全国一卷圆锥曲线高考题汇编含答案#(精选.)
- 格式:doc
- 大小:1.44 MB
- 文档页数:20
全国卷高考数学圆锥曲线大题(带答案)1. 如图,直线l 1与l 2是同一平面内两条互相垂直的直线,交点是A ,点B 、D 在直线l 1上(B 、D 位于点A 右侧),且|AB|=4,|AD|=1,M 是该平面上的一个动点,M 在l 1上的射影点是N ,且|BN|=2|DM|.(Ⅰ) 建立适当的坐标系,求动点M 的轨迹C 的方程.(Ⅱ)过点D 且不与l 1、l 2垂直的直线l 交(Ⅰ)中的轨迹C 于E 、F 两点;另外平面上的点G 、H 满足:①(R);AG AD λλ=∈②2;GE GF GH +=③0.GH EF ⋅= 求点G 的横坐标的取值范围.2. 设椭圆的中心是坐标原点,焦点在x 轴上,离心率23=e ,已知点)3,0(P 到这个椭圆上的点的最远距离是4,求这个椭圆的方程.3. 已知椭圆)0(1:22221>>=+b a b y a x C 的一条准线方程是,425=x 其左、右顶点分别 是A 、B ;双曲线1:22222=-b y a x C 的一条渐近线方程为3x -5y=0.(Ⅰ)求椭圆C1的方程及双曲线C2的离心率;(Ⅱ)在第一象限内取双曲线C2上一点P,连结AP交椭圆C1于点M,连结PB并延长交椭圆C1于点N,若=. 求证:.0=•4. 椭圆的中心在坐标原点O,右焦点F(c,0)到相应准线的距离为1,倾斜角为45°的直线交椭圆于A,B两点.设AB中点为M,直线AB与OM的夹角为αa.(1)用半焦距c表示椭圆的方程及tanα;(2)若2<tanα<3,求椭圆率心率e的取值范围.5. 已知椭圆2222byax+(a>b>0)的离心率36=e,过点A(0,-b)和B(a,0)的直线与原点的距离为23(1)求椭圆的方程(2)已知定点E(-1,0),若直线y=kx+2(k≠0)与椭圆交于C D两点问:是否存在k的值,使以CD为直径的圆过E点?请说明理由6. 在直角坐标平面中,ABC ∆的两个顶点B A ,的坐标分别为)0,1(-A ,)0,1(B ,平面内两点M G ,同时满足下列条件: ①0=++GC GB GA MCMB MA ==GM ∥AB(1)求ABC ∆的顶点C 的轨迹方程;(2)过点)0,3(P 的直线l 与(1)中轨迹交于F E ,两点,求PF PE ⋅的取值范围7. 设R y x ∈,,j i,为直角坐标平面内x 轴.y 轴正方向上的单位向量,若jy i x b j y i x a)2(,)2(-+=++=,且8||||=+b a(Ⅰ)求动点M(x,y)的轨迹C 的方程;(Ⅱ)设曲线C 上两点A .B ,满足(1)直线AB 过点(0,3),(2)若OB OA OP +=,则OAPB 为矩形,试求AB 方程.8. 已知抛物线C :)0,0(),(2>≠+=n m n x m y 的焦点为原点,C 的准线与直线 )0(02:≠=+-k k y kx l 的交点M 在x 轴上,l 与C 交于不同的两点A 、B ,线段AB 的垂直平分线交x 轴于点N (p ,0).(Ⅰ)求抛物线C 的方程; (Ⅱ)求实数p 的取值范围;(Ⅲ)若C 的焦点和准线为椭圆Q 的一个焦点和一条准线,试求Q 的短轴的端点的轨迹方程.9. 如图,椭圆的中心在原点,长轴AA 1在x 轴上.以A 、A 1为焦点的双曲线交椭圆于C 、D 、D 1、C 1四点,且|CD|=21|AA 1|.椭圆的一条弦AC 交双曲线于E ,设λ=EC AE ,当4332≤≤λ时,求双曲线的离心率e 的取值范围.x10. 已知三角形ABC 的三个顶点均在椭圆805422=+y x 上,且点A 是椭圆短轴的一个端点(点A 在y 轴正半轴上).若三角形ABC 的重心是椭圆的右焦点,试求直线BC 的方程; 若角A 为090,AD 垂直BC 于D ,试求点D 的轨迹方程.11. 如图,过抛物线24x y =的对称轴上任一点(0,)(0)P m m >作直线与抛物线交于,A B两点,点Q 是点P 关于原点的对称点.(1) 设点P 分有向线段AB 所成的比为λ,证明:()QP QA QB λ⊥-;(2) 设直线AB 的方程是2120x y -+=,过,A B 两点的圆C 与抛物线在点A 处有共同的切线,求圆C 的方程.12. 已知动点P (p ,-1),Q (p ,212p +),过Q 作斜率为2p 的直线l ,P Q 中点M 的轨迹为曲线C.(1)证明:l 经过一个定点而且与曲线C 一定有两个公共点; (2)若(1)中的其中一个公共点为A ,证明:AP 是曲线C 的切线; (3)设直线AP 的倾斜角为α,AP 与l 的夹角为β,证明:βα+或βα-是定值.13. 在平面直角坐标系内有两个定点12F F 、和动点P ,12F F 、坐标分别为)0,1(1-F 、)0,1(F 2,动点P 满足22|PF ||PF |21=,动点P 的轨迹为曲线C ,曲线C 关于直线y x =的对称曲线为曲线'C ,直线3-+=m x y 与曲线'C 交于A 、B 两点,O 是坐标原点,△ABO 的面积为7,(1)求曲线C 的方程;(2)求m 的值。
2020年高考——圆锥曲线1.(20全国Ⅰ文21)(12分)已知A 、B 分别为椭圆E :2221x y a+=(a >1)的左、右顶点,G 为E 的上顶点,8AG GB ⋅=,P 为直线x =6上的动点,PA 与E 的另一交点为C ,PB 与E 的另一交点为D . (1)求E 的方程; (2)证明:直线CD 过定点.2.(20全国Ⅰ理20)(12分)已知A 、B 分别为椭圆E :2221x y a+=(a >1)的左、右顶点,G 为E 的上顶点,8AG GB ⋅=,P 为直线x =6上的动点,PA 与E 的另一交点为C ,PB 与E 的另一交点为D . (1)求E 的方程; (2)证明:直线CD 过定点.3.(20全国Ⅱ文19)(12 分)已知椭圆C 1:22221x y a b+=(a >b >0)的右焦点F 与抛物线C 2的焦点重合,C 1的中心与C 2的顶点重合.过F 且与x 轴重直的直线交C 1于A ,B 两点,交C 2于C ,D 两点,且|CD |=43|AB |.(1)求C 1的离心率;(2)若C 1的四个顶点到C 2的准线距离之和为12,求C 1与C 2的标准方程.4.(20全国Ⅱ理19)(12分)已知椭圆C 1:22221x y a b+=(a >b >0)的右焦点F 与抛物线C 2的焦点重合,C 1的中心与C 2的顶点重合.过F 且与x 轴垂直的直线交C 1于A ,B 两点,交C 2于C ,D 两点,且|CD |=43|AB |. (1)求C 1的离心率;(2)设M 是C 1与C 2的公共点,若|MF |=5,求C 1与C 2的标准方程.5.(20全国Ⅲ文21)(12分)已知椭圆222:1(05)25x y C m m +=<<,A ,B 分别为C 的左、右顶点. (1)求C 的方程;(2)若点P 在C 上,点Q 在直线6x =上,且||||BP BQ =,BP BQ ⊥,求APQ △的面积.6.(20全国Ⅲ理20)(12分)已知椭圆222:1(05)25x y C m m+=<<,A ,B 分别为C 的左、右顶点. (1)求C 的方程;(2)若点P 在C 上,点Q 在直线6x =上,且||||BP BQ =,BP BQ ⊥,求APQ △的面积.7.(20新高考Ⅰ22)(12分)已知椭圆C :22221(0)x y a b a b +=>>的离心率为2,且过点A (2,1).(1)求C 的方程:(2)点M ,N 在C 上,且AM ⊥AN ,AD ⊥MN ,D 为垂足.证明:存在定点Q ,使得|DQ |为定值.8.(20天津18)(本小题满分15分)已知椭圆22221(0)x y a b a b+=>>的一个顶点为(0,3)A -,右焦点为F ,且||||OA OF =,其中O 为原点.(Ⅰ)求椭圆的方程;(Ⅱ)已知点C 满足3OC OF =,点B 在椭圆上(B 异于椭圆的顶点),直线AB 与以C 为圆心的圆相切于点P ,且P 为线段AB 的中点.求直线AB 的方程.9.(20浙江21)(本题满分15分)如图,已知椭圆221:12x C y +=,抛物线22:2(0)C y px p =>,点A 是椭圆1C 与抛物线2C 的交点,过点A 的直线l 交椭圆1C 于点B ,交抛物线2C 于点M (B ,M 不同于A ). (Ⅰ)若116p =,求抛物线2C 的焦点坐标; (Ⅱ)若存在不过原点的直线l 使M 为线段AB 的中点,求p 的最大值.10.(20江苏18)(本小题满分16分)在平面直角坐标系xOy 中,已知椭圆22:143x y E +=的左、右焦点分别为F 1,F 2,点A在椭圆E 上且在第一象限内,AF 2⊥F 1F 2,直线AF 1与椭圆E 相交于另一点B .(1)求12AF F △的周长;(2)在x 轴上任取一点P ,直线AP 与椭圆E 的右准线相交于点Q ,求OP QP ⋅的最小值;(3)设点M 在椭圆E 上,记OAB △与MAB △的面积分别为S 1,S 2,若213S S =,求点M 的坐标.11.(20北京20)(本小题15分)已知椭圆2222:1x y C a b+=过点(2,1)A --,且2a b =.(Ⅰ)求椭圆C 的方程:(Ⅱ)过点(4,0)B -的直线l 交椭圆C 于点,M N ,直线,MA NA 分别交直线4x =-于点,P Q .求||||PB BQ 的值.参考答案:1.解:(1)由题设得(,0),(,0),(0,1)A a B a G -.则(,1)AG a =,(,1)GB a =-.由8AG GB ⋅=得218a -=,即3a =.所以E 的方程为2219x y +=.(2)设1122(,),(,),(6,)C x y D x y P t .若0t ≠,设直线CD 的方程为x my n =+,由题意可知33n -<<. 由于直线PA 的方程为(3)9t y x =+,所以11(3)9ty x =+.直线PB 的方程为(3)3t y x =-,所以22(3)3ty x =-.可得12213(3)(3)y x y x -=+.由于222219x y +=,故2222(3)(3)9x x y +-=-,可得121227(3)(3)y y x x =-++, 即221212(27)(3)()(3)0m y y m n y y n ++++++=.①将x my n =+代入2219xy +=得222(9)290m y mny n +++-=.所以212122229,99mn n y y y y m m -+=-=-++. 代入①式得2222(27)(9)2(3)(3)(9)0m n m n mn n m +--++++=. 解得3n =-(舍去),32n =. 故直线CD 的方程为32x my =+,即直线CD 过定点3(,0)2. 若0t =,则直线CD 的方程为0y =,过点3(,0)2.综上,直线CD 过定点3(,0)2.2.解:(1)由题设得A (–a ,0),B (a ,0),G (0,1).则(,1)AG a =,GB =(a ,–1).由AG GB ⋅=8得a 2–1=8,即a =3.所以E 的方程为29x +y 2=1.(2)设C (x 1,y 1),D (x 2,y 2),P (6,t ).若t ≠0,设直线CD 的方程为x =my +n ,由题意可知–3<n <3. 由于直线PA 的方程为y =9t (x +3),所以y 1=9t (x 1+3).直线PB 的方程为y =3t (x –3),所以y 2=3t(x 2–3).可得3y 1(x 2–3)=y 2(x 1+3).由于222219x y +=,故2222(3)(3)9x x y +-=-,可得121227(3)(3)y y x x =-++, 即221212(27)(3)()(3)0.m y y m n y y n ++++++=①将x my n =+代入2219xy +=得222(9)290.m y mny n +++-=所以12229mn y y m +=-+,212299n y y m -=+.代入①式得2222(27)(9)2(3)(3)(9)0.m n m n mn n m +--++++= 解得n =–3(含去),n =32.故直线CD 的方程为3=2x my +,即直线CD 过定点(32,0). 若t =0,则直线CD 的方程为y =0,过点(32,0).综上,直线CD 过定点(32,0).3.解:(1)由已知可设2C 的方程为24y cx =,其中c =不妨设,A C 在第一象限,由题设得,A B 的纵坐标分别为2b a ,2b a -;,C D 的纵坐标分别为2c ,2c -,故22||b AB a=,||4CD c =.由4||||3CD AB =得2843b c a=,即2322()c c a a ⨯=-,解得2c a =-(舍去),12c a =.所以1C 的离心率为12.(2)由(1)知2a c =,b =,故22122:143x y C c c+=,所以1C 的四个顶点坐标分别为(2,0)c ,(2,0)c -,),(0,),2C 的准线为x c =-. 由已知得312c c c c +++=,即2c =.所以1C 的标准方程为2211612x y +=,2C 的标准方程为28y x =.4.解:(1)由已知可设2C 的方程为24y cx =,其中c =不妨设,A C 在第一象限,由题设得,A B 的纵坐标分别为2b a ,2b a -;,C D 的纵坐标分别为2c ,2c -,故22||b AB a=,||4CD c =.由4||||3CD AB =得2843b c a=,即2322()c c a a ⨯=-,解得2c a =-(舍去),12c a =.所以1C 的离心率为12.(2)由(1)知2a c =,b =,故22122:143x y C c c+=,设00(,)M x y ,则220022143x y c c +=,2004y cx =,故20024143x x c c+=.①由于2C 的准线为x c =-,所以0||MF x c =+,而||5MF =,故05x c =-,代入①得22(5)4(5)143c c c c --+=,即2230c c --=,解得1c =-(舍去),3c =. 所以1C 的标准方程为2213627x y +=,2C 的标准方程为212y x =.5.解:(1)由题设可得54=,得22516m =,所以C 的方程为221252516x y +=. (2)设(,),(6,)P P Q P x y Q y ,根据对称性可设0Q y >,由题意知0P y >, 由已知可得(5,0)B ,直线BP 的方程为1(5)Qy x y =--,所以||BP y =,||BQ =, 因为||||BP BQ =,所以1P y =,将1P y =代入C 的方程,解得3P x =或3-. 由直线BP 的方程得2Q y =或8.所以点,P Q 的坐标分别为1122(3,1),(6,2);(3,1),(6,8)P Q P Q -.11||PQ 11PQ 的方程为13y x =,点(5,0)A -到直线11PQ,故11APQ △的面积为1522=. 22||PQ =22P Q 的方程为71093y x =+,点A 到直线22P Q的距离为26,故22AP Q △的面积为152262⨯=. 综上,APQ △的面积为52.6.解:(1)由题设可得54=,得22516m =, 所以C 的方程为221252516x y +=. (2)设(,),(6,)P P Q P x y Q y ,根据对称性可设0Q y >,由题意知0P y >,由已知可得(5,0)B ,直线BP 的方程为1(5)Qy x y =--,所以||BP y =,||BQ =, 因为||||BP BQ =,所以1P y =,将1P y =代入C 的方程,解得3P x =或3-. 由直线BP 的方程得2Q y =或8.所以点,P Q 的坐标分别为1122(3,1),(6,2);(3,1),(6,8)P Q P Q -.11||PQ 11PQ 的方程为13y x =,点(5,0)A -到直线11PQ 的距离为2,故11APQ △的面积为1522=.22||PQ =22P Q 的方程为71093y x =+,点A 到直线22P Q故22AP Q △的面积为1522=. 综上,APQ △的面积为52.7.解:(1)由题设得22411a b +=,22212a b a -=,解得26a =,23b =. 所以C 的方程为22163x y +=. (2)设11(,)M x y ,22(,)N x y .若直线MN 与x 轴不垂直,设直线MN 的方程为y kx m =+,代入22163x y +=得222(12)4260k x kmx m +++-=. 于是2121222426,1212km m x x x x k k -+=-=++.①由AM AN ⊥知0AM AN ⋅=,故1212(2)(2)(1)(1)0x x y y --+--=, 可得221212(1)(2)()(1)40k x x km k x x m ++--++-+=.将①代入上式可得22222264(1)(2)(1)401212m kmk km k m k k-+---+-+=++.整理得(231)(21)0k m k m +++-=.因为(2,1)A 不在直线MN 上,所以210k m +-≠,故2310k m ++=,1k ≠.于是MN 的方程为21()(1)33y k x k =--≠. 所以直线MN 过点21(,)33P -. 若直线MN 与x 轴垂直,可得11(,)N x y -.由0AM AN ⋅=得1111(2)(2)(1)(1)0x x y y --+---=. 又2211163x y +=,可得2113840x x -+=.解得12x =(舍去),123x =. 此时直线MN 过点21(,)33P -. 令Q 为AP 的中点,即41(,)33Q . 若D 与P 不重合,则由题设知AP 是Rt ADP △的斜边,故1||||2DQ AP ==. 若D 与P 重合,则1||||2DQ AP =. 综上,存在点41(,)33Q ,使得||DQ 为定值.8.(Ⅰ)解:由已知可得3b =.记半焦距为c ,由||||OF OA =可得3c b ==.又由222a b c =+,可得218a =.所以,椭圆的方程为221189x y +=. (Ⅱ)解:因为直线AB 与以C 为圆心的圆相切于点P ,所以AB CP ⊥.依题意,直线AB 和直线CP 的斜率均存在.设直线AB 的方程为3y kx =-.由方程组223,1,189y kx x y =-⎧⎪⎨+=⎪⎩消去y ,可得()2221120k x kx +-=,解得0x =,或21221k x k =+.依题意,可得点B 的坐标为2221263,2121k k k k ⎛⎫- ⎪++⎝⎭.因为P 为线段AB 的中点,点A 的坐标为(0,3)-,所以点P 的坐标为2263,2121k k k -⎛⎫ ⎪++⎝⎭.由3OC OF =,得点C 的坐标为(1,0),故直线CP 的斜率为2230216121k k k --+-+,即23261k k -+.又因为AB CP ⊥,所以231261k k k ⋅=--+,整理得22310k k -+=,解得12k =,或1k =. 所以,直线AB 的方程为132y x =-,或3y x =-.9.(Ⅰ)由116p =得2C 的焦点坐标是1(,0)32. (Ⅱ)由题意可设直线:(0,0)l x my t m t =+≠≠,点00(,)A x y .将直线l 的方程代入椭圆221:12x C y +=得222(2)220m y mty t +++-=, 所以点M 的纵坐标22M mt y m =-+. 将直线l 的方程代入抛物线22:2C y px =得2220y pmy pt --=,所以02M y y pt =-,解得202(2)p m y m+=, 因此22022(2)p m x m+=. 由220012x y +=得2421224()2()160m m p m m =+++≥,所以当m,t =时,p.10.解:(1)椭圆22:143x y E +=的长轴长为2a ,短轴长为2b ,焦距为2c , 则2224,3,1a b c ===.所以12AF F △的周长为226a c +=.(2)椭圆E 的右准线为4x =.设(,0),(4,)P x Q y ,则(,0),(4,)OP x QP x y ==--,2(4)(2)44,OP QP x x x ⋅=-=--≥-在2x =时取等号.所以OP QP ⋅的最小值为4-.(3)因为椭圆22:143x y E +=的左、右焦点分别为12,F F ,点A 在椭圆E 上且在第一象限内,212AF F F ⊥, 则123(1,0),(1,0),(1,)2F F A -. 所以直线:3430.AB x y -+= 设(,)M x y ,因为213S S =,所以点M 到直线AB 距离等于点O 到直线AB 距离的3倍. 由此得|343||30403|355x y -+⨯-⨯+=⨯, 则34120x y -+=或3460x y --=. 由2234120,143x y x y -+=⎧⎪⎨+=⎪⎩得2724320x x ++=,此方程无解; 由223460,143x y x y --=⎧⎪⎨+=⎪⎩得271240x x --=,所以2x =或27x =-. 代入直线:3460l x y --=,对应分别得0y =或127y =-. 因此点M 的坐标为(2,0)或212(,)77--.11.。
圆锥曲线部分高考试题汇编(椭圆部分)1、(2016全国Ⅰ卷)(20)(本小题满分12分)设圆222150x y x ++-=的圆心为A ,直线l过点B(1,0)且与x 轴不重合,l 交圆A 于C ,D 两点,过B作AC 的平行线交AD于点E.(I)证明EA EB +为定值,并写出点E 的轨迹方程;(II)设点E 的轨迹为曲线C 1,直线l 交C1于M ,N 两点,过B且与l垂直的直线与圆A 交于P ,Q两点,求四边形M PN Q面积的取值范围.2、(2015全国Ⅰ卷)(14)一个圆经过椭圆221164x y +=的三个顶点,且圆心在x 轴上,则该圆的标准方程为 。
