湘教版九年级下册数学同步练习1.2 第4课时 二次函数y=a(x-h)2+k的图象与性质
- 格式:doc
- 大小:1.06 MB
- 文档页数:4
1.2 二次函数的图象与性质第1课时二次函数y=ax2(a>0)的图象与性质基础题知识点1 二次函数y=ax2(a>0)的图象1.下列各点在二次函数y=4x2图象上的点是(C)A.(2,2) B.(4,1)C.(1,4) D.(-1,-4)2.二次函数y=3x2的图象是(B)A BC D3.(教材P6例1变式)画二次函数y=2x2的图象.解:列表:描点、连线,图象如图所示.知识点2 二次函数y=ax2(a>0)的性质4.二次函数y=x2的图象的开口方向是(A)A.向上B.向下C .向左D .向右5.对于函数y =13x 2,下列结论正确的是(D)A .当x 取任何实数时,y 的值总是正数B .y 的值随x 的增大而增大C .y 的值随x 的增大而减小D .图象关于y 轴对称6.(教材P7练习T2变式)在同一平面直角坐标系中,作出y =x 2、y =2x 2、y =12x 2的图象,它们的共同特点是(D)A .都是关于x 轴对称,抛物线开口向上B .都是关于原点对称,顶点都是原点C .都是关于y 轴对称,抛物线开口向下D .都是关于y 轴对称,顶点都是原点7.二次函数y =25x 2的图象开口向上,对称轴是y 轴,顶点坐标是(0,0).8.(2018·广州)已知二次函数y =x 2,当x >0时,y 随x 的增大而增大.(填“增大”或“减小”) 9.画二次函数y =32x 2的图象,并回答下列问题:(1)当x =6时,函数值y 是多少? (2)当y =6时,x 的值是多少?(3)当x 取何值时,y 有最小值,最小值是多少? (4)当x>0时,y 随x 的增大怎样变化?当x<0时呢? 解:如图:(1)当x =6时,y =32×62=54.(2)当y =6时,32x 2=6,解得x =±2.(3)当x =0时,y 有最小值,最小值是0.(4)当x>0时,y随x的增大而增大;当x<0时,y随x的增大而减小.易错点求区间内最值时忽视对称轴位置10.当-1≤x≤2时,二次函数y=x2的最大值是4,最小值是0.中档题11.已知二次函数y=mx(m2+1)的图象经过第一、二象限,则m=(A)A.1 B.-1C.±1 D.212.已知点A(-3,y1),B(-1,y2),C(2,y3)在二次函数y=2x2的图象上,则y1,y2,y3的大小关系是(D)A.y1<y2<y3B.y3<y2<y1C.y1<y3<y2D.y2<y3<y113.如图所示,在同一平面直角坐标系中,作出①y=3x2;②y=23x2;③y=43x2的图象,则从里到外的二次函数的图象对应的函数依次是(B)A.①②③ B.①③②C.②③① D.②①③14.函数y=mx2的图象如图所示,则m>0;在对称轴左侧,y随x的增大而减小;在对称轴右侧,y 随x的增大而增大;顶点坐标是(0,0),是抛物线的最低点;函数在x=0时,有最小值,为0.15.已知函数y=(m+2)xm2+m-4是关于x的二次函数.(1)求满足条件的m值;(2)m为何值时,二次函数的图象有最低点?求出这个最低点,这时当x为何值时,y随x的增大而增大?解:(1)m=2或m=-3.(2)当m=2时,二次函数的图象有最低点,这个最低点为(0,0),且当x>0时,y随x的增大而增大.16.已知正方形的周长为C cm,面积为S cm2,请写出S与C之间的函数关系式,并画出这个函数的图象.解:由题意,得S=116C2(C>0).列表:描点、连线,图象如图所示.综合题17.已知点A(2,a)在二次函数y=x2的图象上.(1)求点A的坐标;(2)在x轴上是否存在点P,使△OAP是等腰三角形?若存在,写出点P坐标;若不存在,请说明理由.解:(1)∵点A(2,a)在二次函数y=x2的图象上,∴a=22=4.∴点A的坐标为(2,4).(2)分下列3种情况:①当OA=OP时,点P的坐标:P1(-25,0),P2(25,0);②当OA=AP,点P的坐标:(4,0);③当OP=AP时,如图,过点A作AE⊥x轴于点E.在△AEP′中,AE2+P′E2=AP′2,设AP′=x,则42+(x-2)2=x2.解得x=5.∴点P的坐标为(5,0).综上所述,使△OAP是等腰三角形的点P坐标为(-25,0),(25,0),(4,0),(5,0).第2课时 二次函数y =ax 2(a <0)的图象与性质基础题知识点1 二次函数y =ax 2(a <0)的图象 1.如图所示的图象对应的函数表达式可能是(B)A .y =13x 2B .y =-13x 2C .y =3xD .y =-3x2.函数y =-2x 2,当x >0时图象位于(D) A .第一象限 B .第二象限 C .第三象限D .第四象限3.(教材P9例2变式)画二次函数y =-x 2的图象. 解:列表:描点、连线,如图所示:知识点2 二次函数y =ax 2(a <0)的性质 4.抛物线y =-3x 2的顶点坐标是(D) A .(-3,0)B .(-2,0)C .(-1,0)D .(0,0)5.二次函数y =-115x 2的最大值是(D)A .x =-115B .x =0C .y =-115D .y =06.若函数y =-4x 2的函数值y 随x 的增大而减少,则自变量x 的取值范围是(A) A .x >0 B .x <0 C .x >4D .x <-47.抛物线y =-2x 2不具有的性质是(D) A .开口向下 B .对称轴是y 轴C .当x >0时,y 随x 的增大而减小D .对应的函数有最小值8.两条抛物线y =4x 2与y =-4x 2在同一平面直角坐标系中,下列说法不正确的是(D) A .顶点坐标相同 B .对称轴相同 C .开口方向相反 D .都有最小值9.二次函数y =(2m +1)x 2的图象开口向下,则m 的取值范围是m <-12.10.填写下列抛物线的开口方向、对称轴、顶点坐标以及最值.中档题11.下列说法错误的是(C)A .二次函数y =3x 2中,当x >0时,y 随x 的增大而增大 B .二次函数y =-6x 2中,当x =0时,y 有最大值0C .抛物线y =ax 2(a≠0)中,a 越大图象开口越小,a 越小图象开口越大 D .不论a 是正数还是负数,抛物线y =ax 2(a≠0)的顶点一定是坐标原点 12.抛物线y =2x 2,y =-2x 2,y =12x 2共有的性质是(B)A .开口向下B .对称轴是y 轴C .都有最低点D .y 随x 的增大而减小13.已知点A(-1,y 1),B(-2,y 2),C(-2,y 3)在函数y =-x 2的图象上,则y 1,y 2,y 3的大小关系是(A)A .y 1>y 2>y 3B .y 1>y 3>y 2C .y 3>y 2>y 1D .y 2>y 1>y 314.函数y =a x与y =ax 2(a≠0)在同一平面直角坐标系中的图象可能是(D)15.已知二次函数y =ax 2的图象经过点(1,-3). (1)求a 的值;(2)当x =3时,求y 的值; (3)说出此二次函数的三条性质.解:(1)∵抛物线y =ax 2经过点(1,-3), ∴a×1=-3.∴a=-3.(2)把x =3代入抛物线y =-3x 2,得 y =-3×32=-27.(3)抛物线的开口向下;坐标原点是抛物线的顶点;当x >0时,y 随着x 的增大而减小;抛物线有最高点,当x =0时,y 有最大值,是y =0等.16.已知抛物线y =kxk 2+k ,当x >0时,y 随x 的增大而减小. (1)求k 的值; (2)作出函数的图象.解:(1)∵抛物线y =kxk 2+k 中,当x >0时,y 随x 的增大而减小,∴⎩⎪⎨⎪⎧k <0,k 2+k =2.解得k =-2. ∴函数的表达式为y =-2x 2. (2)列表:描点、连线,画出函数图象如图所示.综合题17.已知二次函数y =ax 2(a≠0)与一次函数y =kx -2的图象相交于A ,B 两点,如图所示,其中A(-1,-1),求△OAB 的面积.解:∵点A(-1,-1)在抛物线y =ax 2(a≠0)上,也在直线y =kx -2上, ∴-1=a·(-1)2,-1=k·(-1)-2. 解得a =-1,k =-1.∴两函数的表达式分别为y =-x 2,y =-x -2.由⎩⎪⎨⎪⎧y =-x 2,y =-x -2,解得⎩⎪⎨⎪⎧x 1=-1,y 1=-1,⎩⎪⎨⎪⎧x 2=2,y 2=-4.∴点B 的坐标为(2,-4).∵y=-x -2与y 轴交于点G ,则G(0,-2). ∴S △OAB =S △OAG +S △OBG =12×(1+2)×2=3.第3课时 二次函数y =a(x -h)2(a≠0)的图象与性质基础题知识点1 二次函数y =a(x -h)2(a≠0)的图象的平移1.如果将抛物线y =x 2向右平移1个单位长度,那么所得的抛物线的表达式是(C) A .y =x 2-1B .y =x 2+1 C .y =(x -1)2D .y =(x +1)22.将抛物线y =x 2平移得到抛物线y =(x +2)2,则这个平移过程正确的是(A) A .向左平移2个单位长度 B .向右平移2个单位长度 C .向上平移2个单位长度 D .向下平移2个单位长度知识点2 画二次函数y =a(x -h)2(a≠0)的图象 3.(教材P12练习T2变式)已知二次函数y =-14(x +1)2.(1)完成下表;(2)在下面的坐标系中描点,画出该二次函数的图象.