高职高考数学模拟试卷(一)
- 格式:ppt
- 大小:1.43 MB
- 文档页数:29
一、选择题(本大题共10小题,每小题5分,共50分)1. 若函数f(x) = 2x + 3,则f(2)的值为()A. 7B. 9C. 11D. 132. 下列各数中,有理数是()A. √2B. πC. 3/4D. 无理数3. 已知等差数列{an}的首项为2,公差为3,则第10项an的值为()A. 27B. 30C. 33D. 364. 下列各函数中,是奇函数的是()A. y = x^2B. y = x^3C. y = |x|D. y = 2x5. 下列各式中,正确的是()A. (a + b)^2 = a^2 + b^2B. (a - b)^2 = a^2 - b^2C. (a + b)^2 = a^2 + 2ab + b^2D. (a - b)^2 = a^2 - 2ab + b^26. 下列各式中,正确的是()A. a^2 = aB. a^3 = aC. (ab)^2 = a^2b^2D. (a/b)^2 = a^2/b^27. 已知等比数列{an}的首项为2,公比为3,则第5项an的值为()A. 54B. 162C. 486D. 14588. 若函数f(x) = kx + 1,其中k为常数,则f(x)的图像是()A. 直线B. 抛物线C. 双曲线D. 椭圆9. 已知三角形的三边长分别为3、4、5,则这个三角形的面积是()A. 6B. 8C. 10D. 1210. 下列各式中,正确的是()A. log2(8) = 3B. log2(4) = 2C. log2(2) = 1D. log2(1) = 0二、填空题(本大题共10小题,每小题5分,共50分)11. 若sinθ = 1/2,则cosθ的值为________。
12. 已知复数z = 3 + 4i,则|z|的值为________。
13. 若等差数列{an}的首项为a1,公差为d,则第n项an的通项公式为________。
14. 若等比数列{an}的首项为a1,公比为q,则第n项an的通项公式为________。
一、选择题(每题5分,共20分)1. 下列各数中,有理数是()。
A. √9B. √-16C. πD. 2√22. 如果 |a| = 3,那么 a 的值为()。
A. ±3B. ±4C. ±2D. ±13. 已知二次函数y = ax² + bx + c(a ≠ 0),如果它的图像开口向上,且顶点坐标为(1,-2),那么 a 的取值范围是()。
A. a > 0B. a < 0C. a ≥ 0D. a ≤ 04. 在等差数列 {an} 中,如果 a1 = 3,d = 2,那么第10项 an 的值为()。
A. 19B. 20C. 21D. 225. 若函数 f(x) = 2x + 1 在区间 [1, 3] 上单调递增,那么函数 g(x) = f(x) - 3 在区间 [1, 3] 上的单调性是()。
A. 单调递减B. 单调递增C. 先增后减D. 先减后增二、填空题(每题5分,共20分)6. 已知等差数列 {an} 的前n项和为 Sn,如果 S5 = 50,a1 = 2,那么 d =________。
7. 函数y = x² - 4x + 4 的图像与x轴的交点坐标为 ________。
8. 在直角坐标系中,点 A(2,3)关于 y 轴的对称点坐标为 ________。
9. 二项式定理 (a + b)ⁿ的展开式中,a³b⁷的系数为 ________。
10. 等比数列 {an} 的公比 q = 1/2,如果 a1 = 16,那么第5项 an 的值为________。
三、解答题(每题10分,共20分)11. 解下列方程组:\[\begin{cases}2x + 3y = 8 \\4x - y = 2\end{cases}\]12. 已知函数 f(x) = -3x² + 12x - 4,求函数 f(x) 的最大值。
四、应用题(15分)13. 一批货物由甲、乙两辆卡车运输,甲车每小时运输20吨,乙车每小时运输30吨。
高职数学高三模拟试卷(一)一. 选择题:(本大题共10小题;每小题3分,共30分.在每小题给出的四个选项中,只有一项是符合题目要求的.) 1、设集合A={-3,0,3},B={0},则( )(A )B 为空集 (B )B ∈A (C )A ⊂B (D )B ⊂A 2.函数y=lgx 的定义域是 ( )A .()+∞∞-, B.[0,+∞] C.(0,+∞) D.(1,+∞) 3.式子log 39的值为( )A.1B.2C.3D.94.已知函数2)1(2+-=+x x x f ,则=)3(f ( )(A )8 (B )6 (C )4 (D )2 5.已知锐角α的终边经过点(1,1),那么角α为( )A .30° B. 90° C. 60° D. 45°6.已知一个圆的半径是2,圆心点是A (1,0),则该圆的方程是( )A .(x-1)2+ y 2=4 B.(x+1)2+y 2=4 C. (x-1)2+y 2=2 D. (x+1)2+y 2=2 7.已知a=4, b=9,则a 与b 的等比中项是( )A .±61 B. ± 6 C. 6 D.-68.同时抛掷两枚均匀的硬币,出现 两个反面的概率是( ) A .21 B.31 C.41 D.519.下列命题中正确的是( )(A )平行于同一平面的两直线平行 (B )垂直于同一直线的两直线平行 (C )与同一平面所成的角相等的两直线平行(D )垂直于同一平面的两直线平行 10.某地一种植物一年生长的高度如下表.A .0.80B .0.65C .0.40D .0.25第Ⅱ卷(非选择题 共70分)二、填空题:(本大题共12小题,每小题2分,共24分)。
