七大集合易错点汇集精编版
- 格式:doc
- 大小:274.00 KB
- 文档页数:4
高考数学小专题:集合易错题总结
集合是每年高考数学的必考的一题,而且是第一题,一般这道题都不是特别难,可以说是送分题。
即使是这样比较简单的题目,仍然有不少考生因为粗心大意或者基础不扎实而做错。
高考数学选择题,一题分值5分,须知“一分压倒一千人”,5分的分量意味着什么,不言而喻。
所以,我们总结了集合中容易犯的几个小错误,希望对大家有所帮助,力争高考数学开门红,第一题所有考生都能全部回答正确。
1.只要是考查集合,大家始终要记住集合中的特例:空集,任何时候,你都不能忽略它的存在,它是空集不是空气。
2.集合三要素:确定性;互异性;无序性。
这三点中的互异性是查考的一个重点,不少考生因为考虑不全面,经常在这里栽跟头。
3.对于集合中元素的理解,很多同学经常没有仔细读题,题目中有时候指定的元素是y,不少同学形成定式思维,以为只要是元素,就一定是x,结果出错。
所以,务必要看清集合中的元素到底是指代哪一个。
4.隐含条件对元素的限制很容易被忽略,看到题目简单,不要过于兴奋,没有冷静下来思考,很容易就中了埋伏。
5.我们埋头去求集合A和集合B的元素或者取值范围,等到计算出结果了,却把交集看成了并集或者并集看成了交集,结果导致失误,前面辛苦计算了半天,全都白忙活,甚
是可惜。
所以,一定要细心,一定要细心,一定要细心,重要的事情讲三遍。
集合易错点总结
嘿,朋友们!今天咱就来好好唠唠集合易错点总结。
比如说啊,你看在集合的表示上,那可真是容易掉坑呀!有的人会把列举法和描述法搞混。
就像我之前考试的时候,明明应该用描述法表示的集合,我却傻愣愣地用了列举法,哎呀,那叫一个悔恨呐!“{xx 是小于 10 的正
整数}”,这就应该用描述法呀,要是我一不小心写成了一个一个列举出来,那不是大错特错啦!
还有啊,在子集和真子集的概念上,也特别容易弄错!就好比子集像是“妈妈”,真子集就是“孩子”,真子集是子集的一部分,但不等于子集呀!记得那次和同学讨论题目,他就稀里糊涂地把子集和真子集搞混了,我还笑话他呢,结果自己做题的时候也差点犯错,哎呀呀,可得长点心呐!
再有就是集合的运算啦!并集和交集,稍不注意就搞混。
想象一下,并集就像是把两个袋子里的东西一股脑全放一起,交集就是两个袋子里相同的那部分。
咱就说,要是把并集当成交集来做,那答案能对吗?肯定不行呀!我就曾经在做作业的时候犯过这样的错,当时真是恨不得敲自己脑袋!
总之啊,集合这里面的易错点可不少。
咱可得瞪大双眼,认真仔细,别掉进这些“陷阱”里啦!可别像我之前那样马虎犯错啦!记住这些易错点,在学习集合的时候就不会那么容易出错啦!大家一起加油哦!。
2019年高考数学复习集合与函数易错知识点总结集合(简称集)是数学中一个基本概念, 下面是集合与函数易错知识点总结, 请考生学习掌握。
1.进行集合的交、并、补运算时, 不要忘了全集和空集的特殊情况, 不要忘记了借助数轴和文氏图进行求解。
2.在应用条件时, 易A忽略是空集的情况3.你会用补集的思想解决有关问题吗4.简单命题与复合命题有什么区别四种命题之间的相互关系是什么如何判断充分与必要条件5.你知道否命题与命题的否定形式的区别。
6.求解与函数有关的问题易忽略定义域优先的原则。
7.判断函数奇偶性时, 易忽略检验函数定义域是否关于原点对称。
8.求一个函数的解析式和一个函数的反函数时, 易忽略标注该函数的定义域。
9.原函数在区间[-a, a]上单调递增, 则一定存在反函数, 且反函数也单调递增;但一个函数存在反函数, 此函数不一定单调。
例如: 。
10.你熟练地掌握了函数单调性的证明方法吗定义法(取值, 作差, 判正负)和导数法11.求函数单调性时, 易错误地在多个单调区间之间添加符号和或单调区间不能用集合或不等式表示。
12.求函数的值域必须先求函数的定义域。
13.如何应用函数的单调性与奇偶性解题①比较函数值的大小;②解抽象函数不等式;③求参数的范围(恒成立问题)。
这几种基本应用你掌握了吗14.解对数函数问题时, 你注意到真数与底数的限制条件了吗(真数大于零, 底数大于零且不等于1)字母底数还需讨论15.三个二次(哪三个二次)的关系及应用掌握了吗如何利用二次函数求最值16.用换元法解题时易忽略换元前后的等价性, 易忽略参数的范围。
17.实系数一元二次方程有实数解转化时, 你是否注意到:当时, 方程有解不能转化为。
若原题中没有指出是二次方程, 二次函数或二次不等式, 你是否考虑到二次项系数可能为的零的情形。
高中数学:集合部分易错点集锦在高中数学中,集合这部分是非常容易的,在考试中是最不应该失分的部分,特别是在高考中。
但是有一些易错点,很多学生遇到之后还是会出错,今天在这里总结一下,希望能帮到一部分学生。
易错点1:对描述法表示集合的理解不透彻而出错用描述法表示集合,一定要注意两点:1、一定要清楚符号“{x|x 的属性}”表示的是具有某种属性的x的全体,而不是部分;2、一定要从代表元素入手,弄清代表元素是什么。
易错点2:混淆数集和点集的表示使用特征法表示集合时,首先要明确集合中的代表元素是什么,比如,1{y|y=x2+1};2{(x,y)|y=x2+1},这两个集合中德代表元素的属性表达式都和y=x2+1有关,但由于代表元素符号形式不同,因而表示的集合也不一样。