解:(1)如表. (2)如图所示.知识点3 二次函数y =a(x -h)2(a≠0)的图象与性质 4.对称轴是x =1的二次函数是(D) A .y =x 2B .y =-2x 2C .y =(x +1)2D .y =(x -1)25.在函数y =(x +1)2中,y 随x 的增大而减小,则x 的取值范围是(C)A .x >-1B .x >1C .x <-1D .x <16.在平面直角坐标系中,二次函数y =a(x -2)2(a≠0)的图象可能是(D)7.对于抛物线y =35(x +4)2,下列结论:①抛物线的开口向上;②对称轴为直线x =4;③顶点坐标为(-4,0);④x>-4时,y 随x 的增大而减小.其中正确结论的个数为(B) A .1B .2C .3D .48.(教材P12练习T1变式)(1)抛物线y =3(x -1)2的开口向上,对称轴是直线x =1,顶点坐标是(1,0);(2)抛物线y =-3(x -1)2的开口向下,对称轴是直线x =1,顶点坐标是(1,0).9.抛物线y =-(x +3)2,当x <-3时,y 随x 的增大而增大;当x >-3时,y 随x 的增大而减小. 10.如果二次函数y =a(x +3)2有最大值,那么a<0,当x =-3时,函数的最大值是0. 11.已知抛物线y =2x 2和y =2(x -1)2,请至少写出两条它们的共同特征. 解:答案不唯一,如:开口方向相同,开口大小相同,顶点均在x 轴上等.易错点 二次函数增减性相关的易错12.已知二次函数y =2(x -h)2,当x>3时,y 随x 的增大而增大,则h 的取值范围为h≤3. 中档题13.抛物线y =-3(x +1)2不经过的象限是(A) A .第一、二象限 B .第二、四象限 C .第三、四象限D .第二、三象限14.在同一直角坐标系中,一次函数y =ax +c 和二次函数y =a(x +c)2的图象大致为(B)15.(2018·潍坊)已知二次函数y=-(x-h)2(h为常数),当自变量x的值满足2≤x≤5时,与其对应的函数值y的最大值为-1,则h的值为(B)A.3或6 B.1或6 C.1或3 D.4或616.已知A(-4,y1),B(-3,y2),C(3,y3)三点都在二次函数y=-2(x+2)2的图象上,则y1,y2,y3的大小关系为y3<y1<y2.17.某一抛物线和y=-3x2的图象形状相同,对称轴平行于y轴,并且顶点坐标是(-1,0),则此抛物线的表达式是y=-3(x+1)2.18.已知二次函数y=2(x-1)2.(1)当x=2时,函数值y是多少?(2)当y=4时,x的值是多少?(3)当x在什么范围内时,随着x值的增大,y值逐渐增大?当x在什么范围内时,随着x值的增大,y值逐渐减少?(4)这个函数有最大值还是最小值,最大值或最小值是多少?这时x的值是多少?解:(1)当x=2时,y=2×(2-1)2=2.(2)当y=4时,2(x-1)2=4,解得x=1± 2.(3)当x>1时,随着x值的增大,y值逐渐增大;当x<1时,随着x值的增大,y值逐渐减小.(4)这个函数有最小值,最小值是0,这时x=1.19.已知点P(m,a)是抛物线y=a(x-1)2上的点,且点P在第一象限内.(1)求m的值;(2)过点P作PQ∥x轴交抛物线y=a(x-1)2于点Q,若a的值为3,试求点P,点Q及原点O围成的三角形的面积.解:(1)∵点P(m,a)是抛物线y=a(x-1)2上的点,∴a=a(m-1)2.解得m=2或m=0.∵点P在第一象限内,∴m=2.(2)∵a的值为3,∴二次函数的表达式为y =3(x -1)2. ∵点P 的横坐标为2,∴点P 的纵坐标y =3(x -1)2=3. ∴点P 的坐标为(2,3).∵PQ∥x 轴交抛物线y =a(x -1)2于点Q , ∴3=3(x -1)2.解得x =2或x =0. ∴点Q 的坐标为(0,3).∴PQ=2. ∴S △PQO =12×3×2=3.综合题20.已知一条抛物线y =a(x -h)2的顶点与抛物线y =-(x -2)2的顶点相同,且与直线y =3x -13的交点A 的横坐标为3. (1)求这条抛物线的表达式;(2)把这条抛物线向右平移4个单位长度后,求所得的抛物线的表达式. 解:(1)由题意可知:A(3,-4).∵抛物线y =a(x -h)2的顶点与抛物线y =-(x -2)2的顶点相同, ∴h=2.由题意,把点A 的坐标(3,-4)代入y =a(x -2)2,得-4=a(3-2)2. ∴a=-4.∴这条抛物线的表达式为y =-4(x -2)2.(2)把抛物线y =-4(x -2)2向右平移4个单位长度后,得到的抛物线的表达式为y =-4(x -6)2.第4课时二次函数y=a(x-h)2+k(a≠0)的图象与性质基础题知识点1 二次函数y=a(x-h)2+k(a≠0)的图象的平移1.将抛物线y=x2向左平移2个单位长度,再向下平移3个单位长度,得到的抛物线的函数表达式为(A)A.y=(x+2)2-3 B.y=(x+2)2+3C.y=(x-2)2+3 D.y=(x-2)2-32.抛物线y=-3(x-2)2-3可以由抛物线y=-3x2+1平移得到,则下列平移过程正确的是(C) A.先向左平移4个单位长度,再向上平移2个单位长度B.先向左平移2个单位长度,再向下平移4个单位长度C.先向右平移2个单位长度,再向下平移4个单位长度D.先向右平移4个单位长度,再向上平移2个单位长度知识点2 二次函数y=a(x-h)2+k(a≠0)的图象与性质3.二次函数y=(x+2)2-1的图象大致为(D)4.(2018·岳阳)抛物线y=3(x-2)2+5的顶点坐标是(C)A.(-2,5) B.(-2,-5)C.(2,5) D.(2,-5)5.抛物线y=-(x+2)2-5的图象上有两点A(-4,y1),B(-3,y2),则y1,y2的大小关系是(C) A.y1>y2B.y1=y2C.y1<y2D.不能确定6.二次函数y=2(x-3)2-4的最小值为-4.7.写出下列抛物线的开口方向、对称轴及顶点坐标:知识点3 画二次函数y=a(x-h)2+k(a≠0)的图象8.(教材P14例4变式)画出函数y=(x-1)2-1的图象.解:列表:描点并连线:知识点4 利用顶点式求二次函数的表达式9.(教材P15练习T3变式)在平面直角坐标系内,二次函数图象的顶点为A(1,-4),且过点B(3,0).求该二次函数的表达式.解:∵二次函数图象的顶点为A(1,-4),∴设二次函数表达式为y=a(x-1)2-4.把点B(3,0)代入二次函数表达式,得0=4a-4,解得a=1.∴二次函数表达式为y=(x-1)2-4,即y=x2-2x-3.易错点将图象平移与坐标轴平移混淆10.在平面直角坐标系中,若抛物线y=3x2不动,而把x轴、y轴分别向上、向右平移1个单位长度,则在新的平面直角坐标系中,抛物线的函数表达式为y=3(x+1)2-1.中档题11.二次函数的图象如图,则它的表达式正确的是(C)A.y=-(x+2)2+2B.y=-(x-2)2+2C.y=-2(x-1)2+2D.y=-2(x+1)2+212.二次函数y=a(x-m)2+n(a≠0)的图象如图所示,则一次函数y=mx+n的图象经过(B)A.第一、二、三象限B.第一、二、四象限C.第二、三、四象限D.第一、三、四象限13.在同一平面直角坐标系中,如果两个二次函数y1=a(x+h1)2+k1与y2=a(x+h2)2+k2的图象的形状相同,并且对称轴关于y轴对称,那么我们称这两个二次函数互为“梦函数”,如二次函数y =(x+1)2-3与y=(x-1)2+1互为“梦函数”,请你写出二次函数y=2(x-3)2-1的一个梦函数答案不唯一,如y=2(x+3)2+2.14.已知二次函数y=2(x-3)2-8.(1)写出此函数图象的开口方向、对称轴及顶点坐标;(2)当x取何值时,y随x的增大而增大?当x取何值时,y随x的增大而减小?(3)当x取何值时,函数有最大值或最小值?并求出这个最大值或最小值;(4)函数图象可由函数y=2x2的图象经过怎样的平移得到?解:(1)抛物线开口向上,对称轴是直线x=3,顶点坐标是(3,-8).(2)当x>3时,y随x的增大而增大;当x <3时,y 随x 的增大而减小. (3)当x =3时,y 有最小值,最小值是-8.(4)该函数图象可由y =2x 2的图象先向右平移3个单位长度,再向下平移8个单位长度得到.15.如图,已知抛物线C 1:y =a(x +2)2-5的顶点为P ,与x 轴相交于A ,B 两点(点A 在点B 的左侧),点B 的横坐标是1.(1)由图象可知,抛物线C 1的开口向上,当x >-2时,y 随x 的增大而增大; (2)求a 的值;(3)抛物线C 2与抛物线C 1关于x 轴对称,将抛物线C 2向右平移,平移后的抛物线记为C 3,抛物线C 3的顶点为M ,当点P ,M 关于点O 成中心对称时,求抛物线C 3的表达式.解:(2)∵点B 是抛物线与x 轴的交点,横坐标是1,∴点B 的坐标为(1,0). ∴当x =1时,0=a(1+2)2-5.∴a=59.(3)设抛物线C 3表达式为y =a′(x-h)2+k ,∵抛物线C 2与C 1关于x 轴对称,且C 3为C 2向右平移得到,∴a′=-59.∵点P ,M 关于点O 中心对称,且点P 的坐标为(-2,-5),∴点M 的坐标为(2,5).∴抛物线C 3的表达式为y =-59(x -2)2+5=-59x 2+209x +259.综合题16.