推免生复试成绩公示2013电子科技大学
- 格式:xls
- 大小:199.50 KB
- 文档页数:28
电子科技大学2016年硕士入学考试复试成绩
(更新时间:2016年4月12日10:30)
说明:
1、学校将根据学院上报陆续公布学院复试成绩及意见,部分研究方向、导师等信息在4月底前确定。
2、未录取考生可参加院内调剂、校内调剂或校外调剂,详见《电子科技大学2016年硕士入学考试复试工作办法》。
3、考生对复试成绩、学院意见如有异议请向学院研究生科提出,如仍有异议再向研招办提出。
4、拟上报考生经公示、教育部录检合格后才确定为正式录取,正式录取以录取通知书为准。
5、考生信息核对网址:/ssfs,4月30日核对截止。
6、调档:录取类别为非定向或自筹的新生必须在9月1日前将个人档案调入学院,5月发放调档函,邮寄地址为学校硕士复试系统登记的考生通信地址。
委培协议:除强军计划、国防生外,其他录取类别为定向或委培的新生必须在新生报到入学时将委培协议书一式三份交“研究生院报到验证处”盖章(电子科技大学研招网“资料下载”,除研招办签字盖章留空外,其他内容均需如实填写完整并签字盖章)。
录取通知书:5月发放录取通知书,邮寄地址为学校硕士复试系统登记的考生通信地址。
拟录取通知书【篇一:拟录取通知书】电子科技大学年接收外校推免生拟录取通知书同学(身份证号):经我校学院复试,成绩合格,已被拟录取为该学院专业(学术型、专业学位)(硕士、直博)研究生,在此向你表示衷心祝贺!现将有关事宜通知如下:1 .请于10 月31 日前回本科所在学校网上报名、填写推免生登记表,经省级高校招生办公室审核盖章后与加盖校教务处公章的本科成绩表一起寄送我校研究生招生办公室,地址:四川省成都市高新西区西源大道2006 号电子科技大学清水河校区主楼b3-209 研究生招生办公室(邮编:611731 ),电话:028-********-112 。
(注1:网上报名、推免生登记表内容必须与研究生招生办公室公示拟录取信息一致,否则由此造成的一切后果由推免生自负。
注2:必须按教育部统一时间要求到到对应报考点现场确认,否则取消推免生资格。
注 3 :直博生不在本阶段报名,只须参加明年 3 月博士报名。
)2.如有下列情形之一者,取消推免生资格:( 1 )未按要求完成第 1 条步骤;( 2 )确定录取的推免生另行报名参加全国硕士(博士)研究生入学考试;( 3 )不能在明年7 月前获得学士学位;( 4 )毕业前受到处分。
3 .奖励(1)我校所有学科均设有推免生奖学金,额度为1 万元/人,毕业于国家“985工程”重点建设高校和北京邮电大学、西安电子科技大学,且综合测评排名在前1% 的推免生均可申请,若本专业同年级学生不足100 人,第一名也可提出申请。
(2)毕业于“985工程”、“ 211工程”重点建设高校,且录取类别为自筹的推免生,均可获得首年一等学业奖学金。
(3)综合测评排名在前2% 的推免生,均享有国家公派研究生项目申请资格,且学校优先确定为候选人。
注:我校的各项奖学金均用于学生在我校完成研究生学业。
拟录取的推免生如未在我校完成全部培养过程,须退回奖学金及其它奖励。
4 .其他未尽事宜请仔细阅读 《电子科技大学推荐优秀应届本科毕业生免试攻读硕士(博士)学位研究生实施办法》、《电子科技大学推荐优秀应届本科毕业生免试攻读硕士(博士)学位研究生工作安排》。
2013年34所985高校研究生复试分数线(完整版)2013年清华大学考研复试和录取有关规定一、学校复试分数基本要求根据2013年硕士研究生入学考试考生成绩统计结果和我校各学科招生计划,经学校研究生招生工作领导小组讨论决定,对入围复试的考生初试分数基本要求如下。
各院系在达到学校复试分数基本要求的生源充足的情况下,可根据本学科、专业特点及生源和招生计划数制定不低于学校基本要求的本院系学科(专业)复试基本要求,并以此确定入围复试考生名单。
1.统考生、联考生:见附表。
2.单考生:政治、外语单科成绩不低于40分;业务课满分150分的科目单科成绩不低于80分,业务课满分300分的科目单科成绩不低于180分;且总分不低于300分。
3.“强军计划”考生:总分不低于240分,单科不限。
4.“少数民族高层次骨干人才计划”考生:总分不低于305分,单科不限。
二、复试办法1.院系制定本单位复试工作办法各院系根据学校复试分数要求于3月8日前确定本单位学科(专业)入围复试的考生初试分数要求,3月9至21日安排考生复试。
2.考生报考资格审查入围复试的考生在复试期间须携带本人以下材料进行报考资格审查:(1)准考证;(2)有效身份证件原件及一份复印件;(3)毕业证书(应届生带学生证)原件及一份复印件;(4)一张1寸免冠照片(体检表用);(5)考生自述(包括政治表现、外语水平、业务和科研能力、研究计划);(6)大学期间成绩单原件或档案中成绩单复印件(加盖档案单位红章)。
参加复试的考生须缴纳100元复试费,由考生通过网上缴费平台()在复试前完成缴费。
缴费后因各种原因不能参加复试者,已支付的复试费不退。
已经缴纳复试费的考生,参加校内调剂复试不再重复收费。
复试结束后,凡未进行资格审查或资格审查未通过的考生一律不予录取。
3.复试内容复试一般包含以下内容:①笔试或实践(实验)能力测试按招生专业目录公布的复试笔试内容组织考试,时间为120分钟,笔试满分为100分。
2013年硕士入学考试初试成绩基本要求更新时间:2013/3/9 点击数:399642013年硕士入学考试学院初试成绩基本要求及复试说明更新时间:2013/3/27 点击数:635242012年硕士研究生入学考试初试成绩基本要求更新时间:2012/3/8 点击数:82585根据教育部有关文件精神,结合我校实际情况,经校研究生招生领导小组研究决定,我校按照不同考试方式和不同学科分别确定初试成绩基本要求。
各学院根据名额和报考情况等确定本学院初试成绩基本要求(不低于学校基本要求),并以此确定入围复试考生名单。
我校将按照德、智、体全面衡量、择优录取、保证质量、宁缺毋滥的精神和公开、公正、公平的原则进行复试与录取工作。
我校复试工作办法(含调剂)、各学院初试成绩基本要求3月初将陆续发布在电子科技大学研招网(),各项政策以教育部最终公布文件为准。
校外调剂信息将于4月初发布在全国研招网()“全国硕士研究生招生调剂服务系统”,不接收电话、邮件、来人来函等其他方式调剂申请。
一、统考二、单考三、强军计划四、少数民族骨干计划按国家初试成绩基本要求执行。
电子科技大学研究生院二〇一二年三月七日2012年硕士研究生入学考试各学院初试成绩基本要求更新时间:2012/3/13 点击数:91657注:校外调剂信息以全国调剂网为准,校内院内调剂信息以/ssfs为准。
2011年硕士研究生入学考试初试成绩基本要求更新时间:2011/3/17 点击数:41502根据教育部有关文件精神,结合我校实际情况,经校研究生招生领导小组研究决定,我校按照不同考试方式和不同学科分别确定初试成绩基本要求。
各学院根据名额和考试成绩等情况确定本学院初试成绩基本要求(不低于学校基本要求),并以此确定入围复试考生名单。
我校将按照德、智、体全面衡量、择优录取、保证质量、宁缺毋滥的精神和公开、公正、公平的原则进行复试与录取工作。
我校复试工作办法(含调剂)、各学院初试成绩基本要求3月底前将陆续发布在电子科技大学研招网(),校外调剂信息将于4月初发布在全国研招网()“全国硕士研究生招生调剂服务系统”,不接收电话、邮件、来人来函等其他方式调剂。
单位名称推免生和直博生名额学术型推免名额北京市北京大学14801200中国人民大学690520清华大学15151135北京交通大学630429北京工业大学220155北京航空航天大学725505北京理工大学655460北京科技大学634433北方工业大学4021北京化工大学466268北京工商大学115742013年普通高等学校推荐优秀应届本科毕业生免试攻硕士学位研究生和直博生名额方案北京邮电大学615419中国农业大学705525北京林业大学510380北京协和医学院1010首都医科大学8055北京中医药大学13182首都师范大学16499北京外国语大学11580北京语言大学7545中国传媒大学163113中央财经大学219133对外经济贸易大学178109首都经济贸易大学10571外交学院2525中国人民公安大学2015国际关系学院1512北京体育大学142106中央音乐学院3622中国音乐学院157中央美术学院209中央戏剧学院105北京电影学院2012单位名称推免生和直博生名额学术型推免名额中央民族大学334226中国政法大学275183华北电力大学460305北京信息科技大学2514中国矿业大学(北京)220151中国石油大学(北京)273191中国地质大学(北京)405285天津市南开大学795595天津大学790555天津科技大学175104天津工业大学16097天津医科大学13584天津中医药大学2514天津师范大学190111天津外国语大学4523天津财经大学13078天津体育学院157河北省河北大学380229河北工程大学13078河北工业大学441254河北联合大学9051河北农业大学180109河北医科大学8552河北师范大学14585燕山大学300176山西省山西大学509282太原科技大学4021中北大学240142太原理工大学432289山西农业大学5533山西医科大学12071山西师范大学6537山西财经大学4022单位名称推免生和直博生名额学术型推免名额内蒙古自治区内蒙古大学322221内蒙古工业大学175104内蒙古农业大学200126内蒙古师范大学11568辽宁省辽宁大学437288大连理工大学840590沈阳工业大学16597东北大学810565辽宁科技大学8552辽宁工程技术大学175104大连交通大学6038大连海事大学389246大连工业大学4021沈阳建筑大学4021沈阳农业大学12071中国医科大学9052大连医科大学7545辽宁中医药大学3024沈阳药科大学12372辽宁师范大学13583沈阳师范大学4526大连外国语学院4526东北财经大学180114吉林省吉林大学17081265延边大学369253长春理工大学14386东北电力大学6038吉林农业大学8051长春中医药大学157黑龙江省黑龙江大学282170哈尔滨工业大学1421918哈尔滨理工大学195116哈尔滨工程大学660470单位名称推免生和直博生名额学术型推免名额东北石油大学16097黑龙