111,n n nnnn M M M Ma q m m mm a q+-+-============1n q a q +≤≤n a q ={}n a {}n a 1n n a m +<11,n n n n M M m +++==11n n n n a m m a ++=<≤1n n a a +<*n N ∈11n n M M a +==n nm a =111111122222n n n n n nnnn n M m M m a a a a a ab b p +++++++++--=-=-==12n n a a p +-={}n a列. …………10分 (3)∵, ∴当时,,即,当时,,即.以下证明:,当7n <时,若1n n n m a M +≤≤,则1n n M M +=,1n n m m +=,所以1n n b b +=,不合题意; 若1n n a M +>,则11n n M a ++=,1n n m m +=,则1122n n n n M m M m ++++<,得:1n n b b +<,与1n n b b +>矛盾,不合题意;∴1n n n a m a +<≤,即;同理可证:,即时,.①当时,, ∴ ∴, ∵ ∴∴ …………13分②当时,,且∴,则n M 为1a 或n a .若n M 为1a ,则n b 为常数,与题意不符∴ ∴ ∴ ∴9797892(12)(8)(7)249001442001046(7)122n n n n n A A a a a n --+-=++++=---+-⨯+--2221009466640n n n +=-+-∴2222210024,7*21009466640,8n n n n n n A n N n n n ++⎧---≤⎪=∈⎨-+-≥⎪⎩,. …………16分第二部分(加试部分)21.(B )解:∵ ∴ …………5分 11[2100(1)][2100]2100n n n n n b b n n ++-=-+--=-7n <10n n b b +-<1267b b b b >>>>7n ≥10n n b b +->789b b b <<<1267a a a a >>>>789a a a <<<1267a a a a >>>>789a a a <<<7,*n n N ≥∈1n n a a +<7n ≤1n M a =n n m a =12nn a a b +=12n n a b a =-1198a b ==-2100n n b n =-1220098n n a n +=-+224(12)(1)20098210024122n n n n n A n n n +-+=-⨯+=----7n >1267a a a a >>>>789a a a <<<8722007981046n m a ==-⨯+=-n n M a =72n n a a b +=17222001046n n n a b a n +=-=-+1113632368a a A b b +⎡⎤⎡⎤⎡⎤⎡⎤⎡⎤===⎢⎥⎢⎥⎢⎥⎢⎥⎢⎥+⎣⎦⎣⎦⎣⎦⎣⎦⎣⎦32a b =⎧⎨=⎩矩阵A 的特征多项式为231()(3)(2)254022f λλλλλλλ--==---=-+=--, 令,解得矩阵的特征值为或. …………10分 21.(C )解:将直线l 的参数方程为22x ty t =⎧⎨=--⎩化为方程:240x y ++= …………2分圆C的方程为)4πρθ=+化为直角坐标系方程:24(cos sin )ρρθθ=-, 即22440x y x y +-+=,22(2)(2)8x y -++=,其圆心(2,2)-,半径为…………5分∴圆心C 到直线l的距离为d ==∴直线被圆截得的弦长为. …………10分 22.解:∵正方形边长为2 ∴,, 又⊥平面∴以点为原点,所在直线为轴建立空间直角坐标系. 