线性代数第五章 课后习题及解答
- 格式:doc
- 大小:2.01 MB
- 文档页数:33
第五章 二次型1.用非退化线性替换化下列二次型为标准形,并利用矩阵验算所得结果。
1)323121224x x x x x x ++-;2)23322221214422x x x x x x x ++++; 3)32312122216223x x x x x x x x -+--;4)423243418228x x x x x x x x +++; 5)434232413121x x x x x x x x x x x x +++++;6)4342324131212422212222442x x x x x x x x x x x x x x x ++++++++; 7)43322124232221222x x x x x x x x x x ++++++.解 1)已知 ()323121321224,,x x x x x x x x x f ++-=, 先作非退化线性替换⎪⎩⎪⎨⎧=-=+=33212211yx y y x y y x (1)则()312221321444,,y y y y x x x f ++-=2223233121444y y y y y y ++-+-= ()222333142y y y y ++--=, 再作非退化线性替换⎪⎪⎩⎪⎪⎨⎧==+=33223112121zy z y z z y (2)则原二次型的标准形为()2322213214,,z z z x x x f ++-=,最后将(2)代入(1),可得非退化线性替换为⎪⎪⎪⎩⎪⎪⎪⎨⎧=+-=++=333212321121212121z x z z z x z z z x (3)于是相应的替换矩阵为⎪⎪⎪⎪⎪⎪⎭⎫⎝⎛-=⎪⎪⎪⎪⎪⎭⎫⎝⎛⎪⎪⎪⎭⎫ ⎝⎛-=100211212102110001021021100011011T ,且有⎪⎪⎪⎭⎫ ⎝⎛-='100040001AT T 。
2)已知()=321,,x x x f 23322221214422x x x x x x x ++++, 由配方法可得()()()233222222121321442,,x x x x x x x x x x x f +++++= ()()2322212x x x x +++=,于是可令⎪⎩⎪⎨⎧=+=+=333222112xy x x y x x y ,则原二次型的标准形为()2221321,,y y x x x f +=, 且非退化线性替换为⎪⎩⎪⎨⎧=-=+-=33322321122yx y y x y y y x ,相应的替换矩阵为⎪⎪⎪⎭⎫⎝⎛--=100210211T ,且有⎪⎪⎪⎭⎫ ⎝⎛=⎪⎪⎪⎭⎫ ⎝⎛--⎪⎪⎪⎭⎫ ⎝⎛⎪⎪⎪⎭⎫ ⎝⎛--='000010001100210211420221011122011001AT T 。
习题五(P213-215)1.写出下列二次型的矩阵:.)(),,,().4(;),,,().3(;),,,().2(;8223),,().1(211221111122142314321222∑∑∑∑==-=+=-=+=-=++-+-=ni i n i in n i i ini in x xn x x x f x xxx x x f x x x x x x x x f yz xz xy z y x z y x f解:(1)12123111442-⎡⎤⎢⎥--⎢⎥⎢⎥⎣⎦;(2)12121212000000000000⎡⎤⎢⎥-⎢⎥⎢⎥⎢⎥-⎣⎦;(3)1211221122111211111⎡⎤⎢⎥⎢⎥⎢⎥⎢⎥⎢⎥⎢⎥⎢⎥⎣⎦; (4) 111111111n n n ---⎡⎤⎢⎥---⎢⎥⎢⎥⎢⎥---⎣⎦。
2.若二次型123(,,)T f x x x X AX =对任意向量123(,,)T x x x 恒有0),,(321=x x x f ,试证明:A 是零矩阵.解:取(1,0,0),(0,1,0),(0,0,1)T T TX X X ===等三个向量代入0,TX AX =则二次型的矩阵⎥⎥⎥⎦⎤⎢⎢⎢⎣⎡=333231232221131211a a a a a a a a a A 的所有元素),3,2,1,3,2,1(0===j i a ij 从而有A =0. 3.设B A ,是n阶实对称矩阵,且对任意的n维向量x 有BX X AX X ''=成立,试证明:.B A = 证:设,21][,][,)',,,(n n ij n n ij n b B a A x x x X ⨯⨯=== 则AX X '中的j i x x 的系数BX X a a a ij ji ij ',2=+中j i x x 的系数为,2ij ji ij b b b =+比较j i x x 的系数知),,,2,1,(n j i b a ij ij ==所以.B A = 4.试证明:不可能有实数矩阵⎥⎦⎤⎢⎣⎡=d c b a C 使1010,0101TC C ⎡⎤⎡⎤=⎢⎥⎢⎥-⎣⎦⎣⎦即⎥⎦⎤⎢⎣⎡1001与⎥⎦⎤⎢⎣⎡-1001是不合同的. 证:用反证法.若,10011001'⎥⎦⎤⎢⎣⎡-=⎥⎦⎤⎢⎣⎡⎥⎦⎤⎢⎣⎡⎥⎦⎤⎢⎣⎡d c b a d c b a 则推得,122-=+d b 这是不可能的.所以⎥⎦⎤⎢⎣⎡1001与⎥⎦⎤⎢⎣⎡-1001是不.5. 设D C B A ,,,均为n阶对称矩阵,且B A ,是合同的,D C ,是合同的,试证明:⎥⎦⎤⎢⎣⎡B A 00与⎥⎦⎤⎢⎣⎡D C00也是合同的.证: 设,','D CQ Q B AP P ==则.00000000'⎥⎦⎤⎢⎣⎡=⎥⎦⎤⎢⎣⎡⎥⎦⎤⎢⎣⎡⎥⎦⎤⎢⎣⎡D BQ P C A Q P 所以矩阵⎥⎦⎤⎢⎣⎡B A 00与矩阵⎥⎦⎤⎢⎣⎡D C00是合同的. 6. 用正交变换法,把下列二次型化为标准形:.32414321242322213231212322212222).2(;4844).1(x x x x x x x x x x x x f x x x x x x x x x f --+++++=---++=解:(1).正交变换矩阵为,032622231322326222⎥⎥⎥⎦⎤⎢⎢⎢⎣⎡--=Q 标准形为;455232221y y y f -+= (2) 正交变换矩阵为,0000212121212121212121212121⎥⎥⎥⎥⎥⎦⎤⎢⎢⎢⎢⎢⎣⎡----=Q 标准形为.324232221y y y y f +-+=7. 用配方法,把下列二次型化为标准形:2212121323121323(1).3226;(2).422.f x x x x x x x x f x x x x x x =--+-=-++解:(1).由已知2322321)2()(x x x x x f +-+-=,令,2333223211⎪⎩⎪⎨⎧=+=+-=x y x x y x x x y 则,33321221232322111⎪⎩⎪⎨⎧=-=-+=y x y y x y y y x 可逆线性变换矩阵为,1000121212321⎥⎥⎥⎦⎤⎢⎢⎢⎣⎡--=C 所以标准形为;2221y y f -=(2).先令⎪⎩⎪⎨⎧=-=+=,33212211yx y y x y y x 则,4)(4232223211y y y y f ++--=再令⎪⎩⎪⎨⎧==-=,33223111yz y z y y z 则⎪⎩⎪⎨⎧=+-=++=,33321212321211z x z z z x z z z x 可逆线性变换矩阵为,10011112121⎥⎥⎥⎦⎤⎢⎢⎢⎣⎡-=C 所以标准形为.44232221z z z f ++-= 8. 用初等变换法, 把下列二次型化为标准形:.22).2(;6422).1(3221232132********x x x x x x f x x x x x x x x f ++-=+-+-=解:⎥⎥⎥⎥⎥⎥⎥⎥⎦⎤⎢⎢⎢⎢⎢⎢⎢⎢⎣⎡--→⎥⎥⎥⎥⎥⎥⎥⎥⎦⎤⎢⎢⎢⎢⎢⎢⎢⎢⎣⎡---=⎪⎪⎭⎫ ⎝⎛100101100030001100010001032321211).1(531313E A ,令,10010113531Y X ⎥⎥⎥⎦⎤⎢⎢⎢⎣⎡-= 则;3233132221y y y f +-= (2).令,110110111Y X ⎥⎥⎥⎦⎤⎢⎢⎢⎣⎡--= 则.2221y y f -= 9.已知二次型),0(233232232221>+++=a x ax x x x f 通过正交替换QY X =化为标准形,52232221y y y f ++=求参数a 及正交矩阵Q .解: 给定二次型及其标准形的矩阵分别为:,521,3030002⎥⎥⎥⎦⎤⎢⎢⎢⎣⎡=⎥⎥⎥⎦⎤⎢⎢⎢⎣⎡=B a a A 由,4,10218,22==-=a a B A 得2=a (去舍2-=a ),与特征值 5,2,1321=λ=λ=λ 对应的特征向量分别为,)'1,1,0(,)'0,0,1(,)'1,1,0(321=α=α-=α 因特征向量321,,ααα是相互正交的,将它们单位化后得所求的正交巨阵.0001022222222⎥⎥⎥⎦⎤⎢⎢⎢⎣⎡-=Q10.求二次型11222121121(,,,)22n n n ini i i i f x x x x xx x x --+===+++∑∑ 的标准形,并指出该二次型的秩和正惯性指数。
第五章 相似矩阵与二次型一、是非题〔正确打√,错误打×〕1.若线性无关向量组r αα,,1 用施密特法正交化为r ββ,,1 则对任何),1(r k k ≤≤向量组k αα,,1 与向量组r ββ,,1 等价. <√>2. 若向量组r αα,,1 两两正交,则r αα,,1 线性无关. <√>3.n 阶正交阵A 的n 个行<列>向量构成向量空间n R 的一个规X 正交基. <√>4.若A 和B 都是正交阵,则AB 也是正交阵. <√>5.若A 是正交阵,Ax y =,则x y =. <√>6.若112⨯⨯⨯=n n n n x x A ,则2是n n A ⨯的一个特征值. <×>7.方阵A 的特征向量只能对应唯一的特征值,反之亦成立. <×>8.n 阶矩阵A 在复数X 围内有n 个不同的特征值. <×>9. 矩阵A 有零特征值的充要条件是0=A . <√>10.若λ是A 的特征值,则)(λf 是)(A f 的特征值<其中)(λf 是λ的多项式>.<√>11.设1λ和)(212λλλ≠是A 的特征值,1x 和2x 为对应特征向量,则21x x +也是A 的特征向量. <×>12.T A 与A 的特征值相同. <√>13.n 阶矩阵A 有n 个不同特征值是A 与对角矩阵相似的充分必要条件. <×>14.若有可逆矩阵P ,使n 阶矩阵A ,B 满足:B PAP =-1,则A 与B 有相同的特征值. <√>15.两个对角矩阵的对角元素相同,仅排列位置不同,则这两个对角矩阵相似. <√>16.设n 阶矩阵A ,B 均与对角阵相似且有相同的特征值,则A 与B 相似. <√>17.实对称矩阵A 的非零特征值的个数等于它的秩. <√>18. 若k ααα,,,21 线性无关且都是A 的特征向量,则将它们先正交化,再单位化后仍为A 的特征向量. <√>19.实对称阵A 与对角阵 Λ相似:Λ=-AP P 1,这里P 必须是正交阵. <×>20.已知A 为n 阶矩阵,x 为n 维列向量,如果A 不对称,则Ax x T 不是二次型. <×>21.任一实对称矩阵合同于一对角矩阵. <√>22.二次型Ax x x x x f T n =),,,(21 在正交变换Py x =下一定化为标准型.<×>23.任给二次型Ax x x x x f T n =),,,(21 ,总有正交变换Py x =,使f 化为规X 型.<×>二、填空题1.向量⎪⎪⎪⎭⎫ ⎝⎛=1111α,求两向量2α=____,3α=____,使321,,ααα两两正交.Ans:()T 1,0,12-=α,T⎪⎭⎫ ⎝⎛--=21,1,213α 2.若A 是正交阵,即E A A T =,则=A _____. Ans:1或-13.设⎪⎪⎪⎭⎫ ⎝⎛--=121001065A ,则A 的特征值为________.<-1,2,3>4.n 阶方阵A =)(ij a 的特征值为n λλλ,,,21 ,则=A ___________,=+++nn a a a 2211_____________.5.设二阶行列式A 的特征值为2,3,λ,若行列式482-=A ,则____=λ.<-1>6.设三阶矩阵A 的特征值为-1,1,2,则=--E A 14_____,=-+*E A A 23______. Ans:-15,97. 已知⎪⎪⎪⎭⎫ ⎝⎛=x A 00110002的伴随矩阵*A 有一特征值为2-,则=x -1或2 .8. 若二阶矩阵A 的特征值为1-和1,则2008A =E .9.当x =___时,矩阵⎪⎪⎪⎭⎫ ⎝⎛=01010110x A 能对角化.<-1,见教材>10.设A 为2阶矩阵,1α,2α是线性无关的二维列向量,01=αA ,2122ααα+=A ,则A 的非零特征值为_______.提示:由⎪⎪⎭⎫ ⎝⎛=1200)()(2,12,1ααααA 知A 与⎪⎪⎭⎫ ⎝⎛1200相似,⎪⎪⎭⎫ ⎝⎛1200非零特征值为1.11、设A 为正交矩阵,λ为A 阵的特征值,则λA E -=_____0___.12、设3阶方阵A 的特征值为互不相同,若0=A 行列式则A 的秩为_____.<2>13.<3分>二次型32312123222144)(x x x x x x x x x a f +++++=经过正交变换Py x =可化为标准型216y f =,则a =_____.<a =2>14.二次型()222123123121323,,222f x x x x x x x x x x x x =+++++的秩是______; 二次型432143212),,,(x ax x x x x x x f -=的秩为2,则=a .15.已知二次型yz xz xy z y x a f 222)(222-++++=,a 的取值为_____时f 为正定, a 的取值为_____时f 为负定. <1;2- a a >16. 二次型322322214332x x x x x f +++=经过正交变换=⎪⎪⎪⎭⎫ ⎝⎛321x x x ______⎪⎪⎪⎭⎫ ⎝⎛321y y y 化为标准形=f _______,从而1),,(321=x x x f 表示的曲面类型是_________. Ans:⎪⎪⎪⎭⎫ ⎝⎛⎪⎪⎪⎭⎫ ⎝⎛-=⎪⎪⎪⎭⎫ ⎝⎛3212121212132100001y y y x x x ,23222152y y y f ++=,椭球面 三、 选择题 1. 若n 阶非奇异矩阵A 的各行元素之和均为常数a ,则矩阵12)21(-A 有一特征值为< C >.<A> 22a ; <B>22a - ; <C>22-a ; <D>22--a .2.若λ为四阶矩阵A 的特征多项式的三重根,则A 对应于λ的 特征向量最多有<A >个线性无关.<A> 3个; <B> 1个; <C> 2个; <D> 4个.3.特征值一定是实数的矩阵是<B ><A>正交矩阵 <B> 对称矩阵<C>退化矩阵 <D>满秩矩阵4. 设α是矩阵A 对应于其特征值λ的特征向量,则其对角化矩阵AP P 1- 对应于λ的特征向量为< D >.<A>α1-P ; <B>αP ; <C>αT P ; <D>α .5. 若A 为n 阶实对称矩阵,且二次型Ax x x x x f T n =),,,(21 正定,则下列结论不正确的是< C > .(A) A 的特征值全为正;<B> A 的一切顺序主子式全为正; <C> A 的元素全为正;<D>对一切n 维列向量x ,Ax x T 全为正.6.下列各式中有<A >等于22212136x x x x ++.<A> ()⎪⎪⎭⎫ ⎝⎛⎪⎪⎭⎫ ⎝⎛21213421,x x x x ; <B> ()112213,23x x x x ⎛⎫⎛⎫ ⎪ ⎪⎝⎭⎝⎭; <C> ()⎪⎪⎭⎫ ⎝⎛⎪⎪⎭⎫ ⎝⎛--21213511,x x x x ; <D> ()112211,43x x x x -⎛⎫⎛⎫ ⎪ ⎪⎝⎭⎝⎭; 7.矩阵〔 C 〕是二次型22212136x x x x ++的矩阵. <A>⎪⎪⎭⎫ ⎝⎛--3111;<B>⎪⎪⎭⎫ ⎝⎛3421;<C>⎪⎪⎭⎫ ⎝⎛3331; <D>⎪⎪⎭⎫ ⎝⎛3151;8.设A 、B 为同阶方阵,⎪⎪⎪⎪⎪⎭⎫ ⎝⎛=n x x x X 21,且BX X AX X T T =,当〔 D 〕时,B A =. <A>)()(B r A r =; <B>A A =T ;<C>B B =T ; <D>A A =T 且B B =T ;9.A 是n 阶正定矩阵的充分必要条件是〔 D 〕. <A>0>A ; <B>存在n 阶矩阵C,使C C A T =; <C>负惯性指标为零; <D>各阶顺序主子式均为正数; 10.1)()()(),,(22221,21--++-+-=n a x a x a x x x x f n n 是< B >. <A>非正定二次型 ;<B>正定; <C>负定; <D>不定;11.正定二次型),,(,21n x x x f 的矩阵应是〔 B 〕.<A>非对称且左右对角线上元素都是正数;<B>对称且各阶顺序子式都是正数;<C> 对称且所有元素都是正数;<D> 对称且矩阵的行列式是正数;12.使实二次型 ⎪⎪⎪⎭⎫ ⎝⎛⎪⎪⎪⎭⎫ ⎝⎛z y x k k k k k z y x 0101),,( 正定的参数k 应该是< C >.<A>0>k ;<B>02>k ;<C>不存在; <D>0<k ;13.阶矩阵A 为正定的充分必要条件是< C >. <A>0>A ; <B> 存在n 阶矩阵,使A=C C T ;<C> A 的特征值全大于0; <D> 存在n 维列向量α≠0,有0>ααA T ;14.次型232221321)2()1()1()(x k x k x k x x x f -+-++=,当< B >时是正定的.<A>k>0; <B> k>2; <C> k>1;<D> k=1;15.设A ,B 为正定矩阵,则< C >.<A>AB 、B A +都正定; <B>AB 正定,B A +不一定正定; <C>AB 不一定正定,B A +正定; <D>AB 和B A +都不一定正定;16.设A ,B 都是n 阶实对称矩阵,且都正定,那么AB 是<C> <A>实对称矩阵 <B> 正定矩阵<C>可逆矩阵 <D>正交矩阵17.设矩阵⎪⎪⎪⎭⎫ ⎝⎛------=211121112A , ⎪⎪⎪⎭⎫ ⎝⎛=000010001B ,则A 与B<A>合同, 且相似. <B> 合同, 但不相似 .<C>不合同, 但相似. <D> 既不合同, 又不相似.[ B ]18. 设矩阵⎪⎪⎭⎫ ⎝⎛=1221A , 则在实数域上与A 合同矩阵为〔 D 〕 <A> ⎪⎪⎭⎫ ⎝⎛--2112 <B>⎪⎪⎭⎫ ⎝⎛--2112 <C> ⎪⎪⎭⎫ ⎝⎛2112<D> ⎪⎪⎭⎫ ⎝⎛--1221 19.设21,λλ是矩阵A 的两个不同的特征值,对应的特征向量分别为21,αα,则1α,)(21αα+A 线性无关的充分必要条件是<A> 01≠λ <B> 02≠λ <C> 01=λ <D>02=λ [ B ]20.n 阶实对称矩阵A 为正定矩阵的充分必要条件是 < C > <A> 所有k 级子式为正),,2,1(n k = <B>A 的所有特征值非负 <C> 1-A 为正定矩阵 <D>秩<A >=n。
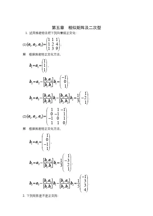
第五章 相似矩阵及二次型1. 试用施密特法把下列向量组正交化:(1)⎪⎪⎭⎫⎝⎛=931421111) , ,(321a a a ;解 根据施密特正交化方法,⎪⎪⎭⎫ ⎝⎛==11111a b , ⎪⎪⎭⎫ ⎝⎛-=-=101],[],[1112122b b b a b a b ,⎪⎪⎭⎫ ⎝⎛-=--=12131],[],[],[],[222321113133b b b a b b b b a b a b .(2)⎪⎪⎪⎭⎫ ⎝⎛---=011101110111) , ,(321a a a .解 根据施密特正交化方法,⎪⎪⎪⎭⎫ ⎝⎛-==110111a b ,⎪⎪⎪⎭⎫ ⎝⎛-=-=123131],[],[1112122b b b a b a b ,⎪⎪⎪⎭⎫ ⎝⎛-=--=433151],[],[],[],[222321113133b b b a b b b b a b a b .2. 下列矩阵是不是正交阵:(1)⎪⎪⎪⎪⎪⎭⎫⎝⎛---121312112131211; 解 此矩阵的第一个行向量非单位向量, 故不是正交阵.(2)⎪⎪⎪⎪⎪⎭⎫ ⎝⎛------979494949198949891. 解 该方阵每一个行向量均是单位向量, 且两两正交, 故为正交阵.3. 设x 为n 维列向量, x T x =1, 令H =E -2xx T , 证明H 是对称的正交阵. 证明 因为H T =(E -2xx T )T =E -2(xx T )T =E -2(xx T )T =E -2(x T )T x T =E -2xx T , 所以H 是对称矩阵. 因为H T H =HH =(E -2xx T )(E -2xx T ) =E -2xx T -2xx T +(2xx T )(2xx T ) =E -4xx T +4x (x T x )x T =E -4xx T +4xx T=E , 所以H 是正交矩阵.4. 设A 与B 都是n 阶正交阵, 证明AB 也是正交阵. 证明 因为A , B 是n 阶正交阵, 故A -1=A T , B -1=B T ,(AB )T (AB )=B T A T AB =B -1A -1AB =E ,故AB 也是正交阵.5. 求下列矩阵的特征值和特征向量:(1)⎪⎪⎭⎫ ⎝⎛----201335212;解 3)1(201335212||+-=-------=-λλλλλE A ,故A 的特征值为λ=-1(三重). 对于特征值λ=-1, 由⎪⎪⎭⎫ ⎝⎛⎪⎪⎭⎫ ⎝⎛----=+000110101101325213~E A ,得方程(A +E )x =0的基础解系p 1=(1, 1, -1)T , 向量p 1就是对应于特征值λ=-1的特征值向量.(2)⎪⎪⎭⎫⎝⎛633312321;解 )9)(1(633312321||-+-=---=-λλλλλλλE A ,故A 的特征值为λ1=0, λ2=-1, λ3=9. 对于特征值λ1=0, 由⎪⎪⎭⎫ ⎝⎛⎪⎪⎭⎫ ⎝⎛=000110321633312321~A ,得方程A x =0的基础解系p 1=(-1, -1, 1)T , 向量p 1是对应于特征值λ1=0的特征值向量. 对于特征值λ2=-1, 由⎪⎪⎭⎫ ⎝⎛⎪⎪⎭⎫ ⎝⎛=+000100322733322322~E A ,得方程(A +E )x =0的基础解系p 2=(-1, 1, 0)T , 向量p 2就是对应于特征值λ2=-1的特征值向量.对于特征值λ3=9, 由⎪⎪⎪⎭⎫ ⎝⎛--⎪⎪⎭⎫ ⎝⎛---=-00021101113333823289~E A , 得方程(A -9E )x =0的基础解系p 3=(1/2, 1/2, 1)T , 向量p 3就是对应于特征值λ3=9的特征值向量.(3)⎪⎪⎪⎭⎫⎝⎛0001001001001000.(和书后答案不同,以书后为主,但解题步骤可以参考) 解 22)1()1(01010010100||+-=----=-λλλλλλλE A , 故A 的特征值为λ1=λ2=-1, λ3=λ4=1. 对于特征值λ1=λ2=-1, 由⎪⎪⎪⎭⎫ ⎝⎛⎪⎪⎪⎭⎫⎝⎛=+00000000011010011001011001101001~E A , 得方程(A +E )x =0的基础解系p 1=(1, 0, 0, -1)T , p 2=(0, 1, -1, 0)T , 向量p 1和p 2是对应于特征值λ1=λ2=-1的线性无关特征值向量. 对于特征值λ3=λ4=1, 由⎪⎪⎪⎭⎫ ⎝⎛--⎪⎪⎪⎭⎫⎝⎛----=-00000000011010011001011001101001~E A , 得方程(A -E )x =0的基础解系p 3=(1, 0, 0, 1)T , p 4=(0, 1, 1, 0)T , 向量p 3和p 4是对应于特征值λ3=λ4=1的线性无关特征值向量.6. 设A 为n 阶矩阵, 证明A T 与A 的特征值相同. 证明 因为|A T -λE |=|(A -λE )T |=|A -λE |T =|A -λE |,所以A T 与A 的特征多项式相同, 从而A T 与A 的特征值相同.7. 设n 阶矩阵A 、B 满足R (A )+R (B )<n , 证明A 与B 有公共的特征值, 有公共的特征向量.证明 设R (A )=r , R (B )=t , 则r +t <n .若a 1, a 2, ⋅⋅⋅, a n -r 是齐次方程组A x =0的基础解系, 显然它们是A 的对应于特征值λ=0的线性无关的特征向量.类似地, 设b 1, b 2, ⋅⋅⋅, b n -t 是齐次方程组B x =0的基础解系, 则它们是B 的对应于特征值λ=0的线性无关的特征向量.由于(n -r )+(n -t )=n +(n -r -t )>n , 故a 1, a 2, ⋅⋅⋅, a n -r , b 1, b 2, ⋅⋅⋅, b n -t 必线性相关. 