如图,已知抛物线的顶点为A(1,4),抛物线与y 轴交于点B(0,3),与x 轴交于C ,D 两点.点P 是x 轴上的一个动点. (1)求此抛物线的表达式;(2)当PA +PB 的值最小时,求点P 的坐标.解:(1)∵抛物线顶点坐标为(1,4), ∴设抛物线表达式为y =a(x -1)2+4. 由于抛物线过点B(0,3), ∴3=a(0-1)2+4. 解得a =-1. ∴抛物线的表达式为 y =-(x -1)2+4, 即y =-x 2+2x +3.(2)作点B 关于x 轴的对称点E(0,-3),连接AE 交x 轴于点P ,连接PB. 设AE 表达式为y =kx +b ,则⎩⎪⎨⎪⎧k +b =4,b =-3. 解得⎩⎪⎨⎪⎧k =7,b =-3. ∴y=7x -3. 当y =0时,x =37.∴点P 坐标为(37,0).第5课时二次函数y=ax2+bx+c(a≠0)的图象与性质基础题知识点1 用配方法将二次函数由一般式化为顶点式1.二次函数y=x2-2x+4化为y=a(x-h)2+k的形式,下列正确的是(B)A.y=(x+1)2+2 B.y=(x-1)2+3C.y=(x-2)2+2 D.y=(x-2)2+42.用配方法将二次函数y=2x2-4x-3化为顶点式:y=2(x2-2x)-3=2(x2-2x+1-1)-3=2[(x-1)2-1]-3=2(x-1)2-5.知识点2 二次函数y=ax2+bx+c(a≠0)的图象与性质3.抛物线y=x2+2x+3的对称轴是(B)A.直线x=1 B.直线x=-1C.直线x=-2 D.直线x=24.二次函数y=x2+2x-3的开口方向、顶点坐标分别是(A)A.开口向上、顶点坐标为(-1,-4)B.开口向下、顶点坐标为(1,4)C.开口向上、顶点坐标为(1,4)D.开口向下、顶点坐标为(-1,-4)5.在二次函数y=x2-2x+3的图象中,若y随x的增大而增大,则x的取值范围是(D)A.x<-1 B.x>-1C.x<1 D.x>16.(2018·成都)关于二次函数y=2x2+4x-1,下列说法正确的是(D)A.图象与y轴的交点坐标为(0,1)B.图象的对称轴在y轴的右侧C.当x<0时,y的值随x值的增大而减小D.y的最小值为-37.(教材P18练习T1变式)求下列函数图象的开口方向、对称轴及顶点坐标,并指出当x取何值时,y 的值随x 的增大而减小.(1)y =x 2-4x -3;(2)y =-3x 2-4x +2.解:(1)开口向上,对称轴:直线x =2,顶点坐标:(2,-7),当x <2时,y 的值随x 的增大而减小.(2)开口向下,对称轴:直线x =-23,顶点坐标:(-23,103),当x >-23时,y 的值随x 的增大而减小.8.二次函数y =x 2+bx +3的图象经过点(3,0).(1)求b 的值;(2)求出该二次函数图象的顶点坐标和对称轴;(3)在所给的坐标系中画出二次函数y =x 2+bx +3的图象.解:(1)将(3,0)代入函数表达式,得9+3b +3=0.解得b =-4.(2)∵y=x 2-4x +3=(x -2)2-1,∴顶点坐标是(2,-1),对称轴为直线x =2.(3)如图所示.知识点3 二次函数y =ax 2+bx +c(a≠0)的最值9.(教材P17例6变式)求下列函数的最大(小)值:(1)y =2x 2-4x +1;(2)y =-x 2+3x -1. 解:(1)y =2x 2-4x +1=2(x -1)2-1,∴当x =1时,函数有最小值-1.(2)y =-x 2+3x -1=-(x 2-3x)-1=-(x -32)2+54,∴当x =32时,函数有最大值54.中档题10.将抛物线y =x 2-4x -4向左平移3个单位长度,再向上平移5个单位长度,得到抛物线的函数表达式为(D)A .y =(x +1)2-13B .y =(x -5)2-3C .y =(x -5)2-13D .y =(x +1)2-311.点P 1(-1,y 1),P 2(3,y 2),P 3(5,y 3)均在二次函数y =-x 2+2x +c 的图象上,则y 1,y 2,y 3的大小关系是(D)A .y 3>y 2>y 1B .y 3>y 1=y 2C .y 1>y 2>y 3D .y 1=y 2>y 312.小韵从如图的二次函数y =ax 2+bx +c 图象中,观察得到下面四条信息:①a>0;②c<0;③函数的最小值为-3;④对称轴是直线x =2.你认为其中正确的个数是(B)A .4B .3C .2D .113.(2018·黄冈)当a≤x≤a+1时,函数y =x 2-2x +1的最小值为1,则a 的值为(D)A .-1B .2C .0或2D .-1或2 14.如图,已知抛物线y =ax 2+bx +c 与x 轴交于A ,B 两点,顶点C 的纵坐标为-2,现将抛物线向右平移2个单位长度,得到抛物线y =a 1x 2+b 1x +c 1,则下列结论正确的是③④.(写出所有正确结论的序号)①b>0;②a-b +c <0;③阴影部分的面积为4;④若c =-1,则b 2=4a.15.已知二次函数y =-12x 2-x +32. (1)画出这个函数的图象;(2)根据图象,写出当y <0时,x 的取值范围;(3)若将此图象沿x 轴向右平移3个单位长度,请写出平移后图象所对应的函数表达式. 解:(1)如图所示.(2)当y <0时,x 的取值范围是x <-3或x >1.(3)平移后图象所对应的函数表达式为y =-12(x -2)2+2(或写成y =-12x 2+2x).16.已知二次函数y =x 2-4x +3.(1)用配方法求其图象的顶点C 的坐标,并描述该函数的函数值随自变量的增减而增减的情况;(2)求函数图象与x 轴的交点A ,B 的坐标,及△ABC 的面积.解:(1)y =x 2-4x +3=(x -2)2-1.∴函数的顶点C 的坐标为(2,-1).∴当x≤2时,y 随x 的增大而减小;当x>2时,y 随x 的增大而增大.(2)令y =0,则x 2-4x +3=0,解得x 1=1,x 2=3.∴当点A 在点B 左侧时,A(1,0),B(3,0);当点A 在点B 右侧时,A(3,0),B(1,0).∴AB=||1-3=2.过点C 作CD⊥x 轴于D ,S △ABC =12AB·CD=12×2×1=1.综合题17.如果二次函数的二次项系数为1,则此二次函数可表示为y =x 2+px +q ,我们称[p ,q]为此函数的特征数,如函数y =x 2+2x +3的特征数是[2,3].(1)若一个函数的特征数是[-2,1],求此函数的顶点坐标;(2)探究下列问题:①若一个函数的特征数是[4,-1],将此函数图象先向右平移1个单位长度,再向上平移1个单位长度,求得到的图象对应函数的特征数;②若一个函数的特征数是[2,3],问此函数的图象经过怎样的平移,才能使得到的图象对应的函数的特征数为[3,4]?解:(1)∵一个函数的特征数是[-2,1],∴该函数的表达式为y =x 2-2x +1.∵y=x 2-2x +1=(x -1)2,∴此函数的顶点坐标是(1,0).(2)①∵一个函数的特征数是[4,-1],∴该函数的表达式为y =x 2+4x -1,配方成顶点式为y =(x +2)2-5.∴将抛物线y =(x +2)2-5先向右平移1个单位长度,再向上平移1个单位长度得到抛物线的函数表达式为y =(x +2-1)2-5+1,即y =(x +1)2-4,即y =x 2+2x -3.∴得到的图象对应函数的特征数为[2,-3].②∵一个函数的特征数是[2,3],∴y=x 2+2x +3=(x +1)2+2.∵一个函数的特征数是[3,4],∴y=x 2+3x +4=(x +32)2+74=(x +1+12)2+2-14.∴将抛物线y =x 2+2x +3先向左平移12个单位长度,再向下平移14个单位长度即可得到抛物线y =x 2+3x +4,其特征数为[3,4].。
1.2 二次函数y=a(x-h)^2的图象与性质(3)-湘教版九年级数学下册教案一、学习目标1.掌握二次函数y=a(x-h)^2的图象及其性质。
2.理解二次函数y=a(x-h)^2的变化规律。
3.能够将一些实际问题转化为二次函数的形式,并进行解析。
二、教学重难点1.掌握二次函数y=a(x-h)^2的基本性质,并能够进行简单的变化规律推断。
2.理解如何将实际问题转化为二次函数的形式,并进行解析。
3.理解二次函数图象的不同变化规律。
三、学习内容1. 二次函数y=a(x-h)2的图象与性质二次函数y=a(x-h)2的图象是一个开口向上或向下的抛物线,其中(h, k)为抛物线的顶点。
当a>0时,抛物线开口向上;当a<0时,抛物线开口向下。
此外,当a的绝对值越小,抛物线的开口越接近于水平轴。
2. 二次函数y=a(x-h)2的变化规律在二次函数y=a(x-h)2中,a表示抛物线的开口方向和抛物线的开口大小。
当a>0时,表示抛物线开口向上;当a<0时,表示抛物线开口向下。
同时,a的绝对值越小,抛物线的开口越接近于水平轴。
3. 二次函数应用题利用二次函数的形式解决一些实际问题是数学学科中的重要应用之一。
通过一些具体的例子,可以帮助学生更好地掌握二次函数的理论知识。
例如,一个投射物的高度与时间的关系可以表示为y=-0.5x^2+10x,其中,x表示时间,y表示高度。
四、学习方法在学习过程中,学生可以通过练习题来巩固所学的知识。
同时,老师可以引导学生多思考实际问题的转化过程,并帮助学生掌握二次函数图象的不同变化规律。
五、作业1.练习册P19~P20,1、2、3、4、6、8题。