江八一农垦大学7040东北农业大学375252东北林业大学564354哈尔滨医科大学11166黑龙江中医药大学4529哈尔滨师范大学9052哈尔滨商业大学8552上海市复旦大学860710同济大学980685上海交通大学1075750华东理工大学720505上海理工大学185122上海海事大学10059东华大学303193上海海洋大学9567上海中医药大学5741上海师范大学148103上海外国语大学9565上海财经大学150105上海对外贸易学院4021华东政法大学10064上海体育学院3019上海音乐学院157上海大学390290江苏省南京大学885665苏州大学483320东南大学725545南京航空航天大学650455南京理工大学645450江苏科技大学13583中国矿业大学1020740南京工业大学179103南京邮电大学16097河海大学750525江南大学540364南京林业大学187112单位名称推免生和直博生名额学术型推免名额江苏大学173100南京信息工程大学130103南通大学180114南京农业大学640460南京医科大学12580徐州医学院2514南京中医药大学7846中国药科大学356304南京师范大学449300江苏师范大学6038南京艺术学院4024扬州大学235147浙江省浙江大学13751030浙江工业大学437273浙江理工大学5533温州医学院3019浙江中医药大学5533浙江师范大学12576浙江工商大学6038中国美术学院6543宁波大学7547安徽省安徽大学650404中国科学技术大学650455合肥工业大学837488安徽工业大学7545安徽理工大学16097安徽农业大学205123安徽医科大学8552安徽中医学院4024安徽师范大学195116安徽财经大学13583福建省厦门大学960720华侨大学16097福州大学389257福建农林大学210143单位名称推免生和直博生名额学术型推免名额福建医科大学9052福建中医药大学8552福建师范大学260150江西省南昌大学1119750华东交通大学7545南昌航空大学7040江西理工大学8849江西农业大学180109江西师范大学225135江西财经大学13078山东省山东大学16501190中国海洋大学558355山东科技大学280168中国石油大学(华东)760560青岛科技大学11565济南大学8552青岛理工大学7545山东农业大学295175山东中医药大学8552山东师范大学220130曲阜师范大学16597山东艺术学院5533青岛大学250159河南省华北水利水电学院13583郑州大学1340806河南理工大学11562河南科技大学12076河南农业大学14283河南大学794479河南师范大学205123湖北省武汉大学16001173华中科技大学17901340武汉科技大学16597单位名称推免生和直博生名额学术型推免名额长江大学13078中国地质大学(武汉)745545武汉理工大学1167693华中农业大学660391湖北中医药大学4021湖北大学13886中南财经政法大学408276武汉体育学院3019中南民族大学10058三峡大学210133湖南省湘潭大学556335湖南大学860645中南大学1285965长沙理工大学9054湖南农业大学11566中南林业科技大学10062湖南中医药大学2514湖南师范大学644405南华大学8552广东省中山大学14201065暨南大学260195汕头大学3621华南理工大学1030720华南农业大学310215广州医学院2514广州中医药大学9755华南师范大学380265深圳大学10064广州大学7545广东工业大学16597广东外语外贸大学7046南方医科大学10564广西壮族自治区广西大学397278桂林理工大学4526广西医科大学5533单位名称推免生和直博生名额学术型推免名额广西师范大学14987广西艺术学院3013海南省海南大学425293重庆市重庆大学1195835重庆邮电大学13583重庆交通大学8050重庆医科大学13583四川外语学院7040西南政法大学12076四川省四川大学17801335西南交通大学1185830电子科技大学755530西南石油大学16699成都理工大学227133西南科技大学250149西华大学13068四川农业大学508320成都中医药大学10865四川师范大学330199西华师范大学210128西南财经大学397263成都体育学院7045西南民族大学15095贵州省贵州大学410305贵阳医学院7040遵义医学院2514贵州师范大学8050云南省云南大学345244昆明理工大学220130云南农业大学5032昆明医学院4526单位名称推免生和直博生名额学术型推免名额云南师范大学13078云南民族大学4026西藏自治区西藏大学9570陕西省西北大学424282西安交通大学950710西北工业大学755527西安理工大学223130西安电子科技大学935647西安建筑科技大学12372西安科技大学15090西安石油大学5533陕西科技大学13583西安工程大学14585长安大学575373西北农林科技大学820620西安外国语大学12071西北政法大学5533西安美术学院3016甘肃省兰州大学870650兰州理工大学11561兰州交通大学16597甘肃农业大学15090甘肃中医学院157西北师范大学351201西北民族大学9051青海省青海大学135100青海师范大学4021青海民族大学3019宁夏回族自治区宁夏大学235175宁夏医科大学2514单位名称推免生和直博生名额学术型推免名额新疆维吾尔自治区新疆大学347248新疆农业大学11566石河子大学314218新疆医科大学4526新疆师范大学5533免试攻读学术型留校限额专业学位推免名额7802803381707383802792011406537922034519528120119241198412721963941802851302574496572353010250120869869034000503953614080110508学术型留校限额专业学位推免名额1811081659227515501111369143822141203872003612350710637651011079022052082061510522291870390710330600124254227019098260143022049028018学术型留校限额专业学位推免名额19910107107404725914938425006836724503307102222114301901904903803006051052019019066822443228116057022029080112689503079353190学术型留校限额专业学位推免名额0630302271233192100450160380334621504452954883253282150630411741100280160455930954501903601108261100432220288163354180341195338195052555280076063394225328176075学术型留校限额专业学位推免名额07302706634518004501103227452270149022016088670345246164022011022049022022028364246296195439349030063082033016079052468240063231132067学术型留校限额专业学位推免名额038033011067536903003003907109005277446028420301124202000500330300120033090068022091052725534053044059431315082762427871450068学术型留校限额专业学位推免名额05240920062447435226901905224813201104207730222141921562732003604903801136523903369235517665015468310095011042239115036030068024041250119019022学术型留校限额专业学位推免名额062017264132626360052030052030044100144562335539822506709401010622881880430131082237134025055275105030011030220101090018019学术型留校限额专业学位推免名额052014632525414253324039522809348528805106002205206033620246520004902201448822005406806008181150039903501901115860011学术型留校限额专业学位推免名额2239904919696019022。
电子科技大学2013年硕士入学考试学院初试成绩基本要求及复试说明注1:复试调剂信息以/ssfs为准。
接收调剂的学院如未说明,则调剂复试线与第一志愿复试线相同。
注2:调剂栏“1”表示接收调剂,空表示不接收调剂。