3、(2014全国Ⅰ卷)20.(本小题满分12分)已知点A (0,-2),椭圆E :22221(0)x y a b a b+=>>的离心率为2,F 是椭圆的焦点,直线AF 的斜率为3,O 为坐标原点. (Ⅰ)求E 的方程;(Ⅱ)设过点A 的直线l 与E 相交于,P Q 两点,当OPQ ∆的面积最大时,求l 的方程.4、(2016山东卷)(21)(本小题满分14分)平面直角坐标系xOy 中,椭圆C :()222210x y a b a b+=>> 3,抛物线E:22x y =的焦点F是C 的一个顶点. (I )求椭圆C 的方程;(II )设P是E 上的动点,且位于第一象限,E 在点P处的切线l 与C 交与不同的两点A,B,线段AB 的中点为D,直线O D与过P且垂直于x 轴的直线交于点M. (i)求证:点M 在定直线上;(ii )直线l 与y 轴交于点G ,记PFG 的面积为1S ,PDM 的面积为2S ,求12S S 的最大值及取得最大值时点P的坐标.5、(2015山东卷)(20) (本小题满分13分)平面直角坐标系xOy 中,已知椭圆2222:1(0)x y C a b a b +=>>的离心率为32,左、右焦点分别是12,F F ,以1F 为圆心,以3为半径的圆与以2F为圆心,以1为半径的圆相交,交点在椭圆C上. (Ⅰ)求椭圆C的方程;(Ⅱ)设椭圆2222:144x yEa b+=,P为椭圆C上的任意一点,过点P的直线y kx m=+交椭圆E于A,B两点,射线PO交椭圆E于点Q.(ⅰ)求||||OQOP的值;(ⅱ)求ABQ∆面积最大值.圆锥曲线部分高考试题汇编(双曲线部分)1、(2016全国Ⅰ卷)(5)已知方程错误!–错误!=1表示双曲线,且该双曲线两焦点间的距离为4,则n的取值范围是( )(A)(–1,3) (B)(–1,错误!) (C)(0,3)(D)(0,错误!)2、(2015全国Ⅰ卷)(5)已知M(x 0,y 0)是双曲线C :2212x y -=上的一点,F1、F 2是C 上的两个焦点,若1MF •2MF <0,则y 0的取值范围是()3 (B )((C)(3-,3) (D)()3、(2014全国Ⅰ卷)4. 已知F 是双曲线C :223(0)x my m m -=>的一个焦点,则点F 到C 的一条渐近线的距离为( )A .B .3CD .3m4、(2016山东卷)(13)已知双曲线E1:22221x y a b-=(a>0,b >0),若矩形ABCD 的四个顶点在E上,AB ,CD的中点为E 的两个焦点,且2|AB |=3|B C|,则E 的离心率是_______ .5、(2015山东卷)(15)平面直角坐标系xOy 中,双曲线22122:1(0,0)x y C a b a b-=>>的渐近线与抛物线22:2(0)C x py p =>交于点,,O A B ,若OAB ∆的垂心为2C 的焦点,则1C 的离心率为 .6、(2014山东卷)(10)已知a b >,椭圆1C 的方程为22221x y a b +=,双曲线2C 的方程为22221x y a b-=,1C 与2C2C 的渐近线方程为( )(A)0x = (0y ±= (C)20x y ±= (D)20x y ±=圆锥曲线部分高考试题汇编(抛物线部分)1、(2016全国Ⅰ卷)(10)以抛物线C 的顶点为圆心的圆交C 于A,B 两点,交C的准线于D ,E 两点.已知|AB |=DE |=C 的焦点到准线的距离为( )(A)2 (B )4 (C )6 (D )82、(2015全国Ⅰ卷)(20)(本小题满分12分)在直角坐标系xoy中,曲线C :y=24x 与直线y kx a =+(a >0)交与M ,N两点,(Ⅰ)当k =0时,分别求C 在点M 和N 处的切线方程;(Ⅱ)y轴上是否存在点P ,使得当k 变动时,总有∠OPM =∠O PN ?说明理由。
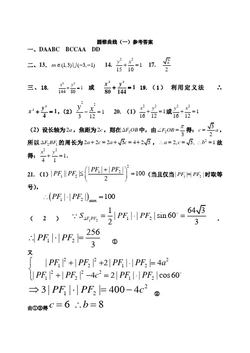
圆锥曲线(一)参考答案一、DAABC BCCAA DD二、13.(1,3)(3,1)m ∈-- 14. 2211510y x += 17.三、18. 22114480x y += 或11448022=+y x 19.(1) 利用定义法 ∴ 1422=+yx ,(2)112322=-xy 20. (1)2211612x y +=或2211612y x += (2)设长轴为2a ,焦距为2c ,则在2F OB ∆中,由23F OB π∠=得:c =,所以21F BF ∆的周长为2224a c a +==+,22,1a c b ∴==∴=故得:22141x y +=. 21. (1)21212||||||||1002PF PF PF PF +⎛⎫≤= ⎪⎝⎭(当且仅当12||||PF PF =时取等号), ()12max |||100PF PF ∴⋅=(2)12121||||sin 6023F PF S PF PF ∆=⋅=,12256||||3PF PF ∴⋅=①又22212122221212||||2||||4||||42||||cos60PF PFPF PF a PF PF c PF PF ⎧++⋅=⎨+-=⋅⎩2123||||4004PF PF c ⇒⋅=- ② 由①②得68c b =∴=()()()()()()()()2222222212211221223121322131290330123613011213,,,,913AB bx ay abcaa bxyy kxk x kxx yk kkx xkC x yD x yx xk--=⎧=⎪⎪==⎨=∴+==+⎧+++=⎨+-=⎩∴∆=-+>⎧+=-⎪⎪+⎨⎪=+⎩1直线方程为依题意可得:解得:椭圆的方程为假设存在这样的值.由得设则()()()()()()()()()()()()()()212121212121212122121222224111110121503 y y kx kx k x x k x xCE DE y yx xy y x xk x x k x xkkk⎪+++++⊥=-+++++∴+++++=而==要使以CD为直径的圆过点E-1,0,当且仅当时则即=7将2代入3整理得=67经验证=使得1成立67综上可知,存在=使得以CD为直径的圆过点E623、解:(Ⅰ)设椭圆的半焦距为c,依题意3c aa ⎧=⎪⎨⎪=⎩1b ∴=,∴所求椭圆方程为2213x y +=.(Ⅱ)设11()A x y ,,22()B x y ,.(1)当AB x ⊥轴时,AB =. (2)当AB 与x 轴不垂直时, 设直线AB 的方程为y kx m =+.=,得223(1)4m k =+.把y kx m =+代入椭圆方程,整理得222(31)6330k x kmx m +++-=,122631kmx x k -∴+=+,21223(1)31m x x k -=+. 22221(1)()AB k x x ∴=+-22222223612(1)(1)(31)31k m m k k k ⎡⎤-=+-⎢⎥++⎣⎦ 22222222212(1)(31)3(1)(91)(31)(31)k k m k k k k ++-++==++ 2422212121233(0)34196123696k k k k k k=+=+≠+=++⨯+++≤. 当且仅当2219k k=,即k =时等号成立.当0k =时,AB =,综上所述max 2AB =. ∴当AB最大时,AOB △面积取最大值max 1222S AB =⨯⨯=.生2007年高考中的“圆锥曲线与方程”试题汇编大全三、解答题: 18.(2007山东文、理)(本小题满分14分) 已知椭圆C 的中心在坐标原点,焦点在x 轴上,椭圆C 上的点到焦点距离的最大值为3,最小值为1. (1)求椭圆C 的标准方程;(2)若直线:l y kx m =+与椭圆C 相交于A B ,两点(A B ,不是左右顶点),且以AB 为直径的圆过椭圆C 的右顶点.求证:直线l 过定点,并求出该定点的坐标.18.解:(1)由题意设椭圆的标准方程为22221(0)x y a b a b+=>>,由已知得:31a c a c +=-=,,222213a cb ac ==∴=-=,,∴椭圆的标准方程为22143x y +=. (2)设1122()()A x y B x y ,,,.联立22 1.43y kx m x y =+⎧⎪⎨+=⎪⎩,得 222(34)84(3)0k x mkx m +++-=,则22222212221226416(34)(3)03408344(3).34m k k m k m mk x x k m x x k ⎧⎪∆=-+->+->⎪⎪+=-⎨+⎪⎪-=⎪+⎩,即,, 又22221212121223(4)()()()34m k y y kx m kx m k x x mk x x m k -=++=+++=+.因为以AB 为直径的圆过椭圆的右顶点(20)D ,, 1AD BD k k ∴=-,即1212122y y x x =---.1212122()40y y x x x x ∴+-++=.解得:12227km k m =-=-,,且均满足22340k m +->.当12m k =-时,l 的方程(2)y k x =-,直线过点(20),,与已知矛盾;当227k m =-时,l 的方程为27y k x ⎛⎫=- ⎪⎝⎭,直线过定点207⎛⎫⎪⎝⎭,. 所以,直线l 过定点,定点坐标为207⎛⎫ ⎪⎝⎭,.。
(一)数学全国1卷设椭圆22:12x C y +=的右焦点为F ,过F 的直线l 与C 交于,A B 两点,点M 的坐标为(2,0).(1)当l 与x 轴垂直时,求直线AM 的方程; (2)设O 为坐标原点,证明:OMA OMB ∠=∠. 解:(1)由已知得(1,0)F ,l 的方程为x=1.由已知可得,点A 的坐标为或(1,.所以AM 的方程为y x =+y x =. (2)当l 与x 轴重合时,0OMA OMB ∠=∠=︒.当l 与x 轴垂直时,OM 为AB 的垂直平分线,所以OMA OMB ∠=∠.当l 与x 轴不重合也不垂直时,设l 的方程为(1)(0)y k x k =-≠,1221(,),(,)A y x y x B ,则12x x <<MA ,MB 的斜率之和为212122MA MB x x y yk k +=+--. 由1122,y k k x y k x k =-=-得121212(23()42)(2)MA MB x x x x k k x x kk k -+++=--.将(1)y k x =-代入2212x y +=得 2222(21)4220k x k x k +-+-=.所以,21221222422,2121x x x k k k x k -+==++.则3131322244128423()4021k k k k kk k k k x x x x --++-++==+. 从而0MA MB k k +=,故MA ,MB 的倾斜角互补,所以OMA OMB ∠=∠.综上,OMA OMB∠=∠.已知椭圆C:2222=1x ya b+(a>b>0),四点P1(1,1),P2(0,1),P3(–1,P4(1,C上.(1)求C的方程;(2)设直线l不经过P2点且与C相交于A,B两点.若直线P2A与直线P2B的斜率的和为–1,证明:l过定点.解:(1)由于3P,4P两点关于y轴对称,故由题设知C经过3P,4P两点.又由222211134a b a b+>+知,C不经过点P1,所以点P2在C上.因此222111314ba b⎧=⎪⎪⎨⎪+=⎪⎩,解得2241ab⎧=⎪⎨=⎪⎩.故C的方程为2214xy+=.(2)设直线P2A与直线P2B的斜率分别为k1,k2,如果l与x轴垂直,设l:x=t,由题设知0t≠,且||2t<,可得A,B的坐标分别为(t,),(t,).则121k k+-=-,得2t=,不符合题设.从而可设l:y kx m=+(1m≠).将y kx m=+代入2214xy+=得222(41)8440k x kmx m+++-=由题设可知22=16(41)0k m∆-+>.设A(x1,y1),B(x2,y2),则x1+x2=2841kmk-+,x1x2=224441mk-+.而12121211y y k k x x --+=+121211kx m kx m x x +-+-=+ 1212122(1)()kx x m x x x x +-+=.由题设121k k +=-,故1212(21)(1)()0k x x m x x ++-+=.即222448(21)(1)04141m kmk m k k --+⋅+-⋅=++.解得12m k +=-.当且仅当1m >-时,0∆>,欲使l :12m y x m +=-+,即11(2)2m y x ++=--,所以l 过定点(2,1-) 数学全国1卷设圆222150x y x ++-=的圆心为A ,直线l 过点B (1,0)且与x 轴不重合,l 交圆A 于C ,D 两点,过B 作AC 的平行线交AD 于点E. (I )证明EA EB +为定值,并写出点E 的轨迹方程;(II )设点E 的轨迹为曲线C1,直线l 交C1于M,N 两点,过B 且与l 垂直的直线与圆A 交于P ,Q 两点,求四边形MPNQ 面积的取值范围.【答案】(I )13422=+y x (0≠y );(II ))38,12[ 【解析】试题分析:(I )利用椭圆定义求方程;(II )把面积表示为关于斜率k 的函数,再求最值。
历年高考圆锥曲线2000年:(10)过原点的直线与圆相切,若切点在第三象限,则该直03422=+++x y x 线的方程是( )(A ) (B ) (C )(D )x y 3=x y 3-=x 33x 33-(11)过抛物线的焦点F 作一条直线交抛物线于P 、Q 两点,若线()02>=a ax y段PF 与FQ 的长分别是、,则等于( )p q qp 11+(A )(B )(C ) (D )a 2a21a 4a4(14)椭圆的焦点为、,点P 为其上的动点,当为钝角14922=+y x 1F 2F 21PF F ∠ 时,点P 横坐标的取值范围是________。
(22)(本小题满分14分)如图,已知梯形ABCD 中,点E 分有向线段所成的比为,CD AB 2=AC λ双曲线过C 、D 、E 三点,且以A 、B 为焦点。
当时,求双曲线离心率4332≤≤λ的取值范围。
e 2004年3.过点(-1,3)且垂直于直线的直线方程为( )032=+-y x A .B .C .D .12=-+y x 052=-+y x 052=-+y x 072=+-y x 8.已知圆C 的半径为2,圆心在轴的正半轴上,直线与圆C 相切,则圆x 0443=++y x C 的方程为( )A .B .03222=--+x y x 0422=++x y x C .D .3222=-++x y x 0422=-+x y x 8.(理工类)已知椭圆的中心在原点,离心率,且它的一个焦点与抛物线21=e 的焦点重合,x y 42-= 则此椭圆方程为( )A .B .13422=+y x 16822=+y x C .D .1222=+y x 1422=+y x 22.(本小题满分14分)双曲线的焦距为2c ,直线过点(a ,0)和(0,b ),且点)0,1(12222>>=-b a by a x l (1,0)到直线的距离与点(-1,0)到直线的距离之和求双曲线的离心率e l l .54c s ≥的取值范围.2005年:9.已知双曲线的焦点为,点在双曲线上且则点1222=-y x 12,F F M 120,MF MF ⋅= 到M 轴的距离为(x )A .B .CD435310.设椭圆的两个焦点分别为过作椭圆长轴的垂线交椭圆于点P ,若△为12,,F F 2F 12F PF等腰直角三角形,则椭圆的离心率是()A B C .D 2121、(理工类)(本小题满分12分)设,两点在抛物线上,是的垂直平分线。
(完整版)圆锥曲线⾼考真题(1)求M 的⽅程(2)C ,D 为M 上的两点,若四边形ACBD 的对⾓线CD ⊥AB ,求四边形ACBD 的⾯积最⼤值.2.设1F ,2F 分别是椭圆()222210y x a b a b+=>>的左右焦点,M 是C 上⼀点且2MF 与x 轴垂直,直线1MF 与C 的另⼀个交点为N.(1)若直线MN 的斜率为34,求C 的离⼼率;(2)若直线MN 在y 轴上的截距为2,且15MN F N =,求a,b .3.已知椭圆C :,直线不过原点O 且不平⾏于坐标轴,l 与C 有两个交点A ,B ,线段AB 的中点为M .(1) 证明:直线OM 的斜率与的斜率的乘积为定值;(2)若过点(),延长线段OM 与C 交于点P ,四边形OAPB 能否平⾏四边⾏?若能,求此时的斜率,若不能,说明理由.4.已知抛物线C :22y x = 的焦点为F ,平⾏于x 轴的两条直线12,l l 分别交C 于A ,B 两点,交C 的准线于P ,Q 两点.(1)若F 在线段AB 上,R 是PQ 的中点,证明AR ∥FQ ;(2)若△PQF 的⾯积是△ABF 的⾯积的两倍,求AB 中点的轨迹⽅程.5.已知抛物线C :y 2=2x ,过点(2,0)的直线l 交C 与A ,B 两点,圆M 是以线段AB 为直径的圆.(1)证明:坐标原点O 在圆M 上;(2)设圆M 过点P (4,-2),求直线l 与圆M 的⽅程.6.已知斜率为k 的直线l 与椭圆22143x y C +=:交于A ,B 两点,线段AB 的中点为()()10M m m >,.(1)证明:12k <-;(2)设F 为C 的右焦点,P 为C 上⼀点,且FP FA FB ++=0u u u r u u u r u u u r .证明:FA u u u r,FP u u u r ,FB u u u r 成等差数列,并求该数列的公差.7.已知椭圆2222:1(0)x y C a b a b +=>>的离⼼率为,且经过点(0,1),圆22221:C x y a b +=+。
高考数学《圆锥曲线》试题汇编1.(湖北文)(19)(本小题共14分)已知椭圆2222:1(0)x y G a b a b+=>>的离心率为63,右焦点为(22,0)。
斜率为1的直线l 与椭圆G交于,A B 两点,以AB 为底边作等腰三角形,顶点为(3,2)P -。
(Ⅰ)求椭圆G 的方程;(Ⅱ)求PAB 的面积。
2.福建文11.设圆锥曲线I 的两个焦点分别为F 1,F 2,若曲线I 上存在点P 满足1PF :12F F :2PF =4:3:2,则曲线I 的离心率等于A.1322或 B.223或 C.122或 D.2332或 3.福建文18.(本小题满分12分)如图,直线l :y=x+b 与抛物线C :x2=4y 相切于点A 。
(1) 求实数b 的值;(11)求以点A 为圆心,且与抛物线C 的准线相切的圆的方程.4.上海文22.(本题满分16分,第1小题4分,第2小题6分,第3小题6分)已知椭圆222:1x C y m+=(常数1m >),P 是曲线C 上的动点,M 是曲线C 上的右顶点,定点A 的坐标为(2,0)(1)若M 与A 重合,求曲线C 的焦点坐标; (2)若3m =,求PA 的最大值与最小值;(3)若PA 的最小值为MA ,求实数m 的取值范围. 5.天津文(18) 设椭圆)0(12222>>=+b a by ax 的左右焦点分别为21,F F ,点),(b a P 满足212F F PF =。
(1)求椭圆的离心率e ;(2)设直线2PF 与椭圆相交于B A ,两点。
若直线2PF 与圆16)3()1(22=-++y x 相交于N M ,两点,且AB MN 85=,求椭圆的方程。
6.全国新课标文(20)(本小题满分12分)在平面直角坐标系xOy 中,曲线261y x x =-+与坐标轴的交点都在圆C 上(Ⅰ)求圆C 的方程;(Ⅱ)若圆C 与直线0x y a -+=交与A ,B 两点,且OA OB ⊥,求a 的值。