2.根据实际问题,自己构造1个二次函数,并绘制其图象。
六、教学反思通过本节课的学习,学生可以更好地掌握二次函数y=a(x-h)^2的基本性质,更好地理解二次函数的变化规律,能够将一些实际问题转化为二次函数的形式,并进行解析。
2017-2018学年湘教版九年级数学下册二次函数的图象和性质一.选择题(每一个小题都给出代号为A 、B 、C 、D 的四个结论,其中只有一个是正确的,请把正确结论的代号写在题后的括号)1.抛物线 y =x 2-4x +c 的顶点在 x 轴,则 c 的值是( )A 、0B 、4C 、-4D 、22.形状与抛物线22--=x y 相同,对称轴是2-=x ,且过点(0,3)的抛物线是( )A .342++=x x yB .342+--=x x yC .342++-=x x yD .342++=x x y 或342+--=x x y 3.二次函数c bx ax y ++=2的图像如图所示,那么abc 、ac b 42-、b a +2、c b a +-24 这四个代数式中,值为正的有( )A .4个B .3个C .2个D .1个4.已知二次函数34922++=x x y ,当自变量x 取两个不同的值x 1、x 2时,函数值相等,则当自变量x 取x 1+x 2时的函数值与( ) A .x=1时的函数值相等 B .x =0时的函数值相等 C .x =14时的函数值相等D .x =94-时的函数值相等5.在同一坐标系中一次函数y ax b=+和二次函数2=+的图象可y ax bx能为()6.已知二次函数y=x2-x+a(a>0),当自变量x取m时,其相应的函数值小于0,那么下列结论中正确的是()A.m-1的函数值小于0 B.m-1的函数值大于0 C.m-1的函数值等于0 D.m-1的函数值与0的大小关系不确定7. 已知实数a、b、c满足:a<0,a-b+c>0,则一定有()A.b2-4ac>0 B.b2-4ac≥0 C.b2-4ac≤0 D.b2-4ac<08.抛物线c+=2的部分图象如图所示,若0>y,-bxxy+则x的取值范围是()A.13<-x<-x B.14<<C.4-<x或1>x D.3-<x或1>x9.二次函数2y ax bx c=++的图象如图所示,则直线=+y bx c的图象不经过()A.第一象限B.第二象限C.第三象限D.第四象限10.已知二次函数1)1(2++-=x m x y ,当x ≥1时,y 随x 的增大 而增大,则m 的取值范围是( ) A .m ≤1 B .m ≥1 C .m ≥-3 D .m ≤-3二.填空题11.已知二次函数的图像交x 轴于A 、B 两点,对称轴方程为2=x ,若AB =6,且此二次函数的最大值为5,则此二次函数的解析式为。
第4课时 二次函数k h x a y +-=2)(的图象与性质一、选择题:1、抛物线21)1(22+--=x y 的顶点坐标为( ) A 、(-1,21) B 、(1,21) C 、(-1,—21) D 、(1,—21)2、对于2)3(22+-=x y 的图象,下列叙述正确的是( )A 、顶点坐标为(-3,2)B 、对称轴是直线3-=yC 、当3≥x 时,y 随x 的增大而增大D 、当3≥x 时,y 随x 的增大而减小3、将抛物线2x y =向右平移一个单位长度,再向上平移3个单位长度后,所得抛物线的解析式为( )A 、3)1(2++=x yB 、3)1(2+-=x yC 、3)1(2-+=x yD 、3)1(2--=x y4、抛物线2)1(22-+-=x y 可由抛物线22x y -=平移得到,则下列平移过程正确的是( )A 、先向右平移1个单位,再向上平移2个单位B 、先向右平移1个单位,再向下平移2个单位C 、先向左平移1个单位,再向上平移2个单位D 、先向左平移1个单位,再向下平移2个单位5、如图,把抛物线y=x 2沿直线y=x 平移2个单位后,其顶点在直线上的A 处,则平移后的抛物线解析式是( )A 、y=(x+1)2-1B .y=(x+1)2+1C .y=(x-1)2+1D .y=(x-1)2-16、设A (-1,1y )、B (1,2y )、C (3,3y )是抛物线k x y +--=2)21(21上的三个点,则1y 、2y 、3y 的大小关系是( )A 、1y <2y <3yB 、2y <1y <3yC 、3y <1y <2yD 、2y <3y <1y7、若二次函数2()1y x m =--.当x ≤l 时,y 随x 的增大而减小,则m 的取值范围是( )A .m =lB .m >lC .m ≥lD .m ≤l8、二次函数n m x a y ++=2)(的图象如图所示,则一次函数n mx y +=的图象经过( )A 、第一、二、三象限B 、第一、二、四象限C 、第二、三、四象限D 、第一、三、四象限二、填空题:1、抛物线1)3(22-+-=x y 的对称轴是 ,顶点坐标是 ;当x 时,y 随x 的增大而增大,当x 时,y 随x 的增大而减小,当x 时,y 取最 值为 。
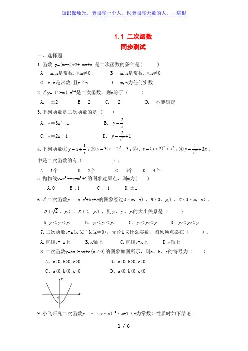
1.1 二次函数 同步测试一、选择题1.函数 y=(m-n)x2+ mx+n 是二次函数的条件是( ) A . m,n 是常数,且m ≠0 B . m,n 是常数,且n ≠0 C. m,n 是常数,且m ≠n D . m,n 为任何实数2.若y=(2-m )x lml 是二次函数,则m 等于( ) A. ±2 B. 2 C. -2 D. 不能确定3.下列函数是二次函数的是 ( )A .y =3x 2+1B .x y 2=C .y =2x +1D .122+=xy4.下列函数①x x y 1+=;②3232+-=)(x y ;③、222x x y ++=)(;④x xy 312+=、中是二次函数的有( )。
A. 1个 B. 2个 C. 3个 D. 4个 5.抛物线y=x 2 -mx-m 2 +1的图象过原点,则m 为( )A.0 B .1 C .-1 D.±16.若二次函数y =|a |x 2+bx +c 的图象经过A (m ,n )、B (0,y 1)、C (3﹣m ,n )、D (2,y 2)、E (2,y 3),则y 1、y 2、y 3的大小关系是( ) A.y 1<y 2<y 3B .y 1<y 3<y 2C .y 3<y 2<y 1D .y 2<y 3<y 17.二次函数y=a(x+k)2+k(a ≠0),无论k 取什么实数,图象顶点必在( ). A.直线y=-x 上 B.x 轴上 C.直线y=x 上 D.y 轴上8.二次函数y=ax2+bx+c(a ≠0)的图象如图所示,则a 、b 、c 的符号为( ) A 、a<0,b>0,c>0 B 、a<0,b>0,c<0 C 、a<0,b<0,c>0 D 、a<0,b<0,c<09.小飞研究二次函数y =﹣(x ﹣m )2﹣m +1(m 为常数)性质时如下结论:①这个函数图象的顶点始终在直线y =﹣x +1上;②存在一个m 的值,使得函数图象的顶点与x 轴的两个交点构成等腰直角三角形; ③点A (x 1,y 1)与点B (x 2,y 2)在函数图象上,若x 1<x 2,x 1+x 2>2m ,则y 1<y 2; ④当﹣1<x <2时,y 随x 的增大而增大,则m 的取值范围为m ≥2. 其中错误结论的序号是( ) A .①B .②C .③D .④10.二次函数y=x 2-ax+b 的图像如图所示,对称轴为直线x=2,下列结论不正确的是 ( )A. a=4B.当b= -4时,顶点的坐标为(2,-8)C.当x= -1 时,b> -5D.当x>3时,y 随x 的增大而增大 二、填空题11.已知y=(a+1)x 2+ax 是二次函数,那么a 的取值范围是 _________ 12.已知关于x 的二次函数y=ax 2+2ax+a ﹣3在﹣2≤x ≤2时的函数值始终是负的,则常数a 的取值范围是________.13.如图,在平面直角坐标系中,二次函数y=ax2+c (a<0)的图象过正方形ABOC 的三个顶点A 、B 、C ,则ac 的值是 .14.已知一个直角三角形的两直角边的和是10cm 。