1代表的数集,2代表的是点集。
易错点3:忽视集合中元素的互异性在学习集合的相关概念时,对含有参数的集合问题都容易出错,尽管知道集合众元素是互异的,也不会写出{3,3}这样的形式,但当字母x出现时,就会忽略x=3的情况,导致集合中出现相同元素。
易错点4:忽略空集的存在空集是一个特殊而又重要的结,它不含任何元素,记为∅。
在解隐含有空集参与的集合问题时,非常容易忽略空集的特殊性而出错。
特别是在求参数问题时,会进行分类讨论,讨论过程中非常容易忘记空集的存在,导致最终答案出错。
易错点5:利用数轴求参数时忽略端点值在求集合中参数的取值范围时,要特别注意该参数在取值范围的边界处能否取等号,最稳妥的办法就是把端点值带入原式,看是否符合题目要求。
要注意两点:1、参数值代入原集合中看是否满足集合的互异性;2、所求参数能否取到端点值。
易错点6:混淆子集和真子集而错集合之间的关系类问题涉及到参数时,需要分类讨论,分类讨论时非常容易忽略两个集合完全相等这种情况,认为子集就是真子集,最终导致参数求错或者集合的关系表达不准确。
易错点7:求参数问题时,忘记检验而出错根据条件求集合的中的参数时,一定要带入检验,看是否满足集合的“三性”中互异性,同时还要检验是否满足题干中的其他条件。
集合问题中常见易错点归类分析答案集合问题中常见易错点归类分析集合问题涉及范围广,内容多,难度大,题目灵活多变。
初学时,由于未能真正理解集合的意义、性质、表示法或考虑问题不全,容易出现错解。
本文将常见易错点归纳如下:1.代表元素意义不清致误例1:设集合A={(x。
y)∣x+2y=5},B={(x。
y)∣x-2y=-3},求A∩B。
错解:由x+2y=5得x=1,从而A∩B={1,2}。
x-2y=-3分析:上述解法混淆了点集与数集的区别。
集合A、B中元素为点集,所以A∩B={(1,2)}。
例2:设集合A={y∣y=x^2+1,x∈R},B={x∣y=x+2},求A∩B。
错解:显然A={y∣y≥1},B={x∣x≥0},所以A∩B=B。
分析:错因在于对集合中的代表元素不理解。
集合A中的代表元素是y,从而A={y∣y≥1},但集合B中的元素为x,所以B={x∣x≥0},故A∩B=A。
2.忽视集合中元素的互异性致错例5:已知集合A={1,3,a},B={1,a-a+1},且A∪B,求a的值。
错解:经过分析知,若a-a+1=3,则a-a-2=0,即a=-1或a=2.分析:错因在于忽视了集合中元素的互异性。
集合B中包含了1和a-a+1,即a-1,所以B={1,a-1}。
因此,A∪B={1,3,a,a-1},而集合中元素互异,所以a-1≠3,解得a=2.2.集合论中易犯的三种错误在集合论中,常常会犯三种错误,分别是:混淆元素与集合,忽视元素的互异性,忽视空集的特殊性。
首先,混淆元素与集合是集合论中最常见的错误之一。
在集合论中,元素是集合的基本成分,而集合则是由元素组成的整体。
因此,在列举集合时,必须明确元素和集合的区别,不可混淆。
其次,忽视元素的互异性也是一个常见的错误。
在集合中,元素是互异的,即同一个集合中不能有两个相同的元素。
在解题时,必须注意元素的互异性,否则会得到错误的结果。
最后,忽视空集的特殊性也是一个常见的错误。
集合数学知识点高一易错集合是数学中的一个重要概念,也是高中数学的重点之一。
高一阶段学习集合时,存在一些易错的知识点。
本文将详细介绍高一阶段集合数学知识中容易出错的地方,并给出解决方法。
希望能对广大高一学生有所帮助。
1. 集合的定义请思考以下问题:集合是什么?我们如何描述一个集合?集合的定义是什么?集合是由具有某种共同属性的对象构成的整体。
我们通常使用大写字母A、B、C等来表示集合,使用大括号{}来表示一个集合的元素。
集合的定义:如果一个元素a是某个集合A的成员,我们可以写作a∈A。
如果一个元素b不是集合A的成员,我们可以写作b∉A。
例如,若集合A={1,2,3},则有1∈A,4∉A。
2. 集合的表示方法在高一的学习中,常用的集合表示方法有列举法和描述法。
在使用过程中容易混淆,需要注意区分。
列举法:通过列举给出集合的所有元素。
例如,集合A={1,2,3,4}。
描述法:通过描述集合中元素的某些共同特征来表示集合。
例如,集合A={x|x是正整数,x<5}。
3. 集合的运算法则高一阶段,集合的运算法则主要有交集、并集、差集和补集。
这些运算容易混淆和误解,请仔细阅读下列内容。
交集运算:若A和B为两个集合,A∩B表示同时属于集合A和B的元素组成的集合。
例如,若A={1,2,3},B={2,3,4},则A∩B={2,3}。
并集运算:若A和B为两个集合,A∪B表示属于集合A或集合B的元素组成的集合。
例如,若A={1,2,3},B={2,3,4},则A∪B={1,2,3,4}。
差集运算:若A和B为两个集合,A-B表示属于集合A但不属于集合B的元素组成的集合。
例如,若A={1,2,3},B={2,3,4},则A-B={1}。
补集运算:若U为全集,A为U的一个子集,A'表示U中不属于集合A的元素组成的集合。
