钢结构设计实例 含计算过程
- 格式:pdf
- 大小:310.10 KB
- 文档页数:13
某车间计算实例房屋概况:南北朝向,为一幢单层双跨排架结构建筑物,建筑面积约1460.00m2,建造于2008年。
共计8间,开间除两端为5.40m外其余均为6.00m,跨度为16.00+16.00m。
上部结构由砼柱、钢梁承重,屋盖采用C型钢檩条(175×70×25×2.5@1450mm),彩钢瓦屋面,砖砌围护墙。
3~4轴、8~9轴屋面各设6道水平支撑,水平支撑间设刚性杆;A、B、C轴柱顶钢梁间各设1道刚性水平通长系杆;檩条与钢梁间隔根设隅撑,檩条间设置直拉条/斜拉条;B~C轴设有一台5.0吨吊车。
排架立面示意图结构平面图结构验算:一、新建工程→钢结构→门式刚架→门式钢架二维设计(或新建工程→钢结构→框排架→pk交互输入与优化计算)2、网络生成→快速建模→门式刚架3、柱、梁布置1、截面定义→增加→选取截面类型→输入截面参数注:1、对于钢构件则需要区分轴压对Y截面分类(具体参考钢结构设计规范表5.1.2-1);4、计算长度(平面外、平面内)注:1、平面内计算长度系统默认;2、平面外计算长度(柱:取柱间支撑的高度。
梁:取水平支撑或隅撑的间距)。
五、铰接构件注:1、对于节点处由螺栓连接<6颗螺栓时设铰接点;2、对于钢/砼构件连接处设铰接点。
6、恒载输入→梁间恒载注:1、梁间恒载需将屋面恒荷载换算成梁间线荷载;2、计算公式:屋面恒载*(梁左侧开间的一半+梁右侧开间的一半)。
7、活载输入→梁间活载注:1、梁间恒载需将屋面恒荷载换算成梁间线荷载;2、计算公式同梁间恒载;3、屋面荷载取值:不上人屋面取0.5(荷载规范);若水平投影面积大于60m2则屋面活荷载可取不小于0.3(门规);以上荷载取值与屋面雪荷载取值相比取大值。
八、左、右风输入→自动布置注:1、砼排架柱、轻钢屋面结构可参照(门规);2、地面粗糙度、风压参考(荷载规范)。
九、吊车荷载注:1、在吊车数据库选取吊车类型、跨度、吨位相同或相近的吊车数据。
一、荷载计算永久荷载(设计值):预应力混凝土屋面板 1.45kN/m2×1.35=1.96kN/m2三毡四油(上铺绿豆砂)防水层0.40kN/m2×1.35=0.54kN/m2水泥砂浆找平层0.40kN/m2×1.35=0.54kN/m2保温层0.70kN/m2×1.35=0.95kN/m2一毡二油隔气层0.05kN/m2×1.35=0.07kN/m2水泥砂浆找平层0.30kN/m2×1.35=0.41kN/m2屋架和支撑自重(0.12+0.011×16)×1.35=0.40kN/m2管道荷载0.10kN/m2×1.35=0.135kN/m2合计 5.005kN/m2可变荷载:施工荷载和雪荷载不同时考虑,而是取两者的较大值。
屋面活荷载0.70kN/m2×1.4=0.98kN/m2积灰荷载0.70kN/m2×1.4=0.98kN/m2合计 1.96kN/m2屋面坡度不大,对荷载影响小,未予考虑。
风荷载对屋面为吸力,重屋盖可不考虑。
二、荷载组合本设计按全跨荷载的永久效应组合:5.005+0.7×0.98+0.9×0.98=6.573kN/m2本设计为16m跨度,取5等分,即每单跨3.2m,根据结构布置,存在两种形式的节点荷载,即6m×3.2m和6m×1.6m,分别计算其大小。
F d=6.573×6×3.2=126.20 kNF d=6.573×6×1.6=63.10 kN内力计算kN 利用ansys软件,计算出各节点的杆件内力,得出最大拉力杆件值为596.10;最大压力在杆件值为606.87。
kN 三、杆件截面设计根据腹杆最大内力值,由屋架节点板厚度参考可知:支座节点板厚度取14mm ;其余节点板与垫板厚度取12mm 。
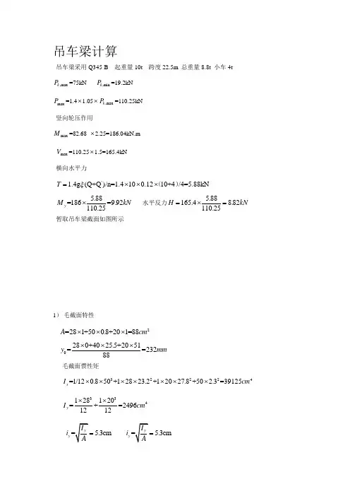
吊车梁计算吊车梁采用Q345-B 起重量10t 跨度22.5m 总重量8.8t 小车4t ,max k P =75kN ,min k P =19.2kNmax P =1.4⨯1.05⨯,max k P =110.25kN竖向轮压作用max M =82.68 ⨯2.25=186.04kN.mmax V =110.25⨯1.5=165.4kN横向水平力'1.4g (Q+Q )/n=1.4100.1210+4/4=5.88kN T ξ=⨯⨯⨯()5.88=186=9.92110.25y M kN ⨯ 水平反力 5.88165.48.82110.25H kN =⨯= 暂取吊车梁截面如图所示1) 毛截面特性2=281+500.8+201=88A cm ⨯⨯⨯0280+4025.5+2051==23288y mm ⨯⨯⨯ 毛截面惯性矩32224=1/120.850+12823.2+12027.8+50 2.3=39125x I cm ⨯⨯⨯⨯⨯⨯⨯334128120=+=24961212y I cm ⨯⨯5.3cm y i = 5.3cm y i =净截面特性2=(28-22)1+500.8+201=84n A cm ⨯⨯⨯⨯形心位置 1=y (40⨯25.5+20⨯51)/84=243mm净截面惯性矩32224=1/120.850+40 1.2+12424.3+2026.7=36820nx I cm ⨯⨯⨯⨯⨯⨯3==148524.8nx nx I W cm 上 3==135427.2nx nx I W cm 下 3x S =28124.3+23.80.823.8/2=907cm ⨯⨯⨯⨯对上翼缘 324128=-1272=163312ny I cm ⨯⨯⨯⨯ =ny W 3=116.7cm 14ny I 毛截面 33128/12==130.714y W cm ⨯ 2)强度验算①上翼缘最大正应力6622max 33ny n 186109.9210=+=+=210.26N/mm <310N/mm 148510116.710y x M M W W σ⨯⨯⨯⨯上 下翼缘正应力 max n =x M W σ下=6318610=137135410⨯⨯.422N/mm <310N/mm ②剪应力 33max 4165.41090710===50.936820810x w V S I t τ⨯⨯⨯⨯⨯22N/mm <180N/mm ③腹板局部压应力=+5+250+510+2130360mm z y R l a h h =⨯⨯=31.0110.2510=38.38360c w z P t l ψσ⨯⨯==⨯22N/mm <310N/mm3)整体稳定验算1116000100.412280520l t b h ξ⨯===<⨯ 取0.730.180.80b βξ=+= 6000113.253y mm λ== h=520mm1121633/24690.65b I I I α===+ 0.8(21)0.248b b ηα=-= 2345/y f N mm =222234320235=+]43208800520235 =0.8+0248]0.770.6113.2148510345b b b y X yAh y W f ϕβλ⨯⨯⨯=>⨯ ' 1.070.282/0.70b b ϕϕ=-=66'33186.0109.9210 5.6560.7165110130.7101000yXb y M M l mm W σϕ⨯⨯=+=+=<=⨯⨯⨯ 4)刚度验算 挠度 2622kx 54186.04 1.05 1.4106000=236.8310/mm 1010 2.06103912510X M l N EI υ÷÷⨯⨯==<⨯⨯⨯⨯ 满足要求 吊车为A1~A5 疲劳可不进行验算5)加劲肋0wh t 可按构造配量0.50h 02a h ≤≤ 求间距 a =1.20h =600mm界面尺寸外伸长度 0/30+40=57s b h mm ≥ 厚度s t ≥/15s b =3.8m 采用80⨯8mm支座反力 R=165.4KN计算截面面积A=18⨯1.2+15⨯0.8=33.62cm绕腹板中线的截面惯性矩 3341.218 1.50.8+583.81212I cm ⨯⨯==4.17cm i = 50=12.04.17λ= 查表ϕ=0.989 322165.41049.8310/0.9893360N N mm f N mm A ϕ⨯==<=⨯ 6) 焊缝计算上翼缘与腹板连接焊缝=1.8f h mm= 取f h =6mm下翼缘与腹板连接焊缝3max 1.2 1.2165.410 1.771.4 1.4500160f w w t R h mml f ⨯⨯===⨯⨯ 同样取f h =6mm 吊车梁计算结束。