1.Cos325°=_______________2. 设a=x2+2x,b=x2+x+2,若x>2,则a、b 的大小关系是________3.已知正方体的表面积是54cm2,则它的体积是__________4.函数)4log(2xxy-=的定义域为。
高职高考数学模拟试题一、选择题1. 若函数$f(x)=\sqrt{a-x}+2$, $a>0$,则$f(x)$的定义域是()A. $(-\infty,a]$B. $[0,a]$C. $[0,a)$D. $(-\infty,a)$2. 已知向量$\overrightarrow{a}=3\overrightarrow{i}+2\overrightarrow{j}$,$\overrightarrow{b}=-\overrightarrow{i}+3\overrightarrow{j}$,则$\overrightarrow{a}\cdot\overrightarrow{b}$等于()A. -3B. 1C. 9D. 03. 设$a>0$,则下列不等式中成立的是()A. $a^{\frac{1}{2}}>a^{\frac{1}{3}}$B. $a^{-1}>a^{-2}$C. $a^2>a$D. $a^{-3}>a^{-1}$4. 某班有12名男生,8名女生,今从中任选2人组成一个代表队,则这个代表队至少有1名女生的概率是()A. $\frac{11}{19}$B. $\frac{8}{19}$C. $\frac{72}{152}$D. $\frac{8\cdot12}{19\cdot20}$5. 序列$\{a_n\}$满足$a_1=1$,$a_{n+1}=3a_n+1(n=1,2,\cdots)$,则$a_9$的值是()A. 6560B. 3281C. 6561D. 32796. 函数$y=a\cos{3x}+b\sin{3x}$的最大值为2,最小值为-4,且恰有一个极值点,则$a$与$b$的值分别为()A. 2和-4B. -4和2C. 4和-2D. -2和47. 若三角形$ABC$中,$\sin{A}\cdot\sin{B}=3\sin{C}\cdot\cos{C}$,且$AB=2AC$,则$\angle C$的大小为()A. $45^{\circ}$B. $30^{\circ}$C. $60^{\circ}$D. $90^{\circ}$8. 在一个五边形中,五个内角之和为270度,则这个五边形的形状是()A. 正五边形B. 正四边形C. 三角形D. 不规则五边形9. 设集合$A=\{x|x+\frac{1}{x}<2, x>0\}$,则$A$的取值范围是()A. $(0,1)$B. $(1,2)$C. $(0,1)\cup(1,2)$D. $(0,2)$10. 若直线$y=kx+5$与曲线$y=8-x^2$相切,则$k$的值为()A. 8B. $-\frac{7}{2}$C. $\frac{7}{2}$D. -811. 设$a_n=\frac{1}{1\cdot2}+\frac{1}{2\cdot3}+\frac{1}{3\cdot4}+\cdots+\frac {1}{n(n+1)}$,则$\lim_{n \to \infty}a_n$的值为()A. $\frac{1}{2}$B. 1C. 0D. 212. 函数$f(x)=x^3-x^2-6x$在区间$[-1,3]$上的最大值为()A. 3B. $\frac{27}{4}$C. 0D. $\frac{9}{4}$13. 若$x$与$y$满足$x+y=4$,$x^2+y^2=10$,则$x^3+y^3$的值为()A. 36B. 40D. 5214. 某人6月25日到从事清洁工作,约定每天增加2元,到31日(包括31日)每天可拿到5元,则这人7月1日可以拿到多少元?()A. 5B. 10C. 20D. 2515. 已知一个等腰三角形的面积是24平方厘米,底边长6厘米,则这个等腰三角形的高为()A. 4厘米B. 8厘米C. 12厘米D. 16厘米16. 若直线$l_1$的方程为$y=k_1x+1$,直线$l_2$的方程为$x+y=0$,则$k_1$为()A. -1B. 1C. 017. 函数$f(x)=x^2-3x+4$在区间$[0,3]$上的最小值为()A. 1B. 2C. 3D. 418. 已知集合$A=\{x|x=\frac{2m-n}{m+n},m \in N^{*},n \in N^{*}\}$,则$A$中元素的最小值为()A. 0B. 1C. 2D. 319. 若三角形$ABC$中,$AB=BC=3$,$\angle A=90^{\circ}$,则$\sin{C}$的值为()A. $\frac{\sqrt{3}}{2}$B. $\frac{\sqrt{2}}{3}$C. $\frac{1}{3}$D. $\frac{\sqrt{3}}{3}$20. 已知函数$f(x)=x^2+a(x+1)+a$是奇函数,求$a$的值。
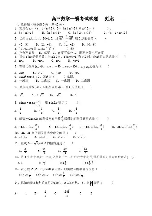
高三数学一模考试试题 姓名一、选择题(每小题3分,共45分)1、若集合A ={x ∣1﹤x ≤3},B ={x ︱x >2}则A ∩B =( ),A 、{x ∣x >1}B 、{x ∣x ≤3}C 、{x ∣2﹤x ≤3}D 、{x ∣1﹤x <2} 2、已知由A(1,1 ), B(-1,5) 且AC =21AB ,则C 点的值是( ) A 、(0,3) B 、(2,-4) C 、(1,-2) D 、(0,6)3、“a >b,c<0是ac<bc ”的( )条件A 、充分不必要B 、充要C 、必要不充分D 、既不充分也不必要4、已知f(x)是偶函数,当x ≥0时,f(x)=x+1,当x<0时,f(x)的表达式是( )A 、x+1B 、-x+1C 、x-1D 、-x-15、在等比数列{a n }中,3021=+a a 12043=+a a ,,65a a +之值为( )A 、210B 、240C 、480D 、7006、sin 0cot θθ•,则θ在( )象限。