例如,若全集为U={1,2,3,4,5},A={1,2},则A'={3,4,5}。
4. 分类讨论的方法在解决集合问题时,分类讨论的方法是常用的思维方式。
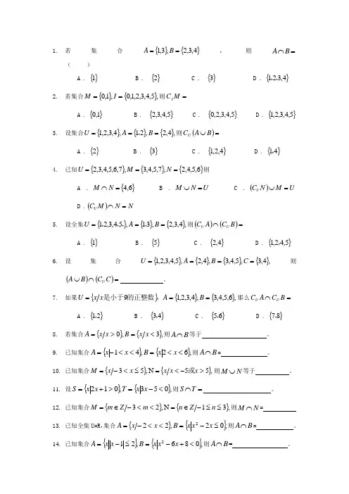
1. 若集合{}{}4,3,2,3,1==B A ,则=⋂B A( )A . {}1B . {}2C . {}3D . {}4,321,,2. 若集合{}{},5,4,3,2,1,0,1,0==I M 则=M C IA . {}1,0B . {}5,4,3,2C . {}5,4,3,2,0D . {}5,4,3,2,13. 设集合{}{}{},4,2,21,4,3,2,1===B A U ,则()=⋃B A C UA . {}2B . {}3C . {}4,2,1D . {}41,4. 已知{}{}{}6,5,4,2,7,5,4,3,7,6,5,4,3,2===N M U 则A .{}6,4=⋂N MB .U N M =⋃C .()U M N C U =⋃D .()N N M C U =⋂5. 设全集{}{}{},4,3,2,31,54,3,21===B A U ,,,,则()()=⋂B C A C U UA . {}1B . {}5C . {}4,2D . {}5,42,1,6. 设集合{}{}{}{},4,3,5,4,3,4,2,5,4,3,2,1====C B A U 则()()=⋂⋃C C B A U 。
7. 如果{}{}{},6,5,4,3,4,3,2,19===B A x x U ,的正整数是小于那么=⋂B C A C U UA . {}21,B . {}43,C . {}65,D . {}87,8. 若集合{}{},3,0<=>=x x B x x A 则B A ⋂等于 。
9. 已知集合{}{},62,41<<=<<-=x x B x x A 则B A ⋂= 。
10. 已知集合{}{},55N ,53>-<=≤<-=x x x x x M 或则N M ⋃等于 。
11. 设{}{},053,012<-=>+=x x T x x S 则=⋂T S 。
集合与简易逻辑(重点、易错点)一.集合元素具有确定性、无序性和互异性. 在求有关集合问题时,尤其要注意元素的互异性,如(1)设P 、Q 为两个非空实数集合,定义集合P+Q={|,}a b a P b Q +∈∈,若{0,2,5}P =,}6,2,1{=Q ,则P+Q中元素的有________个。
(答:8) (2)设{(,)|,}U x y x R y R =∈∈,{(,)|20}A x y x y m =-+>,{(,)|B x y x y n =+-0}≤,那么点)()3,2(B C A P u ∈的充要条件是________ (答:5,1<->n m ); (3)非空集合}5,4,3,2,1{⊆S ,且满足“若S a ∈,则S a ∈-6”,这样的S 共有_ _个 (答:7) 二.遇到A B =∅时,你是否注意到“极端”情况:A =∅或B =∅;同样当A B ⊆时,你是否忘记∅=A 的情形?要注意到∅是任何集合的子集,是任何非空集合的真子集。
如集合{|10}A x ax =-=,{}2|320B x x x =-+=,且A B B =,则实数a =__ _.(答:10,1,2a =)已知集合A={x|x 2+(m +2)x +1=0,x∈R},若A∩R *=∅,则实数m 的取值范围是_________.(答:m>-4)三.对于含有n 个元素的有限集合M ,其子集、真子集、非空子集、非空真子集的个数依次为,n 2,12-n ,12-n.22-n 如 满足{1,2}{1,2,3,4,5}M ⊂⊆≠集合M 有___个。
(答:7)四.集合的运算性质:⑴A B A B A =⇔⊆; ⑵A B B B A =⇔⊆; ⑶A B ⊆⇔B C A C U U ⊇;⑷B A B C A U ⊆⇔Φ=⋂; ⑸B A U B A C U ⊆⇔=⋃; ⑹()U C A B U U C A C B =;⑺()U U U C AB C A C B =.如:(1) 设全集}5,4,3,2,1{=U ,若}2{=B A ,}4{)(=B A C U ,}5,1{)()(=B C A C U U ,则A =__ __,B =__ _. (答:{2,3}A =,{2,4}B =)(2) 设全集U={x|0<x<10,x∈N*},若A∩B={3},A∩C U B={1,5,7},C U A∩C U B={9},则集合A 、B 是________.(答:A={1,3,5,7},B={2,3,4,6,8})五.研究集合问题,一定要理解集合的意义――抓住集合的代表元素。
集合知识点和易错点一、引言集合是数学中的基本概念之一,它在各个学科中都有广泛的应用。
理解集合的概念以及其中的知识点和易错点对于学习数学和其他学科都非常重要。
本文将从基本概念开始逐步介绍集合的知识点和易错点。
二、集合的基本概念2.1 集合的定义集合是由一些确定的对象组成的整体。
这些对象称为集合的元素,可以是任何事物,如数字、字母、图形等。
用大写字母表示集合,用大括号 {} 表示集合的元素。