计算过程第一种情况:永久荷载+0.85(风荷载,吊车荷载,活荷载)结点,1,0,0结点,2,18,0结点,3,36,0结点,5,18,9.57结点,6,36,9.57结点,4,0,9.57结点,7,0.333,9.57结点,8,35.667,9.57结点,9,0,14.37结点,11,36,14.37结点,10,18,14.37单元,1,4,1,1,1,1,1,1单元,4,9,1,1,1,1,1,0单元,4,7,1,1,1,1,1,1单元,9,10,1,1,0,1,1,0单元,10,11,1,1,0,1,1,0单元,11,6,1,1,0,1,1,1单元,6,3,1,1,1,1,1,1单元,6,8,1,1,1,1,1,1单元,2,5,1,1,1,1,1,1单元,5,10,1,1,1,1,1,0结点支承,1,6,0,0,0,0结点支承,2,6,0,0,0,0结点支承,3,6,0,0,0,0单元荷载,4,3,11.65,0,1,90单元荷载,5,3,11.65,0,1,90单元荷载,2,5,1.79,1.79,0,1,0单元荷载,6,5,1.79,1.79,0,1,180单元荷载,1,5,4.08,4.08,0,1,0单元荷载,7,5,4.08,4.08,0,1,180单元荷载,10,5,1.92,1.92,0,1,0单元荷载,9,5,5.14,5.14,0,1,0结点荷载,7,1,16.86,-90结点荷载,8,1,16.86,-90结点荷载,5,1,33.72,-90结点荷载,6,-2,3.09结点荷载,4,2,3.09单元荷载,4,3,7.14,0,1,90单元荷载,5,3,7.14,0,1,90结点荷载,9,1,4.709,0单元荷载,1,3,3.145,0,1,90单元荷载,2,3,3.145,0,1,90结点荷载,7,1,396.27,-90结点荷载,8,1,396.27,-90结点荷载,5,1,792.54,-90单元荷载,2,-1,15.34,0.38,-90单元荷载,6,1,15.34,0.62,-90单元荷载,10,1,30.67,0.38,90单元荷载,6,-3,1.1424,0,1,90单元荷载,7,-3,1.1424,0,1,90结点荷载,11,-1,1.7136,180单元材料性质,1,1,7405000,1137061.2,0,-1,-1单元材料性质,2,2,3247000,195816,0,-1,-1单元材料性质,3,3,-1,-1,0,-1,-1单元材料性质,4,4,-1,1202386.5,0,-1,-1单元材料性质,5,5,-1,1202386.5,0,-1,-1单元材料性质,6,6,3247000,195816,0,-1,-1单元材料性质,7,7,7405000,1137061.2,0,-1,-1单元材料性质,8,8,-1,-1,0,-1,-1单元材料性质,9,9,11195000,4979070.3,0,-1,-1单元材料性质,10,10,3493000,234800.44,0,-1,-1第二种情况:永久荷栽+0.85(活荷载,风载)结点,1,0,0结点,2,18,0结点,3,36,0结点,5,18,9.57结点,6,36,9.57结点,4,0,9.57结点,7,0.333,9.57结点,8,35.667,9.57结点,9,0,14.37结点,11,36,14.37结点,10,18,14.37单元,1,4,1,1,1,1,1,1单元,4,9,1,1,1,1,1,0单元,4,7,1,1,1,1,1,1单元,9,10,1,1,0,1,1,0单元,10,11,1,1,0,1,1,0单元,11,6,1,1,0,1,1,1单元,6,3,1,1,1,1,1,1单元,6,8,1,1,1,1,1,1单元,2,5,1,1,1,1,1,1单元,5,10,1,1,1,1,1,0结点支承,1,6,0,0,0,0结点支承,2,6,0,0,0,0结点支承,3,6,0,0,0,0单元荷载,4,3,11.65,0,1,90单元荷载,5,3,11.65,0,1,90单元荷载,2,5,1.79,1.79,0,1,0单元荷载,6,5,1.79,1.79,0,1,180单元荷载,1,5,4.08,4.08,0,1,0单元荷载,7,5,4.08,4.08,0,1,180单元荷载,10,5,1.92,1.92,0,1,0单元荷载,9,5,5.14,5.14,0,1,0结点荷载,7,1,16.86,-90结点荷载,8,1,16.86,-90结点荷载,5,1,33.72,-90结点荷载,6,-2,3.09结点荷载,4,2,3.09单元荷载,4,3,7.14,0,1,90单元荷载,5,3,7.14,0,1,90结点荷载,9,1,4.709,0单元荷载,1,3,3.145,0,1,90单元荷载,2,3,3.145,0,1,90单元荷载,6,-3,1.1424,0,1,90单元荷载,7,-3,1.1424,0,1,90结点荷载,11,-1,1.7136,180单元材料性质,1,1,7405000,1137061.2,0,-1,-1单元材料性质,2,2,3247000,195816,0,-1,-1单元材料性质,3,3,-1,-1,0,-1,-1单元材料性质,4,4,-1,1202386.5,0,-1,-1单元材料性质,5,5,-1,1202386.5,0,-1,-1单元材料性质,6,6,3247000,195816,0,-1,-1单元材料性质,7,7,7405000,1137061.2,0,-1,-1单元材料性质,8,8,-1,-1,0,-1,-1单元材料性质,9,9,11195000,4979070.3,0,-1,-1单元材料性质,10,10,3493000,234800.44,0,-1,-1第三种情况:永久荷栽+0.85(吊车,风载)结点,1,0,0结点,2,18,0结点,3,36,0结点,5,18,9.57结点,6,36,9.57结点,4,0,9.57结点,7,0.333,9.57结点,8,35.667,9.57结点,9,0,14.37结点,11,36,14.37结点,10,18,14.37单元,1,4,1,1,1,1,1,1单元,4,9,1,1,1,1,1,0单元,4,7,1,1,1,1,1,1单元,9,10,1,1,0,1,1,0单元,10,11,1,1,0,1,1,0单元,11,6,1,1,0,1,1,1单元,6,3,1,1,1,1,1,1单元,6,8,1,1,1,1,1,1单元,2,5,1,1,1,1,1,1单元,5,10,1,1,1,1,1,0结点支承,1,6,0,0,0,0结点支承,2,6,0,0,0,0结点支承,3,6,0,0,0,0单元荷载,4,3,11.65,0,1,90单元荷载,5,3,11.65,0,1,90单元荷载,2,5,1.79,1.79,0,1,0 