A 、一或三B 、二或三C 、一或四D 、二或四 7、原点与直线y=kx-3的距离是3,则k 的值是( )A 、2B 、±2C 、-2D 、1 8、sin α-cos α=31, 则sin2α等于( ) A 、91 B 、-91 C 、98 D 、-98 9、函数y=2sin2x 的图像向右平移6π后得到的图像解析式是( ) A 、y=2sin(2x+6π) B 、y=2sin(2x-6π) C 、y=2sin(2x-3π) D 、y=2sin(2x+3π) 10、x=,y= 则下列关系式中成立的是( )A 、x>y>zB 、z<x<yC 、x<y<zD 、y<x<z 11、直线3x -3y+6=0的倾斜角是( ) A 、6π B 、3π C 、32π D 、65π 12、从4个班中确定3个班,分别到三个工厂进行专业实习,则不同的安排方案种数是( ) A.34 B.34P C.34C D.3344C P13、若方程x 2+y 2–x +y +m =0表示圆,则实数m 的取值范围是( )(A )m <21 (B )m <10 (C )m >21 (D )m ≤21 14、已知向量a 和b 的夹角为0120,3,3a a b =⋅=-,则b 等于( )A 、 1B 、 23C 、D 、 215、函数)321sin(+=x y 的最小正周期为( ) A 、 2π B 、 π C 、 π2 D 、 π4 二、填空题(每小题3分,共10小题 ,共30分)16、不等式021>-+x x 的解集为 。
第1 页(共6页)2023 2024学年浙江省职教高考研究联合体第一次联合考试数学试卷参考答案一㊁单项选择题(本大题共20小题,1 10小题每小题2分,11 20小题每小题3分,共50分)1.D ʌ解析ɔȵA ɣB ={-1,0,1,3},ʑ2∉(A ɣB ).2.A ʌ解析ɔȵx =2,y =5,ʑx +y =7,反之不一定成立.3.D ʌ解析ɔ特殊值代入法或利用不等式的性质分析.4.C ʌ解析ɔȵA O ң=(0,0)-(2,0)=(-2,0),B O ң=(0,0)-(0,-1)=(0,1),ʑA O ң+B O ң=(-2,1).5.D ʌ解析ɔ由题意得4-x 2>0,x +1>0,{解得-1<x <2.6.C ʌ解析ɔ120ʎ-180ʎ=-60ʎ.7.D ʌ解析ɔP 44=24(种).8.C ʌ解析ɔ根据指数函数㊁对数函数的图像和性质进行比较.9.A ʌ解析ɔ画图或化为0ʎ~360ʎ范围内的角.10.B ʌ解析ɔ斜率k =-63-12+3=-33.11.D ʌ解析ɔ由题意得m +1ɤ0,解得m ɤ-1.12.C ʌ解析ɔȵ函数t (x )=c x 是减函数,ʑ0<c <1.令x =1,则g (1)=b >f (1)=a .ʑb >a >c .13.C ʌ解析ɔP =18.14.A ʌ解析ɔȵt a n α㊃s i n α=s i n αc o s α㊃s i n α=s i n 2αc o s α>0,且s i n 2α>0,ʑc o s α>0.15.C ʌ解析ɔȵT 4=C 36x 3(-2x )3=(-2)3C 36x 3㊃x -32,ʑ第4项的系数为-23C 36=-160.16.D ʌ解析ɔȵ点P (4,0),且|MP |=3,ʑ动点M 的轨迹方程为(x -4)2+y 2=9.17.D ʌ解析ɔȵf (1)=f (3)=0,ʑ对称轴方程为x =1+32,即x =2.又ȵ二次函数f (x )的图像开口向下,ʑf (6)<f (-1)<f (2).18.B ʌ解析ɔA 项中,A 1B 与B 1C 成60ʎ角;B 项中,A D 1与B 1C 是异面垂直关系,即成90ʎ角,正确;C 项中,A 1B 与底面A B C D 成45ʎ角;D 项中,连接A C (图略),A 1C 与底面A B C D 所成的角为øA C A 1ʂ30ʎ.故选B .19.B ʌ解析ɔȵa =|A F 1|=2,c =|O F 1|=1,ʑb 2=3,ʑ椭圆C 的标准方程为x 24+y 23=1.第2 页(共6页)20.D ʌ解析ɔ由题意得2b =a +c ,c -a =2,c 2=a 2+b 2,ìîíïïïï解得a =3,b =4,c =5,ìîíïïïïʑ双曲线C 的标准方程为x 29-y 216=1.二㊁填空题(本大题共7小题,每小题4分,共28分)21.-22 ʌ解析ɔȵx >0,ʑx +2x ȡ2x ㊃2x =22,ʑ-(x +2x)ɤ-22.当且仅当x =2x (x >0),即x =2时,等号成立.22.1 ʌ解析ɔȵf (-1)=-(-1)2+1=0,ʑf [f (-1)]=f (0)=0+1=1.23.1103 ʌ解析ɔS 10=(1+2+4+ +29)+(-1+1+3+ +17)=1ˑ(1-210)1-2+10ˑ(-1+17)2=1023+80=1103.24.4π3 ʌ解析ɔȵV 圆柱=πr 2h =πˑ22ˑ4=16π,V 圆锥=13πO A 2㊃O B =13πˑ22ˑ11=443π,ʑV 圆柱-V 圆锥=16π-44π3=4π3.25.20 ʌ解析ɔȵ抛物线y 2=16x 的焦点为F (4,0),代入直线方程得2ˑ4+0+m =0,解得m =-8,即y =8-2x .将其代入y 2=16x 得x 2-12x +16=0,由韦达定理得x 1+x 2=12.