学院专业第一单元第二单元第三单元第四单元总分院内调剂校内调剂调剂开放调剂关闭001080300光学工程4545757530112013031320130325001081000信息与通信工程45508080328001081001通信与信息系统45508080328001085202光学工程4545757530112013031320130325001085208电子与通信工程454575753012013031320130318001110505密码学4545757530 0002080902电路与系统4545757532 5002080904电磁场与微波技术4545757533002081002信号与信息处理454575753351201303132013031412:000020810Z1★信息获取与探测技术454575753351201303132013031412:00002085208电子与通信工程45457575311201303132013031412:00003080500材料科学与工程454575753012013031320130325003080900电子科学与技术454575753112013031320130325003080903微电子学与固体电子学45457575340030809Z1★电子信息材料与元器件454575753112013031320130325003081700化学工程与技术454575753012013031320130325003085204材料工程454575753012013031320130325003085208电子与通信工程454575753012013031320130325003085209集成电路工程4545757534 0004070201理论物理454575753011201303132013032612:00004070204等离子体物理454575753011201303132013032612:00004070205凝聚态物理454575753011201303132013032612:00004070207光学454575753011201303132013032612:00004070208无线电物理454575753011201303132013032612:00004080900电子科学与技术454575753111201303132013032612:00004080901物理电子学454575753111201303132013032612:00004085208电子与通信工程454575753011201303132013032612:00005080300光学工程4545757530 0005080902电路与系统4545757531 0005080903微电子学与固体电子学4545757531005080904电磁场与微波技术45457575310050809Z1★电子信息材料与元器件4545757531005081002信号与信息处理4545757532005085202光学工程454575753012013031320130317005085208电子与通信工程4545757530120130313201303170060810Z2★信息安全4545757531 0006081201计算机系统结构4545757531006081202计算机软件与理论4545757531006081203计算机应用技术4545757531006085211计算机技术454575753112013031320130318007080400仪器科学与技术454575753012013031320130318007081100控制科学与工程454575753112013031320130318007081203计算机应用技术454575753112013031320130318007085203仪器仪表工程454575753012013031320130318007085210控制工程454575753012013031320130318008080200机械工程454575753012013031320130324008080401精密仪器及机械454575753012013031320130324008080804电力电子与电力传动454575753112013031320130324008085201机械工程454575753012013031320130324009040203应用心理学5050183311201303132013032512:00009071006神经生物学454575753011201303132013032512:00009071010生物化学与分子生物学454575753011201303132013032512:00009071011生物物理学454575753011201303132013032512:00009083100生物医学工程454575753011201303132013032617:00009085230生物医学工程454575753011201303132013032617:00010070101基础数学4545757530112013031320130322010070102计算数学4545757530112013031320130322010070103概率论与数理统计4545757530112013031320130322010070104应用数学4545757530112013031320130322010070105运筹学与控制论4545757530112013031320130322010071400统计学4545757530112013031320130322011020200应用经济学5050909034 0011020204金融学5050909034 0011071400统计学4545757530 0011085236工业工程4545757530 0011085239项目管理4545757530 0011085240物流工程454575753012013032720130328011120100管理科学与工程50509090350111201Z1★金融工程5050909035 0011120200工商管理5050909035 0011120202企业管理5050909035 0011120204技术经济及管理5050909035011125100工商管理80400015 0011125600工程管理80400015 0012030103宪法学与行政法学5050909034012030206国际政治5050909034 0012040203应用心理学50501833012050300新闻传播学5050909035 0012055200新闻与传播5050909035 0012120400公共管理5050909035 0012125200公共管理80400015 0013050201英语语言文学5050909034 0013050211外国语言学及应用语言学5050909034013055100翻译5050909034 0016030200政治学5050909034112013031320130326016030500马克思主义理论5050909034112013031320130326017080200机械工程4545757530112013031320130319017080500材料科学与工程4545757530112013031320130327017080800电气工程4545757531112013031320130327017085204材料工程4545757530112013031320130327017085210控制工程4545757530112013031320130327018081600测绘科学与技术454575753011201303132013032612:00018085208电子与通信工程454575753011201303132013032612:00019081103系统工程4545757531112013031320130318019081105导航、制导与控制4545757531112013031320130318019085208电子与通信工程4545757530112013031320130318019085210控制工程4545757530112013031320130318022083500软件工程4545757530 0022085212软件工程4545757530112013031320130325024080300光学工程4545757531112013031320130318024080900电子科学与技术4545757531112013031320130318024080902电路与系统4545757531112013031320130318024080903微电子学与固体电子学4545757531112013031320130318024080904电磁场与微波技术4545757531112013031320130318024081001通信与信息系统4545757531112013031320130318024081002信号与信息处理4545757532112013031320130318024081100控制科学与工程4545757531112013031320130318024081203计算机应用技术4545757531112013031320130318024085202光学工程4545757530112013031320130318024085208电子与通信工程454575753011201303132013032714:00024085211计算机技术4545757530112013031320130318026081001通信与信息系统4545757531026085208电子与通信工程45457575301201303132013031812:00026110505密码学45457575301201303132013031812:00学院复试说明001详见通信学院网站及学院研究生科公告栏(清水河校区科研楼B365A),第一批复试考生务必在3月15日24:00前打印复试通知单。
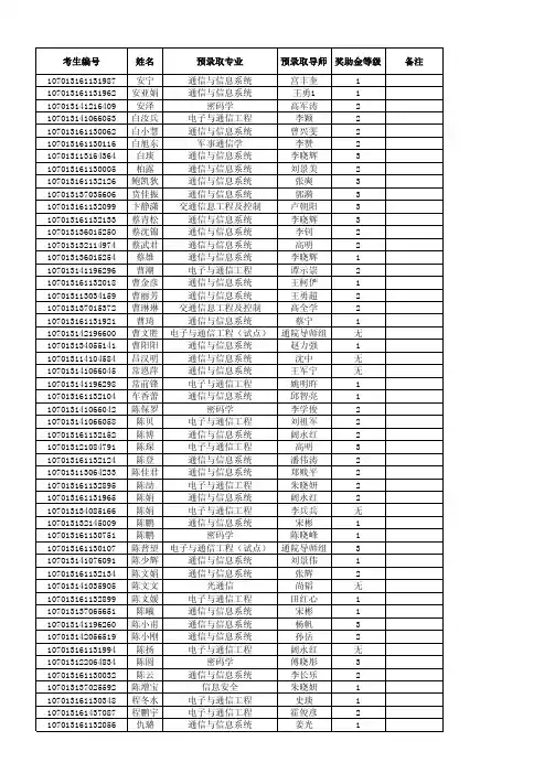