单元荷载,6,5,1.79,1.79,0,1,180 单元荷载,1,5,4.08,4.08,0,1,0 单元荷载,7,5,4.08,4.08,0,1,180 单元荷载,10,5,1.92,1.92,0,1,0 单元荷载,9,5,5.14,5.14,0,1,0 结点荷载,7,1,16.86,-90结点荷载,8,1,16.86,-90结点荷载,5,1,33.72,-90结点荷载,6,-2,3.09结点荷载,4,2,3.09结点荷载,9,1,4.709,0单元荷载,1,3,3.145,0,1,90单元荷载,2,3,3.145,0,1,90结点荷载,7,1,396.27,-90结点荷载,8,1,396.27,-90结点荷载,5,1,792.54,-90单元荷载,2,-1,15.34,0.38,-90单元荷载,6,1,15.34,0.62,-90单元荷载,10,1,30.67,0.38,90单元荷载,6,-3,1.1424,0,1,90单元荷载,7,-3,1.1424,0,1,90结点荷载,11,-1,1.7136,180单元材料性质,1,1,7405000,1137061.2,0,-1,-1单元材料性质,2,2,3247000,195816,0,-1,-1单元材料性质,3,3,-1,-1,0,-1,-1单元材料性质,4,4,-1,1202386.5,0,-1,-1单元材料性质,5,5,-1,1202386.5,0,-1,-1单元材料性质,6,6,3247000,195816,0,-1,-1单元材料性质,7,7,7405000,1137061.2,0,-1,-1单元材料性质,8,8,-1,-1,0,-1,-1单元材料性质,9,9,11195000,4979070.3,0,-1,-1单元材料性质,10,10,3493000,234800.44,0,-1,-1第四种情况:永久荷栽+(活荷载,吊车)结点,1,0,0结点,2,18,0结点,3,36,0结点,5,18,9.57结点,6,36,9.57结点,4,0,9.57结点,7,0.333,9.57结点,8,35.667,9.57结点,9,0,14.37结点,11,36,14.37结点,10,18,14.37单元,1,4,1,1,1,1,1,1单元,4,9,1,1,1,1,1,0单元,4,7,1,1,1,1,1,1单元,9,10,1,1,0,1,1,0单元,10,11,1,1,0,1,1,0单元,11,6,1,1,0,1,1,1单元,6,3,1,1,1,1,1,1单元,6,8,1,1,1,1,1,1单元,2,5,1,1,1,1,1,1单元,5,10,1,1,1,1,1,0结点支承,1,6,0,0,0,0结点支承,2,6,0,0,0,0结点支承,3,6,0,0,0,0单元荷载,4,3,11.65,0,1,90单元荷载,5,3,11.65,0,1,90单元荷载,2,5,1.79,1.79,0,1,0单元荷载,6,5,1.79,1.79,0,1,180单元荷载,1,5,4.08,4.08,0,1,0单元荷载,7,5,4.08,4.08,0,1,180单元荷载,10,5,1.92,1.92,0,1,0单元荷载,9,5,5.14,5.14,0,1,0结点荷载,7,1,16.86,-90结点荷载,8,1,16.86,-90结点荷载,5,1,33.72,-90结点荷载,6,-2,3.09结点荷载,4,2,3.09单元荷载,4,3,8.4,0,1,90单元荷载,5,3,8.4,0,1,90结点荷载,7,1,466.2,-90结点荷载,8,1,466.2,-90结点荷载,5,1,932.4,-90单元荷载,2,-1,18.05,0.38,-90单元荷载,6,1,18.05,0.62,-90单元荷载,10,1,36.09,0.38,90单元材料性质,1,1,7405000,1137061.2,0,-1,-1单元材料性质,2,2,3247000,195816,0,-1,-1单元材料性质,3,3,-1,-1,0,-1,-1单元材料性质,4,4,-1,1202386.5,0,-1,-1单元材料性质,5,5,-1,1202386.5,0,-1,-1单元材料性质,6,6,3247000,195816,0,-1,-1单元材料性质,7,7,7405000,1137061.2,0,-1,-1单元材料性质,8,8,-1,-1,0,-1,-1单元材料性质,9,9,11195000,4979070.3,0,-1,-1单元材料性质,10,10,3493000,234800.44,0,-1,-1第五种情况:永久荷载+吊车荷载.结点,1,0,0结点,2,18,0结点,3,36,0结点,5,18,9.57结点,6,36,9.57结点,4,0,9.57结点,7,0.333,9.57结点,8,35.667,9.57结点,9,0,14.37结点,11,36,14.37结点,10,18,14.37单元,1,4,1,1,1,1,1,1单元,4,9,1,1,1,1,1,0单元,4,7,1,1,1,1,1,1单元,9,10,1,1,0,1,1,0单元,10,11,1,1,0,1,1,0单元,11,6,1,1,0,1,1,1单元,6,3,1,1,1,1,1,1单元,6,8,1,1,1,1,1,1单元,2,5,1,1,1,1,1,1单元,5,10,1,1,1,1,1,0结点支承,1,6,0,0,0,0结点支承,2,6,0,0,0,0结点支承,3,6,0,0,0,0单元荷载,4,3,11.65,0,1,90单元荷载,5,3,11.65,0,1,90单元荷载,2,5,1.79,1.79,0,1,0单元荷载,6,5,1.79,1.79,0,1,180单元荷载,1,5,4.08,4.08,0,1,0单元荷载,7,5,4.08,4.08,0,1,180单元荷载,10,5,1.92,1.92,0,1,0单元荷载,9,5,5.14,5.14,0,1,0结点荷载,7,1,16.86,-90结点荷载,8,1,16.86,-90结点荷载,5,1,33.72,-90结点荷载,6,-2,3.09结点荷载,4,2,3.09结点荷载,7,1,466.2,-90结点荷载,8,1,466.2,-90结点荷载,5,1,932.4,-90单元荷载,2,-1,18.05,0.38,-90单元荷载,6,1,18.05,0.62,-90单元荷载,10,1,36.09,0.38,90单元材料性质,1,1,7405000,1137061.2,0,-1,-1 