2017-2018学年湘教版九年级数学下册第一章 二次函数1.1 二次函数要点感知 一般地,形如________(a ,b ,c 是常数,a ≠0)的函数,叫做二次函数,其中________是自变量,a 、b 、c 分别是函数解析式的________、________和________.预习练习1-1 (怀化中考)下列函数是二次函数的是( )A.y=2x+1B.y=-2x+1C.y=x2+2D.y=21x-2 1-2 对于y=ax 2+bx+c ,有以下四种说法,其中正确的是( )A.当b=0时,二次函数是y=ax 2+cB.当c=0时,二次函数是y=ax 2+bxC.当a=0时,一次函数是y=bx+cD.以上说法都不对1-3 已知圆柱的高为14 cm ,写出圆柱的体积V(cm 3)与底面半径r(cm)之间的函数关系式:________.知识点1 二次函数的定义1.下列函数中,是二次函数的有( )①y=1-2x 2;②y=21x ;③y=x(1-x);④y=(1-2x)(1+2x).A.1个B.2个C.3个D.4个 2.圆的面积公式S=πR 2中,S 与R 之间的关系是( )A.S 是R 的正比例函数B.S 是R 的一次函数C.S 是R 的二次函数D.以上答案都不对3.若y=(a+2)x 2-3x+2是二次函数,则a 的取值范围是________.4.已知二次函数y=1-3x+5x 2,则二次项系数a=_______,一次项系数b=_______,常数项c=_______.5.已知两个变量x,y 之间的关系式为y=(a-2)x 2+(b+2)x-3.(1)当_______时,x,y 之间是二次函数关系;(2)当_______时,x,y 之间是一次函数关系.6.已知两个变量x 、y 之间的关系为y=(m-2)22m x +x-1,若x 、y 之间是二次函数关系,求m 的值.知识点2 实际问题中的二次函数解析式7.国家决定对某药品价格分两次降价,若设平均每次降价的百分率为x ,该药品原价为18元,降价后的价格为y 元,则y 与x 的函数关系式为( )A.y=36(1-x)B.y=36(1+x)C.y=18(1-x)2D.y=18(1+x 2)8.已知一个直角三角形两直角边的和为10,设其中一条直角边为x ,则直角三角形的面积y 与x 之间的函数关系式是( )A.y=-21x 2+5x B.y=-x 2+10x C.y=21x 2+5x D.y=x 2+10x9.边长为20 cm 的正方形铁片,中间剪去一个边长是x(cm)的小正方形铁片,剩下的四方框铁片的面积y(cm 2)与x(cm)之间的函数关系是_______.10.某校九(1)班共有x 名学生,在毕业典礼上每两名同学都握一次手,共握手y 次,试写出y 与x 之间的函数关系式_______,它_______(填“是”或“不是”)二次函数.11.如图,有一个长为24米的篱笆,一面利用墙(墙的最大长度a 为10米)围成中间隔有一道篱笆的长方形花圃.设花圃的宽AB为x米,面积为S平方米.(1)求S与x的函数关系式;(2)如果要围成面积为45平方米的花圃,AB的长为多少米?12.函数y=(m-n)x2+mx+n是二次函数的条件是( )A.m,n为常数,且m≠0B.m,n为常数,且m≠nC.m,n为常数,且n≠0D.m,n可以为任何常数13.在一定条件下,若物体运动的路程s(米)与时间t(秒)的关系式为s=5t2+2t,则当t=4时,该物体所经过的路程为( )A.88米B.68米C.48米D.28米14.二次函数y=x2+2x-7的函数值是8,那么对应的x的值是( )A.5B.3C.3或-5D.-3或515.判断函数y=(x-2)(3-x)是否为二次函数,若是,写出它的二次项系数、一次项系数和常数项;若不是,请说明理由.16.一块矩形的草地,长为8 m,宽为6 m,若将长和宽都增加x m,设增加的面积为y m2.(1)求y与x之间的函数关系式;(2)若要使草地的面积增加32 m2,长和宽都增加多少米?17.某商店经营一种小商品,进价为2.5元,据市场调查,销售单价是13.5元时,平均每天销售量是500件,而销售单价每降低1元,平均每天就可以多售出100件.假定每件商品降价x元,商店每天销售这种小商品的利润是y元,请写出y与x之间的函数关系式,并注明x的取值范围.挑战自我18.如图,在△ABC中,∠B=90°,AB=12 mm,BC=24 mm,动点P从点A开始沿边AB向B以2 mm/s的速度移动(不与点B重合),动点Q从点B开始沿边BC 向C以4 mm/s的速度移动(不与点C重合).如果P、Q分别从A、B同时出发,设运动的时间为x s,四边形APQC的面积为y mm2.(1)求y与x之间的函数关系式;(2)求自变量x的取值范围;(3)四边形APQC的面积能否等于172 mm2.若能,求出运动的时间;若不能,说明理由.参考答案要点感知 y=ax 2+bx+c,x,二次项系数、一次项系数,常数项.预习练习1-1 C1-2 D 1-3 V=14πr 2.1.C2.C3.a ≠-2.4.5,-3,1.5.(1)a ≠2 (2)a=2且b ≠-2.6.根据题意,得m 2-2=2且m-2≠0.解得m=-2.即m 的值为-2.7.C 8.A 9.y=400-x 2. 10.y=21x 2-21x ,是 11.(1)S=x(24-3x),即S=-3x 2+24x.(2)当S=45时,-3x 2+24x=45.解得x 1=3,x 2=5.又∵当x=3时,BC >10(舍去),∴x=5.答:AB 的长为5米.12.B 13.A 14.C15.y=(x-2)(3-x)=-x 2+5x-6,它是二次函数,它的二次项系数为-1,一次项系数为5,常数项为-6.16.(1)y=x 2+14x.(2)当y=32时,x 2+14x=32.解得x 1=2,x 2=-16(舍去).答:长和宽都增加2米.17.降低x 元后,所销售的件数是(500+100x), 则y=(13.5-2.5-x)(500+100x).即y=-100x 2+600x+5 500(0<x ≤11).挑战自我18.(1)由运动可知,AP=2x ,BQ=4x ,则 y=21BC ·AB-12BQ ·BP=21×24×12-21·4x ·(12-2x), 即y=4x 2-24x+144.(2)∵0<AP <AB ,0<BQ <BC ,∴0<x<6.(3)四边形APQC 的面积能否等于172 mm 2.若能,求出运动的时间;若不能,说明理由.解:当y=172时,4x 2-24x+144=172. 解得x 1=7,x 2=-1.又∵0<x<6,∴四边形APQC 的面积不能等于172 mm 2.。
第3课时二次函数y=a(x-h)2的图象与性质夯实基础知识点1二次函数y=a(x-h)2与y=ax2的图象的关系1.把抛物线y=3x2向左平移1个单位后,所得的抛物线表示的二次函数的表达式为()A.y=3x2-1 B.y=3(x-1)2C.y=3x2+1 D.y=3(x+1)22.将抛物线y=x2平移得到抛物线y=(x+2)2,则下列平移过程正确的是()A.向左平移2个单位B.向右平移2个单位C.向上平移2个单位D.向下平移2个单位3.下列关于抛物线y=2(x-1)2与y=2x2的说法,错误的是() A.形状相同B.开口方向相同C.顶点相同D.对称轴不同4.抛物线y=12(x+3)2向________平移________个单位后得到抛物线y=12x 2.知识点2二次函数y=a(x-h)2的图象与性质5.函数y=-3(x+1)2,当x________时,y随x的增大而减小;当x =________时,函数取得最________值,最________值为________.6.在平面直角坐标系中,二次函数y =3(x -2)2的图象可能是( )图1-2-47.下列抛物线中,对称轴为直线x =12的是( )A .y =12x 2B .y =x 2+1C .y =⎝ ⎛⎭⎪⎫x +122D .y =⎝ ⎛⎭⎪⎫x -1228.关于二次函数y =(x +2)2的图象,下列说法正确的是( )A .开口向下B .最低点是(2,0)C .对称轴是直线x =2D .对称轴右侧的部分是上升的9.在函数y =2(x +1)2中,y 随x 的增大而减小,则x 的取值范围为( )A .x >-1B .x >1C .x <-1D .x <110.画出函数y =-4(x -5)2的图象,并指出它的开口方向、对称轴及顶点坐标.11.已知二次函数y=2(x-1)2.(1)当x=2时,函数值y是多少?(2)当y=4时,x的值是多少?(3)当x在什么范围内时,y值随着x值的增大逐渐增大?当x在什么范围内时,y值随着x值的增大逐渐减小?(4)这个函数有最大值还是最小值,最大值或最小值是多少?这时x的值是多少?提升能力12.若点M(-3,a),N(-1,b)均在函数y=-3(x-1)2的图象上,则()A.a<bB.a=bC.a>bD.a与b的大小关系不确定13.二次函数y=a(x-h)2的图象的顶点位置()A.只与a有关B.只与h有关C.与a,h有关D.与a,h无关14.2017·衡阳已知函数y=-(x-1)2的图象上的两个点A(2,y1),B(a,y2),其中a>2,则y1与y2的大小关系是y1________y2(填“<”“>”或“=”).15.写出一个对称轴是直线x=-3,且开口向下的抛物线所表示的二次函数的表达式_____________________________________________.16.已知抛物线y=(x-h)2,当x=2时,y有最小值.(1)写出该抛物线表示的二次函数的表达式;(2)若(-100,y1),(-99,y2),(103,y3)三点都在该抛物线上,请比较y1,y2,y3的大小.17.已知一条抛物线的开口方向和大小与抛物线y=3x2都相同,顶点与抛物线y=(x+2)2的顶点相同.(1)求这条抛物线表示的二次函数的表达式;(2)将(1)中的抛物线向右平移4个单位后,得到的抛物线表示的二次函数的表达式是什么?冲刺满分18.将二次函数y=2x2的图象(如图1-2-5①)向右平移1个单位,所得的二次函数的图象的顶点为D(如图1-2-5②),并与y轴交于点A.(1)写出平移后的二次函数图象的对称轴与点A的坐标.(2)设平移后的二次函数图象的对称轴与函数y=2x2的图象的交。
湘教版九年级下册数学导学案127班( )第1章1.2二次函数y=ax 2(a>0)的图象与性质(1) 一、导入新课: 回答问题:1.一次函数与反比例函数的图解是什么?它们有什么性质?2.如何画一次函数与反比例函数的图象? 二、探究新知:探究1:画二次函数y=ax 2(a>0)的图象,若a=2,画出它的图象。
列表:连线:探究2:画二次函数y=21x 2的图象。