ʑ|A B |=(x 1+p 2)+(x 2+p 2)=x 1+x 2+p =12+8=20.26.31250 ʌ解析ɔȵs i n α=45,c o s α=-35,ʑs i n 2α=2s i n αc o s α=2ˑ45ˑ(-35)=-2425,c o s 2α=c o s 2α-s i n 2α=(-35)2-(45)2=-725,ʑs i n (2α+5π4)=s i n 2αc o s 5π4+c o s 2αs i n 5π4=(-2425)ˑ(-22)+(-725)ˑ(-22)=24250+7250=31250.27.(-ɕ,-2)ɣ(4,+ɕ) ʌ解析ɔ由题意得(m +2)(4-m )<0,ʑ(m +2)(m -4)>0,解得m <-2或m >4.三㊁解答题(本大题共8小题,共72分)(以下评分标准仅供参考,请酌情给分)28.(本题7分)解:原式=223ˑ32+l o g 225-l o g 334+1+C 19-4ˑ3ˑ2ˑ1=2+5-4+1+9-24每项正确各得1分,共6分 =-11.结果正确得1分29.(本题8分)解:(1)ȵs i n (π+α)=32,且αɪ(-π2,0),ʑα=-π3.1分第3 页(共6页)ʑf (x )=s i n (2x -π3)+c o s (2x +π3)+1=s i n 2x c o s π3-c o s 2x s i n π3+c o s 2x c o s π3-s i n 2x s i n π3+1=12s i n 2x -32c o s 2x +12c o s 2x -32s i n 2x +1=1-32s i n 2x +1-32c o s 2x +1=2-62s i n (2x +π4)+1,1分 ʑ函数f (x )的最小正周期T =2π2=π.1分 (2)当s i n (2x +π4)=1时,函数f (x )取最小值,最小值为2-6+22,2分 此时2x +π4=2k π+π2(k ɪZ ),解得x =k π+π8(k ɪZ ),2分 即函数f (x )取最小值时x 的集合为x x =k π+π8(k ɪZ ){}.1分 30.(本题9分)解:(1)联立x +y -5=0,2x -y -1=0,{解得x =2,y =3,{ʑ圆心Q (2,3).1分 又ȵ坐标原点(0,0)到直线y =2的距离d =2,ʑ半径r =2.1分 ʑ圆C 的标准方程为(x -2)2+(y -3)2=4.2分 (2)ȵM Q ʅMP ,ʑ直线MP 为圆C 的切线.1分①当直线MP 的斜率存在时,设直线MP 的方程为y -6=k (x -4),即k x -y +6-4k =0.由r =d 得|2k -3+6-4k |k 2+1=2,解得k =512,ʑ此时,直线MP 的方程为y -6=512(x -4),即5x -12y +52=0.2分 ②当直线MP 的斜率不存在时,直线MP 的方程为x -4=0.1分 综上所述,直线MP 的方程为5x -12y +52=0或x -4=0.1分 31.(本题9分)解:(1)在әA B C 中,由正弦定理得a s i n A =b s i n B ,即2s i n A =2s i n B,ʑs i n B =2s i n A .1分 又ȵc o s A =32,ʑøA 是әA B C 的一个内角,ʑøA =30ʎ.ʑs i n A =12,ʑs i n B =22.1分 ȵb >a ,ʑøB =45ʎ或135ʎ.1分第4 页(共6页)当øB =45ʎ时,øC =105ʎ,由余弦定理得c 2=a 2+b 2-2a b c o s C =(2)2+22-2ˑ2ˑ2㊃c o s 105ʎ=6-42ˑ2-64=4+23,ʑc =3+1.1分 当øB =135ʎ时,øC =15ʎ,由余弦定理得c 2=a 2+b 2-2a b c o s C =(2)2+22-2ˑ2ˑ2ˑ2+64=4-23,ʑc =3-1.1分 注:只要答案正确,用其他方法解答也可得分.(2)当øC =105ʎ时,S әA B C =12a b s i n C =12ˑ2ˑ2ˑ6+24=3+12;2分 当øC =15ʎ时,S әA B C =12a b s i n C =12ˑ2ˑ2ˑ6-24=3-12.2分 32.(本题9分)解:(1)ȵA C =1,A B =2,B C =3,ʑA B 2=A C 2+B C 2,ʑәA C B 是直角三角形,且øA C B =90ʎ.1分 ȵP A ʅ平面A B C ,B C ⊂平面A B C ,ʑP A ʅB C ,又ȵB C ʅA C ,且P A 与A C 交于点A ,ʑB C ʅ平面P A C ,ʑP B 与平面P A C 所成的角为øB P C .1分ȵP A =A C =1,P B =P A 2+A B 2=5,ʑP C =2,ʑ在R t әP C B 中,c o s øB P C =P C P B =25=105,1分 ʑP B 与平面P A C 所成角的余弦值为105.1分 (2)由(1)得B C ʅP C ,又ȵA C ʅB C ,ʑøP C A 为二面角P B C A 的平面角.1分 ȵ在R t әP A C 中,A P =A C =1,P A ʅ平面A B C ,ʑøP C A =45ʎ,即二面角P B C A 的大小为45ʎ.2分(3)V C P A B =V P A B C =13S әA B C ㊃P A =13ˑ12ˑ1ˑ3ˑ1=36.2分 33.