新高考数学全国(1)卷高考真题(带解析)一、单选题1.设集合{}24A x x =-<<,{}2,3,4,5B =,则A B =( )A .{}2B .{}2,3C .{}3,4D .{}2,3,42.已知2i z=-,则()i z z +=( )A .62i -B .42i -C .62i +D .42i +3.其侧面展开图为一个半圆,则该圆锥的母线长为( )A .2B .C .4D .4.下列区间中,函数()7sin 6f x x π⎛⎫=-⎪⎝⎭单调递增的区间是( ) A .0,2π⎛⎫⎪⎝⎭B .,2ππ⎛⎫⎪⎝⎭C .3,2ππ⎛⎫ ⎪⎝⎭D .3,22ππ⎛⎫ ⎪⎝⎭5.已知1F ,2F 是椭圆C :22194x y +=的两个焦点,点M 在C 上,则12MF MF ⋅的最大值为( ) A .13B .12C .9D .66.若tan 2θ=-,则()sin 1sin 2sin cos θθθθ+=+( )A .65-B .25-C .25D .657.若过点(),a b 可以作曲线e x y =的两条切线,则( ) A .e b a < B .e a b < C .0e b a <<D .0e a b <<8.有6个相同的球,分别标有数字1,2,3,4,5,6,从中有放回的随机取两次,每次取1个球,甲表示事件“第一次取出的球的数字是1”,乙表示事件“第二次取出的球的数字是2”,丙表示事件“两次取出的球的数字之和是8”,丁表示事件“两次取出的球的数字之和是7”,则( ) A .甲与丙相互独立 B .甲与丁相互独立 C .乙与丙相互独立D .丙与丁相互独立二、多选题9.有一组样本数据1x ,2x ,…,n x ,由这组数据得到新样本数据1y ,2y ,…,n y ,其中i i y x c =+(1,2,,),i n c =⋅⋅⋅为非零常数,则( ) A .两组样本数据的样本平均数相同 B .两组样本数据的样本中位数相同 C .两组样本数据的样本标准差相同 D .两组样数据的样本极差相同10.已知O 为坐标原点,点()1cos ,sin P αα,()2cos ,sin P ββ-,()()()3cos ,sin P αβαβ++,1,0A ,则( ) A .12OP OP = B .12AP AP = C .312OA OP OP OP ⋅=⋅ D .123OA OP OP OP ⋅=⋅ 11.已知点P 在圆()()225516x y -+-=上,点()4,0A 、()0,2B ,则( ) A .点P 到直线AB 的距离小于10 B .点P 到直线AB 的距离大于2C .当PBA ∠最小时,PB =D .当PBA ∠最大时,PB =12.在正三棱柱111ABC A B C -中,11AB AA ==,点P 满足1BP BC BB λμ=+,其中[]0,1λ∈,[]0,1μ∈,则( )A .当1λ=时,1AB P △的周长为定值B .当1μ=时,三棱锥1P A BC -的体积为定值 C .当12λ=时,有且仅有一个点P ,使得1A P BP ⊥ D .当12μ=时,有且仅有一个点P ,使得1A B ⊥平面1AB P三、双空题13.某校学生在研究民间剪纸艺术时,发现剪纸时经常会沿纸的某条对称轴把纸对折,规格为20dm 12dm ⨯的长方形纸,对折1次共可以得到10dm 12dm ⨯,20dm 6dm ⨯两种规格的图形,它们的面积之和21240dm S =,对折2次共可以得到5dm 12dm ⨯,10dm 6dm ⨯,20dm 3dm ⨯三种规格的图形,它们的面积之和22180dm S =,以此类推,则对折4次共可以得到不同规格图形的种数为______;如果对折n 次,那么1nkk S==∑______2dm .四、填空题14.已知函数()()322x xx a f x -=⋅-是偶函数,则a =______.15.已知O 为坐标原点,抛物线C :22y px =(0p >)的焦点为F ,P 为C 上一点,PF 与x 轴垂直,Q 为x 轴上一点,且PQ OP ⊥,若6FQ =,则C 的准线方程为______. 16.函数()212ln f x x x =--的最小值为______.五、解答题17.已知数列{}n a 满足11a =,11,,2,.n n n a n a a n ++⎧=⎨+⎩为奇数为偶数(1)记2n n b a =,写出1b ,2b ,并求数列{}n b 的通项公式; (2)求{}n a 的前20项和.18.某学校组织“一带一路”知识竞赛,有A ,B 两类问题,每位参加比赛的同学先在两类问题中选择一类并从中随机抽取一个问题回答,若回答错误则该同学比赛结束;若回答正确则从另一类问题中再随机抽取一个问题回答,无论回答正确与否,该同学比赛结束.A 类问题中的每个问题回答正确得20分,否则得0分;B 类问题中的每个问题回答正确得80分,否则得0分,己知小明能正确回答A 类问题的概率为0.8,能正确回答B 类问题的概率为0.6,且能正确回答问题的概率与回答次序无关.(1)若小明先回答A 类问题,记X 为小明的累计得分,求X 的分布列; (2)为使累计得分的期望最大,小明应选择先回答哪类问题?并说明理由.19.记ABC 是内角A ,B ,C 的对边分别为a ,b ,c .已知2b ac =,点D 在边AC 上,sin sin BD ABC a C ∠=. (1)证明:BD b =;(2)若2AD DC =,求cos ABC ∠.20.如图,在三棱锥A BCD -中,平面ABD ⊥平面BCD ,AB AD =,O 为BD 的中点.(1)证明:OA CD ⊥;(2)若OCD 是边长为1的等边三角形,点E 在棱AD 上,2DE EA =,且二面角E BC D --的大小为45︒,求三棱锥A BCD -的体积.21.在平面直角坐标系xOy 中,已知点()117,0F 、()21217,02F MF MF -=,点M 的轨迹为C . (1)求C 的方程; (2)设点T 在直线12x =上,过T 的两条直线分别交C 于A 、B 两点和P ,Q 两点,且TA TB TP TQ ⋅=⋅,求直线AB 的斜率与直线PQ 的斜率之和. 22.已知函数()()1ln f x x x =-. (1)讨论()f x 的单调性;(2)设a ,b 为两个不相等的正数,且ln ln b a a b a b -=-,证明:112e a b<+<.参考答案1.B 【分析】利用交集的定义可求A B .【详解】由题设有{}2,3A B ⋂=, 故选:B . 2.C 【分析】利用复数的乘法和共轭复数的定义可求得结果. 【详解】因为2z i =-,故2z i =+,故()()()2222=4+42262z z i i i i i i i +=-+--=+故选:C. 3.B 【分析】设圆锥的母线长为l ,根据圆锥底面圆的周长等于扇形的弧长可求得l 的值,即为所求. 【详解】设圆锥的母线长为l ,由于圆锥底面圆的周长等于扇形的弧长,则2l ππ=l =故选:B. 4.A 【分析】 解不等式()22262k x k k Z πππππ-<-<+∈,利用赋值法可得出结论.【详解】因为函数sin y x =的单调递增区间为()22,22k k k Z ππππ⎛⎫-+∈ ⎪⎝⎭, 对于函数()7sin 6f x x π⎛⎫=- ⎪⎝⎭,由()22262k x k k Z πππππ-<-<+∈,解得()22233k x k k Z ππππ-<<+∈, 取0k =,可得函数()f x 的一个单调递增区间为2,33ππ⎛⎫-⎪⎝⎭, 则20,,233πππ⎛⎫⎛⎫⊆- ⎪ ⎪⎝⎭⎝⎭,2,,233ππππ⎛⎫⎛⎫⊄- ⎪ ⎪⎝⎭⎝⎭,A 选项满足条件,B 不满足条件; 取1k =,可得函数()f x 的一个单调递增区间为58,33ππ⎛⎫⎪⎝⎭, 32,,233ππππ⎛⎫⎛⎫⊄- ⎪ ⎪⎝⎭⎝⎭且358,,233ππππ⎛⎫⎛⎫⊄ ⎪ ⎪⎝⎭⎝⎭,358,2,233ππππ⎛⎫⎛⎫⊄ ⎪ ⎪⎝⎭⎝⎭,CD 选项均不满足条件. 故选:A. 【点睛】方法点睛:求较为复杂的三角函数的单调区间时,首先化简成()sin y A ωx φ=+形式,再求()sin y A ωx φ=+的单调区间,只需把x ωϕ+看作一个整体代入sin y x =的相应单调区间内即可,注意要先把ω化为正数. 5.C 【分析】本题通过利用椭圆定义得到1226MF MF a +==,借助基本不等式212122MF MF MF MF ⎛+⎫⋅≤ ⎪⎝⎭即可得到答案.【详解】由题,229,4a b ==,则1226MF MF a +==,所以2121292MF MF MF MF ⎛+⎫⋅≤= ⎪⎝⎭(当且仅当123MF MF ==时,等号成立).故选:C . 【点睛】椭圆上的点与椭圆的两焦点的距离问题,常常从椭圆的定义入手,注意基本不等式得灵活运用,或者记住定理:两正数,和一定相等时及最大,积一定,相等时和最小,也可快速求解.6.C 【分析】将式子先利用二倍角公式和平方关系配方化简,然后增添分母(221sin cos θθ=+),进行齐次化处理,化为正切的表达式,代入tan 2θ=-即可得到结果. 【详解】将式子进行齐次化处理得:()()()22sin sin cos 2sin cos sin 1sin 2sin sin cos sin cos sin cos θθθθθθθθθθθθθθ+++==+++ ()2222sin sin cos tan tan 422sin cos 1tan 145θθθθθθθθ++-====+++. 故选:C . 【点睛】易错点睛:本题如果利用tan 2θ=-,求出sin ,cos θθ的值,可能还需要分象限讨论其正负,通过齐次化处理,可以避开了这一讨论. 7.D 【分析】解法一:根据导数几何意义求得切线方程,再构造函数,利用导数研究函数图象,结合图形确定结果;解法二:画出曲线x y e =的图象,根据直观即可判定点(),a b 在曲线下方和x 轴上方时才可以作出两条切线. 【详解】在曲线x y e =上任取一点(),tP t e ,对函数x y e =求导得e x y '=,所以,曲线x y e =在点P 处的切线方程为()tty e e x t -=-,即()1tty e x t e =+-,由题意可知,点(),a b 在直线()1tty e x t e =+-上,可得()()11tttb ae t e a t e =+-=+-,令()()1t f t a t e =+-,则()()tf t a t e '=-.当t a <时,()0f t '>,此时函数()f t 单调递增, 当t a >时,()0f t '<,此时函数()f t 单调递减,所以,()()max af t f a e ==,由题意可知,直线y b =与曲线()y f t =的图象有两个交点,则()max ab f t e <=,当1t a <+时,()0f t >,当1t a >+时,()0f t <,作出函数()f t 的图象如下图所示:由图可知,当0a b e <<时,直线y b =与曲线()y f t =的图象有两个交点. 故选:D.解法二:画出函数曲线x y e =的图象如图所示,根据直观即可判定点(),a b 在曲线下方和x 轴上方时才可以作出两条切线.由此可知0a b e <<.故选:D. 【点睛】解法一是严格的证明求解方法,其中的极限处理在中学知识范围内需要用到指数函数的增长特性进行估计,解法二是根据基于对指数函数的图象的清晰的理解与认识的基础上,直观解决问题的有效方法. 8.B 【分析】根据独立事件概率关系逐一判断 【详解】11561()()()()6636366P P P P =====甲,乙,丙,丁, ,1()0()()()()()36P P P P P P =≠==甲丙甲丙,甲丁甲丁,1()()()()0()()36P P P P P P =≠=≠乙丙乙丙,丙丁丁丙,故选:B 【点睛】判断事件,A B 是否独立,先计算对应概率,再判断()()()P A P B P AB =是否成立 9.CD【分析】A 、C 利用两组数据的线性关系有()()E y E x c =+、()()D y D x =,即可判断正误;根据中位数、极差的定义,结合已知线性关系可判断B 、D 的正误. 【详解】A :()()()E y E x c E x c =+=+且0c ≠,故平均数不相同,错误;B :若第一组中位数为i x ,则第二组的中位数为i i y x c =+,显然不相同,错误;C :()()()()D y D x D c D x =+=,故方差相同,正确;D :由极差的定义知:若第一组的极差为max min x x -,则第二组的极差为max min max min max min ()()y y x c x c x x -=+-+=-,故极差相同,正确;故选:CD 10.AC 【分析】A 、B 写出1OP ,2OP 、1AP ,2AP 的坐标,利用坐标公式求模,即可判断正误;C 、D 根据向量的坐标,应用向量数量积的坐标表示及两角和差公式化简,即可判断正误. 【详解】A :1(cos ,sin )OP αα=,2(cos ,sin )OP ββ=-,所以1||cos 1OP ==,2||(cos 1OP ==,故12||||OP OP =,正确; B :1(cos 1,sin )AP αα=-,2(cos 1,sin )AP ββ=--,所以1||(cos 2|sin|2AP α====,同理2||(cos 2|sin|2AP β==,故12||,||AP AP 不一定相等,错误;C :由题意得:31cos()0sin()cos()OA OP αβαβαβ⋅=⨯++⨯+=+,12cos cos sin (sin )cos()OP OP αβαβαβ⋅=⋅+⋅-=+,正确;D :由题意得:11cos 0sin cos OA OP ααα⋅=⨯+⨯=,23cos cos()(sin )sin()OP OP βαββαβ⋅=⨯++-⨯+()()()cos βαβcos α2β=++=+,故一般来说123OA OP OP OP ⋅≠⋅故错误; 故选:AC 11.ACD 【分析】计算出圆心到直线AB 的距离,可得出点P 到直线AB 的距离的取值范围,可判断AB 选项的正误;分析可知,当PBA ∠最大或最小时,PB 与圆M 相切,利用勾股定理可判断CD 选项的正误. 【详解】圆()()225516x y -+-=的圆心为()5,5M ,半径为4,直线AB 的方程为142x y+=,即240x y +-=, 圆心M 到直线AB 的距离为22525411545512+⨯-==>+,所以,点P 到直线AB 的距离的最小值为11542-<,最大值为115410+<,A 选项正确,B 选项错误; 如下图所示:当PBA ∠最大或最小时,PB 与圆M 相切,连接MP 、BM ,可知PM PB ⊥,()()22052534BM =-+-=4MP =,由勾股定理可得2232BP BM MP =-=CD 选项正确.故选:ACD. 【点睛】结论点睛:若直线l 与半径为r 的圆C 相离,圆心C 到直线l 的距离为d ,则圆C 上一点P 到直线l 的距离的取值范围是[],d r d r -+. 12.BD 【分析】对于A ,由于等价向量关系,联系到一个三角形内,进而确定点的坐标;对于B ,将P 点的运动轨迹考虑到一个三角形内,确定路线,进而考虑体积是否为定值; 对于C ,考虑借助向量的平移将P 点轨迹确定,进而考虑建立合适的直角坐标系来求解P 点的个数;对于D ,考虑借助向量的平移将P 点轨迹确定,进而考虑建立合适的直角坐标系来求解P 点的个数. 【详解】易知,点P 在矩形11BCC B 内部(含边界).对于A ,当1λ=时,11=BP BC BB BC CC μμ=++,即此时P ∈线段1CC ,1AB P △周长不是定值,故A 错误;对于B ,当1μ=时,1111=BP BC BB BB BC λλ=++,故此时P 点轨迹为线段11B C ,而11//B C BC ,11//B C 平面1A BC ,则有P 到平面1A BC 的距离为定值,所以其体积为定值,故B 正确. 对于C ,当12λ=时,112BP BC BB μ=+,取BC ,11B C 中点分别为Q ,H ,则BP BQ QH μ=+,所以P 点轨迹为线段QH ,不妨建系解决,建立空间直角坐标系如图,1A ⎫⎪⎪⎝⎭,()0,0P μ,,10,,02B ⎛⎫ ⎪⎝⎭,则11A P μ⎛⎫=-- ⎪ ⎪⎝⎭,10,,2BP μ⎛⎫=- ⎪⎝⎭,()110A P BP μμ⋅=-=,所以0μ=或1μ=.故,H Q 均满足,故C 错误;对于D ,当12μ=时,112BP BC BB λ=+,取1BB ,1CC 中点为,M N .BP BM MN λ=+,所以P 点轨迹为线段MN .设010,,2P y ⎛⎫ ⎪⎝⎭,因为0,0A ⎫⎪⎪⎝⎭,所以01,2AP y ⎛⎫=- ⎪ ⎪⎝⎭,11,122A B ⎛⎫=-- ⎪ ⎪⎝⎭,所以00311104222y y +-=⇒=-,此时P 与N 重合,故D 正确. 故选:BD . 【点睛】本题主要考查向量的等价替换,关键之处在于所求点的坐标放在三角形内. 13.5 ()41537202n n -+-【分析】(1)按对折列举即可;(2)根据规律可得n S ,再根据错位相减法得结果. 【详解】(1)由对折2次共可以得到5dm 12dm ⨯,10dm 6dm ⨯,20dm 3dm ⨯三种规格的图形,所以对着三次的结果有:5312561032022⨯⨯⨯⨯,,;,共4种不同规格(单位2dm ); 故对折4次可得到如下规格:5124⨯,562⨯,53⨯,3102⨯,3204⨯,共5种不同规格;(2)由于每次对着后的图形的面积都减小为原来的一半,故各次对着后的图形,不论规格如何,其面积成公比为12的等比数列,首项为120()2dm ,第n 次对折后的图形面积为111202n -⎛⎫⨯ ⎪⎝⎭,对于第n 此对折后的图形的规格形状种数,根据(1)的过程和结论,猜想为1n +种(证明从略),故得猜想1120(1)2n n n S -+=,设()0121112011202120312042222nk n k n S S -=+⨯⨯⨯==++++∑,则121112021203120120(1)22222n nn n S -⨯⨯+=++++, 两式作差得:()211201111124012022222n nn S -+⎛⎫=++++-⎪⎝⎭ ()11601120122401212n nn -⎛⎫- ⎪+⎝⎭=+--()()112011203120360360222n n nn n -++=--=-, 因此,()()4240315372072022n n n n S -++=-=-. 故答案为:5;()41537202n n -+-. 【点睛】方法点睛:数列求和的常用方法:(1)对于等差等比数列,利用公式法可直接求解;(2)对于{}n n a b 结构,其中{}n a 是等差数列,{}n b 是等比数列,用错位相减法求和; (3)对于{}n n a b +结构,利用分组求和法;(4)对于11n n a a +⎧⎫⎨⎬⎩⎭结构,其中{}n a 是等差数列,公差为()0d d ≠,则111111n n n n a a d a a ++⎛⎫=- ⎪⎝⎭,利用裂项相消法求和. 14.1 【分析】利用偶函数的定义可求参数a 的值. 【详解】因为()()322x xx a f x -=⋅-,故()()322x x f x x a --=-⋅-,因为()f x 为偶函数,故()()f x f x -=, 时()()332222xx x x xa x a --⋅-=-⋅-,整理得到()()12+2=0x x a --,故1a =, 故答案为:1 15.32x =- 【分析】先用坐标表示P Q ,,再根据向量垂直坐标表示列方程,解得p ,即得结果. 【详解】抛物线C :22y px = (0p >)的焦点,02p F ⎛⎫ ⎪⎝⎭, ∵P 为C 上一点,PF 与x 轴垂直, 所以P 的横坐标为2p,代入抛物线方程求得P 的纵坐标为p ±, 不妨设(,)2pP p , 因为Q 为x 轴上一点,且PQ OP ⊥,所以Q 在F 的右侧, 又||6FQ =,(6,0),(6,)2pQ PQ p ∴+∴=- 因为PQ OP ⊥,所以PQ OP ⋅=2602pp ⨯-=, 0,3p p >∴=,所以C 的准线方程为32x =- 故答案为:32x =-. 【点睛】利用向量数量积处理垂直关系是本题关键. 16.1 【分析】由解析式知()f x 定义域为(0,)+∞,讨论102x <≤、112x <≤、1x >,并结合导数研究的单调性,即可求()f x 最小值. 【详解】由题设知:()|21|2ln f x x x =--定义域为(0,)+∞,∴当102x <≤时,()122ln f x x x =--,此时()f x 单调递减; 当112x <≤时,()212ln f x x x =--,有2()20f x x'=-≤,此时()f x 单调递减; 当1x >时,()212ln f x x x =--,有2()20f x x'=->,此时()f x 单调递增;又()f x 在各分段的界点处连续,∴综上有:01x <≤时,()f x 单调递减,1x >时,()f x 单调递增; ∴()(1)1f x f ≥= 故答案为:1.17.(1)122,5b b ==;(2)300. 【分析】(1)根据题设中的递推关系可得13n n b b +=+,从而可求{}n b 的通项. (2)根据题设中的递推关系可得{}n a 的前20项和为20S 可化为()2012910210S b b b b =++++-,利用(1)的结果可求20S .【详解】(1)由题设可得121243212,1215b a a b a a a ==+===+=++= 又22211k k a a ++=+,2122k k a a +=+,*()k N ∈ 故2223k k a a +=+,即13n n b b +=+,即13n n b b +-= 所以{}n b 为等差数列,故()21331n b n n =+-⨯=-. (2)设{}n a 的前20项和为20S ,则2012320S a a a a =++++,因为123419201,1,,1a a a a a a =-=-=-,所以()20241820210S a a a a =++++-()1291091021021023103002b b b b ⨯⎛⎫=++++-=⨯⨯+⨯-= ⎪⎝⎭.【点睛】方法点睛:对于数列的交叉递推关系,我们一般利用已知的关系得到奇数项的递推关系或偶数项的递推关系,再结合已知数列的通项公式、求和公式等来求解问题. 18.(1)见解析;(2)B 类. 【分析】(1)通过题意分析出小明累计得分X 的所有可能取值,逐一求概率列分布列即可.(2)与(1)类似,找出先回答B 类问题的数学期望,比较两个期望的大小即可. 【详解】(1)由题可知,X 的所有可能取值为0,20,100.()010.80.2P X ==-=; ()()200.810.60.32P X ==-=; ()1000.80.60.48P X ==⨯=.所以X 的分布列为(2)由(1)知,()00.2200.321000.4854.4E X =⨯+⨯+⨯=.若小明先回答B 问题,记Y 为小明的累计得分,则Y 的所有可能取值为0,80,100.()010.60.4P Y ==-=; ()()800.610.80.12P Y ==-=; ()1000.80.60.48P X ==⨯=.所以()00.4800.121000.4857.6E Y =⨯+⨯+⨯=. 因为54.457.6<,所以小明应选择先回答B 类问题. 19.(1)证明见解析;(2)7cos 12ABC ∠=. 【分析】(1)根据正弦定理的边角关系有ac BDb=,结合已知即可证结论.