作,垂足为∵平面⊥平面,平面,平面平面 ∴平面∵ ∴点为的中点,…………2分 (1)∵∴,,,,∴ ∴ ∴ ∴直线与直线所成角为; …………5分 (2)设的长度为,则∵AD ⊥平面ABE∴平面ABE 的一个法向量为1(0,1,0)n = …………6分 设平面的法向量为,又∴ ∴,解得:,取,则∴平面的一个法向量为 …………8分 ∴121212cos ,||||n n n n n n a ⋅<>===()0f λ=A 14l C ABCD AB AD ⊥CB CD ⊥2AB AD CD BC ====AE ABD A ,,AB AD AE ,,x y z CF BD ⊥F ABD CBD CF ⊂CBD ABD CBD BD =CF ⊥ABD 2CB CD ==F BD CF AE =E (2,0,0)B (0,2,0)D (1,1,0)F C (0,2,2),(1,1DE BC =-=-0DE BC ⋅=DE BC ⊥DE BC 2πAE (0)a a >(0,0,)E a BDE 2111(,,)n x y z =(2,0,),(2,2,0)BE a BD =-=-22,n BE n BD ⊥⊥21121120220n BE x az n BD x y ⎧⋅=-+=⎪⎨⋅=-+=⎪⎩11112a x z x y ⎧=⎪⎨⎪=⎩12z =11x y a ==BDE 2(,,2)n a a =∵二面角A BE D --的大小为12=,解得:a ∴的长度为 …………10分23.解:(1)设点,则 ∴∵ ∴,即 …………2分 (2)设,直线与轴交点为,内切圆与的切点为.设直线的方程为:,则联立方程,得: ∴且120x x << ∴ ∴直线的方程为:,与方程联立得:,化简得:解得:或 ∵ ∴轴 设的内切圆圆心为,则在轴上且……5分 方法(一)∴2211()|2|22MBD S x y =⋅+⋅△,且MBD △的周长为:22||y∴2221112||]()|2|222MBD S y r x y =⋅=⋅+⋅△∴221()||x y r +=== ……8分方法(二)设,直线的方程为:,其中 直线的方程为:,即,且点H 与点O 在直线AB 的同侧3πAE (,)P x y (2,)Q y -(,),(2,)OP x y OQ y ==-0OP OQ ⋅=220OP OQ x y ⋅=-+=22y x =112233(,),(,),(,)A x y B x y D x y BD x E AB T AM 1()2y k x =+21()22y k x y x ⎧=+⎪⎨⎪=⎩2222(2)04k k x k x +-+=1214x x =1212x x <<AN 111()122y y x x =--22y x =222221111111(+22)024y x y x x x y --++=22111112(2)022x x x x x -++=114x x =1x x =32114x x x ==BD x ⊥MBD △HHx HT AB ⊥2(,0)H x r -BD 2x x =2222y x =AM 221()22y y x x =++22211()022y x x y y -++=∴22222211|()|()x r y y x r y y r -+-+=,解得:2221x y y r +==…8分方法(三)∵ ∴,解得:…8分令,则∴在上单调增,则,即的取值范围为.……10分MTHMEB △△MH HT MB BE=221||x rr y +-=2222111()||x y x x r +++===212t x =+1t >r =(1,)+∞r r 1,)+∞。
扬州大学《离散数学》2018-2019第一学期期末试卷注意事项:1. 答卷前请将密封线内的项目填写清楚。
重修学生需明确标注重修。
2. 所有试题不得在试卷上作答,均填写到答题纸上,考试结束后将答题纸和试卷一并交回。
一、选择题(每小题3 分,本题共24分)[ ] 1. 下列语句中不是命题的是( )A 、《西游记》的作者是曹雪芹B 、这里风景太美了!C 、1+1≠2D 、生命起源于海洋 [ ] 2. 取个体域为自然数集,则下列公式中为真命题的是( ) A 、(+0)∃∀=x y x y B 、(0)∀∃+=x y x y C 、(0)∃∃+=x y x y D 、(0)∀∀+=x y x y [ ] 3.下列关系中能构成函数的是( )A 、{,|,N,}=<>∈=F x y x y x yB 、{,|,Z,}=<>∈=F x y x y x yC 、{,|,Q,}=<>∈=F x y x y y xD 、{,|,N,}=<>∈=F x y x y y x [ ] 4. 