于是有不全为0的数k 1, k 2, ⋅⋅⋅, k n -r , l 1, l 2, ⋅⋅⋅, l n -t , 使k 1a 1+k 2a 2+ ⋅⋅⋅ +k n -r a n -r +l 1b 1+l 2b 2+ ⋅⋅⋅ +l n -r b n -r =0.记γ=k1a1+k2a2+⋅⋅⋅+k n-r a n-r=-(l1b1+l2b2+⋅⋅⋅+l n-r b n-r),则k1,k2,⋅⋅⋅,k n-r不全为0,否则l1,l2,⋅⋅⋅,l n-t不全为0,而l1b1+l2b2+⋅⋅⋅+l n-r b n-r=0,与b1,b2,⋅⋅⋅,b n-t线性无关相矛盾.因此,γ≠0,γ是A的也是B的关于λ=0的特征向量,所以A与B有公共的特征值,有公共的特征向量.8.设A2-3A+2E=O,证明A的特征值只能取1或2.证明设λ是A的任意一个特征值,x是A的对应于λ的特征向量,则(A2-3A+2E)x=λ2x-3λx+2x=(λ2-3λ+2)x=0.因为x≠0,所以λ2-3λ+2=0,即λ是方程λ2-3λ+2=0的根,也就是说λ=1或λ=2.9.设A为正交阵,且|A|=-1,证明λ=-1是A的特征值.证明因为A为正交矩阵,所以A的特征值为-1或1.(需要说明)因为|A|等于所有特征值之积,又|A|=-1,所以必有奇数个特征值为-1,即λ=-1是A 的特征值.10.设λ≠0是m阶矩阵A m⨯n B n⨯m的特征值,证明λ也是n阶矩阵BA的特征值.证明设x是AB的对应于λ≠0的特征向量,则有(AB)x=λx,于是B(AB)x=B(λx),或BA(B x)=λ(B x),从而λ是BA的特征值,且B x是BA的对应于λ的特征向量.11.已知3阶矩阵A的特征值为1, 2, 3,求|A3-5A2+7A|.解令ϕ(λ)=λ3-5λ2+7λ,则ϕ(1)=3,ϕ(2)=2,ϕ(3)=3是ϕ(A)的特征值,故|A 3-5A 2+7A |=|ϕ(A )|=ϕ(1)⋅ϕ(2)⋅ϕ(3)=3⨯2⨯3=18.12. 已知3阶矩阵A 的特征值为1, 2, -3, 求|A *+3A +2E |. 解 因为|A |=1⨯2⨯(-3)=-6≠0, 所以A 可逆, 故 A *=|A |A -1=-6A -1, A *+3A +2E =-6A -1+3A +2E .令ϕ(λ)=-6λ-1+3λ+2, 则ϕ(1)=-1, ϕ(2)=5, ϕ(-3)=-5是ϕ(A )的特征值, 故 |A *+3A +2E |=|-6A -1+3A +2E |=|ϕ(A )|=ϕ(1)⋅ϕ(2)⋅ϕ(-3)=-1⨯5⨯(-5)=25.13. 设A 、B 都是n 阶矩阵, 且A 可逆, 证明AB 与BA 相 似.证明 取P =A , 则P -1ABP =A -1ABA =BA ,即AB 与BA 相似.14. 设矩阵⎪⎪⎭⎫⎝⎛=50413102x A 可相似对角化, 求x .解 由)6()1(50413102||2---=---=-λλλλλλx E A ,得A 的特征值为λ1=6, λ2=λ3=1.因为A 可相似对角化, 所以对于λ2=λ3=1, 齐次线性方程组(A -E )x =0有两个线性无关的解, 因此R (A -E )=1. 由⎪⎪⎭⎫ ⎝⎛-⎪⎪⎭⎫ ⎝⎛=-00030010140403101)(~x x E A r知当x =3时R (A -E )=1, 即x =3为所求.15. 已知p =(1, 1, -1)T 是矩阵⎪⎪⎭⎫⎝⎛---=2135212b a A 的一个特征向量.(1)求参数a , b 及特征向量p 所对应的特征值; 解 设λ是特征向量p 所对应的特征值, 则(A -λE )p =0, 即⎪⎪⎭⎫ ⎝⎛=⎪⎪⎭⎫ ⎝⎛-⎪⎪⎭⎫ ⎝⎛------0001112135212λλλb a ,解之得λ=-1, a =-3, b =0.(2)问A 能不能相似对角化?并说明理由. 解 由3)1(201335212||--=-------=-λλλλλE A ,得A 的特征值为λ1=λ2=λ3=1. 由⎪⎪⎭⎫ ⎝⎛-⎪⎪⎭⎫ ⎝⎛----=-00011010111325211~r b E A知R (A -E )=2, 所以齐次线性方程组(A -E )x =0的基础解系只有一个解向量. 因此A 不能相似对角化.16. 试求一个正交的相似变换矩阵, 将下列对称阵化为对角阵:(1)⎪⎪⎭⎫⎝⎛----020212022;解 将所给矩阵记为A . 由λλλλ-------=-20212022E A =(1-λ)(λ-4)(λ+2),得矩阵A 的特征值为λ1=-2, λ2=1, λ3=4. 对于λ1=-2, 解方程(A +2E )x =0, 即0220232024321=⎪⎪⎭⎫ ⎝⎛⎪⎪⎭⎫ ⎝⎛----x x x , 得特征向量(1, 2, 2)T , 单位化得T)32 ,32 ,31(1=p .对于λ2=1, 解方程(A -E )x =0, 即0120202021321=⎪⎪⎭⎫⎝⎛⎪⎪⎭⎫ ⎝⎛-----x x x , 得特征向量(2, 1, -2)T , 单位化得T)32 ,31 ,32(2-=p .对于λ3=4, 解方程(A -4E )x =0, 即0420232022321=⎪⎪⎭⎫ ⎝⎛⎪⎪⎭⎫ ⎝⎛-------x x x , 得特征向量(2, -2, 1)T , 单位化得T)31 ,32 ,32(3-=p .于是有正交阵P =(p 1, p 2, p 3), 使P -1AP =diag(-2, 1, 4).(2)⎪⎪⎭⎫ ⎝⎛----542452222. (和书后答案不同,以书后答案为准,解题步骤可以参考)解 将所给矩阵记为A . 由λλλλ-------=-542452222E A =-(λ-1)2(λ-10),得矩阵A 的特征值为λ1=λ2=1, λ3=10. 对于λ1=λ2=1, 解方程(A -E )x =0, 即⎪⎪⎭⎫ ⎝⎛=⎪⎪⎭⎫ ⎝⎛⎪⎪⎭⎫ ⎝⎛----000442442221321x x x , 得线性无关特征向量(-2, 1, 0)T 和(2, 0, 1)T , 将它们正交化、单位化得T 0) 1, ,2(511-=p , T 5) ,4 ,2(5312=p .对于λ3=10, 解方程(A -10E )x =0, 即⎪⎪⎭⎫⎝⎛=⎪⎪⎭⎫ ⎝⎛⎪⎪⎭⎫ ⎝⎛-------000542452228321x x x , 得特征向量(-1, -2, 2)T , 单位化得T)2 ,2 ,1(313--=p .于是有正交阵P =(p 1, p 2, p 3), 使P -1AP =diag(1, 1, 10).17. 设矩阵⎪⎪⎭⎫⎝⎛------=12422421x A 与⎪⎪⎭⎫ ⎝⎛-=Λy 45相似, 求x , y ; 并求一个正交阵P , 使P -1AP =Λ.解 已知相似矩阵有相同的特征值, 显然λ=5, λ=-4, λ=y 是Λ的特征值, 故它们也是A 的特征值. 因为λ=-4是A 的特征值, 所以0)4(9524242425|4|=-=---+---=+x x E A ,解之得x =4.已知相似矩阵的行列式相同, 因为100124242421||-=-------=A , y y2045||-=-=Λ,所以-20y =-100, y =5.对于λ=5, 解方程(A -5E )x =0, 得两个线性无关的特征向量(1, 0, -1)T , (1, -2, 0)T . 将它们正交化、单位化得T )1 ,0 ,1(211-=p , T )1 ,4 ,1(2312-=p .对于λ=-4, 解方程(A +4E )x =0, 得特征向量(2, 1, 2)T , 单位化得T )2 ,1 ,2(313=p .于是有正交矩阵⎪⎪⎪⎪⎪⎪⎭⎫⎝⎛--=23132212343102313221P , 使P -1AP =Λ. 18. 设3阶方阵A 的特征值为λ1=2, λ2=-2, λ3=1; 对应的特征向量依次为p 1=(0, 1, 1)T , p 2=(1, 1, 1)T , p 3=(1, 1, 0)T , 求A .解 令P =(p 1, p 2, p 3), 则P -1AP =diag(2, -2, 1)=Λ, A =P ΛP -1. 因为⎪⎪⎭⎫ ⎝⎛---=⎪⎪⎭⎫ ⎝⎛=--11011101101111111011P ,所以⎪⎪⎭⎫ ⎝⎛---⎪⎪⎭⎫ ⎝⎛-⎪⎪⎭⎫ ⎝⎛=Λ=-1101110111000200020111111101P P A ⎪⎪⎪⎭⎫⎝⎛------=244354332. 19. 设3阶对称阵A 的特征值为λ1=1, λ2=-1, λ3=0; 对应λ1、λ2的特征向量依次为p 1=(1, 2, 2)T , p 2=(2, 1, -2)T , 求A .解 设⎪⎪⎭⎫⎝⎛=653542321x x x x x x x x x A , 则A p 1=2p 1, A p 2=-2p 2, 即⎪⎩⎪⎨⎧=++=++=++222222122653542321x x x x x x x x x , ---① ⎪⎩⎪⎨⎧=-+-=-+-=-+222122222653542321x x x x x x x x x . ---② 再由特征值的性质, 有x 1+x 4+x 6=λ1+λ2+λ3=0. ---③由①②③解得612131x x --=, 6221x x =, 634132x x -=,642131x x -=, 654132x x +=. 令x 6=0, 得311-=x , x 2=0, 323=x , 314=x , 325=x . 因此⎪⎪⎭⎫ ⎝⎛-=022********A . 20. 设3阶对称矩阵A 的特征值λ1=6, λ2=3, λ3=3, 与特征值λ1=6对应的特征向量为p 1=(1, 1, 1)T , 求A .解 设⎪⎪⎭⎫ ⎝⎛=653542321x x x x x x x x x A . 因为λ1=6对应的特征向量为p 1=(1, 1, 1)T , 所以有⎪⎪⎭⎫ ⎝⎛=⎪⎪⎭⎫ ⎝⎛1116111A , 即⎪⎩⎪⎨⎧=++=++=++666653542321x x x x x x x x x ---①. λ2=λ3=3是A 的二重特征值, 根据实对称矩阵的性质定理知R (A -3E )=1. 利用①可推出⎪⎪⎭⎫⎝⎛--⎪⎪⎭⎫ ⎝⎛---=-331113333653542653542321~x x x x x x x x x x x x x x x E A .因为R (A -3E )=1, 所以x 2=x 4-3=x 5且x 3=x 5=x 6-3, 解之得x 2=x 3=x 5=1, x 1=x 4=x 6=4.因此⎪⎪⎭⎫⎝⎛=411141114A .21. 设a =(a 1, a 2, ⋅⋅⋅, a n )T , a 1≠0, A =aa T .(1)证明λ=0是A 的n -1重特征值;证明 设λ是A 的任意一个特征值, x 是A 的对应于λ的特征向量, 则有 A x =λx ,λ2x =A 2x =aa T aa T x =a T a A x =λa T ax , 于是可得λ2=λa T a , 从而λ=0或λ=a T a .设λ1, λ2, ⋅ ⋅ ⋅, λn 是A 的所有特征值, 因为A =aa T 的主对角线性上的元素为a 12, a 22, ⋅ ⋅ ⋅, a n 2, 所以a 12+a 22+ ⋅ ⋅ ⋅ +a n 2=a T a =λ1+λ2+ ⋅ ⋅ ⋅ +λn ,这说明在λ1, λ2, ⋅ ⋅ ⋅, λn 中有且只有一个等于a T a , 而其余n -1个全为0, 即λ=0是A 的n -1重特征值.(2)求A 的非零特征值及n 个线性无关的特征向量. 解 设λ1=a T a , λ2= ⋅ ⋅ ⋅ =λn =0.因为A a =aa T a =(a T a )a =λ1a , 所以p 1=a 是对应于λ1=a T a 的特征向量.对于λ2= ⋅ ⋅ ⋅ =λn =0, 解方程A x =0, 即aa T x =0. 因为a ≠0, 所以a T x =0, 即a 1x 1+a 2x 2+ ⋅ ⋅ ⋅ +a n x n =0, 其线性无关解为p 2=(-a 2, a 1, 0, ⋅⋅⋅, 0)T , p 3=(-a 3, 0, a 1, ⋅⋅⋅, 0)T ,⋅ ⋅ ⋅,p n =(-a n , 0, 0, ⋅⋅⋅, a 1)T .因此n 个线性无关特征向量构成的矩阵为⎪⎪⎪⎭⎫ ⎝⎛⋅⋅⋅⋅⋅⋅⋅⋅⋅⋅⋅⋅⋅⋅⋅⋅⋅⋅-⋅⋅⋅-=⋅⋅⋅112212100), , ,(a a a aa a a nn n p p p . 22. 设⎪⎪⎭⎫⎝⎛-=340430241A , 求A 100.解 由)5)(5)(1(340430241||+---=----=-λλλλλλλE A ,得A 的特征值为λ1=1, λ2=5, λ3=-5.对于λ1=1, 解方程(A -E )x =0, 得特征向量p 1=(1, 0, 0)T . 对于λ1=5, 解方程(A -5E )x =0, 得特征向量p 2=(2, 1, 2)T . 对于λ1=-5, 解方程(A +5E )x =0, 得特征向量p 3=(1, -2, 1)T . 令P =(p 1, p 2, p 3), 则P -1AP =diag(1, 5, -5)=Λ, A =P ΛP -1, A 100=P Λ100P -1. 因为Λ100=diag(1, 5100, 5100),⎪⎪⎭⎫ ⎝⎛--=⎪⎪⎭⎫ ⎝⎛-=--1202105055112021012111P , 所以⎪⎪⎭⎫ ⎝⎛--⎪⎪⎭⎫ ⎝⎛⎪⎪⎭⎫ ⎝⎛-=12021050555112021012151100100100A ⎪⎪⎭⎫⎝⎛-=1001001005000501501.23. 在某国, 每年有比例为p 的农村居民移居城镇, 有比例为q 的城镇居民移居农村, 假设该国总人口数不变, 且上述人口迁移的规律也不变. 把n 年后农村人口和城镇人口占总人口的比例依次记为x n 和y n (x n +y n =1).(1)求关系式⎪⎭⎫ ⎝⎛=⎪⎭⎫ ⎝⎛++n n n n y x A y x 11中的矩阵A ;解 由题意知x n +1=x n +qy n -px n =(1-p )x n +qy n , y n +1=y n +px n -qy n = px n +(1-q )y n , 可用矩阵表示为⎪⎭⎫ ⎝⎛⎪⎭⎫ ⎝⎛--=⎪⎭⎫ ⎝⎛++n n n n y x q p q p y x 1111,因此⎪⎭⎫⎝⎛--=q p q p A 11.(2)设目前农村人口与城镇人口相等, 即⎪⎭⎫ ⎝⎛=⎪⎭⎫ ⎝⎛5.05.000y x , 求⎪⎭⎫ ⎝⎛n n y x .解 由⎪⎭⎫ ⎝⎛=⎪⎭⎫ ⎝⎛++n n n n y x A y x 11可知⎪⎭⎫ ⎝⎛=⎪⎭⎫ ⎝⎛00y x A y x n n n . 由)1)(1(11||q p q p qp E A ++--=----=-λλλλλ,得A 的特征值为λ1=1, λ2=r , 其中r =1-p -q .对于λ1=1, 解方程(A -E )x =0, 得特征向量p 1=(q , p )T . 对于λ1=r , 解方程(A -rE )x =0, 得特征向量p 2=(-1, 1)T .令⎪⎭⎫⎝⎛-==11) ,(21p q P p p , 则P -1AP =diag(1, r )=Λ, A =P ΛP -1, A n =P Λn P -1. 于是11100111-⎪⎭⎫ ⎝⎛-⎪⎭⎫ ⎝⎛⎪⎭⎫ ⎝⎛-=p q r p q A nn⎪⎭⎫⎝⎛-⎪⎭⎫ ⎝⎛⎪⎭⎫ ⎝⎛-+=q p r p q q p n 11001111 ⎪⎭⎫ ⎝⎛+--++=n n n n qr p pr p qr q pr q q p 1, ⎪⎭⎫ ⎝⎛⎪⎭⎫ ⎝⎛+--++=⎪⎭⎫ ⎝⎛5.05.01n n n n n n qr p pr p qr q pr q q p y x ⎪⎭⎫ ⎝⎛-+-++=n n r p q p r q p q q p )(2)(2)(21.24. (1)设⎪⎭⎫ ⎝⎛--=3223A , 求ϕ(A )=A 10-5A 9; 解 由)5)(1(3223||--=----=-λλλλλE A ,得A 的特征值为λ1=1, λ2=5.对于λ1=1, 解方程(A -E )x =0, 得单位特征向量T )1 ,1(21. 对于λ1=5, 解方程(A -5E )x =0, 得单位特征向量T )1 ,1(21-.于是有正交矩阵⎪⎭⎫ ⎝⎛-=111121P , 使得P -1AP =diag(1, 5)=Λ, 从而A =P ΛP -1, A k =P Λk P -1. 因此ϕ(A )=P ϕ(Λ)P -1=P (Λ10-5Λ9)P -1 =P [diag(1, 510)-5diag(1, 59)]P -1 =P diag(-4, 0)P -1⎪⎭⎫ ⎝⎛-⎪⎭⎫ ⎝⎛-⎪⎭⎫ ⎝⎛-=1111210004111121⎪⎭⎫ ⎝⎛-=⎪⎭⎫ ⎝⎛----=111122222.(2)设⎪⎪⎭⎫⎝⎛=122221212A , 求ϕ(A )=A 10-6A 9+5A 8.解 求得正交矩阵为⎪⎪⎪⎭⎫ ⎝⎛---=20223123161P , 使得P -1AP =diag(-1, 1, 5)=Λ, A =P ΛP -1. 于是 ϕ(A )=P ϕ(Λ)P -1=P (Λ10-6Λ9+5Λ8)P -1 =P [Λ8(Λ-E )(Λ-5E )]P -1=P diag(1, 1, 58)diag(-2, 0, 4)diag(-6, -4, 0)P -1 =P diag(12, 0, 0)P -1⎪⎪⎭⎫ ⎝⎛---⎪⎪⎭⎫ ⎝⎛⎪⎪⎪⎭⎫ ⎝⎛---=222033211001220223123161 ⎪⎪⎭⎫⎝⎛----=4222112112.25. 用矩阵记号表示下列二次型: (1) f =x 2+4xy +4y 2+2xz +z 2+4yz ;解⎪⎪⎭⎫⎝⎛⎪⎪⎭⎫ ⎝⎛=z y x z y x f 121242121) , ,(.(2) f =x 2+y 2-7z 2-2xy -4xz -4yz ; 解⎪⎪⎭⎫⎝⎛⎪⎪⎭⎫ ⎝⎛-------=z y x z y x f 722211211) , ,(.(3) f =x 12+x 22+x 32+x 42-2x 1x 2+4x 1x 3-2x 1x 4+6x 2x 3-4x 2x 4.解⎪⎪⎪⎭⎫ ⎝⎛⎪⎪⎪⎭⎫⎝⎛------=432143211021013223111211) , , ,(x x x x x x x x f . 26. 写出下列二次型的矩阵: (1)x x x ⎪⎭⎫ ⎝⎛=1312)(T f ; 解 二次型的矩阵为⎪⎪⎭⎫⎝⎛=1222A . (2)x x x ⎪⎪⎭⎫ ⎝⎛=987654321)(T f .解 二次型的矩阵为⎪⎪⎪⎭⎫⎝⎛=975753531A .27. 求一个正交变换将下列二次型化成标准形: (1) f =2x 12+3x 22+3x 33+4x 2x 3;解 二次型的矩阵为⎪⎪⎭⎫⎝⎛=320230002A . 由)1)(5)(2(320230002λλλλλλλ---=---=-E A ,得A 的特征值为λ1=2, λ2=5, λ3=1. 当λ1=2时, 解方程(A -2E )x =0, 由⎪⎪⎭⎫ ⎝⎛⎪⎪⎭⎫ ⎝⎛=-0001002101202100002~E A ,得特征向量(1, 0, 0)T . 取p 1=(1, 0, 0)T . 当λ2=5时, 解方程(A -5E )x =0, 由⎪⎪⎭⎫⎝⎛-⎪⎪⎭⎫ ⎝⎛---=-0001100012202200035~E A ,得特征向量(0, 1, 1)T . 取T )21 ,21,0(2=p .当λ3=1时, 解方程(A -E )x =0, 由⎪⎪⎭⎫ ⎝⎛⎪⎪⎭⎫ ⎝⎛=-000110001220220001~E A ,得特征向量(0, -1, 1)T . 取T )21 ,21 ,0(3-=p .于是有正交矩阵T =(p 1, p 2, p 3)和正交变换x =T y , 使f =2y 12+5y 22+y 32.(2) f =x 12+x 22+x 32+x 42+2x 1x 2-2x 1x 4-2x 2x 3+2x 3x 4.解 二次型矩阵为⎪⎪⎪⎭⎫⎝⎛----=1101111001111011A . 由2)1)(3)(1(1101111001111011--+=--------=-λλλλλλλλE A ,得A 的特征值为λ1=-1, λ2=3, λ3=λ4=1.当λ1=-1时, 可得单位特征向量T )21 ,21 ,21 ,21(1--=p .当λ2=3时, 可得单位特征向量T)21 ,21 ,21 ,21(2--=p .当λ3=λ4=1时, 可得线性无关的单位特征向量T )0 ,21 ,0 ,21(3=p , T )21 ,0 ,21 ,0(4=p .于是有正交矩阵T =( p 1, p 2, p 3, p 4)和正交变换x =T y , 使f =-y 12+3y 22+y 32+y 42.28. 求一个正交变换把二次曲面的方程3x 2+5y 2+5z 2+4xy -4xz -10yz =1化成标准方程.解 二次型的矩阵为⎪⎪⎭⎫⎝⎛----=552552223A .由)11)(2(552552223||---=-------=-λλλλλλλE A , 得A 的特征值为λ1=2,λ2=11, λ3=0, .对于λ1=2, 解方程(A -2E )x =0, 得特征向量(4, -1, 1)T , 单位化得)231 ,231 ,234(1-=p .对于λ2=11, 解方程(A -11E )x =0, 得特征向量(1, 2, -2)T , 单位化得)32 ,32 ,31(2-=p .对于λ3=0, 解方程A x =0, 得特征向量(0, 1, 1)T , 单位化得)21 ,21,0(3=p . 于是有正交矩阵P =(p 1, p 2, p 3), 使P -1AP =diag(2, 11, 0), 从而有正交变换⎪⎪⎭⎫ ⎝⎛⎪⎪⎪⎪⎪⎪⎭⎫⎝⎛--=⎪⎪⎭⎫ ⎝⎛w v u z y x 21322312132231031234,使原二次方程变为标准方程2u 2+11v 2=1.29. 明: 二次型f =x T A x 在||x ||=1时的最大值为矩阵A 的最大特征值. 证明 A 为实对称矩阵, 则有一正交矩阵T , 使得TAT -1=diag(λ1, λ2, ⋅ ⋅ ⋅, λn )=Λ成立, 其中λ1, λ2, ⋅ ⋅ ⋅, λn 为A 的特征值, 不妨设λ1最大. 作正交变换y =T x , 即x =T T y , 注意到T -1=T T , 有 f =x T A x =y T TAT T y =y T Λy =λ1y 12+λ2y 22+ ⋅ ⋅ ⋅ +λn y n 2. 因为y =T x 正交变换, 所以当||x ||=1时, 有||y ||=||x ||=1, 即y 12+y 22+ ⋅ ⋅ ⋅ +y n 2=1.因此f =λ1y 12+λ2y 22+ ⋅ ⋅ ⋅ +λn y n 2≤λ1,又当y 1=1, y 2=y 3=⋅ ⋅ ⋅=y n =0时f =λ1, 所以f max =λ1.30. 用配方法化下列二次形成规范形, 并写出所用变换的矩阵. (1) f (x 1, x 2, x 3)=x 12+3x 22+5x 32+2x 1x 2-4x 1x 3; 解 f (x 1, x 2, x 3)=x 12+3x 22+5x 32+2x 1x 2-4x 1x 3=(x 1+x 2-2x 3)2+4x 2x 3+2x 22+x 32 =(x 1+x 2-2x 3)2-2x 22+(2x 2+x 3)2.令 ⎪⎩⎪⎨⎧+==-+=323223211222x x y x y x x x y , 即⎪⎪⎩⎪⎪⎨⎧+-==+-=323223211221225y y x y x y y y x , 二次型化为规范形f =y 12-y 22+y 32,所用的变换矩阵为⎪⎪⎪⎪⎪⎭⎫⎝⎛--=12002102251C .(2) f (x 1, x 2, x 3)=x 12+2x 32+2x 1x 3+2x 2x 3; 解 f (x 1, x 2, x 3)=x 12+2x 32+2x 1x 3+2x 2x 3 =(x 1+x 3)2+x 32+2x 2x 3; =(x 1+x 3)2-x 22+(x 2+x 3)2.令 ⎪⎩⎪⎨⎧+==+=32322311x x y x y x x y , 即⎪⎩⎪⎨⎧+-==-+=323223211y y x y x y y y x ,二次型化为规范形f =y 12-y 22+y 32,所用的变换矩阵为⎪⎪⎭⎫ ⎝⎛--=110010111C .(3) f (x 1, x 2, x 3)=2x 12+x 22+4x 32+2x 1x 2-2x 2x 3. 解 f (x 1, x 2, x 3)=2x 12+x 22+4x 32+2x 1x 2-2x 2x 3.3223222212421)21(2x x x x x x -+++=232322212)2(21)21(2x x x x x +-++=.令 ⎪⎪⎩⎪⎪⎨⎧=-=+=333222112)2(21)21(2x y x x y x x y , 即⎪⎪⎩⎪⎪⎨⎧=+=--=33322321121222212121y x y y x yy y x , 二次型化为规范形f =y 12+y 22+y 32,所用的变换矩阵为⎪⎪⎭⎫ ⎝⎛--=10022011121C . 31. 设f =x 12+x 22+5x 32+2ax 1x 2-2x 1x 3+4x 2x 3为正定二次型, 求a .解 二次型的矩阵为⎪⎪⎭⎫⎝⎛--=5212111a a A , 其主子式为a 11=1, 2111a a a -=, )45(5212111+-=--a a a a .因为f 为正主二次型, 所以必有1-a 2>0且-a (5a +4)>0, 解之得054<<-a .32. 判别下列二次型的正定性: (1) f =-2x 12-6x 22-4x 32+2x 1x 2+2x 1x 3;解 二次型的矩阵为⎪⎪⎭⎫⎝⎛---=401061112A . 因为0211<-=a , 0116112>=--, 038||<-=A ,所以f 为负定.(2) f =x 12+3x 22+9x 32+19x 42-2x 1x 2+4x 1x 3+2x 1x 4-6x 2x 4-12x 3x 4.解 二次型的矩阵为⎪⎪⎪⎭⎫⎝⎛------=19631690230311211A . 因为 0111>=a , 043111>=--, 06902031211>=--, 024>=A ,所以f 为正定.33. 证明对称阵A 为正定的充分必要条件是: 存在可逆矩阵U , 使A =U T U , 即A 与单位阵E 合同.证明 因为对称阵A 为正定的, 所以存在正交矩阵P 使P T AP =diag(λ1, λ2, ⋅ ⋅ ⋅, λn )=Λ, 即A =P ΛP T ,其中λ1, λ2, ⋅ ⋅ ⋅, λn 均为正数. 令), , ,diag(211n λλλ⋅⋅⋅=Λ, 则Λ=Λ1Λ1, A =P Λ1Λ1T P T .再令U =Λ1T P T , 则U 可逆, 且A =U T U .。