例如,{1, 2, 3} 表示一个由数字1、2和3组成的集合。
2.2 集合的表示方法集合可以通过列举元素的方式表示,也可以通过描述元素的特征来表示。
常见的表示方法有:•列举法:用大括号把元素列出来,用逗号分隔。
例如,{1, 2, 3} 表示一个包含数字1、2和3的集合。
•描述法:通过描述元素的特征来表示集合。
例如,{x | x 是偶数} 表示一个包含所有偶数的集合。
2.3 集合的关系集合之间可以有不同的关系,常见的关系有:•包含关系:一个集合的所有元素都是另一个集合的元素,称为包含关系。
用符号⊆ 表示。
例如,{1, 2} ⊆ {1, 2, 3}。
•相等关系:两个集合的元素完全相同,称为相等关系。
用符号 = 表示。
例如,{1, 2, 3} = {3, 2, 1}。
•交集:两个集合中共同的元素构成的集合,称为交集。
用符号∩ 表示。
例如,{1, 2} ∩ {2, 3} = {2}。
•并集:两个集合中所有的元素构成的集合,称为并集。
用符号∪ 表示。
例如,{1, 2} ∪ {2, 3} = {1, 2, 3}。
三、易错点解析3.1 空集的概念空集是不含任何元素的集合,用符号∅ 表示。
空集是任何集合的子集。
3.2 子集和真子集的区别如果一个集合的所有元素都是另一个集合的元素,则称该集合为另一个集合的子集。
用符号⊆ 表示。
例如,{1, 2} ⊆ {1, 2, 3}。
如果一个集合是另一个集合的子集,并且两个集合中的元素不完全相同,则称该集合为另一个集合的真子集。
集合中的易错之处管雨坤集合是现代数学的基础,它与高中数学的许多内容有着广泛的联系,作为一种思想、语言和工具,集合的知识已经渗透到自然科学的众多领域。
它是高中阶段数学的第一个内容,集合概念抽象,符号术语多,对于初学集合的同学来说,常常因为概念不清晰,理解不透彻,解题思路不严谨,容易造成错误。
针对学习中的薄弱环节,本文列出易忽视之处,希望能帮助同学们加深理解,提高学习效果。
1. 忽视代表元素的属性例1. 集合M y y x x R ==∈{|}2,,N y y x x R ==-∈{|||}2,,则M N ⋂=( )A. {()}-11,B. {()()}-1111,,,C. {|}y y 02≤≤D. {|}y y ≥0 错解:由y x y x ==-⎧⎨⎩22||解得x y =-=⎧⎨⎩11或x y ==⎧⎨⎩11 选B分析:注意到两个集合中的元素y 都是各自函数的函数值,因此,M N ⋂应是y x =2和y x =-2||这两个函数的值域的交集,而不是它们的交点。
由于M y y =≥{|}0,N y y =≤{|}2,所以M N y y ⋂=≤≤{|}02,选C 。
2. 忽视元素的互异性例2. 已知集合A x xy xy ={lg()},,,B x y ={||}0,,,若A =B ,求实数x ,y 的值。
错解:因为lg()xy 有意义,所以xy>0,从而x ≠0,故xy =1又由A =B 得x x xy y ==⎧⎨⎩||或x y xy x ==⎧⎨⎩|| 所以x y ==1或x y ==-1分析:由于同一集合中的元素不同(互异性),而以上解法中,当x y ==1时,x xy =,||x y =分别使集合A ,B 中出现了相同元素,故应舍去,所以只能取x y ==-1。
3. 忽视空集例3. 若集合M x x x =--={|}25302,N x mx x R ==∈{|}1,,且N M ⊂≠,求实数m 的值。
易错点归纳(初稿)集合1、 解题时,你注意到空集的两个规定了吗?2、 你了解子集、真子集的区别吗?他们的个数有何差别?3、 你关注到集合的代表元素了吗?是x ,还是y ?是数集,还是点集?4、 你了解集合运算的常用的两种工具吗?5、 你会用补集的思想解题吗?6、 你会用集合中元素的三要素解题吗?7、 命题有哪四种形式?8、 你知道常用的“否定词”吗?9、 你会判断充分性和必要性吗?不等式1、 你能说全不等式的八个性质吗?2、 你会讨论不等式两边同乘以一个数的结果吗?3、 你了解“同号求倒”与“异号求倒”的差别吗?4、 你知道,不等式相加、相乘的同向性吗?5、 两个基本不等式有何差别?6、 在运用“若0,0a b >>,则2a b +≥”时,你理解“一正、二定、三相等、四最值”的含义吗?7、 你知道命题“若0,0a b >>2112a ba b +≥≥≥+”是真命题的吗?8、 你知道三角形不等式吗?9、 求不等式解集、定义域、值域的时候,答案是写成区间,还是不等式呢? 10、你知道解不等式的基本原则吗? 11、解一元二次不等式第一步要做什么?它的解有几种情况? 12、你知道一元二次不等式、二次函数、一元二次方程这三者的联系吗? 13、你会解根的分布的问题吗? 14、你注意到分式不等式的分母了吗?你知道解分式不等式的一般步骤吗? 15、你注意到对数不等式的真数、底数了吗? 16、你知道求解绝对值不等式的基本方法吗?你了解绝对值的几何意义吗? 17、你关注到参数在不等式中所处的位置了吗?你了解这类问题讨论的步骤吗? 18、你知道标根法吗? 19、你会解指数和对数不等式吗? 20、你会解简单的三角不等式和反三角不等式吗? 21、你知道哪些管用的检查不等式解集的方法? 22、不等式恒成立有哪些常用的解法? 23、 不等式有解意味着什么?24、方程恒成立意味着什么?25、方程有实数解有哪些常用解法?26、你知道比较两数(式)的基本方法吗?27、证明不等式有哪些常用方法?你能书写、表达清晰吗?。