(画在上面的坐标系中) 小结:二次函数y=ax 2(a>0)的图象与性质。
1.图象的开口向( )。
2.对称轴是( )轴,顶点是( ),函数有最( )点。
3.当x>0时, , 当x<0时,。
展示提升: 已知函数24(2)k k y k x +-=+是关于x 的二次函数.(1)求k 的值.(2)k 为何值时,抛物线有最低点,最低点是什么?在此前提下,当x 在哪个范围内取值时,y 随x 的增大而增大?三、本课小结:本节课你学到了什么?四、当堂作业:1、下列函数中,当x >0时,y 值随x 值增大而减小的是( ) A.y=x 2B.y=x-1C. 34y xD.y=1x2.已知点(-1,y 1),(2,y 2),(-3,y 3)都在函数y=x 2的图象上,则( ) A.y 1<y 2<y 3 B.y 1<y 3<y 2 C.y 3<y 2<y 1 D.y 2<y 1<y 3 3.抛物线y=13x 2的开口向 ,顶点坐标为 ,对称轴为 ,当x=-2时,y= ;当y=3时,x= ,当x ≤0时,y 随x 的增大而 ;当x >0时,y 随x 的增大而 .4.画出下列二次函数的图象:(1)y=x 2(2)y=43x 2湘教版九年级下册数学导学案127班( )第1章1.2二次函数y=ax 2(a<0)的图象与性质(2) 一、导入新课:1.二次函数y=ax 2(a>0)的图象的开口( ),顶点坐标是( ),对称轴是(),函数有( ),当x>0时,y 随x ( ),当x<0,y 随x ( )。
第1章 二次函数 1.1 二次函数1. 下列函数解析式中,一定为二次函数的是( ) A. y =3x -1 B. y =ax 2+bx + c C.s =2t 2-2t +1 =x 2+1xD. y2. 若函数y =(a -1)x 2+2x +a 2-1是二次函数,则( ) A. a =1 B. a =±1 C. a≠-1 D. a≠13. 下列函数中,是二次函数的是( )A. y =x 2-1 B. y =x -1 C. y =8x D. y =8x24. h =12gt 2(g 为常量)中,h 与t 之间的关系是( )A.正比例函数关系B.一次函数关系C.二次函数关系D.以上答案都不对 5. 已知二次函数y =x 2-2x ,当y =3时,x 的值是( )A.x 1=1,x 2=3B. x 1=-1,x 2=3C. x 1=-3D.x 1=-1,x 2=-3 6. 如图,直角三角形AOB 中,AB ⊥OB ,且AB =OB =3.设直线x =t 截此三角形所得的阴影部分的面积为S ,则S 与t 之间的函数关系式为( )1、只要朝着一个方向努力,一切都会变得得心应手。
20.6.166.16.202022:2522:25:04Jun-2022:252、心不清则无以见道,志不确则无以定功。
二〇二〇年六月十六日2020年6月16日星期二3、有勇气承担命运这才是英雄好汉。
22:256.16.202022:256.16.202022:2522:25:046.16.202022:256.16.20204、与肝胆人共事,无字句处读书。
6.16.20206.16.202022:2522:2522:25:0422:25:045、阅读使人充实,会谈使人敏捷,写作使人精确。
Tuesday, June 16, 2020June 20Tuesday, June 16,20206/16/2020 6、最大的骄傲于最大的自卑都表示心灵的最软弱无力。
1・1二次函数西. 知识要点分类练夯实基础知识点1二次函数的概念及自变量的取值范阖1・下列函数是二次函数的是()A ・ y = 2x+l B. y=—2x+lC • y = x'+2 D. y=/x — 22・已知二次函数y=l—3x+5x?,则其二次项系数a,一次项系数b,常数项c 分别是()A• a=l,b=—3,c=5 B・ a=l,b = 3,c = 5C• a=5 5 b = 3 5 c= 1 D・ a=5,b=—3,c= 13・下列函数中,是二次函数的是()A・圆的周长1关于它的半径r的函数B・购买单价相同的笔记木的总钱数y(元)关于购买数量x(台)的函数C・正三角形的面积S关于它的边长a的函数D・当路程一定时,汽车行驶的速度v关于行驶时间t的函数4•函数y= —2x'+4x屮,自变量x的取值范围是 _________________ •知识点2建立简单的二次函数模型5•在半径为4 cm的圆中,挖去一个半径为x cm的圆5剩余部分的面积为y cm2,则y关于x的函数表达式为(不要求写出自变量的取值范围)()A • y=兀x・—4 B. y=刀(2_x)一C・y=—(x?+4)D. y = —"x2+16 兀6・一个直角三角形的两条直角边长的和为20 cm,而积为y cm2,其中一直角边长为x CM,则y与x之间的函数表达式是(不要求写出自变量的取值范围)()A• y= lOx B. y = x(20—x)C ・ y= *x(20—x) D. y = x(10—x)7.用长为24刃的篱笆,一面利用围墙围成中间隔有一道篱笆的矩形花圃,如图1一1一1,设花圃垂直于墙的一边长为x m»面积为S m,贝!J S与x之间的函数表达式是(不要求写出自变量的取值范围)()彳彳/XC -------------- ------------- B图1一1一1A・ S=-3X2+24X B. S=-2X2+24XC • S=-3X2-24X D・S=-2X2-24X8.某商品现在的售价为每件60元,每星期可卖出300件.市场调查反映,如果调整商品的售价,每件每降价1元,每星期可多卖出20件.设每件商品降价x 元,每星期售出商品的总销售额为y元,则y与x之间的函数表达式为(不考虑x的取值范围)()A ・ y = 60(300+20x) B・ y = (60-x)(300+20x)9 •某厂今年一月份新产品的研发资金为a 元,以后每刀新产品的研发资金与上刀 相比增长率都是x ,则该厂今年三月份的研发资金y (元)关于增长率x 的函数表达 式为y= ____________ .(不要求写出自变量的取值范围)10 •教材习题1.1第3题变式如图1 — 1 —2 ‘ 一块矩形田地的长为100 m »宽 为80 m ,现计划在该矩形田地中修3条宽度均为x m 的小路,其中两条小路与 AB 垂直,另一条小路与AB 平行,剩余部分种庄稼.设剩余部分的面积为y 加2 , 求y 关于x 的函数表达式,并写出自变量x 的取值范围.0规律方法综合练 提升能力x 2 111 -下列各式:①y = x+2; ®y = 2x 2;③y=;;④y=R ⑤y = (x —l)(x + 2);@y= 2(x-l)2+2;⑦y = (2x+l)(x —2)—2x?.其中 y 是 x 的二次函数的有()A ・2个 3・3个 C. 4个 D. 5个12・下列结论正确的是()A •关于x 的二次函数y = a(x+2)2屮,白变量的取值范围是xH —2B •二次函数y = ax?+bx+c(aH0)的自变量的取值范围是全体实数x 2C •在函数y=—㊁■中'自变量的取值范围是xHOD ・二次函数y = ax2+bx+c(aH0)的自变量的取值范围是所有非零实数13.如果y = (a+ l)x?+ax 是二次函数,那么a 的取值范围是 ___________ ・ 图]_1_3C图 1 — 1—214.2017-常德如图1 — 1—3,正方形EFGH的顶点在边长为2的正方形ABCD 的边上,若设AE=x,正方形EFGH的面积为y,则y与x之间的函数表达式为____________________________ •(不要求写出自变量的取值范围) 15・已知关于x的函数y=(m2+m)xm2—2m+2.(1)当函数是二次函数时,求m的值;(2)当函数是一次函数时,求m的值.16・为了响应政府提出的由中国制造向中国创造转型的号召,某公司自主设计了一款每件成本为40元的可控温杯,并投放市场进行试销售.经过调查发现,该产品每天的销售量y(件)与销售单价x(元/件)满足一次函数关系y= —10x + 1200.(1)求出每天的利润S(元)与销售单价x(元/件)之间的函数表达式(不要求写出x的取值范围,利润=销售额一成本).(2)当销售单价定为50元/件时,该公司每天获取的利润是多少?(3)当该公司每天获取的利润是12000元时,销售单价为多少?冲刺满分拓广探究创新练17・为了改善小区环境,某小区為卷一块空地上修建一个矩形绿化带ABCD,绿化带一边靠墙(墙的长为25加),其他三边用总长为60加的栅栏围成(如图1-1-4).设绿化带的边BC的长为XM,绿化带的面积为y/・(1)求y与x之间的函数表达式,并写出自变量的取值范围.(2)绿化带的面积能为450/吗?若能,请求出此时BC的长;若不能‘请说明理由.教师详解详析1・C2・D [解析]将原二次函数化为一般形式为y=5兀彳一3x+l,故a=5,b=_3,c=l.3・C 4.全体实数5.D6 • C [解析]一条直角边长为x cm,则另一条直角边长为(20—x)cm »根据题意得出y=j(20—兀)・7・A [解析]由题意知AB=xm,BC=(24—3x)m,利用长方形的面积公式可得S=(24-3x)x=24x-3x2.故选A.8・B [解析]每件降价兀元,则每件售价为(60—尢)元,每星期的销售量为(300+20力件,根据题意,得y=(60—x)(300+20x)・故选B9 ・a(l+x)210・解:依题意‘得y=(100-2x)(80-x)=2x2-260x+ 8000.100-2x>0,得x<50.由<80-x>0,乂・.・Q0,・•・自变量x的取值范围是0<r<50・・・・所求函数表达式为y=2x2-260x+ 8000(0<x<50).11- B [解析]②⑤⑥是二次函数.12・ B 13・G H—114• y=2?_4x+4[解析]由题中条件,可知图中的四个直角三角形是全等三角形,设AE=x,则BE=2_x,BF=x,在RtAEBF 中,由勾股定理,可得EF2=(2-x)2+x2=2?—4x+4,即y=2x2~4x+4.15•解:(1)依题意‘得/_2加+2=2 ‘解得m=2或m=0.乂因为/n 2+m#0 »解得加HO 且m# — 1.因此m=2.(2)依题意»得〃2加+2=1,解得m —\.又因为刃彳+加工。