第五章 相似矩阵及二次型1.试用施密特法把下列向量组正交化:(1) ⎪⎪⎪⎭⎫⎝⎛=931421111),,(321a a a ; (2) ⎪⎪⎪⎪⎭⎫⎝⎛---=011101110111),,(321a a a 解 (1) 根据施密特正交化方法:令⎪⎪⎪⎭⎫ ⎝⎛==11111a b , [][]⎪⎪⎪⎭⎫ ⎝⎛-=-=101,,1112122b b b a b a b , [][][][]⎪⎪⎪⎭⎫ ⎝⎛-=--=12131,,,,222321113133b b b a b b b b a b a b ,故正交化后得: ⎪⎪⎪⎪⎪⎪⎭⎫ ⎝⎛--=311132013111),,(321b b b .(2) 根据施密特正交化方法:令⎪⎪⎪⎪⎭⎫ ⎝⎛-==110111a b ; [][]⎪⎪⎪⎪⎭⎫ ⎝⎛-=-=123131,,1112122b b b a b a b , [][][][]⎪⎪⎪⎪⎭⎫⎝⎛-=--=433151,,,,222321113133b b b a b b b b a b a b 故正交化后得 ⎪⎪⎪⎪⎪⎪⎪⎪⎪⎭⎫⎝⎛---=5431153321531051311),,(321b b b2.下列矩阵是不是正交矩阵?并说明理由:(1) ⎪⎪⎪⎪⎪⎪⎭⎫⎝⎛---121312112131211; (2) ⎪⎪⎪⎪⎪⎪⎭⎫ ⎝⎛------979494949198949891. 解 (1) 第一个行向量非单位向量,故不是正交阵.(2) 该方阵每一个行向量均是单位向量,且两两正交,故为正交阵.3. 设x 为n 维列向量, x T x =1, 令H =E -2xx T , 证明H 是对称的正交阵. 证明 因为H T =(E -2xx T )T =E -2(xx T )T =E -2(xx T )T =E -2(x T )T x T =E -2xx T ,所以H 是对称矩阵. 因为H T H =HH =(E -2xx T )(E -2xx T ) =E -2xx T -2xx T +(2xx T )(2xx T ) =E -4xx T +4x (x T x )x T =E -4xx T +4xx T =E , 所以H 是正交矩阵.4.设A 与B 都是n 阶正交阵,证明AB 也是正交阵. 证明 因为B A ,是n 阶正交阵,故A AT =-1,B B T =-1E AB A B AB A B AB AB T T T===--11)()(故AB 也是正交阵.5.求下列矩阵的特征值和特征向量:(1)⎪⎭⎫⎝⎛-4211; (2)⎪⎪⎪⎭⎫ ⎝⎛633312321; (3)())0(,12121≠⎪⎪⎪⎪⎭⎫ ⎝⎛a a a a a a a n nΛM .并问它们的特征向量是否两两正交? 解 (1) ① )3)(2(4211--=---=-λλλλλE A . 故A 的特征值为3,221==λλ.② 当21=λ时,解方程0)2(=-x E A ,由⎪⎭⎫ ⎝⎛⎪⎭⎫ ⎝⎛--=-00112211)2(~E A 得基础解系⎪⎭⎫⎝⎛-=111P所以)0(111≠k P k 是对应于21=λ的全部特征值向量. 当32=λ时,解方程0)3(=-x E A ,由⎪⎭⎫ ⎝⎛⎪⎭⎫ ⎝⎛--=-00121212)3(~E A 得基础解系⎪⎪⎭⎫ ⎝⎛-=1212P 所以)0(222≠k P k 是对应于33=λ的全部特征向量.③ 023121)1,1(],[2121≠=⎪⎪⎭⎫ ⎝⎛--==P P P P T 故21,P P 不正交.(2) ① )9)(1(633312321-+-=---=-λλλλλλλE A . 故A 的特征值为9,1,0321=-==λλλ. ② 当01=λ时,解方程0=Ax ,由⎪⎪⎪⎭⎫ ⎝⎛⎪⎪⎪⎭⎫ ⎝⎛=000110321633312321~A 得基础解系⎪⎪⎪⎭⎫ ⎝⎛--=1111P故)0(111≠k P k 是对应于01=λ的全部特征值向量. 当12-=λ时,解方程0)(=+x E A ,由⎪⎪⎪⎭⎫ ⎝⎛⎪⎪⎪⎭⎫ ⎝⎛=+000100322733322322~E A 得基础解系⎪⎪⎪⎭⎫ ⎝⎛-=0112P故)0(222≠k P k 是对应于12-=λ的全部特征值向量 当93=λ时,解方程0)9(=-x E A ,由⎪⎪⎪⎪⎭⎫ ⎝⎛--⎪⎪⎪⎭⎫ ⎝⎛---=-00021101113333823289~E A 得基础解系⎪⎪⎪⎪⎪⎪⎭⎫⎝⎛=121213P故)0(333≠k P k 是对应于93=λ的全部特征值向量.③ 0011)1,1,1(],[2121=⎪⎪⎪⎭⎫⎝⎛---==P P P P T , 012121)0,1,1(],[3232=⎪⎪⎪⎪⎪⎪⎭⎫ ⎝⎛-==P P P P T , 012121)1,1,1(],[3131=⎪⎪⎪⎪⎪⎪⎭⎫ ⎝⎛--==P P P P T, 所以321,,P P P 两两正交.(3) λλλλ---=-2212221212121n n n n na a a a a a a a a a a a a a a E A ΛMO M M ΛΛ=)(222211n n n a a a +++--Λλλ[])(222211n n a a a +++-=-Λλλ∑==+++=∴ni i na a a a 12222211Λλ, 032====n λλλΛ当∑==ni ia121λ时,()E A λ-⎪⎪⎪⎪⎭⎫⎝⎛------------=-212221212223211212122322n n n n nnn a a a a a a a a a a a a a a a a a a a a a ΛΛMO M M ΛΛΛΛ初等行变换~⎪⎪⎪⎪⎪⎭⎫⎝⎛----000000000121ΛΛM M O M M ΛΛn n n n a a a a a a取n x 为自由未知量,并令n n a x =,设112211,,--===n n a x a x a x Λ.故基础解系为⎪⎪⎪⎪⎭⎫ ⎝⎛=n a a a P M 211当032====n λλλΛ时,()⎪⎪⎪⎪⎭⎫⎝⎛=⋅-22122212121210n n n n n a a a a a a a a a a a a a a a E A ΛM M M ΛΛ⎪⎪⎭⎫ ⎝⎛00000021~ΛM M M ΛΛn a a a 初等行变换 可得基础解系 ⎪⎪⎪⎪⎪⎭⎫ ⎝⎛-=⎪⎪⎪⎪⎪⎭⎫⎝⎛-=⎪⎪⎪⎪⎪⎭⎫ ⎝⎛-=112312200,,00,00a a P a a P a a P n n M ΛM M综上所述可知原矩阵的特征向量为 ()⎪⎪⎪⎪⎭⎫ ⎝⎛--=112212100,,,a a a a a a a P P P n n n ΛM M M ΛΛΛ6. 设A 为n 阶矩阵, 证明A T 与A 的特征值相同. 证明 因为|A T -λE |=|(A -λE )T |=|A -λE |T =|A -λE |,所以A T 与A 的特征多项式相同, 从而A T 与A 的特征值相同.7. 设n 阶矩阵A 、B 满足R (A )+R (B )<n , 证明A 与B 有公共的特征值, 有公共的特征向量.证明 设R (A )=r , R (B )=t , 则r +t <n .若a 1, a 2, ⋅⋅⋅, a n -r 是齐次方程组A x =0的基础解系, 显然它们是A 的对应于特征值λ=0的线性无关的特征向量.类似地, 设b 1, b 2, ⋅⋅⋅, b n -t 是齐次方程组B x =0的基础解系, 则它们是B 的对应于特征值λ=0的线性无关的特征向量.由于(n-r)+(n-t)=n+(n-r-t)>n,故a1,a2,⋅⋅⋅,a n-r,b1,b2,⋅⋅⋅,b n-t必线性相关.于是有不全为0的数k1,k2,⋅⋅⋅,k n-r,l1,l2,⋅⋅⋅,l n-t,使k1a1+k2a2+⋅⋅⋅+k n-r a n-r+l1b1+l2b2+⋅⋅⋅+l n-r b n-r=0.记γ=k1a1+k2a2+⋅⋅⋅+k n-r a n-r=-(l1b1+l2b2+⋅⋅⋅+l n-r b n-r),则k1,k2,⋅⋅⋅,k n-r不全为0,否则l1,l2,⋅⋅⋅,l n-t不全为0,而l1b1+l2b2+⋅⋅⋅+l n-r b n-r=0,与b1,b2,⋅⋅⋅,b n-t线性无关相矛盾.因此,γ≠0,γ是A的也是B的关于λ=0的特征向量,所以A与B有公共的特征值,有公共的特征向量.8.设A2-3A+2E=O,证明A的特征值只能取1或2.证明设λ是A的任意一个特征值,x是A的对应于λ的特征向量,则(A2-3A+2E)x=λ2x-3λx+2x=(λ2-3λ+2)x=0.因为x≠0,所以λ2-3λ+2=0,即λ是方程λ2-3λ+2=0的根,也就是说λ=1或λ=2.9.设A为正交阵,且|A|=-1,证明λ=-1是A的特征值.证明因为A为正交矩阵,所以A的特征值为-1或1.因为|A|等于所有特征值之积,又|A|=-1,所以必有奇数个特征值为-1,即λ=-1是A的特征值.10.设λ≠0是m阶矩阵A m⨯n B n⨯m的特征值,证明λ也是n阶矩阵BA的特征值.证明设x是AB的对应于λ≠0的特征向量,则有(AB)x=λx,于是B(AB)x=B(λx),或BA(B x)=λ(B x),从而λ是BA 的特征值, 且B x 是BA 的对应于λ的特征向量.11. 已知3阶矩阵A 的特征值为1, 2, 3, 求|A 3-5A 2+7A |.解 令ϕ(λ)=λ3-5λ2+7λ, 则ϕ(1)=3, ϕ(2)=2, ϕ(3)=3是ϕ(A )的特征值, 故 |A 3-5A 2+7A |=|ϕ(A )|=ϕ(1)⋅ϕ(2)⋅ϕ(3)=3⨯2⨯3=18.12. 已知3阶矩阵A 的特征值为1, 2, -3, 求|A *+3A +2E |. 解 因为|A |=1⨯2⨯(-3)=-6≠0, 所以A 可逆, 故 A *=|A |A -1=-6A -1, A *+3A +2E =-6A -1+3A +2E .令ϕ(λ)=-6λ-1+3λ2+2, 则ϕ(1)=-1, ϕ(2)=5, ϕ(-3)=-5是ϕ(A )的特征值, 故|A *+3A +2E |=|-6A -1+3A +2E |=|ϕ(A )|=ϕ(1)⋅ϕ(2)⋅ϕ(-3)=-1⨯5⨯(-5)=25.13.设B A ,都是n 阶方阵,且0≠A ,证明AB 与BA 相似. 证明 0≠A 则A 可逆BA BA A A A AB A ==--))(()(11 则AB 与BA 相似.14. 设矩阵⎪⎪⎭⎫⎝⎛=50413102x A 可相似对角化, 求x .解 由)6()1(50413102||2---=---=-λλλλλλx E A ,得A 的特征值为λ1=6, λ2=λ3=1.因为A 可相似对角化, 所以对于λ2=λ3=1, 齐次线性方程组(A -E )x =0有两个线性无关的解, 因此R (A -E )=1. 由⎪⎪⎭⎫ ⎝⎛-⎪⎪⎭⎫ ⎝⎛=-00030010140403101)(~x x E A r知当x =3时R (A -E )=1, 即x =3为所求.15. 已知p =(1, 1, -1)T是矩阵⎪⎪⎭⎫⎝⎛---=2135212b a A 的一个特征向量.(1)求参数a , b 及特征向量p 所对应的特征值; 解 设λ是特征向量p 所对应的特征值, 则 (A -λE )p =0, 即⎪⎪⎭⎫ ⎝⎛=⎪⎪⎭⎫ ⎝⎛-⎪⎪⎭⎫ ⎝⎛------0001112135212λλλb a ,解之得λ=-1, a =-3, b =0.(2)问A 能不能相似对角化?并说明理由. 解 由3)1(201335212||--=-------=-λλλλλE A ,得A 的特征值为λ1=λ2=λ3=1. 由⎪⎪⎭⎫ ⎝⎛-⎪⎪⎭⎫ ⎝⎛----=-00011010111325211~r b E A知R (A -E )=2, 所以齐次线性方程组(A -E )x =0的基础解系只有一个解向量.因此A 不能相似对角化.16.试求一个正交的相似变换矩阵,将下列对称矩阵化为对角矩阵:(1)⎪⎪⎪⎭⎫ ⎝⎛----020212022; (2)⎪⎪⎪⎭⎫ ⎝⎛----542452222. 解 (1) λλλλ-------=-20212022E A )2)(4)(1(+--=λλλ故得特征值为4,1,2321==-=λλλ. 当21-=λ时,由0220232024321=⎪⎪⎪⎭⎫⎝⎛⎪⎪⎪⎭⎫ ⎝⎛----x x x . 解得 ⎪⎪⎪⎭⎫ ⎝⎛=⎪⎪⎪⎭⎫ ⎝⎛2211321k x x x . 单位特征向量可取:⎪⎪⎪⎭⎫ ⎝⎛=3232311P 当12=λ时,由0120202021321=⎪⎪⎪⎭⎫ ⎝⎛⎪⎪⎪⎭⎫ ⎝⎛-----x x x . 解得⎪⎪⎪⎭⎫ ⎝⎛-=⎪⎪⎪⎭⎫ ⎝⎛2122321k x x x . 单位特征向量可取: ⎪⎪⎪⎭⎫ ⎝⎛-=3231322P 当43=λ时,由0420232022321=⎪⎪⎪⎭⎫ ⎝⎛⎪⎪⎪⎭⎫ ⎝⎛-------x x x . 解得⎪⎪⎪⎭⎫ ⎝⎛-=⎪⎪⎪⎭⎫ ⎝⎛1223321k x x x . 单位特征向量可取: ⎪⎪⎪⎭⎫ ⎝⎛-=3132323P得正交阵 ⎪⎪⎪⎭⎫ ⎝⎛--==12221222131),,(321P P P P . ⎪⎪⎪⎭⎫ ⎝⎛-=-4000100021AP P (2) ⎪⎪⎪⎭⎫ ⎝⎛-------=-λλλλ542452222E A )10()1(2---=λλ, 故得特征值为10,1321===λλλ当121==λλ时,由⎪⎪⎪⎭⎫ ⎝⎛=⎪⎪⎪⎭⎫ ⎝⎛⎪⎪⎪⎭⎫ ⎝⎛----000442442221321x x x . 解得 ⎪⎪⎪⎭⎫⎝⎛+⎪⎪⎪⎭⎫ ⎝⎛-=⎪⎪⎪⎭⎫ ⎝⎛10201221321k k x x x 此二个向量正交,单位化后,得两个单位正交的特征向量⎪⎪⎪⎭⎫ ⎝⎛-=012511P ; ⎪⎪⎪⎭⎫ ⎝⎛=⎪⎪⎪⎭⎫ ⎝⎛---⎪⎪⎪⎭⎫ ⎝⎛-=*15452012540122P 单位化得 ⎪⎪⎪⎭⎫⎝⎛=15452352P 当103=λ时,由⎪⎪⎪⎭⎫ ⎝⎛=⎪⎪⎪⎭⎫ ⎝⎛⎪⎪⎪⎭⎫ ⎝⎛-------000542452228321x x x . 解得⎪⎪⎪⎭⎫ ⎝⎛--=⎪⎪⎪⎭⎫ ⎝⎛2213321k x x x . 单位化⎪⎪⎪⎭⎫⎝⎛--=221313P . 得正交阵),,(321P P P ⎪⎪⎪⎪⎪⎪⎪⎭⎫⎝⎛---=323503215545131155252. ⎪⎪⎪⎭⎫⎝⎛=-1000100011AP P . 17.设矩阵⎪⎪⎪⎭⎫ ⎝⎛------=12422421x A 与⎪⎪⎪⎭⎫ ⎝⎛-=Λy 00040005相似,求y x ,;并求一个正交阵P ,使Λ=-AP P 1.解 方阵A 与Λ相似,则A 与Λ的特征多项式相同,即E E A λλ-Λ=-λλλ---------⇒12422421x λλλ----=4000005y ⎩⎨⎧==⇒54y x .18. 设3阶方阵A 的特征值为λ1=2, λ2=-2, λ3=1; 对应的特征向量依次为p 1=(0, 1, 1)T , p 2=(1, 1, 1)T , p 3=(1, 1, 0)T , 求A .解 令P =(p 1, p 2, p 3), 则P -1AP =diag(2, -2, 1)=Λ, A =P ΛP -1. 因为⎪⎪⎭⎫ ⎝⎛---=⎪⎪⎭⎫ ⎝⎛=--11011101101111111011P ,所以 ⎪⎪⎭⎫ ⎝⎛---⎪⎪⎭⎫ ⎝⎛-⎪⎪⎭⎫ ⎝⎛=Λ=-1101110111000200020111111101P P A ⎪⎪⎭⎫⎝⎛------=244354331.19. 设3阶对称阵A 的特征值为λ1=1, λ2=-1, λ3=0; 对应λ1、λ2的特征向量依次为p 1=(1, 2, 2)T , p 2=(2, 1, -2)T , 求A .解 设⎪⎪⎭⎫⎝⎛=653542321x x x x x x x x x A , 则A p 1=2p 1, A p 2=-2p 2, 即⎪⎩⎪⎨⎧=++=++=++222222122653542321x x x x x x x x x , ---① ⎪⎩⎪⎨⎧=-+-=-+-=-+222122222653542321x x x x x x x x x . ---② 再由特征值的性质, 有x 1+x 4+x 6=λ1+λ2+λ3=0. ---③由①②③解得612131x x --=, 6221x x =, 634132x x -=,642131x x -=, 654132x x +=.令x 6=0, 得311-=x , x 2=0, 323=x , 314=x , 325=x .因此 ⎪⎪⎭⎫ ⎝⎛-=022********A .20.设3阶对称矩阵A 的特征值6,3,3,与特征值6对应的特征向量为)1,1,1(1TP =,求A .解 设⎪⎪⎪⎭⎫ ⎝⎛=653542321x x x x x x x x x A . 由⎪⎪⎪⎭⎫ ⎝⎛=⎪⎪⎪⎭⎫ ⎝⎛1116111A , 知① ⎪⎩⎪⎨⎧=++=++=++666653542321x x x x x x x x x3是A 的二重特征值,根据实对称矩阵的性质定理知E A 3-的秩为1,故利用 ① 可推出⎪⎪⎪⎭⎫ ⎝⎛--⎪⎪⎪⎭⎫ ⎝⎛---33111333653542653542321~x x x x x x x x x x x x x x x 秩为1. 则存在实的b a ,使得②⎩⎨⎧-=-=)3,,()1,1,1(),3,()1,1,1(653542x x x b x x x a 成立.由①②解得1,4,1564132======x x x x x x .得 ⎪⎪⎪⎭⎫ ⎝⎛=411141114A .21. 设a =(a 1, a 2, ⋅⋅⋅, a n )T , a 1≠0, A =aa T .(1)证明λ=0是A 的n -1重特征值;证明 设λ是A 的任意一个特征值, x 是A 的对应于λ的特征向量, 则有 A x =λx ,λ2x =A 2x =aa T aa T x =a T a A x =λa T ax , 于是可得λ2=λa T a , 从而λ=0或λ=a T a .设λ1, λ2, ⋅ ⋅ ⋅, λn 是A 的所有特征值, 因为A =aa T 的主对角线性上的元素为a 12, a 22, ⋅ ⋅ ⋅, a n 2, 所以a 12+a 22+ ⋅ ⋅ ⋅ +a n 2=a T a =λ1+λ2+ ⋅ ⋅ ⋅ +λn ,这说明在λ1, λ2, ⋅ ⋅ ⋅, λn 中有且只有一个等于a T a , 而其余n -1个全为0, 即λ=0是A 的n -1重特征值.(2)求A 的非零特征值及n 个线性无关的特征向量. 解 设λ1=a T a , λ2= ⋅ ⋅ ⋅ =λn =0.因为A a =aa T a =(a T a )a =λ1a , 所以p 1=a 是对应于λ1=a T a 的特征向量. 对于λ2= ⋅ ⋅ ⋅ =λn =0, 解方程A x =0, 即aa T x =0. 因为a ≠0, 所以a T x =0, 即a 1x 1+a 2x 2+ ⋅ ⋅ ⋅ +a n x n =0, 其线性无关解为p 2=(-a 2, a 1, 0, ⋅⋅⋅, 0)T , p 3=(-a 3, 0, a 1, ⋅⋅⋅, 0)T ,⋅ ⋅ ⋅,p n =(-a n , 0, 0, ⋅⋅⋅, a 1)T .因此n 个线性无关特征向量构成的矩阵为⎪⎪⎪⎭⎫ ⎝⎛⋅⋅⋅⋅⋅⋅⋅⋅⋅⋅⋅⋅⋅⋅⋅⋅⋅⋅-⋅⋅⋅-=⋅⋅⋅112212100), , ,(a a a aa a a nn n p p p . 22. 设⎪⎪⎭⎫⎝⎛-=340430241A , 求A 100.解 由)5)(5)(1(340430241||+---=----=-λλλλλλλE A ,得A 的特征值为λ1=1, λ2=5, λ3=-5.对于λ1=1, 解方程(A -E )x =0, 得特征向量p 1=(1, 0, 0)T . 对于λ1=5, 解方程(A -5E )x =0, 得特征向量p 2=(2, 1, 2)T . 对于λ1=-5, 解方程(A +5E )x =0, 得特征向量p 3=(1, -2, 1)T . 令P =(p 1, p 2, p 3), 则P -1AP =diag(1, 5, -5)=Λ, A =P ΛP -1, A 100=P Λ100P -1. 因为Λ100=diag(1, 5100, 5100), ⎪⎪⎭⎫ ⎝⎛--=⎪⎪⎭⎫ ⎝⎛-=--1202105055112021012111P , 所以⎪⎪⎭⎫ ⎝⎛--⎪⎪⎭⎫ ⎝⎛⎪⎪⎭⎫ ⎝⎛-=12021050555112021012151100100100A⎪⎪⎭⎫⎝⎛-=1001001005000501501.23. 在某国, 每年有比例为p 的农村居民移居城镇, 有比例为q 的城镇居民移居农村, 假设该国总人口数不变, 且上述人口迁移的规律也不变. 把n 年后农村人口和城镇人口占总人口的比例依次记为x n 和y n (x n +y n =1). (1)求关系式⎪⎭⎫⎝⎛=⎪⎭⎫ ⎝⎛++n n n n y x A y x 11中的矩阵A ;解 由题意知x n +1=x n +qy n -px n =(1-p )x n +qy n , y n +1=y n +px n -qy n = px n +(1-q )y n , 可用矩阵表示为⎪⎭⎫⎝⎛⎪⎭⎫ ⎝⎛--=⎪⎭⎫ ⎝⎛++n n n n y x q p q p y x 1111,因此 ⎪⎭⎫⎝⎛--=q p q p A 11.(2)设目前农村人口与城镇人口相等, 即⎪⎭⎫ ⎝⎛=⎪⎭⎫ ⎝⎛5.05.000y x , 求⎪⎭⎫ ⎝⎛n n y x . 解 由⎪⎭⎫ ⎝⎛=⎪⎭⎫ ⎝⎛++n n n n y x A y x 11可知⎪⎭⎫ ⎝⎛=⎪⎭⎫ ⎝⎛00y x A y x n n n . 由 )1)(1(11||q p q p qp E A ++--=----=-λλλλλ,得A 的特征值为λ1=1, λ2=r , 其中r =1-p -q .对于λ1=1, 解方程(A -E )x =0, 得特征向量p 1=(q , p )T . 对于λ1=r , 解方程(A -rE )x =0, 得特征向量p 2=(-1, 1)T .令⎪⎭⎫⎝⎛-==11) ,(21p q P p p , 则P -1AP =diag(1, r )=Λ, A =P ΛP -1, A n =P Λn P -1.于是 11100111-⎪⎭⎫ ⎝⎛-⎪⎭⎫⎝⎛⎪⎭⎫ ⎝⎛-=p q r p q A nn ⎪⎭⎫⎝⎛-⎪⎭⎫ ⎝⎛⎪⎭⎫ ⎝⎛-+=q p r p q q p n 11001111⎪⎭⎫ ⎝⎛+--++=n n n n qr p pr p qr q pr q q p 1, ⎪⎭⎫ ⎝⎛⎪⎭⎫ ⎝⎛+--++=⎪⎭⎫ ⎝⎛5.05.01n n n n n n qr p pr p qr q pr q q p y x ⎪⎭⎫ ⎝⎛-+-++=n n r p q p r q p q q p )(2)(2)(21.24.(1) 设⎪⎭⎫⎝⎛--=3223A ,求9105)(A A A -=ϕ;(2) 设⎪⎪⎪⎭⎫ ⎝⎛=122221212A ,求891056)(A A A A +-=ϕ.解 (1) ⎪⎭⎫⎝⎛-=3223A Θ是实对称矩阵. 故可找到正交相似变换矩阵⎪⎪⎪⎪⎭⎫⎝⎛-=21212121P . 