设集合{1,2,3}=A 中有下列关系,则其中具有传递性的是( )A 、{1,2,2,1}<><>B 、{1,2,2,2}<><>C 、{1,2,2,3}<><>D 、{1,2,3,1}<><>[ ] 5. 设S 为实数集,×与+分别为普通乘法与加法运算,则S ( )A 、对×运算封闭,对+运算封闭B 、对×运算封闭,对+运算不封闭C 、对×从运算不封闭,对+运算封闭D 、对×运算与+运算均不封闭 [ ]6. 在正实数集上定义的下列运算中,不满足交换律的只有( )A 、=+a b a bB 、=a b abC 、+=a ba b eD 、=a b a[ ]7. 关于偏序集A 的上确界,最大元,下列说法正确的是( )A 、上确界一定存在B 、有上界则上确界一定存在C 、最大元一定是上确界D 、上确界一定是最大元 [ ]8. S 为集合,()P S 为S 的幂集,对于代数系统(),<⊕>P S ,下列说法正确的是( )A 、有幺元,无零元B 、无幺元,有零元C 、无幺元,无零元D 、有幺元,有零元二、填空题(每小题2分,本题共 16分)[ ]1. ⌝∧∧⌝p q r 的成真赋值为 。
(完整版)2018考研数学二真题2018年全国硕士研究生入学统一考试数学二试题一、选择题:1~8小题,每小题4分,共32分。
下列每题给出的四个选项中,只有一个选项是符合题目要求的.(1)2120lim()1,x x x e ax bx →++=若则() (A)112a b ==-, (B)1,12a b =-=- (C)1,12a b == (D)1,12a b =-= (2)下列函数中,在0x =处不可导的是()(A)()sin f x x x = (B) ()f x x =(C) ()cos f x x = (D) ()f x =(3)2,11,0(),(),10,()()1,0,0ax x x f x g x x x f x g x R x x b x -≤-?-<<+??≥??-≥?设函数若在上连续,则()(A)3,1a b == (B) 3,2a b ==(C) 3,1a b =-= (D) 3,2a b =-=(4)10()[0,1]()0,f x f x dx =?设函数在上二阶可导,且则()(A)1()0,()02f x f '<<当时 (B) 1()0,()02f x f ''<<当时(C) 1()0,()02f x f '><当时 (D) 1()0,()02f x f ''><当时(5)设()(2222222211,,1,1x x x M dx N dx K dx x e ππππππ---++===++则()(A)M N K >> (B)M K N >>(C)K M N >> (D)K N M >>(6)22021210(1)(1)x x x x dx xy dy dx xy dy -----+-=()(A)53 (B) 56 (C) 73 (D) 76(7)下列矩阵中与矩阵110011001??相似的为()(A) 111011001-??(B) 101011001-??(C) 111010001-?? ? ? ???(D) 101010001-?? ? ? ???(8)()(),,A B n r X X X Y 设为阶矩阵,记为矩阵的秩,表示分块矩阵,则() (A) ()(),r A AB r A = (B) ()(),r A BA r A =(C) ()()(){},max ,r A B r A r B =(D) ()(),T T r A B r A B =二、填空题:9~14题,每小题4分,共24分.(9)2lim [arctan(1)arctan ]x x x x →+∞+-= (10)22ln y x x =+曲线在其拐点处的切线方程是(11)25143dx x x +∞=-+? (12)33cos 4sin x t t y tπ?==?=?曲线,在对应点处的曲率为(13)()1,ln ,1(2,)2z z z x y z e xy x -?=+==?设函数由方程确定则(14)12311232233233,,,,2,2,,A A A A ααααααααααααα=++=+=-+设为阶矩阵是线性无关的向量组若则A 的实特征值为 .三、解答题:15~23小题,共94分。