(本题10分)解:(1)ȵa 2和a 3是一元二次方程x 2-3x +2=0的两个实数根,且数列{a n }单调递增,ʑa 2=1,a 3=2,ʑ公差d =a 3-a 2=1,首项a 1=a 2-d =0,ʑa n =n -1.1分 又ȵb 1=l o g 2a 3=l o g 22=1,b 2=l o g 2a 5=l o g 24=2,1分 ʑ公比q =b 2b 1=2,ʑb n =b 1q n -1=2n -1.1分第5 页(共6页)(2)ȵc n =a n +1+1b n,ʑc n =n +21-n .1分 ʑT n =c 1+c 2+ +c n=(1+2+3+ +n )+(1+12+14+ +12n -1)=n (n +1)2+1-12n 1-121分=n 2+n 2+2-12n -1.1分 (3)ȵd n =(2+a n )b n =(n +1)㊃2n -1,1分 ʑM n =d 1+d 2+d 3+ +d n ,即M n =2ˑ20+3ˑ21+4ˑ22+ +(n +1)㊃2n -1①ʑ2M n =2ˑ21+3ˑ22+4ˑ23+ +(n +1)㊃2n ②由①-②得-M n =2ˑ20+21+22+ +2n -1-(n +1)㊃2n 1分 =2+2(1-2n -1)1-2-(n +1)㊃2n =-n ㊃2n ,1分 ʑM n =n ㊃2n .1分 34.(本题10分)解:(1)ȵәA B F 2的周长为|A F 1|+|A F 2|+|B F 1|+|B F 2|=4a =8,ʑa =2.1分 又ȵe =c a =12,ʑc =1,ʑb 2=a 2-c 2=22-12=3.1分 ʑ椭圆C 的标准方程为x 24+y 23=1.1分 (2)ȵ椭圆C :x 24+y 23=1的右焦点为F 2(1,0),ʑ抛物线y 2=2p x 的焦点为(1,0),1分 ʑp =2,ʑ抛物线的标准方程y 2=4x .1分 ȵ直线l 的倾斜角为135ʎ,ʑ斜率k =t a n 135ʎ=-1,ʑ直线l 的方程为y =-x +1,联立y =-x +1,①y 2=4x ,②{将①代入②并消去y 得x 2-6x +1=0,ʑΔ=(-6)2-4ˑ1ˑ1=32,ʑ弦长|MN |=1+1ˑ321=8,1分第6 页(共6页)又ȵ坐标原点O 到直线y =-x +1的距离d =12=22,1分 ʑS әO MN =12|MN |㊃d =12ˑ8ˑ22=22.1分 (3)联立y =-x +1,①x 24+y 23=1,②ìîíïïïï将①代入②并消去y 得7x 2-8x -8=0,ʑΔ=(-8)2-4ˑ7ˑ(-8)=288,ʑ|P Q |=1+1ˑ2887=247,1分 ʑ247-8=-327<0,ʑ|P Q |<|MN |.1分 35.(本题10分)解:(1)设D C =2x ,则A B =2x ,D C ︵=A B ︵=πx ,1分 ʑA D =B C =l -(4x +2πx )2=l 2-(π+2)x ,2分 ʑS =S 矩形A B C D +πx 2=2x ˑ[l 2-(π+2)x ]+πx 21分=l x -2(π+2)x 2+πx 2=-(π+4)x 2+l x .2分 (2)由(1)得S =-(π+4)x 2+l x .由二次函数的性质得:当x =l 2(π+4)米时,S 取得最大值,S m a x =l 24(π+4)平方米.4分。
福建省春季高考高职单招数学模拟试题(一)班级: 姓名: 座号:一、选择题(本大题有15小题,每小题3分,共45分。
在每小题给出的四个选项中,只有一项是符合题目要求的)1.设集合{}{}0,1,2,0,1M N ==,则M N =A .{}2B .{}0,1C .{}0,2D .{}0,1,2 2.某几何体的三视图如下图所示,则该几何体是A .圆柱B .圆锥C .三棱柱D .三棱锥 3.当输入a 的值为1,b 的值为3-时,右边程序运行的结果是A .1B .2-C .3-D .2 4.函数2sin(2)6y x π=-的最小正周期是A .4πB .2πC .πD .2π 5.下列函数中,在()0,+∞上是减函数的是A .1y x =B .21y x =+C .2xy = D .()()00x x y x x >⎧⎪=⎨-≤⎪⎩6.不等式组101x y x -+≥⎧⎨≤⎩表示的平面区域是7.函数x y sin 1+=的部分图像如图所示,则该函数在[]π2,0的单调递减区间是A .[]0,πB .3,22ππ⎡⎤⎢⎥⎣⎦C .30,2π⎡⎤⎢⎥⎣⎦D .,22ππ⎡⎤⎢⎥⎣⎦2ππ 32π 2π8.方程320x -=的根所在的区间是A .()2,0-B .()0,1C .()1,2D .()2,3DC B A 俯视图侧视图正视图9.已知向量a (2,1)=,b (3,)λ=,且a ⊥b ,则λ= A .6- B .6 C .32 D .32- 10.函数()2log 1y x =-的图像大致是11.不等式230x x ->的解集是A .{}03x x ≤≤B .{}0,3x x x ≤≥或C .{}03x x <<D .{}0,3x x x <>或 12.下列几何体的下底面面积相等,高也相等,则体积最大的是DC BA13.如图,边长为2的正方形内有一内切圆.在图形上随机撒一粒黄豆,则黄豆落到圆内的概率是A .4πB .4πC .44π-D .π14.已知()3cos 5πα-=-,则cos 2a =A .1625B .1625-C .725D .725-15.在某五场篮球比赛中,甲、乙两名运动员得分的茎叶图如下.下列说法正确的是A .在这五场比赛中,甲的平均得分比乙好,且甲比乙稳定B .在这五场比赛中,甲的平均得分比乙好,但乙比甲稳定C .在这五场比赛中,乙的平均得分比甲好,且乙比甲稳定D .在这五场比赛中,乙的平均得分比甲好,但甲比乙稳定二、填空题(本大题有5小题,每小题3分,共15分。