第1章二次函数1.1 二次函数1.若y=(m+1)是二次函数,则m的值为_________.2.已知y=(a+1)x2+ax是二次函数,那么a的取值范围是_________.3.已知方程ax2+bx+cy=0(a≠0、b、c为常数),请你通过变形把它写成你所熟悉的一个函数表达式的形式.则函数表达式为_________,成立的条件是_________,是_________函数.4.已知y=(a+2)x2+x﹣3是关于x的二次函数,则常数a应满足的条件是_________.5.二次函数y=3x2+5的二次项系数是_________,一次项系数是_________.6.已知y=(k+2)是二次函数,则k的值为_________.7.已知函数y=(m2﹣m)x2+mx﹣2(m为常数),根据下列条件求m的值:(1)y是x的一次函数;(2)y是x的二次函数.8.已知函数y=(m﹣1)+5x﹣3是二次函数,求m的值.9.已知函数y=﹣(m+2)x m2﹣2(m为常数),求当m为何值时:(1)y是x的一次函数?(2)y是x的二次函数?并求出此时纵坐标为﹣8的点的坐标.10.函数y=(kx﹣1)(x﹣3),当k为何值时,y是x的一次函数?当k为何值时,y是x的二次函数?11.已知函数y=m•,m2+m是不大于2的正整数,m取何值时,它的图象开口向上?当x取何值时,y随x的增大而增大?当x取何值时,y随x的增大而减少?当x取何值时,函数有最小值?12.己知y=(m+1)+m是关于x的二次函数,且当x>0时,y随x的增大而减小.求:(1)m的值.(2)求函数的最值.13.已知是x的二次函数,求出它的解析式.14.如果函数y=(m﹣3)+mx+1是二次函数,求m的值.。
湘教版九年级数学下册测试题测试题湘教版初中数学第3课时 二次函数2)(h x a y -=的图象与性质1.把二次函数2x y =的图象向右平移3个单位长度,得到新的图象的函数表达式是( )A. 32+=x yB. 32-=x yC. 2)3(+=x yD. 2)3(-=x y2.抛物线2)3(2--=x y 的顶点坐标和对称轴分别是( )A.3),0,3(-=-x 直线B. 3),0,3(=x 直线C. 3),3,0(-=-x 直线D. 3),3,0(-=x 直线3.已知二次函数2)1(3+=x y 的图象上有三点 ),2(),,2(),,1(321y C y B y A - ,则321,,y y y 的大小关系为( )A.321y y y >>B. 312y y y >>C. 213y y y >>D.123y y y >>4.把抛物线2)1(6+=x y 的图象平移后得到抛物线26x y =的图象,则平移的方法可以是( )A.沿y 轴向上平移1个单位长度B.沿y 轴向下平移1个单位长度C.沿x 轴向左平移1个单位长度D.沿x 轴向右平移1个单位长度5.若二次函数12+-=mx x y 的图象的顶点在x 轴上,则m 的值是( )A. 2B. 2-C.0D. 2±6.对称轴是直线2-=x 的抛物线是( )A.22+-=x yB.22+=x yC.2)2(21+=x yD.2)2(3-=x y7.对于函数2)2(3-=x y ,下列说法正确的是( )A. 当0>x 时,y 随x 的增大而减小B. 当0<x 时,y 随x 的增大而增大C. 当2>x 时,y 随x 的增大而增大D. 当2->x 时,y 随x 的增大而减小8.二次函数132+=x y 和2)1(3-=x y ,以下说法:①它们的图象都是开口向上;②它们的对称轴都是y 轴,顶点坐标都是原点(0,0);③当0>x 时,它们的函数值y 都是随着x 的增大而增大;④它们的开口的大小是一样的.其中正确的说法有( )A.1个B.2个C.3个D.4个9.抛物线2)1(3--=x y 的开口向 ,对称轴是 ,顶点坐标是 。
湘教版九年级下册数学同步练习1.4 二次函数与一元二次方程的联系1.抛物线2283y x x =--与x 轴有个交点,因为其判别式24b ac -= 0,相应二次方程23280x x -+=的根的情况为. 2.二次函数269y x x =-+-的图像与x 轴的交点坐标为 .3.关于x 的方程25mx mx m ++=有两个相等的实数根,则相应二次函数25y mx mx m =++-与x 轴必然相交于点,此时m = . 4. 函数22y mx x m =+-(m 是常数)的图像与x 轴的交点个数为() A.0个 B.1个 C.2个D.1个或2个 5.关于x 的二次函数22(81)8y mx m x m =+++的图像与x 轴有交点,则m 的范围是() A.116m <-B.116m -≥且0m ≠ C.116m =- D.116m >-且0m ≠ 6.函数2y ax bx c =++的图象如图所示,那么关于x 的一元二次方程230ax bx c ++-=的根的情况是( )A.有两个不相等的实数根B.有两个异号的实数根 C.有两个相等的实数根D.没有实数根7. 若二次函数2y ax c =+,当x 取1x 、2x (12x x ≠)时,函数值相等,则当x 取12x x +时,函数值为( )A.a c + B.a c - C.c - D.c8.已知抛物线21()3y x h k =--+的顶点在抛物线2y x =上,且抛物线在x 轴上截得的线段长是h 和k 的值.9.已知函数22y x mx m =-+-.(1)求证:不论m 为何实数,此二次函数的图像与x 轴都有两个不同交点;(2)若函数y 有最小值54-,求函数表达式.10.已知二次函数2224y x mx m =-+.(1)求证:当0m ≠时,二次函数的图像与x 轴有两个不同交点;(2)若这个函数的图像与x 轴交点为A ,B ,顶点为C ,且△ABC 的面积为,求此二次函数的函数表达式.11.已知抛物线2y ax bx c =++与y 轴交于C 点,与x 轴交于1(0)A x ,,212(0)()B x x x <,两点,顶点M 的纵坐标为4-,若1x ,2x 是方程222(1)70x m x m --+-=的两根,且221210x x +=. (1)求A ,B 两点坐标;(2)求抛物线表达式及点C 坐标;(3)在抛物线上是否存在着点P ,使△PAB 面积等于四边形ACMB 面积的2倍,若存在,求出P 点坐标;若不存在,请说明理由.。
湘教版九年级数学下册练习:11.1 二次函数基础题知识点1 二次函数的定义1.以下函数是二次函数的是(C)A .y =2x +1B .y =-2x +1C .y =x 2+2D .y =12x -2 2.假定y =(m -2)x 2+2x -3是二次函数,那么m 的取值范围是(C)A .m >2B .m <2C .m≠2D .m 为恣意实数3.圆的面积公式S =πr 2中,S 与r 之间的关系是(C)A .S 是r 的正比例函数B .S 是r 的一次函数C .S 是r 的二次函数D .以上答案都不对4.以下哪些函数是二次函数?假定是,请写出它们的二次项、一次项和常数项.(1)s =3-2t 2; (2)y =2x -2x 2;(3)3y =3(x -1)2+1; (4)y =-0.5(x -1)(x +4);(5)y =2x(x 2+3x -1). 解:(1)s =3-2t 2是二次函数,二次项是-2t 2,一次项是0,常数项是3.(2)y =2x -2x 2是二次函数,二次项是-2x 2,一次项是2x ,常数项是0.(3)3y =3(x -1)2+1是二次函数,二次项是x 2,一次项是-2x ,常数项是43. (4)y =-0.5(x -1)(x +4)是二次函数,二次项是-0.5x 2,一次项是-1.5x ,常数项是2.(5)y =2x(x 2+3x -1)不是二次函数.知识点2 树立二次函数模型5.以下关系中,是二次函数关系的是(C)A .当距离s 一定时,汽车行驶的时间t 与速度v 之间的关系B .在弹性限制内,弹簧的长度y 与所挂物体的质量x 之间的关系C .矩形周长一定时,矩形面积和边长之间的关系D .正方形的周长C 与边长a 之间的关系6.国度决议对某药品价钱分两次降价,假定设平均每次降价的百分率为x ,该药品原价为18元,降价后的价钱为y 元,那么y 与x 的函数关系式为(C)A .y =36(1-x)B .y =36(1+x)C .y =18(1-x)2D .y =18(1+x 2) 7.一个直角三角形两直角边的和为10,设其中一条直角边为x ,那么直角三角形的面积y 与x 之间的函数关系式是(A)A .y =-12x 2+5x B .y =-x 2+10x C .y =12x 2+5x D .y =x 2+10x8.