使得 Λ=⎪⎭⎫ ⎝⎛=-50011AP P从而11,--Λ=Λ=P P A P P A k k因此 1911091055)(--Λ-Λ=-=P P PP A A A ϕ11011050055001--⎪⎭⎫ ⎝⎛-⎪⎭⎫ ⎝⎛=P P P P10004-⎪⎭⎫ ⎝⎛-=P P ⎪⎭⎫ ⎝⎛-⎪⎭⎫ ⎝⎛-⎪⎭⎫ ⎝⎛-=1111210004111121⎪⎭⎫⎝⎛-=⎪⎭⎫ ⎝⎛----=111122222.(2) 同(1)求得正交相似变换矩阵⎪⎪⎪⎪⎪⎪⎪⎭⎫ ⎝⎛---=31036312166312166P . 使得 11,500010001--Λ=Λ=⎪⎪⎪⎭⎫ ⎝⎛-=P P A AP P891056)(A A A A +-=ϕ)5)(()56(828E A E A A E A A A --=+-=⎪⎪⎪⎭⎫ ⎝⎛---⎪⎪⎪⎭⎫ ⎝⎛⋅Λ=-42223121302221121118P P ⎪⎪⎪⎭⎫ ⎝⎛----=4222112112.25.用矩阵记号表示下列二次型:(1) yz z xz y xy x f 4244222+++++=; (2) ;4427222yz xz xy z y x f ----+=(3) .46242423241312124232221x x x x x x x x x x x x x x f -+-+-+++=解 (1) ⎪⎪⎪⎭⎫ ⎝⎛⎪⎪⎪⎭⎫ ⎝⎛=z y x z y x f 121242121),,(.(2) ⎪⎪⎪⎭⎫ ⎝⎛⎪⎪⎪⎭⎫ ⎝⎛-------=z y x z y x f 722211211),,(.(3) ⎪⎪⎪⎪⎭⎫⎝⎛⎪⎪⎪⎪⎭⎫⎝⎛------=432143211021013223111211),,,(x x x x x x x x f .26. 写出下列二次型的矩阵:(1)x x x ⎪⎭⎫ ⎝⎛=1312)(T f ; 解 二次型的矩阵为⎪⎭⎫ ⎝⎛=1312A .(2)x x x ⎪⎪⎭⎫⎝⎛=987654321)(T f .解 二次型的矩阵为⎪⎪⎭⎫⎝⎛=987654321A .27.求一个正交变换将下列二次型化成标准形:(1) 322322214332x x x x x f +++=;(2) 43324121242322212222x x x x x x x x x x x x f +--++++=.解 (1) 二次型的矩阵为⎪⎪⎪⎭⎫ ⎝⎛=320230002Aλλλλ---=-320230002E A )1)(5)(2(λλλ---=故A 的特征值为1,5,2321===λλλ. 当21=λ时, 解方程0)2(=-x E A ,由⎪⎪⎪⎭⎫ ⎝⎛⎪⎪⎪⎭⎫ ⎝⎛=-0001002101202100002~E A . 得基础解系 ⎪⎪⎪⎭⎫ ⎝⎛=0011ξ. 取 ⎪⎪⎪⎭⎫ ⎝⎛=0011P当52=λ时,解方程0)5(=-x E A ,由⎪⎪⎪⎭⎫ ⎝⎛-⎪⎪⎪⎭⎫ ⎝⎛---=-0001100012202200035~E A 得基础解系 ⎪⎪⎪⎭⎫⎝⎛=1102ξ. 取 ⎪⎪⎪⎭⎫ ⎝⎛=212102P .当13=λ时,解方程0)(=-x E A ,由⎪⎪⎪⎭⎫ ⎝⎛⎪⎪⎪⎭⎫ ⎝⎛=-000110001220220001~E A 得基础解系 ⎪⎪⎪⎭⎫⎝⎛-=1103ξ. 取 ⎪⎪⎪⎭⎫ ⎝⎛-=212103P ,于是正交变换为⎪⎪⎪⎭⎫⎝⎛⎪⎪⎪⎭⎫⎝⎛-=⎪⎪⎪⎭⎫ ⎝⎛3213212121021210001y y y x x x . 且有 23222152y y y f ++=. (2) 二次型矩阵为 ⎪⎪⎪⎪⎭⎫⎝⎛----=111111001111011A λλλλλ--------=-1101111001111011E A 2)1)(3)(1(--+=λλλ,故A 的特征值为1,3,14321===-=λλλλ当11-=λ时,可得单位特征向量⎪⎪⎪⎪⎪⎪⎪⎪⎭⎫ ⎝⎛--=212121211P ,当32=λ时,可得单位特征向量⎪⎪⎪⎪⎪⎪⎪⎪⎭⎫⎝⎛--=212121212P , 当143==λλ时,可得单位特征向量⎪⎪⎪⎪⎪⎪⎭⎫ ⎝⎛=0210213P ,⎪⎪⎪⎪⎪⎪⎭⎫ ⎝⎛=2102104P .于是正交变换为 ⎪⎪⎪⎪⎭⎫ ⎝⎛⎪⎪⎪⎪⎪⎪⎪⎪⎪⎭⎫⎝⎛----=⎪⎪⎪⎪⎭⎫ ⎝⎛432143212102121021212121021210212121y y y y x x x x 且有242322213y y y y f +++-=.28. 求一个正交变换把二次曲面的方程3x 2+5y 2+5z 2+4xy -4xz -10yz =1化成标准方程.解 二次型的矩阵为⎪⎪⎭⎫⎝⎛----=552552223A .由)11)(2(552552223||---=-------=-λλλλλλλE A , 得A 的特征值为λ1=2,λ2=11, λ3=0, .对于λ1=2, 解方程(A -2E )x =0, 得特征向量(4, -1, 1)T , 单位化得)231 ,231 ,234(1-=p .对于λ2=11, 解方程(A -11E )x =0, 得特征向量(1, 2, -2)T , 单位化得)32 ,32 ,31(2-=p .对于λ3=0, 解方程A x =0, 得特征向量(0, 1, 1)T , 单位化得)21 ,21 ,0(3=p .于是有正交矩阵P =(p 1, p 2, p 3), 使P -1AP =diag(2, 11, 0), 从而有正交变换⎪⎪⎭⎫ ⎝⎛⎪⎪⎪⎪⎪⎪⎭⎫⎝⎛--=⎪⎪⎭⎫ ⎝⎛w v u z y x 21322312132231031234,使原二次方程变为标准方程2u 2+11v 2=1.29.证明:二次型Ax f xT=在1=x 时的最大值为矩阵A 的最大特征值.证明 A 为实对称矩阵,则有一正交矩阵T ,使得B TAT n =⎪⎪⎪⎪⎭⎫⎝⎛=-λλλO 211成立. 其中n λλλ,,,21Λ为A 的特征值,不妨设1λ最大,T 为正交矩阵,则T T T =-1且1=T ,故T T T B T B T A ==-1则Ax x f T =By y BTx T x TT T ==2222211n n y y y λλλ+++=Λ. 其中Tx y =当1====x x T Tx y 时, 即122221=+++n y y y Λ即122221=+++n y y y Λ 1122111)(λλλ==++=y n n y y f 最大最大Λ. 故得证.30. 用配方法化下列二次形成规范形, 并写出所用变换的矩阵. (1) f (x 1, x 2, x 3)=x 12+3x 22+5x 32+2x 1x 2-4x 1x 3; 解 f (x 1, x 2, x 3)=x 12+3x 22+5x 32+2x 1x 2-4x 1x 3 =(x 1+x 2-2x 3)2+4x 2x 3+2x 22+x 32=(x 1+x 2-2x 3)2-2x 22+(2x 2+x 3)2.令 ⎪⎩⎪⎨⎧+==-+=323223211222x x y x y x x x y , 即⎪⎪⎩⎪⎪⎨⎧+-==+-=323223*********y y x y x y y y x ,二次型化为规范形f =y 12-y 22+y 32,所用的变换矩阵为⎪⎪⎪⎪⎪⎭⎫⎝⎛--=12002102251C .(2) f (x 1, x 2, x 3)=x 12+2x 32+2x 1x 3+2x 2x 3; 解 f (x 1, x 2, x 3)=x 12+2x 32+2x 1x 3+2x 2x 3 =(x 1+x 3)2+x 32+2x 2x 3; =(x 1+x 3)2-x 22+(x 2+x 3)2. 令 ⎪⎩⎪⎨⎧+==+=32322311x x y x y x x y , 即⎪⎩⎪⎨⎧+-==-+=323223211y y x y x y y y x ,二次型化为规范形f =y 12-y 22+y 32,所用的变换矩阵为⎪⎪⎭⎫⎝⎛--=110010111C . (3) f (x 1, x 2, x 3)=2x 12+x 22+4x 32+2x 1x 2-2x 2x 3. 解 f (x 1, x 2, x 3)=2x 12+x 22+4x 32+2x 1x 2-2x 2x 3.3223222212421)21(2x x x x x x -+++= 232322212)2(21)21(2x x x x x +-++=.令 ⎪⎪⎩⎪⎪⎨⎧=-=+=333222112)2(21)21(2x y x x y x x y , 即⎪⎪⎩⎪⎪⎨⎧=+=--=33322321121222212121y x y y x y y y x ,二次型化为规范形f =y 12+y 22+y 32,所用的变换矩阵为⎪⎪⎭⎫ ⎝⎛--=10022011121C . 31. 设f =x 12+x 22+5x 32+2ax 1x 2-2x 1x 3+4x 2x 3为正定二次型, 求a .解 二次型的矩阵为⎪⎪⎭⎫⎝⎛--=5212111a a A , 其主子式为a 11=1, 2111a a a -=, )45(5212111+-=--a a a a .因为f 为正主二次型, 所以必有1-a 2>0且-a (5a +4)>0, 解之得054<<-a .32.判别下列二次型的正定性:(1)312123222122462x x x x x x x f ++---=;(2)424131212423222162421993x x x x x x x x x x x x f -++-+++=4312x x -解 (1) ⎪⎪⎪⎭⎫ ⎝⎛---=401061112A ,0211<-=a ,0116112>=--,038401061112<-=---, 故f 为负定. (2) ⎪⎪⎪⎪⎭⎫⎝⎛------=19631690230311211A , 0111>=a ,043111>=--, 06902031211>=--,024>=A . 故f 为正定.33.证明对称阵A 为正定的充分必要条件是:存在可逆矩阵U ,使U U A T =,即A 与单位阵E 合同. 证明 A 正定,则矩阵A 满秩,且其特征值全为正.不妨设n λλ,,1Λ为其特征值,n i i ,,10Λ=>λ由定理8知,存在一正交矩阵P使⎪⎪⎪⎪⎭⎫⎝⎛=Λ=n TAP PλλλO 21⎪⎪⎪⎪⎪⎭⎫⎝⎛⨯⎪⎪⎪⎪⎪⎭⎫⎝⎛=n n λλλλλλOO2121 又因P 为正交矩阵,则P 可逆,P P T =-1.所以)(PQ PQ P PQ A TT Q T ⋅==.令U PQT=)(,U 可逆,则U U A T =.。
线性代数第五章答案第五章相似矩阵及二次型1. 试用施密特法把下列向量组正交化:(1)=931421111) , ,(321a a a ;解根据施密特正交化方法,==11111a b ,-=-=101],[],[1112122b b b a b a b ,-=--=12131],[],[],[],[222321113133b b b a b b b b a b a b .(2)---=011101110111) , ,(321a a a .解根据施密特正交化方法,-==110111a b ,-=-=123131],[],[1112122b b b a b a b , ?-=--=433151],[],[],[],[222321113133b b b a b b b b a b a b . 2. 下列矩阵是不是正交阵:(1)---121312112131211;解此矩阵的第一个行向量非单位向量, 故不是正交阵.(2)------979494949198949891.解该方阵每一个行向量均是单位向量, 且两两正交, 故为正交阵.3. 设x 为n 维列向量, x T x =1, 令H =E -2xx T , 证明H 是对称的正交阵. 证明因为H T =(E -2xx T )T =E -2(xx T )T =E -2(xx T )T =E -2(x T )T x T =E -2xx T , 所以H 是对称矩阵. 因为H T H =HH =(E -2xx T )(E -2xx T ) =E -2xx T -2xx T +(2xx T )(2xx T ) =E -4xx T +4x (x T x )x T =E -4xx T +4xx T =E , 所以H 是正交矩阵.4. 设A 与B 都是n 阶正交阵, 证明AB 也是正交阵. 证明因为A ,B 是n 阶正交阵, 故A -1=A T , B -1=B T ,(AB )T (AB )=B T A T AB =B -1A -1AB =E ,故AB 也是正交阵.5. 求下列矩阵的特征值和特征向量:(1)----201335212;解 3)1(201335212||+-=-------=-λλλλλE A ,故A 的特征值为λ=-1(三重). 对于特征值λ=-1, 由----=+000110101101325213~E A ,得方程(A +E )x =0的基础解系p 1=(1, 1, -1)T , 向量p 1就是对应于特征值λ=-1的特征值向量.(2)633312321;解 )9)(1(633312321||-+-=---=-λλλλλλλE A ,故A 的特征值为λ1=0, λ2=-1, λ3=9. 对于特征值λ1=0, 由=000110321633312321~A ,得方程A x =0的基础解系p 1=(-1, -1, 1)T , 向量p 1是对应于特征值λ1=0的特征值向量. 对于特征值λ2=-1, 由=+000100322733322322~E A ,得方程(A +E )x =0的基础解系p 2=(-1, 1, 0)T , 向量p 2就是对应于特征值λ2=-1的特征值向量. 对于特征值λ3=9, 由--???? ??---=-00021101113333823289~E A ,得方程(A -9E )x =0的基础解系p 3=(1/2, 1/2, 1)T , 向量p 3就是对应于特征值λ3=9的特征值向量.(3)0001001001001000.(和书后答案不同,以书后为主,但解题步骤可以参考)解22)1()1(001010010100||+-=----=-λλλλλλλE A ,故A 的特征值为λ1=λ2=-1, λ3=λ4=1. 对于特征值λ1=λ2=-1,由=+00000000011010011001011001101001~E A , 得方程(A +E )x =0的基础解系p 1=(1, 0, 0, -1)T , p 2=(0, 1, -1, 0)T , 向量p 1和p 2是对应于特征值λ1=λ2=-1的线性无关特征值向量.对于特征值λ3=λ4=1, 由------=-00000000011010011001011001101001~E A , 得方程(A -E )x =0的基础解系p 3=(1, 0, 0, 1)T , p 4=(0, 1, 1, 0)T , 向量p 3和p 4是对应于特征值λ3=λ4=1的线性无关特征值向量.6. 设A 为n 阶矩阵, 证明A T 与A 的特征值相同. 证明因为|A T -λE |=|(A -λE )T |=|A -λE |T =|A -λE |,所以A T 与A 的特征多项式相同, 从而A T 与A 的特征值相同.7.设n阶矩阵A、B满足R(A)+R(B)<n,证明a与b有公共的特征值,有公共的特征向量.< p="">证明设R(A)=r,R(B)=t,则r+t<n.< p="">若a1,a2,,a n-r是齐次方程组A x=0的基础解系,显然它们是A的对应于特征值λ=0的线性无关的特征向量.类似地,设b1,b2,,b n-t是齐次方程组B x=0的基础解系,则它们是B的对应于特征值λ=0的线性无关的特征向量.由于(n-r)+(n-t)=n+(n-r-t)>n,故a1,a2,,a n-r,b1,b2,,b n-t 必线性相关.于是有不全为0的数k1,k2,,k n-r,l1,l2,,l n-t,使k1a1+k2a2++k n-r a n-r+l1b1+l2b2++l n-r b n-r=0.记γ=k1a1+k2a2++k n-r a n-r=-(l1b1+l2b2++l n-r b n-r),则k1,k2,,k n-r不全为0,否则l1,l2,,l n-t不全为0,而l1b1+l2b2++l n-r b n-r=0,与b1,b2,,b n-t线性无关相矛盾.因此,γ≠0,γ是A的也是B的关于λ=0的特征向量,所以A与B有公共的特征值,有公共的特征向量.8.设A2-3A+2E=O,证明A的特征值只能取1或2.证明设λ是A的任意一个特征值,x是A的对应于λ的特征向量,则(A2-3A+2E)x=λ2x-3λx+2x=(λ2-3λ+2)x=0.因为x≠0,所以λ2-3λ+2=0,即λ是方程λ2-3λ+2=0的根,也就是说λ=1或λ=2.9.设A为正交阵,且|A|=-1,证明λ=-1是A的特征值.证明因为A为正交矩阵,所以A的特征值为-1或1.(需要说明)因为|A|等于所有特征值之积,又|A|=-1,所以必有奇数个特征值为-1,即λ=-1是A的特征值.10.设λ≠0是m阶矩阵A m?n B n?m的特征值,证明λ也是n阶矩阵BA的特征值.证明设x是AB的对应于λ≠0的特征向量,则有(AB)x=λx,于是B(AB)x=B(λx),或BA(B x)=λ(B x),从而λ是BA的特征值,且B x是BA的对应于λ的特征向量.11.已知3阶矩阵A的特征值为1, 2, 3,求|A3-5A2+7A|.解令?(λ)=λ3-5λ2+7λ, 则?(1)=3, ?(2)=2, ?(3)=3是?(A )的特征值, 故 |A 3-5A 2+7A |=|?(A )|=?(1)??(2)??(3)=3?2?3=18.12. 已知3阶矩阵A 的特征值为1, 2, -3, 求|A *+3A +2E |. 解因为|A |=1?2?(-3)=-6≠0, 所以A 可逆, 故 A *=|A |A -1=-6A -1, A *+3A +2E =-6A -1+3A +2E .令?(λ)=-6λ-1+3λ+2, 则?(1)=-1, ?(2)=5, ?(-3)=-5是?(A )的特征值, 故 |A *+3A +2E |=|-6A -1+3A +2E |=|?(A )|=?(1)??(2)??(-3)=-1?5?(-5)=25.13. 设A 、B 都是n 阶矩阵, 且A 可逆, 证明AB 与BA 相似.证明取P =A , 则P -1ABP =A -1ABA =BA ,即AB 与BA 相似.14. 设矩阵=50413102x A 可相似对角化, 求x .解由)6()1(50413102||2---=---=-λλλλλλx E A ,得A 的特征值为λ1=6, λ2=λ3=1.因为A 可相似对角化, 所以对于λ2=λ3=1, 齐次线性方程组(A -E )x =0有两个线性无关的解, 因此R (A -E )=1. 由-???? ??=-00030010140403101)(~x x E A r知当x =3时R (A -E )=1, 即x =3为所求.15. 已知p =(1, 1, -1)T 是矩阵---=2135212b a A 的一个特征向量.(1)求参数a , b 及特征向量p 所对应的特征值;解设λ是特征向量p 所对应的特征值, 则(A -λE )p =0, 即=???? ??-???? ??------0001112135212λλλb a ,解之得λ=-1, a =-3, b =0.(2)问A 能不能相似对角化?并说明理由. 解由3)1(201335212||--=-------=-λλλλλE A ,得A 的特征值为λ1=λ2=λ3=1. 由-???? ??----=-00011010111325211~r b E A知R (A -E )=2, 所以齐次线性方程组(A -E )x =0的基础解系只有一个解向量. 因此A 不能相似对角化.16. 试求一个正交的相似变换矩阵, 将下列对称阵化为对角阵:(1)----020212022;解将所给矩阵记为A . 由λλλλ-------=-20212022E A =(1-λ)(λ-4)(λ+2),得矩阵A 的特征值为λ1=-2, λ2=1, λ3=4. 对于λ1=-2, 解方程(A +2E )x =0, 即0220232024321=----x x x , 得特征向量(1, 2, 2)T , 单位化得T)32 ,32 ,31(1=p .对于λ2=1, 解方程(A -E )x =0, 即0120202021321=-----x x x , 得特征向量(2, 1, -2)T , 单位化得T )32 ,31 ,32(2-=p . 对于λ3=4, 解方程(A -4E )x =0, 即0420232022321=-------x x x , 得特征向量(2, -2, 1)T , 单位化得T )31 ,32 ,32(3-=p . 于是有正交阵P =(p 1, p 2, p 3), 使P -1AP =diag(-2, 1, 4).(2)----542452222. (和书后答案不同,以书后答案为准,解题步骤可以参考)解将所给矩阵记为A . 由λλλλ-------=-542452222E A =-(λ-1)2(λ-10),得矩阵A 的特征值为λ1=λ2=1, λ3=10. 对于λ1=λ2=1, 解方程(A -E )x =0, 即=???? ?????? ??----000442442221321x x x , 得线性无关特征向量(-2, 1, 0)T 和(2, 0, 1)T , 将它们正交化、单位化得T 0) 1, ,2(511-=p , T 5) ,4 ,2(5312=p .对于λ3=10, 解方程(A -10E )x =0, 即=???? ?????? ??-------000542452228321x x x ,得特征向量(-1, -2, 2)T , 单位化得T )2 ,2 ,1(313--=p . 于是有正交阵P =(p 1, p 2, p 3), 使P -1AP =diag(1, 1, 10).17. 设矩阵------=12422421x A 与-=Λy 45相似, 求x , y ; 并求一个正交阵P , 使P -1AP =Λ.解已知相似矩阵有相同的特征值, 显然λ=5, λ=-4, λ=y 是Λ的特征值, 故它们也是A 的特征值. 因为λ=-4是A 的特征值, 所以0)4(9524242425|4|=-=---+---=+x x E A ,解之得x =4.已知相似矩阵的行列式相同, 因为100124242421||-=-------=A , y y2045||-=-=Λ,所以-20y =-100, y =5.对于λ=5, 解方程(A -5E )x =0, 得两个线性无关的特征向量(1, 0, -1)T , (1, -2, 0)T . 将它们正交化、单位化得T )1 ,0 ,1(211-=p , T )1 ,4 ,1(2312-=p .对于λ=-4, 解方程(A +4E )x =0, 得特征向量(2, 1, 2)T , 单位化得T )2 ,1 ,2(313=p .于是有正交矩阵?--=23132212343102313221P , 使P -1AP =Λ. 18. 设3阶方阵A 的特征值为λ1=2, λ2=-2, λ3=1; 对应的特征向量依次为p 1=(0, 1, 1)T , p 2=(1, 1, 1)T , p 3=(1,1, 0)T , 求A .解令P =(p 1, p 2, p 3), 则P -1AP =diag(2, -2, 1)=Λ, A =P ΛP -1.因为---=???? ??=--11011101101111111011P ,所以---???? ??-???? ??=Λ=-1101110111000200020111111101P P A------=244354332. 19. 设3阶对称阵A 的特征值为λ1=1, λ2=-1, λ3=0; 对应λ1、λ2的特征向量依次为p 1=(1, 2, 2)T , p 2=(2, 1, -2)T , 求A .解设=653542321x x x x x x x x x A , 则A p 1=2p 1, A p 2=-2p 2, 即 =++=++=++222222122653542321x x x x x x x x x , ---① =-+-=-+-=-+222122222653542321x x x x x x x x x . ---② 再由特征值的性质, 有x 1+x 4+x 6=λ1+λ2+λ3=0. ---③由①②③解得612131x x --=, 6221x x =, 634132x x -=,642131x x -=, 654132x x +=. 令x 6=0, 得311-=x , x 2=0, 323=x ,314=x , 325=x . 因此-=022********A . 20. 设3阶对称矩阵A 的特征值λ1=6, λ2=3, λ3=3, 与特征值λ1=6对应的特征向量为p 1=(1, 1, 1)T , 求A .解设=653542321x x x x x x x x x A .因为λ1=6对应的特征向量为p 1=(1, 1, 1)T , 所以有=???? ??1116111A , 即?=++=++=++666653542321x x x x x x x x x ---①. λ2=λ3=3是A 的二重特征值, 根据实对称矩阵的性质定理知R (A -3E )=1. 