空冷器计算过程
- 格式:doc
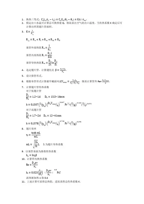
- 大小:37.00 KB
- 文档页数:2
空冷器换热面积计算
空冷器的换热面积计算方法通常根据具体的换热器类型和工作条件而定。
一般而言,换热器的换热面积取决于所需的热传递量、流体的流速以及流体的温度差等因素。
在具体计算时,可以采用以下的简单计算公式来估算空冷器的换热面积:
Q = U * A * ΔT
其中,Q表示所需的热传递量(单位为热功(W)或热量(J))、U表示换热器的传热系数(单位为热流密度
(W/m^2·K)或导热系数(W/m·K))、A表示换热面积(单位为平方米)以及ΔT表示流体的温度差(单位为摄氏度或开尔文)。
根据具体工作条件和设备参数,可以确定所需的热传递量和温度差,然后通过选择合适的传热系数,可以计算出所需的换热面积。
需要注意的是,这只是一个简化的计算公式,实际计算中还需要考虑更多的因素,例如气体的流动状态、换热器的结构形式等。
因此,在实际工程中,我们一般会采用更为精确的计算方法,如数值模拟和实验等来确定换热面积。
空冷器综合温度计算公式空冷器是一种用于降低空气温度的设备,通常用于工业生产和空调系统中。
空冷器的综合温度是一个重要的参数,它可以帮助我们了解空冷器的性能和效率。
在本文中,我们将介绍空冷器综合温度的计算公式,并讨论如何使用这个公式来评估空冷器的性能。
空冷器综合温度的计算公式可以通过以下步骤得出:步骤一,首先,我们需要确定空冷器的入口温度和出口温度。
入口温度是空气进入空冷器的温度,出口温度是空气离开空冷器后的温度。
这两个温度可以通过传感器或其他测量设备来获取。
步骤二,接下来,我们需要计算空冷器的冷却效果。
这可以通过入口温度减去出口温度来得出。
例如,如果入口温度为30摄氏度,出口温度为20摄氏度,那么冷却效果就是30-20=10摄氏度。
步骤三,然后,我们需要计算空冷器的冷却效率。
这可以通过冷却效果除以入口温度减去环境温度来得出。
例如,如果入口温度为30摄氏度,环境温度为25摄氏度,冷却效果为10摄氏度,那么冷却效率就是10/(30-25)=2。
步骤四:最后,我们可以使用以下公式来计算空冷器的综合温度:综合温度 = 入口温度 (冷却效率 (入口温度环境温度))。
通过这个公式,我们可以得出空冷器的综合温度,这个温度可以帮助我们评估空冷器的性能和效率。
综合温度越低,空冷器的性能越好,效率越高。
除了计算公式外,还有一些其他因素会影响空冷器的综合温度。
例如,空冷器的设计和材料、空气流速、环境温度等都会对综合温度产生影响。
因此,在评估空冷器性能时,我们还需要考虑这些因素。
另外,空冷器的综合温度还可以用于优化空调系统和工业生产过程。
通过监测和调整空冷器的综合温度,我们可以提高空调系统的能效比,降低能耗,减少生产成本,提高生产效率。
总之,空冷器的综合温度是一个重要的参数,它可以帮助我们评估空冷器的性能和效率。
通过计算公式和其他因素的影响,我们可以更好地了解空冷器的工作原理,并优化空调系统和工业生产过程。
希望本文对您有所帮助,谢谢阅读!。
课设题目:空冷冷凝器一、设计条件:某空调制冷机组采用空气冷却式冷凝器,要求制冷剂冷凝液过冷度5℃,压缩机在蒸发温度5℃,冷凝温度45℃时的排气温度为80℃,压缩机实际排气量为160kg/h;冷凝器空气进口温度为35℃。
二、其他参数1、制冷剂采用R134A2、采用肋片管式空冷冷凝器3、传热管采用紫铜套铝片,参数自定,正三角形排列(错排)三、完成内容1.确定冷凝器热负荷,并进行冷凝器设计计算2.提交计算程序以及计算说明书3.相关工程图纸一、计算冷凝器热负荷由所给条件画出压焓图1.根据tk=50℃和排气温度tdis=80℃,以及过冷度dt=5℃在R134A压焓图上可以查出hdis=460kj/kg以及过冷液体要求hc=250kj/kg.所以冷凝器热负荷为qmr*(hdis-hc)/3600=9.333kw2.取进出口空气温差为8℃,则定性温度为39℃,可求出空气流量qv2=1.029 m3/s4.单位管长肋片面积Af2=0.5294肋间基管表面积Ab2=0.03肋管外总表面积A2=Af2+Ab2=0.5594二、冷凝器的初步规划及有关参数选择管排方式采用错排,正三角形排列。
管间距s1=25.4mm 排间距s2=22mm紫铜管选用10*0.7,翅片厚度df=0,12mm,肋片间距sf=1.8mm,沿气流方向管排数n=2排。
