数值线性代数第五章上答案
- 格式:pdf
- 大小:99.70 KB
- 文档页数:6
(完整版)数值线性代数答案习题11.求下三⾓阵的逆矩阵的详细算法。
[解] 设下三⾓矩阵L的逆矩阵为T我们可以使⽤待定法,求出矩阵T的各列向量。
为此我们将T按列分块如下:注意到我们只需运⽤算法1·1·1,逐⼀求解⽅程便可求得[注意]考虑到内存空间的节省,我们可以置结果矩阵T的初始状态为单位矩阵。
这样,我们便得到如下具体的算法:算法(求解下三⾓矩阵L的逆矩阵T,前代法)3.证明:如果是⼀个Gauss变换,则也是⼀个Gauss变换。
[解]按Gauss变换矩阵的定义,易知矩阵是Gauss变换。
下⾯我们只需证明它是Gauss 变换的逆矩阵。
事实上注意到,则显然有从⽽有4.确定⼀个Gauss变换L,使[解] ⽐较⽐较向量和可以发现Gauss变换L应具有功能:使向量的第⼆⾏加上第⼀⾏的2倍;使向量的第三⾏加上第⼀⾏的2倍。
于是Gauss变换如下5.证明:如果有三⾓分解,并且是⾮奇异的,那么定理1·1·2中的L和U都是唯⼀的。
[证明]设,其中都是单位下三⾓阵,都是上三⾓阵。
因为A⾮奇异的,于是注意到,单位下三⾓阵的逆仍是单位下三⾓阵,两个单位下三⾓阵的乘积仍是单位下三⾓阵;上三⾓阵的逆仍是上三⾓阵,两个上三⾓阵的乘积仍是上三⾓阵。
因此,上述等将是⼀个单位下三⾓阵与⼀个上三⾓阵相等,故此,它们都必是单位矩阵。
即,从⽽即A的LU分解是唯⼀的。
17.证明定理1·3·1中的下三⾓阵L是唯⼀的。
[证明] 因A是正定对称矩阵,故其各阶主⼦式均⾮零,因此A⾮奇异。
为证明L的唯⼀性,不妨设有和使那么注意到:和是下三⾓阵,和为上三⾓阵,故它们的逆矩阵也分别是下三⾓阵和上三⾓阵。
因此,只能是对⾓阵,即从⽽于是得知19.若是A的Cholesky分解,试证L的i阶顺序主⼦阵正好是A的i阶顺序主⼦阵的Cholesky因⼦。
[证明] 将A和L作如下分块其中:为矩阵A和L的i阶顺序主⼦阵。
1. 过点),(),...,,(),,(551100y x y x y x 的插值多项式P(x)是()次的多项式 A. 6 B. 5 C. 4 D. 3 考查知识点:插值多项式的基本概念 答案:B2. 通过点),(),,(1100y x y x 的拉格朗日插值基函数)(),(10x l x l 满足() A. 0)(,0)(1100==x l x l B. 1)(,0)(1100==x l x l C. 0)(,1)(1100==x l x l D. 1)(,1)(1100==x l x l 考查知识点:拉格朗日插值基函数的性质 答案:D3. 设)(x L 和)(x N 分别是)(x f 满足同一插值条件的n 次拉格朗日和牛顿插值多项式,它们的插值余项分别是)(x r 和)(x e ,则(B.) 考查知识点:插值多项式的存在唯一性 A.)()(),()(x e x r x N x L =≠ B.)()(),()(x e x r x N x L == C.)()(),()(x e x r x N x L ≠=D.)()(),()(x e x r x N x L ≠≠解析:插值多项式存在唯一性定理可知,满足同一插值条件的拉格朗日插值多项式和牛顿插值实际上是同一个多项式,故,余项也相同。