浙江省高职考数学全真综合模拟试卷(一)一、选择题1. 设{}1≤=x x P ,32=a ,则下列各式中正确的是 ( ) A.P a ⊆ B.P a ∉ C. {}P a ∈ D. {}P a ⊆2. 已知1>ab ,0<b ,则有 ( ) A.b a 1>B.b a 1<C.b a 1->D.ab 1> 3. 已知函数)(x f 在)5,2(-上是增函数,则下列各式正确的是 ( ) A. )3()2(f f <- B. )3()4(f f < C.)1()1(f f =- D.)1()0(->f f 4. 下列四个直线方程中有三个方程表示的是同一条直线,则表示不同直线的方程是 ( ) A.012=+-y x B.12+=x y C.112=+-yx D.)0(21-=-x y 5. 一次函数b kx y -=(0<k ,0>b )的图象一定不经过的象限为 ( ) A.第一象限 B.第二象限 C.第三象限 D.第四象限 6. 函数xx y -+=11的定义域是 ( )A.[)()+∞,11,0YB. ()()+∞,11,0YC.),0(+∞D.[)1,1-7. 若x 的不等式a x -≥-32的解集为R ,则实数a 的取值范围是( )A.),3(+∞B. ),3[+∞C.)3,(-∞D. ]3,(-∞ 8. 在数列{}n a 中,若95=a ,且1223+=++n n a a ,则=3a ( ) A.53 B.52 C.23 D.549. 若直线1l :062=++y x 与2l :013=-+ky x 互相不垂直,则k 的取值范围是 ( ) A.⎪⎭⎫⎝⎛+∞-⎪⎭⎫ ⎝⎛-∞-,2323,Y B. ⎪⎭⎫⎝⎛+∞⎪⎭⎫ ⎝⎛∞-,2323,YC. ⎪⎭⎫ ⎝⎛+∞-⎪⎭⎫ ⎝⎛-∞-,2323,I D. ⎪⎭⎫⎝⎛+∞⎪⎭⎫ ⎝⎛∞-,2323,I10. 已知平面//α平面β,且α⊂a ,β⊂b ,则直线a 与直线b ( ) A.平行 B.相交 C.异面 D.没有公共点11. 抛掷两颗骰子,出现点数和为6的概率是 ( ) A.61 B.365 C.121 D.18112. 已知)3,1(-=a ,若0a 是a 的单位向量,则下列各式正确的是 ( ) A.0a > B.10=a C. ⎪⎪⎭⎫⎝⎛-=23,210a D. 02a = 13. 若22sin -=α,α为第三象限角,则ααπcos )sin(--的值为 ( ) A.1- B.0 C.1 D.214. 抛物线22x y -=的焦点坐标是 ( ) A.⎪⎭⎫ ⎝⎛-0,21 B.)0,8(- C.⎪⎭⎫ ⎝⎛-81,0 D.)2,0(-15. 若方程1sin cos 22=-y x θθ表示焦点在y 轴上的双曲线,则θ是 ( ) A.第一象限角 B.第二象限角 C.第三象限角 D.第四象限角二、填空题16. 已知0>x ,则xx 43--有最大值 ; 17. 直线l 过点)0,1(-且与直线01=-y 的夹角是︒60,则直线l 的一般式方程为 ;18. 若x ,y 是实数,则913113+-+-=x x y ,则=--32)(y x ; 19. 将半径为4米的半圆围成圆锥的侧面,则圆锥的体积为 ; 20. 已知81cos sin -=θθ,⎪⎭⎫⎝⎛∈ππθ2,23,则=-θθcos sin ; 21. 若点),(y x M 满足0>xy ,0<+y x ,则以射线OM 为终边的对应角α为第 象限角;三、解答题22. 求不等式02342>---x x x 的解集;23. 求以直线012=+-y x 与02=++y x 的交点为圆心,且与直线042=+-y x 相切的圆;24. 在ABC ∆中,已知︒=∠45B ,22=AC ,32=AB ,求C ∠;25. 求多项式5432)1()1()1()1()1(x x x x x -+-+-+-+-的展开式中含3x 的项;26. 已知双曲线C 与椭圆364922=+y x 有共同的焦点,且离心率为25,求: (1) 双曲线C 的标准方程; (2) 双曲线的渐近线方程;27. 已知正方形ABCD 的边长为1,分别取BC ,CD 的中点E ,F ,连结AE ,EF ,AF 以AE ,EF ,AF 为折痕折叠,使点B 、C 、D 重合于上点P ,求: (1) 二面角A EF P --的平面角的正弦值; (2) 三棱锥AEF P -的体积;28. 已知x x x x f cos sin 34sin 4)(2+=:求:(1) )(x f 的最小正周期; (2) )(x f 的最小值及相应x 的值;29. 已知数列{}n a 满足1a ,11-=-+n n a a ,数列{}n b 满足11a b =,241a a b b n n =+,求: (1) 数列{}n a 的通项公式; (2) 数列{}n b 的前10项和;30. 如图所示,在一张矩形纸的边上找一点E ,过E 点减去两个边长分别是AE 、DE 的正方形得到图形M (图中阴影部分)已知,, (1) 设x DE =,图形M 的面积为y ,写出y 与x 之间的函数关系式; (2) 当x 为何值时,图形M 的面积最大? (3) 求出图形M 面积的最大值;。