2019年数学考研试题及答案一、选择题(每题3分,共36分)1. 下列哪个选项是最小的正整数?A. 0B. 1C. 2D. -1答案:B2. 如果函数f(x) = x^2 + 3x + 2在区间(-∞, -3]上是减函数,则下列哪个选项是正确的?A. f(-1) < f(-2)B. f(-2) < f(-3)C. f(-3) < f(-4)D. f(-4) < f(-5)答案:B3. 以下哪个数不是有理数?A. √2B. πC. 1/3D. 0.333...答案:A4. 设集合A = {1, 2, 3},B = {2, 3, 4},则A∪B等于:A. {1, 2, 3}B. {1, 2, 3, 4}C. {2, 3}D. {1, 4}答案:B5. 如果一个数列是等差数列,且a3 = 7,a4 = 9,则该数列的公差d 等于:A. 1B. 2C. 3D. 4答案:B6. 以下哪个选项是微分方程dy/dx + y = 0的解?A. y = e^(-x)B. y = e^xC. y = e^(2x)D. y = e^(-2x)答案:A7. 设随机变量X服从参数为λ的泊松分布,P(X=k)等于:A. λ^k / k!B. e^(-λ)λ^k / k!C. (λ^k / k!) * e^(-λ)D. k * λ^(k-1) / e^λ答案:B8. 以下哪个矩阵是可逆的?A. | 1 2 || 3 4 |B. | 1 0 || 0 1 |C. | 2 0 || 0 2 |D. | 0 1 || 1 0 |答案:B9. 设函数f(x)在区间[a, b]上连续,且∫[a, b] f(x) dx = 5,则∫[a, b] f(x)^2 dx的值:A. 一定等于5B. 一定小于5C. 一定大于5D. 无法确定答案:D10. 以下哪个选项是傅里叶级数的特例?A. 泰勒级数B. 洛朗级数C. 傅里叶变换D. 拉普拉斯变换答案:A11. 设椭圆的方程为x^2/a^2 + y^2/b^2 = 1,其中a > b > 0,若椭圆经过点(2a, 0),则椭圆的离心率e等于:A. 0B. 1C. √2/2D. 2/3答案:A12. 以下哪个选项是线性方程组的解集?A. {(1, 2, 3)}B. {(x, y, z) | x + y + z = 1}C. R^3D. 空集答案:B二、填空题(每题4分,共24分)13. 若函数f(x) = 2x - 3,则f(5) = _______。
目录2017年全国硕士研究生招生考试数学(二)试题 (1)2018年全国硕士研究生招生考试数学(二)试题 (8)2019年全国硕士研究生招生考试数学(二)试题 (15)2017年全国硕士研究生招生考试数学(二)试题一、选择题(1~8小题,每小题4分,共32分。
下列每题给出的四个选项中,只有一个选项是符合题目要求的,请将所选项的字母填在答题纸指定的括号内。
)1.若函数10,(), 0x f x axb x ⎧->⎪=⎨⎪≤⎩0x =在处连续,则( ) A.12ab =B.12ab =-C.0ab =D.2ab =2.设二阶可导函数()f x 满足(1)(1)1,(0)1,0,f f f f x ''=-==->且()则( ). A.1-1()0f x dx >⎰B.1-1()0f x dx <⎰C.11()()f x dx f x dx ->⎰⎰ D.110()()f x dx f x dx -<⎰⎰3.设数列{}n x 收敛,则( ).A.n n limsin 0lim 0n n x x →∞→∞==当时,B.(lim 0lim 0n n n n x x →∞→∞==当时,C.()2lim 0lim 0n n n n n x x x →∞→∞+==当时,D.()lim sin 0lim 0n n n n n x x x →∞→∞+==当时, 4.微分方程()24+81cos2xy y y e x '''-=+的特解可设为*y =().A.()22cos2sin 2xx Ae e B x C x ++ B.()22cos2sin 2xx Axee B x C x ++ C.()22cos2sin 2xx Aexe B x C x ++D.()22cos2sin 2xx Axexe B x C x ++5.