集合中的易错之处管雨坤集合是现代数学的基础,它与高中数学的许多内容有着广泛的联系,作为一种思想、语言和工具,集合的知识已经渗透到自然科学的众多领域。
它是高中阶段数学的第一个内容,集合概念抽象,符号术语多,对于初学集合的同学来说,常常因为概念不清晰,理解不透彻,解题思路不严谨,容易造成错误。
针对学习中的薄弱环节,本文列出易忽视之处,希望能帮助同学们加深理解,提高学习效果。
1. 忽视代表元素的属性例 1.集合M {y|y x2,x R},N {y|y 2 |x|,x R},则M N ( )A. {( 1, 1)}B. {( 1, 1),(1, 1)}C. {y|0 y 2}D. {y|y 0}2错解:由y x y 2 |x|” e x 1 亠x 1解得或y 1 y 1选B分析:注意到两个集合中的元素y都是各自函数的函数值,因此,M N应是y x2和y 2 |x|这两个函数的值域的交集,而不是它们的交点。
由于M {y|y 0},N {y|y 2},所以M N {y|0 y 2},选C。
2. 忽视元素的互异性例 2.已知集合A {x, xy, lg(xy)} , B {0, |x|, y},若 A = B,求实数x, y 的值。
错解:因为lg(xy)有意义,所以xy>0,从而x 0,故xy = 1, ,口x |x| 亠x y又由A = B得 I或『xy y xy |x|所以x y 1或x y 1分析:由于同一集合中的元素不同(互异性) ,而以上解法中,当x y 1时,x xy ,|x| y分别使集合A, B中出现了相同元素,故应舍去,所以只能取x y 1。
3. 忽视空集例 3.若集合M {xRx2 5x 3 0} , N {x|mx 1, x R},且N M,求实数m的值。
1 1 1 1错解:因为M { - , 3},所以或32 m 2 m1即m 2或m — 3分析:上面的解法中漏掉了 N 即m 0的情形,因为空集是任何非空集合的真子集,1所以m 2或m 一或m = 0。
集合的易错点1. 空集:空集常常被忽视或遗漏。
例如,当问题涉及到从几个集合中找出元素时,人们常常忘记考虑空集。
在大多数情况下,空集被视为任何集合的子集。
2. 集合中的元素:在描述集合时,要特别注意元素的类型和性质。
例如,一个集合不能包含两个相同的元素,这是由集合的特性决定的。
另外,像数字、字符串、点等都可以作为集合的元素。
3. 集合的关系:集合之间存在几种关系,如包含、相等、并集、交集、差集等。
理解这些关系并正确使用它们是重要的。
特别是当涉及到复杂的集合运算时,错误的关系可能会导致错误的结果。
4. 描述集合的词汇:描述集合时使用的词汇必须准确。
例如,“包含”和“属于”是不同的概念。
“包含”意味着一个集合包括另一个集合的所有元素,“属于”则是指一个元素属于某个集合。
5. 空集和无穷集:空集和无穷集有着特殊的性质。
例如,空集是任何集合的子集,但非空集合不一定是空集的子集。
另外,无穷集往往涉及到其他一些数学概念,如基数、序、连续性等。
6. 应用中的错误:集合的概念常常在各种实际应用中出现,如编程、数据库管理、图形学等。
在这些应用中,如果对集合的理解不够准确,可能会导致错误的结果或设计。
总的来说,要避免集合使用中的错误,需要对集合的基本概念有深入的理解,并能够正确地使用和描述集合的各种性质和关系。
《中秋月明诗》:月夜行,我行见明月,君行见月明。
同望一轮月,月升霄愈清。
君行何所赴,我行何所停? 但得月来照,何处无有情? 剪剪江树影,涟涟秋波兴。
相见问来路,不语自盈盈。
《中秋感赋》:一轮玉镜照庭前,露白风淸物更妍。
垂柳荫渠摇倩影,秋虫隐草奏繁弦。
辉生桂殿嫦娥舞,潮涌钱塘江海连。
今夜九州同月色,中华国梦早臻圆。
《中秋》:匆匆岁月梦魂迁,又是中秋不夜眠。
满目云霞连碧水,一帘烟雾蔽蓝天。
多年羁绊凡尘过,半世逍遥度逝川。
好论相蓬知己遇,吟诗和韵乐依然。
高考数学易错知识点汇总大全集合与简单逻辑1.易错点遗忘空集致误错因分析:由于空集是任何非空集合的真子集,因此,对于集合B,就有B=A,φ≠B,B≠φ,三种情况,在解题中如果思维不够缜密就有可能忽视了B≠φ这种情况,导致解题结果错误。
尤其是在解含有参数的集合问题时,更要充分注意当参数在某个范围内取值时所给的集合可能是空集这种情况。
空集是一个特殊的集合,由于思维定式的原因,考生往往会在解题中遗忘了这个集合,导致解题错误或是解题不全面。
2.易错点忽视集合元素的三性致误错因分析:集合中的元素具有确定性、无序性、互异性,集合元素的三性中互异性对解题的影响最大,特别是带有字母参数的集合,实际上就隐含着对字母参数的一些要求。
在解题时也可以先确定字母参数的范围后,再具体解决问题。
3.易错点四种命题的结构不明致误错因分析:如果原命题是“若A则B”,则这个命题的逆命题是“若B则A”,否命题是“若┐A则┐B”,逆否命题是“若┐B则┐A”。