单元材料性质,2,2,3247000,195816,0,-1,-1单元材料性质,3,3,-1,-1,0,-1,-1单元材料性质,4,4,-1,1202386.5,0,-1,-1单元材料性质,5,5,-1,1202386.5,0,-1,-1单元材料性质,6,6,3247000,195816,0,-1,-1单元材料性质,7,7,7405000,1137061.2,0,-1,-1单元材料性质,8,8,-1,-1,0,-1,-1单元材料性质,9,9,11195000,4979070.3,0,-1,-1单元材料性质,10,10,3493000,234800.44,0,-1,-1第六种情况:永久荷载+风载荷结点,1,0,0结点,2,18,0结点,3,36,0结点,5,18,9.57结点,6,36,9.57结点,4,0,9.57结点,7,0.333,9.57结点,8,35.667,9.57结点,9,0,14.37结点,11,36,14.37结点,10,18,14.37单元,1,4,1,1,1,1,1,1单元,4,9,1,1,1,1,1,0单元,4,7,1,1,1,1,1,1单元,9,10,1,1,0,1,1,0单元,10,11,1,1,0,1,1,0单元,11,6,1,1,0,1,1,1单元,6,3,1,1,1,1,1,1单元,6,8,1,1,1,1,1,1单元,2,5,1,1,1,1,1,1单元,5,10,1,1,1,1,1,0结点支承,1,6,0,0,0,0结点支承,2,6,0,0,0,0结点支承,3,6,0,0,0,0单元荷载,4,3,11.65,0,1,90单元荷载,5,3,11.65,0,1,90单元荷载,2,5,1.79,1.79,0,1,0单元荷载,6,5,1.79,1.79,0,1,180单元荷载,1,5,4.08,4.08,0,1,0单元荷载,7,5,4.08,4.08,0,1,180单元荷载,10,5,1.92,1.92,0,1,0单元荷载,9,5,5.14,5.14,0,1,0结点荷载,7,1,16.86,-90结点荷载,8,1,16.86,-90结点荷载,5,1,33.72,-90结点荷载,6,-2,3.09结点荷载,4,2,3.09结点荷载,9,1,5.54,0单元荷载,1,3,3.7,0,1,90单元荷载,2,3,3.7,0,1,90单元荷载,6,-3,1.344,0,1,90单元荷载,7,-3,1.344,0,1,90结点荷载,11,-1,2.016,180单元材料性质,1,1,7405000,1137061.2,0,-1,-1 单元材料性质,2,2,3247000,195816,0,-1,-1单元材料性质,3,3,-1,-1,0,-1,-1单元材料性质,4,4,-1,1202386.5,0,-1,-1单元材料性质,5,5,-1,1202386.5,0,-1,-1单元材料性质,6,6,3247000,195816,0,-1,-1单元材料性质,7,7,7405000,1137061.2,0,-1,-1 单元材料性质,8,8,-1,-1,0,-1,-1单元材料性质,9,9,11195000,4979070.3,0,-1,-1 单元材料性质,10,10,3493000,234800.44,0,-1,-1。
门式刚架厂房设计计算书一、设计资料该厂房采用单跨双坡门式刚架,厂房跨度21m ,长度90m ,柱距9m ,檐高7.5m ,屋面坡度1/10。
刚架为等截面的梁、柱,柱脚为铰接。
材料采用Q235钢材,焊条采用E43型。
22750.6450/160/mm EPS mm N mm g mm ≥2y 屋面和墙面采用厚夹芯板,底面和外面二层采用厚镀锌彩板,锌板厚度为275/gm ;檩条采用高强镀锌冷弯薄壁卷边Z 形钢檩条,屈服强度f ,镀锌厚度为。
(不考虑墙面自重) 自然条件:基本风压:20.5/O W KN m =,基本雪压20.3/KN m 地面粗糙度B 类二、结构平面柱网及支撑布置该厂房长度90m ,跨度21m ,柱距9m ,共有11榀刚架,由于纵向温度区段不大于300m 、横向温度区段不大于150m ,因此不用设置伸缩缝。
檩条间距为1.5m 。
厂房长度>60m ,因此在厂房第二开间和中部设置屋盖横向水平支撑;并在屋盖相应部位设置檩条、斜拉条、拉条和撑杆;同时应该在与屋盖横向水平支撑相对应的柱间设置柱间支撑,由于柱高<柱距,因此柱间支撑不用分层布置。
(布置图详见施工图) 三、荷载的计算 1、计算模型选取取一榀刚架进行分析,柱脚采用铰接,刚架梁和柱采用等截面设计。
厂房檐高7.5m ,考虑到檩条和梁截面自身高度,近似取柱高为7.2m ;屋面坡度为1:10。
因此得到刚架计算模型:2.荷载取值屋面自重:屋面板:0.182/KN m 檩条支撑:0.152/KN m 横梁自重:0.152/KN m 总计:0.482/KN m 屋面雪荷载:0.32/KN m屋面活荷载:0.52/KN m (与雪荷载不同时考虑) 柱自重:0.352/KN m风载:基本风压200.5/W kN m = 3.各部分作用荷载: (1)屋面荷载:标准值: 10.489 4.30/cos KN M θ⨯⨯= 柱身恒载:0.359 3.15/KN M ⨯=(2)屋面活载屋面雪荷载小于屋面活荷载,取活荷载10.509 4.50/cos KN M θ⨯⨯=(3)风荷载010 1.0k z s z s h m ωμμωμμ=≤ 以风左吹为例计算,风右吹同理计算:根据公式计算:根据查表,取,根据门式刚架的设计规范,取下图:(地面粗糙度B 类)风载体形系数示意图2122231.00.250.50.125/0.1259 1.125/1.0 1.00.50.50/0.509 4.5/1.00.550.50.275/0.2759 2.475/1.00.650kN m q kN m kN m q kN m kN m q kN m ωωωω∴=⨯⨯==⨯==-⨯⨯=-=-⨯=-=-⨯⨯=-=-⨯=-=-⨯⨯k k k k 迎风面 侧面, 屋顶, 背风面 侧面, 屋顶24.50.325/0.3259 2.925/kN m q kN m =-=-⨯=-,荷载如下图:kn/mkn/m4.内力计算:(1)截面形式及尺寸初选: 梁柱都采用焊接的H 型钢~L 68⨯⨯⨯梁的截面高度h 一般取(1/301/45),故取梁截面高度为600mm ;暂取H600300,截面尺寸见图所示柱的截面采用与梁相同8668612522.0610947210 1.9510, 2.06105201010 1.0710x EA kn EI kn m --=⨯⨯⨯=⨯=⨯⨯⨯⨯=⨯∙(2)截面内力:根据各个计算简图,用结构力学求解器计算,得结构在各种荷载作用下的内轴力(拉正,压为向作用,风荷载只引起剪力不同,而剪力不起控制作用)按承载能力极限状态进行内力分析,需要进行以下可能的组合:① 1.2×恒载效应+1.4×活载效应② 1.2×恒载效应+1.4×风载效应③ 1.2×恒载效应+1.4×0.85×{活载效应+风载效应}取四个控制截面:如下图:各情况作用下的截面内力内力组合值控制内力组合项目有:①+M max与相应的N,V(以最大正弯矩控制)②-M max与相应的N,V(以最大负弯矩控制)③N max与相应的M,V(以最大轴力控制)④N min与相应的M,V(以最小轴力控制)所以以上内力组合值,各截面的控制内力为:1-1截面的控制内力为0120.5848.45==-=-,,M N KN Q KN2-2截面的控制内力为335.33kN m120.58kN48.45,,M N Q KN=-⋅=-=-3-3截面的控制内力为335.33kN m 64.30kN 115.40kN M N Q =-⋅=-=,, 4-4截面的控制内力为246.78kN m 57.82kN 5.79kN M N Q =⋅=-=,, A :刚架柱验算:取2-2截面内力 平面内长度计算系数:00010.520.45 1.4620.45 1.46 2.667.27.2 2.6619.1x R R l K I H H Mμμ=+==∴=+⨯==⨯=c I ,其中K=,,,7200/23600mm ==0Y 平面外计算长度:考虑压型钢板墙面与墙梁紧密连接,起到应力蒙皮作用,与柱连接的墙梁可作为柱平面外的支承点,但为了安全起见计算长度按两个墙梁间距考虑,即H19100360081.658.423461.6x y λλ∴====, ⑴ 局部稳定验算构件局部稳定验算是通过限制板件的宽厚比来实现的。