(2)由题设2,,33b bBD b AD DC===,应用余弦定理求cos ADB∠、cos CDB∠,又ADB CDBπ∠=-∠,可得42221123b baa+=,结合已知及余弦定理即可求cos ABC∠. 【详解】(1)由题设,sinsina CBDABC=∠,由正弦定理知:sin sinc bC ABC=∠,即sinsinC cABC b=∠,∴acBDb=,又2b ac=,∴BD b=,得证.(2)由题意知:2,,33b bBD b AD DC===,∴22222241399cos24233b bb c cADBb bb+--∠==⋅,同理2222221099cos2233b bb a aCDBb bb+--∠==⋅,∵ADB CDBπ∠=-∠,∴2222221310994233b bc ab b--=,整理得2221123ba c+=,又2b ac=,∴42221123b baa+=,整理得422461130a ab b-+=,解得2213ab=或2232ab=,由余弦定理知:222224cos232a cb aABCac b+-∠==-,当2213a b =时,7cos 16ABC ∠=>不合题意;当2232a b =时,7cos 12ABC ∠=;综上,7cos 12ABC ∠=. 【点睛】关键点点睛:第二问,根据余弦定理及ADB CDB π∠=-∠得到,,a b c 的数量关系,结合已知条件及余弦定理求cos ABC ∠.20.(1)详见解析(2) 6【分析】(1)根据面面垂直性质定理得AO ⊥平面BCD ,即可证得结果; (2)先作出二面角平面角,再求得高,最后根据体积公式得结果. 【详解】(1)因为AB=AD,O 为BD 中点,所以AO ⊥BD因为平面ABD 平面BCD =BD ,平面ABD ⊥平面BCD ,AO ⊂平面ABD , 因此AO ⊥平面BCD ,因为CD ⊂平面BCD ,所以AO ⊥CD (2)作EF ⊥BD 于F, 作FM ⊥BC 于M,连FM 因为AO ⊥平面BCD ,所以AO ⊥BD, AO ⊥CD所以EF ⊥BD, EF ⊥CD, BD CD D ⋂=,因此EF ⊥平面BCD ,即EF ⊥BC 因为FM ⊥BC ,FMEF F =,所以BC ⊥平面EFM ,即BC ⊥MF则EMF ∠为二面角E-BC-D 的平面角, 4EMF π∠=因为BO OD =,OCD 为正三角形,所以OCD 为直角三角形 因为2BE ED =,1112(1)2233FM BF ∴==+= 从而EF=FM=213AO ∴=AO ⊥平面BCD,所以11111332BCD V AO S ∆=⋅=⨯⨯⨯=【点睛】二面角的求法:一是定义法,二是三垂线定理法,三是垂面法,四是投影法.21.(1)()221116y x x -=≥;(2)0.【分析】(1)利用双曲线的定义可知轨迹C 是以点1F 、2F 为左、右焦点双曲线的右支,求出a 、b的值,即可得出轨迹C 的方程; (2)设点1,2T t ⎛⎫⎪⎝⎭,设直线AB 的方程为112y t k x ⎛⎫-=- ⎪⎝⎭,设点()11,A x y 、()22,B x y ,联立直线AB 与曲线C 的方程,列出韦达定理,求出TA TB ⋅的表达式,设直线PQ 的斜率为2k ,同理可得出TP TQ ⋅的表达式,由TA TB TP TQ ⋅=⋅化简可得12k k +的值. 【详解】因为12122217MF MF F F -=<=所以,轨迹C 是以点1F 、2F 为左、右焦点的双曲线的右支,设轨迹C 的方程为()222210,0x y a b a b-=>>,则22a =,可得1a =,2174b a =-=,所以,轨迹C 的方程为()221116y x x -=≥;(2)设点1,2T t ⎛⎫⎪⎝⎭,若过点T 的直线的斜率不存在,此时该直线与曲线C 无公共点, 不妨直线AB 的方程为112y t k x ⎛⎫-=- ⎪⎝⎭,即1112y k x t k =+-,联立1122121616y k x t k x y ⎧=+-⎪⎨⎪-=⎩,消去y 并整理可得()()222111111621602k x k t k x t k ⎛⎫-+-+-+=⎪⎝⎭, 设点()11,A x y 、()22,B x y ,则112x >且212x >. 由韦达定理可得2111221216k k t x x k -+=-,211221116216t k x x k ⎛⎫-+ ⎪⎝⎭=-, 所以,()()()()22122121121122112111*********t k x x TA TB k x x k x x k +++⎛⎫⋅=+⋅-⋅-=+⋅-+= ⎪-⎝⎭, 设直线PQ 的斜率为2k ,同理可得()()2222212116t k TP TQ k ++⋅=-,因为TA TB TP TQ ⋅=⋅,即()()()()22221222121211211616t k t k k k ++++=--,整理可得2212k k =,即()()12120k k k k -+=,显然120k k -≠,故120k k +=. 因此,直线AB 与直线PQ 的斜率之和为0. 【点睛】方法点睛:求定值问题常见的方法有两种:(1)从特殊入手,求出定值,再证明这个值与变量无关;(2)直接推理、计算,并在计算推理的过程中消去变量,从而得到定值. 22.(1)()f x 的递增区间为()0,1,递减区间为()1,+∞;(2)证明见解析. 【分析】(1)求出函数的导数,判断其符号可得函数的单调区间; (2)设1211,x x a b==,原不等式等价于122x x e <+<,前者可构建新函数,利用极值点偏移可证,后者可设21x tx =,从而把12x x e +<转化为()()1ln 1ln 0t t t t -+-<在()1,+∞上的恒成立问题,利用导数可证明该结论成立.【详解】(1)函数的定义域为()0,∞+, 又()1ln 1ln f x x x '=--=-,当()0,1x ∈时,()0f x '>,当()1,+x ∈∞时,()0f x '<, 故()f x 的递增区间为()0,1,递减区间为()1,+∞.(2)因为ln ln b a a b a b -=-,故()()ln 1ln +1b a a b +=,即ln 1ln +1a b a b+=, 故11f f a b ⎛⎫⎛⎫= ⎪ ⎪⎝⎭⎝⎭, 设1211,x x a b==,由(1)可知不妨设1201,1x x <<>. 因为()0,1x ∈时,()()1ln 0f x x x =->,(),x e ∈+∞时,()()1ln 0f x x x =-<, 故21x e <<. 先证:122x x +>,若22x ≥,122x x +>必成立.若22x <, 要证:122x x +>,即证122x x >-,而2021x <-<, 故即证()()122f x f x >-,即证:()()222f x f x >-,其中212x <<. 设()()()2,12g x f x f x x =--<<,则()()()()2ln ln 2g x f x f x x x '''=+-=---()ln 2x x =--⎡⎤⎣⎦, 因为12x <<,故()021x x <-<,故()ln 20x x -->,所以()0g x '>,故()g x 在()1,2为增函数,所以()()10g x g >=, 故()()2f x f x >-,即()()222f x f x >-成立,所以122x x +>成立, 综上,122x x +>成立. 设21x tx =,则1t >,结合ln 1ln +1a b a b+=,1211,x x a b ==可得:()()11221ln 1ln x x x x -=-,即:()111ln 1ln ln x t t x -=--,故11ln ln 1t t tx t --=-,要证:12x x e +<,即证()11t x e +<,即证()1ln 1ln 1t x ++<, 即证:()1ln ln 111t t tt t --++<-,即证:()()1ln 1ln 0t t t t -+-<,令()()()1ln 1ln ,1S t t t t t t =-+->, 则()()112ln 11ln ln 111t S t t t t t t -⎛⎫'=++--=+- ⎪++⎝⎭, 先证明一个不等式:()ln 1x x ≤+. 设()()ln 1u x x x =+-,则()1111xu x x x -'=-=++, 当10x -<<时,()0u x '>;当0x >时,()0u x '<,故()u x 在()1,0-上为增函数,在()0,+∞上为减函数,故()()max 00u x u ==, 故()ln 1x x ≤+成立由上述不等式可得当1t >时,112ln 11t t t ⎛⎫+≤< ⎪+⎝⎭,故()0S t '<恒成立, 故()S t 在()1,+∞上为减函数,故()()10S t S <=, 故()()1ln 1ln 0t t t t -+-<成立,即12x x e +<成立. 综上所述,112e a b<+<. 【点睛】方法点睛:极值点偏移问题,一般利用通过原函数的单调性,把与自变量有关的不等式问题转化与原函数的函数值有关的不等式问题,也可以引入第三个变量,把不等式的问题转化为与新引入变量有关的不等式问题.。
高考圆锥曲线试题精选一、选择题:(每小题5分,计50分)1、(2008海南、宁夏文)双曲线22110x y -=的焦距为( )2.(2004全国卷Ⅰ文、理)椭圆1422=+y x 的两个焦点为F 1、F 2,过F 1作垂直于x 轴的 直线与椭圆相交,一个交点为P ,则||2PF = ( )A .23 B .3 C .27D .4 3.(2006辽宁文)方程22520x x -+=的两个根可分别作为( )A.一椭圆和一双曲线的离心率B.两抛物线的离心率 C.一椭圆和一抛物线的离心率D.两椭圆的离心率4.(2006四川文、理)直线y=x-3与抛物线x y 42=交于A 、B 两点,过A 、B 两点向 抛物线的准线作垂线,垂足分别为P 、Q ,则梯形APQB 的面积为( ) (A )48. (B )56 (C )64 (D )72.5.(2007福建理)以双曲线116922=-y x 的右焦点为圆心,且与其渐近线相切的圆的方程是( )A .B.C .D.6.(2004全国卷Ⅳ理)已知椭圆的中心在原点,离心率21=e ,且它的一个焦点与抛物线 x y 42-=的焦点重合,则此椭圆方程为( )A .13422=+y xB .16822=+y xC .1222=+y x D .1422=+y x 7.(2005湖北文、理)双曲线)0(122≠=-mn ny m x 离心率为2,有一个焦点与抛物线x y 42=的焦点重合,则mn 的值为( )A .163B .83C .316D .388. (2008重庆文)若双曲线2221613x y p-=的左焦点在抛物线y 2=2px 的准线上,则p 的值为 ( )(A)2(B)3(C)4(D)429.(2002北京文)已知椭圆1532222=+n y m x 和双曲线1322222=-n y m x 有公共的焦点,那么 双曲线的渐近线方程是( ) A .y x 215±= B .x y 215±= C .y x 43±= D .x y 43±= 二、填空题:(每小题5分,计20分)11. (2005上海文)若椭圆长轴长与短轴长之比为2,它的一个焦点是()0,152,则椭圆的标准方程是_________________________12.(2008江西文)已知双曲线22221(0,0)x y a b a b-=>>的两条渐近线方程为y x =, 若顶点到渐近线的距离为1,则双曲线方程为 .13.(2007上海文)以双曲线15422=-y x 的中心为顶点,且以该双曲线的右焦点为焦点的 抛物线方程是 .三、解答题:(15—18题各13分,19、20题各14分)15.(2006北京文)椭圆C:22221(0)x y a b a b +=>>的两个焦点为F 1,F 2,点P 在椭圆C 上,且11212414,||,||.33PF F F PF PF ⊥== (Ⅰ)求椭圆C 的方程;(Ⅱ)若直线l 过圆x 2+y 2+4x-2y=0的圆心M , 交椭圆C 于,A B 两点, 且A 、B 关于点M 对称,求直线l 的方程..16.(2005重庆文)已知中心在原点的双曲线C 的右焦点为(2,0),右顶点为)0,3( (1)求双曲线C 的方程; (2)若直线2:+=kx y l 与双曲线C 恒有两个不同的交点A 和B ,且2>⋅OB OA (其中O 为原点). 求k 的取值范围.17.(2007安徽文)设F 是抛物线G :x 2=4y 的焦点.(Ⅰ)过点P (0,-4)作抛物线G 的切线,求切线方程:(Ⅱ)设A 、B 为抛物线G 上异于原点的两点,且满足0·=FB FA ,延长AF 、BF 分别交抛物线G 于点C ,D ,求四边形ABCD 面积的最小值.18.(2008辽宁文) 在平面直角坐标系xOy 中,点P 到两点(0-,,(0的距离之和等于4,设点P 的轨迹为C . (Ⅰ)写出C 的方程;(Ⅱ)设直线1y kx =+与C 交于A ,B 两点.k 为何值时OA ⊥OB ?此时AB 的值是多少?19. (2002广东、河南、江苏)A 、B 是双曲线x 2-y22=1上的两点,点N(1,2)是线段AB 的中点(1)求直线AB 的方程;(2)如果线段AB 的垂直平分线与双曲线相交于C 、D 两点,那么A 、B 、C 、D 四点是否共圆?为什么?20.(2007福建理)如图,已知点F (1,0),直线l :x =-1,P 为平面上的动点,过P 作直线l 的垂线,垂足为点Q ,且=。
高三数学圆锥曲线试题答案及解析1.设、是定点,且均不在平面上,动点在平面上,且,则点的轨迹为()A.圆或椭圆B.抛物线或双曲线C.椭圆或双曲线D.以上均有可能【答案】D【解析】以为高线,为顶点作顶角为的圆锥面,则点就在这个圆锥面上,用平面截这个圆锥面所得截线就是点的轨迹,它可能是圆、椭圆、抛物线、双曲线,因此选D.【考点】圆锥曲线的性质.2.已知点是双曲线右支上一点,是双曲线的左焦点,且双曲线的一条渐近线恰是线段的中垂线,则该双曲线的离心率是( )A.B.C.D.【答案】D【解析】设直线:求直线与渐近线的交点,解得:是的中点,利用中点坐标公式,得,在双曲线上,所以代入双曲线方程得:,整理得,解得.故选D.【考点】1.双曲线的几何性质;2.双曲线的方程.3.已知椭圆的焦点重合,则该椭圆的离心率是.【答案】【解析】抛物线的焦点为,椭圆的方程为:,所以离心率.【考点】1、椭圆与抛物线的焦点;2、圆的离心率.4.已知双曲线的左、右焦点分别为,以为直径的圆与双曲线渐近线的一个交点为,则此双曲线的方程为()A.B.C.D.【答案】C【解析】由条件得:,即,而,渐近线为,在上,所以,得,所以双曲线方程为.【考点】1.双曲线方程的求法;2.双曲线的渐近线.5.已知动点到定点和的距离之和为.(Ⅰ)求动点轨迹的方程;(Ⅱ)设,过点作直线,交椭圆异于的两点,直线的斜率分别为,证明:为定值.【答案】(Ⅰ);(Ⅱ)证明过程详见解析.【解析】本题考查椭圆的基本量间的关系及韦达定理的应用.第一问是考查椭圆的基本量间的关系,比较简单;第二问是直线与椭圆相交于两点,先设出两点坐标,本题的突破口是在消参后的方程中找出两根之和、两根之积,整理斜率的表达式,但是在本问中需考虑直线的斜率是否存在,此题中蕴含了分类讨论的思想的应用.试题解析:(Ⅰ)由椭圆定义,可知点的轨迹是以为焦点,以为长轴长的椭圆.由,得.故曲线的方程为. 5分(Ⅱ)当直线的斜率存在时,设其方程为,由,得. 7分设,,,.从而.11分当直线的斜率不存在时,得,得.综上,恒有. 12分【考点】1.三角形面积公式;2.余弦定理;3.韦达定理;4.椭圆的定义.6.已知双曲线的左、右焦点分别为,以为直径的圆与双曲线渐近线的一个交点为,则此双曲线的方程为()A.B.C.D.【答案】C【解析】由条件得:,即,而,渐近线为,在上,所以,得,所以双曲线方程为.【考点】1.双曲线方程的求法;2.双曲线的渐近线.7.已知椭圆的中心在坐标原点,右准线为,离心率为.若直线与椭圆交于不同的两点、,以线段为直径作圆.(1)求椭圆的标准方程;(2)若圆与轴相切,求圆被直线截得的线段长.【答案】(1);(2).【解析】(1)先根据题中的条件确定、的值,然后利用求出的值,从而确定椭圆的方程;(2)先确定点的坐标,求出圆的方程,然后利用点(圆心)到直线的距离求出弦心距,最后利用勾股定理求出直线截圆所得的弦长.试题解析:(1)设椭圆的方程为,由题意知,,解得,则,,故椭圆的标准方程为 5分(2)由题意可知,点为线段的中点,且位于轴正半轴,又圆与轴相切,故点的坐标为,不妨设点位于第一象限,因为,所以, 7分代入椭圆的方程,可得,因为,解得, 10分所以圆的圆心为,半径为,其方程为 12分因为圆心到直线的距离 14分故圆被直线截得的线段长为 16分【考点】椭圆的方程、点到直线的距离、勾股定理8.已知为抛物线的焦点,抛物线上点满足(Ⅰ)求抛物线的方程;(Ⅱ)点的坐标为(,),过点F作斜率为的直线与抛物线交于、两点,、两点的横坐标均不为,连结、并延长交抛物线于、两点,设直线的斜率为,问是否为定值,若是求出该定值,若不是说明理由.【答案】(Ⅰ),(Ⅱ).【解析】(Ⅰ)利用抛物线的定义得到,再得到方程;(Ⅱ)利用点的坐标表示直线的斜率,设直线的方程,通过联立方程,利用韦达定理计算的值.试题解析:(Ⅰ)由题根据抛物线定义,所以,所以为所求. 2分(Ⅱ)设则,同理 4分设AC所在直线方程为,联立得所以, 6分同理 (8分)所以 9分设AB所在直线方程为联立得, 10分所以所以 12分【考点】抛物线标准方程,直线与抛物线位置关系的应用.9.极坐标系中椭圆C的方程为以极点为原点,极轴为轴非负半轴,建立平面直角坐标系,且两坐标系取相同的单位长度. (Ⅰ)求该椭圆的直角标方程;若椭圆上任一点坐标为,求的取值范围;(Ⅱ)若椭圆的两条弦交于点,且直线与的倾斜角互补,求证:.【答案】(Ⅰ)(Ⅱ)详见解析【解析】将椭圆的极坐标方程转化为一般标准方程,再利用换元法求范围,利用参数方程代入,计算得到结果.试题解析:(Ⅰ)该椭圆的直角标方程为, 2分设,所以的取值范围是 4分(Ⅱ)设直线的倾斜角为,直线的倾斜角为,则直线的参数方程为(为参数),(5分)代入得:即 7分同理 9分所以(10分)【考点】极坐标、参数方程,换元法应用.10.已知直线,,过的直线与分别交于,若是线段的中点,则等于()A.12B.C.D.【答案】B【解析】设、,所以、.所以.故选B.【考点】两点之间的距离点评:主要是考查了两点之间的距离的运用,属于基础题。
全国高考理科数学试题分类汇编9:圆锥曲线一、选择题1 .(2013年高考江西卷(理))过点引直线l与曲线y =A,B 两点,O 为坐标原点,当∆AOB 的面积取最大值时,直线l 的斜率等于 ( )A .y EB BC CD=++3B.3-C.3±D.2 .(2013年普通高等学校招生统一考试福建数学(理)试题(纯WORD 版))双曲线2214x y -=的顶点到其渐近线的距离等于 ( )A .25B .45CD3 .(2013年普通高等学校招生统一考试广东省数学(理)卷(纯WORD 版))已知中心在原点的双曲线C 的右焦点为()3,0F ,离心率等于32,在双曲线C 的方程是( )A.2214x = B .22145x y -=C .22125x y -=D.2212x -=4 .(2013年高考新课标1(理))已知双曲线C :22221x y a b -=(0,0a b >>)则C 的渐近线方程为 ( )A .14y x =±B .13y x =±C .12y x =±D .y x =±5 .(2013年高考湖北卷(理))已知04πθ<<,则双曲线22122:1cos sin x y C θθ-=与222222:1sin sin tan y x C θθθ-=的 ( )A .实轴长相等B .虚轴长相等C .焦距相等D .离心率相等6 .(2013年高考四川卷(理))抛物线24y x =的焦点到双曲线2213y x -=的渐近线的距离是 ( ) A .12BC .1 D7 .(2013年普通高等学校招生统一考试浙江数学(理)试题(纯WORD 版))如图,21,F F 是椭圆14:221=+y x C 与双曲线2C 的公共焦点,B A ,分别是1C ,2C 在第二、四象限的公共点.若四边形21BF AF 为矩形,则2C 的离心率是[来源:12999数学网]( )A .2B .3C .23D .268 .(2013年普通高等学校招生统一考试天津数学(理)试题(含答案))已知双曲线22221(0,0)x y a b a b-=>>的两条渐近线与抛物线22(0)px p y =>的准线分别交于A , B 两点, O 为坐标原点. 若双曲线的离心率为2, △AOB则p = ( )A .1B .32C .2D .39 .(2013年普通高等学校招生统一考试大纲版数学(理)WORD 版含答案(已校对))椭圆22:143x y C +=的左、右顶点分别为12,A A ,点P 在C 上且直线2PA 的斜率的取值范围是[]2,1--,那么直线1PA 斜率的取值范围是 ( )A .1324⎡⎤⎢⎥⎣⎦,B .3384⎡⎤⎢⎥⎣⎦,C .112⎡⎤⎢⎥⎣⎦,D .314⎡⎤⎢⎥⎣⎦,10.(2013年普通高等学校招生统一考试大纲版数学(理)WORD 版含答案(已校对))已知抛物线2:8C y x=与点()2,2M -,过C 的焦点且斜率为k 的直线与C 交于,A B 两点,若0MA MB =,则k = ( )A .12B.2CD .211.(2013年高考北京卷(理))若双曲线22221x y a b-=则其渐近线方程为( )A .y =±2xB .y= C .12y x =±D.y x = 12.(2013年普通高等学校招生统一考试山东数学(理)试题(含答案))已知抛物线1C :212y xp =(0)p >的焦点与双曲线2C :2213x y -=的右焦点的连线交1C 于第一象限的点M .