三,设计计算流程图四、计算程序#include<iostream.h> #include<math.h>#define qmr 160#define pi 3.14void main(){double _tk=45, _tdis=80, _tc=5,_t2=35,_t3=43,tm;double _hdis=460,_hc=250,Pk;double _p2=1.128,_cp2=1.005,_v2=0.00001687,_r2=0.02751,qv2;double_d0=0.01,_df=0.00012,_df1=0.0007,_s1=0.0254,_s2=0.022,_sf=0.0018,_di=0.0086,_n=2,_nb=18, db,Af2,Ab2,A2,A1,bt,bt1,ib,de; //3.结构设计double _r14=19.9238,_Bm=74.8481,_r0=0.0001;tm=(_t2+_t3)/2;Pk=qmr*(_hdis-_hc)/3600;cout<<"冷凝器热负荷为:"<<Pk<<"kw";qv2=Pk/(_p2*_cp2*(_t3-_t2));cout<<"空气流量为"<<qv2<<endl;db=(_d0+2*_df);Af2=2*(_s1*_s2-pi*db*db/4)/_sf;Ab2=pi*db*(1-_df/_sf);A2=Af2+Ab2;A1=pi*_di;bt=A2/A1;bt1=A2/(A1+A2);ib=(_s1-db)*(_sf-_df)/(_s1*_sf);de=2*(_s1-db)*(_sf-_df)/((_s1-db)+(_sf-_df));double a1,C1,C2,Re, L,m,n,wf,wmax,L2,wf2,L1,H; //4.空气侧换热系数double nf2,n02,rh,rh1,rf=203,z,h1;rh=_s1/db;rh1=1.27*rh*pow(0.7,0.5);h1=db*(rh1-1)/2*(1+0.35*log(rh1));L=_n*_s2;for(wf=2.0;wf<=4.5;wf+=0.1){wmax=wf/ib;Re=wmax*de/_v2;C1=1.36-0.24*Re/1000;C2=0.518-0.02314*(L/de)+0.000425*(L/de)*(L/de)-3*pow(10,-6)*(L/de)*(L/de)*(L/de);m=0.45+0.0066*(L/de);n=-0.28+0.08*(Re/1000);a1=C1*C2*(_r2/de)*pow(L/de,n)*pow(Re,m);z=pow(2*a1/rf/Re,0.5); //5.计算翅片效率及表面效率nf2=tanh(m*h1)/m/h1;n02=1-Af2/A2*(1-nf2);double a2,tw=43.5; //6.计算管内换热系数???????a2=0.683*_r14*_Bm*pow((45-tw),-0.25)*pow(0.0086,-0.25);// 计算传热系数及传热面积double Kof,at,A0;Kof=1/(bt/a2+_df1*bt1/rf+_r0+1/a1/n02);at=(_t3-_t2)/log((_tk-_t2)/(_tk-_t3));A0=Pk/(Kof*at)*1000;L=A0/A2;double Ay,e,e1; //确定空冷冷凝器尺寸L1=L/(_nb*_n);H=_nb*_s1;L2=_n*_s2;Ay=L1*H;wf2=qv2/Ay;e=(wf2-wf)/wf;e1=fabs(e);if(e1<=0.01)break;}cout<<"迎面风速为wf2="<<wf2<<"m/s"<<"\n";cout<<"假设迎风风速wf="<<wf<<"\n";cout<<"有效长度L1="<<L1<<"\n";cout<<"高H="<<H<<"\n";cout<<"深L2="<<L2<<"\n";double ap2,pz,Pst; //空气阻力及风机选择ap2=9.81*0.0113*(L2/de)*pow(_p2*wmax,1.7);cout<<"ap2="<<ap2<<"Pa"<<"\n";cout<<"根据ap2选取Pst的值";cin>>Pst;pz=Pst+_p2*wf2*wf2/2;cout<<"全压为pz="<<pz<<"\n";}五、程序运行结果六、结果分析在设计计算中,需要先假设一个迎面风速,算出管内外换热系数和传热系数传热面积后会得出实际迎面风速。