利用①可推出--???? ??---=-331113333653542653542321~x x x x x x x x x x x x x x x E A .因为R (A -3E )=1, 所以x 2=x 4-3=x 5且x 3=x 5=x 6-3, 解之得x 2=x 3=x 5=1, x 1=x 4=x 6=4.因此=411141114A .21. 设a =(a 1, a 2, , a n )T , a 1≠0, A =aa T . (1)证明λ=0是A 的n -1重特征值;证明设λ是A 的任意一个特征值, x 是A 的对应于λ的特征向量, 则有A x =λx ,λ2x =A 2x =aa T aa T x =a T a A x =λa T ax , 于是可得λ2=λa T a , 从而λ=0或λ=a T a .设λ1, λ2, ? ? ?, λn 是A 的所有特征值, 因为A =aa T 的主对角线性上的元素为a 12, a 22, ? ? ?, a n 2, 所以a 12+a 22+ ? ? ? +a n 2=a T a =λ1+λ2+ ? ? ? +λn ,这说明在λ1, λ2, ? ? ?, λn 中有且只有一个等于a T a , 而其余n -1个全为0, 即λ=0是A 的n -1重特征值.(2)求A 的非零特征值及n 个线性无关的特征向量. 解设λ1=a Ta , λ2= ? ? ? =λn =0.因为A a =aa T a =(a T a )a =λ1a , 所以p 1=a 是对应于λ1=a T a 的特征向量.对于λ2= ? ? ? =λn =0, 解方程A x =0, 即aa T x =0. 因为a ≠0, 所以a T x =0, 即a 1x 1+a 2x 2+ ? ? ? +a n x n =0, 其线性无关解为p 2=(-a 2, a 1, 0, , 0)T ,p 3=(-a 3, 0, a 1, , 0)T , ? ? ?,p n =(-a n , 0, 0, , a 1)T .因此n 个线性无关特征向量构成的矩阵为--=112212100), , ,(a a a aa a a nn n p p p . 22. 设-=340430241A , 求A 100. 解由)5)(5)(1(340430241||+---=----=-λλλλλλλE A ,得A 的特征值为λ1=1, λ2=5, λ3=-5.对于λ1=1, 解方程(A -E )x =0, 得特征向量p 1=(1, 0, 0)T . 对于λ1=5, 解方程(A -5E )x =0, 得特征向量p 2=(2, 1, 2)T . 对于λ1=-5, 解方程(A +5E )x =0, 得特征向量p 3=(1, -2, 1)T . 令P =(p 1, p 2, p 3), 则P -1AP =diag(1, 5, -5)=Λ, A =P ΛP -1, A 100=P Λ100P -1. 因为Λ100=diag(1, 5100, 5100),--=???? ??-=--1202105055112021012111P ,所以--???? ?????? ??-=12021050555112021012151100100100A-=1001001005000501501.23. 在某国, 每年有比例为p 的农村居民移居城镇, 有比例为q 的城镇居民移居农村, 假设该国总人口数不变, 且上述人口迁移的规律也不变. 把n 年后农村人口和城镇人口占总人口的比例依次记为x n 和y n (x n +y n =1).(1)求关系式??=??++n n n n y x A y x 11中的矩阵A ;解由题意知x n +1=x n +qy n -px n =(1-p )x n +qy n , y n +1=y n +px n -qy n = px n +(1-q )y n , 可用矩阵表示为--=??? ??++n n n n y x q p q p y x 1111,因此--=q p q p A 11.(2)设目前农村人口与城镇人口相等, 即??? ??=??? ??5.05.000y x , 求?n n y x .解由??=??++n n n n y x A y x 11可知??=??00y x A y x n n n . 由)1)(1(11||q p q p qp E A ++--=----=-λλλλλ,得A 的特征值为λ1=1, λ2=r , 其中r =1-p -q .对于λ1=1, 解方程(A -E )x =0, 得特征向量p 1=(q , p )T . 对于λ1=r ,解方程(A -rE )x =0, 得特征向量p 2=(-1, 1)T . 令??-==11) ,(21p q P p p , 则 P -1AP =diag(1, r )=Λ, A =P ΛP -1, A n =P Λn P -1.于是 11100111-??-??? ????? ??-=p q r p q A n n-??? ????? ??-+=q p r p q q p n 11001111+--++=n n n n qr p pr p qr q pr q q p 1,+--++=??? ??5.05.01n n n n n n qr p pr p qr q pr q q p y x ??-+-++=n n r p q p r q p q q p )(2)(2)(21.24. (1)设??--=3223A , 求?(A )=A 10-5A 9; 解由)5)(1(3223||--=----=-λλλλλE A ,得A 的特征值为λ1=1, λ2=5.对于λ1=1, 解方程(A -E )x =0, 得单位特征向量T )1 ,1(21. 对于λ1=5, 解方程(A -5E )x =0, 得单位特征向量T )1 ,1(21-.于是有正交矩阵?-=111121P , 使得P -1AP =diag(1, 5)=Λ,从而A =P ΛP -1, A k =P Λk P -1. 因此?(A )=P ?(Λ)P -1=P (Λ10-5Λ9)P -1 =P [diag(1, 510)-5diag(1, 59)]P -1 =P diag(-4, 0)P -1-??? ??-??? ??-=1111210004111121-=??? ??----=111122222.(2)设=122221212A , 求?(A )=A 10-6A 9+5A 8.解求得正交矩阵为---=20223123161P , 使得P -1AP =diag(-1, 1, 5)=Λ, A =P ΛP -1. 于是?(A )=P ?(Λ)P -1=P (Λ10-6Λ9+5Λ8)P -1 =P [Λ8(Λ-E )(Λ-5E )]P -1=P diag(1, 1, 58)diag(-2, 0, 4)diag(-6, -4, 0)P -1 =P diag(12, 0,0)P -1---???? ?---=222033*********223123161----=4222112112. 25. 用矩阵记号表示下列二次型: (1) f =x 2+4xy +4y 2+2xz +z 2+4yz ; 解=z y x z y x f 121242121) , ,(.(2) f =x 2+y 2-7z 2-2xy -4xz -4yz ; 解-------=z y x z y x f 722211211) , ,(.(3) f =x 12+x 22+x 32+x 42-2x 1x 2+4x 1x 3-2x 1x 4+6x 2x 3-4x 2x 4.解------=432143211021013223111211) , , ,(x x x x x x x x f .26. 写出下列二次型的矩阵: (1)x x x ?=1312)(T f ;解二次型的矩阵为=1222A .(2)x x x=987654321)(T f .解二次型的矩阵为=975753531A .27. 求一个正交变换将下列二次型化成标准形: (1) f =2x 12+3x 22+3x 33+4x 2x 3;解二次型的矩阵为=320230002A . 由)1)(5)(2(320230002λλλλλλλ---=---=-E A ,得A 的特征值为λ1=2, λ2=5, λ3=1. 当λ1=2时, 解方程(A -2E )x =0, 由=-0001002101202100002~E A ,得特征向量(1, 0, 0)T . 取p 1=(1, 0, 0)T . 当λ2=5时, 解方程(A -5E )x =0, 由-???? ??---=-0001100012202200035~E A ,得特征向量(0, 1, 1)T . 取T )21 ,21,0(2=p .当λ3=1时, 解方程(A -E )x =0, 由=-000110001220220001~E A ,得特征向量(0, -1, 1)T . 取T )21 ,21 ,0(3-=p .于是有正交矩阵T =(p 1, p 2, p 3)和正交变换x =T y , 使f =2y 12+5y 22+y 32.(2) f =x 12+x 22+x 32+x 42+2x 1x 2-2x 1x 4-2x 2x 3+2x 3x 4.解二次型矩阵为----=1101111001111011A . 由2)1)(3)(1(1101111001111011--+=--------=-λλλλλλλλE A ,得A 的特征值为λ1=-1, λ2=3, λ3=λ4=1.当λ1=-1时, 可得单位特征向量T )21 ,21 ,21 ,21(1--=p .当λ2=3时, 可得单位特征向量T )21 ,21 ,21 ,21(2--=p . 当λ3=λ4=1时, 可得线性无关的单位特征向量T )0 ,21 ,0 ,21(3=p , T )21 ,0 ,21 ,0(4=p .于是有正交矩阵T =( p 1, p 2, p 3, p 4)和正交变换x =T y , 使f =-y 12+3y 22+y 32+y 42.28. 求一个正交变换把二次曲面的方程3x 2+5y 2+5z 2+4xy -4xz -10yz =1化成标准方程.解二次型的矩阵为----=552552223A .由)11)(2(552552223||---=-------=-λλλλλλλE A , 得A 的特征值为λ1=2,λ2=11, λ3=0, .对于λ1=2, 解方程(A -2E )x =0, 得特征向量(4, -1, 1)T , 单位化得)231 ,231 ,234(1-=p .对于λ2=11, 解方程(A -11E )x =0, 得特征向量(1, 2, -2)T , 单位化得)32 ,32 ,31(2-=p . 对于λ3=0, 解方程A x =0, 得特征向量(0, 1, 1)T , 单位化得)21 ,21,0(3=p .于是有正交矩阵P =(p 1, p 2, p 3), 使P -1AP =diag(2, 11, 0), 从而有正交变换--=???? ??w v u z y x 21322312132231031234,使原二次方程变为标准方程2u 2+11v 2=1.29. 明: 二次型f =x T A x 在||x ||=1时的最大值为矩阵A 的最大特征值. 证明 A 为实对称矩阵, 则有一正交矩阵T , 使得TAT -1=diag(λ1, λ2, ? ? ?, λn )=Λ成立, 其中λ1, λ2, ? ? ?, λn 为A 的特征值, 不妨设λ1最大. 作正交变换y =T x , 即x =T T y , 注意到T -1=T T , 有 f =x T A x =y T TAT T y =y T Λy =λ1y 12+λ2y 22+ ? ? ? +λn y n 2. 因为y =T x 正交变换, 所以当||x ||=1时, 有||y ||=||x ||=1, 即y 12+y 22+ ? ? ? +y n 2=1.因此f =λ1y 12+λ2y 22+ ? ? ? +λn y n 2≤λ1,又当y 1=1, y 2=y 3=? ? ?=y n =0时f =λ1, 所以f max =λ1.30. 用配方法化下列二次形成规范形, 并写出所用变换的矩阵. (1) f (x 1, x 2, x 3)=x 12+3x 22+5x 32+2x 1x 2-4x 1x 3;解 f (x 1, x 2, x 3)=x 12+3x 22+5x 32+2x 1x 2-4x 1x 3 =(x 1+x 2-2x 3)2+4x 2x 3+2x 22+x 32 =(x 1+x 2-2x 3)2-2x 22+(2x 2+x 3)2.令 ??+==-+=323223211222x x y x y x x x y , 即+-==+-=323223211221225y y x y x y y y x , 二次型化为规范形f =y 12-y 22+y 32,所用的变换矩阵为--=12002102251C .(2) f (x 1, x 2, x 3)=x 12+2x 32+2x 1x 3+2x 2x 3; 解 f (x 1, x 2, x 3)=x 12+2x 32+2x 1x 3+2x 2x 3 =(x 1+x 3)2+x 32+2x 2x 3; =(x 1+x 3)2-x 22+(x 2+x 3)2.令 +==+=32322311x x y x y x x y , 即+-==-+=3 23223211y y x y x y y y x ,二次型化为规范形f =y 12-y 22+y 32,所用的变换矩阵为--=110010111C .(3) f (x 1, x 2, x 3)=2x 12+x 22+4x 32+2x 1x 2-2x 2x 3. 解 f (x 1, x 2, x 3)=2x 12+x 22+4x 32+2x 1x 2-2x 2x 3.</n.<></n,证明a与b有公共的特征值,有公共的特征向量.<>。
第五章 相似矩阵及二次型1.试用施密特法把下列向量组正交化:(1)⎪⎪⎭⎫⎝⎛=931421111) , ,(321a a a ;解 根据施密特正交化方法,⎪⎪⎭⎫⎝⎛==11111a b ,⎪⎪⎭⎫ ⎝⎛-=-=101],[],[1112122b b b a b a b ,⎪⎪⎭⎫ ⎝⎛-=--=12131],[],[],[],[222321113133b b b a b b b b a b a b .(2)⎪⎪⎪⎭⎫ ⎝⎛---=011101110111) , ,(321a a a .解 根据施密特正交化方法,⎪⎪⎪⎭⎫⎝⎛-==110111a b ,⎪⎪⎪⎭⎫ ⎝⎛-=-=123131],[],[1112122b b b a b a b ,⎪⎪⎪⎭⎫ ⎝⎛-=--=433151],[],[],[],[222321113133b b b a b b b b a b a b .2.下列矩阵是不是正交阵:(1)⎪⎪⎪⎪⎪⎭⎫⎝⎛---121312112131211;解 此矩阵的第一个行向量非单位向量,故不是正交阵.(2)⎪⎪⎪⎪⎪⎭⎫ ⎝⎛------979494949198949891.解 该方阵每一个行向量均是单位向量,且两两正交,故为正交阵.3. 设x 为n 维列向量,x Tx =1, 令H =E -2xx T, 证明H 是对称的正交阵. 证明 因为H T =(E -2xx T )T =E -2(xx T )T =E -2(xx T )T=E -2(x T )T x T=E -2xx T, 所以H 是对称矩阵. 因为H T H =HH =(E -2xx T )(E -2xx T )=E -2xx T -2xx T +(2xx T )(2xx T) =E -4xx T +4x (x T x )x T=E -4xx T+4xx T=E ,所以H 是正交矩阵.4.设A 与B 都是n 阶正交阵,证明AB 也是正交阵. 证明 因为A ,B 是n 阶正交阵,故A -1=A T ,B -1=B T,(AB )T(AB )=B T A TAB =B -1A -1AB =E ,故AB 也是正交阵.5.求下列矩阵的特征值和特征向量:(1)⎪⎪⎭⎫ ⎝⎛----201335212;解 3)1(201335212||+-=-------=-λλλλλE A ,故A 的特征值为λ=-1(三重). 对于特征值λ=-1,由⎪⎪⎭⎫ ⎝⎛⎪⎪⎭⎫ ⎝⎛----=+000110101101325213~E A ,得方程(A +E )x =0的基础解系p 1=(1,1,-1)T,向量p 1就是对应于特征值λ=-1的特征值向量.(2)⎪⎪⎭⎫⎝⎛633312321;解 )9)(1(633312321||-+-=---=-λλλλλλλE A ,故A 的特征值为λ1=0,λ2=-1,λ3=9. 对于特征值λ1=0, 由⎪⎪⎭⎫⎝⎛⎪⎪⎭⎫ ⎝⎛=000110321633312321~A ,得方程A x =0的基础解系p 1=(-1,-1,1)T, 向量p 1是对应于特征值λ1=0的特征值向量. 对于特征值λ2=-1, 由⎪⎪⎭⎫ ⎝⎛⎪⎪⎭⎫ ⎝⎛=+000100322733322322~E A ,得方程(A +E )x =0的基础解系p 2=(-1,1,0)T, 向量p 2就是对应于特征值λ2=-1的特征值向量. 对于特征值λ3=9, 由⎪⎪⎪⎭⎫ ⎝⎛--⎪⎪⎭⎫ ⎝⎛---=-00021101113333823289~E A ,得方程(A -9E )x =0的基础解系p 3=(1/2,1/2,1)T, 向量p 3就是对应于特征值λ3=9的特征值向量.(3)⎪⎪⎪⎭⎫⎝⎛0001001001001000.(和书后答案不同,以书后为主,但解题步骤可以参考) 解 22)1()1(001010010100||+-=----=-λλλλλλλE A ,故A 的特征值为λ1=λ2=-1,λ3=λ4=1. 对于特征值λ1=λ2=-1, 由⎪⎪⎪⎭⎫ ⎝⎛⎪⎪⎪⎭⎫⎝⎛=+00000000011010011001011001101001~E A , 得方程(A +E )x =0的基础解系p 1=(1, 0, 0,-1)T,p 2=(0, 1,-1, 0)T, 向量p 1和p 2是对应于特征值λ1=λ2=-1的线性无关特征值向量. 对于特征值λ3=λ4=1, 由⎪⎪⎪⎭⎫ ⎝⎛--⎪⎪⎪⎭⎫⎝⎛----=-00000000011010011001011001101001~E A , 得方程(A -E )x =0的基础解系p 3=(1, 0, 0, 1)T,p 4=(0, 1, 1, 0)T, 向量p 3和p 4是对应于特征值λ3=λ4=1的线性无关特征值向量.6. 设A 为n 阶矩阵, 证明A T与A 的特征值相同. 证明 因为|A T-λE |=|(A -λE )T|=|A -λE |T=|A -λE |,所以A T与A的特征多项式相同,从而A T与A的特征值相同.7.设n阶矩阵A、B满足R(A)+R(B)<n,证明A与B有公共的特征值,有公共的特征向量.证明设R(A)=r,R(B)=t,则r+t<n.若a1,a2,⋅⋅⋅,a n-r是齐次方程组A x=0的基础解系,显然它们是A的对应于特征值λ=0的线性无关的特征向量.类似地,设b1,b2,⋅⋅⋅,b n-t是齐次方程组B x=0的基础解系,则它们是B的对应于特征值λ=0的线性无关的特征向量.由于(n-r)+(n-t)=n+(n-r-t)>n,故a1,a2,⋅⋅⋅,a n-r,b1,b2,⋅⋅⋅,b n-t必线性相关.于是有不全为0的数k1,k2,⋅⋅⋅,k n-r,l1,l2,⋅⋅⋅,l n-t,使k1a1+k2a2+⋅⋅⋅+k n-r a n-r+l1b1+l2b2+⋅⋅⋅+l n-r b n-r=0.记γ=k1a1+k2a2+⋅⋅⋅+k n-r a n-r=-(l1b1+l2b2+⋅⋅⋅+l n-r b n-r),则k1,k2,⋅⋅⋅,k n-r不全为0,否则l1,l2,⋅⋅⋅,l n-t不全为0,而l1b1+l2b2+⋅⋅⋅+l n-r b n-r=0,与b1,b2,⋅⋅⋅,b n-t线性无关相矛盾.因此,γ≠0,γ是A的也是B的关于λ=0的特征向量,所以A与B有公共的特征值,有公共的特征向量.8.设A2-3A+2E=O,证明A的特征值只能取1或2.证明设λ是A的任意一个特征值,x是A的对应于λ的特征向量,则(A2-3A+2E)x=λ2x-3λx+2x=(λ2-3λ+2)x=0.因为x≠0,所以λ2-3λ+2=0,即λ是方程λ2-3λ+2=0的根,也就是说λ=1或λ=2.9.设A为正交阵,且|A|=-1,证明λ=-1是A的特征值.证明因为A为正交矩阵,所以A的特征值为-1或1.(需要说明)因为|A|等于所有特征值之积,又|A|=-1,所以必有奇数个特征值为-1,即λ=-1是A 的特征值.10.设λ≠0是m阶矩阵A m⨯n B n⨯m的特征值,证明λ也是n阶矩阵BA的特征值.证明设x是AB的对应于λ≠0的特征向量,则有(AB)x=λx,于是B(AB)x=B(λx),或BA(B x)=λ(B x),从而λ是BA的特征值,且B x是BA的对应于λ的特征向量.11. 已知3阶矩阵A 的特征值为1,2,3, 求|A 3-5A 2+7A |.解 令ϕ(λ)=λ3-5λ2+7λ, 则ϕ(1)=3,ϕ(2)=2,ϕ(3)=3是ϕ(A )的特征值, 故 |A 3-5A 2+7A |=|ϕ(A )|=ϕ(1)⋅ϕ(2)⋅ϕ(3)=3⨯2⨯3=18.12.已知3阶矩阵A 的特征值为1,2,-3, 求|A *+3A +2E |. 解 因为|A |=1⨯2⨯(-3)=-6≠0, 所以A 可逆, 故A *=|A |A -1=-6A -1, A *+3A +2E =-6A -1+3A +2E .令ϕ(λ)=-6λ-1+3λ+2, 则ϕ(1)=-1,ϕ(2)=5,ϕ(-3)=-5是ϕ(A )的特征值, 故 |A *+3A +2E |=|-6A -1+3A +2E |=|ϕ(A )| =ϕ(1)⋅ϕ(2)⋅ϕ(-3)=-1⨯5⨯(-5)=25.13. 设A 、B 都是n 阶矩阵, 且A 可逆, 证明AB 与BA 相 似.证明 取P =A , 则P -1ABP =A -1ABA =BA ,即AB 与BA 相似.14. 设矩阵⎪⎪⎭⎫⎝⎛=50413102x A 可相似对角化, 求x .解由)6()1(50413102||2---=---=-λλλλλλx E A ,得A 的特征值为λ1=6,λ2=λ3=1.因为A 可相似对角化,所以对于λ2=λ3=1,齐次线性方程组(A -E )x =0有两个线性无关的解,因此R (A -E )=1.由⎪⎪⎭⎫ ⎝⎛-⎪⎪⎭⎫ ⎝⎛=-00030010140403101)(~x x E A r知当x =3时R (A -E )=1,即x =3为所求.15.已知p =(1, 1,-1)T是矩阵⎪⎪⎭⎫⎝⎛---=2135212b a A 的一个特征向量.(1)求参数a ,b 及特征向量p 所对应的特征值; 解设λ是特征向量p 所对应的特征值,则(A -λE )p =0,即⎪⎪⎭⎫ ⎝⎛=⎪⎪⎭⎫ ⎝⎛-⎪⎪⎭⎫ ⎝⎛------0001112135212λλλb a ,解之得λ=-1,a =-3,b =0.(2)问A 能不能相似对角化?并说明理由. 解由3)1(201335212||--=-------=-λλλλλE A ,得A 的特征值为λ1=λ2=λ3=1. 由⎪⎪⎭⎫ ⎝⎛-⎪⎪⎭⎫ ⎝⎛----=-00011010111325211~r b E A知R (A -E )=2, 所以齐次线性方程组(A -E )x =0的基础解系只有一个解向量. 因此A 不能相似对角化.16.试求一个正交的相似变换矩阵,将下列对称阵化为对角阵:(1)⎪⎪⎭⎫⎝⎛----020212022;解 将所给矩阵记为A . 由λλλλ-------=-20212022E A =(1-λ)(λ-4)(λ+2),得矩阵A 的特征值为λ1=-2,λ2=1,λ3=4. 对于λ1=-2,解方程(A +2E )x =0, 即0220232024321=⎪⎪⎭⎫ ⎝⎛⎪⎪⎭⎫ ⎝⎛----x x x , 得特征向量(1,2,2)T, 单位化得T )32 ,32 ,31(1=p . 对于λ2=1, 解方程(A -E )x =0, 即0120202021321=⎪⎪⎭⎫ ⎝⎛⎪⎪⎭⎫ ⎝⎛-----x x x , 得特征向量(2,1,-2)T, 单位化得T )32 ,31 ,32(2-=p . 对于λ3=4, 解方程(A -4E )x =0, 即0420232022321=⎪⎪⎭⎫ ⎝⎛⎪⎪⎭⎫ ⎝⎛-------x x x , 得特征向量(2,-2,1)T, 单位化得T )31 ,32 ,32(3-=p . 于是有正交阵P =(p 1,p 2,p 3), 使P -1AP =diag(-2,1,4).(2)⎪⎪⎭⎫ ⎝⎛----542452222.(和书后答案不同,以书后答案为准,解题步骤可以参考)解 将所给矩阵记为A . 由λλλλ-------=-542452222E A =-(λ-1)2(λ-10),得矩阵A 的特征值为λ1=λ2=1,λ3=10. 对于λ1=λ2=1, 解方程(A -E )x =0, 即⎪⎪⎭⎫ ⎝⎛=⎪⎪⎭⎫ ⎝⎛⎪⎪⎭⎫ ⎝⎛----000442442221321x x x , 得线性无关特征向量(-2,1,0)T和(2,0,1)T, 将它们正交化、单位化得T 0) 1, ,2(511-=p ,T 5) ,4 ,2(5312=p .