若1C 在点M 处的切线平行于2C 的一条渐近线,则p =( )A.B.C.D.13.(2013年高考新课标1(理))已知椭圆2222:1(0)x y E a b a b+=>>的右焦点为(3,0)F ,过点F 的直线交椭圆于,A B 两点.若AB 的中点坐标为(1,1)-,则E 的方程为( )A .2214536x y += B .2213627x y += C .2212718x y += D .221189x y += 14.(2013年普通高等学校招生统一考试新课标Ⅱ卷数学(理)(纯WORD 版含答案))设抛物线2:2(0)C y px p =>的焦点为F ,点M 在C 上,5MF =,若以MF 为直径的圆过点)2,0(,则C 的方程为( )A .24y x =或28y x =B .22y x =或28y x =C .24y x =或216y x =D .22y x =或216y x =15.(2013年上海市春季高考数学试卷(含答案))已知 A B 、为平面内两定点,过该平面内动点M 作直线AB 的垂线,垂足为N .若2MN AN NB λ=⋅,其中λ为常数,则动点M 的轨迹不可能是 ( )A .圆B .椭圆C .抛物线D .双曲线16.(2013年普通高等学校招生统一考试重庆数学(理)试题(含答案))已知圆()()221:231C x y -+-=,圆()()222:349C x y -+-=,,M N 分别是圆12,C C 上的动点,P 为x 轴上的动点,则PM PN +的最小值为 ( )A.4 B1C.6-D二、填空题17.(2013年普通高等学校招生全国统一招生考试江苏卷(数学)(已校对纯WORD 版含附加题))双曲线191622=-y x 的两条渐近线的方程为_____________.18.(2013年高考江西卷(理))抛物线22(0)x py p =>的焦点为F,其准线与双曲线22133x y -=相交于,A B 两点,若ABF ∆为等边三角形,则P =_____________19.(2013年高考湖南卷(理))设12,F F 是双曲线2222:1(0,0)x y C a b a b-=>>的两个焦点,P 是C 上一点,若216,PF PF a +=且12PF F ∆的最小内角为30,则C 的离心率为___.20.(2013年高考上海卷(理))设AB 是椭圆Γ的长轴,点C 在Γ上,且4CBA π∠=,若AB=4,BC =,则Γ的两个焦点之间的距离为________24.(2013年普通高等学校招生统一考试福建数学(理)试题(纯WORD 版))椭圆2222:1(0)x y a b a bΓ+=>>的左.右焦点分别为12,F F ,焦距为2c,若直线)y x c =+与椭圆Γ的一个交点M 满足12212MF F MF F ∠=∠,则该椭圆的离心率等于__________25.(2013年高考陕西卷(理))双曲线22116x y m-=的离心率为54, 则m 等于_______.26.(2013年普通高等学校招生统一考试辽宁数学(理)试题(WORD 版))已知椭圆2222:1(0)x y C a b a b+=>>的左焦点为,F C 与过原点的直线相交于,A B 两点,连接,A F B F ,若410,6,cos ABF 5AB AF ==∠=,则C 的离心率e =______.27.(2013年上海市春季高考数学试卷(含答案))抛物线28yx =的准线方程是_______________三、解答题30.(2013年上海市春季高考数学试卷(含答案))本题共有2个小题,第1小题满分4分,第2小题满分9分.已知椭圆C 的两个焦点分别为1(10)F -,、2(1 0)F ,,短轴的两个端点分别为12 B B 、(1)若112F B B ∆为等边三角形,求椭圆C 的方程;(2)若椭圆C 的短轴长为2,过点2F 的直线l 与椭圆C 相交于 P Q 、两点,且11F P FQ ⊥,求直线l 的方程.31.(2013年高考四川卷(理))已知椭圆C :22221,(0)x y a b a b+=>>的两个焦点分别为12(1,0),(1,0)F F -,且椭圆C 经过点41(,)33P .(Ⅰ)求椭圆C 的离心率;32.(2013年普通高等学校招生统一考试山东数学(理)试题(含答案))椭圆2222:1x y C a b+=(0)a b >>的左、右焦点分别是12,F F ,,过1F 且垂直于x 轴的直线被椭圆C 截得的线段长为1. (Ⅰ)求椭圆C 的方程;36.(2013年普通高等学校招生统一考试浙江数学(理)试题(纯WORD 版))如图,点)1,0(-P 是椭圆)0(1:22221>>=+b a by a x C 的一个顶点,1C 的长轴是圆4:222=+y x C 的直径.21,l l 是过点P 且互相垂直的两条直线,其中1l 交圆2C 于两点,2l 交椭圆1C 于另一点D (1)求椭圆1C 的方程; (2)求ABD ∆面积取最大值时直线1l 的方程.37.(2013年普通高等学校招生统一考试重庆数学(理)试题(含答案))如题(21)图,椭圆的中心为原点O ,长轴在x 轴上,离心率e =过左焦点1F 作x 轴的垂线交椭圆于,A A '两点,4AA '=.(1)求该椭圆的标准方程;38.(2013年普通高等学校招生统一考试安徽数学(理)试题(纯WORD 版))设椭圆2222:11x y E a a +=-的焦点在x 轴上(Ⅰ)若椭圆E 的焦距为1,求椭圆E 的方程; .39.(2013年高考新课标1(理))已知圆M :22(1)1x y ++=,圆N :22(1)9x y -+=,动圆P 与M 外切并且与圆N 内切,圆心P 的轨迹为曲线 C.(Ⅰ)求C 的方程;(Ⅱ)l 是与圆P ,圆M 都相切的一条直线,l 与曲线C 交于A,B 两点,当圆P 的半径最长时,求|AB|.40.(2013年普通高等学校招生统一考试天津数学(理)试题(含答案))设椭圆22221(0)x y a b a b+=>>的左焦点为F ,过点F 且与x.(Ⅰ) 求椭圆的方程; 【答案】41.(2013年高考江西卷(理))如图,椭圆2222+=1(>>0)x y C a b a b:经过点3(1,),2P 离心率1=2e ,直线l的方(第21题图)程为=4x .(1) 求椭圆C 的方程;42.(2013年普通高等学校招生统一考试广东省数学(理)卷(纯WORD 版))已知抛物线C 的顶点为原点,其焦点()()0,0F c c >到直线l :20x y --=设P 为直线l 上的点,过点P 作抛物线C 的两条切线,PA PB ,其中,A B 为切点.(Ⅰ) 求抛物线C 的方程;(Ⅱ) 当点()00,P x y 为直线l 上的定点时,求直线AB 的方程;43.(2013年普通高等学校招生统一考试新课标Ⅱ卷数学(理)(纯WORD 版含答案))平面直角坐标系xOy中,过椭圆2222:1(0)x y M a b a b+=>>的右焦点F 作直0x y +=交M 于,A B 两点,P 为AB 的中点,且OP 的斜率为12. (Ⅰ)求M 的方程;(Ⅱ),C D 为M 上的两点,若四边形ABCD 的对角线CD AB ⊥,求四边形ABCD 面积的最大值.【答案】46.(2013年高考陕西卷(理))已知动圆过定点A (4,0), 且在y 轴上截得的弦MN 的长为8.(Ⅰ) 求动圆圆心的轨迹C 的方程;47.(2013年普通高等学校招生统一考试辽宁数学(理)试题(WORD 版))如图,抛物线()2212:4,:20C x y C x py p ==->,点()00,M x y 在抛物线2C 上,过M 作1C 的切线,切点为,A B (M 为原点O 时,,A B 重合于O )01x =,切线.MA 的斜率为12-.(I)求p 的值;(II)当M 在2C 上运动时,求线段AB 中点N 的轨迹方程.(),,.A B O O 重合于时中点为48.(2013年普通高等学校招生统一考试大纲版数学(理)WORD 版含答案(已校对))已知双曲线()2222:10,0x y C a b a b-=>>的左、右焦点分别为12F F ,,离心率为3,直线2y =与C 的两个交点间. (I)求,;a b ;49.(2013年上海市春季高考数学试卷(含答案))本题共有2个小题,第1小题满分6分,第2小题满分6分.已知抛物线24C y x =: 的焦点为F .(1) 点 A P 、满足2AP FA =-.当点A 在抛物线C 上运动时,求动点P 的轨迹方程; 全国高考理科数学试题分类汇编9:圆锥曲线【答案】B 【答案】C 【答案】B 【答案】C 【答案】D 【答案】B 【答案】D 【答案】C 【答案】B 【答案】D 【答案】B 【答案】D 【答案】D 【答案】C 【答案】C 【答案】A 二、填空题【答案】 【答案】6 【答案】 【答案】.【答案】【答案】9 【答案】 【答案】三、解答题【答案】[解](1)设椭圆的方程为. 根据题意知, 解得,故椭圆的方程为.(2)容易求得椭圆的方程为.当直线的斜率不存在时,其方程为,不符合题意;当直线的斜率存在时,设直线的方程为.由得.设,则因为,所以,即,解得,即.故直线的方程为或.【答案】解:所以,.又由已知,, [来源:]所以椭圆C的离心率【答案】解:(Ⅰ)由于,将代入椭圆方程得由题意知,即又所以,所以椭圆方程为【答案】解:(Ⅰ)由已知得到,且,所以椭圆的方程是;(Ⅱ)因为直线,且都过点,所以设直线,直线,所以圆心到直线的距离为,所以直线被圆所截的弦;由,所以,所以,当时等号成立,此时直线答案】解: (Ⅰ)【答案】由已知得圆的圆心为(-1,0),半径=1,圆的圆心为(1,0),半径=3.设动圆的圆心为(,),半径为R. [来源:](Ⅰ)∵圆与圆外切且与圆内切,∴|PM|+|PN|===4,由椭圆的定义可知,曲线C是以M,N为左右焦点,场半轴长为2,短半轴长为的椭圆(左顶点除外),其方程为.(Ⅱ)对于曲线C上任意一点(,),由于|PM|-|PN|=≤2,∴R≤2,当且仅当圆P的圆心为(2,0)时,R=2.∴当圆P的半径最长时,其方程为,当的倾斜角为时,则与轴重合,可得|AB|=.当的倾斜角不为时,由≠R知不平行轴,设与轴的交点为Q,则=,可求得Q(-4,0),∴设:,由于圆M相切得,解得.当=时,将代入并整理得,解得=,∴|AB|==.当=-时,由图形的对称性可知|AB|=,综上,|AB|=或|AB|=.【答案】(Ⅰ) 依题意,设抛物线的方程为,由结合,解得. 所以抛物线的方程为.(Ⅱ) 抛物线的方程为,即,求导得设,(其中),则切线的斜率分别为,,所以切线的方程为,即,即同理可得切线的方程为因为切线均过点,所以,所以为方程的两组解.所以直线的方程为.47.(2013年普通高等学校招生统一考试辽宁数学(理)试题(WORD版))【答案】【答案】(1)设动点的坐标为,点的坐标为,则, 因为的坐标为,所以,由得.即解得代入,得到动点的轨迹方程为.。
圆锥曲线--高考真题汇编第一节椭圆1.(2023全国甲卷理科12)已知椭圆22196x y +=,12,F F 为两个焦点,O 为原点,P 为椭圆上一点,123cos 5F PF ∠=,则OP =()A.25 C.35【解析】解法一(利用焦点三角形面积公式):设122F PF θ∠=,π02θ<<.22212222cos sin 1tan 3cos cos 2cos sin 1tan 5F PF θθθθθθθ--∠====++,解得1tan 2θ=.由椭圆焦点三角形面积公式得1222121tantan 6322F PF F PF S b b θ∠===⨯=△.121211322F PF P P S F F y ===△,解得23P y =.则代入椭圆方程得292P x =,因此302OP ==.故选B.解法二(几何性质+定义):因为1226PF PF a +==①,22212121122cos PF PF PF PF F PF F F +-⋅∠=,即2212126125PF PF PF PF +-⋅=②,联立①②,解得12152PF PF ⋅=,221221PF PF +=.由中线定理可知,()()222212122242OP F F PF PF +=+=,而12F F =,解得302OP =.故选B.解法三(向量法):由解法二知12152PF PF ⋅=,221221PF PF +=.而()1212PO PF PF =+,所以1213022PO PF PF =+===.故选B.2.(2023全国甲卷文科7)设12,F F 为椭圆22:15x C y +=的两个焦点,点P 在C 上,若120PF PF ⋅= ,则12PF PF ⋅=()A.1B.2C.4D.5【分析】解法一:根据焦点三角形面积公式求出12PF F △的面积,即可解出;解法二:根据椭圆的定义以及勾股定理即可解出.【解析】解法一:因为120PF PF ⋅=,所以1290F PF ∠= ,从而122121tan 4512F PF S b PF PF ===⨯⋅ △,所以122PF PF ⋅=.故选B.解法二:因为120PF PF ⋅=,所以1290F PF ∠= ,由椭圆方程可知,25142c c =-=⇒=,所以22221212416PF PF F F +===,又122PF PF a +==22121212216220PF PF PF PF PF PF ++=+=,所以122PF PF ⋅=.故选B.3.(2023新高考I 卷5)设椭圆()2212:11x C y a a +=>,222:14x C y +=的离心率分别为1e ,2e .若21e =,则a =()A.233B.【解析】11a e a =,232e =,由21e =可得32=,解得233a =.故选A.4.(2023新高考II 卷5)已知椭圆22:13x C y +=的左、右焦点分别为12,F F ,直线y x m =+与C 交于,A B 两点,若1F AB △的面积是2F AB △面积的2倍,则m =()A.23B.3C.3-D.23-【解析】设AB 与x 轴相交于点(),0D m -,由122F AB F AB S S =△△,得122F DF D=.又12F F =23F D =,则有()3m --=,解得3m =.故选C.第二节双曲线1.(2023新高考I 卷16)已知双曲线()2222:10,0x y C a b a b -=>>的左、右焦点分别为12,F F ,点A 在C 上,点B 在y 轴上,11F A F B ⊥ ,2223F A F B =- ,则C 的离心率为.【解析】解法一:建立如图所示的平面直角坐标系,设()()()12,0,,0,0,F c F c B n -,由2223F A F B =- 可得52,33A c n ⎛⎫- ⎪⎝⎭,又11F A F B ⊥ 且182,33F A c n ⎛⎫=- ⎪⎝⎭ ,()1,F B c n = ,则()22118282,,03333F A F B c n c n c n ⎛⎫⋅=-⋅=-= ⎪⎝⎭ ,所以224n c =,又点A 在C 上,则2222254991c n a b -=,整理可得2222254199c n a b-=,代入224n c =,可得222225169c c a b -=,即222162591e e e -=-,解得295e =或()215e =舍.故355e =.解法二:由2223F A F B =-可得2223F A F B =,设222,3F A x F B x ==,由对称性可得,13F B x =,由定义可得,122AF x a =+,5AB x =,设12F AF θ∠=,则33sin 55x x θ==,所以422cos 55x a xθ+==,解得x a =,所以1224AF x a a =+=,222F A x a ==,在12AF F △中,由余弦定理可得222216444cos 165a a c a θ+-==,2295a c =,所以355e =.2.(2023全国甲卷理科8)已知双曲线()222210,0x y a b a b-=>>的离心率为5,其中一条渐近线与圆()()22231x y -+-=交于,A B 两点,则AB =()A.15B.55C.255 D.455【解析】由5e =,则222222215c a b b a a a +==+=,解得2b a =.所以双曲线的一条渐近线为2y x =,则圆心()2,3到渐近线的距离22235521d ⨯-==+,所以弦长221452155AB r d =--.故选D.3.(2023全国甲卷文科9)已知双曲线()222210,0x y a b a b-=>>的离心率为5,其中一条渐近线与圆()()22231x y -+-=交于,A B 两点,则AB =()A.15B.55C.255D.455【解析】由e =,则222222215c a b b a a a+==+=,解得2b a =.所以双曲线的一条渐近线为2y x =,则圆心()2,3到渐近线的距离55d ==,所以弦长5AB =.故选D.4.(2023北京卷12)已知双曲线C 的焦点为()2,0-和()2,0,离心率为,则C 的方程为.【分析】根据给定条件,求出双曲线C 的实半轴、虚半轴长,再写出C 的方程作答.【解析】令双曲线C 的实半轴、虚半轴长分别为,a b ,显然双曲线C 的中心为原点,焦点在x 轴上,其半焦距2c =,由双曲线C ,得ca,解得a =,则b =所以双曲线C 的方程为22122x y -=.故答案为:22122x y -=.因为()2,0F c ,不妨设渐近线方程为所以222bc bcPF c a b ==+设2POF θ∠=,则tan θ=第三节抛物线2.(2023全国乙卷理科13,文科13)已知点A 在抛物线2:2C y px =上,则A 到C 的准线的距离为.【分析】由题意首先求得抛物线的标准方程,然后由抛物线方程可得抛物线的准线方程为54x =-,最后利用点的坐标和准线方程计算点A 到C 的准线的距离即可.【解析】由题意可得:221p =⨯,则25p =,抛物线的方程为25y x =,准线方程为54x =-,点A 到C 的准线的距离为59144⎛⎫--= ⎪⎝⎭.故答案为:94.3.(2023新高考II 卷10)设O 为坐标原点,直线)1y x =-过抛物线()2:20C y px p =>的焦点,且与C 交于,M N 两点,l 为C 的准线,则()A .2p =B .83MN =C .以MN 为直径的圆与l 相切D .OMN △为等腰三角形【解析】由题意可得焦点为()1,0F ,所以12p=,2p =,A 正确;联立)214y x y x⎧=-⎪⎨=⎪⎩,消y 得231030x x -+=.设()()1122,,,M x y N x y ,由韦达定理得12103x x +=,所以12163MN MF NF x x p =+=++=,B 错误;设MN 的中点为Q ,分别过,,M N Q 向l 作垂线,垂足分别为111,,M N Q ,由梯形中位线性质及抛物线定义可得,()()111111222QQ MM NN MF NF MN r =+=+==,所以以MN 为直径的圆与准线l 相切,C 正确;由上述解题过程知,231030x x -+=,解得121,33x x ==,从而(1,3,3M N ⎛- ⎝⎭,易得OM ON MN ≠≠,OMN △不是等腰三角形,D 错误.综上,故选AC.第四节直线与圆锥曲线的位置关系1.(2023全国乙卷理科11,文科12)已知,A B 是双曲线2219y x -=上两点,下列四个点中,可为线段AB 中点的是()A.()1,1 B.()1,2- C.()1,3 D.()1,4--【分析】设直线AB 的斜率为AB k ,OM 的斜率为k ,根据点差法分析可得9AB k k ⋅=,对于A ,B ,D 通过联立方程判断交点个数,逐项分析判断;对于C :结合双曲线的渐近线分析判断.【解析】设()11,A x y ,()22,B x y ,则AB 的中点1212,22x x y y M ++⎛⎫⎪⎝⎭,设直线AB 的斜率为AB k ,OM 的斜率为k ,可得1212121212122,2ABy y y y y y k k x x x x x x +-+===+-+,因为,A B 在双曲线上,则221122221919y x y x ⎧-=⎪⎪⎨⎪-=⎪⎩,两式相减得()2222121209y y x x ---=,所以221222129AB y y k k x x -⋅==-.对于选项A :可得1k =,9AB k =,则:98AB y x =-,联立方程229819y x y x =-⎧⎪⎨-=⎪⎩,消去y 得272272730x x -⨯+=,此时()2272472732880∆=-⨯-⨯⨯=-<,所以直线AB 与双曲线没有交点,故A 错误;对于选项B :可得2k =-,92AB k =-,则95:22AB y x =--,联立方程22952219y x y x ⎧=--⎪⎪⎨⎪-=⎪⎩,消去y 得245245610x x +⨯+=,此时()()22454456144545610∆=⨯-⨯⨯=⨯⨯-<,所以直线AB 与双曲线没有交点,故B 错误;对于选项C :可得3k =,3AB k =,则:3AB y x =.由双曲线方程可得1a =,3b =,则:3AB y x =为双曲线的渐近线,所以直线AB 与双曲线没有交点,故C 错误;对于选项D :4k =,94AB k =,则97:44AB y x =-,联立方程22974419y x y x ⎧=-⎪⎪⎨⎪-=⎪⎩,消去y 得2631261930x x +-=,此时21264631930∆=+⨯⨯>,故直线AB 与双曲线有交两个交点,故D 正确.故选D.2.(2023新高考I 卷22)在直角坐标系xOy 中,点P 到x 轴的距离等于点P 到点10,2⎛⎫⎪⎝⎭的距离,记动点P 的轨迹为W .(1)求W 的方程;(2)已知矩形ABCD 有三个顶点在W 上,证明:矩形ABCD的周长大于【解析】(1)设(,)P x y ,则22212x y y ⎛⎫+-= ⎪⎝⎭,故21:4W y x =+.