这里面有两组等价的命题,即“原命题和它的逆否命题等价,否命题与逆命题等价”。
在解答由一个命题写出该命题的其他形式的命题时,一定要明确四种命题的结构以及它们之间的等价关系。
另外,在否定一个命题时,要注意全称命题的否定是特称命题,特称命题的否定是全称命题。
如对“a,b都是偶数”的否定应该是“a,b不都是偶数”,而不应该是“a,b都是奇数”。
4.易错点充分必要条件颠倒致误错因分析:对于两个条件A,B,如果A=>B成立,则A是B的充分条件,B是A的必要条件;如果B=>A成立,则A是B的必要条件,B是A的充分条件;如果A<=>B,则A,B互为充分必要条件。
解题时最容易出错的就是颠倒了充分性与必要性,所以在解决这类问题时一定要根据充要条件的概念作出准确的判断。
5.易错点逻辑联结词理解不准致误错因分析:在判断含逻辑联结词的命题时很容易因为理解不准确而出现错误,在这里我们给出一些常用的判断方法,希望对大家有所帮助:p∨q真<=>p真或q真,p∨q假<=>p假且q假(概括为一真即真);p∧q真<=>p真且q真,p∧q假<=>p假或q假(概括为一假即假);┐p真<=>p假,┐p假<=>p真(概括为一真一假)6易错点求函数定义域忽视细节致误错因分析:函数的定义域是使函数有意义的自变量的取值范围,因此要求定义域就要根据函数解析式把各种情况下的自变量的限制条件找出来,列成不等式组,不等式组的解集就是该函数的定义域。
集合及其运算易错点主标题:集合及其运算易错点副标题:从考点分析集合及其运算在高考中的易错点,为学生备考提供简洁有效的备考策略。
关键词:集合,元素,集合运算,易错点难度:2重要程度:4内容:【易错点】1.元素与集合的辨别(1)若{,2x1}={0,1},则x=0,1.(×)(2)含有n个元素的集合的子集个数是2n,真子集个数是2n-1,非空真子集的个数是2n-2.(√)(3)若A={x|y=x2},B={(x,y)|y=x2},则A∩B={x|x∈R}.(×)2.对集合基本运算的辨别(4)对于任意两个集合A,B,关系(A∩B)⊆(A∪B)总成立.(√)(5)设集合S={x|x>-2},T={x|x2+3x-4≤0},则(∁R S)∪T={x|-4≤x≤1}.(×)(6)设全集为R,函数f(x)=1-x2的定义域为M,则∁R M={x|x>1,或x<-1}.(√)剖析:1.一点提醒求集合的基本运算时,要认清集合元素的属性(是点集、数集或其他情形)和化简集合,这是正确求解集合运算的两个先决条件.如第(3)题就是混淆了数集与点集.2.两个防范一是忽视元素的互异性,如(1);二是运算不准确,尤其是运用数轴图示法时要特别注意端点是实心还是空心,如(6).3.集合的运算性质:①A∪B=B⇔A⊆B;②A∩B=A⇔A⊆B;③A∪(∁U A)=U;④A∩(∁U A)=∅.导数在研究函数中的应用主标题:导数在研究函数中的应用备考策略副标题:通过考点分析高考命题方向,把握高考规律,为学生备考复习打通快速通道。
关键词:导数,极值,最值,备考策略 难度:4 重要程度:5 内容考点一 利用导数研究函数的单调性【例1】设函数f (x )=(x -1)e x -kx 2. (1)当k =1时,求函数f (x )的单调区间;(2)若f (x )在x ∈[0,+∞)上是增函数,求实数k 的取值范围. 解 (1)当k =1时,f (x )=(x -1)e x -x 2, ∴f ′(x )=e x +(x -1)e x -2x =x (e x -2). 令f ′(x )>0,即x (e x -2)>0, ∴x >ln 2或x <0.令f ′(x )<0,即x (e x -2)<0,∴0<x <ln 2. 因此函数f (x )的递减区间是(0,ln 2); 递增区间是(-∞,0)和(ln 2,+∞). (2)易知f ′(x )=e x +(x -1)e x -2kx =x (e x -2k ). ∵f (x )在x ∈[0,+∞)上是增函数,∴当x ≥0时,f ′(x )=x (e x -2k )≥0恒成立. ∴e x -2k ≥0,即2k ≤e x 恒成立. 由于e x ≥1,∴2k ≤1,则k ≤12.又当k =12时,f ′(x )=x (e x -1)≥0当且仅当x =0时取等号. 因此,实数k 的取值范围是⎝ ⎛⎦⎥⎤-∞,12. 【备考策略】 (1)利用导数研究函数的单调性的关键在于准确判定导数的符号.而解答本题(2)问时,关键是分离参数k ,把所求问题转化为求函数的最小值问题. (2)若可导函数f (x )在指定的区间D 上单调递增(减),求参数范围问题,可转化为f′(x)≥0(或f′(x)≤0)恒成立问题,从而构建不等式,要注意“=”是否可以取到.考点二利用导数研究函数的极值【例2】设f(x)=a ln x+12x+32x+1,其中a∈R,曲线y=f(x)在点(1,f(1))处的切线垂直于y轴.(1)求a的值;(2)求函数f(x)的极值.审题路线(1)由f′(1)=0⇒求a的值.(2)确定函数定义域⇒对f(x)求导,并求f′(x)=0⇒判断根左,右f′(x)的符号⇒确定极值.解(1)由f(x)=a ln x+12x+32x+1,∴f′(x)=ax-12x2+32.