考生编号姓名预录取专业预录取导师奖助金等级备注107013161131987安宁通信与信息系统宫丰奎1 107013161131962安亚娟通信与信息系统王勇11 107013141216409安泽密码学高军涛2 107013141066053白汝兵电子与通信工程李颖2 107013161130062白小慧通信与信息系统曾兴雯2 107013161130116白旭东军事通信学李赞2 107013113164364白琰通信与信息系统李晓辉3 107013161130005柏露通信与信息系统刘景美2 107013161132126鲍凯狄通信与信息系统张奭3 107013137035606贲佳振通信与信息系统郭漪3 107013161132099卞静潇交通信息工程及控制卢朝阳3 107013161132133蔡青松通信与信息系统李晓辉3 107013136015250蔡沈锦通信与信息系统李钊2 107013132114974蔡武君通信与信息系统高明2 107013136015254蔡雄通信与信息系统李晓辉1 107013141196296曹潮电子与通信工程谭示崇2 107013161132018曹金彦通信与信息系统王柯俨1 107013113034159曹丽芳通信与信息系统王勇超2 107013137015372曹琳琳交通信息工程及控制高全学2 107013161131921曹琦通信与信息系统蔡宁1 107013142196600曹文胜电子与通信工程(试点)通院导师组无107013134055141曹阳阳通信与信息系统赵力强1 107013114104584昌汉明通信与信息系统沈中无107013141066045常恩萍通信与信息系统王军宁无107013141196298常前锋电子与通信工程姚明旿1 107013161132104车香蕾通信与信息系统邱智亮1 107013141066042陈保罗密码学李学俊2 107013141066058陈贝电子与通信工程刘祖军2 107013161132152陈博通信与信息系统阔永红2 107013121084791陈琛电子与通信工程高明3 107013161132124陈登通信与信息系统潘伟涛2 107013113064233陈佳君通信与信息系统郑贱平2 107013161132895陈劼电子与通信工程朱晓妍2 107013161131965陈娟通信与信息系统阔永红2 107013134085166陈娟电子与通信工程李兵兵无107013132145009陈鹏通信与信息系统宋彬1 107013161130751陈鹏密码学陈晓峰1 107013161130107陈普望电子与通信工程(试点)通院导师组3 107013141076091陈少辉通信与信息系统刘景伟1 107013161132134陈文娟通信与信息系统张辉2 107013141035905陈文文光通信尚韬无107013161132899陈文媛电子与通信工程田红心1 107013137065651陈曦通信与信息系统宋彬1 107013141196260陈小甫通信与信息系统杨帆3 107013142056519陈小刚通信与信息系统孙岳2 107013161131994陈扬电子与通信工程阔永红无107013122064834陈圆密码学傅晓彤3 107013161130032陈云通信与信息系统李长乐2 107013137025592陈增宝信息安全朱晓妍1 107013161130348程冬水电子与通信工程史琰1 107013161437087程鹏宇电子与通信工程霍俊彦2 107013161132056仇璐通信与信息系统姜光1107013137015365崔会会通信与信息系统曹琲琲2 107013161131940崔敏龙密码学(北电院)蒋华107013113034141崔玉娇通信与信息系统朱晓明无107013114014394崔志刚电子与通信工程王杰令无107013161132204党登峰电子与通信工程杨清海无107013161130076党凡密码学(北电院)欧海文107013137025489邓海通信与信息系统樊凯1 107013141035923刁姗姗电子与通信工程刘乃安2 107013137025552丁胜朋电子与通信工程张静1 107013161132261丁晟信息安全吕锡香1 107013161132193丁涛光通信尚韬3 107013113064259董菲菲电子与通信工程(试点)通院导师组2 107013161132918董芬芬电子与通信工程李静1 107013161132030董明岩通信与信息系统王柯俨1 107013141206339董晓晓交通信息工程及控制王伟2 107013141206350董亚南密码学王保仓1 107013153066994杜大鹏电子与通信工程陈南2 107013137025499杜炜民军事通信学刘祖军1 107013161417018杜钊通信与信息系统樊凯3 107013136015248杜志刚电子与通信工程李赞2 107013161131999端玉龙通信与信息系统李长乐2 107013150116913段学敏通信与信息系统孙锦华无107013141216403樊恩艳电子与通信工程李红艳2 107013137015364樊庆申电子与通信工程曹琲琲无107013141055996樊亚玲通信与信息系统卢朝阳3 107013113034146范海朋通信与信息系统陈梅3 107013137015385范文飞通信与信息系统刘毅1 107013137015334范召通信与信息系统李颖2 107013141206351方浩亮电子与通信工程(试点)通院导师组无107013161132256费翔信息安全谭示崇3 107013113174377冯俊杰电子与通信工程刘景伟无107013161132164冯琳娜通信与信息系统马鸿飞2 107013161131925冯威电子与通信工程(试点)通院导师组无107013141146154符佳佳通信与信息系统王子龙2 107013113154346高彩丽电子与通信工程孙锦华2 107013141056003高丹通信与信息系统韦娟无107013113154347高凤娇电子与通信工程(试点)通院导师组2 107013161130095高康电子与通信工程王俊平无107013137015382高立君信息安全闫峥无107013161132182高曼飞信息安全朱晓妍无107013161131918高瑞密码学王保仓3 107013122074866高鑫电子与通信工程吕锡香2 107013143026675高星通信与信息系统王勇11 107013111064010高亚天通信与信息系统阔永红1 107013142116544高阳光通信尚韬3 107013141055992高耀飞通信与信息系统刘景伟2 107013137075692葛驰汝通信与信息系统王柯俨1 107013161132160葛楠通信与信息系统樊凯3 107013111074020葛晓囡密码学(北电院)何文才107013137025553巩四方电子与通信工程马文平2 107013141176221谷宾宾电子与通信工程付卫红2 107013123194942谷延光通信与信息系统任光亮1 107013142176591谷兆祥电子与通信工程卢小峰2 107013113044204郭长锟电子与通信工程(试点)通院导师组3107013132175024郭凤阁信息安全胡予濮2 107013161132908郭美佳电子与通信工程李晓辉1 107013161132036郭晓明通信与信息系统姜光1 107013161130039郭雨龙电子与通信工程张玉清3 107013161132007郭宗焕通信与信息系统刘勤1 107013121204816韩宝金通信与信息系统杜建超2 107013161130035韩改霞交通信息工程及控制高全学3 107013161132081韩建春通信与信息系统王军宁无107013136015265韩荣敢电子与通信工程李红艳2 107013161132130韩锐电子与通信工程张向东无107013150036892韩晓磊交通信息工程及控制李长乐2 107013114014393韩旭鑫电子与通信工程王杰令无107013137015349韩莹通信与信息系统赵林靖2 107013161130002郝建秀通信与信息系统孙蓉2 107013113034151郝孟涛通信与信息系统宋锐2 107013161132009郝欣通信与信息系统张文柱无107013161132095郝绪祥通信与信息系统李静1 107013113104303郝雪洁电子与通信工程李卓2 107013161132135郝玉飞通信与信息系统刘彦明无107013161132161何丹丹通信与信息系统马鸿飞1 107013134085168何立军军事通信学李建东2 107013161131936何诗洋通信与信息系统陈彦辉3 107013141196274何振通信与信息系统鲍民权1 107013161131995贺冰涛电子与通信工程阔永红2 107013161132094贺景宇通信与信息系统卢朝阳1 107013141055997侯静丽电子与通信工程白宝明无107013136015252胡静通信与信息系统雷杰2 107013132135004胡明成电子与通信工程陈晨1 107013137025478胡庆通信与信息系统陈健1 107013161132199胡文麟电子与通信工程霍俊彦无107013141055993胡勋强电子与通信工程(试点)通院导师组无107013137015343胡亚娟通信与信息系统车书玲3 107013142266666胡晔通信与信息系统李兵兵1 107013161132271胡雨霏信息安全庞辽军2 107013114104585华佳烽密码学(北电院)李凤华107013161130033黄波电子与通信工程李钊3 107013161132277黄朝银信息安全闫峥1 107013113064244黄娜娜电子与通信工程樊凯2 107013113154348黄娜娜电子与通信工程(试点)通院导师组2 107013113064247霍肖梅通信与信息系统吴炜3 107013161132103贾博文电子与通信工程王俊平无107013113064249贾翠园通信与信息系统孙永军2 107013161130034贾海龙电子与通信工程孙蓉无107013161132084贾骐玮交通信息工程及控制张向东1 107013136015251简灵璞通信与信息系统肖嵩2 107013161132879江冰电子与通信工程张静2 107013161132028江雄华通信与信息系统宋锐1 107013137015362姜晨通信与信息系统鲍民权1 107013161132194蒋雪峰电子与通信工程朱晓妍无107013161133256焦相云密码学李学俊1 107013113164374解娅宁电子与通信工程杜建超1 107013141035898介一峰电子与通信工程李钊2 107013161132870靳玲鸽电子与通信工程李靖2 107013142146574郎潇交通信息工程及控制卢朝阳2107013161132141雷梦丹通信与信息系统相征1 107013161132015雷倩楠通信与信息系统刘伟2 107013141116127雷宵电子与通信工程(试点)通院导师组无107013142266667雷秀英电子与通信工程韦娟3 107013144206790雷艳乐交通信息工程及控制李长乐1 107013132114977李冰通信与信息系统任光亮2 107013141206337李冰冰通信与信息系统肖嵩2 107013137025497李东敏通信与信息系统孙永军1 107013142146576李涵予信息安全吕锡香2 107013142206616李花花电子与通信工程车书玲无107013161130074李慧电子与通信工程张辉3 107013161132878李健强电子与通信工程宋锐2 