空冷器的设计讲解第四章空冷器的设计4.1 空冷器的设计条件4.1-1 设计条件1. 空⽓设计温度设计⽓温系指设计空冷器时所采⽤的空⽓⼊⼝温度。
采⽤⼲式空冷器时,设计⽓温应按当地夏季平均每年不保证五天的⽇平均⽓温[1][2][3]。
采⽤湿式空冷器时,将⼲式空冷器的设计⽓温作为⼲球温度,然后按相对湿度查出湿球温度,该温度即为湿式空冷器的设计⽓温。
我国各主要城市的⽓温列于附表4-1。
从该表可见我国绝⼤多数地区夏季平均每年不保证五天的⽇平均⽓温低于35℃。
当接近温度⼤于15-20℃时,采⽤⼲式空冷器⽐较合理。
在⼲燥炎热的地区,为了降低空⽓⼊⼝温度可以采⽤湿式空冷器。
2. 介质条件(1)适宜空冷器的介质条件适于采⽤空冷器的介质有⽯油化⼯过程中的⽓体,液体,⽔和⽔蒸汽等。
3.热流的操作条件(1)流量。
根据⼯艺要求⽽定。
(2)操作压⼒。
根据国家标准“空冷式换热器”的规定,最⾼的设计压为35 Mpa,这个压⼒可以满⾜⽯油化⾏业空冷器的操作要求。
(3)⼊⼝温度热流的⼊⼝温度越⾼其对数平均温差越⼤,因⽽所需要的传热⾯积就越⼩,这是⽐较经济的。
但是,考虑能量回收的可能性,⼊⼝温度不宜⾼,⼀般控制在120~130℃以下,超过该温度的那部分热量应尽量采⽤换热⽅式回收。
在个别情况下,如回收热量有困难或经济上不合算时,可适当介质⼊⼝温度。
就空冷器本⾝⽽⾔,考虑到介质温度升⾼会导致热阻的增加,传热效率下降,绕⽚式翅⽚管的⼯作温度可⽤到165℃⽽锒⽚式翅⽚管可⽤到200℃如果热流⼊⼝温度较低(低于70~80℃),可考虑⽤湿式空冷器。
(4)出⼝温度与接近温度对于⼲式空冷器出⼝温度⼀般以不低于55~65℃为宜[3],若不能满⾜⼯艺要求,可增设后湿空冷,或采⽤⼲-湿联合空冷。
接近温度系指热流出⼝温度与设计⽓温之差值。
⼲式空冷器的最低值应不低于15℃[3],否则将导致空冷器的⾯积过⼤,这是不经济的。
上述的设计数据应填⼊表4.1-1的”空⽓冷却器规格表”内.表41-1 空冷器设计规格表4.2翅⽚管参数的优化翅⽚管是空⽓冷却器的传热元件,翅⽚管的参数对空冷器的传热效率、功率消耗和噪声等有直接的关系[4]。
空冷器计算过程空冷器空冷器换热效果好,结构简单,节约水资源,没有水污染等问题,比水冷更经济,故选用空冷器。
1.计算依据(1)进出空冷器的流量和组成:组分(2)设计温度40℃(3)进空冷器温度420℃,出空冷器温度80℃(4)进出口压力0.06MPa(表压)(5)换热量Q=2.37×106KJ/h2.设计计算(参考资料《化工装置的工艺设计》)查《化工装置的工艺设计》表9-31得轻有机物的传热系数为10英热单位/英尺2.h.换算为国际单位制:K=10×0.86×4.18=204.25KJ/m2.h.℃假设空气温升15.3℃按逆流:△t1=420-55.3=364.7℃△t2=80-40=40℃△tm1=146.91℃取温差校正系数Φ=0.8△tm=△tm1.Φ=146.91×0.8=117.53℃则所需普通光管的表面积:A0=Q/K.△tm(4—1)=2.37×106/(204.25×117.53=98.73m2由(T2-T1)/K=1.86查《化工装置的工艺设计》图9-120得:最佳管排数为n=6又由n=6查表9-33得迎面风速FV=165米/分表面积/迎风面积=A0/F2=7.60则:F2=A0/7.60=98.73/7.60=12.99m2由F1= Q/(t2-t1)FV17.3 (4—2)式中Q—换热量,Kcal/h(t2-t1)—空气温升FV—迎面风速,米/分代入数据F1=2.37×106/(15.3×165×17.3=12.98m2取ξ=0.01F2-F1=12.99-12.98=0.01≤ξ即空气出口温度假设合理以光管外表面为基准的空冷器的换热面积为98.73m2参考鸿化厂选φ377×12的换热管管长L=98.73×4/π×0.3532=1010米管内流速u=143.07×22.4×4/π×0.3532=2762.5m/h=9.2m/su=9.2m/s符合换热管内流速范围15—30米/秒,故换热管选择合理空冷器规格及型号:φ377×1010F=98.73m2评价,未作翅片面积核算。
空气冷却器热工性能校核计算(转)概述表面空气冷却器的计算方法,曾经是80年代我国空调设计的热门课题之一。