钢桥课程设计设计任务书简支上承式焊接双主梁钢桥设计(题目)学生姓名学号班级成绩指导教师土木工程系目录1 设计题目与基本资料 (1)1.1 设计题目 (1)1.1.1设计资料 (1)1.2 设计内容及步骤 (2)1.2.1 设计内容 (2)1.2.2 设计步骤 (2)2 内纵梁设计 (3)2.1 永久作用效应计算 (3)2.2 可变作用效应计算 (4)2.3 内纵梁和横梁的连接 (5)3 外纵梁设计 (6)3.1 永久作用效应计算 (6)3.2 可变作用效应计算 (6)3.3 外纵梁与横梁连接 (8)4 中横梁设计 (8)4.1 主跨部分的弯矩和剪力 (9)4.1.1 永久作用效应 (9)4.1.2 可变作用效应 (9)4.2 主跨截面 (11)4.2.1 最大弯曲应力验算 (12)4.2.2 最大剪应力验算 (12)4.2.3 折算应力验算 (13)4.2.4 横梁整体稳定验算 (13)4.2.5 刚度验算 (13)4.2.6 疲劳验算 (14)4.2.7 加劲肋设置 (14)4.2.8 横梁与主梁连接 (14)4.2.9 翼板与腹板的焊接 (14)4.3 横梁悬臂部分设计 (15)4.3.1 最大弯曲应力验算 (16)4.3.2 最大剪应力验算 (16)4.3.3 整体稳定验算 (16)4.3.4 疲劳验算 (17)4.3.5 悬臂部分加劲肋设计 (17)4.3.6 横梁与主梁的连接 (17)4.3.7 翼缘与腹板焊接 (17)4.4 横梁在主梁出的拼接 (17)5主梁的设计 (18)5.1 主梁上的永久作用效应 (18)5.2主梁上的可变作用效应 (19)5.2.1 计算横向分布系数 (19)5.2.2 计算可变作用效应 (21)5.3 截面尺寸拟定 (23)5.4 主梁验算 (24)5.4.1 跨中最大弯曲应力验算 (24)5.4.2 支点最大剪应力 (24)5.4.3 折算应力验算 (25)5.5 横梁整体稳定性验算 (26)5.6 刚度验算 (27)5.7 疲劳验算 (27)5.8 加劲肋设置 (28)5.9 翼缘与腹板焊接 (30)5.10 局部稳定验算 (31)6 水平纵联的设计 (31)6.1 设计基准风压计算 (31)6.2 水平纵联杆件内力及验算 (32)6.2.1 水平纵联斜杆 (32)6.2.2 水平纵联直杆验算 (33)6.3 水平纵联连接 (33)6.3.1 水平纵联斜杆 (33)6.3.2 水平纵联直杆 (34)1 设计题目与基本资料1.1 设计题目简支上承式焊接双主梁钢桥设计1.1.1设计资料:1)桥梁跨径及桥宽:桥梁跨径:34m 梁长:33.96m 计算跨径:33.6m桥宽:净9m+2×1.0m2)设计荷载公路—I级,人群荷载3.0kN/m2~3.5kN/m2,,每侧的栏杆及人行道构件的自重作用力为5kN/m;计算风荷载时,按照桥梁建于河北省刑台市进行考虑3)材料➢设计用钢板:型号16Mnq,即Q345qD,其技术标准应符合《桥梁用结构钢》GB/T 714-2008Q345qD的设计参数为:弹性模量Es=2.1×105MPa,热膨胀系数为1.2×105/°,拉、抗压及抗弯强度f=295MPa,剪应力f v=170MPa,剪切模量G=0.81×105MPa;型号为A3,即Q235qD,其技术标准应符合《桥梁用结构钢》GB/T 714-2008本设计中用A3钢(2)其他普通钢筋:采用热轧R235、HRB335钢筋,凡钢筋直径≥12mm,均采用HRB335钢筋;凡钢筋直径<12mm,均采用R235钢筋(3)桥面板混凝土:C50微膨胀钢纤维混凝土,容重取25kN/m34)设计依据参考书:《现代钢桥》(上册),吴冲主编,人民交通出版社,2006年9月第一版,P117~P163 《钢桥》(第二版),徐君兰,孙淑红主编,人民交通出版社,2011年4月第二版,P9~P21《钢桥构造与设计》,苏彦江主编,西南交通大学出版社,2006年12月第一版,P12~P28设计规范:《公路桥涵设计通用规范》JTJ 021-89《公路桥涵钢结构及木结构设计规范》JTJ 025-86《公路桥涵设计通用规范》JTG D60-2004《公路工程技术标准》JTG B01-2003《桥梁用结构钢》GB/T 714-2008《钢结构设计规范》GB50017-2003其他相关规范注:1.可变荷载中的汽车荷载(包括车道荷载和车辆荷载)取用《公路桥涵设计通用规范》JTG D60-2004第24~25页的数值及尺寸。
钢结构算量步骤钢结构算量步骤一. 引言钢结构算量是钢结构设计的重要环节之一,通过对结构的力学性能和材料性能进行计算,确定结构的尺寸和材料的使用量。
本文将详细介绍钢结构算量的步骤及相关细节。
二. 钢结构算量步骤1. 结构荷载计算1.1 确定结构的使用场所,根据相关标准和规范确定荷载类型及其作用位置;1.2 根据荷载标准计算每种荷载的大小,并考虑同时作用的荷载组合;1.3 将荷载施加到结构的主要节点和构件上。
2. 结构分析2.1 根据结构的几何形状和受力特点进行结构的静力分析;2.2 对结构进行动力分析,确定结构的自振频率,并考虑结构的稳定性。
3. 材料力学性能计算3.1 根据结构的荷载和受力情况,计算结构中各构件的受力状态;3.2 根据钢材的力学性能参数,计算构件的应力、应变、变形等参数。
4. 构件尺寸计算4.1 根据结构的受力情况和应力要求,计算构件的截面尺寸;4.2 考虑构件的连接方式和装配要求,确定构件的长度和形状。
5. 校核与优化5.1 对结构进行校核,确保各构件的尺寸和材料满足设计要求;5.2 根据结构的重要性和经济性,对结构进行优化设计,提高结构的性能和使用寿命。
6. 结果总结与报告6.1 汇总各构件的尺寸、材料和数量,形成结构的算量表;6.2 编制算量报告,记录结构的算量过程和结果,供设计师和施工方参考。
三. 附件列表1. 结构荷载计算表2. 结构分析计算表3. 材料力学性能参数表4. 构件尺寸计算表5. 结构校核与优化记录表6. 算量报告样本四. 法律名词及注释1. 结构荷载计算:根据相关标准和规范,对结构所受荷载进行计算和分析的过程。
2. 结构分析:对结构进行静力或者动力分析,确定结构的受力情况和稳定性。
3. 材料力学性能计算:根据材料的弹性模量、屈服强度等参数,计算构件的应力、应变等力学性能。
4. 构件尺寸计算:根据结构的受力要求和材料特性,计算构件的合适尺寸和形状。
5. 结构校核与优化:对结构进行合理的校核,确保结构满足设计要求,并进行优化设计,提高结构的性能和经济性。
一、设计资料天津某车间,屋架跨度为18m,房屋总厂为60m,屋架间距6m,屋面坡度i=1/10,屋面采用1.5m×6m的钢筋混凝土大型屋面板(1.4KN/m2),80mm厚泡沫混凝土(0.3KN/m2),20mm厚水泥砂浆(0.3KN/m2),二毡三油铺绿石砂(0.3KN /m2),屋面活荷载0.7KN/m2,雪荷载0.5KN/m2,积灰荷载0.5KN/m2,屋架端高1990mm,两端较之于钢筋混凝土柱上,柱混凝土强度C20。
二、屋架形式和几何尺寸屋架计算跨度l0=l-300=1800-300=17700mm屋架端部高度取h0=1990mm屋架跨中高度h=h0+i×l0/2=1990+0.1×17700/2=2875mm屋架高跨比l0/h=2.875/17.7=1/6.16为使屋架上弦节点受荷,腹杆采用人字式,上弦节点用平间距取1.5m。
三、屋盖支撑布置根据车间长度、跨度及荷载情况,设置三道上下弦横向水平支撑。