(2)解法一:不妨设三个顶点,,A B C 在抛物线214y x =+上,且AB BC ⊥,显然,AB BC 的斜率存在且不为0,令222111,,,,,444A a a B b b C c c ⎛⎫⎛⎫⎛⎫+++ ⎪ ⎪ ⎪⎝⎭⎝⎭⎝⎭,则,AB BC k a b k b c =+=+,1AB BC k k =-,即()()1a b b c ++=-,即1a b b c-+=+,本题等价于证明332AB BC +>,令||||AB BC b c m +=--=,则m b c =-+-,(未知数有,,a b c ,通过转化(放缩),将变量归一)由221ABBC kk =⋅,即()()22221AB BC k k a b b c =++=⋅,不妨设()221AB k a b =+≤,则m b c=-+-b =-+b c ≥--c ≥-()b b c =+-+1b a b=+++()3221a b a b⎡⎤⎣⎦++=+.令a b t +=,则()()1232323323222211223411332t t a b ta b tt t⎡⎤⎢⎥⎛⎫⎢⎥++⎡⎤ ⎪⎢⎥⎣⎦⎝⎭⎛⎫⨯ ⎪⎝⎭+++==≥=+⎣⎦,当212t =时取等号,又()2321t m t+≥取等时必有21t =,因此取不到等号,所以332m >.解法二:如图所示,先将第一问中的曲线下移14个单位,其表达式为2x y =.不妨设,,A B D 三点在抛物线上,再设()2,A t t 及AB 的斜率为k .由题意知AD 的斜率为1k -,因为11k k ⎛⎫⋅-= ⎪⎝⎭,故而可再使01k <≤,直线AB 的方程()2y t k x t -=-,即2y kx kt t =-+,与曲线联立可得220x kx kt t -+-=,由此可知()222222221211414412AB k x x k k kt t k k kt t k k t=+-=+--=+-+=+-同理,21112AD t k k=++,由此可知矩形ABCD 的周长ρ满足2211122122k k t t k kρ+-++=+2211122212k k t k t k k=+-+++22t t≥-+①12+2k t tk⎫-+⎪⎭1+k≥②()323222112122=2kkk k⎛⎫++⎪+⎝⎭=322k⎛⎫⎝⎭≥⨯③22⨯==.当1k=时①处取等号,当12,2k t tk-+同号时②处取等号,当212k=时③处取等号,显然三处不能同时取等号,所以矩形ABCD的周长大于.由题意得31a c a c +=⎧⎨-=⎩,解得所以椭圆的方程为24x y +(2)由题意得,直线2A A P 的方程为y =第五节圆锥曲线综合探究型问题1.(2023全国甲卷理科20)设抛物线()2:20C y px p =>,直线210x y -+=与C 交于,A B 两点,且AB =.(1)求p ;(2)设C 的焦点为F ,,M N 为抛物线C 上的两点,0MF NF ⋅=,求MNF △面积的最小值.【解析】(1)设()11,A x y ,()22,B x y ,联立直线与抛物线的方程22102x y y px -+=⎧⎨=⎩,消x 得()2221y p y =-,即2420y py p -+=,()21212168821042p p p p y y p y y p ∆⎧=-=->⎪+=⎨⎪=⎩,12AB y y ==-=,解得2p =,32p =-(舍).所以2p =.(2)解法一(向量法):由(1)知,抛物线的方程为24y x =,()1,0F ,设()33,M x y ,()44,N x y ,()233331,1,4y FM x y y ⎛⎫=-=- ⎪⎝⎭,()244441,1,4y FN x y y ⎛⎫=-=- ⎪⎝⎭ ,又FM FN ⊥ 得22343411044y y y y ⎛⎫⎛⎫--+= ⎪⎪⎝⎭⎝⎭,即22223434341164y y y y y y +++=,又()()22222233434434111111111222442164MNFy y y y y y S FM FN x x ⎛⎫⎛⎫⎛⎫+=⋅=++=++=++ ⎪⎪ ⎪⎝⎭⎝⎭⎝⎭ △()2223434344122816y y y y y y +⎛⎫=++= ⎪⎝⎭,又22223434341164y y y y y y +++=,得()()22343444y y y y +=-,因此343442y y y y +=-,即()343442y y y y +=-或()3434420y y y y ++-=,得()434222y y y +=-或()343222y y y +=-(这一步至关重要),()24442214162MNFy S y y ⎡+⎤=⋅+⎢⎥-⎣⎦△或()23332214162y y y ⎡+⎤⋅+⎢⎥-⎣⎦.设()22214,162MNFt S t t t ⎡+⎤=⋅+∈⎢⎥-⎣⎦R△()()22222214148181822442424242t t t t t t t t ⎛⎫⎛⎫+-+⎡⎤⎡⎤===-++=-+- ⎪ ⎪⎢⎥⎢⎥----⎣⎦⎣⎦⎝⎭⎝⎭.又()822t t -+-()822t t-+--则()(214434MNF S =-△(当且仅当2t -=时,即32t y =-=时取最小值).解法二(极坐标法):如图所示,设MF 与x 轴正半轴的夹角为θ,则有21cos MF θ=-,21sin NF θ=+,从而有()()()221cos 1sin 1sin cos sin cos MNF S θθθθθθ==-++--△()()()(22224443111112t t t ===-++++-.其中sin cos 4t θθθπ⎛⎫=-=- ⎪⎝⎭,显然当且仅当4θ3π=,即4MFO π∠=时取等号.2.(2023全国甲卷文科21)设抛物线()2:20C y px p =>,直线210x y -+=与C 交于,A B两点,且AB =.(1)求p ;(2)设C 的焦点为F ,,M N 为抛物线C 上的两点,0MF NF ⋅=,求MNF △面积的最小值.【解析】设()11,A x y ,()22,B x y ,联立直线与抛物线的方程22102x y y px-+=⎧⎨=⎩,消x 得()2221y p y =-,即2420y py p -+=,()21212168821042p p p p y y p y y p ∆⎧=-=->⎪+=⎨⎪=⎩,12AB y ==-==,解得2p =,32p =-(舍).所以2p =.(2)解法一:由(1)知,抛物线的方程为24y x =,()1,0F ,设()33,M x y ,()44,N x y ,()233331,1,4y FM x y y ⎛⎫=-=- ⎪⎝⎭ ,()244441,1,4y FN x y y ⎛⎫=-=- ⎪⎝⎭ ,又FM FN ⊥ 得22343411044y y y y ⎛⎫⎛⎫--+= ⎪⎪⎝⎭⎝⎭,即22223434341164y y y y y y +++=.又()()22222233434434111111111222442164MNFy y y y y y S FM FN x x ⎛⎫⎛⎫⎛⎫+=⋅==++=++=++ ⎪⎪ ⎪⎝⎭⎝⎭⎝⎭ △()2223434344122816y y y y y y +⎛⎫=++= ⎪⎝⎭,又22223434341164y y y y y y +++=,得()()22343444y y y y +=-,因此343442y y y y +=-,即()343442y y y y +=-或()3434420y y y y ++-=,得()434222y y y +=-或()343222y y y +=-(这一步至关重要),()24442214162MNFy S y y ⎡+⎤=⋅+⎢⎥-⎣⎦△或()23332214162y y y ⎡+⎤⋅+⎢⎥-⎣⎦.设()22214,162MNFt S t t t ⎡+⎤=⋅+∈⎢⎥-⎣⎦R △()()22222214148181822442424242t t t t t t t t ⎛⎫⎛⎫+-+⎡⎤⎡⎤===-++=-+- ⎪ ⎪⎢⎥⎢⎥----⎣⎦⎣⎦⎝⎭⎝⎭.又()822t t -+-()822t t-+--则()(214434MNFS-=-△2t -=时,即32t y =-=时取最小值).解法二(极坐标):如图所示,设MF 与x 轴正半轴的夹角为θ,则有22,1cos 1sin MF NF θθ==-+,从而有()()()221cos 1sin 1sin cos sin cos MNF S θθθθθθ==-++--△()()()(22224443111112t t t ===-++++-.其中sin cos 4t θθθπ⎛⎫=-=- ⎪⎝⎭,显然当且仅当4MFO π∠=时取等号.3.(2023全国乙卷理科20,文科21)已知椭圆()2222:10y x C a b a b+=>>的离心率为3,点()2,0A -在C 上.(1)求C 的方程;(2)过点()2,3-的直线交C 于,P Q 两点,直线,AP AQ 与y 轴的交点分别为,M N ,求证:线段MN 中点为定点.【解析】(1)依题意,2b =,3c e a ==,则2224b a c =-=,得3a =,c =,曲线C 的方程为22194y x +=.(2)设()11,P x y ,()22,Q x y ,直线():32PQ y k x -=+,()11:22y AP y x x =++,令0x =,得1122M yy x =+,()22:22y AQ y x x =++,令0x =,得2222N yy x =+.MN 的中点坐标为12120,22y y x x ⎛⎫+ ⎪++⎝⎭,联立直线PQ 的方程和椭圆方程得()22239436y k x x y ⎧=++⎪⎨+=⎪⎩,消y 建立关于x 的一元二次方程,()229423360x k x +⎡++⎤-=⎣⎦,即()()222249162416480k x k k x k k +++++=,21222122162449164849k kx x k k k x x k ⎧++=-⎪⎪+⎨+⎪=⎪+⎩,又()()121212121223231123222222k x k x y y k x x x x x x ++++⎛⎫+=+=++ ⎪++++++⎝⎭()2221222121222162416364492323164832482444949k k k x x k k k k k k k x x x x k k --+++++=+⋅=+⋅+++++-+++3=.所以线段MN 过定点()0,3.【评注】本题为2022全国乙卷的变式题,难度有所降低,考查仍为极点、极线的性质,定点()0,3为()2,3P -关于椭圆22194y x +=的极线123x y +=-与y 轴的交点.本题以椭圆中极点极线理论的射影不变性为命题背景,考查椭圆中对称式的计算方法,要求考生具有较强的计算能力.除此之外,如果考生具有先猜再证的解题意识,本题中的定点可以通过极限思想进行猜想.4.(2023新高考II 卷21)已知双曲线C的中心为坐标原点,左焦点为()-.(1)求C 的方程;(2)记C 的左、右顶点分别为1A ,2A ,过点()4,0-的直线与C 的左支交于M ,N 两点,M 在第二象限,直线1MA 与2NA 交于点P ,求证:点P 在定直线上.【解析】(1)设双曲线方程为()22221,0x y a b a b-=>,且22220c a b =+=.又c e a a===,得2a =,因为c =,所以4b =,因此双曲线的方程为221416x y -=.(2)(设点设线).设()()1122,,,M x y N x y ,:4MN x ty =-.由(1)可得,()()122,0,2,0A A -,则()111:22y MA y x x =++,()222:22yNA y x x =--.联立12,MA NA 的方程,消y 得()()12122222y yx x x x +=-+-,即2121122212112122222266y x y ty ty y y x x x y ty y ty y y +--+=⋅=⋅=----.联立MN 的方程与双曲线221416x y -=,得224416x ty x y =-⎧⎨-=⎩,消x 得()224416ty y --=,即()224132480t y ty --+=.由韦达定理()()221221223244148032414841t t t y y t y y t ∆⎧=---⨯>⎪⎪⎪+=⎨-⎪⎪=⎪-⎩(非对称结构处理).()12122483412t ty y y y t ==+-,则()()1221212112331221222393236222y y y y y x x y y yy y +--+===--+--+,得1x =-.因此点P 在定直线1x =-上.5.(2023北京卷19)已知椭圆()2222:10x y E a b a b +=>>的离心率为53,,A C 分别是E 的上、下顶点,,B D分别是E 的左、右顶点,4AC =.(1)求椭圆E 的方程;(2)点P 为第一象限内E 上的动点,直线PD 与直线BC 交于点M ,直线AP 与直线2y =-交于点N .求证://MN CD .【分析】(1)结合题意得到c a =24b =,再结合222a c b -=,解之即可;(2)依题意求得直线BC 、PD 与PA 的方程,从而求得点,M N 的坐标,进而求得MN k ,再根据题意求得CD k ,得到MN CD k k =,由此得解.【解析】(1)依题意,得53c e a ==,则53c a =,又,A C 分别为椭圆上下顶点,4AC =,所以24b =,即2b =,所以2224a c b -==,即22254499a a a -==,则29a =,所以椭圆E 的方程为22194x y +=.(2)因为椭圆E 的方程为22194x y +=,所以()()()()0,2,0,2,3,0,3,0A C B D --,因为P 为第一象限E 上的动点,设()(),03,02P m n m n <<<<,则22194m n +=,易得022303BC k +==---,则直线BC 的方程为223y x =--,033PD n n k m m -==--,则直线PD 的方程为()33n y x m =--,联立()22333y x n y x m ⎧=--⎪⎪⎨⎪=-⎪-⎩,解得()332632612326n m x n m n y n m ⎧-+=⎪⎪+-⎨-⎪=⎪+-⎩,即()332612,326326n m n M n m n m ⎛-+⎫- ⎪+-+-⎝⎭,而220PA n n k m m --==-,则直线PA 的方程为22n y x m-=+,令=2y -,则222n x m --=+,解得42m x n -=-,即4,22m N n -⎛⎫- ⎪-⎝⎭,又22194m n +=,则22994n m =-,2287218m n =-,所以()()()()()()12264122326332696182432643262MN n n m n n m k n m n m n m n m m n m n -+-+--+-==-+-+-++---+--222222648246482498612369612367218n mn m n mn m n m mn m n m n n m -+-+-+-+==++---++--()()22222324126482429612363332412n mn m n mn m n mn m n mn m -+-+-+-+===-+-+-+-+,又022303CD k +==-,即MN CD k k =,显然,MN 与CD 不重合,所以//MN CD .第六节平面几何性质在圆锥曲线中的应用1.(2023全国甲卷理科12)已知椭圆22196x y +=,12,F F 为两个焦点,O 为原点,P 为椭圆上一点,123cos 5F PF ∠=,则OP =()A.25C.35【解析】因为1226PF PF a +==①,22212121122cos PF PF PF PF F PF F F +-⋅∠=,即2212126125PF PF PF PF +-⋅=②,联立①②,解得12152PF PF ⋅=,221221PF PF +=.由中线定理可知,()()222212122242OP F F PF PF +=+=,而12F F =,解得302OP =.故选B.2.(2023新高考II 卷10)设O为坐标原点,直线)1y x =-过抛物线()2:20C y px p =>的焦点,且与C 交于,M N 两点,l 为C 的准线,则()A .2p =B .83MN =C .以MN 为直径的圆与l 相切D .OMN △为等腰三角形【解析】由题意可得焦点为()1,0F ,所以12p =,2p =,A 正确;联立)214y x y x⎧=-⎪⎨=⎪⎩,消y 得231030x x -+=.设()()1122,,,M x y N x y ,由韦达定理得12103x x +=,所以12163MN MF NF x x p =+=++=,B 错误;设MN 的中点为Q ,分别过,,M N Q 向l 作垂线,垂足分别为111,,M N Q ,由梯形中位线性质及抛物线定义可得,()()111111222QQ MM NN MF NF MN r =+=+==,所以以MN 为直径的圆与准线l 相切,C 正确;由上述解题过程知,231030x x -+=,解得121,33x x ==,从而(1,3,3M N ⎛- ⎝⎭,易得OM ON MN ≠≠,OMN △不是等腰三角形,D 错误.综上,故选AC.。
1、过抛物线x y 42=的焦点作直线交抛物线于()11,y x A 、()22,y x B 两点,如果AB 与x 轴成45°角,那么AB 等于( ) A. 10 B. 8 C. 6 D. 42、已知双曲线中心在原点且一个焦点为()0,7F,直线1-=x y 与其相交与M ,N 两点,MN 中点的横坐标为32-,则次双曲线的方程是( ) A. 14322=-y x B. 13422=-y x C. 12522=-y x D. 15222=-y x 3、抛物线x y 42=的焦点为F ,准线为l ,经过F 且斜率为3的直线与抛物线在x 轴上方的部分相较于点A ,l AK ⊥,垂足为K ,则AKF ∆的面积是( ) A. 4B. 33C. 34D. 84、已知抛物线C :x y 42=的焦点为F ,直线42-=x y 与C 交于A ,B 两点,则=∠AFB cos A. 54 B. 53 C. 53- D. 54-5、过椭圆的左焦点F 且倾斜角为60°的直线交椭圆于A 、B 两点,若FB FA 2=则椭圆的离心率是( ) A.23 B. 22 C. 32 D. 216、如果椭圆193622=+y x 的弦被点()2,4A 平分,那么这条弦所在的直线方程是___________。
7、在抛物线x y 162=内,通过点()1,2且在此点被平分的弦所在直线的方程是___________。
8、已知抛物线的顶点在原点,焦点在x 轴负半轴上,过顶点且倾角为43π的弦长为22,求抛物线的方程。
9、试确定m 的取值范围,使得椭圆13422=+y x 上有不同两点关于直线m x y +=4对称。
10、设双曲线1222=-y x 上两点A 、B ,AB 中点()2,1P , (1)求直线AB 的方程;(2)如果线段AB 的垂直平分线与双曲线交于C 、D 两点,那么A 、B 、C 、D 是否共圆,为什么?11、已知抛物线()022>=p px y ,一条长为p 4的弦AB 的两个端点A 、B 在抛物线上滑动,求此动弦的中点Q 到y 轴的最小距离。