进入90年代后,该课题已很少有人问津,普遍认为课题已趋成熟;与之相对应的情况是:我国空调工业进入90年代后高速发展,国内空调系统末端生产企业一直为如何准确计算表面空气冷却器的换热性能而大伤脑筋,因为现有的计算方法,对表面空气冷却器进行计算时,冷量计算误差大于10%,甚至有的超过30%,部分状态点,还无法计算,为安全起见,生产企业不得不增大配置的表面空气冷却器的面积,结果,使生产成本提高,浪费了国家的有色金属材料和能源。
(一)国内外情况分析由于表面空气冷却器(以下简称表冷器)是空调机组的核心部件,表冷器的性能直接影响到空调机组的性能。
因此,国内外对表冷器的热工计算方法十分重视,先后提出的计算方法已不下几十种之多,这些方法各具特色。
国内从70年代末期,开始进行表冷器热工计算方法研究,提出了热交换效率法(也称干球温度效率法),湿球温度效率法,干球温度-析湿系数法,图解法,焓效率法,线性方程组求解法,当量温差法,传热单元数法等。
目前国内外空调设计手册和教科书中所采用的表冷器计算方法有两类:设计型和校核型,对不同的方法计算结果分析表明,已有的计算方法不能达到当对表面空气冷却器进行实验时,计算的冷量与实测的冷量结果误差小于5%。
(二)问题的提出从上面介绍可以看出,用目前国内外空调设计手册和教科书中采用的几种主要的表冷器热工计算方法进行计算时各有利弊,虽然依据表冷器试验结果进行的分析表明,热交换效率法是目前阶段较理想的一种计算方法,但该方法在进行冷量校核计算时,依然不能较全面和准确计算表冷器的冷量。
如干工况无法计算,部分湿工况误差较大。
在现阶段,由于表冷器的数值计算方法尚未达到实用化的阶段,表冷器的热工校核计算方法仍然需要建立在准确的试验数据的一致性,另外,由于计算工具的进步,为准确计算起见,已没有必要为了避免试算,而采取这样或那样的近似措施。
热风循环空冷器工艺计算公式
热风循环空冷器采用热风进行冷却,常用于工业生产中。
下面介绍其工艺计算公式。
热风循环空冷器的冷却效果主要由冷却空气的风速和温度差决定。
可以通过以下公式来计算:
冷却能力 = 冷却空气的体积流量 × (入口温度 - 出口温度) ×空气的比热容
其中,冷却空气的体积流量表示单位时间内冷却空气通过系统的体积,通常以立方米/小时为单位。
入口温度和出口温度分别表示冷却空气进入和离开系统时的温度,单位可以是摄氏度或开尔文度。
空气的比热容表示单位质量的空气在温度变化时所吸收或释放的热量,单位通常是焦耳/千克·开尔文度。
在进行公式计算时,需要根据具体情况确定冷却空气的体积流量、入口温度、出口温度以及空气的比热容的数值。
通过上述计算公式,可以得到热风循环空冷器的冷却能力。
该公式是在假设冷却空气的流动速度和温度分布均匀的情况下,对冷却效果进行估算。
实际情况可能受到多种因素的影响,因此在工程实践中一般会进行进一步的精确分析和优化设计。
课设题目:空冷冷凝器一、设计条件:某空调制冷机组采用空气冷却式冷凝器,要求制冷剂冷凝液过冷度5℃,压缩机在蒸发温度5℃,冷凝温度45℃时的排气温度为80℃,压缩机实际排气量为160kg/h;冷凝器空气进口温度为35℃。
二、其他参数1、制冷剂采用R134A2、采用肋片管式空冷冷凝器3、传热管采用紫铜套铝片,参数自定,正三角形排列(错排)三、完成内容1.确定冷凝器热负荷,并进行冷凝器设计计算2.提交计算程序以及计算说明书3.相关工程图纸一、计算冷凝器热负荷由所给条件画出压焓图1.根据tk=50℃和排气温度tdis=80℃,以及过冷度dt=5℃在 R134A压焓图上可以查出hdis=460kj/kg以及过冷液体要求hc=250kj/kg.所以冷凝器热负荷为qmr*(hdis-hc)/3600=9.333kw2.取进出口空气温差为8℃,则定性温度为39℃,可求出空气流量qv2=1.029 m3/s4.单位管长肋片面积Af2=0.5294肋间基管表面积 Ab2=0.03肋管外总表面积 A2=Af2+Ab2=0.5594二、冷凝器的初步规划及有关参数选择管排方式采用错排,正三角形排列。
管间距s1=25.4mm 排间距s2=22mm紫铜管选用10*0.7,翅片厚度df=0,12mm,肋片间距sf=1.8mm,沿气流方向管排数n=2排。