高职高考(3+证书)数学模拟试题(一)(满分: 150分 考试时间: 120分钟)姓名:_____________ 日期:_____________ 分数:_____________一.选择题(共15题,每小题5分,共75分)1.已知集合{}|110,P x N x =∈≤≤集合{}2|60,Q x R x x =∈+-=则PQ 等于( )A .{}1,2,3B .{}2,3C .{}1,2D .{}2 2.设x 是实数,则 “0>x ”是“0||>x ”的( )A .充分而不必要条件B .必要而不充分条件C .充要条件D .既不充分也不必要条件3.若sin 0α<且tan 0α>是,则α是( ) A .第一象限角B . 第二象限角C . 第三象限角D . 第四象限角4.函数y = ) A .x x |{≤1}B .x x |{≥0}C .x x |{≥1或x ≤0}D .|{x 0≤x ≤1}5.已知点)33,1(),3,1(-B A ,则直线AB 的倾斜角是( ) A .3πB .6πC .32π D . 65π 6.双曲线221102x y -=的焦距为( )A .B .C .D .7.函数x x x f cos sin )(-=的最大值为( ) A .1B .2C .3D .28.在等差数列{n a }中,已知2054321=++++a a a a a ,那么3a 等于( ) A .4 B .5 C .6 D .79.已知过点),2(m A -和)4,(m B 的直线与直线012=-+y x 平行,则m 的值为( ) A .0 B .-8 C . 2 D . 10 10.已知a (1,2)=,b (),1x =,当a +2b 与2a -b 共线时,x 值为( )A .1B .2C .13 D .1211.如果0,0a b <>,那么,下列不等式中正确的是( )A .11a b< B C .22a b < D .||||a b > 12.若抛物线px y 22=的焦点与椭圆12622=+y x 的右焦点重合,则p 的值为( )A .2-B .2C .4-D .413.已知01a <<,log log a a x =,1log 52a y =,log log a a z = )A .x y z >>B .z y x >>C .y x z >>D .z x y >>14.已知()f x 在R 上是奇函数,且2(4)(),(0,2)()2,(7)f x f x x f x x f +=∈==当时,则( ) A .-2 B .2 C .-98 D .98 15.将函数21x y =+的图象按向量a 平移得到函数12x y +=的图象,则( ) A .(11)=--,a B .(11)=-,aC .(11)=,aD .(11)=-,a二.填空题(共5小题,每小题5分,共25分)16.不等式112x x ->+的解集是 . 17.已知函数a x y -=2的反函数是3+=bx y ,则ab的值为 . 18.已知直线0125=++a y x 与圆0222=+-y x x 相切,则a 的值为 .19.在锐角△ABC 中,a ,b ,c 分别是角A ,B ,C 所对的边,若A c a sin 23=,则角C 的大小为______________. 20.已知|a |=1,|b |=2且(a -b )⊥a ,则a 与b 夹角的大小为 .三.解答题(共4小题,共50分)解答应写出文字说明、演算步骤或推证过程。
高职对口高考数学模拟试卷(一)高三(职高)高考数学模拟试题(一)数学一、选择题:(本大题共15个小题,每小题4分,共60分。
在每小题所给的四个选项中,只有一个符合题目要求)1. 已知集合M ={a ,0},N ={1,2},且M ∩N ={1},则M ∪N =().A {a ,0,1,2}B {1,0,1,2}C {0,1,2}D 无法确定 2. 若a >b,则().A a 2>b 2B lg a >lgbC a 3>b 3 D3.函数y =). A [1,3) B [1,3] C [1,+∞) D (-∞, 3 ]4. “|a |=|b |”是“a =b ”的()条件.A 充分不必要B 必要不充分C 充要D 既不充分也不必要 5. 不等式kx 2-kx +1>0对任意的实数x 都成立,则k 的取值范围是().A 04 C 0≤k 4 6. 已知sin α=35,且α∈(π2, π) ,则sin(α+π3)=(). ABCD7. 已知f (x ) =⎧⎨log 2x ,x ∈(0,+∞)⎩x 2+9,x ∈(-∞,0) ,则f [f (=(). A 16 B 8 C 4 D 28. 直线l 1:x +my +4=0与l 2:(2m -15) x +3y +m 2=0垂直,则m 的值为()A 3B -3C 15D -159. 已知向量 a (x ,5) ,b (2,-2) ,且 a +b 与 a 共线,则(). A x =5 B x =-5 C x =54D x 不存在 10. 已知f (x ) =13x+1+m 是奇函数,则f(-1) 的值为(). A -12 B 54 C -14 D 1411. 已知空间四边形ABCD 中(如图1),AB=AD=BD=AC,BC=CD,∠BCD=90°,则二面角A -BD -C 的度数为()A 30°B 45°C 60°D 90°图1 12. 已知长方体ABCD -A 1B 1C 1D 1中,ABCD 是正方形,且AA 1=2AB,点E 是线段AA 1的中点,则DE 与CC 1所成的角为().A 30°B 45°C 60°D 90°13. 在△ABC 中,内角A 、B 满足sinAsinB=cosAcosB,则△ABC 是().A 等腰三角形B 钝角三角形C 非等边锐角三角形D 直角三角形 14. 方程x 2+ky 2=2表示焦点在y 轴上的椭圆,则实数k 的取值范围是().A (0,+∞)B (1,+∞)C (0,2)D (0,1) 15. 5个人站成一排,甲、乙两人之间无其他人的排法有()种.A 48B 24C 120D 144 二、填空题(本大题共有5个空,每空4分,共20分) 16.函数y =的值域为___________________(用区间表示). 117.计算:5⎛1⎫log 7π⎝32⎪⎭+9-sin6=___________. 18. 已知数列{a n }的通项公式为a n =3n +2,则前10项的和S10=___________. 19.x +1x =_________.20. 若抛物线x 2=4y 上一点P 到焦点的距离为5,且点P 在第一象限,则点P 的坐标为_____.三、解答题:(本大题共7个小题,共60分。