由于房间端部为山墙,第一柱间间距小于6m,因此该厂房两端的横向水平支撑设在第二间柱。
设置两道下弦纵向水平支撑。
在第一柱间的上弦设置刚性系杆保证安装时上弦的稳定,下弦设置刚性系杆以传递山墙的风荷载。
在设置水平支撑的柱间,在屋架跨中及两端,两屋架间共设置三道竖向支撑。
屋脊节点及屋架支座处延厂房通长设置刚性系杆,屋架下弦设置一道柔性系杆。
屋架支撑的布置如下图:四、荷载计算屋面活荷载与雪荷载不会同时出现,从资料可知屋面活荷载大雨雪荷载取屋面活荷载计算。
屋架沿水平投影面积分布的自重(包括支撑)按经验公式(P10=0.12+0.011×跨度)计算,跨度单位为米。
荷载:永久荷载:防水层(二毡三油铺绿石砂)0.3×1.2=0.36KN/m2找平层(20厚水泥砂浆)0.3×1.2=0.36KN/m2保温层(80厚泡沫混凝土)0.5×1.2=0.6KN/m2预应力钢筋混凝土大型屋面板(包括灌缝) 1.4×1.2=1.68KN/m2屋架及支撑自重(0.12+0.011×18)×1.2=0.38KN/m2恒载总和∑=3.38KN/m2可变荷载:屋面荷载0.7×1.4=0.98KN/m2积灰荷载0.5×1.4=0.7KN/m2活荷载总和∑=1.68KN/m2计算荷载时应考虑以下三种荷载组合:1、全跨永久荷载+全跨可变荷载P 恒=3.38×1.5×6=30.42KN P 活=1.68×1.5×6=15.12KN2、全跨永久荷载+半跨可变荷载P 恒=3.38×1.5×6=30.42KN P 活=1.68×1.5×6=15.12KN3、 全跨屋架包括自重+半跨屋面板自重+半跨屋面活载P 恒'=0.38×1.5×6=3.42KN P 活'=(1.68+0.98)×1.5×6=23.94KN1、2为使用阶段和在情况,3为施工阶段荷载情况,经过计算,第二种荷载组合所产生的杆件内力,对本题的杆件不起控制作用,所以不列入以下计算中。
摘要本工程为三层钢框架超市设计,长64.00m,宽30.00m,层高为4.5m,建筑高度为14.4m,建筑面积5760.00m2,综合运用所学专业知识,进行了钢结构建筑设计和结构设计。
主体采用钢框架结构,钢筋混凝土现浇楼板。
首先确定结构方案并进行荷载统计、梁柱截面选择及刚度验算,计算恒载、活载作用下的框架内力,然后计算风载、地震作用下的框架内力,经内力组合后得出构件的最不利组合内力,最后进行梁、柱截面验算、节点设计、楼板、楼板配筋计算,绘制施工图。
计算竖向荷载效应时采用分层法,计算水平荷载效应时采用D值法;在荷载组合时。
考虑以可变荷载效应控制的组合和以永久荷载效应控制的组合方式;在活荷载计算过程中,采用满布荷载法;框架节点设计采用栓焊混合的连接方式。
关键词:建筑设计;钢框架;内力分析;节点设计ABSTRACTBased on the professional knowledge for learned,the building was designed. The works include two parts: architecture design and structure design.This project is commercial building of 3-floors,steel structure,which is located in Xi An. It is 64.00m long, 30.00m wide. The height of story are 4.5m and5m. The height of the whole building is 14.4m.The total area is 5760.00m2.Architecture design tries hard for simple and clear,which has the ages feels and assort with surroundings environment.Steel frame and reinforce concrete floor were used in the structure. Firstly,the size of the beam and column was determined by the type of the structure and the calculation of the loads. Secondly,the inner forces of the frame under the wind load and earthquake load,the dead load,and the living loads were analyzed separately. By the combination of the inner forces,the most dangerous forces can be got,and then the steel beam,steel column,the frame connections and reinforce concrete floor can be designed. After these,the drawing can be made. In the progress of inter force analysis,the vertical forces are calculated by the layer-wise method,and the horizontal forces are calculated by the D method. In the process of the live load calculation,full load is used. Mixed connection with welding and bolts was used in steel frame,and independent foundation under column was adopted.Key Words:architecture design; steel frame; internal force analysis; connection design目录前言 (1)第1章建筑设计 (2)1.1设计任务和设计要求 (2)1.1.1设计任务 (2)1.1.2设计要求 (2)1.2建筑物所处的自然条件 (2)1.2.1气象条件 (2)1.2.2地形、地质及地震烈度 (2)1.2.3水文 (3)1.3建筑物功能与特点 (3)1.3.1平面设计 (3)1.3.2立面设计 (3)1.3.3防火 (3)第2章结构设计 (4)2.1结构方案选型及布置 (4)2.1.1柱网布置 (4)2.1.2结构形式选择 (4)2.1.3楼板形式选择 (4)2.2荷载计算 (4)2.2.1恒荷载标准值 (5)2.2.2活荷载标准值 (5)2.2.3风压标准值 (5)2.2.4雪荷载标准值 (6)2.2.5地震作用 (6)2.3竖向荷载计算 (6)2.3.1屋面恒荷载 (6)2.3.2楼面恒荷载 (6)2.3.3屋面活荷载 (7)2.3.4楼面活荷载 (7)2.4风荷载计算 (8)2.5内力分析 (9)2.5.1截面初选 (9)2.6内力计算 (12)2.6.1竖向荷载标准值作用下 (12)2.6.2风荷载作用下的内力计算 (18)2.7水平地震作用下结构各层的总重力荷载代表值计算 (20)2.7.1墙自重 (20)2.7.2梁,柱重力荷载标准值汇总 (21)2.7.3集中于各楼层标高处的重力荷载代表值Gi (22)2.7.4水平地震作用下框架内力合侧移的计算 (22)2.7.5水平地震作用下框架内力计算 (25)2.8内力组合 (28)2.9结构构件验算 (33)2.9.1框架柱的验算 (33)2.9.2框架梁的验算 (37)2.10框架连接设计 (39)2.10.1主梁与中柱Z-1的连接: (39)2.10.2次梁与主梁的铰接连接 (40)2.11柱脚设计 (42)2.11.1中柱柱脚的设计 (42)2.11.2边柱柱脚的设计 (44)2.12楼板计算 (47)总结 (49)参考文献 (50)致谢词 (51)前言本次毕业设计是大学教育培养目标实现的重要步骤,是毕业前的综合学习阶段,是深化、拓宽、综合教学成果的重要过程,是对大学期间所学专业知识的全面总结。