对于λ3=10, 解方程(A -10E )x =0, 即⎪⎪⎭⎫⎝⎛=⎪⎪⎭⎫ ⎝⎛⎪⎪⎭⎫ ⎝⎛-------000542452228321x x x , 得特征向量(-1,-2,2)T, 单位化得T )2 ,2 ,1(313--=p .于是有正交阵P =(p 1,p 2,p 3), 使P -1AP =diag(1,1,10).17. 设矩阵⎪⎪⎭⎫⎝⎛------=12422421x A 与⎪⎪⎭⎫ ⎝⎛-=Λy 45相似, 求x ,y ; 并求一个正交阵P , 使P -1AP =Λ.解 已知相似矩阵有相同的特征值, 显然λ=5,λ=-4,λ=y 是Λ的特征值, 故它们也是A 的特征值. 因为λ=-4是A 的特征值, 所以0)4(9524242425|4|=-=---+---=+x x E A ,解之得x =4.已知相似矩阵的行列式相同, 因为100124242421||-=-------=A ,y y2045||-=-=Λ,所以-20y =-100,y =5.对于λ=5, 解方程(A -5E )x =0, 得两个线性无关的特征向量(1,0,-1)T,(1,-2, 0)T. 将它们正交化、单位化得T )1 ,0 ,1(211-=p ,T )1 ,4 ,1(2312-=p .对于λ=-4, 解方程(A +4E )x =0, 得特征向量(2,1,2)T, 单位化得T )2 ,1 ,2(313=p .于是有正交矩阵⎪⎪⎪⎪⎪⎪⎭⎫⎝⎛--=23132212343102313221P , 使P -1AP =Λ. 18.设3阶方阵A 的特征值为λ1=2,λ2=-2,λ3=1;对应的特征向量依次为p 1=(0,1,1)T , p 2=(1,1,1)T, p 3=(1,1, 0)T , 求A .解 令P =(p 1,p 2,p 3),则P -1AP =diag(2,-2,1)=Λ,A =P ΛP -1. 因为⎪⎪⎭⎫⎝⎛---=⎪⎪⎭⎫⎝⎛=--11011101101111111011P , 所以 ⎪⎪⎭⎫ ⎝⎛---⎪⎪⎭⎫ ⎝⎛-⎪⎪⎭⎫ ⎝⎛=Λ=-1101110111000200020111111101P P A ⎪⎪⎪⎭⎫⎝⎛------=244354332. 19. 设3阶对称阵A 的特征值为λ1=1,λ2=-1,λ3=0; 对应λ1、λ2的特征向量依次为p 1=(1,2,2)T ,p 2=(2,1,-2)T ,求A .解 设⎪⎪⎭⎫⎝⎛=653542321x x x x x x x x x A , 则A p 1=2p 1,A p 2=-2p 2, 即 ⎪⎩⎪⎨⎧=++=++=++222222122653542321x x x x x x x x x ,---① ⎪⎩⎪⎨⎧=-+-=-+-=-+222122222653542321x x x x x x x x x .---② 再由特征值的性质, 有x 1+x 4+x 6=λ1+λ2+λ3=0.---③由①②③解得612131x x --=,6221x x =,634132x x -=,642131x x -=,654132x x +=.令x 6=0, 得311-=x ,x 2=0,323=x ,314=x ,325=x . 因此 ⎪⎪⎭⎫ ⎝⎛-=022********A . 20.设3阶对称矩阵A 的特征值λ1=6,λ2=3,λ3=3, 与特征值λ1=6对应的特征向量为p 1=(1,1,1)T,求A .解 设⎪⎪⎭⎫ ⎝⎛=653542321x x x x x x x x x A . 因为λ1=6对应的特征向量为p 1=(1,1,1)T, 所以有⎪⎪⎭⎫ ⎝⎛=⎪⎪⎭⎫ ⎝⎛1116111A ,即⎪⎩⎪⎨⎧=++=++=++666653542321x x x x x x x x x ---①. λ2=λ3=3是A 的二重特征值, 根据实对称矩阵的性质定理知R (A -3E )=1. 利用①可推出⎪⎪⎭⎫⎝⎛--⎪⎪⎭⎫ ⎝⎛---=-331113333653542653542321~x x x x x x x x x x x x x x x E A .因为R (A -3E )=1, 所以x 2=x 4-3=x 5且x 3=x 5=x 6-3, 解之得x 2=x 3=x 5=1,x 1=x 4=x 6=4.因此 ⎪⎪⎭⎫⎝⎛=411141114A .21. 设a =(a 1,a 2,⋅⋅⋅,a n )T,a 1≠0,A =aa T.(1)证明λ=0是A 的n -1重特征值;证明 设λ是A 的任意一个特征值,x 是A 的对应于λ的特征向量, 则有A x =λx ,λ2x =A 2x =aa T aa T x =a T a A x =λa T ax ,于是可得λ2=λa T a , 从而λ=0或λ=a Ta .设λ1,λ2,⋅⋅⋅,λn 是A 的所有特征值,因为A =aa T的主对角线性上的元素为a 12,a 22,⋅⋅⋅,a n 2,所以a 12+a 22+⋅⋅⋅+a n 2=a T a =λ1+λ2+⋅⋅⋅+λn ,这说明在λ1,λ2,⋅⋅⋅,λn 中有且只有一个等于a Ta , 而其余n -1个全为0, 即λ=0是A 的n -1重特征值.(2)求A 的非零特征值及n 个线性无关的特征向量. 解 设λ1=a Ta ,λ2=⋅⋅⋅=λn =0.因为A a =aa Ta =(a Ta )a =λ1a , 所以p 1=a 是对应于λ1=a Ta 的特征向量.对于λ2=⋅⋅⋅=λn =0, 解方程A x =0, 即aa Tx =0. 因为a ≠0, 所以a Tx =0, 即a 1x 1+a 2x 2+⋅⋅⋅+a n x n =0, 其线性无关解为p 2=(-a 2,a 1, 0,⋅⋅⋅, 0)T , p 3=(-a 3,0,a 1,⋅⋅⋅, 0)T ,⋅⋅⋅,p n =(-a n , 0,0,⋅⋅⋅,a 1)T .因此n 个线性无关特征向量构成的矩阵为⎪⎪⎪⎭⎫ ⎝⎛⋅⋅⋅⋅⋅⋅⋅⋅⋅⋅⋅⋅⋅⋅⋅⋅⋅⋅-⋅⋅⋅-=⋅⋅⋅112212100), , ,(a a a aa a a nn n p p p . 22. 设⎪⎪⎭⎫⎝⎛-=340430241A , 求A100.解 由)5)(5)(1(340430241||+---=----=-λλλλλλλE A ,得A 的特征值为λ1=1,λ2=5,λ3=-5.对于λ1=1, 解方程(A -E )x =0, 得特征向量p 1=(1,0,0)T. 对于λ1=5, 解方程(A -5E )x =0, 得特征向量p 2=(2,1,2)T . 对于λ1=-5, 解方程(A +5E )x =0, 得特征向量p 3=(1,-2,1)T . 令P =(p 1,p 2,p 3), 则P -1AP =diag(1,5,-5)=Λ, A =P ΛP -1,A 100=P Λ100P -1.因为Λ100=diag(1,5100,5100),⎪⎪⎭⎫ ⎝⎛--=⎪⎪⎭⎫ ⎝⎛-=--1202105055112021012111P ,所以⎪⎪⎭⎫ ⎝⎛--⎪⎪⎭⎫ ⎝⎛⎪⎪⎭⎫ ⎝⎛-=12021050555112021012151100100100A⎪⎪⎭⎫ ⎝⎛-=1001001005000501501. 23. 在某国, 每年有比例为p 的农村居民移居城镇, 有比例为q 的城镇居民移居农村, 假设该国总人口数不变, 且上述人口迁移的规律也不变. 把n 年后农村人口和城镇人口占总人口的比例依次记为x n 和y n (x n +y n =1).(1)求关系式⎪⎭⎫ ⎝⎛=⎪⎭⎫ ⎝⎛++n n n n y x A y x 11中的矩阵A ;解 由题意知x n +1=x n +qy n -px n =(1-p )x n +qy n , y n +1=y n +px n -qy n = px n +(1-q )y n ,可用矩阵表示为⎪⎭⎫ ⎝⎛⎪⎭⎫ ⎝⎛--=⎪⎭⎫ ⎝⎛++n n n n y x q p q p y x 1111, 因此 ⎪⎭⎫⎝⎛--=q p q p A 11.(2)设目前农村人口与城镇人口相等, 即⎪⎭⎫ ⎝⎛=⎪⎭⎫ ⎝⎛5.05.000y x , 求⎪⎭⎫ ⎝⎛n n y x .解 由⎪⎭⎫ ⎝⎛=⎪⎭⎫ ⎝⎛++n n n n y x A y x 11可知⎪⎭⎫ ⎝⎛=⎪⎭⎫ ⎝⎛00y x A y x n n n . 由)1)(1(11||q p q p qp E A ++--=----=-λλλλλ,得A 的特征值为λ1=1,λ2=r , 其中r =1-p -q . 对于λ1=1, 解方程(A -E )x =0, 得特征向量p 1=(q ,p )T. 对于λ1=r , 解方程(A -rE )x =0, 得特征向量p 2=(-1,1)T. 令⎪⎭⎫⎝⎛-==11) ,(21p q P p p , 则 P -1AP =diag(1,r )=Λ, A =P ΛP -1, A n =P Λn P -1.于是 11100111-⎪⎭⎫ ⎝⎛-⎪⎭⎫ ⎝⎛⎪⎭⎫ ⎝⎛-=p q r p q A nn⎪⎭⎫⎝⎛-⎪⎭⎫ ⎝⎛⎪⎭⎫ ⎝⎛-+=q p r p q q p n 11001111 ⎪⎭⎫ ⎝⎛+--++=n n n n qr p pr p qr q pr q q p 1, ⎪⎭⎫⎝⎛⎪⎭⎫ ⎝⎛+--++=⎪⎭⎫ ⎝⎛5.05.01n n n n n n qr p pr p qr q pr q q p y x⎪⎭⎫ ⎝⎛-+-++=n n r p q p r q p q q p )(2)(2)(21.24.(1)设⎪⎭⎫ ⎝⎛--=3223A ,求ϕ(A )=A10-5A 9;解由)5)(1(3223||--=----=-λλλλλE A ,得A 的特征值为λ1=1,λ2=5.对于λ1=1, 解方程(A -E )x =0, 得单位特征向量T )1 ,1(21.对于λ1=5, 解方程(A -5E )x =0, 得单位特征向量T )1 ,1(21-. 于是有正交矩阵⎪⎭⎫ ⎝⎛-=111121P , 使得P -1AP =diag(1,5)=Λ, 从而A =P ΛP -1,A k =P Λk P -1. 因此ϕ(A )=P ϕ(Λ)P -1=P (Λ10-5Λ9)P -1=P [diag(1,510)-5diag(1,59)]P -1=P diag(-4,0)P -1 ⎪⎭⎫ ⎝⎛-⎪⎭⎫ ⎝⎛-⎪⎭⎫ ⎝⎛-=1111210004111121⎪⎭⎫ ⎝⎛-=⎪⎭⎫ ⎝⎛----=111122222. (2)设⎪⎪⎭⎫⎝⎛=122221212A ,求ϕ(A )=A 10-6A 9+5A 8.解 求得正交矩阵为⎪⎪⎪⎭⎫ ⎝⎛---=20223123161P , 使得P -1AP =diag(-1, 1,5)=Λ,A =P ΛP -1. 于是ϕ(A )=P ϕ(Λ)P -1=P (Λ10-6Λ9+5Λ8)P -1=P [Λ8(Λ-E )(Λ-5E )]P -1=P diag(1,1,58)diag(-2,0,4)diag(-6,-4,0)P -1=P diag(12,0,0)P -1⎪⎪⎭⎫ ⎝⎛---⎪⎪⎭⎫ ⎝⎛⎪⎪⎪⎭⎫ ⎝⎛---=222033*********223123161 ⎪⎪⎭⎫⎝⎛----=4222112112. 25.用矩阵记号表示下列二次型:(1)f =x 2+4xy +4y 2+2xz +z 2+4yz ; 解⎪⎪⎭⎫⎝⎛⎪⎪⎭⎫ ⎝⎛=z y x z y x f 121242121) , ,(.(2)f =x 2+y 2-7z 2-2xy -4xz -4yz ;解 ⎪⎪⎭⎫⎝⎛⎪⎪⎭⎫ ⎝⎛-------=z y x z y x f 722211211) , ,(.(3)f =x 12+x 22+x 32+x 42-2x 1x 2+4x 1x 3-2x 1x 4+6x 2x 3-4x 2x 4.解 ⎪⎪⎪⎭⎫ ⎝⎛⎪⎪⎪⎭⎫⎝⎛------=432143211021013223111211) , , ,(x x x x x x x x f . 26. 写出下列二次型的矩阵: (1)x x x ⎪⎭⎫ ⎝⎛=1312)(T f ;解 二次型的矩阵为⎪⎪⎭⎫⎝⎛=1222A . (2)x x x ⎪⎪⎭⎫ ⎝⎛=987654321)(T f .解 二次型的矩阵为⎪⎪⎪⎭⎫⎝⎛=975753531A .27.求一个正交变换将下列二次型化成标准形: (1)f =2x 12+3x 22+3x 33+4x 2x 3;解 二次型的矩阵为⎪⎪⎭⎫⎝⎛=320230002A . 由)1)(5)(2(320230002λλλλλλλ---=---=-E A ,得A 的特征值为λ1=2,λ2=5,λ3=1. 当λ1=2时, 解方程(A -2E )x =0, 由⎪⎪⎭⎫ ⎝⎛⎪⎪⎭⎫ ⎝⎛=-0001002101202100002~E A ,得特征向量(1,0,0)T. 取p 1=(1,0,0)T. 当λ2=5时,解方程(A -5E )x =0, 由⎪⎪⎭⎫⎝⎛-⎪⎪⎭⎫ ⎝⎛---=-0001100012202200035~E A ,得特征向量(0,1,1)T.取T )21 ,21,0(2=p .当λ3=1时,解方程(A -E )x =0,由⎪⎪⎭⎫ ⎝⎛⎪⎪⎭⎫ ⎝⎛=-000110001220220001~E A ,得特征向量(0,-1,1)T.取T )21 ,21 ,0(3-=p .于是有正交矩阵T =(p 1,p 2,p 3)和正交变换x =T y , 使f =2y 12+5y 22+y 32.(2)f =x 12+x 22+x 32+x 42+2x 1x 2-2x 1x 4-2x 2x 3+2x 3x 4.解 二次型矩阵为⎪⎪⎪⎭⎫ ⎝⎛----=1101111001111011A . 由2)1)(3)(1(1101111001111011--+=--------=-λλλλλλλλE A ,得A 的特征值为λ1=-1,λ2=3,λ3=λ4=1.当λ1=-1时,可得单位特征向量T )21 ,21 ,21 ,21(1--=p . 当λ2=3时,可得单位特征向量T )21 ,21 ,21 ,21(2--=p . 当λ3=λ4=1时,可得线性无关的单位特征向量T )0 ,21 ,0 ,21(3=p ,T )21 ,0 ,21 ,0(4=p .于是有正交矩阵T =( p 1,p 2,p 3,p 4)和正交变换x =T y , 使f =-y 12+3y 22+y 32+y 42.28. 求一个正交变换把二次曲面的方程3x 2+5y 2+5z 2+4xy -4xz -10yz =1化成标准方程.解 二次型的矩阵为⎪⎪⎭⎫⎝⎛----=552552223A .由)11)(2(552552223||---=-------=-λλλλλλλE A , 得A 的特征值为λ1=2,λ2=11,λ3=0,.对于λ1=2, 解方程(A -2E )x =0, 得特征向量(4,-1, 1)T, 单位化得)231 ,231 ,234(1-=p .对于λ2=11, 解方程(A -11E )x =0, 得特征向量(1, 2,-2)T, 单位化得)32 ,32 ,31(2-=p . 对于λ3=0, 解方程A x =0, 得特征向量(0, 1, 1)T, 单位化得)21 ,21,0(3=p .于是有正交矩阵P =(p 1, p 2, p 3), 使P -1AP =diag(2,11,0), 从而有正交变换⎪⎪⎭⎫ ⎝⎛⎪⎪⎪⎪⎪⎪⎭⎫⎝⎛--=⎪⎪⎭⎫ ⎝⎛w v u z y x 21322312132231031234,使原二次方程变为标准方程2u 2+11v 2=1.29.明:二次型f =x TA x 在||x ||=1时的最大值为矩阵A 的最大特征值. 证明A 为实对称矩阵,则有一正交矩阵T ,使得TAT -1=diag(λ1,λ2,⋅⋅⋅,λn )=Λ成立, 其中λ1,λ2,⋅⋅⋅,λn 为A 的特征值,不妨设λ1最大. 作正交变换y =T x , 即x =T Ty , 注意到T -1=T T, 有f =x T A x =y T TAT T y =y T Λy =λ1y 12+λ2y 22+⋅⋅⋅+λn y n 2.因为y =T x 正交变换, 所以当||x ||=1时, 有||y ||=||x ||=1, 即y 12+y 22+⋅⋅⋅+y n 2=1.因此f =λ1y 12+λ2y 22+⋅⋅⋅+λn y n 2≤λ1,又当y 1=1,y 2=y 3=⋅⋅⋅=y n =0时f =λ1, 所以f max =λ1.30. 用配方法化下列二次形成规形, 并写出所用变换的矩阵. (1) f (x 1,x 2,x 3)=x 12+3x 22+5x 32+2x 1x 2-4x 1x 3; 解 f (x 1,x 2,x 3)=x 12+3x 22+5x 32+2x 1x 2-4x 1x 3 =(x 1+x 2-2x 3)2+4x 2x 3+2x 22+x 32=(x 1+x 2-2x 3)2-2x 22+(2x 2+x 3)2.令 ⎪⎩⎪⎨⎧+==-+=323223211222x x y x y x x x y , 即⎪⎪⎩⎪⎪⎨⎧+-==+-=323223211221225y y x y x y y y x , 二次型化为规形f =y 12-y 22+y 32,所用的变换矩阵为⎪⎪⎪⎪⎪⎭⎫⎝⎛--=12002102251C .(2) f (x 1,x 2,x 3)=x 12+2x 32+2x 1x 3+2x 2x 3; 解 f (x 1,x 2,x 3)=x 12+2x 32+2x 1x 3+2x 2x 3 =(x 1+x 3)2+x 32+2x 2x 3; =(x 1+x 3)2-x 22+(x 2+x 3)2.令 ⎪⎩⎪⎨⎧+==+=32322311x x y x y x x y , 即⎪⎩⎪⎨⎧+-==-+=323223211y y x y x y y y x ,二次型化为规形f =y 12-y 22+y 32,所用的变换矩阵为⎪⎪⎭⎫⎝⎛--=110010111C .(3) f (x 1,x 2,x 3)=2x 12+x 22+4x 32+2x 1x 2-2x 2x 3. 解 f (x 1,x 2,x 3)=2x 12+x 22+4x 32+2x 1x 2-2x 2x 3.3223222212421)21(2x x x x x x -+++=232322212)2(21)21(2x x x x x +-++=.令 ⎪⎪⎩⎪⎪⎨⎧=-=+=333222112)2(21)21(2x y x x y x x y , 即⎪⎪⎩⎪⎪⎨⎧=+=--=33322321121222212121y x y y x yy y x ,二次型化为规形f =y 12+y 22+y 32,所用的变换矩阵为⎪⎪⎭⎫ ⎝⎛--=10022011121C . 31.设f =x 12+x 22+5x 32+2ax 1x 2-2x 1x 3+4x 2x 3为正定二次型, 求a .解 二次型的矩阵为⎪⎪⎭⎫⎝⎛--=5212111a a A , 其主子式为 a 11=1,2111a a a -=,)45(5212111+-=--a a a a . 因为f 为正主二次型, 所以必有1-a 2>0且-a (5a +4)>0, 解之得054<<-a .32.判别下列二次型的正定性:(1) f =-2x 12-6x 22-4x 32+2x 1x 2+2x 1x 3; 解二次型的矩阵为⎪⎪⎭⎫⎝⎛---=401061112A . 因为 0211<-=a ,0116112>=--,038||<-=A , 所以f 为负定.(2) f =x 12+3x 22+9x 32+19x 42-2x 1x 2+4x 1x 3+2x 1x 4-6x 2x 4-12x 3x 4. 解 二次型的矩阵为⎪⎪⎪⎭⎫ ⎝⎛------=19631690230311211A . 因为0111>=a ,043111>=--,06902031211>=--,024>=A , 所以f 为正定.33. 证明对称阵A 为正定的充分必要条件是: 存在可逆矩阵U , 使A =U TU ,即A 与单位阵E 合同.证明 因为对称阵A 为正定的, 所以存在正交矩阵P 使 P T AP =diag(λ1,λ2,⋅⋅⋅,λn )=Λ, 即A =P ΛP T ,其中λ1,λ2,⋅⋅⋅,λn 均为正数.令), , ,diag(211n λλλ⋅⋅⋅=Λ, 则Λ=Λ1Λ1,A =P Λ1Λ1T P T . 再令U =Λ1T P T , 则U 可逆, 且A =U TU .。
第五章课后习题及解答1. 求下列矩阵的特征值和特征向量:2 3(1);3 12 3 2解:I A3 7 0,313373 37 ,12221I A 37 2 3 1 1 3 372 1 0 1 37 6, T所以, ( 1I A)x 0 的基础解系为: (6,1 37) .T因此, A 的属于 1 的所有特征向量为: k 1( 6,1 37) (k 1 0).2I A1 337 211 3731 6372,T所以, ( 2 I A)x 0 的基础解系为: (6,1 37) .T A的属于 2 的所有特征向量为:k2 (6,1 37) (k2 0).因此,3 1 1(2) 2 0 1 ;1 1 23 1 1解:I A 2 1 ( 1)( 22)1 1 2所以,特征值为: 1 1(单根), 2 2 (二重根)2 1 1 1 0 01I A 2 1 1 0 1 11 1 1 0 0 0T 所以,( 1I A)x 0 的基础解系为:( 0,1,1) .TA的属于 1 的所有特征向量为:k1( 0,1,1) (k1 0).因此,1 1 1 1 1 02 I A 2 2 1 0 0 11 1 0 0 0 0T 所以,( ) 02 I A x 的基础解系为:(1,1,0 ).T 因此,A的属于 2 的所有特征向量为:k2(1,1,0) (k2 0).20 0 (3) 111 ;1 1 320 0 解: IA 1 1 1 (32)113所以,特征值为:12 (三重根 )0 0 1 1 11I A 1 1 1 0 0 0 1 11T T所以, ( 1I A)x 0 的基础解系为: (1,1, 0) ,( 1,0 ,1) .因此, A 的属于 1 的所有特征向量为:Tk Tk 1(1,1, 0 )2( 1,0,1) ( k 1, k 2 为不全为零的任 意常数 )。
1 2 3 4 0 1 2 3 (4);0 0 1 2 0 0 0 112 3 4解: I A0 0 0 1 2 1 3 2 ( 1)40 0 0 1所以,特征值为:11(四重根 )0 2 3 41I A 02320 0 0 0T所以,( 1I A) x 0的基础解系为:(1, 0, 0,0) .因此,A的属于1的所有特征向量为:Tk1(1, 0, 0,0 )( k1 0 ) 4 5 2(5) 2 2 1 ;1 1 14 5 2解:I A 2 2 1 ( 31)1 1 1所以,特征值为: 1 1(三重根)3 5 2 1 0 11I A 2 3 1 0 1 11 1 0 0 0 0T 所以,( 1I A)x 0 的基础解系为:( 1,1,1) .因此,A的属于 1 的所有特征向量为:Tk1( 1,1,1) ( k1 0 )2 2 0 (6) 2 1 2 ;0 2 02 2 0解:( 1)( 4)( 2)I A 2 1 20 2所以,特征值为: 1 1(单根), 2 4 (单根), 3 2(单根),1 2 0 1 0 11I A 20 2 0 2 10 2 1 0 0 0T所以,( 1I A)x 0 的基础解系为:( 2, 1,2 ).因此,A的属于 1 的所有特征向量为:Tk1( 2, 1,2) ( k1 0 )2 2 0 1 0 22I A 2 3 2 0 1 20 2 4 0 0 0T 所以,( 2 I A)x 0的基础解系为:(2, 2 ,1) .因此,A的属于 2 的所有特征向量为:Tk2(2, 2,1) ( k2 0 )4 2 0 2 0 12 3 2 0 1 13 I A0 2 2 0 0 0T 所以,( 3I A) x 0的基础解系为:(1,2,2) .因此,A的属于 3 的所有特征向量为:Tk3(1,2,2) ( k3 0 )7 4 12. 已知矩阵A 4 7 1的特征值 1 3 (二重), 2 12 , 求x的值,并求其特征4 4 x向量。
习题五1・填空题(1)当方程的个数等于未知数的个数时,Ax = b有惟一解的充分必要条件是解因为R(A) = R(A \b) = n是4x = b有惟一解的充要条件.故由R(A) = n可得\A\^0.(2)线性方程组X)+兀2 =Q|,兀2 + 兀3 = °2,可+兀4 =。
3, x4 + %)=a4有解的充分必要条件是______ .解对方程组的增广矩阵施行初等行变换所以方程组有解的充要条件是R(A) = R(B),(3)设川阶方阵力的各行元素之和均为零,且-1,则线性方程组Ax = 0的通解为_____________________解令1x =.■■丄显然x满足方程组,又因为R(A) = n-l f所以2?(/) = 1,即方程组的基础解系中有一个向量,通解为⑴1 T x = k . =£(1,1,・・・,1)T, £为任意常数.■■(4)设/为〃阶方阵,|力|=0,且伽的代数余子式4,工0 (其屮,\<k<n,丿= 1,2, •••/),则Ax = O 的通解 ______ •解 因为同=0,又九・工0,所以R(4)F — 1,并且有f0, i 壬 k;认+。