高职班高考模拟试题1 数学试题(A 卷)一、选择题:(每小题5分,共75分):1、数集{0}与空集∅的关系是( )A. {0}=∅B. {0}∈∅C. {0}∅⊆D. {0}∅Ø 2、a=b 是|a|=|b|的( )A. 充分条件,也是必要条件B. 充分条件,但非必要条件C. 必要条件,但非充分条件D. 非充分条件,也非必要条件3、函数24(0)4xy x x =≥+的值域是区间( ) A. [0,1] B. (0,]+∞ C. [0,2] D. [1,)+∞ 4、函数2()2 1 (1)f x x x x =-+≥的反函数1()f x -( )A. 1B. 1C. 1D. 5、如果lg()lg(2)lg 2lg lg ,x y x y x y -++=++则xy=( ) A. 1- B. 2 C. 1-或2 D. 122或6、已知4sin 5α=,且α是第二象限的角,则tan α=( )A. 43B. 34C. 43-D. 34-7、已知等差数列12,,,m a a a ……的和为64-,且128m a a -+=-,那么项数m =( ) A. 10 B. 12 C. 14 D. 168、已知向量(2,6)a =-,(3,)b y = ,且//a b ,则y =( )A. 1B. 4C. 6-D. 9-9、已知两点(1,2)A ,(1,3)B -,则向量AB的坐标为( )A. (2,1)-B. (2,1)-C. 5[0,]2D. 1(1,)2-10、已知某种细菌在培养过程中,每30分钟分裂一次(1个细菌分裂为2个细菌),则经过4小时候后,这种细菌由1个可繁殖成( )个A. 256B. 128C. 64D. 3211、已知sin cos a a m +=,则sin 2a =( )A. 21m +B. 21m -C. 21m -D. 21m -- 12、如果直线12l l 和的斜率恰好是方程2410x x -+=的两个根,那么12l l 与的夹角是( ) ππππ市县/区 姓名 考生号座位号13、如果直线90x by ++=经过直线4320x y ++=与直线56170x y --=的交点,那么b =( )A. 2B. 3C. 4D. 514、已知圆的标准方程为:22(1)(2)9x y ++-=,则此圆的参数方程为( )A. 19cos 29sin x y θθ=+⎧⎨=-+⎩B. 19cos 29sin x y θθ=-+⎧⎨=+⎩C. 13cos 23sin x y θθ=-+⎧⎨=+⎩D. 13cos 23sin x y θθ=+⎧⎨=-+⎩15、如果方程222x ky +=表示焦点在y 轴上的椭圆,那么实数k 的取值范围的区间是( )A. (0,1)B. (0,2)C. [0,]+∞D. (1,)+∞二、填空题:(每小题5分,共25分):16、7+7-的等比中项是17、若向量(4,3),(2,4)a b == ,则cos ,a b <>的值为 18、在[0,2]π上满足1sin 2x ≤的取值范围是 19、经过点(1,1)A -且与圆224630x y x y +-+-=同心的圆的方程为20、在ABC #中,已知110,15,cos 3a b C ===-,则ABC S =#三、解答题:(4小题,共50分)21、解不等式:2821()33x x --> (12’)22、已知:31sin ,(,),tan()522πααππβ=∈-=,求:tan(2)αβ-的值。
一、选择题(每题4分,共40分)1. 若函数f(x) = x^2 - 4x + 3的图像开口向上,则该函数的对称轴为:A. x = -1B. x = 1C. x = 2D. x = 32. 已知等差数列{an}中,a1 = 3,d = 2,则第10项an等于:A. 17B. 18C. 19D. 203. 若复数z = 2 + 3i的模为√13,则z的共轭复数为:A. 2 - 3iB. 3 + 2iC. -2 + 3iD. -3 + 2i4. 下列不等式中,正确的是:A. 2x + 3 > 5B. 3x - 2 < 4C. x^2 + 1 > 0D. x^2 - 1 < 05. 已知函数y = log2(x - 1),则该函数的定义域为:A. x > 1B. x ≥ 1C. x < 1D. x ≤ 16. 若等比数列{bn}中,b1 = 3,公比q = 2,则第4项bn等于:A. 12B. 24C. 48D. 967. 下列各式中,正确的是:A. (a + b)^2 = a^2 + 2ab + b^2B. (a - b)^2 = a^2 - 2ab + b^2C. (a + b)^2 = a^2 - 2ab + b^2D. (a - b)^2 = a^2 + 2ab - b^28. 已知函数y = sin(x + π/2),则该函数的周期为:A. πB. 2πC. 3πD. 4π9. 若等差数列{cn}中,c1 = 5,d = -2,则第n项cn等于:A. 5 - 2(n - 1)B. 5 + 2(n - 1)C. 5 - 2(n + 1)D. 5 + 2(n + 1)10. 下列函数中,单调递增的是:A. y = x^2B. y = 2xC. y = -xD. y = x^3二、填空题(每题5分,共50分)11. 已知函数f(x) = x^3 - 3x^2 + 4x - 6,则f(1)的值为______。