三,设计计算流程图四、计算程序#include<iostream.h> #include<math.h>#define qmr 160#define pi 3.14void main(){double _tk=45, _tdis=80, _tc=5,_t2=35,_t3=43,tm;double _hdis=460,_hc=250,Pk;double _p2=1.128,_cp2=1.005,_v2=0.00001687,_r2=0.02751,qv2;double_d0=0.01,_df=0.00012,_df1=0.0007,_s1=0.0254,_s2=0.022,_sf=0.0018,_di=0.0086,_n= 2,_nb=18,db,Af2,Ab2,A2,A1,bt,bt1,ib,de; //3.结构设计double _r14=19.9238,_Bm=74.8481,_r0=0.0001;tm=(_t2+_t3)/2;Pk=qmr*(_hdis-_hc)/3600;cout<<"冷凝器热负荷为:"<<Pk<<"kw";qv2=Pk/(_p2*_cp2*(_t3-_t2));cout<<"空气流量为"<<qv2<<endl;db=(_d0+2*_df);Af2=2*(_s1*_s2-pi*db*db/4)/_sf;Ab2=pi*db*(1-_df/_sf);A2=Af2+Ab2;A1=pi*_di;bt=A2/A1;bt1=A2/(A1+A2);ib=(_s1-db)*(_sf-_df)/(_s1*_sf);de=2*(_s1-db)*(_sf-_df)/((_s1-db)+(_sf-_df));double a1,C1,C2,Re, L,m,n,wf,wmax,L2,wf2,L1,H; //4.空气侧换热系数 double nf2,n02,rh,rh1,rf=203,z,h1;rh=_s1/db;rh1=1.27*rh*pow(0.7,0.5);h1=db*(rh1-1)/2*(1+0.35*log(rh1));L=_n*_s2;for(wf=2.0;wf<=4.5;wf+=0.1){wmax=wf/ib;Re=wmax*de/_v2;C1=1.36-0.24*Re/1000;C2=0.518-0.02314*(L/de)+0.000425*(L/de)*(L/de)-3*pow(10,-6)*(L/de)*(L/de)*(L/de );m=0.45+0.0066*(L/de);n=-0.28+0.08*(Re/1000);a1=C1*C2*(_r2/de)*pow(L/de,n)*pow(Re,m);z=pow(2*a1/rf/Re,0.5); //5.计算翅片效率及表面效率nf2=tanh(m*h1)/m/h1;n02=1-Af2/A2*(1-nf2);double a2,tw=43.5; //6.计算管内换热系数???????a2=0.683*_r14*_Bm*pow((45-tw),-0.25)*pow(0.0086,-0.25);// 计算传热系数及传热面积double Kof,at,A0;Kof=1/(bt/a2+_df1*bt1/rf+_r0+1/a1/n02);at=(_t3-_t2)/log((_tk-_t2)/(_tk-_t3));A0=Pk/(Kof*at)*1000;L=A0/A2;double Ay,e,e1; //确定空冷冷凝器尺寸L1=L/(_nb*_n);H=_nb*_s1;L2=_n*_s2;Ay=L1*H;wf2=qv2/Ay;e=(wf2-wf)/wf;e1=fabs(e);if(e1<=0.01)break;}cout<<"迎面风速为wf2="<<wf2<<"m/s"<<"\n";cout<<"假设迎风风速wf="<<wf<<"\n";cout<<"有效长度L1="<<L1<<"\n";cout<<"高H="<<H<<"\n";cout<<"深L2="<<L2<<"\n";double ap2,pz,Pst; //空气阻力及风机选择ap2=9.81*0.0113*(L2/de)*pow(_p2*wmax,1.7);cout<<"ap2="<<ap2<<"Pa"<<"\n";cout<<"根据ap2选取Pst的值";cin>>Pst;pz=Pst+_p2*wf2*wf2/2;cout<<"全压为pz="<<pz<<"\n";}五、程序运行结果六、结果分析在设计计算中,需要先假设一个迎面风速,算出管内外换热系数和传热系数传热面积后会得出实际迎面风速。