由于曲线y=f(x)在点(1,f(1))处的切线垂直于y轴,∴该切线斜率为0,即f′(1)=0.从而a-12+32=0,∴a=-1.(2)由(1)知,f(x)=-ln x+12x+32x+1(x>0),∴f′(x)=-1x-12x2+32=(3x+1)(x-1)2x2.令f′(x)=0,解得x=1或-13(舍去).当x∈(0,1)时,f′(x)<0;当x∈(1,+∞)时,f′(x)>0.∴f(x)在(0,1)上是减函数,在(1,+∞)上是增函数.故f(x)在x=1处取得极小值f(1)=3,f(x)无极大值.【备考策略】(1)可导函数y=f(x)在点x0处取得极值的充要条件是f′(x0)=0,且在x0左侧与右侧f′(x)的符号不同.(2)若f(x)在(a,b)内有极值,那么f(x)在(a,b)内绝不是单调函数,即在某区间上单调增或减的函数没有极值.考点三利用导数求函数的最值【例3】已知函数f (x )=ax 3+bx +c 在x =2处取得极值为c -16. (1)求a ,b 的值;(2)若f (x )有极大值28,求f (x )在[-3,3]上的最小值. 审题路线 (1)⎩⎨⎧f ′(2)=0,f (2)=c -16⇒a ,b 的值;(2)求导确定函数的极大值⇒求得c 值⇒求得极大值、极小值、端点值⇒求得最值.解 (1)因f (x )=ax 3+bx +c ,故f ′(x )=3ax 2+b , 由于f (x )在点x =2处取得极值c -16, 故有⎩⎨⎧ f ′(2)=0,f (2)=c -16,即⎩⎨⎧12a +b =0,8a +2b +c =c -16.化简得⎩⎨⎧ 12a +b =0,4a +b =-8,解得⎩⎨⎧a =1,b =-12. (2)由(1)知f (x )=x 3-12x +c ,f ′(x )=3x 2-12. 令f ′(x )=0,得x =-2或2.当x 变化时,f (x ),f ′(x )的变化情况如下表:x -3 (-3,-2) -2 (-2,2) 2 (2,3) 3 f ′(x ) + 0 - 0 + f (x )9+c极大值极小值-9+c由表知f (x )在x =-2处取得极大值f (-2)=16+c ,f (x )在x =2处取得极小值f (2)=c -16.由题设条件知,16+c =28,解得c =12,此时f (-3)=9+c =21,f (3)=-9+c =3,f (2)=c -16=-4,因此f (x )在[-3,3]上的最小值为f (2)=-4.【备考策略】在解决类似的问题时,首先要注意区分函数最值与极值的区别.求解函数的最值时,要先求函数y =f (x )在[a ,b ]内所有使f ′(x )=0的点,再计算函数y =f (x )在区间内所有使f ′(x )=0的点和区间端点处的函数值,最后比较即得.。
七大集合易错点展示
一:高度重视容易被忽视的集合元素的三大特点
例1.若{}
322427A a a a =--+,,, 223211122(38)372B a a a a a a a a ⎧⎫=+-+---+++⎨⎬⎩⎭
,,,,,且{}25A B =,,试求实数a 的值.
分析:观察可以知道只有集合A 中的32275a a a --+=才有可能使{}25A
B =,,解出实数a 的值后代入集合B 检验,看有没有重复的元素.
解析:∵{}25A B =,,∴由32275a a a --+=,解得 2a =或1a =±.
当1a =时,2221a a -+=与元素的互异性矛盾,故舍去1a =;
当1a =-时,{}10524B =,,,,,此时{}245A B =,,,这与{}25A B =,矛盾,故又舍去1a =-;
当2a =时,{}245A =,,,{}132525B =,,,,,此时{}25A B =,满足题意.
故2a =为所求.
点评:解这类问题时如果忽视了集合元素的互异性是很容易出错的.
二:紧紧抓住容易被混淆的集合的代表元素.
例2.已知{}243A y y x x x ==-+∈R ,,{}222B y y x x x ==--+∈R ,,求A B .
分析:集合的代表元素是y ,集合A
B ,表示的是两个函数值域的集合. 解析:2243(2)11y x x x =-+=---∵≥,22
22(1)33y x x x =--+=-++≤, {}1A y y =-∴≥,{}3B y y =≤,{}13A B y y =-∴≤≤.
点评:本题如搞不清楚集合的代表元素y 的意义,很可能误以为是求的两条抛物线的交点.而
方程组224322
y x x y x x ⎧=-+⎪⎨=--+⎪⎩无解,从而认为A B =∅. 例3 设集合A ={(x , y )∣x +2 y =5},B ={(x , y )∣x -2 y =-3},求A B . 错解: 由⎩⎨⎧-=-=+3252y x y x 得⎩
⎨⎧==21y x 从而A B ={1,2}. 分析 上述解法混淆了点集与数集的区别,集合A 、B 中元素为点集,
所以A B ={(1,2)}
例2 设集合A ={y ∣y =2x +1,x ∈R },B ={x ∣y =x +2},求A∩B.