设(),f x y 具有一阶偏导数,且任意的(),x y 都有()(),,0,0,f x y f x y x y∂∂><∂∂则( ).A.()()0,01,1f f >B.()()0,01,1f f <C.()()0,11,0f f >D.()()0,11,0f f <6.甲乙两人赛跑,计时开始时,甲在乙前方10(单位:m),图中,实践表示甲的速度曲线()1v v t =(单位m/s ),虚线表示乙的速度曲线 ()2,v v t = 三块阴影部分面积的数值依次为10,20,3,计时开始后乙追甲的时刻为0t (单位:s),则( ).A.010t =B.01520t <<C.025t =D.025t >7.设A 为3阶矩阵, ()123,,P ααα= 为可逆矩阵,使得1000010,002P AP -⎛⎫ ⎪= ⎪ ⎪⎝⎭则()123A ααα++=( ).A.12+ααB.13+2ααC.23+ααD.13+2αα8.已知矩阵200210100021020020001001002A B C ⎛⎫⎛⎫⎛⎫⎪ ⎪ ⎪=== ⎪ ⎪ ⎪ ⎪ ⎪ ⎪⎝⎭⎝⎭⎝⎭,,,则( ).A. A C B C 与相似,与相似B. A C B C 与相似,与不相似C. A C B C 与不相似,与相似D. A C B C 与不相似,与不相似二、填空题(9~14小题,每小题4分,共24分。
2018年全国硕士研究生入学统一考试数学(三)试题及答案解析一、选择题:1 8小题,每小题4分,共32分.下列每题给出的四个选项中,只有一个选项符合题目要求的.(1)下列函数中,在0x =处不可导的是()(A)()sin f x x x =(B)()sin f x x =(C)()cos f x x =(D)()f x =【答案】(D)【解析】根据导数的定义:(A)sin limlim0,x x x x x x →→== 可导;(B)0,x x →→==可导;(C)1cos 12limlim0,x x xx x→→--==可导;(D)000122limlim,x x x xx x→→→-==极限不存在,故选D。
(2)()[]()10,10,f x f x dx =⎰设函数在上二阶可导,且则()(A)1()0,()02f x f '<<当时(B)1()0,()02f x f ''<<当时(C)1()0,()02f x f '><当时(D)1()0,(02f x f ''><当时【答案】(D )【解析】2111()11()()()()(,2222!22f f x f f x x x ξξ'''=+-+-介于,之间,故1111220000120111()11()10=()()(()((2222!222!2()11()0()0,()0..2!22f f f x dx f f x dx x dx f x dxf f x x dx f D ξξξ'''''=+-+-=+-''''>⇒-><⎰⎰⎰⎰⎰由于所以,应选(3)设()(2222222211,,1,1x x xM dx N dx K dx x e ππππππ---++===++⎰⎰⎰则()(A)M N K >>(B)M K N >>(C)K M N >>(D)K N M>>【答案】(C)【解析】22222222222(1)122=(1).111x x x x M dx dx dx x x x πππππππ---+++==+=+++⎰⎰⎰22222111(0)11xxxxx e x N dx dx Mee πππππ--+++<≠⇒<⇒=<=<⎰⎰2222=11K dx dx M πππππ-->==⎰⎰(,K M N >>故应选C 。
2018年考研数学一真题解析店铺考研网为大家提供2018年考研数学一真题解析,更多考研资讯请关注我们网站的更新!2018年考研数学一真题解析2018考研数学一考试已经结束,你押中考题了没?有没有遇到特别难的?我们一起来看看今年的考题偏不偏。