空冷器冷凝过程过冷却的方案设计和计算―炼油厂节能减排措施的设计思路哈尔滨空调股份有限公司:尚立新在化工生产中介质的常压冷凝一般要求要有一定程度的过冷却,因为采用空冷方式进行换热的介质,其泡点温度大多数在100℃以下,在冷凝液抽出体系中,过冷可以防止介质出现闪蒸,因为冷后液体用泵抽出时发生闪蒸会产生气阻现象,对泵的操作有影响,以往采用空冷只能达到冷凝的目的,因为在空冷器过冷段的换热系数非常低,需要较大的换热面积才能实现,而且,只有在环境空气温度相对较低的时候才能达到一定程度的过冷却,常常在空冷器的后面加后水冷器来解决过冷却的要求。
而后水冷在环境空气温度相对较低的时候使用率又不高,采用对空冷器进行改造、取消后水冷达到冷却要求成为许多化工生产厂家节能减排的首选方案。
通过对换热机理的研究,我们不难发现,影响换热的因素-换热量Q-主要取决于传热系数K和对数平均温差△T,见下面的公式①,-----------①一△Tm大小取决于管内介质的进出口温度T1和T2及环境空气的进出口温度t1和t2(见下面的公式②);这几个参数是工艺要求不能改变的,那么,只有提高传热系数K 才能有效的增加单位换热面积的换热量,所以换热系数就成为表征换热器换热效率的关键参数。
空冷器总传热系数K 的计算主要由管内膜传热系数hi 、管外膜传热系数k 0和污垢热阻总和的算术平均值求得(见公式③),t p o o o to r r r d d r h h K +++⋅++=11111 -------------③ 式中 K —总传热系数,W /㎡·K ;h io —以基管外表面积为基准的管内膜传热系数,W /㎡·K ;r i —管内壁污垢热阻,㎡·K/W ;r 0 —管外壁污垢热阻,㎡·K/W ;r p —翅片热阻,㎡·K/W ;r p —翅片接触热阻,㎡·K/W 。
管外膜传热系数k 0由空冷器主要换热元件翅片管和风速决定(见公式④),⎪⎪⎭⎫ ⎝⎛⋅⎪⎭⎫ ⎝⎛⋅⋅⋅⋅=01296.01333.0718.00Pr Re 1378.0A A h s d h a a r a λ ④式中 h o —以光管外表面积为基础准的管外膜传热系数,W /㎡·K ; d r —翅根直径,m ;λa —空气的导招数系数,w /m ·k;Re a —空气通过翅片管束的雷诺数, a r a G d μm a xRe ⋅=s p n a a njr a N N B L U W U B W G ⋅⋅⋅⋅⋅=⋅=⋅ρmaxPr a ——— 空气的普兰特数,a apa a C λμ⋅=Pr ;G max ———窄隙流通截面的空气质量流速,kg /㎡· s ;W a ———标准状态下的空气流量,kg/s;B jr ———窄隙流通面积与迎风面积比,见表3-6;μa ———空气的动力粘度,Pa ·s ; ρu ———空气密度,kg /m 3。
空冷器散热面积计算公式(一)空冷器散热面积计算公式1. 简介 - 空冷器是一种广泛应用于各种电子设备中的散热装置,通过增大散热面积,利用自然对流或强制对流的方式将热量散发到周围环境中。
- 计算空冷器的散热面积是评估其散热性能的重要指标之一,可以帮助设计人员选定适当的散热器类型及尺寸。
2. 常用计算公式矩形散热片的散热面积计算公式A=l⋅w•A:散热片的散热面积(单位:平方米)•l:散热片的长度(单位:米)•w:散热片的宽度(单位:米)例子:假设一个矩形散热片的长度为,宽度为,则散热面积为A=×=2圆形散热片的散热面积计算公式A=π⋅r2•A:散热片的散热面积(单位:平方米)•r:散热片的半径(单位:米)•π:圆周率,约等于例子:假设一个圆形散热片的半径为,则散热面积为A=×2≈2多孔散热片的散热面积计算公式A=n⋅S•A:散热片的散热面积(单位:平方米)•n:散热片的数量•S:单个散热片的面积(单位:平方米)例子:假设一个空冷器有 4 个相同的散热片,每个散热片的面积为 ^2,则散热面积为A=4×2=2复杂形状散热片的散热面积计算公式针对复杂形状的散热片,可以采用近似计算的方法,将其分解为多个简单形状(如矩形、圆形等),然后逐个计算各个部分的散热面积,再将其累加得到总散热面积。
例子:假设一个复杂形状散热片可以近似分解为一个矩形和一个圆形,矩形部分的长为,宽为,圆形部分的半径为,则散热面积为A=(×)+(π×2)总结空冷器散热面积的计算根据散热器的形状不同而有所差异。
对于矩形、圆形、多孔等简单形状的散热片,可以直接套用对应的计算公式进行计算。
对于复杂形状的散热片,则需要将其分解为简单形状进行计算。
准确计算空冷器散热面积可以帮助设计人员选择合适的散热器,并评估其散热性能。
第二章空冷器设计一、空冷器设计方案冷却水经过发动机的冷却系统升温后,流入空冷器进行冷却,再进入发动机的冷却系统进行循环冷却。