107013113034155李洁通信与信息系统朱晓明2 107013141166196李静静密码学谢敏1 107013132124992李令建交通信息工程及控制王伟无107013161130049李陇超电子与通信工程王军宁3 107013137035603李罗辉密码学胡予濮无107013161132147李敏通信与信息系统司江渤3 107013161132219李楠通信与信息系统赵力强1 107013132114981李宁电子与通信工程闫峥2 107013161131942李攀通信与信息系统杜栓义2 107013137015367李奇通信与信息系统相征1 107013161132077李倩通信与信息系统刘景伟3 107013132124993李仁宇通信与信息系统刘勤2 107013115024718李少华通信与信息系统吴炜3 107013161132898李双洋电子与通信工程孙献璞1 107013142206618李文浩电子与通信工程张变玲无107013161132264李骁电子与通信工程吕锡香3 107013137025500李孝猛密码学张玉清无107013137015389李兴旺军事通信学刘祖军1 107013137025558李秀花电子与通信工程顾华玺2 107013112044065李雪电子与通信工程朱晓明3 107013161132102李雪寒通信与信息系统张奭2 107013161132872李艳电子与通信工程刘景美2 107013113034145李意文通信与信息系统李钊2 107013161132013李宇飞通信与信息系统盛敏1 107013141206340李玉珍通信与信息系统(北电院)赵耿107013113024101李云良通信与信息系统刘彦明1 107013113034142李子玄通信与信息系统葛建华1 107013161132050梁晨涛通信与信息系统李云松3 107013141206329梁晓雯通信与信息系统马文平无107013161131958林家玉通信与信息系统李靖2 107013121044765林韦妍通信与信息系统刘景美无107013161132181刘邠岑通信与信息系统田斌无107013161131957刘丹电子与通信工程张琰1 107013161132059刘鸽鸽电子与通信工程朱畅华3 107013161132140刘广威交通信息工程及控制王伟2 107013137085707刘海军通信与信息系统朱晓明2 107013161132150刘涵宇通信与信息系统姚明旿1 107013141056014刘航电子与通信工程李文刚1 107013137065639刘洪月通信与信息系统刘雪芳1 107013137015386刘欢欢光通信文爱军2 107013141196277刘慧杰电子与通信工程田斌1 107013161131913刘敬敏通信与信息系统李颖1107013122074855刘觉晓通信与信息系统李兵兵2 107013113064239刘军旗通信与信息系统邢莉娟2 107013161132044刘珺峰密码学陈杰2 107013161132139刘明电子与通信工程沈中2 107013137015339刘铭通信与信息系统宫丰奎2 107013113034182刘朋斌电子与通信工程刘伟2 107013165067245刘强电子与通信工程王伟2 107013114164699刘强电子与通信工程(试点)通院导师组无107013141196264刘瑞通信与信息系统李兵兵1 107013141055998刘素苹电子与通信工程(试点)通院导师组无107013132195029刘卫兵电子与通信工程马鸿飞1 107013137015342刘文刚电子与通信工程杨帆无107013137015348刘晓敏电子与通信工程刘伟3 107013161130753刘亚静密码学张卫国1 107013161130119刘妍密码学(北电院)赵耿107013161132175刘洋通信与信息系统孙献璞2 107013113174381刘叶电子与通信工程韦娟2 107013161132891刘园园电子与通信工程张岗山2 107013161131961刘媛交通信息工程及控制张向东1 107013141156171柳杨通信与信息系统刘勤1 107013145066826鲁柯通信与信息系统李建东1 107013161131920鲁邹晨通信与信息系统白宝明1 107013137065648路振宇通信与信息系统相征2 107013113154331吕璐通信与信息系统陈健1 107013121044766吕沙电子与通信工程王勇2无107013113034149吕亚静通信与信息系统王养利1 107013161132224罗思宁通信与信息系统赵力强1 107013161132176罗媛通信与信息系统田红心3 107013161132892罗蕴雅电子与通信工程史琰2 107013161132227马昌林通信与信息系统李文刚3 107013113154336马东旭通信与信息系统王子龙3 107013121054772马方电子与通信工程徐展琦3 107013141196263马飞通信与信息系统郭漪3 107013161132045马洪凯电子与通信工程肖嵩1 107013161132915马克电子与通信工程李勇朝1 107013137095729马宁宁通信与信息系统栾英姿无107013113154335马培媛通信与信息系统王杰令2 107013141206348马瑞芳电子与通信工程王俊平无107013137035605马世超通信与信息系统杜栓义2 107013137025556马玉坦电子与通信工程闫峥2 107013141055991马媛媛通信与信息系统朱畅华2 107013141176229毛峥电子与通信工程张跃宇2 107013161132011牟芹芳通信与信息系统张文柱2 107013143156714聂娟电子与通信工程曹琲琲1 107013141055990聂霆通信与信息系统权东晓2 107013161132165宁晴晴通信与信息系统秦浩2 107013161132911牛建泽电子与通信工程张海林2 107013161132880牛小菁电子与通信工程易运晖2 107013161132106潘文吉密码学(北电院)蒋华107013137025551潘永强电子与通信工程樊凯2 107013141206346庞超电子与通信工程(试点)通院导师组无107013137035610庞友嘉通信与信息系统田斌1 107013113034158裴雪山通信与信息系统王勇超3 107013141166192彭真密码学(北电院)袁征107013123174921齐亚星电子与通信工程栾英姿无107013161132169钱源电子与通信工程马鸿飞3 107013151086930秦涛信息安全董庆宽3 107013121084792邱砚驰通信与信息系统刘乃安1 107013161132091邱卓通信与信息系统黑永强3 107013161132228裘潲君通信与信息系统卢小峰1 107013141025872屈显品通信与信息系统潘伟涛2 107013141206336任爱林电子与通信工程邢莉娟无107013161130340任文龙电子与通信工程宫丰奎2 107013142246643阮旭峰通信与信息系统付卫红无107013161132031山启超通信与信息系统肖嵩2 107013134015107石冬冬电子与通信工程王伟无107013112044066石鹏光通信韩香娥3 107013141206334石玉通信与信息系统侯蓉晖1 107013141296503史健康电子与通信工程杜栓义2 107013142206619史小坤通信与信息系统王军宁1 107013137015338苏成志电子与通信工程陈南3 107013161132090苏迪通信与信息系统刘彦明1 107013137295816苏庆旦通信与信息系统易运晖3 107013153016982苏阳信息安全朱晓妍3 107013141196299孙大江电子与通信工程史琰1 107013137015346孙浩通信与信息系统刘刚1 107013113164366孙娇通信与信息系统(北电院)曾萍107013141196275孙骏亚通信与信息系统孙献璞3 107013142116539孙开磊通信与信息系统张琰1 107013137015376孙显卓电子与通信工程孙永军无107013141035921孙亚娜电子与通信工程刘勤2 107013137135771孙玉欣电子与通信工程张文柱无107013141196276台雷通信与信息系统秦浩1 107013161132057唐华敏通信与信息系统杜建超1 107013161132885唐李杨电子与通信工程王勇22 107013162087171陶亮通信与信息系统(六所)李勇朝107013114054432陶艺妍电子与通信工程裴庆祺3 107013161132136田丽华通信与信息系统张辉无107013161132170田明静通信与信息系统方建平1 107013113034152田赛通信与信息系统王养利1 107013132175022田伟通信与信息系统方建平2 107013161131917田宇通信与信息系统孙蓉2 107013161132905田宇召电子与通信工程岳鹏2 107013151086931童飞信息安全闫峥1 107013161132253童嘉庆信息安全董庆宽1 107013136075290万倩芸密码学马华无107013141066055万小康电子与通信工程张文柱1 107013150116910万旭通信与信息系统方建平无107013142206621汪国雄军事通信学张海林无107013121014739汪沛电子与通信工程王养利1 107013143066695汪洋军事通信学刘乃安1 107013161132919王保森电子与通信工程张玉清2 107013137025555王代利电子与通信工程陈健2 107013161130013王东嘉通信与信息系统朱畅华无107013143196749王恩茂通信与信息系统朱晓明2 107013122074864王风永电子与通信工程尚韬无107013161132179王鸿电子与通信工程刘景伟3 107013141196268王慧芳通信与信息系统刘乃安1107013141196261王江宏电子与通信工程李兵兵1 107013142146575王杰密码学李凤华1 107013161132864王洁环电子与通信工程权东晓2 