一由设计任务书可知:厂房总长为120m,柱距6m,跨度为24m,屋架端部高度为2m,车间内设有两台中级工作制吊车,该地区冬季最低温度为-22℃。
暂不考虑地震设防。
屋面采用1.5m×6.0m预应力大型屋面板,屋面坡度为i=1:10。
卷材防水层面(上铺120mm泡沫混凝土保温层和三毡四油防水层)。
屋面活荷载标准值为0.7KN/㎡,雪荷载标准值为0.4KN/㎡,积灰荷载标准值为0.5KN/㎡。
屋架采用梯形钢屋架,钢屋架简支于钢筋混凝土柱上,混凝土强度等级C20.二选材:根据该地区温度及荷载性质,钢材采用Q235-C。
其设计强度为215KN/㎡,焊条采用E43型,手工焊接,构件采用钢板及热轧钢筋,构件与支撑的连接用M20普通螺栓。
屋架的计算跨度L。
=24000-2×150=23700,端部高度:h=2000mm(轴线处),h=2150(计算跨度处)。
三结构形式与布置:屋架形式及几何尺寸见图1所示:图1屋架支撑布置见图2所示:图2四荷载与内力计算:1.荷载计算:活荷载于雪荷载不会同时出现,故取两者较大的活荷载计算。
永久荷载标准值:防水层(三毡四油上铺小石子)0.35KN/㎡找平层(20mm厚水泥砂浆)0.02×20=0.40KN/㎡保温层(40mm厚泡沫混凝土0.25KN/㎡预应力混凝土大型屋面板1.4KN/㎡钢屋架和支撑自重0.12+0.011×24=0.384KN/㎡总计:2.784KN/㎡可变荷载标准值:雪荷载<屋面活荷载(取两者较大值)0.7KN/㎡积灰荷载0.5KN/㎡风载为吸力,起卸载作用,一般不予考虑。
总计:1.2 KN/㎡永久荷载设计值 1.2×2.784KN/㎡=3.3408KN/㎡可变荷载设计值1.4×1.2KN/㎡=1.68KN/㎡2.荷载组合:设计屋架时应考虑以下三种组合:组合一全跨永久荷载+全跨可变荷载屋架上弦荷载P=(3.3408KN/㎡+1.68KN/㎡)×1.5×6=45.1872KN 组合二全跨永久荷载+半跨可变荷载屋架上弦荷载P1=3.3408KN/㎡×1.5×6=30.07KNP2=1.68KN/㎡×1.5×6=15.12KN组合三全跨屋架及支撑自重+半跨大型屋面板自重+半跨屋面活荷载屋架上弦荷载P3=0.384KN/㎡×1.2×1.5×6=4.15KNP4=(1.4×1.2+0.7×1.4)×1.5×6=23.94KN3,内力计算:首先求出杆件内力系数,即单位荷载作用下的杆件内力,荷载布置如图3所示。
钢结构课程设计计算书设计资料:某车间跨度l=24m,长度84米,柱距6米。
屋面坡度i=1/12。
房屋内无吊车。
不需抗震设防。
采用1.5m×6m预应力混凝土大型屋面板,100mm厚泡沫混凝土保护层和卷材屋面。
当地雪荷载0.5kN/m2,屋面积灰荷载0.75kN/m2。
屋架两端与混凝土铰接,混凝土强度等级C25。
钢材选用Q235-B。
焊条选用E43型,手工焊。
屋架尺寸与布置:屋面材料为大型屋面板,故采用平坡梯形屋架。
屋架计算跨度l0=l—200=23700mm。
设端部高度H0=2000mm,中部高度H=3000,屋架高跨比H/L=3000/23700=1/7.9。
屋架跨中拱起50mm,屋架几何尺寸如图所示:1.荷载计算与组合(1)荷载标准值(屋面坡度较小,故对所有荷载均按水平投影面计算)①永久荷载高分子防水卷材上铺小石子0.35kN/㎡20mm厚水泥沙浆找平层0.40kN/㎡冷底子油、热沥青各一道0.05kN/㎡100mm厚泡沫混凝土保温层0.60kN/㎡预应力混凝土大型屋面板和灌封 1.40kN/㎡屋架和支撑自重0.12+0.011l=0.12+0.011×24=0.38kN/㎡吊顶+ 0.40kN/㎡3.58kN/㎡②可变荷载屋面活荷载0.50kN/㎡屋面积灰荷载+ 0.75kN/㎡1.25kN/㎡(2)荷载组合设计屋架时应考虑以下三种荷载组合:①全跨永久荷载+全跨可变荷载屋架上弦节点荷载(端点荷载取半):P=(3.58×1.2+1.25×1.4)×1.5×6=54.41kN②全跨永久荷载+半跨可变荷载=3.58×1.2×1.5×6=38.66kN有可变荷载作用屋架上弦节点处的荷载:P1=1.25×1.2×1.5×6=15.75kN无可变荷载作用屋架上弦节点处的荷载:P2③全跨屋架与支撑+半跨屋面板+半跨屋面活荷载全跨屋架和支撑自重产生的节点荷载:取屋面可能出现的活荷载P=(1.4×1.2+0.5×1.4)×1. 5×6=21.42kN4以上①,②为使用阶段荷载组合,③为施工阶段荷载组合。
钢结构设计实例含计算过程钢结构是一种广泛应用于建筑和桥梁等工程领域的结构材料,它具有高强度、轻质、可塑性好等优点。
本文将以一个钢结构设计实例为例,详细介绍钢结构设计的计算过程。
假设我们要设计一座有限高度的钢制屋顶结构,屋顶形状为一个深度为5米,宽度为10米的矩形。
屋顶的高度为2米,屋顶材料选择高强度钢。
第一步:确定荷载在进行钢结构设计之前,首先要确定各种荷载。
对于屋顶结构来说,有以下几种荷载需要考虑:1.死荷载:包括屋顶自身重量和可能的附加物重量。
假设屋顶材料厚度为0.1米,密度为7850千克/立方米,则单个屋顶板的重量为:屋顶板重量=宽度*深度*厚度*密度=10*5*0.1*7850=3925千克假设附加物重量为500千克,则总的死荷载为4425千克。
2.活荷载:考虑到可能的雪、风等荷载,我们假设活荷载为500千克。
3.风荷载:由于屋顶暴露在室外,需要考虑风的荷载。
根据当地的设计规范,假设风压为0.5千牛/平方米,则风荷载为:风荷载=风压*屋顶面积=0.5*(10*5)=25千牛第二步:确定结构类型和构件在确定了荷载之后,我们需要选择合适的结构类型和构件来满足设计要求。
考虑到屋顶的形状和荷载情况,我们选择采用钢柱和梁来支撑屋顶。
钢柱的截面形状选择为矩形,梁的截面形状选择为I型钢梁。
第三步:计算构件尺寸根据荷载和构件材料的强度等参数,我们可以计算出构件的尺寸。
假设钢材的屈服强度为300兆帕,安全系数取1.5,则钢柱和梁的截面尺寸计算如下:1.钢柱截面尺寸计算:首先计算柱子所承受的最大压力荷载。
假设柱子的高度为2米,柱子自身重量忽略不计,则柱子的面积为:柱子面积=死荷载/(钢材强度*安全系数)=4425/(300*1.5)=9.83平方米选择合适的矩形截面,假设柱子宽度为0.2米,则柱子的高度为:柱子高度=柱子面积/柱子宽度=9.83/0.2=49.15米选择合适的矩形截面尺寸,例如宽度为200毫米,高度为500毫米。
钢结构课程设计计算书钢结构课程设计计算书一、设计题目:焊接梯形钢屋架设计二、设计概况:屋架计算跨度:l0=21-2*0.15=20.7m跨中端部高度:本设计为无檩屋盖方案,采用平坡梯形屋架,取屋架在21m 轴线处的端部高度h0=1.99M,屋架的中部高度:h=3.04M。