图示如下:二、空冷器热力计算发动机有效功率(由题) 25kW发动机单位时间散热量Q=25/30%*60%=50kW由热平衡方程式得Q=M水c水(T1-T2),解得M水=0.60kg/s1、原始数据热水进口温度(给出) T1=90℃热水出口温度(给出) T2=70℃空气设计温度(取济南市夏季平均每年不保证五天的日平均气温)t1=33.8℃估算空气出口温度t2=50℃水流量M水=0.60kg/s2、流体的物性参数水的定性温度Tm1=(T1+T2)/2=(90+70)/2=80℃水的比热(查物性表) c1= 4.195 kJ/(kg﹒℃)水的密度(查物性表) ρ1= 971.8kg/m³水的导热系数(查物性表) λ1=0.675 W/(m﹒℃)水的粘度μ1=356.5×10-6kg/(m*s)水的普兰德数Pr1=μ1c1/λ1=356.5×10-6×4195/0.675=2.22空气的定性温度tm2=(tm1+tm2)/2=41.9℃空气的比热(查物性表) c2=1.03 KJ/(kg·℃)空气的密度(查物性表) ρ2=1.12 kg/m³空气的导热系数(查物性表) λ2=2.769×10-2 W/(m﹒℃)空气的黏度μ2=19.2×10-6 kg/(m*s)空气的普兰德数Pr2=μ2c2/λ2=0.6993、传热量及平均温差热损失系数(取用)ηL=0.98传热量Q1=QηL=50×0.98=49kW空气流量M2= Q1/ c2(t2-t1)=45/1.03×(50-33.8)=2.70kg/s逆流时对数平均温差Δt1m =(Δtmax-Δtmin)/ln(Δtmax/Δtmin)=18.01参数P=(T1-T2)/(T1-t1)=(90-70)/(90-33.8)=0.302参数R=(t2-t1)/( T1- T2)=(50-33.8)/(90-70)=0.81温差修正系数(由两种流体中只有一种流体有横向混合的错流式热交换器公式计算)ψ=0.978有效平均温差Δtm =ψΔt1m=0.978×18.01=17.61℃4、估算传热面积及传热面结构水流速(初步估计)w1=0.5m/s空气流速(初选) w2=1 m/s管子材料及规格: 选用碳钢无缝钢管φ19×2钢管导热系数k=46.52W/(m*℃)选定壁温T=(80+41.9)/2=61℃查物性表得在此温度下的水的粘度μ1′=463.5×10-6kg/(m*s)水侧换热系数h1求解:Re=ρ1w1d/μ1=971.8×0.5×0.019/0.0003565=25896.5Nu=0.027Re0.8Pr0.3(μ1′/μT)0.14=0.027×25896.50.8×2.220.3×(463.5/356.5)0.14=151.3h 1=Nuλ1/d=151.3×0.675/0.019=5375.1 W/(m2﹒℃)空气侧换热系数h2求解:h2=412 w20.718=412×10.718=412 W/(m2﹒℃)传热系数1/K=1/h1+δ/k+1/h2解得 K=376.5W/(m2﹒℃)估算传热面积F= Q1/KΔtm=49000/(376.5×17.61)=7.4m²管程所需流通截面积At =M1/ρ1w1=0.6/(971.8×0.5)=0.00123 m²按单程计算每程管数n=4At/πd²=4×0.00123/(3.14×0.019²)=4.34 取n=5每根管长L=F/nZtπd=7.4/5×4π×0.019=6.2m 取L=6m取传热管长l=3m,则管程数为Np=L/l=6/3=2传热管总根数N=5×2=10(根)管子排列方式选等边三角形。
空冷式冷凝器设计计算设计空冷式冷凝器时,需要考虑以下几个关键参数:1.需要冷凝的气体或蒸汽的流量2.进入冷凝器的气体或蒸汽的温度和压力3.冷却介质的流量和温度接下来我们将详细介绍空冷式冷凝器的设计计算过程。
首先,计算冷凝器的传热量需求。
传热量的计算可以通过以下公式得到:Q=m×(h1-h2)其中,Q表示传热量,m表示流体的质量流率,h1表示入口处的焓值,h2表示出口处的焓值。
然后,根据气体或蒸汽在冷凝过程中的特性,确定合适的冷凝温度。
冷凝温度应高于冷却介质的出口温度,以便于热量能够顺利被冷却介质吸收。
接下来,通过计算冷却介质流量和温度差,确定冷却介质的需求。
冷却介质的流量可通过以下公式计算:Q=m×c×ΔT其中,c表示冷却介质的比热容,ΔT表示冷却介质的温度差。