107013137065642王连辉通信与信息系统朱畅华1 107013137015369王良通信与信息系统马鸿飞2 107013161131970王璐通信与信息系统李兵兵1 107013137025483王梅密码学(北电院)袁征107013141206342王萌萌通信与信息系统李长乐2 107013161132027王敏波通信与信息系统姜光1 107013135015216王培财通信与信息系统(六所)顾华玺107013161132192王鹏电子与通信工程杨付正3 107013161132055王琪电子与通信工程王养利无107013161130117王群军事通信学刘乃安1 107013161132019王狮电子与通信工程(试点)通院导师组无107013161132116王爽电子与通信工程侯蓉晖2 107013134065152王婷密码学王保仓1 107013161132098王雪密码学傅晓彤无107013114074518王艳通信与信息系统(北电院)池亚平107013161132047王燕婷通信与信息系统霍俊彦2 107013137025560王烨电子与通信工程(试点)通院导师组2 107013132114975王银强通信与信息系统李红艳1 107013161131988王胤舒通信与信息系统李靖2 107013141206345王誉晓密码学(北电院)欧海文107013137105743王元电子与通信工程尚磊3 107013137065654王在峰通信与信息系统田斌无107013137065641王哲电子与通信工程朱畅华2 107013161131967王振亚通信与信息系统宫丰奎1 107013161132158王志峰通信与信息系统孙献璞2 107013137025481王志敏通信与信息系统郭漪1 107013137015366王志翔通信与信息系统任光亮1 107013141035894魏姣姣通信与信息系统阔永红3 107013113064251魏康文交通信息工程及控制陈晨1 107013133015067魏良炜密码学董丽华3 107013112064088温娜电子与通信工程(试点)通院导师组无107013161131933吴彪通信与信息系统陈南1 107013161132075吴昊通信与信息系统王勇23 107013161132020吴火森电子与通信工程宋锐1 107013137065650吴倩通信与信息系统吴炜1 107013137025479吴双敏通信与信息系统陈健无107013121184811吴亦寒通信与信息系统郑贱平3 107013161132912吴忠辉电子与通信工程李文刚2 107013137025566夏文卓电子与通信工程岳鹏2 107013161132127肖婷通信与信息系统张奭1 107013161132201谢建豪电子与通信工程曹琲琲3 107013142056521谢珊珊通信与信息系统赵力强1 107013161132062邢超杰通信与信息系统王养利无107013137025492熊超通信与信息系统付卫红2 107013161131984熊芳琦通信与信息系统高明2 107013141056005熊维信息安全胡予濮3 107013161132097徐斌通信与信息系统李静2 107013137025480徐亮通信与信息系统杜栓义3 107013161132888徐睿电子与通信工程王军宁1 107013142176589徐晓红通信与信息系统孙锦华1 107013161132005徐一文电子与通信工程马文平无107013132145010徐子强通信与信息系统杨付正1 107013137015354许方磊通信与信息系统卢朝阳2 107013137115765许濯麟密码学(北电院)何文才107013137065652宣月茜通信与信息系统张艳玲2 107013161130758薛莉莉信息安全胡予濮1 107013114054437闫凤飞军事通信学张海林1 107013161131975闫俊旺通信与信息系统刘刚1 107013161130336闫磊电子与通信工程杜栓义2 107013133015071闫晓虹通信与信息系统卢小峰1 107013161130051闫作雨通信与信息系统司江渤3 107013134705210严忠远通信与信息系统徐展琦1 107013161130068晏雷通信与信息系统姚明旿1 107013113034160杨本圣电子与通信工程王平3 107013137015345杨超电子与通信工程张岗山3 107013161132868杨翠电子与通信工程宫丰奎2 107013161132205杨帆通信与信息系统杨清海1 107013162067139杨国钰电子与通信工程王俊平无107013161131928杨会科电子与通信工程权东晓3 107013141166193杨京电子与通信工程张玉清2 107013143196742杨科斌通信与信息系统霍俊彦1 107013161131982杨璐璐通信与信息系统沈中3 107013134015106杨佩佩电子与通信工程孙献璞3 107013150036893杨淑楠通信与信息系统马鸿飞1 107013113034189杨欣电子与通信工程马文平2 107013161132000杨新勇密码学王保仓无107013141206333杨璇通信与信息系统朱晓明1 107013161130067杨永涛通信与信息系统杨帆3 107013161132225杨宇辰通信与信息系统卢小峰3 107013137025484姚芳超通信与信息系统郑贱平无107013161132004叶发达通信与信息系统史琰3 107013133015066叶锋华通信与信息系统李云松2 107013161132060叶强通信与信息系统肖嵩2 107013137015378殷丽红电子与通信工程(试点)通院导师组3 107013114014392殷振华电子与通信工程张辉无107013134045134尹飞电子与通信工程孙永军1 107013161132076尹文琪密码学李凤华2 107013161131959尹先兵通信与信息系统徐展琦2 107013141056010于研电子与通信工程孙岳2 107013161132195于有光通信与信息系统杨付正无少数民族107013134125180余忠洋军事通信学孙锦华3 107013161130100袁高阳通信与信息系统杨付正3 107013122074857袁少容密码学谢敏2 107013134245189袁文頔通信与信息系统张静1 107013161130343袁杨帆电子与通信工程谭示崇2 107013137015381袁勇密码学(北电院)陈辉焱107013113154350袁媛电子与通信工程(六所)李勇朝107013115024716岳丽娜电子与通信工程杜建超无107013161132272臧越川密码学谢敏3 107013143196747詹梅通信与信息系统孙献璞2 107013136015247张彬彬电子与通信工程李兵兵1 107013113164369张程飞通信与信息系统方建平3 107013137015361张存磊电子与通信工程董庆宽无107013161130099张迪电子与通信工程沈中3 107013161132263张栋信息安全谭示崇1107013141035899张改红密码学(北电院)李梦东107013137015373张贵昕通信与信息系统张艳玲3 107013161131922张果通信与信息系统陈健1 107013161131964张晗斌通信与信息系统李红艳2 107013135125226张惠朋信息安全吕锡香2 107013161130006张继翔通信与信息系统蔡宁1 107013111104029张佳涛信息安全胡予濮1 107013161132239张建峰交通信息工程及控制陈晨1 107013141055995张婕电子与通信工程王平无107013121084793张金宝通信与信息系统盛敏1 107013141206331张静通信与信息系统陈南1 107013136015255张丽交通信息工程及控制张向东1 107013113024098张丽洁通信与信息系统杨帆1 107013141166194张丽丽通信与信息系统陈梅2 107013123174919张亮通信与信息系统张辉1 107013161132218张梦钰通信与信息系统李勇朝1 107013114014390张明睿密码学董丽华3 107013161132100张盼电子与通信工程马文平无107013161131955张佩琪通信与信息系统王勇1无107013161130120张鹏密码学高军涛1 107013142266669张平电子与通信工程张海林1 107013161132058张倩密码学陈杰2 107013113164365张强通信与信息系统史琰1 107013142116537张舒电子与通信工程陈健无107013161132063张思源电子与通信工程司江渤无107013161130021张婷婷通信与信息系统杜栓义3 107013137015363张希岩电子与通信工程栾英姿无107013161132889张曦电子与通信工程卢朝阳1 107013161132917张潇潇电子与通信工程赵力强2 107013113034184张亚妮电子与通信工程相征1 107013114054470张燕电子与通信工程赵林靖1 107013141056011张银银电子与通信工程王军宁1 107013161132260张永钰信息安全张跃宇2 107013161132909张宇骋电子与通信工程刘乃安1 107013141196273张宇航电子与通信工程邱智亮2 107013113064252张玉龙密码学(北电院)李子臣107013141136141张玉茹通信与信息系统易运晖1 107013141206367张振亚电子与通信工程侯蓉晖1 107013141045967张震通信与信息系统王军宁1 107013161130356张志鹏电子与通信工程刘毅1 107013161130355张志强电子与通信工程刘毅2 107013161132162章华清电子与通信工程吴炜无107013161132129赵奥飞通信与信息系统杨帆3 107013161132893赵驰电子与通信工程鲍民权2 107013161132236赵涵光通信尚韬2 107013143156715赵航电子与通信工程张向东1 107013134045133赵杰电子与通信工程尚韬无107013161132232赵立娟电子与通信工程顾华玺无107013161132145赵楠通信与信息系统栾英姿1 107013161132249赵佩密码学李学俊1 