4. =∇+∆k k y y _______ 考查知识点:差分的概念 答案:11-+-k k y y5. ]2,,2,2[]2,,2,2[,13)(817147f f x x x x f 和则+++=为 与[][]!80!8)(22221!7!7!7)(222)8(8710)7(710===⋯⋯===⋯⋯ξξf f f f ,,,,,,,根据差商和导数关系6. 的二次插值多项式为则时当)(4,3,0)(2,1,1x f ,x ,f x -=-= (拉格朗日插值) 解: 4,3,2,1,110210=-===-=y y x x x ,Lagrange 这里插值公式利用二次得,42=y)()()()(2211002x l y x l y x l y x L ++=3723653)1)(1(406)2)(1(32-+=-+⨯++--⨯-=x x x x x x7. 设2)(x x f =,则)(x f 关于节点2,1,0210===x x x 的二阶向前差分为_2_。
第五章习题选讲5、设0λ≠是AB 的特征值,则λ也是BA 的特征值,其中A 是m n ×矩阵,B 为n 矩阵。
m ×证明:11()()1E AB A E AB A A E A A AB A λλλ−−−−=−=− 11()EA A A A BA E BA λλ−−=−=−6证明:正交矩阵的实特征值为1±证明:设A 为正交矩阵,其特征值为λ,α为属于特征值λ的特征向量,即A αλα=则 ()()T T A A ααλαλ=α即 2T T T A A ααλαα=即 2T T ααλαα= (T AA E =)211λλ=⇒=±7、设1122,,n n a b a b a b αβ⎛⎞⎛⎞⎜⎟⎜⎟⎜⎟⎜⎟==⎜⎟⎜⎟⎜⎟⎜⎟⎝⎠⎝⎠0,0αβ≠≠,且0T αβ=,记T A αβ=,求A 的特征值与特征向量。
证明:设λ为A 的一个特征值,对应于λ的特征值的特征向量为γ(0γ≠)。
()()2()()T T T T T T T A αβαβαβαβααββ===0=所以200λλ=⇒=即矩阵A 的全部特征值全为0;不妨设,αβ中分量110,0,a b ≠≠则(0)0E A X −=,即: 11121111211112(000n n i i n n n n a b a b a b a b a b a b a i i a a b a b a b −−−−−−⎛⎞⎛⎞⎜⎟⎜+×−⎜⎟⎜⎜⎟⎜⎟−−−⎝⎠⎝⎠ ⎟⎟ 12111(000n b b b i a ⎛⎞⎜⎟×−⎜⎟⎜⎟⎝⎠211(,1,0,,0)T b b η=− ,321(,0,1,,0)T b b η=− , n-11(,0,0,,1)T n b b η=− 则A 的属于特征值零的特征向量为:112211121(,,,)n n n k k k k k k ηηη−−−+++ 不全为零8、设A 为n 阶矩阵,12,λλ是A 的两个不同的特征值,12,αα分别是A 的属于1,2λλ的特征向量,证明12αα+不是A 的特征值。
1.求下三角阵的逆矩阵的详细算法。
[解] 设下三角矩阵L的逆矩阵为T我们可以使用待定法,求出矩阵T的各列向量。
为此我们将T按列分块如下:注意到我们只需运用算法1·1·1,逐一求解方程便可求得[注意] 考虑到内存空间的节省,我们可以置结果矩阵T的初始状态为单位矩阵。
这样,我们便得到如下具体的算法:算法(求解下三角矩阵L的逆矩阵T,前代法)3.证明:如果是一个Gauss变换,则也是一个Gauss 变换。
[解] 按Gauss变换矩阵的定义,易知矩阵是Gauss变换。
下面我们只需证明它是Gauss变换的逆矩阵。