错解: 显然A={y ∣y≥1}B={x ∣y≥2}.所以A ∩B=B .
分析 错因在于对集合中的代表元素不理解,集合A 中的代表元素是y ,从而A ={y∣y≥1},但集合B 中的元素为x , 所以B ={ x ∣x ≥0},故A ∩B=A .
评注:集合中的代表元素,反映了集合中的元素所具有的本质属性,解题时应认真领会,以防出错.
三:时刻想着容易被遗忘的隐蔽性很强的空集
例4.已知集合{}260A x x x =+-=,{}10B x mx =+=,若B A ,求实数m 的值. 分析:B A 就有B =∅的可能.
解析:由已知,易得 {}32A =-,,B
A ∵,{}3
B =-∴或{}2或∅. 若{}3B =-,由(3)10m -+=,得13m =
; 若{}2B =,由210m +=,得12
m =-; 若B =∅,由10mx +=无解,得0m =.
13m =∴或12
m =-或0m =. 点评:本题如不把隐蔽的空集找出来参加解题,是很容易漏解的.
四、忽视端点值能否取得致误
• 解决集合的子集、交集、并集、补集关系问题时,要特别注意区间端点的值能否取
到.
• 你会求解下列问题吗?
• 集合A ={x |-2≤x <1}.
• (1)若B ={x |x >m },A ⊆B ,则m 的取值范围是______.
• (2)若B ={x |x <m },A ⊆B ,则m 的取值范围是______.
• 答案:(1)m <-2 (2)m ≥1
例5 已知集合A ={x∣x≥4,或x<-5},B={x∣a +1≤x≤a +3},若A∪B=A,求a 得取值范围.
错解:由A∪B=A得 B⊆A.
∴a +3≤-5,或a +1≥4,解得a ≤-8,或a ≥3.
分析 :上述解法忽视了等号能否成立,事实上,当a =-8时,不符合题意;当a =3时,符合题意,故正确结果应为a <-8,或a ≥3.
评注:在求集合中字母取值范围时,要特别注意该字母在取值范围的边界能否取等号,否则会导致解题结果错误.
五、忽视补集的含义致错。
例6. 已知全集R I =,集合}0x x |x {M 2<-=,集合
}1x 1|x {N ≤=,则下列关系正确的是( )
A. N C M I ≠⊂
B. N C M I ≠⊃
C. N C M I =
D. R N M C I =
错解:}1x 1|x {N ≤=的补集为}1x 1|x {N C I >=,故选C 。
剖析:本题错误地认为}0)x (f |x {A ≤=的补集为}0)x (f |x {A C I >=。
事实上对于全集R I =,由补集的定义有R A C A I = ,但}0)x (f |x {}0)x (f |x {>≤ )x (f |x {使=有意义,R x ∈},即为)x (f 的定义域。
所以只有当)x (f 的定义域为R 时才有}0)x (f |x {A ≤=的补集为}0)x (f |x {A C I >=,否则先求A ,再求A C I 。
正解:}1x 0x |x {}0x 1x |x {}1x 1|x {N ≥<=≥-=≤=或,所以}1x 0|x {N C I <≤=,而}1x 0|x {M <<=,应选A 。
六、忽视隐含条件致误
例7 设全集U={2,3,2a +2a -3},A={∣2a -1∣,2},A C U ={5}, 求实数a 的值.
错解:∵A C U ={5},∴ 5∈S且 5∉A,从而,2a +2a -3=5,解得a =2,或a =-4.
分析 导致错误的原因是没有考虑到隐含条件,因为U是全集,所以A⊆U.当a =2时,∣2a -1∣=3∈S,符合题意;当a =-4时,∣2a -1∣=9∉S,不符合题意;故a =2.
评注:在解有关含参数的集合时,需要进行验证结果是否满足题设条件,包括隐含条件.
七、混淆相关概念致错。
例4. 已知全集U=R ,集合222a x )1a (x |x {B },R x ,03a 4ax 4x |x {A +--=∈=+-+=
}R x ,0a 2ax 2x |x {C },R x ,02∈=-+=∈=,若A 、B 、C 中至少有一个不是空集,求实数a 的取值范围。
错解:对于集合A ,当
21a 23a ,0)3a 4(4)a 4(2≥-≤≥+--=∆或得 ①时,A 不是空集。
同理当31
a 1≤≤- ②时,B 不是空集;当0a 2a ≥-≤或 ③时,C 不是空集。
求
得不等式①②③解集的交集是空集,知a 的取值范围为Φ。
剖析:题中“A 、B 、C 中至少有一个不是空集”的意义是“A 不是空集或B 不是空集
或C 不是空集”,故应求不等式①②③解集的并集,得),1[]23,(a +∞---∞∈ 。
感悟与提高
1. 设集合}Z k ,412k y |y {B },Z k ,41k x |x {A ∈-==∈+==,则它们之间的关系是( )
A. A=B
B. A ≠⊃B
C. A ≠⊂B
D. B A ⊆
2. 已知集合x |m {A 关于=的不等式
03m x )1m (2x 22<-+-+有解},若1x 3y -=,且A x ∈,则y 的取值范围是__________。
答案提示:1. 由集合A 得)1k 2(41y B ),1k 4(41x -=+=得由集合。
B 是由奇数的41组
成,A 是由比4的整数倍大1的数的41组成的,所以A ≠⊂B ,选C 。
2. 由A 易得2m 0)3m (4)1m (422<⇒>---。
51231x 3y =-⨯<-=。