专题19:圆锥曲线全国卷高考真题综合1(解析版)一、单选题1,2020年全国统一高考数学试卷(理科)(新课标Ⅰ)已知A 为抛物线C :y 2=2px (p >0)上一点,点A 到C 的焦点的距离为12,到y 轴的距离为9,则p =( ) A .2 B .3 C .6 D .9【答案】C 【分析】利用抛物线的定义建立方程即可得到答案. 【详解】设抛物线的焦点为F ,由抛物线的定义知||122A p AF x =+=,即1292p=+,解得6p .故选:C. 【点晴】本题主要考查利用抛物线的定义计算焦半径,考查学生转化与化归思想,是一道容易题. 2,2020年全国统一高考数学试卷(理科)(新课标Ⅰ)已知⊙M :222220x y x y +---=,直线l :220x y ++=,P 为l 上的动点,过点P 作⊙M 的切线,PA PB ,切点为,A B ,当||||PM AB ⋅最小时,直线AB 的方程为( ) A .210x y --= B .210x y +-= C .210x y -+= D .210x y ++=【答案】D 【分析】由题意可判断直线与圆相离,根据圆的知识可知,四点,,,A P B M 共圆,且AB MP ⊥,根据 44PAMPM AB SPA ⋅==可知,当直线MP l ⊥时,PM AB ⋅最小,求出以 MP为直径的圆的方程,根据圆系的知识即可求出直线AB 的方程. 【详解】圆的方程可化为()()22114x y -+-=,点 M 到直线l 的距离为2d ==>,所以直线 l 与圆相离.依圆的知识可知,四点,,,A P B M 四点共圆,且AB MP ⊥,所以14442PAMPM AB SPA AM PA ⋅==⨯⨯⨯=,而PA =,当直线MP l ⊥时,min MP , min 1PA =,此时PM AB ⋅最小.∴()1:112MP y x -=-即 1122y x =+,由1122220y x x y ⎧=+⎪⎨⎪++=⎩解得,10x y =-⎧⎨=⎩. 所以以MP 为直径的圆的方程为()()()1110x x y y -++-=,即 2210x y y +--=, 两圆的方程相减可得:210x y ++=,即为直线AB 的方程. 故选:D. 【点睛】本题主要考查直线与圆,圆与圆的位置关系的应用,以及圆的几何性质的应用,意在考查学生的转化能力和数学运算能力,属于中档题.3,2020年全国统一高考数学试卷(文科)(新课标Ⅱ)若过点(2,1)的圆与两坐标轴都相切,则圆心到直线230x y --=的距离为( )ABC.5D.5【答案】B 【分析】由题意可知圆心在第一象限,设圆心的坐标为(),,0a a a >,可得圆的半径为a ,写出圆的标准方程,利用点()2,1在圆上,求得实数a 的值,利用点到直线的距离公式可求出圆心到直线230x y --=的距离. 【详解】由于圆上的点()2,1在第一象限,若圆心不在第一象限,则圆与至少与一条坐标轴相交,不合乎题意,所以圆心必在第一象限, 设圆心的坐标为(),a a ,则圆的半径为a ,圆的标准方程为()()222x a y a a -+-=.由题意可得()()22221a a a -+-=, 可得2650a a -+=,解得1a =或5a =, 所以圆心的坐标为()1,1或()5,5,圆心到直线的距离均为121132555d ⨯--==; 圆心到直线的距离均为225532555d ⨯--== 圆心到直线230x y --=的距离均为2255d -==; 所以,圆心到直线230x y --=25. 故选:B. 【点睛】本题考查圆心到直线距离的计算,求出圆的方程是解题的关键,考查计算能力,属于中等题. 4,2020年全国统一高考数学试卷(文科)(新课标Ⅱ)设O 为坐标原点,直线x a =与双曲线2222:1(0,0)x y C a b a b-=>>的两条渐近线分别交于,D E 两点,若ODE 的面积为8,则C 的焦距的最小值为( )A .4B .8C .16D .32【答案】B 【分析】因为2222:1(0,0)x y C a b a b -=>>,可得双曲线的渐近线方程是b y x a=±,与直线x a =联立方程求得D ,E 两点坐标,即可求得||ED ,根据ODE 的面积为8,可得ab 值,根据2222c a b =+. 【详解】2222:1(0,0)x y C a b a b-=>> ∴双曲线的渐近线方程是by x a=±直线x a =与双曲线2222:1(0,0)x y C a b a b-=>>的两条渐近线分别交于D ,E 两点不妨设D 为在第一象限,E 在第四象限联立x ab y x a =⎧⎪⎨=⎪⎩,解得x a y b =⎧⎨=⎩ 故(,)D a b联立x ab y x a =⎧⎪⎨=-⎪⎩,解得x a y b =⎧⎨=-⎩ 故(,)E a b -∴||2ED b =∴ODE 面积为:1282ODE S a b ab =⨯==△ 双曲线2222:1(0,0)x y C a b a b-=>>∴其焦距为28c =≥==当且仅当a b ==∴C 的焦距的最小值:8故选:B. 【点睛】本题主要考查了求双曲线焦距的最值问题,解题关键是掌握双曲线渐近线的定义和均值不等式求最值方法,在使用均值不等式求最值时,要检验等号是否成立,考查了分析能力和计算能力,属于中档题.5,2020年全国统一高考数学试卷(理科)(新课标Ⅲ) 设O 为坐标原点,直线2x =与抛物线C :22(0)y px p =>交于D ,E 两点,若OD OE ⊥,则C 的焦点坐标为( ) A .1,04⎛⎫⎪⎝⎭B .1,02⎛⎫ ⎪⎝⎭C .(1,0)D .(2,0)【答案】B【分析】根据题中所给的条件OD OE ⊥,结合抛物线的对称性,可知4DOx EOx π∠=∠=,从而可以确定出点D 的坐标,代入方程求得p 的值,进而求得其焦点坐标,得到结果. 【详解】因为直线2x =与抛物线22(0)y px p =>交于,E D 两点,且OD OE ⊥, 根据抛物线的对称性可以确定4DOx EOx π∠=∠=,所以()2,2D ,代入抛物线方程44p =,求得1p =,所以其焦点坐标为1(,0)2, 故选:B. 【点睛】该题考查的是有关圆锥曲线的问题,涉及到的知识点有直线与抛物线的交点,抛物线的对称性,点在抛物线上的条件,抛物线的焦点坐标,属于简单题目. 6,2020年全国统一高考数学试卷(理科)(新课标Ⅲ)设双曲线C :22221x y a b-=(a >0,b >0)的左、右焦点分别为F 1,F 2P 是C 上一点,且F 1P ⊥F 2P .若△PF 1F 2的面积为4,则a =( ) A .1 B .2C .4D .8【答案】A 【分析】根据双曲线的定义,三角形面积公式,勾股定理,结合离心率公式,即可得出答案. 【详解】5ca =,c ∴=,根据双曲线的定义可得122PF PF a -=, 12121||42PF F PF F S P =⋅=△,即12||8PF PF ⋅=, 12F P F P ⊥,()22212||2PF PF c ∴+=,()22121224PF PF PF PF c ∴-+⋅=,即22540a a -+=,解得1a =,故选:A. 【点睛】本题主要考查了双曲线的性质以及定义的应用,涉及了勾股定理,三角形面积公式的应用,属于中档题.7,2018年全国普通高等学校招生统一考试理科数学(新课标I 卷) 设抛物线C :y 2=4x 的焦点为F ,过点(–2,0)且斜率为23的直线与C 交于M ,N 两点,则FM FN ⋅= A .5 B .6C .7D .8【答案】D 【分析】首先根据题中的条件,利用点斜式写出直线的方程,涉及到直线与抛物线相交,联立方程组,消元化简,求得两点(1,2),(4,4)M N ,再利用所给的抛物线的方程,写出其焦点坐标,之后应用向量坐标公式,求得(0,2),(3,4)FM FN ==,最后应用向量数量积坐标公式求得结果. 【详解】根据题意,过点(–2,0)且斜率为23的直线方程为2(2)3y x =+, 与抛物线方程联立22(2)34y x y x⎧=+⎪⎨⎪=⎩,消元整理得:y y -+=2680, 解得(1,2),(4,4)M N ,又(1,0)F , 所以(0,2),(3,4)FM FN ==,从而可以求得03248FM FN ⋅=⨯+⨯=,故选D. 【点睛】该题考查的是有关直线与抛物线相交求有关交点坐标所满足的条件的问题,在求解的过程中,首先需要根据题意确定直线的方程,之后需要联立方程组,消元化简求解,从而确定出(1,2),(4,4)M N ,之后借助于抛物线的方程求得(1,0)F ,最后一步应用向量坐标公式求得向量的坐标,之后应用向量数量积坐标公式求得结果,也可以不求点M 、N 的坐标,应用韦达定理得到结果.8,2018年全国普通高等学校招生统一考试理科数学(新课标I 卷)已知双曲线C :2213x y -=,O 为坐标原点,F 为C 的右焦点,过F 的直线与C 的两条渐近线的交点分别为M 、N .若OMN 为直角三角形,则|MN |=A .32B .3C .D .4【答案】B 【详解】分析:首先根据双曲线的方程求得其渐近线的斜率,并求得其右焦点的坐标,从而得到30FON ︒∠=,根据直角三角形的条件,可以确定直线MN 的倾斜角为60︒或120︒,根据相关图形的对称性,得知两种情况求得的结果是相等的,从而设其倾斜角为60︒,利用点斜式写出直线的方程,之后分别与两条渐近线方程联立,求得3(,22M N -,利用两点间距离公式求得MN 的值.详解:根据题意,可知其渐近线的斜率为3±,且右焦点为(2,0)F , 从而得到30FON ︒∠=,所以直线MN 的倾斜角为60︒或120︒, 根据双曲线的对称性,设其倾斜角为60︒,可以得出直线MN 的方程为2)y x =-,分别与两条渐近线3y x =和3y x =-联立,求得3(,)22M N -,所以3MN ==,故选B. 点睛:该题考查的是有关线段长度的问题,在解题的过程中,需要先确定哪两个点之间的距离,再分析点是怎么来的,从而得到是直线的交点,这样需要先求直线的方程,利用双曲线的方程,可以确定其渐近线方程,利用直角三角形的条件得到直线MN 的斜率,结合过右焦点的条件,利用点斜式方程写出直线的方程,之后联立求得对应点的坐标,之后应用两点间距离公式求得结果.9,2018年全国普通高等学校招生统一考试理数(全国卷II )双曲线22221(0,0)x y a b a b-=>>A.y = B.y =C.2y x =±D.2y x =±【答案】A 【解析】分析:根据离心率得a,c 关系,进而得a,b 关系,再根据双曲线方程求渐近线方程,得结果.详解:2222221312,c b c a b e e a a a a-==∴==-=-=∴= 因为渐近线方程为by x a=±,所以渐近线方程为y =,选A. 点睛:已知双曲线方程22221(,0)x y a b a b-=>求渐近线方程:22220x y by x a b a -=⇒=±.10,2018年全国普通高等学校招生统一考试理数(全国卷II )已知1F ,2F 是椭圆22221(0)x y C a ba b+=>>:的左,右焦点,A 是C 的左顶点,点P 在过A12PF F △为等腰三角形,12120F F P ∠=︒,则C 的离心率为 A .23B .12C .13D .14【答案】D 【详解】分析:先根据条件得PF 2=2c,再利用正弦定理得a,c 关系,即得离心率. 详解:因为12PF F △为等腰三角形,12120F F P ∠=︒,所以PF 2=F 1F 2=2c, 由AP222tan sin cos PAF PAF PAF ∠=∴∠=∠=, 由正弦定理得2222sin sin PF PAF AF APF ∠=∠,所以22214,54sin()3c a c e a c PAF =∴==+-∠,故选D. 点睛:解决椭圆和双曲线的离心率的求值及范围问题其关键就是确立一个关于,,a b c 的方程或不等式,再根据,,a b c 的关系消掉b 得到,a c 的关系式,而建立关于,,a b c 的方程或不等式,要充分利用椭圆和双曲线的几何性质、点的坐标的范围等. 11,2018年全国卷Ⅲ理数高考试题直线20x y ++=分别与x 轴,y 轴交于A ,B 两点,点P 在圆()2222x y -+=上,则ABP △面积的取值范围是A .[]26,B .[]48,C.D.⎡⎣【答案】A 【解析】分析:先求出A ,B 两点坐标得到AB ,再计算圆心到直线距离,得到点P 到直线距离范围,由面积公式计算即可详解: 直线x y 20++=分别与x 轴,y 轴交于A ,B 两点()()A 2,0,B 0,2∴--,则AB =点P 在圆22x 22y -+=()上 ∴圆心为(2,0),则圆心到直线距离1d ==故点P 到直线x y 20++=的距离2d的范围为则[]2212,62ABPSAB d ==∈ 故答案选A.点睛:本题主要考查直线与圆,考查了点到直线的距离公式,三角形的面积公式,属于中档题.12,2018年全国卷Ⅲ理数高考试题设1F ,2F 是双曲线2222:1x y C a b-=()的左、右焦点,O 是坐标原点.过2F 作C 的一条渐近线的垂线,垂足为P .若16PF OP =,则C 的离心率为A 5B 3C .2D 2【答案】B 【详解】分析:由双曲线性质得到2PF b =,PO a =然后在2Rt PO F 和在12Rt PF F △中利用余弦定理可得.详解:由题可知22,PF b OF c ==PO a ∴=在2Rt PO F 中,222cos P O PF b F OF c∠==在12PF F △中,22221212212cos P O 2PF F F PF b F PF F F c+-∠==)2222246322b c abc a b cc+-∴=⇒=⋅ e 3∴=故选B .点睛:本题主要考查双曲线的相关知识,考查了双曲线的离心率和余弦定理的应用,属于中档题. 二、填空题1,2015年全国普通高等学校招生统一考试文科数学(新课标Ⅱ) 已知双曲线过点3),且渐近线方程为12y x =±,则该双曲线的标准方程为____________________.【答案】2214x y -=【详解】依题意,设所求的双曲线的方程为224x y λ-=. 点(4,3)M 为该双曲线上的点,16124λ∴=-=.∴该双曲线的方程为:2244x y -=,即2214x y -=.故本题正确答案是2214x y -=.2,2019年全国统一高考数学试卷(文科)(新课标Ⅲ)设12F F ,为椭圆22:+13620x y C =的两个焦点,M 为C 上一点且在第一象限.若12MF F △为等腰三角形,则M 的坐标为___________. 【答案】()3,15 【分析】根据椭圆的定义分别求出12MF MF 、,设出M 的坐标,结合三角形面积可求出M 的坐标. 【详解】由已知可得2222236,20,16,4a b c a b c ==∴=-=∴=,11228MF F F c ∴===.∴24MF =.设点M 的坐标为()()0000,0,0x y x y >>,则121200142MF F S F F y y =⋅⋅=△, 又12220148241544152MF F S y =⨯-=∴=△015y = 2201513620x ∴+=,解得03x =(03x =-舍去), M ∴的坐标为(15.【点睛】本题考查椭圆标准方程及其简单性质,考查数形结合思想、转化与化归的能力,很好的落实了直观想象、逻辑推理等数学素养.3,2020年全国统一高考数学试卷(理科)(新课标Ⅰ)已知F 为双曲线2222:1(0,0)x y C a b a b-=>>的右焦点,A 为C 的右顶点,B 为C 上的点,且BF 垂直于x 轴.若AB 的斜率为3,则C 的离心率为______________. 【答案】2 【分析】根据双曲线的几何性质可知,2b BF a=,AF c a =-,即可根据斜率列出等式求解即可.【详解】联立22222221x cx y a b a b c=⎧⎪⎪-=⎨⎪⎪=+⎩,解得2x c b y a =⎧⎪⎨=±⎪⎩,所以2bBF a =.依题可得,3BF AF =,AF c a =-,即()2223b c a a c a a c a -==--,变形得3c a a +=,2c a =, 因此,双曲线C 的离心率为2. 故答案为:2. 【点睛】本题主要考查双曲线的离心率的求法,以及双曲线的几何性质的应用,属于基础题. 4,2018年全国卷Ⅲ理数高考试题已知点()11M ,-和抛物线24C y x =:,过C 的焦点且斜率为k 的直线与C 交于A ,B 两点.若90AMB ∠=︒,则k =________. 【答案】2 【分析】利用点差法得到AB 的斜率,结合抛物线定义可得结果. 【详解】详解:设()()1122A ,,B ,x y x y 则2112224{4y x y x ==所以22121244y y x x -=-所以1212124k y y x x y y -==-+取AB 中点()00M'x y ,,分别过点A,B 作准线x 1=-的垂线,垂足分别为A ,B'' 因为AMB 90∠︒=,()()'111MM '222AB AF BF AA BB ∴==+=+', 因为M’为AB 中点, 所以MM’平行于x 轴 因为M(-1,1)所以01y =,则122y y +=即k 2= 故答案为2. 【点睛】本题主要考查直线与抛物线的位置关系,考查了抛物线的性质,设()()1122A ,,B ,x y x y ,利用点差法得到1212124k y y x x y y -==-+,取AB 中点()00M'x y ,, 分别过点A,B 作准线x 1=-的垂线,垂足分别为A ,B'',由抛物线的性质得到()'1MM '2AA BB '=+,进而得到斜率. 三、解答题1,2019年全国统一高考数学试卷(理科)(新课标Ⅲ)已知曲线C :y =22x ,D 为直线y =12-上的动点,过D 作C 的两条切线,切点分别为A ,B .(1)证明:直线AB 过定点:(2)若以E (0,52)为圆心的圆与直线AB 相切,且切点为线段AB 的中点,求四边形ADBE 的面积.【答案】(1)见详解;(2) 3或. 【分析】(1)可设11(,)A x y ,22(,)B x y ,1(,)2D t -然后求出A ,B 两点处的切线方程,比如AD :1111()2y x x t +=-,又因为BD 也有类似的形式,从而求出带参数直线AB 方程,最后求出它所过的定点.(2)由(1)得带参数的直线AB 方程和抛物线方程联立,再通过M 为线段AB 的中点,EM AB ⊥得出t 的值,从而求出M 坐标和EM 的值,12,d d 分别为点,D E 到直线AB 的距离,则12d d ==,结合弦长公式和韦达定理代入求解即可.【详解】(1)证明:设1(,)2D t -,11(,)A x y ,则21112y x =. 又因为212y x =,所以y'x =.则切线DA 的斜率为1x , 故1111()2y x x t +=-,整理得112210tx y -+=. 设22(,)B x y ,同理得222210tx y -+=.11(,)A x y ,22(,)B x y 都满足直线方程2210tx y -+=.于是直线2210tx y -+=过点,A B ,而两个不同的点确定一条直线,所以直线AB 方程为2210tx y -+=.即2(21)0tx y +-+=,当20,210x y =-+=时等式恒成立.所以直线AB 恒过定点1(0,)2. (2)由(1)得直线AB 的方程为12y tx =+. 由2122y tx x y ⎧=+⎪⎪⎨⎪=⎪⎩,可得2210x tx --=, 于是2121212122,1,()121x x t x x y y t x x t +==-+=++=+212|||2(1)AB x x t =-==+.设12,d d 分别为点,D E 到直线AB 的距离,则12d d ==因此,四边形ADBE 的面积()(2121||32S AB d d t =+=+. 设M 为线段AB 的中点,则21,2M t t ⎛⎫+⎪⎝⎭, 由于EM AB ⊥,而()2,2EM t t =-,AB 与向量(1,)t 平行,所以()220t t t +-=,解得0t =或1t =±.当0t =时,3S =;当1t =±时S =因此,四边形ADBE 的面积为3或【点睛】此题第一问是圆锥曲线中的定点问题和第二问是求面积类型,属于常规题型,按部就班的求解就可以.思路较为清晰,但计算量不小.2.2019年全国统一高考数学试卷(理科)(新课标Ⅰ) 已知抛物线C :y 2=3x 的焦点为F ,斜率为32的直线l 与C 的交点为A ,B ,与x 轴的交点为P .(1)若|AF |+|BF |=4,求l 的方程; (2)若3AP PB =,求|AB |.【答案】(1)12870x y --=;(2. 【分析】(1)设直线l :32y x m =+,()11,A x y ,()22,B x y ;根据抛物线焦半径公式可得1252x x +=;联立直线方程与抛物线方程,利用韦达定理可构造关于m 的方程,解方程求得结果;(2)设直线l :23x y t =+;联立直线方程与抛物线方程,得到韦达定理的形式;利用3AP PB =可得123y y =-,结合韦达定理可求得12y y ;根据弦长公式可求得结果. 【详解】(1)设直线l 方程为:32y x m =+,()11,A x y ,()22,B x y由抛物线焦半径公式可知:12342AF BF x x +=++= 1252x x ∴+= 联立2323y x m y x ⎧=+⎪⎨⎪=⎩得:()229121240x m x m +-+= 则()2212121440m m ∆=--> 12m ∴<121212592m x x -∴+=-=,解得:78m =-∴直线l 的方程为:3728y x =-,即:12870x y --= (2)设(),0P t ,则可设直线l 方程为:23x y t =+联立2233x y t y x⎧=+⎪⎨⎪=⎩得:2230y y t --= 则4120t ∆=+> 13t ∴>-122y y ∴+=,123y y t =-3AP PB = 123y y ∴=- 21y ∴=-,13y = 123y y ∴=-则AB ===【点睛】本题考查抛物线的几何性质、直线与抛物线的综合应用问题,涉及到平面向量、弦长公式的应用.关键是能够通过直线与抛物线方程的联立,通过韦达定理构造等量关系. 3.2014年全国普通高等学校招生统一考试理科数学(新课标Ⅰ)已知点A (0,-2),椭圆E :22221x y a b += (a >b>0)的离心率为2,F 是椭圆E 的右焦点,直线AF 的斜率为3,O 为坐标原点. (1)求E 的方程;(2)设过点A 的动直线l 与E 相交于P ,Q 两点.当△OPQ 的面积最大时,求l 的方程.【答案】(1)2214x y += (2)2y x =-【解析】试题分析:设出F ,由直线AFc ,结合离心率求得a ,再由隐含条件求得b ,即可求椭圆方程;(2)点l x ⊥轴时,不合题意;当直线l 斜率存在时,设直线:2l y kx =-,联立直线方程和椭圆方程,由判别式大于零求得k 的范围,再由弦长公式求得PQ ,由点到直线的距离公式求得O 到l 的距离,代入三角形面积公式,化简后换元,利用基本不等式求得最值,进一步求出k 值,则直线方程可求. 试题解析:(1)设(),0F c ,因为直线AF,()0,2A -所以23c =,c =又222c b a c a ==- 解得2,1a b ==,所以椭圆E 的方程为2214x y +=.(2)解:设()()1122,,,P x y Q x y 由题意可设直线l 的方程为:2y kx =-,联立221{42,x y y kx +==-,消去y 得()221416120k x kx +-+=,当()216430k ∆=->,所以234k >,即k <或k > 1212221612,1414k x x x x k k+==++. 所以PQ ===点O 到直线l 的距离d =所以21214OPQS d PQ k∆==+,0t =>,则2243k t =+,244144OPQ t S t t t∆==≤=++,当且仅当2t =2=,解得2k =±时取等号, 满足234k >所以OPQ ∆的面积最大时直线l 的方程为:22y x =-或22y x =--. 