107013161132187赵腾伟通信与信息系统王俊平3 107013161131943赵唯思通信与信息系统王勇11 107013137015350赵锡灿通信与信息系统刘伟1 107013161132029赵小松通信与信息系统姜光1107013151086927赵晓君通信与信息系统曹琲琲1 107013161132156赵艳山通信与信息系统秦浩1 107013137015374赵臻密码学陈杰2 107013113034161郑亚惠通信与信息系统王俊平1 107013137015344郑媛媛通信与信息系统李兵兵1 107013161132041支爽爽电子与通信工程王俊平2 107013161132230钟春晖通信与信息系统李勇朝2 107013132175023仲小丹电子与通信工程田红心无107013150116909周福玲电子与通信工程尚韬无107013137025554周家臻电子与通信工程闫峥2 107013161131938周静娴电子与通信工程孙锦华无107013141066047周利波通信与信息系统权东晓1 107013161132168周楠通信与信息系统赵力强3 107013112054078周楠楠密码学董丽华1 107013161132875周天卫电子与通信工程刘勤1 107013112064082周小健通信与信息系统李兵兵2 107013142116540周新宇通信与信息系统刘彦明无107013161132012周亚电子与通信工程张文柱3 107013161132108朱洁静通信与信息系统史琰2 107013134575197朱亮通信与信息系统张辉2 107013161132166朱宁通信与信息系统宋彬1 107013143196748朱晟电子与通信工程朱晓明3 107013151086925朱文君通信与信息系统孙岳2 107013137015336朱振显电子与通信工程易运晖3 107013161130026朱震轩通信与信息系统王勇1无107013121134805邹丰光通信与信息系统张文柱1 107013141025871左功同通信与信息系统曾兴雯1。
∙出版社:机械工业出版社;∙作者:林生、葛红等译∙原价:75.00∙本店促销价:RBM30元/本(数量有限,售完为止)购买全套资料如果还需要教材,请另外留言注明加购,全套资料不含教材!2.《数字逻辑设计及应用》∙出版社:清华大学出版社∙作者:姜书艳林水生等∙原价:29.00本店促销价:RBM12元/本(二手,数量有限,售完为止)购买全套资料如果还需要教材,请另外留言注明加购,全套资料不含教材![全套资料构成]序列一:数字逻辑设计(科大内部资料)全程导学资料简介:本资料作为指定教材同步辅导,由电子科大数字逻辑课程组编写。
内容包括各章知识要点、典型例题解析、同步练习题及解答,建议作为第一阶段基础复习使用。
序列二:数字逻辑设计及应用本科教学课件内容简介:本科课件是科大教研中心授课的重点教案,里面包含了本科教学的内容及要求;本科教学的重点难点以及解决办法;本科教学的重点作业习题。
第一轮复习参考本科课堂讲义,就相当于与本校学生一样听了该校老师讲授的课程,众所周知,考研专业课之所以对本校学生有很大优势,其中最重要方面考研专业课的出题的重点难点和本科要求差不多。
所以本科讲义对外校考研把握科大最新出题动向和最新大纲要求具有重要参考价值。
所以第一轮复习我们建议看教材的同时结合本科讲义,当然也要认真做本科教学老师布置的作业。
这样专业课基础知识更牢,对后继阶段复习帮助很大。
建议第一阶段基础复习使用。
序列三:数字设计原理与实践第四版(习题答案+复习总结)内容简介:关于本科教学老师布置的作业一定要认真完成,这些作业题体现了这门课程的重点难点疑点,这些题目都很典型,和代表性,对巩固教材知识和提高自己解题能力都很有帮助,这些题目有时也会出现在真题的原题中。
建议第一阶段基础复习使用。
序列四:数字逻辑电路本科期末考题合集(6套试卷附答案)资料简介:期末试题难度要低于考研试题,多少重点难点差不多,有时考研真题也会出自于往届期末题库里面,所以期末题库含金量还是很高,可以在专业课第一轮基础复习后检验自己复习效果。
中国科学院信息工程研究所2013级硕士推免生拟录取名单第一批85信息工程研究所人事教育处2012年9月25日第二批19信息工程研究所人事教育处2012年10月30日序号姓名所在学校研究室1 西安电子科技大学第一研究室2 山东大学第一研究室3 华中科技大学第一研究室4 吉林大学第一研究室5 中山大学第一研究室6 西安电子科技大学第一研究室7 中国农业大学第一研究室8 大连海事大学第一研究室9 西北工业大学第一研究室10 中国地质大学(武汉)第一研究室11 北京交通大学第一研究室12 武汉大学第一研究室13 中国地质大学(武汉)第一研究室14 湘潭大学第一研究室15 中国农业大学第一研究室16 北京理工大学第一研究室17 四川大学第一研究室18 山东大学威海分校第一研究室19 电子科技大学第一研究室20 中国石油大学第一研究室21 北京交通大学第一研究室22 吉林大学第一研究室23 上海交通大学第一研究室24 大连理工大学第一研究室25 华中科技大学第二研究室26 哈尔滨工业大学第二研究室27 华中科技大学第二研究室28 哈尔滨工业大学第二研究室29 吉林大学第二研究室30 吉林大学第二研究室31 哈尔滨工业大学第二研究室32 中国矿业大学第二研究室33 中国地质大学(武汉)第二研究室34 北京航空航天大学第二研究室35 华中科技大学第二研究室36 哈尔滨工业大学(威海)第二研究室37 电子科技大学第二研究室38 武汉理工大学第二研究室39 北京大学第二研究室40 四川大学第二研究室41 四川大学第二研究室42 山东师范大学第二研究室43 东北大学第二研究室44 吉林大学第二研究室45 哈尔滨工业大学第二研究室46 河北大学第二研究室47 南京航空航天大学第二研究室48 四川大学第二研究室49 山东大学(威海)第二研究室50 中国矿业大学第二研究室51 清华大学第三研究室52 北京理工大学第三研究室53 华中科技大学第三研究室54 西安电子科技大学第三研究室55 中国石油大学(华东)第三研究室56 清华大学第三研究室57 电子科技大学第三研究室58 四川大学第三研究室59 华中科技大学第三研究室60 四川大学第三研究室61 吉林大学第三研究室62 厦门大学第三研究室63 北京理工大学第三研究室64 南开大学第三研究室65 西北工业大学第三研究室66 清华大学第三研究室67 清华大学第三研究室68 华南师范大学第三研究室69 四川大学第三研究室70 清华大学第三研究室71 兰州大学第三研究室72 四川大学第三研究室73 华中科技大学第三研究室74 山东大学(威海)第三研究室75 四川大学第四研究室76 山东大学第四研究室77 哈尔滨工程大学第四研究室78 浙江大学第四研究室79 哈尔滨工程大学第四研究室80 宁夏大学第四研究室81 华南理工大学第四研究室82 中南大学第四研究室83 山东大学(威海)第四研究室84 四川大学第四研究室85 北京交通大学第四研究室序号姓名学校研究室1 北京邮电大学第一研究室2 北京邮电大学第一研究室3 电子科技大学第一研究室4 华东理工大学第一研究室5 四川大学第一研究室6 中国农业大学第一研究室7 云南大学第一研究室8 中国科学技术大学第一研究室9 中国科学技术大学第一研究室10 中国科学技术大学第一研究室11 华南理工大学第二研究室12 中国科学技术大学第二研究室13 山东大学第三研究室14 中国科学技术大学第三研究室15 中国科学技术大学第三研究室16 北京理工大学第四研究室17 四川大学第四研究室18 中国科学技术大学第四研究室19 重庆大学第四研究室。
电子科技大学2012考研复试分数线公布根据教育部有关文件精神,结合我校实际情况,经校研究生招生领导小组研究决定,我校按照不同考试方式和不同学科分别确定初试成绩基本要求。
各学院根据名额和报考情况等确定本学院初试成绩基本要求(不低于学校基本要求),并以此确定入围复试考生名单。
我校将按照德、智、体全面衡量、择优录取、保证质量、宁缺毋滥的精神和公开、公正、公平的原则进行复试与录取工作。
我校复试工作办法(含调剂)、各学院初试成绩基本要求3月初将陆续发布在电子科技大学研招网(),各项政策以教育部最终公布文件为准。
校外调剂信息将于4月初发布在全国研招网()“全国硕士研究生招生调剂服务系统”,不接收电话、邮件、来人来函等其他方式调剂。
一、统考学科第一单元(政治理论)第二单元(外国语)第三单元(业务课一)第四单元(业务课二)总分02经济学50509090340 03法学50509090340 04教育学5050180330 05文学0502外国语言文学50609090330 0503新闻传播学50509090360 07理学5050808030508工学0808电气工程0809电子科学与技术0810信息与通信工程0811控制科学与工程505090903200812计算机科学与技术50508080300其他50508080310 11军事学50508080310 12管理学55559090360专业学位0551翻译50609090330 0552新闻与传播50509090360 0852工程硕士50508080310 1251工商管理8040150 1252公共管理8040150 1256工程管理8040150二、单考学科第一单元(政治理论)第二单元(外国语)第三单元(业务课一)第四单元(业务课二)总分04教育学6045215355其他60458090355三、强军计划学科第一单元(政治理论)第二单元(外国语)第三单元(业务课一)第四单元(业务课二)总分所有60456065300四、少数民族骨干计划按国家初试成绩基本要求执行。