2018年考研数学一的试卷从总体上分析,难度水平与去年基本持平,但是个别题的运算量较大!对学生的心态的稳定性要求很高.高数部分如数一解答题15题,不定积分的计算,解答16题条件极值问题,就题目本身而言,都属于基础题目,考生们在平时的学习过程中都是有过相关练习的,但由于计算量较大,扰乱了部分考生的答题节奏.后面的基础题目17题(第二型曲线积分或者高斯公式),18题(单调有界证明数列极限存在)19题(第一小问微分方程求解)都时间好好解答.线代部分出题较为灵活,但是用基本的方法也可以解答,其中20题,第一小问:解齐次方程组,第二小问相当于配方法化二次型为规范型,21题可通过矩阵方程或者非齐次方程求解概率部分23题为传统估计问题,第二问在计算时可灵活利用指数分布的期望和方差的数据,否极计算量略大,22题出现离散分布函数复合,充分利用泊松分布的数据选择填空部分题型相对而言比较老套,但概率部分的假设检验应该是触碰了考生的痛点,得分率应该相对比较低,线代部分第一个选择灵活度还是稍微有点不同于前些年只要通过特征值就可判断的相似问题.综上所述,18年数一的考研试卷难度适中,计算量略大,但只要考生可以平和心态,规范解题步骤,应该可以取得理想的成绩!当已走出考场的2018考生仍在感慨万千时,备考2019年考研的小伙伴们已将考研备考提上日程。
2019年考研数学的命题趋势将是什么?备考2019年的小伙伴们又该如何进行复习规划呢?长春新东方刘艳老师给出了针对2019考生的复习建议:① 1-8月,打基础,掌握基本概念,基本计算,基本原理。
② 9-11月,重强化,集中突破重难点,研究真题。
③ 12月-考前,查缺补漏,把握答题技巧。
扬州市2018—2019学年度第一学期期末检测试题高三数学2019.01第一部分一、填空题(本大题共14小题,每小题5分,共计70分.不需要写出解答过程,请将答案填写在答题卡相应的位置上..........) 1.已知集合M ={﹣2,﹣1,0},N =1()22x x ⎧⎫>⎨⎬⎩⎭,则M N = .2.若i 是虚数单位,且复数z 满足(1i)2z +=,则z = .3.底面半径为1,母线长为3的圆锥的体积是 .4.某学校选修网球课程的学生中,高一、高二、高三年级分别有50名、40名、40名.现用分层抽样的方法在这130名学生中抽取一个样本,已知在高二年级学生中抽取了8名,则在高一年级学生中应抽取的人数为 .5.根据如图所示的伪代码,已知输出值y 为3,则输入值x 为.6.甲乙两人各有三张卡片,甲的卡片分别标有数字1、2、3,乙的卡片分别标有数字0、1、3.两人各自随机抽出一张,甲抽出卡片的数字记为a ,乙抽出卡片的数字记为b ,则a 与b 的积为奇数的概率为 .7.若直线l 1:240x y -+=与l 2:430mx y -+=平行,则两平行直线l 1,l 2间的距离为 .8.已知等比数列{}n a 的前n 项和为n S ,若37S =,663S =,则1a = .9.已知双曲线22221x y a b-=(a >0,b >0)的一条渐近线方程为20x y -=,则该双曲线的离心率为 .10.已知直线l :4y x =-+与圆C :22(2)(1)1x y -+-=相交于P ,Q 两点,则CP CQ ⋅= .11.已知正实数x ,y 满足40x y xy +-=,若x y m +≥恒成立,则实数m 的取值范围为 . 12.设a ,b 是非零实数,且满足sincos 1077tan 21cos sin 77a b a b πππππ+=-,则b a = .13.已知函数4()3f x a x a x=++-+有且仅有三个零点,并且这三个零点构成等差数列,则实数a 的值为 . 14.若存在正实数x ,y ,z 满足223310y z yz +≤,且ln ln ey x z z -=,则x y 的最小值为 .二、解答题(本大题共6小题,共计90分.请在答题纸指定区域.......内作答,解答应写出文字说明,证明过程或演算步骤.)15.(本题满分14分)已知函数22()cos cos sin f x x x x x =+-,R x ∈.(1)求函数()f x 的单调增区间;(2)求方程()0f x =在(0,π]内的所有解.16.(本题满分14分)如图所示,在三棱柱ABC —A 1B 1C 1中,四边形AA 1B 1B 为矩形,平面AA 1B 1B ⊥平面ABC ,点E ,F 分别是侧面AA 1B 1B ,BB 1C 1C 对角线的交点.(1)求证:EF ∥平面ABC ;(2)BB 1⊥AC .。