【方法点晴】本题主要考查待定系数法求椭圆方程及圆锥曲线求最值,属于难题.解决圆锥曲线中的最值问题一般有两种方法:一是几何意义,特别是用圆锥曲线的定义和平面几何的有关结论来解决,非常巧妙;二是将圆锥曲线中最值问题转化为函数问题,然后根据函数的特征选用参数法、配方法、判别式法、三角函数有界法、函数单调性法以及均值不等式法,本题(2)就是用的这种思路,利用均值不等式法求三角形最值的.4.2015年全国普通高等学校招生统一考试理科数学(新课标Ⅱ)已知椭圆222:9(0)C x y m m +=>,直线l 不过原点O 且不平行于坐标轴,l 与C 有两个交点A ,B ,线段AB 的中点为M .(Ⅰ)证明:直线OM 的斜率与l 的斜率的乘积为定值; (Ⅱ)若l 过点(,)3mm ,延长线段OM 与C 交于点P ,四边形OAPB 能否为平行四边形?若能,求此时l 的斜率,若不能,说明理由.【答案】(Ⅰ)详见解析;(Ⅱ)能,47-或47+. 【解析】试题分析:(1)设直线:l y kx b =+(0,0)k b ≠≠,直线方程与椭圆方程联立,根据韦达定理求根与系数的关系,并表示直线OM 的斜率,再表示;(2)第一步由 (Ⅰ)得OM 的方程为9y x k=-.设点P 的横坐标为P x ,直线OM 与椭圆方程联立求点P 的坐标,第二步再整理点的坐标,如果能构成平行四边形,只需,如果有值,并且满足0k >,3k ≠的条件就说明存在,否则不存在.试题解析:解:(1)设直线:l y kx b =+(0,0)k b ≠≠,11(,)A x y ,22(,)B x y ,(,)M M M x y . ∴由2229y kx bx y m=+⎧⎨+=⎩得2222(9)20k x kbx b m +++-=,∴12229M x x kbx k +==-+,299M M b y kx b k =+=+. ∴直线OM 的斜率9M OM M y k x k==-,即9OM k k ⋅=-. 即直线OM 的斜率与l 的斜率的乘积为定值9-. (2)四边形OAPB 能为平行四边形. ∵直线l 过点(,)3mm ,∴l 不过原点且与C 有两个交点的充要条件是0k >,3k ≠ 由 (Ⅰ)得OM 的方程为9y x k=-.设点P 的横坐标为P x . ∴由2229,{9,y x k x y m =-+=得,即将点(,)3m m 的坐标代入直线l 的方程得(3)3m k b -=,因此2(3)3(9)M mk k x k -=+. 四边形OAPB 为平行四边形当且仅当线段AB 与线段OP 互相平分,即2P M x x = 239k =+2(3)23(9)mk k k -⨯+.解得147k =247k =.∵0,3i i k k >≠,1i =,2,∴当l 的斜率为47-或47+时,四边形OAPB 为平行四边形. 考点:直线与椭圆的位置关系的综合应用【一题多解】第一问涉及中点弦,当直线与圆锥曲线相交时,点是弦的中点,(1)知道中点坐标,求直线的斜率,或知道直线斜率求中点坐标的关系,或知道求直线斜率与直线OM 斜率的关系时,也可以选择点差法,设,,代入椭圆方程,两式相减,化简为,两边同时除以得,而,,即得到结果,(2)对于用坐标法来解决几何性质问题,那么就要求首先看出几何关系满足什么条件,其次用坐标表示这些几何关系,本题的关键就是如果是平行四边形那么对角线互相平分,即2P M x x =,分别用方程联立求两个坐标,最后求斜率.5.2015年全国普通高等学校招生统一考试理科数学(新课标Ⅰ带解析)在直角坐标系xoy 中,曲线C :y=24x与直线(),0y kx a a =+>交与M,N 两点,(Ⅰ)当k =0时,分别求C 在点M 和N 处的切线方程;(Ⅱ)y 轴上是否存在点P ,使得当k 变动时,总有∠OPM =∠OPN ?说明理由. 【答案】(Ⅰ0ax y a --=0ax y a ++=(Ⅱ)存在 【详解】试题分析:(Ⅰ)先求出M,N 的坐标,再利用导数求出M,N.(Ⅱ)先作出判定,再利用设而不求思想即将y kx a =+代入曲线C 的方程整理成关于x 的一元二次方程,设出M,N 的坐标和P 点坐标,利用设而不求思想,将直线PM ,PN 的斜率之和用a 表示出来,利用直线PM ,PN 的斜率为0,即可求出,a b 关系,从而找出适合条件的P 点坐标.试题解析:(Ⅰ)由题设可得(2,)M a a ,(2,)N a -,或(22,)M a -,(2,)N a a .∵12y x '=,故24x y =在x =22a 处的导数值为a ,C 在(22,)a a 处的切线方程为(2)y a a x a -=-,即0ax y a --=.故24x y =在x =-22a 处的导数值为-a ,C 在(22,)a a -处的切线方程为(2)y a a x a -=-+,即0ax y a ++=.故所求切线方程为0ax y a --=或0ax y a ++=. (Ⅱ)存在符合题意的点,证明如下:设P (0,b )为复合题意得点,11(,)M x y ,22(,)N x y ,直线PM ,PN 的斜率分别为12,k k . 将y kx a =+代入C 得方程整理得2440x kx a --=. ∴12124,4x x k x x a +==-. ∴121212y b y b k k x x --+=+=1212122()()kx x a b x x x x +-+=()k a b a+.当=-b a 时,有12k k +=0,则直线PM 的倾斜角与直线PN 的倾斜角互补, 故∠OPM=∠OPN ,所以(0,)P a -符合题意.考点:抛物线的切线;直线与抛物线位置关系;探索新问题;运算求解能力 6.2016年全国普通高等学校招生统一考试文科数学(新课标3) 已知抛物线:的焦点为,平行于轴的两条直线分别交于两点,交的准线于两点.(Ⅰ)若在线段上,是的中点,证明;(Ⅱ)若的面积是的面积的两倍,求中点的轨迹方程.【答案】(Ⅰ)见解析;(Ⅱ).【解析】试题分析:设 的方程为.(1)由在线段上,又;(2)设与轴的交点为(舍去),.设满足条件的的中点为.当与轴不垂直时.当与轴垂直时与重合所求轨迹方程为.试题解析:由题设,设,则,且.记过两点的直线为,则的方程为.............3分(1)由于在线段上,故,记的斜率为的斜率为,则,所以..................5分(2)设与轴的交点为,则,由题设可得,所以(舍去),.设满足条件的的中点为.当与轴不垂直时,由可得.而,所以.当与轴垂直时,与重合,所以,所求轨迹方程为.........12分考点:1.抛物线定义与几何性质;2.直线与抛物线位置关系;3.轨迹求法.。
圆锥曲线部分高考试题汇编(椭圆部分)1、(2016全国Ⅰ卷)(20)(本小题满分12分)设圆222150x y x ++-=的圆心为A ,直线l 过点B (1,0)且与x 轴不重合,l 交圆A 于C ,D 两点,过B 作AC 的平行线交AD 于点E .(I )证明EA EB +为定值,并写出点E 的轨迹方程;(II )设点E 的轨迹为曲线C 1,直线l 交C 1于M ,N 两点,过B 且与l 垂直的直线与圆A 交于P ,Q 两点,求四边形MPNQ 面积的取值范围.2、(2015全国Ⅰ卷)(14)一个圆经过椭圆221164x y +=的三个顶点,且圆心在x 轴上,则该圆的标准方程为 。
3、(2014全国Ⅰ卷)20.(本小题满分12分)已知点A (0,-2),椭圆E :22221(0)x y a b a b+=>>F 是椭圆的焦点,直线AF 的斜率为3,O 为坐标原点. (Ⅰ)求E 的方程;(Ⅱ)设过点A 的直线l 与E 相交于,P Q 两点,当OPQ ∆的面积最大时,求l 的方程.4、(2016山东卷)(21)(本小题满分14分)平面直角坐标系xOy 中,椭圆C :()222210x y a b a b+=>> 的离心率是32,抛物线E :22x y =的焦点F 是C 的一个顶点. (I )求椭圆C 的方程;(II )设P 是E 上的动点,且位于第一象限,E 在点P 处的切线l 与C 交与不同的两点A ,B ,线段AB 的中点为D ,直线OD 与过P 且垂直于x 轴的直线交于点M. (i )求证:点M 在定直线上;(ii )直线l 与y 轴交于点G ,记PFG 的面积为1S ,PDM 的面积为2S ,求12S S 的最大值及取得最大值时点P 的坐标.5、(2015山东卷)(20) (本小题满分13分)平面直角坐标系xOy 中,已知椭圆2222:1(0)x y C a b a b+=>>12,F F ,以1F 为圆心,以3为半径的圆与以2F 为圆心,以1为半径的圆相交,交点在椭圆C 上. (Ⅰ)求椭圆C 的方程;(Ⅱ)设椭圆2222:144x y E a b+=,P 为椭圆C 上的任意一点,过点P 的直线y kx m =+交椭圆E 于A,B 两点,射线PO 交椭圆E 于点Q. (ⅰ)求||||OQ OP 的值;(ⅱ)求ABQ ∆面积最大值.圆锥曲线部分高考试题汇编(双曲线部分)1、(2016全国Ⅰ卷)(5)已知方程x 2m 2+n –y 23m 2–n =1表示双曲线,且该双曲线两焦点间的距离为4,则n 的取值范围是( )(A )(–1,3) (B )(–1,3) (C )(0,3) (D )(0,3)2、(2015全国Ⅰ卷)(5)已知M (x 0,y 0)是双曲线C :2212x y -=上的一点,F 1、F 2是C 上的两个焦点,若1MF •2MF <0,则y 0的取值范围是( )(A )( (B )((C )(3-,3) (D )(3-,3)3、(2014全国Ⅰ卷)4. 已知F 是双曲线C :223(0)x my m m -=>的一个焦点,则点F 到C 的一条渐近线的距离为( )A .B .3CD .3m4、(2016山东卷)(13)已知双曲线E 1:22221x y a b-=(a >0,b >0),若矩形ABCD 的四个顶点在E 上,AB ,CD 的中点为E 的两个焦点,且2|AB |=3|BC |,则E 的离心率是_______ .5、(2015山东卷)(15)平面直角坐标系xOy 中,双曲线22122:1(0,0)x y C a b a b-=>>的渐近线与抛物线22:2(0)C x py p =>交于点,,O A B ,若OAB ∆的垂心为2C 的焦点,则1C 的离心率为 .6、(2014山东卷)(10)已知a b >,椭圆1C 的方程为22221x y a b +=,双曲线2C 的方程为22221x y a b-=,1C与2C 2C 的渐近线方程为( )(A )0x ±= (B 0y ±= (C )20x y ±= (D )20x y ±=圆锥曲线部分高考试题汇编(抛物线部分)1、(2016全国Ⅰ卷)(10)以抛物线C 的顶点为圆心的圆交C 于A ,B 两点,交C 的准线于D ,E 两点.已知|AB |=|DE|=C 的焦点到准线的距离为( )(A )2 (B )4 (C )6 (D )8 2、(2015全国Ⅰ卷)(20)(本小题满分12分)在直角坐标系xoy 中,曲线C :y =24x 与直线y kx a =+(a >0)交与M ,N 两点,(Ⅰ)当k =0时,分别求C 在点M 和N 处的切线方程;(Ⅱ)y 轴上是否存在点P ,使得当k 变动时,总有∠OPM =∠OPN ?说明理由。
3、(2014全国Ⅰ卷)10. 已知抛物线C :28y x =的焦点为F ,准线为l ,P 是l 上一点,Q 是直线PF 与C 的一个焦点,若4FP FQ =,则||QF =( )A .72B .52C .3D .2 4、(2014山东卷)(21)(本小题满分14分)已知抛物线2:2(0)C y px p =>的焦点为F ,A 为C 上异于原点的任意一点,过点A 的直线l 交C 于另一点B ,交x 轴的正半轴于点D ,且有||||FA FD =.当点A 的横坐标为3时,ADF ∆为正三角形. (Ⅰ)求C 的方程;(Ⅱ)若直线1//l l ,且1l 和C 有且只有一个公共点E , (ⅰ)证明直线AE 过定点,并求出定点坐标;(ⅱ)ABE ∆的面积是否存在最小值?若存在,请求出最小值;若不存在,请说明理由.1、(2013山东卷)(6)在平面直角坐标系xOy 中,M为不等式组:2x y20x2y103x y80--≥⎧⎪+-≥⎨⎪+-≤⎩,所表示的区域上一动点,则直线OM斜率的最小值为( )(A)2 (B)1 (C)13-(D)12-2、(2013山东卷)(7)给定两个命题p、q,若﹁p是q的必要而不充分条件,则p是﹁q的()(A)充分而不必条件(B)必要而不充分条件(C)充要条件(D)既不充分也不必要条件3、(2013山东卷)(11)抛物线C1:y=12px2(p>0)的焦点与双曲线C2:2213xy-=的右焦点的连线交C1于第一象限的点M.若C1在点M处的切线平行于C2的一条渐近线,则p= ()A.316B.38C.233D.4334、(2013山东卷)(12)设正实数x,y,z满足x2-3xy+4y2-z=0.则当xyz取得最大值时,212x y z+-的最大值为()(A)0 (B)1 (C)94(D)35、(2012山东卷3)设a>0 a≠1 ,则“函数f(x)= a x在R上是减函数”,是“函数g(x)=(2-a) 3x在R 上是增函数”的()A 充分不必要条件B 必要不充分条件C 充分必要条件D 既不充分也不必要条件6、(2012山东卷)(10)已知椭圆C:的离心率为,双曲线x²-y²=1的渐近线与椭圆有四个交点,以这四个交点为顶点的四边形的面积为16,则椭圆c的方程为()7、(2011山东卷)(8)已知双曲线22221(0,0)x ya ba b-=>>的两条渐近线均和圆22:650C x y x+-+=相切,且双曲线的右焦点为圆C的圆心,则该双曲线的方程为A.22154x y-= B.22145x y-= C.22136x y-= D.22163x y-=圆锥曲线部分高考试题汇编(椭圆部分)答案1、【答案】(Ⅰ)13422=+y x (0≠y )(II ))38,12[ 试题分析:利用椭圆定义求方程;(II )把面积表示为关于斜率k 的函数,再求最值。
试题解析:(Ⅰ)因为||||AC AD =,AC EB //,故ADC ACD EBD ∠=∠=∠, 所以||||ED EB =,故||||||||||AD ED EA EB EA =+=+.又圆A 的标准方程为16)1(22=++y x ,从而4||=AD ,所以4||||=+EB EA . 由题设得)0,1(-A ,)0,1(B ,2||=AB ,由椭圆定义可得点E 的轨迹方程为:13422=+y x (0≠y ).考点:圆锥曲线综合问题2、试题分析:设圆心为(a ,0),则半径为4||a -,则222(4||)||2a a -=+,解得32a =±,故圆的方程为22325()24x y ±+=. 考点:椭圆的几何性质;圆的标准方程。
3、4、【答案】(Ⅰ)1422=+y x ;(Ⅱ)(i )见解析;(ii )12S S 的最大值为49,此时点P 的坐标为)41,22(所以直线l 的斜率为m ,其直线方程为)(22m x m m y -=-,即22m mx y -=.(2)由(1)知直线l 的方程为22m mx y -=,令0=x 得22m y -=,所以)2,0(2m G -, 又D F m m P ),0,21(),2,(2))14(2,142(2223+-+m m m m , 所以)1(41||2121+==m m m GF S ,)14(8)12(||||2122202++=-⋅=m m m x m PM S ,所以222221)12()1)(14(2+++=m m m S S ,令122+=m t ,则211)1)(12(2221++-=+-=t t t t t S S ,考点:椭圆方程;直线和抛物线的关系;二次函数求最值;运算求解能力.5、解析:(Ⅰ)由椭圆2222:1(0)x y C a b a b +=>>的离心率为3可知32c e a ==,而222a b c =+则2,3a b c b ==,左、右焦点分别是12(3,0),(3,0)F b F b -,圆1F :22(3)9,x b y +=圆2F :22(3)1,x b y +=由两圆相交可得2234b <<,即132b <<,交点22(1())33b b±-,在椭圆C 上,则22221(3)43134b b b b --+=⋅, 整理得424510b b -+=,解得21,b =214b =(舍去) 故21,b =24,a =椭圆C 的方程为2214x y +=. (Ⅱ)(ⅰ)椭圆E 的方程为221164x y +=, 设点00(,)P x y ,满足220014x y +=,射线000:(0)yPO y x xx x =<,代入221164x y +=可得点00(2,2)Q x y --,于是||2||OQ OP ==. (ⅱ)点00(2,2)Q x y --到直线AB 距离等于原点O 到直线AB 距离的3倍:d ==221164y kx mx y =+⎧⎪⎨+=⎪⎩,得224()16x kx m ++=,整理得222(14)84160k x kmx m +++-= 2222226416(41)(4)16(164)0k m k m k m ∆=-+-=+->||AB =211||||32214m S AB d k ∆==⋅⋅⋅=+22221646122(41)m k m k ++-≤⋅=+,当且仅当22||82m m k ==+等号成立. 而直线y kx m =+与椭圆C :2214x y +=有交点P ,则 2244y kx m x y =+⎧⎨+=⎩有解,即222224()4,(14)8440x kx m k x kmx m ++=+++-=有解, 其判别式22222216416(14)(1)16(14)0k m k m k m ∆=-+-=+-≥,即2214k m +≥,则上述2282m k =+不成立,等号不成立,设(0,1]t =,则2||614m S k ∆==+在(0,1]为增函数, 于是当2214k m +=时max S ∆==ABQ ∆面积最大值为12.圆锥曲线部分高考试题汇编(双曲线部分)答案1、【答案】A【解析】由题意知:双曲线的焦点在x 轴上,所以2234m n m n ++-=,解得:21m =,因为方程22113x y n n -=+-表示双曲线,所以1030n n +>⎧⎨->⎩,解得13n n >-⎧⎨<⎩,所以n 的取值范围是()1,3-,故选A . 考点:双曲线的性质 2、考点:向量数量积;双曲线的标准方程 3、A 4、【答案】2试题分析:易得2b A(c,)a ,2b B(c,)a -,所以22b |AB |a=,|BC |2c =,由2AB 3BC =,222c a b =+得离心率e 2=或1e 2=-(舍去),所以离心率为2. 考点:把涉及到的两个线段的长度表示出来是做题的关键.5、解析:22122:1(0,0)x y C a b a b -=>>的渐近线为by x a=±,则22222222(,),(,)pb pb pb pb A B a a a a - 22:2(0)C x py p =>的焦点(0,)2p F ,则22222AF pb pa a k pb b a-==,即2222222593,,.442b c a b c e a a a a +===== 6、【答案】A【解析】,,22222222222221ab a ac e a b a a c e +==-== 43)(444221=-=∴a b a e e 22±=∴a b圆锥曲线部分高考试题汇编(抛物线部分)答案1、【答案】B 【解析】试题分析:如图,设抛物线方程为22y px =,圆的半径为r ,,AB DE 交x 轴于,C F 点,则22AC =,即A 点纵坐标为22,则A 点横坐标为4p ,即4OC p=,由勾股定理知2222DF OF DO r +==,2222AC OC AO r +==,即22224(5)()(22)()2p p+=+,解得4p =,即C 的焦点到准线的距离为4,故选B.考点:抛物线的性质2、【答案】0ax y a --=0ax y a ++=(Ⅱ)存在试题分析:(Ⅰ)先求出M ,N 的坐标,再利用导数求出M ,N .(Ⅱ)先作出判定,再利用设而不求思想即将y kx a =+代入曲线C 的方程整理成关于x 的一元二次方程,设出M ,N 的坐标和P 点坐标,利用设而不求思想,将直线PM ,PN 的斜率之和用a 表示出来,利用直线PM ,PN 的斜率为0,即可求出,a b 关系,从而找出适合条件的P 点坐标.试题解析:(Ⅰ)由题设可得(2,)M a a ,(22,)N a -,或(22,)M a -,(2,)N a a .∵12y x '=,故24x y =在x =22a a C 在(22,)a a 处的切线方程为(2)y a a x a -=-0ax y a --=.故24x y =在x =-22a 处的到数值为a ,C 在(22,)a a -处的切线方程为(y a a x a -=+0ax y a ++=.0ax y a --=0ax y a ++=. ……5分 (Ⅱ)存在符合题意的点,证明如下:设P (0,b )为复合题意得点,11(,)M x y ,22(,)N x y ,直线PM ,PN 的斜率分别为12,k k . 将y kx a =+代入C 得方程整理得2440x kx a --=. ∴12124,4x x k x x a +==-.∴121212y b y b k k x x --+=+=1212122()()kx x a b x x x x +-+=()k a b a+. 当b a =-时,有12k k +=0,则直线PM 的倾斜角与直线PN 的倾斜角互补, 故∠OPM=∠OPN ,所以(0,)P a -符合题意. ……12分考点:抛物线的切线;直线与抛物线位置关系;探索新问题;运算求解能力。