假定等边三角形的边长为x ,那么它的面积y 与x 之间的函数关系式为y =4x 2,其中x 的取值范围是x>0.9.圆柱的高为6,底面半径为r ,底面周长为C ,圆柱的体积为V.(1)区分写出C 关于r ,V 关于r 的函数表达式;(2)这两个函数中,哪个是二次函数?解:(1)∵圆柱的底面半径为r ,底面周长为C ,∴C=2πr.又∵圆柱的高为6,底面半径为r ,圆柱的体积为V ,∴V=πr 2×6=6πr 2.(2)依据二次函数的定义知,V =6πr 2是二次函数.易错点 无视二次函数表达式中二次项系数不为零 10.两个变量x ,y 之间的关系式为y =(m -2)xm 2-2+x -1,假定x ,y 之间是二次函数关系,那么m 的值是-2.中档题11.在半径为4 cm 的圆中,挖出一个半径为x cm(0<x<4)的圆,剩下的圆环的面积是y cm 2,那么y 与x 的函数关系式为(D)A .y =πx 2-4B .y =π(2-x)2C .y =π(x 2+4)D .y =-πx 2+16π12.二次函数y =1-3x +5x 2,假定其二次项系数为a ,一次项系数为b ,常数项为c ,那么a +b +c =3.13.某校九(1)班共有x 名先生,在毕业仪式上每两名同窗都握一次手,共握手y 次,试写出y 与x之间的函数关系式:y =12x 2-12x ,它是(填〝是〞或〝不是〞)二次函数. 14.顺达游览社为吸引游客到黄山景区旅游,推出如下收费规范: 假设人数不超越25人,人均旅游费用为1 000元. 假设人数超越25人,每超越1人,人均旅游费用降低20元.假定某公司预备组织x(x >25)名员工去黄山景区旅游,那么公司需支付给顺达游览社旅游费用y(元),那么y 与x 之间的函数表达式是y =-20x 2+1__500x .15.(教材P4习题T3变式)如下图,某小区方案在一个长为40 m ,宽为26 m 的矩形场地ABCD 上修建三条宽均为x m 的通路,使其中两条与AB 垂直,另一条与AB 平行,剩余局部种草,设剩余局部的面积为y m 2,求y 关于x 的函数表达式,并写出自变量的取值范围.解:依题意,得y =(40-2x)(26-x)=2x 2-92x +1 040.由⎩⎪⎨⎪⎧40-2x>0,26-x>0,解得x<20. 又∵x>0,∴自变量x 的取值范围是0<x<20.∴所求函数表达式为y =2x 2-92x +1 040(0<x <20).16.某商场以每件30元的价钱购进一种商品,试销中发现,这种商品每天的销售量m(件)与每件的销售价x(元)满足一次函数关系m =162-3x.请写出商场卖这种商品每天的销售利润y(元)与每件销售价x(元)之间的函数关系式,并求出自变量x 的取值范围.解:由题意知,每件商品的销售利润为(x -30)元,那么每天销售m 件的销售利润为y =m(x -30)元. ∵m=162-3x ,∴y=(x -30)(162-3x),即y =-3x 2+252x -4 860.∵x-30≥0,∴x≥30.又∵m≥0,∴162-3x≥0,即x≤54.∴30≤x≤54.∴所求函数关系式为y =-3x 2+252x -4 860(30≤x≤54).综合题17.如图,在△ABC 中,∠B=90°,AB =12 mm ,BC =24 mm ,动点P 从点A 末尾沿边AB 向B 以2 mm/s 的速度移动(不与点B 重合),动点Q 从点B 末尾沿边BC 向C 以4 mm/s 的速度移动(不与点C 重合).假设P ,Q 区分从A ,B 同时动身,设运动的时间为x s ,四边形APQC 的面积为y mm 2.(1)求y 与x 之间的函数关系式;(2)求自变量x 的取值范围;(3)四边形APQC 的面积能否等于172 mm 2.假定能,求出运动的时间;假定不能,说明理由. 解:(1)由运动可知,AP =2x ,BQ =4x ,那么y =12BC·AB-12BQ·BP =12×24×12-12·4x·(12-2x), 即y =4x 2-24x +144.(2)∵0<AP <AB ,0<BQ <BC ,∴0<x<6.(3)当y =172时,4x 2-24x +144=172.解得x 1=7,x 2=-1(负值,舍去).又∵0<x<6,∴四边形APQC 的面积不能等于172 mm 2.。
湘教版九年级下册数学同步练习
第4课时 二次函数k h x a y +-=2)(的图象与性质
一、选择题:
1、抛物线21)1(22+--=x y 的顶点坐标为( ) A 、(-1,21) B 、(1,21) C 、(-1,—21) D 、(1,—21)
2、对于2)3(22+-=x y 的图象,下列叙述正确的是( )
A 、顶点坐标为(-3,2)
B 、对称轴是直线3-=y
C 、当3≥x 时,y 随x 的增大而增大
D 、当3≥x 时,y 随x 的增大而减小
3、将抛物线2x y =向右平移一个单位长度,再向上平移3个单位长度后,所得抛物线的解析式为( )
A 、3)1(2++=x y
B 、3)1(2+-=x y
C 、3)1(2-+=x y
D 、3)1(2--=x y
4、抛物线2)1(22-+-=x y 可由抛物线22x y -=平移得到,则下列平移过程正确的是( )
A 、先向右平移1个单位,再向上平移2个单位
B 、先向右平移1个单位,再向下平移2个单位
C 、先向左平移1个单位,再向上平移2个单位
D 、先向左平移1个单位,再向下平移2个单位
5、如图,把抛物线y=x 2沿直线y=x 平移2个单位后,其顶点在直线上的A 处,则平移后的抛物线解析式是( )
A 、y=(x+1)2-1
B .y=(x+1)2+1
C .y=(x-1)2+1
D .y=(x-1)2-1
6、设A (-1,1y )、B (1,2y )、C (3,3y )是抛物线k x y +--=2)2
1(21上的三个点,则1y 、2y 、3y 的大小关系是( )
A 、1y <2y <3y
B 、2y <1y <3y
C 、3y <1y <2y
D 、2y <3y <1y
7、若二次函数2()1y x m =--.当x ≤l 时,y 随x 的增大而减小,则m 的取值
范围是( )
A .m =l
B .m >l
C .m ≥l
D .m ≤l
8、二次函数n m x a y ++=2)(的图象如图所示,则一次函数n mx y +=的
图象经过( )
A 、第一、二、三象限
B 、第一、二、四象限
C 、第二、三、四象限
D 、第一、三、四象限
二、填空题:
1、抛物线1)3(22-+-=x y 的对称轴是 ,顶点坐标是 ;当x 时,y 随x 的增大而增大,当x 时,y 随x 的增大而减小,当x 时,y 取最 值为 。
2、抛物线k h x y ++=2)(4的顶点在第三象限,则有k h ,满足h 0,k 0。
3、已知点A (1x ,1y )、B (2x ,2y )在二次函数1)1(2+-=x y 的图象上,若121>>x x ,则1y 2y (填“>”、“<”或“=”).
4、抛物线的顶点坐标为P (2,3),且开口向下,若函数值y 随自变量x
的增大而减小,那么x 的取值范围为 。
5、在平面直角坐标系中,点A 是抛物线k x a y +-=2)3(与y 轴的交点,
点B 是这条抛物线上的另一点,且AB ∥x 轴,则以AB 为边的等边三角形ABC 的周长为 。
6、将抛物线2x y -=先沿x 轴方向向 移动 个单位,再沿y 轴方向向 移动 个单位,所得到的抛物线解析式是1)3(2+--=x y 。
7、将抛物线12+-=x y 先向左平移2个单位,再向下平移3个单位,那么所得抛物线的函数关系式是 。
8、将抛物线1)1(22++-=x y 绕其顶点旋转180°后得到抛物线的解析式为 ;
将抛物线1)1(22++-=x y 绕原点旋转180°后得到抛物线的解析式
为 。
9、抛物线k h x a y +-=2)(的顶点为(3,-2),且与抛物线23
1x y -=的形状相同,则a
,h = ,k = 。
10、如图,抛物线3)2(21-+=x a y 与1)3(2
122+-=x y 交于点A (1,3),过点A 作x 轴的平行线,分别交两条抛物线于
点B ,C .则以下结论:①无论x 取何值,y 2的值总是正数;
②a=1;③当x=0时,y 2-y 1=4;④2AB=3AC ;其中正确结论是 。
三、解答题:
1、若二次函数图象的顶点坐标为(-1,5),且经过点(1,2),求出二次函数的解析式。
2、若抛物线经过点(1,1),并且当2=x 时,y 有最大值3,则求出抛物线的解析式。
3、已知:抛物线y=34
(x-1)2-3. (1)写出抛物线的开口方向、对称轴;
(2)函数y 有最大值还是最小值?并求出这个最大(小)值;
(3)设抛物线与y 轴的交点为P ,与x 轴的交点为Q ,求直线PQ 的函数解析式.
4、在直角坐标系中,二次函数图象的顶点为A (1、-4),且经过点B (3,0)
(1)求该二次函数的解析式;
(2)当33<<-x 时,函数值y 的增减情况;
(3)将抛物线怎样平移才能使它的顶点为原点。
5、如图是二次函数k m x y ++=2)(的图象,其顶点坐标为M (1,-4)
(1)求出图象与x 轴的交点A 、B 的坐标;
(2)在二次函数的图象上是否存在点P ,使MAB PAB S S ∆∆=
4
5,若存在,求出点P 的坐标;若不存在,请说明理由。