皿+・・・+绻仆仏|=0,匚=匕所以(血|,心2,…,血)丁是方程组的解,又因为R(A) = n-h 可知方程组的通解为TX = c(4】,42,…,4J ,其中c 为任意常数.(5)设Q 】A= a;■ ■其中,a 严J (i 韭j; i,j = \,2,…,n),则非齐次线性方程组A Jx = b 的解是x = _________解 x = (l,0,0,・・・,0)T.解 ci — —2 .2.单项选择题(1) _______________________________ 齐次线性方程组4x5^5xl = 〃解的情况是 •(A)无解;(B)仅有零解;(C)必有非零解; (D)可能有非零解,也可能没有非零解.答(C).(2) 设〃元齐次线性方程组的系数矩阵的秩/?(/) = 〃-3,且垃,$为此方程组的三个线性无关的解,则此方程组的基础解系是 ______ .1a 29Cl;■ ■"a 1(6)设方程1 a1、1有无穷多个解,(A) -6, 2§, 3§3+§] - 2§2;(B) §1+§2, §2 - §3,刍+厶;答(A).(3)要使§=(l,0,2)T, :=(0,1,—1)T都是线性方程组Ax = O的解,只要/为(A) (-2 1);(B)1)(C)1-1) '-1 0 2、;(D)4-2-2、0 1 -L\ / <011/答(A).(4)已知屈,良是Ax = h的两个不同的解, a n a2是相应的齐次方程组Ax = 0的基础解系,k^k2为任意常数,则Ax = b的通解是______(A) kg + k2 a +~~~—(c)kg +他(屈-角)+ " 2"(B) kg + k2a -a2) + 卩';几(D) k0\ + k2 (0] - 02)+ 卩'答(B).(5)设斤阶矩阵/的伴随矩阵A^O则对应的齐次线性方程组Ax = 0的基础解系是_______ .(A)不存在;(B)仅含一个非零解向量;(C)含有两个线性无关的解向量;(D)含有三个线性无关的解向量.答(B).(6)设有齐次线性方程组Ax =〃和Bx = 0,其屮〃均为mxn矩阵,现有4个命题:①若Ax = 0的解均是Bx = 0的解,则R(A)>R(B);②若R(A) > R(B),则Ax = 0的解均是Bx = 0的解;③若Ax = 0与Bx = 0同解,则R⑷二R(B);④若R(A) = R(B),则Ax = 0 与 Bx = 0同解.以上命题正确的是—(A)①,②;答(B). (B)①,③;若:是非齐次线性方程组Ax = b的互不相等的解,(C)②,④; (D)③,④.(7)设/是mxn矩阵,B是nxm矩阵,则线性方程组(AB)x = 0(A)当n>m时仅有零解;(C)当m > n时仅有零解;答(D). (B)当n>m时必有非零解;(D)当m > n时必有非零解.(8)设力是〃阶矩阵,a是〃维列向量. 若秩(B) A a "0>Ax = a必有惟一解;=秩(昇),则线性方程组.(C)A a'A么、=0仅有零解;(D)& °丿& °丿J丿(A) Ax = a必有无穷多解;〃必有非零解. 答(D).3.求下列齐次线性方程组的一个基础解系X { + X 2+ 2兀3 -兀4 = 0,(1) { 2兀]+ *2 + 兀3 一 兀4 = °,2X] + 2X 2 + X3 + 2兀=°;解对系数矩阵施行初等行变换,有与原方程组同解的方程组为4X3~~X4 =0,或写为4其中为任意常数•所以,基础解系为4、X )+ 2X 2 + X3 — X4 = 0, (2) < 3旺 + 6X 2 -x 3 - 3X 4 = 0,5x } +10x 2 +呂-5X 4 =0; 解<12 1 -0<1 2 0 -1] A = 3 6 -1 -3 T 0 0 1 0<5 \ 10 1 _5丿<0 0 0°丿与原方程组同解的方程组为(42 -1、1 0 0 ~31 -1 T 0 1 0 3 1 24 70 0 1~3>A= 21 ,2 2或写为£ =-2x 2兀3 = 0,其中,X 2, x 4可取任意常数你伦,故所以,基础解系为"-2、 1 0 <0,2x, + 3X 2 -兀3 +5兀4 = 0, 3X| + x 2 + 2*3 — 7兀4 = 0, 4兀]+x 2 - 3X 3 + 6兀=0,X] —2X 2 + 4X 3 -7X 4 = 0; 解7?(力)=4 = 〃,方程组组只有零解.3%] + 4X 2 一 5X 3 + 7X 4 = 0,2%j 一 3X 2 + 3X 3 一 2X 4 = 0, 4x, +1 lx 2 -13X 3 +I6X4 = 0, 7xj - 2X 2 + X3 + 3X 4 = 0.V3 -1 5、(\-2 4 7、3 1 2 -7 0 -3 1 21 -264 1 -3 6 0 0 1 5J -2 4 一7丿〔0 0 0 327丿A =x } +2XX =4. 求解下列非齐次线性方程组.4旺 + 2X 2 一 x 3 = 2,(1) < 3兀]—x 2 +2X 3 =10,11 兀I + 3 兀2 = &解对增广矩阵施行初等行变换<42 -1 * 2、<13 -3 '-8、B = 3 -1 2 10T-10 11 343 0 1 8丿<0 0 0 -6y« 7$ 与原方程组同解的方程组为或写为所以皐础解系为<32 -3 11 3丿3 V 13 4. 17 3 17' 19 20 ---- X173 ]73—13 * — A 17 3 17 19 — 20■ _17~ J 173 17 19 17 131720 17X = 兀2兀3<3> 1917 + k. 厂-13、-20J 丿」7丿=0, x 4,所以 /?(/) = 2, R(B) = 3.无解.2兀 + 3尹+ z = 4, x — 2y + 4z = -5, 3x + 8尹一 2z = 13,4x- j? + 9z = -6;R(A) = R(B) = 2,所以原方程组有解.与原方程组同解的方程组为x = —2z — 1, y= z + 2, z =2x+ y- z+w=l,4x+2尹一 2z+w=Z 2x+ y- z-w=l ;<2 4 2R(A) = R(B) = 2.原方程组有解.与原方程组同解的方程组为1 1 1x =——y+ —z + —,2 2 2 y= y , z =所以原方程组的通解为厂2 31 ・4<1 0 2・ -1)1 -2 4 -5T0 1 -1 2 3 8 -2 130 0 0 0 <4 -1 9<0 00 •°丿 B =/ 、"-2、r-ny =k 1 + 2 工丿k b<-1 -2z,z .5. 问九取何值时,非齐次线性方程组九X] + x 2 + x 3 = L2x+ y- z+ w=l, 3x-2y+ z-3w=4, x+4p-3z+5w=-2・[1]<r~222 1+ Z+10 0\ 丿< )<1、rp2 + & 0 02 < 0>o20 01 -24 -1 1 1 -3-351 4 -2£ 7 5 7£ 7 9 76 7 5 7= = 原方程组有解. 与原方程组同解的方程组为1 1 6 X = —z + —w + —,7 7 7 5 9 5 2 y = — z -- w —,7 7 7 z = z,故通解为6\z \ X「1、< ny5-9 =k 、 7 + k"0 zo< 7>7 _5 ~7 0y z严« X] +心2 +兀3 =入,£ +勺+ Z =九'(1)有惟一解;(2)无解;(3)有无穷个解? 解系数行列式2 1 1D= 1 几 1 =(久一1)2(2 + 2)・1 1A当2工1且2工-2时D H O,方程组有惟一解.当2 = 1时,对增广矩阵施行初等行变换则R(4) = R(B) = 1<3,故原方程组有解且有无穷多解.当A = -2时,对增广矩阵施行初等行变换<-21 1r'11 -2 4、B =1 -21-2 T 1 -2 1 -2< 11 -2 4><-2 1 1<1 1 -2 4、<1 1 -2 4、 T0 -3 3 -6 T 0 -3 3 -6 ,<0 3 -3 9丿<0 0 0 3丿/?(/) = 2, R(B) = 3.所以方程组无解.6. 非齐次线性方程组—2%| ++ 兀3 = —ZX { 一2兀2 + 兀3 =儿兀1 + X 2 - 2X 3 =九2当入取何值时有解?并求出它的全部解.解对增广矩阵施行初等行变换,得<-2 1 1 -2)<11 -2B = 1 -21T0 -3 3 A(1 —兄)< J1-2 才丿0 0 (久一1)仇+ 2)丿当Q H I 且2^-2时,R(4) = 2, R(B) = 3方程组无解. 当2 = 1时,有Q o -1 r0 1 —1 o o o o ?R(4) = R(B) = 2,方程组有解,且与原方程组同解的方程组为<1 1 1r—> 0 0 0 0<0 0 0 0.故原方程组的解为当2 = -2时,有10—12、1 -12 (0 0 0 0丿与原方程组同解的方程组为故方程组的解为(2—九)X] +2x, —2兀3 = 1,7.设{2旺+(5-九)吃- 化=2, 问九为何值吋,此方程组有惟一解、无解或有无穷—2^| —4七 + (5 —九)七=一入一1,多解?并在有无穷多解时求出其通解.解系数行列式2-2 2 -2D= 25-2 -4 =-(2-1)2(2-10). -2-45 —久当2工1且2工10时,方程组有惟一解. 当2 = 1时,有< 12-2<1 2 -2B =2 4 -42 T0 0 0 0<-2 -44_2丿<0 00 0丿R(4) = R(B) = 1,方程组有无穷多解,此时兀2 二 k\1 + 0卫3丿<1>x =X] + 2兀2 一2兀3 = 1 通解为/ 、兀2,-2、 1+嘉0 + ⑴0 "丿< °丿<1>\ / x =当2 = 10时,有厂-8 2 -2r(2 -5 -4 2B =2 -5 -42 T 01 1 1「2 -4 -5 —11丿,00 -3/?(/) = 2, R(B) = 3,故方程组无解.8•问为何值时,非齐次线性方程组(1) 有惟一解,求出惟一解; 解方程组的增广矩阵兀[+兀2X?_ *2 +(Q _ 3)兀3 _ 2X 4 =b. 3X[ + 2X 2 + X3 + ax 4 =-l有无穷多解,并写出通解.+ X3 + X4 = 0,+ 2X + 2X = 1,1 1 1 0、1 1 1 0) 0 12 21T0 1221 0 -1 67-3 -2 b0 0 a-\ 0 b + l<3 21a j 丿<0 00 a-\o>当GH1时,R(A) = R(B) = 4,方程组有惟一解.B Trr. —a + b — 2 a — 2b + 3所以,£ = ----------- ,也= ---------- ,兀3a-\ 'a-1 B T(0a-ia —2b —a-\b + la-1=0.b+1所以,当Q = 1且b^-\时,/?(/!) = 2, R(B) = 3,方程组无解.(2)无解;(3) B此时V 、[1、24 ,”2七% =364求该方程组的通解.解 斤=4,尸=/?(/)二3,所以川一尸=1,令则§为基础解系,故方程组的通解为<0厂3、624835 J0丿<4>、6丿©=2小-(小+吃)而当G = 1且/? = 一1时,有1 o -1 -r —1、0 12 2 1 B T0 0 0R(A) = R(B) = 2,方程组有解,且与原方程组同解的方程组为x 4 = _1,x 2 +2兀3 +2 兀4 = h或写为故原方程组的通解为其中心为任意实数9.设四元非齐次线性力程组的系数矩阵的秩为3,已知% ,弘,〃3是它的三个解向量,且其中R 可取任意常数.10. 设4〃都是〃阶方阵,且AB = O .证明R(A) + R(B)S ・证明设B = ®,筠,…,仇),则有Ab. =0 (丿=1, 2,…,n)・可见每个曾都是Ax = O 的解向量.因R(A) = r,可知/lx 二〃的解空间的维数是n-r ,所以向量组叽 X ,…,叽的秩小于等于 m ,从而— i 于是R(4) + R(B)— + (m) = n.11. 己知非齐次线性方程组X )+吃 +兀3 +兀4 = _] 4%j + 3X 2 + 5X 3 —X 4 = —1 ax } + x? + 3X 3 + hx 4 = 1有3个线性无关的解.(1) 证明方程组的系数矩阵Z 的秩R(A) = 2; (2) 求的值及方程组的通解.解(1)设a p a 2,a 3是方程组Ax =0的3个线性无关的解,其中<111 1、r-rA = 4 3 5 -14 -i1 3 b)则有A©、_a?) = 0、A(a 、_aj = 0 ,即a } -a 2,a }-a y 是对应齐次线性方程组Ax = O 的解,且线 性无关.(否则,易推出a,,a 2,a 3线性相关,矛盾).所以n-R(A)>2,即4 — R(/)n2nR(/)52.又矩阵/中有一个2阶子式】1 =-1^0,所 以7?(/1)>2.因此R(A) =2.(2) 因为<1 1 1 1 ><1 1 1 1、<1 1 11 ) A = 4 3 5 -1 T 0 -11-5T0 -11-5W 13 b 丿(0 \-a3-a b_a 丿<0 0 4 —2Q b + 4a — 5丿又7?(力)=2,贝ijJ4-2d = 0, J G = 2, 爲+ 4a-5 = 0 戶爲二-3.对原方程组的增广矩阵施行初等行变换,x = kg\+TJ\ = k<1 1 1 1 -1、<1 0 2 -4 2、 B = 4 3 5 -1 -1 —> 0 1 -1 5 -3<2 1 3 -3 /<0 0 0 0 0>故原方稈组与下面的方程组同解Xj — —2 兀3 + 4 兀4 + 2x 2= x 3 - 5X 4 _ 3选兀3,兀为自由变量,则故所求通解为1a,b,c 不全为零,矩阵〃 =2 .3且AB = O,求线性方程组Ax = O 的通解.解 由于AB = O ,故&/) + 7?(〃)53,又由a,b,c 不全为零,可知R(A) > 1. 当&H9 时,R(B) = 2 ,于是R(A) = 1;当 k = 9 时,)= 1,于是 R(4) = 1 或 7?(/) = 2.①对于殳工9,由AB = O 可得由于7=(l,2,3)T,%=(3,6,k)T 线性无关,故弘,弘为Ax = O 的一个基础解系,于是Ax = O 的通 解为x =C X TJ { + c 2r]2,其中q,C2为任意常数.②对于k = 9,分别就R(A) = 2和/?(/) = 1进行讨论.如果R(4) = 2 ,则Ax = 〃的基础解系由一个向量构成.又因为/ 2 = 0 ,所以Ax = O 的通解为X = C 1(1,2,3)T ,其中q 为任意常数.如果7?(/) = 1,则Ax = O 的基础解系由两个向量构成.又因为力的第1行是(a,b,c),且a,b,c 不 全为零,所以Ax = 0 等价于 ax } + bx 2 += 0 .不妨设 a 工0 , “】=(一/>,。
第五章n 维向量空间习题一1. 解:a-b = a+(-b)= (1,1,0)T +(0,-1,-1)T = (1,0,-1)T3a+2b-c = 3a+2b+(-c)= (3,3,0)T +(0,2,2)T +(-3,-4,0)T = (0,1,2)T2. 解: 3(a 1-a)+2(a 2+a) = 5(a 3+a) 3a 1+2a 2+(-3+2)a = 5a 3+5a 3a 1+2a 2+(-a) = 5a 3+5a3a 1+2a 2+(-a)+a+(-5)a 3 = 5a 3+5a+a+(-5)a 3 3a 1+2a 2+(-5)a 3 = 6a61[3a 1+2a 2+(-5)a 3] = 616a21a 1+31a 2+(-65)a 3 = a将a 1=(2,5,1,3)T ,a 2=(10,1,5,10)T ,a 3=(4,1,-1,1)T 代入a =21a 1+31a 2+(-65)a 3 中可得: a=(1,2,3,4)T .3. (1) V 1是向量空间.由(0,0,…,0)∈V 1知V 1非空.设a=(x 1,x 2,…,x n )∈V 1,b=(y 1,y 2,…,y n )∈V 1,则有x 1+x 2+…+x n =0,y 1+y 2+…+y n =0.因为(x 1+y 1)+(x 2+y 2)+…+(x n +y n )= (x 1+x 2+…+x n )+( y 1+y 2+…+y n )=0所以a+b=( x 1+y 1,x 2+y 2,…,x n +y n )∈V 1.对于k ∈R ,有 kx 1+kx 2+…+kx n =k(x 1+x 2+…+x n )=0所以ka=( kx 1,kx 2,…,kx n ) ∈V 1.因此V 1是向量空间.(2) V 2不是向量空间.因为取a=(1, x 2,…,x n )∈V 2 ,b=(1, y 2,…,y n )∈V 2,但a+b=(2, x 2+y 2,…,x n +y n )∉V 2.因此V 2不是向量空间.习 题 二1. 求向量b 关于向量组a 1,a 2,a 3,a 4的线性组合表达式:(1) 解:设向量b 关于向量组a 1,a 2,a 3,a 4的线性组合表达式为: b=k 1a 1+k 2a 2+k 3a 3+k 4a 4其中, k 1,k 2,k 3,k 4为待定常数.则将b=(0,2,0,-1)T ,a 1=(1,1,1,1)T ,a 2=(1,1,1,0)T ,a 3=(1,1,0,0)T ,a 4=(1,0,0,0)T 向量b 关于向量组a 1,a 2,a 3,a 4的线性组合表达式中可得: (0,2,0,-1)T =k 1(1,1,1,1)T +k 2(1,1,1,0)T +k 3(1,1,0,0)T +k 4(1,0,0,0)T 根据对分量相等可得下列线性方程组:⎪⎪⎩⎪⎪⎨⎧-====++++++1201213214321k k k k k k k k k k解此方程组可得:k 1=-1,k 2=1,k 3=2,k 4=-2.因此向量b 关于向量组a 1,a 2,a 3,a 4的线性组合表达式为: b=-a 1+a 2+2a 3-2a 4 .(2) 与(1)类似可有下列线性方程组:⎪⎪⎩⎪⎪⎨⎧===-=+++++++++121332223212143214321k k k k k k k k k k k k k由方程组中的第一和第二个方程易解得:k 2=4,于是依次可解得:k 1=-2,k 3=-9, k 4=2.因此向量b 关于向量组a 1,a 2,a 3,a 4的线性组合表达式为: b=-2a 1+4a 2-9a 3+2a 4 .2.(1) 解:因为向量组中向量的个数大于每个向量的维数,由推论2知a 1,a 2 ,a 3,a 4线性相关.(2) 解:()⎪⎪⎪⎭⎫ ⎝⎛--→⎪⎪⎪⎭⎫ ⎝⎛-→⎪⎪⎪⎭⎫ ⎝⎛=400510111220510111331621111321a a a因为()3321=a a a R所以a 1,a 2,a 3线性无关.(3) 解:()⎪⎪⎪⎭⎫ ⎝⎛-→⎪⎪⎪⎭⎫ ⎝⎛--→⎪⎪⎪⎭⎫ ⎝⎛-=00021011142012601117131442111321a a a因为()32321<=a a a R所以a 1,a 2,a 3线性相关.(4) 解:()⎪⎪⎪⎭⎫ ⎝⎛--→⎪⎪⎪⎭⎫ ⎝⎛---→⎪⎪⎪⎭⎫ ⎝⎛---=500410111320410111211301111321a a a因为()3321=a a a R所以a 1,a 2,a 3线性无关.3. 证明:假设有常数k 1,k 2,k 3,使 k 1b 1+k 2b 2+k 3b 3=0又由于b 1=a 1,b 2=a 1+a 2,b 3=a 1+a 2+a 3,于是可得 k 1a 1+k 2(a 1+a 2)+k 3(a 1+a 2+a 3)=0 即(k 1+k 2+k 3)a 1+ (k 2+k 3)a 2+k 3a 3=0 因为a 1,a 2,a 3线性无关,所以有⎪⎩⎪⎨⎧==+=++000332321k k k k k k 解得⎪⎩⎪⎨⎧===000321k k k因此向量组b 1,b 2,b 3线性无关.4. 设存在常数k 1,k 2,k 3,k 4使k 1b 1+k 2b 2+k 3b 3+k 4b 4=0因为b 1=a 1+a 2,b 2= a 2+a 3,b 3=a 3+a 4,b 4= a 4+a 1 于是可得:k 1 (a 1+a 2)+k 2(a 2+a 3)+k 3(a 3+a 4)+k 4(a 4+a 1)=0 整理得:(k 1+k 4)a 1+ (k 2+k 1)a 2+(k 2+k 3)a 3+(k 3+k 4)a 4=0, (下用两种方法解)法 一:因为a 1,a 2,a 3,a 4为同维向量,则 (1) 当向量组a 1,a 2,a 3,a 4线性无关时,k 1+k 4=0, k 2+k 1=0,k 2+k 3=0,k 3+k 4=0可解得:k 2=- k 1,k 4=- k 1,k 3=k 1取k 1≠0可得不为0的常数k 1,k 2,k 3,k 4使k 1b 1+k 2b 2+k 3b 3+k 4b 4=0 因此b 1,b 2,b 3,b 4线性相关。
第五章课后习题及解答1. 求下列矩阵的特征值和特征向量:(1) ;1332⎪⎪⎭⎫⎝⎛-- 解:,07313322=--=--=-λλλλλA I2373,237321-=+=λλ ,001336371237121371⎪⎪⎭⎫ ⎝⎛→→⎪⎪⎭⎫⎝⎛=-++- A I λ 所以,0)(1=-x A I λ的基础解系为:.)371,6(T-因此,A 的属于1λ的所有特征向量为:).0()371,6(11≠-k k T,001336371237123712⎪⎪⎭⎫ ⎝⎛→→⎪⎪⎭⎫⎝⎛-=---+ A I λ 所以,0)(2=-x A I λ的基础解系为:.)371,6(T+因此,A 的属于2λ的所有特征向量为:).0()371,6(22≠+k k T(2) ;211102113⎪⎪⎪⎭⎫ ⎝⎛--解:2)2)(1(21112113--==------=-λλλλλλ A I所以,特征值为:11=λ(单根),22=λ(二重根)⎪⎪⎪⎭⎫ ⎝⎛-→→⎪⎪⎪⎭⎫ ⎝⎛------=-0001100011111121121 A I λ所以,0)(1=-x A I λ的基础解系为:.)1,1,0(T因此,A 的属于1λ的所有特征向量为:).0()1,1,0(11≠k k T⎪⎪⎪⎭⎫ ⎝⎛-→→⎪⎪⎪⎭⎫ ⎝⎛-----=-0001000110111221112 A I λ所以,0)(2=-x A I λ的基础解系为:.)0,1,1(T因此,A 的属于2λ的所有特征向量为:).0()0,1,1(22≠k k T(3) ;311111002⎪⎪⎪⎭⎫ ⎝⎛-解:3)2(31111102-==------=-λλλλλ A I所以,特征值为:21=λ(三重根)⎪⎪⎪⎭⎫⎝⎛-→→⎪⎪⎪⎭⎫ ⎝⎛----=-0000001111111110001 A I λ所以,0)(1=-x A I λ的基础解系为:.)1,0,1(,)0,1,1(TT -因此,A 的属于1λ的所有特征向量为:TT k k )1,0,1()0,1,1(21-+(21,k k 为不全为零的任 意常数)。
线代第五章答案1) A 2) A 3) A 4) A2 印a〔 a ?a 〔 a ? 2 a2a aa 1a 3 a 2a3 2a35) A6) A1.写出下列矩阵对应的二次型x ; 2为 X 31)f (X 1,X 2,X 3) 2)3) f 化冬压)X 2 2X | 3x f 2%X 24X ^3 6X 2X 34)一、 温习巩固1、写出下列二次型的矩阵2 2 2f (为,X 2,X 3,X 4) X 1 2X 2 3X 3 2X 1X 2 4X 1X 3 6X 2X 32.判定下列二次型的正定性1)解:f (X 1,X 2, X 3) 3xf 6X 1X 3 x ; 4X 2X 3 8x ;的矩阵为 A所以f (X 1, X 2 , X 3)为正定32)解:此二次型的矩阵为A 2第五早二次型3 2 03 2顺序主子式3 3, 4 0.所以此二次型不是正定二次型.2 0, 2 2 22 20 2 1姓名 班级 学号 任课老师3) f (X i ,X 2,X 3) 2 2(1)为 X 2 6X 2X 3X 32,当取何值时,二次型f 为正定.解f(X i ,X 2,X 3)的矩阵为1 0A0 3,31 02A 11 0, A10,卜3A 1 9 0从而 3,故当3时,二次型 f 为正定.、练习提高1.求一正交变换X PY ,把二次型f(x i , X 2, X 3)2X I X 3 x 2化为标准型0 0 10 1解:此二次型的矩阵为A 0 1 0,特征多项式f() 0 1 0(1)2(1),1 0 0 1 01 01对应1 2 1有特征向量0 ,1 ,对应3 1有特征向量 0 ,1 01言0吉取 P 0 1 0 ,并令 X PY ,则二次型 f (x 1, X 2, X 3) 2x 1x 3 x 2 可化为 y 2 y ; yl 。