事实上注意到,则显然有从而有4.确定一个Gauss变换L,使[解] 比较比较向量和可以发现Gauss变换L应具有功能:使向量的第二行加上第一行的2倍;使向量的第三行加上第一行的2倍。
于是Gauss 变换如下5.证明:如果有三角分解,并且是非奇异的,那么定理1·1·2中的L和U都是唯一的。
[证明] 设,其中都是单位下三角阵,都是上三角阵。
因为A非奇异的,于是注意到,单位下三角阵的逆仍是单位下三角阵,两个单位下三角阵的乘积仍是单位下三角阵;上三角阵的逆仍是上三角阵,两个上三角阵的乘积仍是上三角阵。
因此,上述等将是一个单位下三角阵与一个上三角阵相等,故此,它们都必是单位矩阵。
即从而即A的LU分解是唯一的。
7.设A对称且,并假定经过一步Gauss消去之后,A具有如下形式证明仍是对称阵[证明] 根据Gauss变换的属性,显然做矩阵A的LU分解的第一步中的Gauss变换为其中,将A分块为那么即由A的对称性,对称性则是显而易见的。
8.设是严格对角占优阵,即A满足又设经过一步Gauss消去后,A具有如下形式试证:矩阵仍是严格对角占优阵。
由此推断:对于对称的严格对角占优矩阵来说,用Gauss消去法和列主元Gauss消去法可得得同样的结果。
[证明] 依上题的分析过程易知,题中的于是主对角线上的元素满足(1)非主对角线上的元素满足由于A是严格对角占优的,即故从而(2)综合(1)和(2)得即,矩阵仍是严格对角占优阵。
线性代数第三版习题答案第一章:向量空间与线性组合1. 向量空间的定义与性质- 向量空间的定义- 向量空间的性质:封闭性、加法逆元、标量乘法等2. 线性组合与基- 线性组合的概念- 基的定义及其重要性- 基的构造方法3. 向量空间的维数- 维数的定义- 维数与基的关系第二章:矩阵及其运算1. 矩阵的定义与表示- 矩阵的基本概念- 矩阵的表示方法2. 矩阵的加法、数乘与乘法- 矩阵加法的规则- 矩阵数乘的定义- 矩阵乘法的规则与性质3. 矩阵的逆与行列式- 可逆矩阵的条件- 行列式的定义与计算方法第三章:线性变换1. 线性变换的定义与性质- 线性变换的概念- 线性变换的性质:加法和数乘的保持性2. 线性变换与矩阵- 线性变换的矩阵表示- 矩阵与线性变换的关系3. 特征值与特征向量- 特征值与特征向量的定义- 特征值与特征向量的计算方法第四章:线性方程组1. 线性方程组的解法- 高斯消元法- 矩阵分解法2. 线性方程组的解的结构- 唯一解、无穷多解和无解的条件- 解空间的维数3. 线性方程组的应用- 在经济学、物理学等领域的应用示例第五章:特征值问题与矩阵分解1. 特征值问题的进一步探讨- 特征值问题的几何意义- 特征值问题的数值解法2. 矩阵分解- 矩阵分解的概念- 常见的矩阵分解方法:LU分解、QR分解等3. 矩阵分解的应用- 在数据分析、信号处理等领域的应用结语线性代数作为数学的一个重要分支,在现代科学技术中有着广泛的应用。
掌握线性代数的基本概念和方法,对于理解更高层次的数学理论和解决实际问题都具有重要意义。
希望这份习题答案能够帮助学生更深入地理解线性代数,并在解决相关问题时更加得心应手。
请注意,以上内容是一个示例概要,并非真实的习题答案。
实际的习题答案会根据具体教材和习题内容而有所不同。
习题51.写出下列二次型f 的矩阵A 和矩阵表示式,并求二次型的秩。