[考研分数线]电子科技大学各学院2010年研究生复试分数线2010-03-15来源:电子科技大学学院专业第一单元(政治理论)第二单元(外国语)第三单元(业务课一)第四单元(业务课二)总分0 1 通信与信息工程学院08030光学工程40 35 60 60 2900 1 通信与信息工程学院081001通信与信息系统40 42 80 85 3200 1 通信与信息工程学院110505密码学40 35 60 60 3000 1 通信与信息工程学院430109电子与通信工程40 35 60 60 2900 2 电子工程学院080902电路与系统40 35 60 60 3150 2 电子工程学院080904电磁场与微波技术40 35 60 60 3070 2 电子工程学院081002信号与信息处理40 35 60 60 3220 2 电子工程学院08102★信息获取与探测技术40 35 60 60 3000 2 电子工程学院430109电子与通信工程40 35 60 60 2800微电子与固体电子学院08050材料科学与工程40 35 60 60 2900 3 微电子与固体电子学院080903微电子学与固体电子学40 35 60 60 3210 3 微电子与固体电子学院08092★电子信息材料与元器件40 35 60 60 3000 3 微电子与固体电子学院081704应用化学40 35 60 60 2900 3 微电子与固体电子学院430109电子与通信工程40 35 60 60 3210 4 物理电子学院070204等离子体物理40 35 60 60 2900 4 物理电子学院070205凝聚态物理40 35 60 60 2900 4 物理电子学院070207光学40 35 60 60 2900 4 物理电子学院070208无线电物理40 35 60 60 2900 4 物理电子学院08090电子科学与技术40 35 60 60 3000 4 物理电子学院080901物理电子学40 35 60 60 3000 4 物理电子学院430109电子与通信工程40 35 60 60 2800 5 光电信息学院08030光学工程40 35 60 60 2900 5 光电信息学院08050材料科学与工程40 35 60 60 2900 5 光电信息学院080901物理电子学40 35 60 60 3000 5 光电信息学院080902电路与系统40 35 60 60 3000 5 光电信息学院080904电磁场与微波技术40 35 60 60 3000 5 光电信息学院08092★电子信息材料与元器件40 35 60 60 3000 5 光电信息学院081002信号与信息处理40 35 60 60 3000 5 光电信息学院430103光学工程40 35 60 60 2800 5 光电信息学院430109电子与通信工程40 35 60 60 2800 6 计算机科学与工程学院080902电路与系统40 35 60 60 3000 6 计算机科学与工程学院081021★信息安全40 35 60 60 3000 6 计算机科学与工程学院081101控制理论与控制工程40 35 60 60 3000 6 计算机科学与工程学院081201计算机系统结构40 35 60 60 2800计算机科学与工程学院08120计算机软件与理论40 35 60 60 28062 00 6 计算机科学与工程学院081203计算机应用技术40 35 60 60 2800 6 计算机科学与工程学院430112计算机技术40 35 60 60 2800 7 自动化工程学院080402测试计量技术及仪器40 35 60 60 2900 7 自动化工程学院081101控制理论与控制工程40 35 60 60 3000 7 自动化工程学院081102检测技术与自动化装置40 35 60 60 3000 7 自动化工程学院081104模式识别与智能系统40 35 60 60 3000 7 自动化工程学院081203计算机应用技术40 35 60 60 2800 7 自动化工程学院081603地图制图学与地理信息工程40 35 60 60 2900 7 自动化工程学院430104仪器仪表工程40 35 60 60 2800 7 自动化工程学院430111控制工程40 35 60 60 2800 8 机械电子工程学院080201机械制造及其自动化40 35 60 60 2900机械电子工程学院080202机械电子工程40 35 60 60 2900 8 机械电子工程学院080203机械设计及理论40 35 60 60 2900 8 机械电子工程学院080401精密仪器及机械40 35 60 60 2900 8 机械电子工程学院080804电力电子与电力传动40 35 60 60 3000 8 机械电子工程学院430102机械工程40 35 60 60 2800 9 生命科学与技术学院040203应用心理学50 40 150 0 3250 9 生命科学与技术学院07101生物化学与分子生物学40 35 60 60 2900 9 生命科学与技术学院071011生物物理学40 35 60 60 2900 9 生命科学与技术学院08310生物医学工程40 35 60 60 2900 9 生命科学与技术学院430131生物医学工程40 35 60 60 2801 0 应用数学学院070102计算数学40 35 60 60 2901 0 应用数学学院070104应用数学40 35 60 60 2901 0 应用数学学院070105运筹学与控制论40 35 60 60 2901 1 经济与管理学院020202区域经济学50 40 70 70 3301 1 经济与管理学院020204金融学50 40 70 70 3301 1 经济与管理学院020209数量经济学50 40 70 70 3301 1 经济与管理学院12010管理科学与工程50 40 70 70 3151 1 经济与管理学院12012★新兴技术管理50 40 70 70 3151 1 经济与管理学院120121★信息管理与电子商务50 40 70 70 3151 1 经济与管理学院120122★金融工程50 40 70 70 3151 1 经济与管理学院120202企业管理50 40 70 70 3151 1 经济与管理学院120204技术经济及管理50 40 70 70 3151 1 经济与管理学院430137工业工程40 35 60 60 2801 1 经济与管理学院43014项目管理40 35 60 60 2801 1 经济与管理学院430141物流工程40 35 60 60 2800经济与管理学院46010工商管理硕士0 39 90 0 160110 01 2 政治与公共管理学院030103宪法学与行政法学50 40 70 70 3251 2 政治与公共管理学院030206国际政治50 40 70 70 3251 2 政治与公共管理学院030505思想政治教育50 40 70 70 3251 2 政治与公共管理学院040203应用心理学50 40 150 0 3251 2 政治与公共管理学院050302传播学50 40 70 70 3301 2 政治与公共管理学院120401行政管理50 44 70 70 3151 2 政治与公共管理学院49010公共管理硕士0 40 90 0 1601 3 外国语学院050201英语语言文学50 50 70 70 3201 3 外国语学院050211外国语言学及应用语言学50 50 70 70 3201 6 马克思主义教育学院030206国际政治50 40 70 70 3251 6 马克思主义教育学院030501马克思主义基本原理50 40 70 70 3251马克思主义教育学院030505思想政治教育50 40 70 70 3252 3 软件学院430113软件工程40 35 60 60 2802 4 电子科学技术研究院08090电子科学与技术40 35 60 60 3002 4 电子科学技术研究院080902电路与系统40 35 60 60 3002 4 电子科学技术研究院080903微电子学与固体电子学40 35 60 60 3002 4 电子科学技术研究院080904电磁场与微波技术40 35 60 60 3002 4 电子科学技术研究院081001通信与信息系统40 35 60 60 3202 4 电子科学技术研究院081002信号与信息处理40 35 60 60 3002 4 电子科学技术研究院081203计算机应用技术40 35 60 60 2802 4 电子科学技术研究院430109电子与通信工程40 35 60 60 2802 5 空天科学技术研究院081101控制理论与控制工程40 35 60 60 3002 5 空天科学技术研究院081102检测技术与自动化装置40 35 60 60 3002 5 空天科学技术研究院081104模式识别与智能系统40 35 60 60 3002 5 空天科学技术研究院430109电子与通信工程40 35 60 60 2802 6 通信抗干扰技术国家级重点实验室081001通信与信息系统40 35 60 60 3202 6 通信抗干扰技术国家级重点实验室110505密码学40 35 60 60 3002 6 通信抗干扰技术国家级重点实验室430109电子与通信工程40 35 60 60 280。
电子科技大学2009年硕士研究生入学考试复试成绩
(更新时间:2009年5月22日23:00)
说明:1、学校将根据学院上报陆续公布学院复试成绩及意见,部分研究方向、导师等信息在5月底确定。
2、根据《电子科技大学2009年硕士研究生入学考试复试工作办法》,未录取考生可参加院内调剂、校内调剂或校外调剂。
院内调剂、校内调剂考生请先到学院研究生科确认接收调剂的专业及要求,再登录“考生服务”打印调剂申请单交调剂学院研究生科。
校外调剂考生登录全国研招网()“全国硕士研究生招生调剂服务系统”,填报调剂申请。
3、考生对复试成绩、学院意见如有异议请向学院研究生科提出,如仍有异议再向研招办提出。
4、拟录取考生不得再参加其他复试,不得再申请调剂,否则学校将立即取消原拟录取资格。
5、拟录取考生在资格、成绩审查后公示无异议即确定为正式录取。
6、6月由学院发放录取通知书(邮寄或领取),同时对录取类别为自筹的新生进行调档,与录取类别为定向或委培的新生签订协议,具体事宜另行通知。
电子科技大学2013年推免生复试成绩
(更新时间:2012年10月23日0:27)
说明:
1、学校将根据学院上报陆续公布学院复试成绩及意见。
2、考生对复试成绩、学院意见如有异议请向学院研究生科提出,如仍有异议再向研招办提出。
3、拟上报考生经公示后上报教育部,录检合格后才确定为正式录取,录检不合格即取消推免资格,正式录取以录取通知书为准。
4、拟录取推免生仍需按招生简章(直博生见博士招生简章,硕士生见硕士招生简章)要求进行网上报名和现场确认。
5、2013年6月由学院发放录取通知书(邮寄或领取),同时对录取类别为自筹的新生进行调档,具体事宜另行通知。
取通知书为准。
认。