耕0詰2.求一个正交变换X PY ,把二次型f x 2 x ; x 2 2x 1x 3化为标准形1 0 11 0 1解: 此二次型的矩阵为A0 1 0 ,特征多项式f()0 1 0(1)( 2),1 0 11 0 111 对应10有特征向量0 ,对应2 1有特征向量 1 , 对应32有特征向量0 , 11专0专取P0 1 0 ,并令XPY ,则二次型fx 22X22 X32X 1X 3 可化为 y 2 2y 3。
第五章 二次型一、 温习巩固1、写出下列二次型的矩阵1)3111A -⎛⎫= ⎪-⎝⎭2)1112133223112A ⎛⎫- ⎪⎪ ⎪= ⎪ ⎪ ⎪-- ⎪⎝⎭ 3)1110213302231102000A ⎛⎫- ⎪⎪ ⎪ ⎪= ⎪ ⎪-- ⎪ ⎪⎝⎭4)2112132********233a a a a a A a a a a a a a a a a ⎛⎫⎪= ⎪ ⎪⎝⎭5)2221A ⎛⎫= ⎪⎝⎭ 6)135357579A ⎛⎫⎪= ⎪ ⎪⎝⎭1. 写出下列矩阵对应的二次型1)2123213(,,)2f x x x x x x =+ 2)222123123(,,)32f x x x x x x =-+3)222123123121323(,,)23246f x x x x x x x x x x x x =+++++ 4)2221234123121323(,,,)23246f x x x x x x x x x x x x x =+++++ 2. 判定下列二次型的正定性1)解: 2221231132233(,,)3648f x x x x x x x x x x =++-+的矩阵为303012328A ⎛⎫⎪=- ⎪ ⎪-⎝⎭,130A =>,2303001A ==>,330301230328A A ==-=>-,所以123(,,)f x x x 为正定2)解: 此二次型的矩阵为320222021A ⎡⎤⎢⎥=⎢⎥⎢⎥⎣⎦顺序主子式3203233,20,22240.22021==>=-<所以此二次型不是正定二次型.3)22212312233(,,)(1)6f x x x x x x x x λλλ=-+-+,当λ取何值时,二次型f 为正定.解 123(,,)f x x x 的矩阵为1000303A λλλ-⎛⎫⎪=- ⎪ ⎪-⎝⎭,110A λ=->,()210100A λλλλ-==->,()()23190A A λλ==-->3λ>从而,故当3λ>时,二次型f 为正定.二、 练习提高1.求一正交变换X PY =,把二次型2123132(,,)2f x x x x x x =+化为标准型。
线性代数第五章答案第五章相似矩阵及二次型1. 试用施密特法把下列向量组正交化:(1)=931421111) , ,(321a a a ;解根据施密特正交化方法==11111a b , ???? ??-=-=101],[],[1112122b b b a b a b ,-=--=12131],[],[],[],[222321113133b b b a b b b b a b a b (2)---=011101110111) , ,(321a a a解根据施密特正交化方法-==110111a b-=-=123131],[],[1112122b b b a b a b-=--=433151],[],[],[],[222321113133b b b a b b b b a b a b2. 下列矩阵是不是正交阵:(1)---121312112131211; 解此矩阵的第一个行向量非单位向量, 故不是正交阵.(2)------979494949198949891. 解该方阵每一个行向量均是单位向量, 且两两正交, 故为正交阵.3 设x 为n 维列向量 x Tx 1 令H E 2xx T证明H 是对称的正交阵证明因为 HT(E 2xx T )TE 2(xx T )T E 2(xx T )T E 2(x T )T x TE 2xx T所以H 是对称矩阵因为 H THHH (E 2xx T )(E 2xx T )E 2xx T 2xxT (2xx T )(2xx T)E 4xx T 4x (x Tx )x TE 4xx T4xx TE所以H 是正交矩阵4. 设A 与B 都是n 阶正交阵, 证明AB 也是正交阵. 证明因为A B 是n 阶正交阵, 故A1A T B1B T(AB )T(AB )B T A TABB 1A 1AB E故AB 也是正交阵.5. 求下列矩阵的特征值和特征向量:(1)----201335212;解 3)1(201335212||+-=-------=-λλλλλE A故A 的特征值为1(三重). 对于特征值1 由----=+000110101101325213~E A得方程(A E )x 0的基础解系p 1(1 1 1)T向量p 1就是对应于特征值1的特征值向量.(2)633312321;解 )9)(1(633312321||-+-=---=-λλλλλλλE A故A 的特征值为10 2139.对于特征值10, 由=000110321633312321~A得方程A x 0的基础解系p 1(1 1 1) T向量p 1是对应于特征值10的特征值向量. 对于特征值21, 由=+000100322733322322~E A得方程(A E )x0的基础解系p 2(1 1 0)T向量p 2就是对应于特征值21的特征值向量对于特征值39, 由--???? ??---=-00021101113333823289~E A得方程(A 9E )x 0的基础解系p 3(1/2 1/2 1)T向量p 3就是对应于特征值39的特征值向量.(3)0001001001001000.(和书后答案不同,以书后为主,但解题步骤可以参考)解22)1()1(001010010100||+-=----=-λλλλλλλE A故A 的特征值为121341.对于特征值121, 由=+000000011010011001011001101001~E A得方程(A E )x 0的基础解系p 1(1 0 0 1) Tp 2(0 1 1 0)T向量p 1和p 2是对应于特征值121的线性无关特征值向量.对于特征值341, 由------=-00000000011010011001011001101001~E A得方程(A E )x 0的基础解系p 3(1 0 0 1)Tp 4(0 1 1 0)T向量p 3和p 4是对应于特征值341的线性无关特征值向量.6 设A 为n 阶矩阵证明A T与A 的特征值相同证明因为|ATE ||(A E )T ||AE |T |A E |所以A T与A的特征多项式相同从而A T与A的特征值相同7设n阶矩阵A、B满足R(A)R(B)n证明A与B有公共的特征值有公共的特征向量证明设R(A)r R(B)t则r t n若a1a2a n r是齐次方程组A x0的基础解系显然它们是A的对应于特征值0的线性无关的特征向量类似地设b1b2b n t是齐次方程组B x0的基础解系则它们是B 的对应于特征值0的线性无关的特征向量由于(n r)(n t)n(n r t)n故a1a2a n r b1b2b n t必线性相关于是有不全为0的数k1k2k n r l1l2l n t使k1a1k2a2k n r a n r l1b1l2b2l n r b n r0记k1a1k2a2k n r a n r(l1b1l2b2l n r b n r)则k1k2k n r不全为0否则l1l2l n t不全为0而l1b1l2b2l n r b n r0与b1b2b n t线性无关相矛盾因此0是A的也是B的关于0的特征向量所以A与B有公共的特征值有公共的特征向量8设A23A2E O证明A的特征值只能取1或2证明设是A的任意一个特征值x是A的对应于的特征向量则(A23A2E)x2x3x2x(232)x0因为x0所以2320即是方程2320的根也就是说1或29设A为正交阵且|A|1证明1是A的特征值证明因为A为正交矩阵所以A的特征值为1或1(需要说明)因为|A|等于所有特征值之积又|A|1所以必有奇数个特征值为1即1是A的特征值10设0是m阶矩阵A m n B n m的特征值证明也是n阶矩阵BA 的特征值证明设x是AB的对应于0的特征向量则有(AB)x x于是B(AB)x B(x)或BA(B x)(B x)从而是BA 的特征值且B x 是BA 的对应于的特征向量11 已知3阶矩阵A 的特征值为1 2 3 求|A 35A27A |解令()3527 则(1)3 (2)2(3)3是(A )的特征值故 |A 35A27A ||(A )|(1)×(2)×(3)3231812 已知3阶矩阵A 的特征值为1 2 3 求|A *3A 2E | 解因为|A |12( 3)60 所以A 可逆故A *|A |A 16A 1 A *3A 2E 6A13A 2E 令()6132 则(1)1 (2)5 (3)5是(A )的特征值故 |A *3A 2E ||6A 13A 2E ||(A )|(1)×(2)×(3)15(5)2513 设A 、B 都是n 阶矩阵且A 可逆证明AB 与BA 相似证明取P A 则P 1ABP A 1ABA BA即AB 与BA 相似 14设矩阵=50413102x A 可相似对角化求x解由)6()1(50413102||2---=---=-λλλλλλx E A ,得A 的特征值为l 1=6, l 2=l 3=1.因为A 可相似对角化, 所以对于l 2=l 3=1, 齐次线性方程组(A -E )x =0有两个线性无关的解, 因此R (A -E )=1. 由-???? ??=-00030010140403101)(~x x E A r知当x =3时R (A -E )=1, 即x =3为所求.15. 已知p =(1, 1, -1)T是矩阵---=2135212b a A 的一个特征向量.(1)求参数a , b 及特征向量p 所对应的特征值; 解设l 是特征向量p 所对应的特征值, 则(A -lE )p =0, 即=???? ??-???? ??------0001112135212λλλb a ,解之得l =-1, a =-3, b =0.(2)问A 能不能相似对角化?并说明理由. 解由3)1(201335212||--=-------=-λλλλλE A得A 的特征值为1231由-???? ??----=-00011010111325211~r b E A知R (A E )2 所以齐次线性方程组(A E )x 0的基础解系只有一个解向量因此A不能相似对角化16. 试求一个正交的相似变换矩阵, 将下列对称阵化为对角阵:(1)----020212022;解将所给矩阵记为A由λλλλ-------=-20212022E A (1)(4)(2)得矩阵A 的特征值为122134.对于12, 解方程(A 2E )x 0 即0220232024321=----x x x得特征向量(1 2 2)T单位化得T)32 ,32 ,31(1=p对于21, 解方程(A E )x 0即0120202021321=-----x x x 得特征向量(2 1 2) T单位化得T)32 ,31 ,32(2-=p对于34, 解方程(A 4E )x 0即0420232022321=-------x x x 得特征向量(2 2 1) T单位化得T)31 ,32 ,32(3-=p于是有正交阵P (p 1 p 2 p 3)使P 1AP diag(2 1 4)(2)----542452222. (和书后答案不同,以书后答案为准,解题步骤可以参考)解将所给矩阵记为A由λλλλ-------=-542452222E A (1)2(10),得矩阵A 的特征值为121310. 对于121, 解方程(A E )x 0即=???? ?????? ??----000442442221321x x x得线性无关特征向量(2 1 0)T和(2 0 1)T将它们正交化、单位化得T 0) 1, ,2(511-=pT5) ,4 ,2(5312=p对于310, 解方程(A 10E )x 0即=???? ?????? ??-------000542452228321x x x 得特征向量(1 2 2)T单位化得T)2 ,2 ,1(313--=p于是有正交阵P (p 1 p 2 p 3) 使P 1AP diag(1 1 10)17设矩阵------=12422421x A 与-=Λy 45相似求x y 并求一个正交阵P 使P 1AP解已知相似矩阵有相同的特征值显然54y 是的特征值故它们也是A 的特征值因为4是A 的特征值所以)4(9524242425|4|=-=---+---=+x x E A 解之得x 4 已知相似矩阵的行列式相同因为100124242421||-=-------=A yy2045||-=-=Λ所以20y 100 y 5 对于5 解方程(A5E )x 0 得两个线性无关的特征向量(1 0 1) T(12 0)T将它们正交化、单位化得T)1 ,0 ,1(211-=pT)1 ,4 ,1(2312-=p对于4解方程(A 4E )x 0 得特征向量(2 1 2)T单位化得T)2 ,1 ,2(313=p于是有正交矩阵?--=23132212343102313221P 使P 1AP18. 设3阶方阵A 的特征值为122231; 对应的特征向量依次为p 1(0 1 1)T p 2(1 1 1)T p 3(1 1 0)T 求A . 解令P (p 1 p 2 p 3) 则P 1AP diag(2 2 1)A P P1因为---=???? ??=--1101110110111111101 1P所以 ???? ??---???? ?-???? ??=Λ=-1101110111000200020111111101P P A------=24435433219 设3阶对称阵A 的特征值为112130 对应1、2的特征向量依次为p 1(122)Tp 2(2 1 2)T求A 解设=653542321x x x x x x x x x A 则A p 12p 1A p22p 2 即=++=++=++222222122653542321x x x x x x x x x ①=-+-=-+-=-+2 22122222653542321x x x x x x x x x ②再由特征值的性质有x 1x 4x 61230 ③由①②③解得 612131xx --= 6221x x =634132x x -=。
第五章课后习题及解答1. 求下列矩阵的特征值和特征向量:(1) ;1332⎪⎪⎭⎫⎝⎛-- 解:,07313322=--=--=-λλλλλA I2373,237321-=+=λλ ,001336371237121371⎪⎪⎭⎫ ⎝⎛→→⎪⎪⎭⎫⎝⎛=-++- A I λ 所以,0)(1=-x A I λ的基础解系为:.)371,6(T-因此,A 的属于1λ的所有特征向量为:).0()371,6(11≠-k k T,001336371237123712⎪⎪⎭⎫ ⎝⎛→→⎪⎪⎭⎫⎝⎛-=---+ A I λ 所以,0)(2=-x A I λ的基础解系为:.)371,6(T+因此,A 的属于2λ的所有特征向量为:).0()371,6(22≠+k k T(2) ;211102113⎪⎪⎪⎭⎫ ⎝⎛--解:2)2)(1(21112113--==------=-λλλλλλ A I所以,特征值为:11=λ(单根),22=λ(二重根)⎪⎪⎪⎭⎫ ⎝⎛-→→⎪⎪⎪⎭⎫ ⎝⎛------=-0001100011111121121 A I λ所以,0)(1=-x A I λ的基础解系为:.)1,1,0(T因此,A 的属于1λ的所有特征向量为:).0()1,1,0(11≠k k T⎪⎪⎪⎭⎫ ⎝⎛-→→⎪⎪⎪⎭⎫ ⎝⎛-----=-0001000110111221112 A I λ所以,0)(2=-x A I λ的基础解系为:.)0,1,1(T因此,A 的属于2λ的所有特征向量为:).0()0,1,1(22≠k k T(3) ;311111002⎪⎪⎪⎭⎫ ⎝⎛-解:3)2(31111102-==------=-λλλλλ A I所以,特征值为:21=λ(三重根)⎪⎪⎪⎭⎫⎝⎛-→→⎪⎪⎪⎭⎫ ⎝⎛----=-0000001111111110001 A I λ所以,0)(1=-x A I λ的基础解系为:.)1,0,1(,)0,1,1(TT-因此,A 的属于1λ的所有特征向量为:TTk k )1,0,1()0,1,1(21-+(21,k k 为不全为零的任意常数)。
(4) ;1000210032104321⎪⎪⎪⎪⎪⎭⎫⎝⎛解:4)1(1210032104321-=----------=-λλλλλλA I 所以,特征值为:11=λ(四重根)⎪⎪⎪⎪⎪⎭⎫ ⎝⎛------=-00002000320043201A I λ 所以,0)(1=-x A I λ的基础解系为:.)0,0,0,1(T因此,A 的属于1λ的所有特征向量为:Tk )0,0,0,1(1(01≠k )(5) ;111122254⎪⎪⎪⎭⎫ ⎝⎛-----解:3)1(111122254-==--+--=-λλλλλ A I所以,特征值为:11=λ(三重根)⎪⎪⎪⎭⎫⎝⎛-→→⎪⎪⎪⎭⎫ ⎝⎛---=-0001101010111322531 A I λ 所以,0)(1=-x A I λ的基础解系为:.)1,1,1(T-因此,A 的属于1λ的所有特征向量为:Tk )1,1,1(1-(01≠k )(6) ;020212022⎪⎪⎪⎭⎫⎝⎛----解:)2)(4)(1(20212022+--==--=-λλλλλλλ A I 所以,特征值为:11=λ(单根), 42=λ(单根), 23-=λ(单根),⎪⎪⎪⎭⎫⎝⎛→→⎪⎪⎪⎭⎫ ⎝⎛-=-0001201011202020211 A I λ所以,0)(1=-x A I λ的基础解系为:.)2,1,2(T--因此,A 的属于1λ的所有特征向量为:Tk )2,1,2(1--(01≠k )⎪⎪⎪⎭⎫ ⎝⎛-→→⎪⎪⎪⎭⎫ ⎝⎛=-0002102014202320222 A I λ所以,0)(2=-x A I λ的基础解系为:.)1,2,2(T-因此,A 的属于2λ的所有特征向量为:Tk )1,2,2(2-(02≠k )⎪⎪⎪⎭⎫ ⎝⎛--→→⎪⎪⎪⎭⎫ ⎝⎛---=-0001101022202320243 A I λ所以,0)(3=-x A I λ的基础解系为:.)2,2,1(T因此,A 的属于3λ的所有特征向量为:Tk )2,2,1(3(03≠k )2. 已知矩阵⎪⎪⎪⎭⎫ ⎝⎛----=x A 44174147的特征值31=λ(二重),122=λ, 求x 的值,并求其特征向量。
解:123377++=++x 4=∴x⎪⎪⎪⎭⎫ ⎝⎛-→→⎪⎪⎪⎭⎫ ⎝⎛-----=-0000001441441441443 A I所以,0)3(=-x A I 的基础解系为:.)4,0,1(,)0,1,1(TT-因此,A 的属于3的所有特征向量为:TTk k )4,0,1()0,1,1(21+-(21,k k 为不全为零的任意常数)⎪⎪⎪⎭⎫ ⎝⎛→→⎪⎪⎪⎭⎫ ⎝⎛--=-00011010184415414512 A I所以,0)12(=-x A I 的基础解系为:.)1,1,1(T--因此,A 的属于12的所有特征向量为:Tk )1,1,1(3--(03≠k )3. 设21,x x 是矩阵A 不同特征值的特征向量,证明21x x +不是A 的一个特征向量。
证:(反证法)若21x x +是A 的属于特征值λ的一个特征向量,21,x x 是A 的属于特征值21,λλ的特征向量且21λλ≠,则:2211212121)()(x x Ax Ax x x A x x λλλ+=+=+=+所以,0)()(2211=-+-x x λλλλ21,x x 属于不同特征值 21,x x ∴线性无关0,021=-=-∴λλλλ即21λλλ==与21λλ≠矛盾。
所以,21x x +不是A 的一个特征向量。
4. 设321,,x x x 分别是矩阵A 对应于互不相同的特征值321,,λλλ的特征向量,证明321x x x ++不是A 的一个特征向量。
证:类似3题可证。
5. 证明对合矩阵A (即I A =2)的特征值只能为1或1-.证:0)1()1(2=-=-=-=-n I I I A I λλλλ2A ∴的特征值只有1.若λ为A 的特征值,则2λ为2A 的特征值A ∴的特征值只能为1或1-.6. 设A 可逆,讨论A 与*A 的特征值(特征向量)之间的相互关系。
解:1-*=A A A∴若,x Ax λ=则x Ax A λ=*.7. 若,1B AP P =-问:I B P I A P 2)2(1-=--是否成立?解:成立。
8. 已知,2001~⎪⎪⎭⎫⎝⎛-=∧A 求).det(I A - 解:,~∧A 相似矩阵具有相同的特征值)2)(1(-+=-∴λλλA I2)21)(11()1()det(2-=-+=--=-A I I A9. 已知,2001,23121⎪⎪⎭⎫ ⎝⎛-=⎪⎪⎭⎫⎝⎛--=-AP P P 求.nA 解:⎪⎪⎭⎫ ⎝⎛-==--n nn nAP P P A P 200)1()(11⎪⎪⎭⎫ ⎝⎛+-⋅--+-⋅--=⎪⎪⎭⎫ ⎝⎛-=∴+++++-21111212)1(323)1(62)1(223)1(2200)1(n n n n n n n n n nn P P A*10. 设x AP P B ,1-=是矩阵A 属于特征值0λ的特征向量。
证明:x P 1-是矩阵B 对应其特征值0λ的一个特征向量。
证:AP P B x Ax 10,-==λ)()(10011111x P x P Ax P x APP P x P B ------====∴λλ*11. 设A 为非奇异矩阵,证明AB 与BA 相似。
证:A 为非奇异矩阵 1-∴A 存在BA A AB A =-)(1∴AB 与BA 相似*12. 设,~,~D C B A 证明:.00~00⎪⎪⎭⎫⎝⎛⎪⎪⎭⎫⎝⎛D B C A 证:D C B A ~,~ ∴存在可逆矩阵Q P ,, 使得D CQ Q B AP P ==--11,⎪⎪⎭⎫ ⎝⎛=⎪⎪⎭⎫ ⎝⎛=⎪⎪⎭⎫ ⎝⎛⎪⎪⎭⎫ ⎝⎛⎪⎪⎭⎫ ⎝⎛=⎪⎪⎭⎫ ⎝⎛⎪⎪⎭⎫ ⎝⎛⎪⎪⎭⎫ ⎝⎛-----D B CQ Q APP Q P C A Q P Q P C A Q P 000000000000000011111.00~00⎪⎪⎭⎫ ⎝⎛⎪⎪⎭⎫ ⎝⎛∴D B C A *13. 证明:m 阶矩阵⎪⎪⎪⎪⎪⎭⎫⎝⎛=01010 J 只有零特征值,且特征子空间是mR 的一维子空间,并求它的基。
解:0==-m J I λλJ ∴只有零特征值。
⎪⎪⎪⎪⎪⎭⎫⎝⎛--=-01010 J0=-∴Jx 的基础解系为:.)0,,0,1(T14. 若A I +可逆,A I -不可逆,那么,关于A 的特征值能做出怎样的断语?解:A I + 可逆,A I -不可逆0,0=-≠+∴A I A I∴1-不是A 的特征值,1是A 的特征值。
15. 若,0)det(2=-A I 证明: 1或1-至少有一个是A 的特征值。
证:A I A I A I -+=-=)det(02 0=+∴A I 或0=-A I∴1或1-至少有一个是A 的特征值。
16. 在第1题中,哪些矩阵可对角化?并对可对角化的矩阵A , 求矩阵P 和对角矩阵∧, 使得.1∧=-AP P解:由矩阵可对角化的条件及第1题的求解过程易知:(1), (6)可对角化。
(1) ).2373,2373(,37137166-+=∧⎪⎪⎭⎫ ⎝⎛+-=diag P (2) ).2,4,1(,212221122-=∧⎪⎪⎪⎭⎫⎝⎛---=diag P17. 主对角元互不相等的上(下)三角形矩阵是否与对角阵相似(说明理由)?解:可以,因为有n 个互不相等的特征值。
18. 设n 阶矩阵A 的2n 个元素全为1,试求可逆矩阵,P 使AP P 1-为对角阵,并写出与A 相似的对角阵。
解:1112121)(0000111)(),,(111111111)(),,(111111111--=-=++-------=++---------=-n n n n n r r r r n r r r r A I λλλλλλλλλλλλ所以,特征值为:n =1λ(单根),02=λ(1-n 重根)⎪⎪⎪⎪⎪⎪⎭⎫⎝⎛---→→⎪⎪⎪⎪⎪⎭⎫⎝⎛---------=-0000110010101001111111111n n n A nI所以,0)(=-x A nI 的基础解系为:.)1,,1,1(T⎪⎪⎪⎪⎪⎭⎫⎝⎛→→⎪⎪⎪⎪⎪⎭⎫ ⎝⎛---------=-000000111111111111 A所以,0=-Ax 的基础解系为:.)1,0,,0,1(,,)0,,0,1,1(TT--所以,,1001010101110011⎪⎪⎪⎪⎪⎪⎭⎫⎝⎛---=P 与A 相似的对角阵为:).0,,0,(1 n diag AP P =-19. 已知4阶矩阵A 的特征值为11=λ(三重),;32-=λ对应于1λ的特征向量有,)1,1,1,0(,)0,1,1,1(,)0,0,1,1(321T T T x x x --=--=-=对应于2λ的特征向量为.)1,1,0,0(4T x -=问:A 可否对角化?如能对角化,求出A 及n A (n 为正整数)。