(1)2212313121323(,,)35224f x x x x x x x x x x x =+−+−(2)2221231231323(,,)26f x x x x x x x x x x =+−++(3)2221234123121323(,,,)2f x x x x x x x x x x x x x =−++−+(4)123121323(,,)43f x x x x x x x x x =−+1.解:(1)f 的矩阵表示为311102125−⎛⎞⎜⎟−−⎜⎟⎜⎟−⎝⎠=A 其矩阵表示式为()112312323311(,,)102125x f x x x x x x x x −⎛⎞⎛⎞⎜⎟⎜⎟=−−⎜⎟⎜⎟⎜⎟⎜⎟−⎝⎠⎝⎠由于()3R =A ,故()3R f =。
(2)f 的矩阵表示为10310221312⎛⎞⎜⎟⎜⎟⎜⎟⎜⎟⎜⎟⎜⎟−⎝⎠A =其矩阵表示式为()1123123231031(,,)0221312x f x x x x x x x x ⎛⎞⎜⎟⎛⎞⎜⎟⎜⎟⎜⎟=⎜⎟⎜⎟⎜⎟⎜⎟⎝⎠⎜⎟−⎝⎠由于()3R =A ,故()3R f =。
(3)f 的矩阵表示为1110221110211102000⎛⎞−⎜⎟⎜⎟⎜⎟−⎜⎟⎜⎟⎜⎟−⎜⎟⎜⎟⎝⎠A =其矩阵表示式为()1212341234341110221110(,,,)211102000x x f x x x x x x x x x x ⎛⎞−⎜⎟⎛⎞⎜⎟⎜⎟⎜⎟−⎜⎟⎜⎟=⎜⎟⎜⎟⎜⎟⎜⎟−⎝⎠⎜⎟⎜⎟⎝⎠由于()3R =A ,故()3R f =。
(4)f 的矩阵表示为3022120231022⎛⎞−⎜⎟⎜⎟⎜⎟⎜⎟⎜⎟⎜⎟−⎜⎟⎝⎠A =其矩阵表示式为()11231232330221(,,)20231022x f x x x x x x x x ⎛⎞−⎜⎟⎛⎞⎜⎟⎜⎟⎜⎟=⎜⎟⎜⎟⎜⎟⎜⎟⎝⎠⎜⎟−⎜⎟⎝⎠由于()3R =A ,故()3R f =。
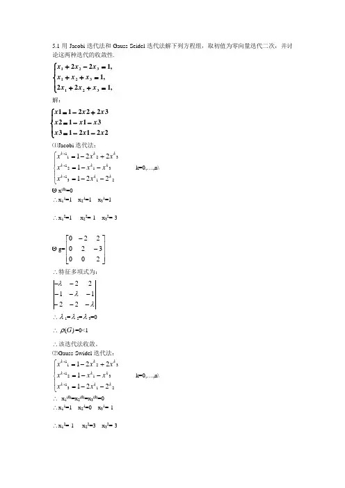
5.1用Jacobi 迭代法和Gauss-Seidel 迭代法解下列方程组,取初值为零向量迭代二次,并讨论这两种迭代的收敛性.⎪⎩⎪⎨⎧=++=++=-+,122,1,122321321321x x x x x x x x x 解:⎪⎩⎪⎨⎧--=--=+-=2212133112322211x x x x x x x x x ⑴Jacobi 迭代法:⎪⎩⎪⎨⎧--=--=+-=+++2131312132112211221kk k kk k k k k x x x x x x x x k=0,…,n\ x (0)=0∴x 11=1 x 21=1 x 31=1∴x 12=1 x 22=-1 x 32=-3g=⎥⎥⎥⎦⎤⎢⎢⎢⎣⎡--200320220∴特征多项式为:λλλ--------221122∴λ1=λ2=λ3=0 ∴)(G ρ=0<1∴该迭代法收敛。
⑵Gauss-Swidel 迭代法:⎪⎩⎪⎨⎧--=--=+-=+++2131312132112211221kk k kk k k k k x x x x x x x x k=0,…,n\ ∴ x 1(0)=x 2(0)=x 3(0)=0 ∴x 11=1 x 21=0 x 31=-1∴x 12=-1 x 22=3 x 32=-3∴⎪⎪⎩⎪⎪⎨⎧+-=-=+-=+++k k k kk k k k x x x x x x x x 331322132112132221 ∴迭代阵为G=⎥⎥⎥⎦⎤⎢⎢⎢⎣⎡--200320220∴特征多项式为λλλ-----2032022 ∴-λ(2-λ)2=0 ∴λ1=0 λ2=λ3=2∴)(G ρ=2>1∴该迭代法发散。