在确定了冷却介质的需求后,可以根据设计要求选择合适的冷却介质,比如水、空气等。
接下来,通过计算冷凝器的传热面积来满足传热量需求。
传热面积的计算可以通过以下公式得到:Q=U×ΔT×A其中,U表示传热系数,ΔT表示传热温度差,A表示传热面积。
传热系数U可以通过经验公式或实验数据进行估算。
传热面积A的计算可以根据冷凝器的结构形式进行确定,比如管束换热器、冷凝罐等。
最后,通过计算冷却介质的流速来确定冷却介质的压力损失。
流速的计算可以通过以下公式得到:ΔP=(ρ×v^2)/(2×g)其中,ΔP表示压力损失,ρ表示冷却介质的密度,v表示流速,g表示重力加速度。
通过以上的设计计算步骤,可以得到空冷式冷凝器的关键参数,进而进行设备选型和优化设计。
此外,在实际设计过程中,还需要考虑冷凝器的材料选择、结构设计、设备布局等因素,以确保冷凝器的性能和可靠性。
总结起来,空冷式冷凝器的设计计算过程主要包括传热量的计算、冷凝温度的确定、冷却介质需求的计算、冷凝器传热面积的确定和冷却介质流速的计算等步骤。
空冷器散热面积计算公式(二)
空冷器散热面积计算公式
1. 引言
空冷器散热面积计算公式是在工程设计和相关领域中常用的计算
公式之一,用于确定空冷器所需的散热面积。
2. 空冷器散热面积计算公式
一般情况下,空冷器散热面积计算公式如下:
A = Q / U
其中: - A表示散热面积(平方米) - Q表示热量传递率(瓦特
/W) - U表示传热系数(瓦特/平方米·摄氏度)
3. 举例说明
为了更好地理解空冷器散热面积计算公式的应用,我们将通过一
个例子进行说明。
假设我们要设计一个空冷器,用于散热功率为500瓦的电子设备。
根据设计要求,我们希望传热系数为10瓦特/平方米·摄氏度。
现在
我们来计算所需的散热面积。
首先,根据给定的热量传递率Q=500瓦和传热系数U=10瓦特/平
方米·摄氏度,代入空冷器散热面积计算公式:
A = 500 / 10 = 50 平方米
因此,我们需要一个散热面积为50平方米的空冷器来满足设计要求。
4. 总结
空冷器散热面积计算公式是一种常用的工程设计计算方法,用于确定空冷器所需的散热面积。
通过计算公式,我们可以根据给定的热量传递率和传热系数来计算所需的散热面积,从而满足设计要求。
在实际应用中,我们可以根据具体情况调整热量传递率和传热系数的数值,以获得最优的散热效果。
空冷器计算过程
空冷器
空冷器换热效果好,结构简单,节约水资源,没有水污染等问题,比水冷更经济,故选用空冷器。
1.计算依据
(1)进出空冷器的流量和组成:
组分
(2)设计温度40℃
(3)进空冷器温度420℃,出空冷器温度80℃
(4)进出口压力0.06MPa(表压)
(5)换热量Q=2.37×106KJ/h
2.设计计算(参考资料《化工装置的工艺设计》)
查《化工装置的工艺设计》表9-31得轻有机物的传热系数为10英热单位/英尺2.h.
换算为国际单位制:K=10×0.86×4.18=204.25KJ/m2.h.℃
假设空气温升15.3℃
按逆流:△t1=420-55.3=364.7℃
△t2=80-40=40℃
△tm1=146.91℃
取温差校正系数Φ=0.8
△tm=△tm1.Φ=146.91×0.8=117.53℃
则所需普通光管的表面积:
A0=Q/K.△tm(4—1)
=2.37×106/(204.25×117.53
=98.73m2
由(T2-T1)/K=1.86查《化工装置的工艺设计》图9-120得:
最佳管排数为n=6
又由n=6查表9-33得
迎面风速FV=165米/分
表面积/迎风面积=A0/F2=7.60
则:F2=A0/7.60=98.73/7.60=12.99m2
由F1= Q/(t2-t1)FV17.3 (4—2)
式中Q—换热量,Kcal/h
(t2-t1)—空气温升
FV—迎面风速,米/分
代入数据F1=2.37×106/(15.3×165×17.3=12.98m2
取ξ=0.01
F2-F1=12.99-12.98=0.01≤ξ
即空气出口温度假设合理
以光管外表面为基准的空冷器的换热面积为98.73m2
参考鸿化厂选φ377×12的换热管
管长L=98.73×4/π×0.3532=1010米
管内流速u=143.07×22.4×4/π×0.3532=2762.5m/h=9.2m/s
u=9.2m/s符合换热管内流速范围15—30米/秒,故换热管选择合理空冷器规格及型号:φ377×1010
F=98.73m2
评价,未作翅片面积核算。