则屋架在20.7M处两端高度为2.005M,屋架跨中起拱按l0/500考虑,取40mm。
屋架尺寸及几何形状如下图:21米跨屋架几何尺寸三、荷载计算:屋面活荷载与雪荷载不同时考虑,计算时,取较大的荷载标准值计算,故取屋面活荷载0.7KN/M进行计算。
屋架沿水平投影面积分布的自重,按经验公式gk=0.12+0.011lKN/M^2计算,跨度单位为M。
荷载计算如下表(1)全跨永久荷载+全跨可变荷载:F=(4.32135+2.1)*1.5*6=57.7952.84KN (2)全跨永久荷载+半跨可变荷载:F1=4.32135*1.5*6=38.8936.46 KNF2=2.1*1.5*6=18.916.38 KN(3)全跨屋架自重+半跨屋面自重+半跨屋面活载:F3=0.474*1.5*6=4.266 KN F4=(1.89+0.98)*1.5*6=25.83 KN 其中,(1)(2)为使用节点荷载,(3)为施工阶段荷载。
四、内力计算:上述三种荷载组合作用下的计算简图如下。
由单位荷载作用下各杆的内力值计算其内力组合:五、杆件设计:(1)上弦杆:整个上弦杆采用等截面角钢,按最大设计内力的FG杆设计。
N=-643.6KN,计算跨度l0x=l0=1.5M,l0y=3*l0=3*1.5M=4.5M。
选择两不等肢角钢,断肢相并。
腹杆最大内力aB,N=-406.02KN,中间节点板厚度选用12mm,支座节点板厚选用14mm。
由于双角钢组成的T形和十字形截面均属于b类截面。
取λ=60。
查表得,稳定系数υ=0.807,则所需的截面面积为:A=N/(υf)=643.6*100/(0.807*215)=37092mm查表选取2L140*90*10角钢。
钢结构梁柱的计算实例
钢结构:梁.柱的计算实例
拉弯构件和压弯构件
例6-1某双轴对称焊接工字型截面压弯构件,其受力状态、支撑布置和截面尺寸如图6-8所
示。
承受的荷载设计值为N=880kN,跨中横向集中力为F=180kN.构件长度L=10m,材料为Q235B ·F 钢。
试校核截面的强度、刚度和稳定性是否满足要求。
例7-1跨度为27m 的钢屋盖,屋面为波形石棉瓦,钢檩条。
屋架支于钢筋混凝土柱上(混凝土标号
C20,柱间距6m ,有中级工作制桥式吊车。
建筑地点为长沙。
(1)屋架形式和材质选择;(2)屋盖支撑布置;(3)屋架杆件截面选择;(4)确定屋架杆件填板数量;(5)屋架杆件端部焊缝计算;(6)画屋架主要节点示意图。
上图为屋盖支撑布置图。
摘要本建筑为拟建于大庆市开发区的夏宫休闲娱乐休闲中心,总建筑面积为5184m2。
主体高度12.6m,由游泳池及洗浴办公区构成。
场地类型为Ⅱ类场地,地震分组为第二组,抗震烈度为7度。
设计内容主要包括:建筑设计和结构设计。
建筑设计部分包括总体布局、平面与竖向交通、建筑朝向与选型以及防火和疏散要求。
主要进行了建筑设计构思,平面布局、立面设计、剖面设计以及防火和疏散设计。
平面布局合理、立面简洁大方,满足功能要求。
结构设计部分包括:结构布置、荷载计算、内力组合、钢框架设计、网架设计以及基础设计。
完成了该建筑的结构设计说明书及部分施工图。
本建筑上部结构采用钢结构体系,下部采用独立基础。
关键词:钢结构;建筑设计;内力组合;钢框架;独立基础AbstractThis building is a tier steel frame structural recreation ground, which is to be built in the Summer palace of Daqing City. Its total area is 5184 square meters. Its overall height is 12.4 meters and constructed with the swimming pool and office area. The area is the second type area, and the second group in earthquake resistance intensity.This article includes two parts that are architecture design and structural design.Architecture design includes the total layout, plane and the perpendicular transportation, the orientation of the building and chooses the size, and the design of fireproof and dispersion. the plane’s arrangement is reasonable,and its sem blance is succinct and generous,which satisfies the function’s requirement.The structure design includes what is following as the structure arrangement, the calculation of loads, the combination of the internal forces, the calculation of the frame; the calculation of the crane’s beam and the calculation of column and foundation. The method of bottom shearing force is used to calculate the lateral seismic action. In according to the geologic condition, spread foundation is adopted.Through the calculating and designing, the instruction of structure design of the building and some construction plans are finished. The structure system of all steel frames is adopted in the building’s top structure and the spread foundation is adopts in its foundation structure.Key words: Steel structures; architecture design; the combination of the internal forces; structure steel frame; spread foundation目录第1章建筑设计 (1)1.1 夏宫休闲娱乐中心组成 (1)1.2平面设计 (1)1.3 剖面设计 (2)1.4立面设计及内部空间处理 (3)第2章结构设计 (4)2.1 荷载计算 (4)2.2 钢框架设计 (7)2.3 组合楼板设计 (51)2.4 网架设计 (55)2.5 檩条设计 (63)2.6 基础设计 (65)结论 (69)参考文献 (70)致谢 (71)第1章建筑设计1.1 夏宫休闲娱乐中心的组成1.1.1 夏宫休闲娱乐中心简介夏宫休闲娱乐中心的组成体系由游泳区及洗浴办公区组成。