5.2为求解方程组⎪⎩⎪⎨⎧=+-=++-=--,124,01122,133311321321321x x x x x x x x x试写出收敛的Jacobi 迭代公式和Gauss-Seidel 迭代公式,并说明收敛的原因.解:调整顺讯后得:⎪⎪⎩⎪⎪⎨⎧-=-+-=-+=21112233112311312322411x x x x x x x x x⑴Jacobi 迭代法:⎪⎪⎩⎪⎪⎨⎧-=-+-=-+=+++213131213211112211311311241k k k kk k k k k x x x x x x x x x⑵Gauss-Swidel 迭代法:⎪⎪⎩⎪⎪⎨⎧-=-+-=-+=+++213131213211112************k k k k k k k k k x x x x x x x x x调整后得到的矩阵为A=⎥⎥⎥⎦⎤⎢⎢⎢⎣⎡----3331124111122验证可得A 严格对角占优阵;∴Jacobi 迭代和Gauss-Swidel 迭代均收敛。
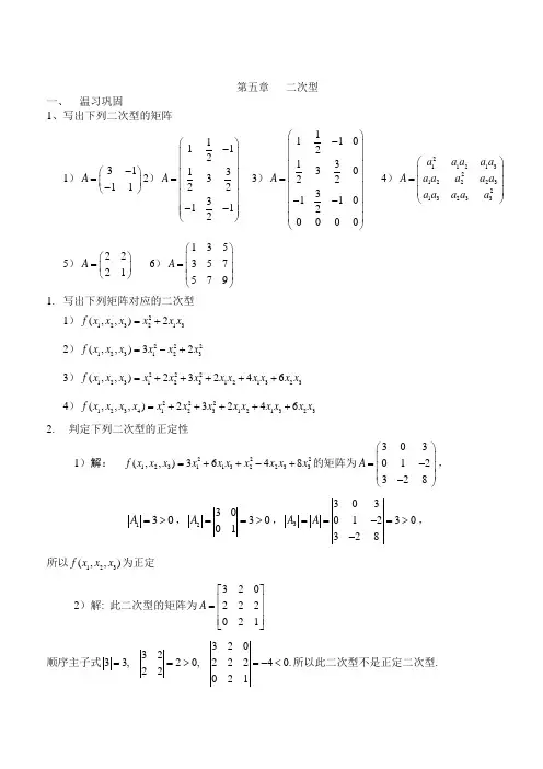
第五章 二次型一、 温习巩固1、写出下列二次型的矩阵1)3111A -⎛⎫= ⎪-⎝⎭2)1112133223112A ⎛⎫- ⎪⎪ ⎪= ⎪ ⎪ ⎪-- ⎪⎝⎭ 3)1110213302231102000A ⎛⎫- ⎪⎪ ⎪ ⎪= ⎪ ⎪-- ⎪ ⎪⎝⎭4)2112132********233a a a a a A a a a a a a a a a a ⎛⎫⎪= ⎪ ⎪⎝⎭5)2221A ⎛⎫= ⎪⎝⎭ 6)135357579A ⎛⎫⎪= ⎪ ⎪⎝⎭1. 写出下列矩阵对应的二次型1)2123213(,,)2f x x x x x x =+ 2)222123123(,,)32f x x x x x x =-+3)222123123121323(,,)23246f x x x x x x x x x x x x =+++++ 4)2221234123121323(,,,)23246f x x x x x x x x x x x x x =+++++ 2. 判定下列二次型的正定性1)解: 2221231132233(,,)3648f x x x x x x x x x x =++-+的矩阵为303012328A ⎛⎫⎪=- ⎪ ⎪-⎝⎭,130A =>,2303001A ==>,330301230328A A ==-=>-,所以123(,,)f x x x 为正定2)解: 此二次型的矩阵为320222021A ⎡⎤⎢⎥=⎢⎥⎢⎥⎣⎦顺序主子式3203233,20,22240.22021==>=-<所以此二次型不是正定二次型.3)22212312233(,,)(1)6f x x x x x x x x λλλ=-+-+,当λ取何值时,二次型f 为正定.解 123(,,)f x x x 的矩阵为1000303A λλλ-⎛⎫⎪=- ⎪ ⎪-⎝⎭,110A λ=->,()210100A λλλλ-==->,()()23190A A λλ==-->3λ>从而,故当3λ>时,二次型f 为正定.二、 练习提高1.求一正交变换X PY =,把二次型2123132(,,)2f x x x x x x =+化为标准型。